Next Article in Journal
Hypoxic Microenvironment and Metastatic Bone Disease
Next Article in Special Issue
High Throughput Identification of Novel Conotoxins from the Vermivorous Oak Cone Snail (Conus quercinus) by Transcriptome Sequencing
Previous Article in Journal
Ultrastructural and Molecular Analysis of Ribose-Induced Glycated Reconstructed Human Skin
Previous Article in Special Issue
Antiproliferative Effects of Alkaloid Evodiamine and Its Derivatives
 
 
Font Type:
Arial Georgia Verdana
Font Size:
Aa Aa Aa
Line Spacing:
Column Width:
Background:
Article

Synthesis and Transformation of (-)-Isopulegol-Based Chiral β-Aminolactones and β-Aminoamides

1
Institute of Pharmaceutical Chemistry, University of Szeged, H-6720 Szeged, Eötvös utca 6, Hungary
2
Stereochemistry Research Group of the Hungarian Academy of Sciences, H-6720 Szeged, Eötvös utca 6, Hungary
3
Department of Pharmacodynamics and Biopharmacy, University of Szeged, H-6720 Szeged, Eötvös utca 6, Hungary
4
Interdisciplinary Centre of Natural Products, University of Szeged, H-6720 Szeged, Eötvös utca 6, Hungary
*
Author to whom correspondence should be addressed.
Int. J. Mol. Sci. 2018, 19(11), 3522; https://doi.org/10.3390/ijms19113522
Submission received: 28 September 2018 / Revised: 31 October 2018 / Accepted: 5 November 2018 / Published: 8 November 2018
(This article belongs to the Special Issue Natural and Semi-Synthetic Small Molecules in Drug Discovery)

Abstract

:
A library of isopulegol-based β-amino acid derivatives has been developed from commercially-available (-)-isopulegol. Michael addition of primary and secondary amines towards α,β-unsaturated γ-lactones was accomplished resulting in β-aminolactones in highly-stereoselective reactions. Ring-opening of β-aminolactones with different amines furnished excellent yields of β-aminoamides. Moreover, the applicability of aminolactones in peptide synthesis was examined by opening the lactone ring with α- and β-aminoesters, providing dipeptides as promising chiral substrates for the synthesis of foldamers. The antiproliferative activities of β-aminolactones and β-aminoamides were explored, and the structure-activity relationships were studied from the aspects of the stereochemistry of the monoterpene ring and the substituent effects on the β-aminoamide ring system. The N-unsubstituted (-)-isopulegol-based β-aminoamides exhibited considerable antiproliferative activity against a panel of human adherent cancer cell lines (HeLa, MCF7 and MDA-MB-231).

Graphical Abstract

1. Introduction

Sesquiterpene lactones containing the α-methylene-γ-lactone moiety are natural products occurring in many plant families. These compounds are known for their various biological activities, including cytotoxicity to tumor cells, anti-bacterial, antifungal, and anti-protozoan activities, as well as activity against human and animal parasites or inhibition of plant growth [1,2,3].
Conjugate addition of nucleophiles to α-methylene-γ-lactones provides β-aminolactones, which increase the proportion of cells in the G2/M and S phase [3] and serve as water-soluble derivatives that might retain cytotoxicity through a prodrug mechanism [4]. Additionally, the transformation of β-aminolactones, formally β-amino esters, to their derivatives such as 1,3-aminalcohols, proved to use those chiral auxiliaries in the enantioselective synthesis of secondary alcohols or other pharmacons, e.g., esomeprazole [5,6,7,8,9]. Besides their value in enantioselective catalysis, 1,3-aminoalcohols are also excellent building blocks for the synthesis of various heterocyclic ring systems, such as 1,3-oxazines, 1,3-thiazines or 1,4-oxazepams [10,11]. 2-Imino-1,3-thiazines and 2-iminothiazolidines can be found as structural units in biologically-relevant compounds, including antifungal and antimicrobial agents [12], BACE1 inhibitors [13], or cannabinoid receptor agonists [14,15,16].
In addition, ring-opening of β-aminolactones with different amines may provide β-aminoamides, which are well-known subunits of biologically-important compounds such as bestatin, a potent aminopeptidase B. Its usefulness in the treatment of cancer through its ability to enhance the cytotoxic activity of known antitumor agents is well-known [17,18]. β-Aminoamides exhibit other biological activities as well, such as antidiabetic [19], HIV-protease, or renin inhibitor effects [20]. Besides interest in the synthesis of β-aminoamides, the opening of β-aminolactones with β-aminoesters is a useful method for the synthesis of dipeptides containing β-alanine moiety. β-Alanine is a precursor of the antioxidant dipeptide carnosine (β-alanine-l-histidine), which is thought to increase cell viability via an anti-senescence mechanism [21]. β-Ala-Gln has been applied in medical fields as a component of patient infusions [22]. Furthermore, β-alanine transporters were found to be highly upregulated in antibody-producing cell lines, indicating the cell’s requirement for this amino acid [21].
Herein, our aim was to develop a library of monoterpene-based β-aminolactones and β-aminoamides by applying commercially-available natural (-)-isopulegol as an inexpensive chiral source, and to study their antiproliferative activity on multiple cancer cell lines. Moreover, we also report the synthesis of (-)-isopulegol-based dipeptides, which might serve as promising chiral substrates for the synthesis of chiral foldamers.

2. Results

2.1. Synthesis of α-Methylene-γ-Butyrolactones

The key intermediate (+)-α-methylene-γ-butyrolactone 2 was prepared from commercially-available (-)-isopulegol 1 with regioselective hydroxylation, followed by two-step oxidation and ring closure of the obtained γ-hydroxy-substituted α,β-unsaturated carboxylic acid by applying literature methods [23,24,25,26,27,28] (Figure 1). The diastereoisomeric (-)-α-methylene-γ-butyrolactone 4 was prepared by starting similarly from (-)-isopulegol 1. In the first step, the hydroxy group of 1 was oxidized, followed by stereoselective reduction of the resulting carbonyl group providing (+)-neoisopulegol 3 [23,24,25,26,27,28,29] (Figure 1).

2.2. Synthesis of β-Aminolactones

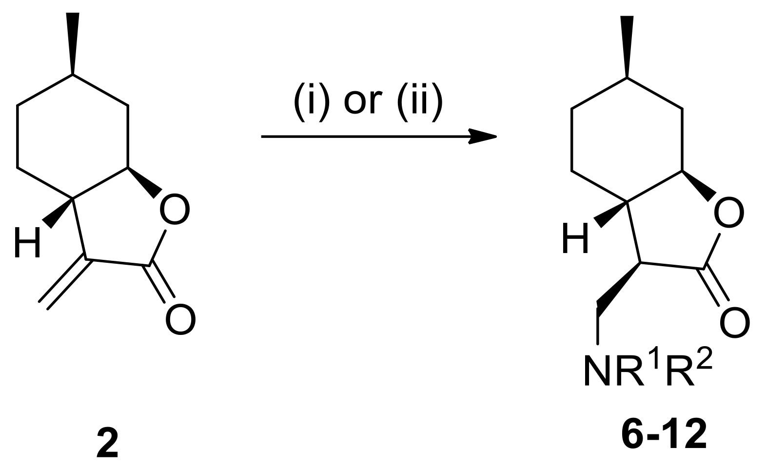
Nucleophilic addition of primary and secondary amines to α-methylene-γ-butyrolactones 2 and 4 has proven to be an efficient method for the preparation of a highly-diversified library of β-aminolactones [3,30]. When the addition of one equivalent of benzylamine to 2 was performed as a model reaction, the formation of N-benzyl aminolactone 5a and N-benzyl methylene amide 5b (the latter could not be isolated in pure form) was observed. The effect of the solvent was also studied, and it was found that the applied solvent strongly affected the yield of 5a and the ratio of the two products (Scheme 1, Table 1).
When alcohols as protic solvents were used, formation of 5a was observed as the main product. Among of three protic solvents applied, EtOH gave target 5a with the best chemoselectivity (entry 7). The ratio of 5a and 5b also depended on temperature. In alcohols, in turn, product ratios were similar at low (0 °C) and high (25 °C) temperature (compare entries 6 and 7). Furthermore, the yield of 5a increased with temperature. At higher temperatures, however, the yield of 5a dropped, and the products were formed in a ratio of 4:1, even with decreasing reaction time (Table 1).
After optimizing the condition for nucleophilic addition with benzylamine, amine adducts 610 were synthesized from 2 under these conditions (one equivalent of appropriate amine, EtOH, 25 °C) (Scheme 2). Surprisingly, when (R)-and (S)-α-methylbenzylamine and secondary amines were applied, only the formation of aminolactones was observed (Table 2). This is probably due to the steric hindrance of these amines. Besides amines, the best conditions were also successful for the addition of L- or β-aminoesters as amine sources to prepare some β-aminolactones containing aminoester moiety 1112 (Table 2).
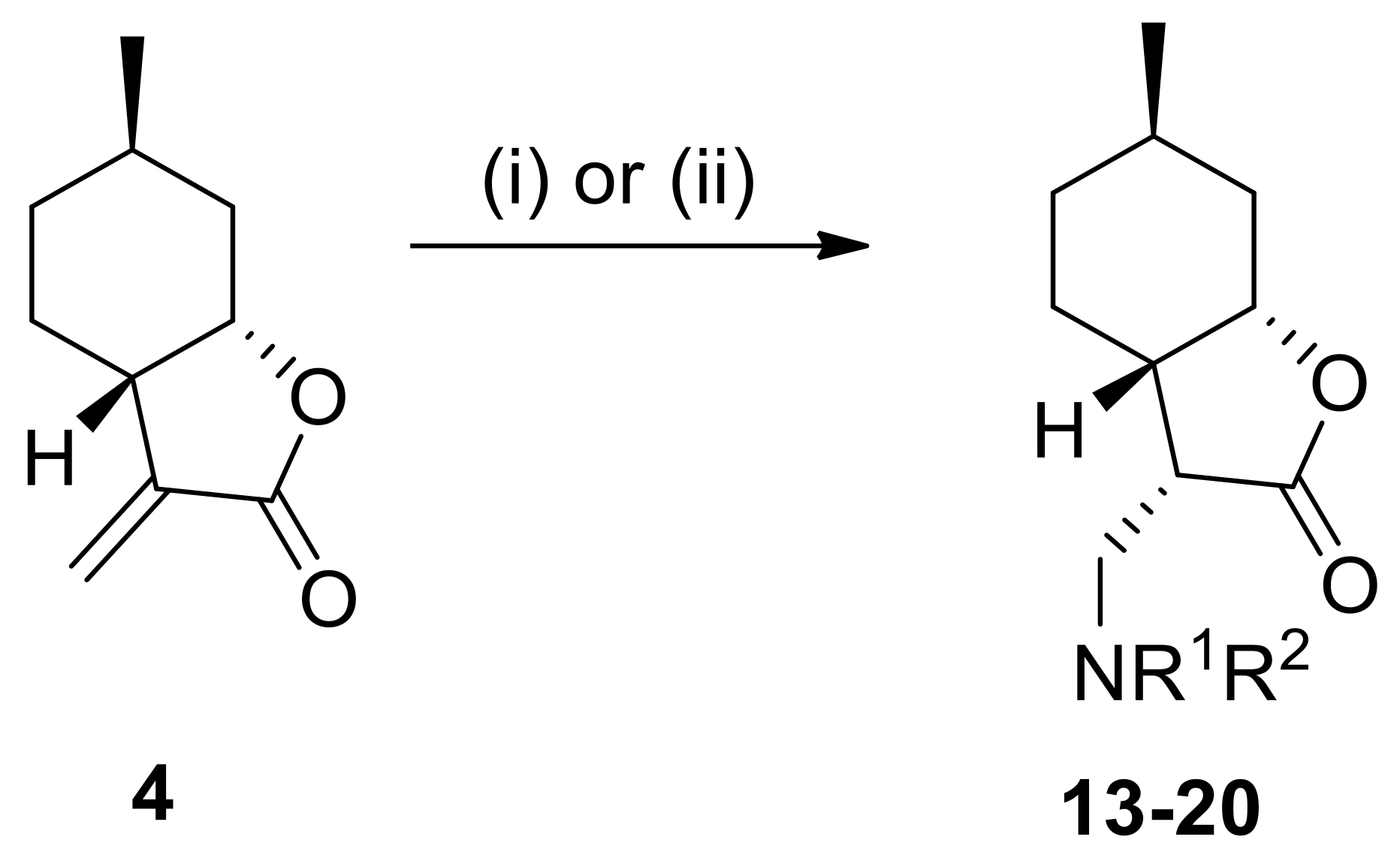
The optimized conditions were also applied for the preparation of (+)-neoisopulegol-based β-aminolactones 1318 starting from 4 (Scheme 3). Interestingly, under the applied conditions, exclusive formation of the amine adducts was observed. This may be due to the cis configuration of 4, which makes the lactone more hindered for nucleophilc attack (Table 3). The reaction of 4 with some aminoesters was effective at an elevated temperature to achieve aminoester-based β-aminolactone derivatives 1920 (Table 3).
The relative configuration of compounds 5a12 and 1320 was determined by means of NOESY experiments. Clear NOE signals were observed between the H-1 and H-3, as well as the H-3 and H-7 protons in the case of 5a12, while significant NOE signals were shown between the H-3 and H-7, as well as the H-4 and H-7 protons in the case of 1320 (Figure 2).

2.3. Synthesis of β-Aminoamides and Dipeptides

Nucleophilic addition and ring-opening of lactones were simultaneously performed from 2 using excess amines to form β-aminoamides 2123 in one step (Scheme 4). It is interesting that benzylamine reacted at room temperature, while (R)- and (S)-α-methylbenzylamine required a higher temperature and longer reactions (Table 4). This is probably due to steric hindrance exerted by the α-methyl group. Our efforts in the opening of lactones with secondary amines failed. Hydrolysis of β-aminoamides under acidic conditions resulted in the original starting material β-aminolactones 5a7 (Scheme 4).
Debenzylation via hydrogenolysis of compounds 2123 over appropriate catalysts in MeOH gave primary aminoamides 2426 in moderate yields (Table 5).
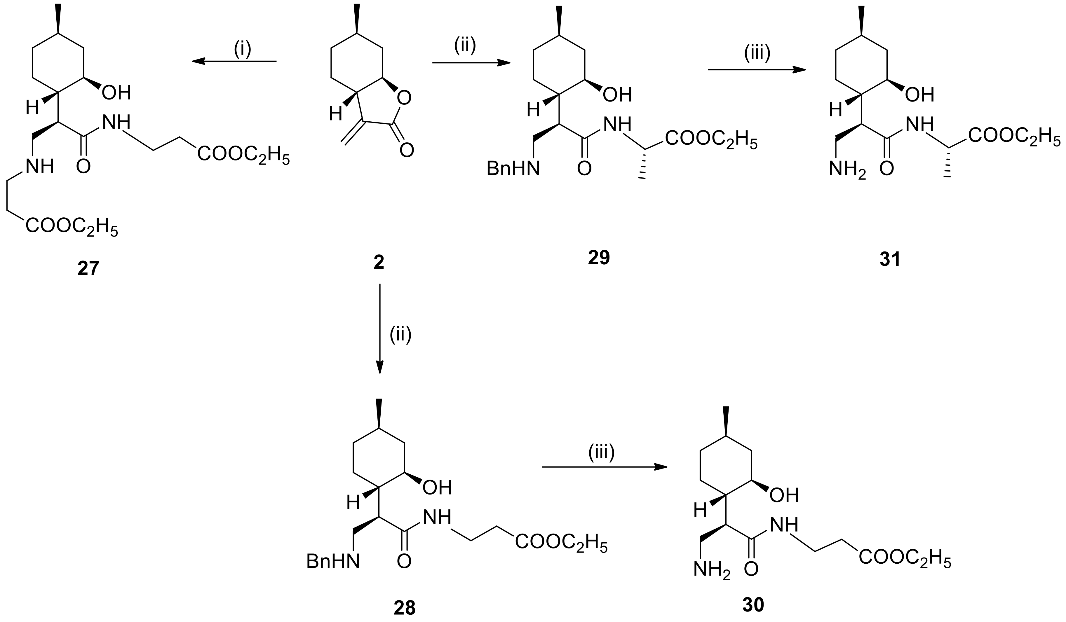
In further studies starting from 2, the addition and ring-opening reaction with β-aminoester successfully gave dipeptide 27. The application of α-aminoesters failed despite using long reaction times and elevated temperatures. The probable reason is steric hindrance exerted by the α-methyl group of the aminoesters. In addition, the opening of N-benzyl aminolactone 5a with both the α- and β-aminoester proceeded smoothly to give N-benzyl dipeptides 2829. Debenzylation through hydrogenolysis over Pd/C and purification of the crude products gave dipeptides 3031, i.e., suitable starting compounds in peptide synthesis (Scheme 5).
Our effort to prepare β-aminoamides 3234 starting from 4 failed. Fortunately, the synthesis was achieved by reacting β-aminolactones 1315 with primary amines under reflux conditions in anhydrous THF [31] (Table 4). Again, opening the lactone ring with secondary amines was unsuccessful. Acidic hydrolysis of β-aminoamides 2628 led to the original starting material β-aminolactones 1315 instead of the expected β-aminoacids (Scheme 6). Debenzylation with appropriate catalysts gave primary β-aminoamides 3537 in moderate yields (Table 5). The attempted nucleophilic addition and ring-opening of 6 with α- or β-aminoesters failed.

2.4. Antiproliferative Activities

Since several sesquiterpene-based α-methylene-γ-lactones, as well as their derivatives containing β-aminolactone moiety, exerted an antiproliferative action on adherent human cancer cell lines [3,30], antiproliferative activities of the prepared β-aminolactone and β-aminoamide analogues were also tested against a panel of human malignant cell lines isolated from cervical (HeLa) and breast (MCF7 and MDA-MB-231) cancers (Table 6). While the β-aminolactone-typed monoterpene derivatives proved to be ineffective against the utilized cell lines, the N-(S)-α-methylbenzyl-substituted β-aminoamide analogues (23, 34) exhibited modest growth inhibitory activities. The most potent newly-prepared monoterpene analogue was compound 23, exerting antiproliferative activity comparable to those of reference agent cisplatin.
α-Methylene-γ-lactone is generally believed to be a pharmacophore acting as an alkylating agent on DNA and proteins [32]. In the present set of (-)-isopulegol analogs, the γ-lactone-type derivatives (2, 4, 5 and 7) exerted weak antiproliferative activities, while the most active member of the presented library (23) is not a typical sesquiterpene lactone, but a β-aminoamide. Based on our results, the stereochemistry of the N-substituent on the amide function ((S)-α-methylbenzyl substituent), as well as the trans position of the bulky β-aminoamide substituent and the hydroxy group on the cyclohexane ring, are proposed as crucial conditions accounting for the activity. The antiproliferative activity of dipeptides 27, 28, and 29 was also tested on adherent human cancer cell lines. While in case of 29 a week antiproliferative activity was observed, on MCF7 and MDA-MB-231, 27 and 28 were uneffective.

3. Discussion

Starting from commercially-available (-)-isopugeol, a new family of isopulegol- and neoisopulegol-based chiral β-aminolactone and β-aminoamide libraries has been prepared through chiral α-methylene-γ-lactones as key intermediates. Moreover, isopulegol-based chiral dipeptides, promising chiral substrates for the synthesis of chiral foldamers, were synthesized. The resulting β-aminoamides exert marked antiproliferative action on a panel of human cancer cell lines. In vitro pharmacological studies have clearly shown that the N-(S)-α-methylbenzyl substituent on the β-aminoamide function is essential. The stereochemistry of the β-aminoamides has no influence on the antiproliferative effect.

4. Materials and Methods

4.1. General Methods

Commercially-available compounds were used as obtained from suppliers (Molar Chemicals Ltd., Halásztelek, Hungary; Merck Ltd., Budapest, Hungary and VWR International Ltd., Debrecen, Hungary), while applied solvents were dried according to standard procedures. Optical rotations were measured in MeOH at 20 °C, with a Perkin-Elmer 341 polarimeter (PerkinElmer Inc., Shelton, CT, USA). Chromatographic separations and monitoring of reactions were carried out on Merck Kieselgel 60 (Merck Ltd., Budapest, Hungary). Elemental analyses for all prepared compounds were performed on a Perkin-Elmer 2400 Elemental Analyzer (PerkinElmer Inc., Waltham, MA, USA). GC measurements for direct separation of commercially-available enantiomers of isopulegol to determine the enantiomeric purity of starting material 1 were performed on a Chirasil-DEX CB column (2500 × 0.25 mm I.D.) on a Perkin-Elmer Autosystem XL GC equipped with a Flame Ionization Detector (Perkin-Elmer Corporation, Norwalk, CT, USA) and a Turbochrom Workstation data system (Perkin-Elmer Corp., Norwalk, CT, USA). Melting points were determined on a Kofler apparatus (Nagema, Dresden, Germany) and are uncorrected. 1H- and 13C-NMR spectra were recorded on BruckerAvance DRX 500 spectrometer [500 MHz (1H) and 125 MHz (13C), δ = 0 (TMS)]. Chemical shifts are expressed in ppm (δ) relative to TMS as the internal reference. J values are given by Hz. The structures were confirmed by 1H-NMR, 13C-NMR and 2D-NMR technics (see Supplementary Materials).

4.2. Starting Materials

(-)-Isopulegol (1) is available commercially from Merck Co (Darmstadt, Germany) with ee = 95%. (+)-α-Methylene-γ-butyrolactone (2), (+)-neoisopulegol (3) and (-)-α-methylene-γ-butyrolactone (4) were prepared according to literature procedures. All spectroscopic data were similar to those described therein [25,27].

4.3. General Procedure for Nucleophilic Addition of α-Methylene-γ-Butyrolactone to Amines

Amines (1.2 mmol) were added to the solution of α-methylene-γ-butyrolactone 2 or 4 (1.2 mmol) in dry EtOH (2.0 mL). The reaction mixture was stirred at appropriate temperatures for 20–72 h. When the reaction was complete (indicated by TLC), EtOH was removed under reduced pressure. The crude residue was purified by column chromatography on silica gel with an appropriate solvent mixture. The crude products after solvent evaporation were purified as HCl salts by recrystallization in diethyl ether resulting in compounds 5a10 and 1318.

4.3.1. (3R,3aS,6R,7aR)-3-((Benzylamino)methyl)-6-methylhexahydrobenzofuran-2(3H)-one hydrochloride (5a)

Prepared from 2 with benzylamine at 25 °C for 20 h. Compound 5a was purified by column chromatography on silica gel (CHCl3/MeOH = 19:1). Yield: 65%, white crystals, m.p.: 190–198 °C. [ α ] D 20 = −8.0 (c 0.23, MeOH). 1H NMR (500 MHz, DMSO-d6): δ = 0.94–1.00 (1H, m), 0.95 (3H, d, J = 8.1 Hz), 1.09–1.18 (1H, m), 1.24–1.32 (1H, m), 1.59–1.69 (2H, m), 1.78–1.86 (1H, m), 2.06–2.13 (2H, m), 3.05–3.19 (3H, m), 3.93 (1H, td, J = 4.4, 14.1 Hz), 7.41–7.63 (5H, m), 9.67 (2H, s). 13C NMR (125 MHz, DMSO-d6): δ = 21.9, 26.1, 30.5, 33.4, 37.6, 42.7, 44.6, 47.0, 50.5, 81.9, 128.5, 128.8, 130.2, 131.7, 176.1. Anal. Calcd for C17H24ClNO2: C, 65.90; H, 7.81; N, 4.52. Found: C, 65.85; H, 7.85; N, 4.52.

4.3.2. (3R,3aS,6R,7aR)-6-Methyl-3-((((R)-1-phenylethyl)amino)methyl)hexahydrobenzofuran-2(3H)-one hydrochloride (6)

Prepared from 2 with (R)-α-methylbenzylamine at 25 °C for 20 h. Compound 6 was purified by column chromatography on silica gel (CHCl3/MeOH = 19:1). Yield: 75%, white crystals, m.p.: 170–180 °C. [ α ] D 20 = +21.0 (c 0.23, MeOH). 1H NMR (500 MHz, DMSO-d6): δ = 0.91–1.00 (1H, m), 0.95 (3H, d, J = 6.5 Hz), 1.08–1.15 (1H, m), 1.23–1.28 (1H, m), 1.53–1.62 (1H, m), 1.61 (3H, d, J = 6.4 Hz), 1.68 (1H, d, J = 13.2 Hz), 1.75–1.82 (1H, m), 2.03–2.12 (2H, m), 2.78–2.86 (1H, m), 2.94 (1H, t, J = 6.3 Hz), 3.05–3.15 (1H, m), 3.92 (1H, td, J = 3.4, 11.3 Hz), 4.38 (1H, s), 7.39–7.61 (5H, m), 9.17 (1H, br s), 9.83 (1H, br s). 13C NMR (125 MHz, DMSO-d6): δ = 19.4, 21.9, 26.0, 30.5, 33.4, 37.5, 46.4, 58.2, 81.9, 128.0, 128.8, 176.0. Anal. Calcd for C18H26ClNO2: C, 66.76; H, 8.09; N, 4.32. Found: C, 66.75; H, 8.04; N, 4.30.

4.3.3. (3R,3aS,6R,7aR)-6-Methyl-3-((((S)-1-phenylethyl)amino)methyl)hexahydrobenzofuran-2(3H)-one hydrochloride (7)

Prepared from 2 with (S)-α-methylbenzylamine at 25 °C for 20 h. Compound 7 was purified by column chromatography on silica gel (CHCl3/MeOH = 19:1). Yield: 71%, white crystals, m.p.: 170–180 °C. [ α ] D 20 = −26.0 (c 0.24, MeOH). 1H NMR (500 MHz, DMSO-d6): δ = 0.91–0.97 (1H, m), 0.94 (1H, d, J = 6.6 Hz), 1.08–1.15 (1H, m), 1.19–1.28 (1H, m), 1.57–1.67 (2H, m), 1.62 (3H, d, J = 6.7 Hz), 1.74–1.81 (1H, m), 1.90–1.93 (1H, m), 2.09–2.11 (1H, m), 2.85–2.94 (1H, m), 2.95–3.02 (1H, m), 3.93 (1H, td, J = 3.5, 11.3 Hz), 4.36 (1H, br s), 7.39–7.64 (5H, m), 9.25 (1H, br s), 9.82 (1H, br s). 13C NMR (125 MHz, DMSO-d6): δ = 19.4, 21.9, 26.0, 30.5, 33.4, 37.5, 42.8, 43.5, 46.8, 58.3, 82.0, 127.9, 128.9, 137.1, 176.3. Anal. Calcd for C14H26ClNO2: C, 66.76; H, 8.09; N, 4.32. Found: C, 66.78; H, 8.10; N, 4.35.

4.3.4. (3R,3aS,6R,7aR)-3-((Diethylamino)methyl)-6-methylhexahydrobenzofuran-2(3H)-one hydrochloride (8)

Prepared from 2 with diethylamine at 25 °C for 20 h. Compound 8 was purified by column chromatography on silica gel (CHCl3/MeOH = 19:1). Yield: 50%, colorless oil. [ α ] D 20 = −7.0 (c 0.27, MeOH). 1H NMR (500 MHz, DMSO-d6): δ = 0.91–0.99 (1H, m), 0.96 (3H, d, J = 6.6 Hz), 1.05 (1H, t, J = 7.0 Hz), 1.14 (1H, q, J = 11.5 Hz), 1.24 (6H, td, J = 2.3, 7.1 Hz), 1.31–1.39 (1H, m), 1.58–1.63 (1H, m), 1.71–1.82 (2H, m), 1.97–2.01 (1H, m), 2.12–2.15 (1H, m), 3.12–3.23 (6H, m), 3.38–3.44 (2H, m), 3.97 (1H, td, J = 3.6, 11.4 Hz), 9.94 (1H, br s). 13C NMR (125 MHz, DMSO-d6): δ = 8.4, 8.5, 21.8, 25.6, 30.6, 33.4, 37.5, 41.3, 46.8, 47.2, 47.5, 49.1, 81.9, 176.8. Anal. Calcd for C14H26ClNO2: C, 60.96; H, 9.50; N, 5.08. Found: C, 60.70; H, 9.45; N, 5.10.

4.3.5. (3R,3aS,6R,7aR)-6-Methyl-3-(piperidin-1-ylmethyl)hexahydrobenzofuran-2(3H)-one hydrochloride (9)

Prepared from 2 with pyridine at 25 °C for 20 h. Compound 9 was purified by column chromatography on silica gel (CHCl3/MeOH = 19:1). Yield: 47%, white crystals, m.p.: 180–190 °C. [ α ] D 20 = −3.3 (c 0.31, MeOH). 1H NMR (500 MHz, DMSO-d6): δ = 0.92–1.00 (1H, m), 0.96 (1H, d, J = 6.6 Hz), 1.14 (1H, q, J = 11.5 Hz), 1.30–1.40 (1H, m), 1.58–1.64 (1H, m), 1.67–1.83 (6H, m), 2.02–2.05 (1H, m), 2.11–2.13 (1H, m), 2.88–2.96 (2H, m), 3.16–3.21 (2H, m), 3.26–3.29 (1H, m), 3.42 (1H, d, J = 12.0 Hz), 3.94 (1H, td, J = 3.6, 11.3 Hz), 10.5 (1H, br s). 13C NMR (125 MHz, DMSO-d6): δ = 21.1, 21.8, 22.2, 25.8, 30.6, 33.4, 37.5, 41.4, 47.7, 51.7, 52.8, 53.8, 81.8, 176.7. Anal. Calcd for C15H26ClNO2: C, 62.59; H, 9.10; N, 4.87. Found: C, 62.60; H, 9.15; N, 4.90.

4.3.6. (3R,3aS,6R,7aR)-3-((Dibenzylamino)methyl)-6-methylhexahydrobenzofuran-2(3H)-one hydrochloride (10)

Prepared from 2 with dibenzylamine at 70 °C for 72 h. Compound 10 was purified by column chromatography on silica gel (n-hexane/ethyl acetate = 9:1). Yield: 59%, white crystals, m.p.: 120–125 °C. [ α ] D 20 = −27.0 (c 0.27, MeOH). 1H NMR (500 MHz, DMSO-d6): δ = 0.80–0.87 (1H, m), 0.93 (3H, d, J = 6.5 Hz), 1.10 (1H, q, J = 11.4 Hz), 1.23–1.31 (1H, m), 1.55–1.72 (4H, m), 2.09 (1H, d, J = 11.0 Hz), 3.09 (1H, d, J = 12.9 Hz), 3.33–3.40 (1H, m), 3.92 (1H, t, J = 9.6 Hz), 4.30–4.33 (2H, m), 4.44 (1H, d, J = 9.3 Hz), 7.75–7.70 (10H, m), 11.1 (1H, br s). 13C NMR (125 MHz, DMSO-d6): δ = 21.8, 25.6, 30.5, 33.4, 37.4, 41.6, 47.4, 49.8, 56.7, 56.8, 82.0, 128.8, 129.6, 131.3, 131.4, 131.6, 176.9 Anal. Calcd for C24H30ClNO2: C, 72.07; H, 7.56; N, 3.50. Found: C, 72.07; H, 7.53; N, 3.55.

4.3.7. (3S,3aS,6R,7aS)-3-((Benzylamino)methyl)-6-methylhexahydrobenzofuran-2(3H)-one hydrochloride (13)

Prepared from 4 with benzylamine at 25 °C for 20 h. Compound 13 was purified by column chromatography on silica gel (CHCl3/MeOH = 19:1). Yield: 60%, white crystals, m.p.: 165–167 °C. [ α ] D 20 = −34.0 (c 0.24, MeOH). 1H NMR (500 MHz, DMSO-d6): δ = 0.73–0.88 (2H, m), 0.88 (1H, d, J = 6.2 Hz), 1.24–1.30 (1H, m), 1.34–1.43 (1H, m), 1.58 (1H, d, J = 12.4 Hz), 1.81 (1H, t, J = 6.2 Hz), 2.06 (1H, d, J = 14.3 Hz), 2.56–2.59 (1H, m), 3.00 (1H, t, J = 10.7 Hz), 3.16 (1H, d, J = 12.0 Hz), 2.42–2.43 (1H, m), 4.20 (1H, q, J = 13.0 Hz), 4.58 (1H, s), 7.42–7.60 (5H, m), 9.54 (2H, s). 13C NMR (125 MHz, DMSO-d6): δ = 21.7, 22.4, 25.8, 31.1, 35.0, 36.2, 41.6, 44.6, 50.2, 78.1, 128.6, 129.0, 130.2, 131.8, 175.6. Anal. Calcd for C17H24ClNO2: C, 65.90; H, 7.81; N, 4.52. Found: C, 65.95; H, 7.80; N, 4.55.

4.3.8. (3S,3aS,6R,7aS)-6-Methyl-3-((((R)-1-phenylethyl)amino)methyl)hexahydrobenzofuran-2(3H)-one hydrochloride (14)

Prepared from 4 with (R)-α-methylbenzylamine at 25 °C for 20 h. Compound 14 was purified by column chromatography on silica gel (CHCl3/MeOH = 19:1). Yield: 65%, white crystals, m.p.: 250–252 °C. [ α ] D 20 = −3.0 (c 0.24, MeOH). 1H NMR (500 MHz, DMSO-d6): δ = 0.72–0.78 (1H, m), 0.83–0.90 (1H, m), 0.87 (3H, d, J = 6.4 Hz), 1.24–1.30 (1H, m), 1.33–1.37 (1H, m), 1.57 (1H, d, J = 12.7 Hz), 1.63 (1H, d, J = 6.7 Hz), 1.82–1.85 (1H, m), 2.04 (H, d, J = 14.1 Hz), 2.61–2.66 (1H, m), 2.79–2.84 (1H, m), 2.91–2.97 (1H, m), 3.29–3.31 (1H, m), 4.44 (1H, q, J = 4.8 Hz), 4.55 (1H, d, J = 2.3 Hz), 7.40–7.64 (5H, m), 9.49 (1H, br s), 9.94 (1H, br s). 13C NMR (125 MHz, DMSO-d6): δ = 19.3, 21.7, 22.4, 25.8, 31.1, 35.0, 36.3, 40.4, 44.8, 57.7, 78.1, 127.9, 128.9, 137.0, 175.6. Anal. Calcd for C18H26ClNO2: C, 66.76; H, 8.09; N, 4.32. Found: C, 66.74; H, 8.13; N, 4.35.

4.3.9. (3S,3aS,6R,7aS)-6-Methyl-3-((((S)-1-phenylethyl)amino)methyl)hexahydrobenzofuran-2(3H)-one hydrochloride (15)

Prepared from 4 with (S)-α-methylbenzylamine at 25 °C for 20 h. Compound 15 was purified by column chromatography on silica gel (CHCl3/MeOH = 19:1). Yield: 70%, white crystals, m.p.: 230–235 °C. [ α ] D 20 = −57.0 (c 0.21, MeOH). 1H NMR (500 MHz, DMSO-d6): δ = 0.55–0.63 (1H, m), 0.78–0.85 (1H, m), 0.85 (3H, d, J = 6.2 Hz), 1.22–1.30 (2H, m), 1.50 (2H, d, J = 10.9 Hz), 1.64 (1H, d, J = 6.7 Hz), 2.03 (1H, d, J = 13.4 Hz), 2.50–2.56 (1H, m), 2.59–2.63 (1H, m), 3.05 (1H, t, J = 9.7 Hz), 3.42–3.44 (1H, m), 4.47 (1H, br s), 4.57 (1H, d, J = 2.1 Hz), 7.39–7.64 (5H, m), 9.48 (1H, d, J = 7.6 Hz), 10.04 (1H, br s). 13C NMR (125 MHz, DMSO-d6): δ = 19.5, 21.7, 22.1, 25.7, 31.0, 35.0, 36.0, 40.2, 44.5, 57.6, 78.0, 127.8, 128.9, 129.0, 136.9, 175.4. Anal. Calcd for C18H26ClNO2: C, 66.76; H, 8.09; N, 4.32. Found: C, 66.77; H, 8.13; N, 4.29.

4.3.10. (3S,3aS,6R,7aS)-3-((Diethylamino)methyl)-6-methylhexahydrobenzofuran-2(3H)-one hydrochloride (16)

Prepared from 4 with diethylamine at 25 °C for 20 h. Compound 16 was purified by column chromatography on silica gel (CHCl3/MeOH = 19:1). Yield: 50%, white crystals, m.p.: 158–163 °C. [ α ] D 20 = −39.0 (c 0.24, MeOH). 1H NMR (500 MHz, DMSO-d6): δ = 0.81–0.93 (1H, m), 0.87 (1H, d, J = 9.0 Hz), 1.20–1.26 (6H, m), 1.26–1.29 (1H, m), 1.33–1.43 (1H, m), 1.60 (1H, d, J = 11.5 Hz), 1.82–1.85 (1H, m), 2.07 (1H, d, J = 14.6 Hz), 2.64–2.66 (1H, m), 3.14–3.22 (6H, m), 3.58 (1H, q, J = 4.2 Hz), 4.58 (1H, d, J = 2.2 Hz), 10.6 (1H, br s). 13C NMR (125 MHz, DMSO-d6): δ = 8.0, 8.6, 21.7, 22.6, 25.8, 31.1, 35.1, 37.1, 42.9, 45.9, 46.4, 47.1, 78.0, 176.1. Anal. Calcd for C14H26ClNO2: C, 60.96; H, 9.50; N, 5.08. Found: C, 60.73; H, 9.53; N, 5.05.

4.3.11. (3S,3aS,6R,7aS)-6-Methyl-3-(piperidin-1-ylmethyl)hexahydrobenzofuran-2(3H)-one hydrochloride (17)

Prepared from 4 with pyridine at 25 °C for 20 h. Compound 17 was purified by column chromatography on silica gel (CHCl3/MeOH = 19:1). Yield: 53%, white crystals, m.p.: 231–233 °C. [ α ] D 20 = −39.0 (c 0.24, MeOH). 1H NMR (500 MHz, DMSO-d6): δ = 0.76–0.81 (1H, m), 0.87–0.92 (1H, m), 0.88 (3H, d, J = 6.0 Hz), 1.22–1.28 (1H, m), 1.31–1.44 (2H, m), 1.59–1.89 (7H, m), 2.07 (1H, d, J = 14.5 Hz), 2.65 (1H, d, J = 5.6 Hz), 2.87–2.97 (2H, m), 3.17–3.22 (2H, m), 3.41 (1H, d, J = 10.9 Hz), 3.52 (1H, d, J = 11.1 Hz), 3.61 (1H, br s), 4.56 (1H, br s), 10.6 (1H, br s) 13C NMR (125 MHz, DMSO-d6): δ = 21.2, 21.7, 22.1, 22.2, 22.8, 25.8, 31.1, 35.1, 37.3, 43.2, 51.2, 51.7, 52.6, 77.9, 176.0. Anal. Calcd for C15H26ClNO2: C, 62.59; H, 9.10; N, 4.87. Found: C, 62.57; H, 9.05; N, 4.93.

4.3.12. (3S,3aS,6R,7aS)-3-((Dibenzylamino)methyl)-6-methylhexahydrobenzofuran-2(3H)-one hydrochloride (18)

Prepared from 4 with dibenzylamine at 70 °C for 72 h. Compound 18 was purified by column chromatography on silica gel (n-hexane/ethyl acetate = 9:1). Yield: 50%, white crystals, m.p.: 118–120 °C. [ α ] D 20 = −23.0 (c 0.21, MeOH). 1H NMR (500 MHz, DMSO-d6): δ = 0.45–0.52 (1H, m), 0.73–0.85 (1H, m), 0.83 (1H, d, J = 6.1 Hz), 1.17–1.30 (3H, m), 1.41 (1H, d, J = 12.4 Hz), 2.03 (1H, d, J = 13.7 Hz), 2.70 (1H, d, J = 4.9 Hz), 2.80 (1H, t, J = 10.2 Hz), 3.20–3.24 (1H, m), 3.78 (1H, br s), 4.35–4.40 (2H, m), 4.49–4.53 (2H, m), 7.33–7.70 (10H, m), 11.3 (1H, br s). 13C NMR (125 MHz, DMSO-d6): δ = 21.6, 22.1, 25.6, 31.0, 35.0, 36.9, 42.8, 46.0, 56.1, 56.6, 77.9, 128.8, 129.1, 129.6, 129.7, 129.9, 131.6, 131.9, 175.6. Anal. Calcd for C24H30ClNO2: C, 72.07; H, 7.56; N, 3.50. Found: C, 72.09; H, 7.53; N, 3.55.

4.4. General Procedure for Nucleophilic Addition of α-Methylene-γ-Butyrolactone with Amino Esters

To the solution of α-methylene-γ-butyrolactone 2 or 4 (1.2 mmol) in dry EtOH (2.0 mL) was added l- or β-alanine ethyl ester hydrochloride (2.4 mmol) and Et3N (2.4 mmol). The reaction mixture was stirred at the appropriate temperature for 20 h. When the reaction was complete (indicated by TLC), EtOH was removed under reduced pressure. The crude residue was purified by column chromatography on silica gel with a mixture of CHCl3 and MeOH (19:1). After solvent evaporation, the addition of a few drops of HCl/EtOH, and recrystallization in diethyl ether, compounds 11 and 12, as well as 19 and 20, respectively, were isolated.

4.4.1. Ethyl 3-(((3R,3aS,6R,7aR)-6-methyl-2-oxooctahydrobenzofuran-3-yl)methylamino) propanoate hydrochloride (11)

Prepared from 2 with β-alanine ethyl ester hydrochloride at 25 °C. Yield: 60%, white crystals, m.p.: 125–135 °C. [ α ] D 20 = −3.7 (c 0.32, MeOH). 1H NMR (500 MHz, CDCl3): δ = 1.00–1.07 (1H, m), 1.02 (3H, d, J = 6.6 Hz), 1.20–1.30 (1H, m), 1.29 (3H, t, J = 7.1 Hz), 1.44–1.50 (1H, m), 1.64–1.72 (2H, m), 1.82 (1H, d, J = 13.6 Hz), 2.01 (1H, d, J = 10.7 Hz), 2.26 (1H, m), 2.89 (1H, dt, J = 4.3, 18.0 Hz), 3.10–3.38 (6H, m), 4.00 (1H, td, J = 3.6, 11.3 Hz), 4.22 (2H, q, J = 7.1 Hz), 8.70 (1H, br s), 11.30 (1H, br s). 13C NMR (125 MHz, CDCl3): δ = 14.2, 22.0, 26.2, 30.2, 31.2, 33.8, 38.1, 42.8, 44.6, 47.2, 48.3, 62.2, 84.0, 171.8, 178.3. Anal. Calcd for C15H26ClNO4: C, 56.33; H, 8.19; N, 4.38. Found: C, 56.35; H, 8.15; N, 4.40.

4.4.2. (S)-Ethyl 2-(((3R,3aS,6R,7aR)-6-methyl-2-oxooctahydrobenzofuran-3-yl)methylamino)propanoate hydrochloride (12)

Prepared from 2 with L-alanine ethyl ester hydrochloride at 25 °C. Yield: 40%, white crystals, m.p.: 150–160 °C. [ α ] D 20 = −3.0 (c 0.28, MeOH). 1H NMR (500 MHz, CDCl3): δ = 0.97–1.02 (1H, m), 1.02 (3H, d, J = 6.5 Hz), 1.22 (1H, q, J = 11.4 Hz), 1.33 (3H, t, J = 7.1 Hz), 1.49 (1H, q, J = 11.9 Hz), 1.62–1.66 (2H, m), 1.82 (6H, d, J = 6H, d, J = 6.7 Hz), 1.98 (1H, d, J = 12.4 Hz), 2.27 (1H, d, J = 11.5 Hz), 3.11 (1H, t, J = 10.0 Hz), 3.48–3.48 (1H, m), 3.54 (1H, t, J = 10.0 Hz), 3.96 (1H, q, J = 6.0 Hz), 4.03 (1H, td, J = 3.1, 11.3 Hz), 4.27–4.35 (2H, m), 8.14 (1H, br s), 12.2 (1H, br s). 13C NMR (125 MHz, CDCl3): δ = 14.1, 15.9, 22.0, 26.2, 31.1, 33.9, 38.1, 42.6, 46.3, 48.5, 60.0, 63.3, 83.9, 169.2, 178.6. Anal. Calcd for C15H26ClNO4: C, 56.33; H, 8.19; N, 4.38. Found: C, 56.30; H, 8.20; N, 4.35.

4.4.3. Ethyl 3-(((3S,3aS,6R,7aS)-6-methyl-2-oxooctahydrobenzofuran-3-yl) methylamino)propanoate hydrochloride (19)

Prepared from 4 with β-alanine ethyl ester hydrochloride at 70 °C. Yield: 60%, white crystals, m.p.: 202–205 °C. [ α ] D 20 = −37.0 (c 0.21, MeOH). 1H NMR (500 MHz, CDCl3): δ = 0.93 (3H, d, J = 6.4 Hz), 0.92–0.99 (1H, m), 1.09 (1H, q, J = 10.0 Hz), 1.24–1.30 (1H, m), 1.29 (3H, t, J = 6.9 Hz), 1.49–1.62 (1H, m), 1.70 (1H, d, J = 12.3 Hz), 1.78 (1H, d, J = 9.5 Hz), 2.24 (1H, d, J = 14.7 Hz), 2.66 (1H, br s), 2.92 (1H, d, J = 16.7 Hz), 3.13 (1H, d, J = 16.2 Hz), 3.26–3.30 (4H, m), 3.60–3.70 (1H, m), 4.22 (2H, q, J = 7.0 Hz), 4.65 (1H, s), 8.81 (1H, br s), 10.8 (1H, br s). 13C NMR (125 MHz, CDCl3): δ = 14.2, 21.9, 23.3, 26.1, 30.4, 31.5, 35.6, 37.7, 44.4, 44.5, 44.7, 62.0, 79.7, 171.1, 177.7. Anal. Calcd for C15H26ClNO4: C, 56.33; H, 8.19; N, 4.38. Found: C, 56.37; H, 8.18; N, 4.35.

4.4.4. (S)-Ethyl 2-(((3R,3aS,6R,7aR)-6-methyl-2-oxooctahydrobenzofuran-3-yl)methylamino)propanoate hydrochloride (20)

Prepared from 4 with L-alanine ethyl ester hydrochloride at 70 °C. Yield: 44%, white crystals, m.p.: 216–218 °C. [ α ] D 20 = −35.0 (c 0.24, MeOH). 1H NMR (500 MHz, CDCl3): δ = 0.92 (3H, d, J = 6.5 Hz), 0.94–1.02 (2H, m), 1.24 (1H, t, J = 12.3 Hz), 1.33 (3H, t, J = 7.0 Hz), 1.50–1.60 (1H, m), 1.70 (1H, d, J = 11.5 Hz), 1.76 (3H, d, J = 6.9 Hz), 1.93 (1H, d, J = 10.6 Hz), 2.00–2.14 (1H, m), 2.23 (1H, d, J = 14.9 Hz), 2.78–2.85 (1H, m), 3.32 (1H, d, J = 17.2 Hz), 3.77 (1H, d, J = 4.5 Hz), 4.08–4.16 (1H, m), 4.30 (2H, q, J = 7.0 Hz), 4.61 (1H, s), 9.80 (1H, br s), 10.37 (1H, br s). 13C NMR (125 MHz, CDCl3): δ = 14.2, 15.0, 22.0, 23.1, 26.1, 31.6, 35.8, 37.7, 41.9, 45.2, 55.8, 63.1, 79.5, 168.7, 176.8. Anal. Calcd for C15H26ClNO4: C, 56.33; H, 8.19; N, 4.38. Found: C, 56.35; H, 8.17; N, 4.40.

4.5. General Procedure for the Preparation of β-Aminoamides

To a solution of α-methylene-γ-butyrolactone, 2 (1.2 mmol) or β-aminolactones 1315 (1.2 mmol) in an appropriate solvent (2.0 mL) was added a solution of the appropriate amine (4.8 mmol). The mixture was stirred at the appropriate temperature for 20–72 h. When the reaction was complete (indicated by TLC), the mixture was evaporated to dryness. The crude product was purified by column chromatography on silica gel with CHCl3/MeOH (19:1), resulting in compounds 2123 and 3234.

4.5.1. (R)-N-Benzyl-3-(benzylamino)-2-((1S,2R,4R)-2-hydroxy-4-methylcyclohexyl)propanamide (21)

Prepared from 2 with benzylamine at 25 °C for 20 h in dry EtOH. Yield: 90%, white crystals, m.p.: 185–195 °C. [ α ] D 20 = −24.0 (c 0.27, MeOH). 1H NMR (500 MHz, DMSO-d6): δ = 0.66–0.73 (1H, m), 0.82–0.92 (2H, m), 0.85 (1H, d, J = 6.5 Hz), 1.34–1.37 (2H, m), 1.52 (1H, d, J = 12.2 Hz), 1.65 (1H, t, J = 11.1 Hz), 1.86 (1H, d, J = 12.4 Hz), 2.93–3.02 (1H, m), 3.24–3.27 (3H, m), 4.06–4.17 (3H, m), 4.44 (1H, dd, J = 6.4, 15.1 Hz), 5.02–5.09 (1H, m), 7.20–7.54 (10H, m), 8.66–8.68 (2H, m), 9.28 (1H, br s). 13C NMR (125 MHz, DMSO-d6): δ = 22.1, 25.1, 30.9, 33.9, 41.7, 42.3, 43.3, 44.4, 47.2, 50.4, 68.5, 126.7, 127.1, 128.2, 128.6, 128.9, 130.0, 131.8, 139.5, 172.0. Anal. Calcd for C24H32N2O2: C, 75.75; H, 8.48; N, 7.36. Found: C, 75.80; H, 8.45; N, 7.35.

4.5.2. (R)-2-((1S,2R,4R)-2-Hydroxy-4-methylcyclohexyl)-N-((R)-1-phenylethyl)-3-(((R)-1-phenylethyl)amino)propanamide (22)

Prepared from 2 with (R)-α-methylbenzylamine at 70 °C for 48 h in dry EtOH. Yield: 58%, colorless oil. [ α ] D 20 = +54.0 (c 0.20, MeOH). 1H NMR (500 MHz, CDCl3): δ = 0.72–0.90 (2H, m), 0.89 (1H, 6.4 Hz), 1.04–1.11 (1H, m), 1.25–1.28 (3H, m), 1.36 (3H, d, J = 6.6 Hz), 1.47–1.62 (2H, m), 1.53 (3H, d, J = 6.9 Hz), 1.78–1.87 (2H, m), 1.96 (1H, 1H, J = 13.6 Hz), 2.70 (1H, d, J = 11.8 Hz), 3.00–3.06 (2H, m), 3.42 (1H, d, J = 8.7 Hz), 3.62–3.70 (1H, m), 5.02 (1H, t, J = 7.1 Hz), 7.20–7.49 (10H, m), 8.38 (1H, d, J = 7.1 Hz). 13C NMR (125 MHz, CDCl3): δ = 20.9, 22.0, 22.2, 25.8, 31.7, 34.1, 42.3, 43.5, 44.4, 47.7, 49.8, 58.7, 70.8, 126.7, 127.1, 127.6, 128.5, 128.9, 129.1, 144.4, 172.4. Anal. Calcd for C26H36N2O2: C, 76.43; H, 8.88; N, 6.86. Found: C, 76.45; H, 8.90; N, 6.83.

4.5.3. (R)-2-((1S,2R,4R)-2-Hydroxy-4-methylcyclohexyl)-N-((S)-1-phenylethyl)-3-(((S)-1-phenylethyl)amino)propanamide (23)

Prepared from 2 with (S)-α-methylbenzylamine at 70 °C for 48 h in dry EtOH. Yield: 54%, white crystals, m.p.: 137–148 °C [ α ] D 20 = −55.0 (c 0.26, MeOH). 1H NMR (500 MHz, DMSO-d6): δ = 0.52–0.58 (1H, m), 0.82 (3H, d, J = 6.4 Hz), 0.86–0.91 (2H, m), 1.23–1.37 (2H, m), 1.36 (3H, d, J = 7.1 Hz), 1.56 (3H, d, J = 6.8 Hz), 1.69–1.74 (1H, m), 1.84–1.88 (1H, m), 2.78–2.82 (1H, m), 2.87–2.93 (1H, m), 3.24 (2H, d, J = 10.0 Hz), 4.29 (1H, d, J = 2.3 Hz), 4.91 (1H, quin, J = 7.1 Hz), 5.10 (1H, d, J = 4.9 Hz), 7.15–7.53 (10H, m), 8.30 (1H, d, J = 9.0 Hz), 8.64 (1H, d, J = 7.7 Hz), 9.60 (1H, br s). 13C NMR (125 MHz, DMSO-d6): δ = 19.8, 22.1, 22.3, 24.5, 30.8, 33.7, 41.3, 41.7, 44.2, 47.2, 48.4, 58.0, 68.4, 125.6, 126.4, 127.6, 128.0, 128.7, 128.8, 137.1, 145.4, 171.0. Anal. Calcd for C26H36N2O2: C, 76.43; H, 8.88; N, 6.86. Found: C, 76.40; H, 8.85; N, 6.90.

4.5.4. (S)-N-Benzyl-3-(benzylamino)-2-((1S,2S,4R)-2-hydroxy-4-methylcyclohexyl)propanamide (32)

Prepared from 13 with benzylamine at 70 °C for 24 h in dry THF. Yield: 70%, white crystals, m.p.: 251–253 °C. [ α ] D 20 = +21.0 (c = 0.20, MeOH). 1H NMR (500 MHz, DMSO-d6): δ = 0.76–0.80 (1H, m), 0.79 (3H, d, J = 6.3 Hz), 1.00 (1H, t, J = 13.0 Hz), 1.18 (1H, d, J = 10.1 Hz), 1.38–1.43 (1H, m), 1.51–1.58 (2H, m), 1.68 (1H, d, J = 11.2 Hz), 2.75 (1H, t, J = 6.7 Hz), 3.05 (1H, d, J = 11.8 Hz), 3.12–3.22 (1H, m), 3.79 (1H, s), 4.11 (2H, s), 4.18 (1H, dd, J = 5.2, 14.9 Hz), 4.29 (1H, dd, J = 6.1, 14.9 Hz), 4.74 (1H, s), 7.22–7.54 (10H, m), 8.75 (1H, t, J = 5.6 Hz), 9.06 (1H, br s), 9.17 (1H, br s). 13C NMR (125 MHz, DMSO-d6): δ = 22.2, 24.3, 25.1, 34.3, 41.2, 41.8, 42.5, 44.3, 45.3, 50.1, 64.0, 126.8, 127.5, 128.2, 128.6, 128.9, 130.1, 131.7, 139.0, 172.3. Anal. Calcd for C24H32N2O2: C, 75.75; H, 8.48; N, 7.36. Found: C, 75.76; H, 8.50; N, 7.32.

4.5.5. (S)-2-((1S,2S,4R)-2-Hydroxy-4-methylcyclohexyl)-N-((R)-1-phenylethyl)-3-(((R)-1-phenylethyl)amino)propanamide (33)

Prepared from 14 with (R)-α-methylbenzylamine at 70 °C for 72 h in dry THF. Yield: 42%, white crystals, m.p.: 190–192 °C. [ α ] D 20 = +46.0 (c 0.21, MeOH). 1H NMR (500 MHz, CDCl3): δ = 0.64–0.72 (1H, m), 0.79 (3H, 6.5 Hz), 0.99 (1H, t, J = 12.5 Hz), 1.14 (1H, d, J = 9.8 Hz), 1.39–1.54 (3H, m), 1.62–1.64 (1H, m), 1.77–1.81 (1H, m), 1.78 (3H, d, J = 6.7 Hz), 2.96 (2H, d, J = 8.6 Hz), 3.27 (1H, d, J = 8.9 Hz), 3.97 (1H, s), 4.36 (1H, q, J = 7.3 Hz), 4.80 (1H, quin, J = 7.3 Hz), 7.17–7.52 (10H, m), 8.23 (1H, d, J = 7.7 Hz) . 13C NMR (125 MHz, CDCl3): δ = 20.2, 22.3, 25.1, 26.0, 34.3, 42.1, 42.6, 45.8, 46.1, 49.7, 59.8, 65.7, 126.6, 127.1, 127.6, 128.5, 129.6, 129.7, 135.7, 143.8, 171.6. Anal. Calcd for C26H36N2O2: C, 76.43; H, 8.88; N, 6.86. Found: C, 76.41; H, 8.85; N, 6.90.

4.5.6. (S)-2-((1S,2S,4R)-2-Hydroxy-4-methylcyclohexyl)-N-((S)-1-phenylethyl)-3-(((S)-1-phenylethyl)amino)propanamide (34)

Prepared by 15 with (S)-α-methylbenzylamine at 70 °C for 72 h in dry THF. Yield: 45%, colorless oil. [ α ] D 20 = −36.0 (c 0.23, MeOH). 1H NMR (500 MHz, CDCl3): δ = 0.84 (3H, d, J = 6.3 Hz), 0.83–0.89 (2H, m), 1.01 (1H, t, J = 12.5 Hz), 1.22–1.29 (3H, m), 1.37–1.43 (1H, m), 1.42 (3H, d, J = 6.6 Hz), 1.49 (3H, d, J = 6.9 Hz), 1.51–1.57 (2H, m), 1.66–1.80 (4H, m), 2.61 (1H, br s), 2.77 (2H, d, J = 5.0 Hz), 3.70 (1H, t, J = 6.9 Hz), 3.77 (1H, s), 5.08 (1H, d, J = 7.1 Hz), 7.23–7.41 (10H, m), 7.65 (1H, br s). 13C NMR (125 MHz, CDCl3): δ = 22.0, 22.1, 22.3, 25.2, 25.9, 29.8, 34.7, 42.0, 42.8, 46.5, 47.8, 49.2, 58.9, 66.3, 126.3, 126.5, 127.3, 128.5, 128.7, 128.8, 129.0, 143.7, 172.9. Anal. Calcd for C26H36N2O2: C, 76.43; H, 8.88; N, 6.86. Found: C, 76.45; H, 8.83; N, 6.87.

4.6. General Procedure for the Hydrolysis of β-Aminoamides

The solution of β-aminoamides 2123 or 3234 (0.5 mmol) in EtOH (2 mL) mixed with 10% aqueous HCl (10 mL) was stirred at room temperature. After completion of the reaction (as monitored by TLC, 24 h), the mixture was extracted with CH2Cl2 (3 × 10 mL), dried over Na2SO4, filtered, and evaporated to dryness. The crude product was purified by recrystallization with diethyl ether, resulting in compounds 5a7 or 1315, respectively. All spectroscopic data are listed above.

4.7. General Procedure for Preparation of Dipeptides

To the solution of α-methylene-γ-butyrolactone 2 or N-benzyl aminolactone 5a (1.2 mmol) in dry EtOH (2.0 mL) was added L- or β-alanine ethyl ester (3.6 mmol). The mixture was stirred at the appropriate temperature for 48 h. When the reaction was complete (monitored by TLC), the mixture was evaporated to dryness, then purified by column chromatography on silica gel (CHCl3/MeOH = 19:1), affording compounds 2729.

4.7.1. Ethyl 3-((R)-2-((1S,2R,4R)-2-hydroxy-4-methylcyclohexyl)-3-((3-ethoxy-3-oxopropyl)amino)propanemido)propanoate (27)

Prepared from 2 with β-alanine ethyl ester at 25 °C. Yield: 63%, colorless oil. [ α ] D 20 = −14.2 (c 0.33, MeOH). 1H NMR (500 MHz, CDCl3): δ = 0.81–1.09 (5H, m), 0.90 (3H, d, J = 6.2 Hz), 1.25–1.28 (11H, m), 1.33–1.40 (1H, m), 1.60 (2H, t, J = 14.6 Hz), 1.72 (1H, t, J = 10.2 Hz), 2.00 (1H, d, J = 13.2 Hz), 2.59 (2H, t, J = 6.3 Hz), 0.83 (1H, d, J = 17.6 Hz), 2.98–3.02 (1H, m), 3.18–3.37 (5H, m), 3.49–3.60 (3H, m), 4.14 (2H, q, J = 7.2 Hz), 4.19 (2H, q, J = 6.4 Hz). 13C NMR (125 MHz, CDCl3): δ = 14.1, 14.2, 22.0, 25.3, 29.7, 30.3, 31.8, 34.1, 34.2, 35.4, 42.1, 43.9, 44.0, 45.1, 47.8, 60.7, 61.6, 70.0, 170.8, 172.3, 173.2. Anal. Calcd for C20H36N2O6: C, 59.98; H, 9.06; N, 6.99. Found: C, 60.00; H, 9.05; N, 6.95.

4.7.2. Ethyl 3-((R)-3-(benzylamino)-2-((1S,2R,4R)-2-hydroxy-4-methylcyclohexyl)propanamido)propanoate (28)

Prepared from 5a with β-alanine ethyl ester at 70 °C. Yield: 45%, white crystals, m.p.: 169–173 °C. [ α ] D 20 = −24.0 (c 0.24, MeOH). 1H NMR (500 MHz, CDCl3): δ = 0.78–0.98 (3H, m), 0.85 (3H, d, J = 6.4 Hz), 1.24 (3H, t, J = 7.1 Hz), 1.23–1.29 (1H, m), 1.58 (2H, d, J = 10.6 Hz), 1.71 (2H, t, J = 11.5 Hz), 2.57 (2H, t, J = 5.7 Hz), 3.22–3.33 (3H, m), 3.42–3.47 (1H, m), 3.52–3.60 (2H, m), 4.08 (3H, q, J = 7.1 Hz), 4.31–4.34 (1H, m), 7.40 (3H, 6.0 Hz), 7.57 (2H, d, J = 5.3 Hz), 7.86 (1H, br s), 8.18 (1H, t, J = 5.5 Hz).10.08 (1H, br s). 13C NMR (125 MHz, CDCl3): δ = 14.3, 22.0, 25.4, 31.8, 34.0, 34.3, 35.6, 42.3, 43.9, 44.7, 47.8, 52.3, 60.9, 70.2, 129.3, 129.7, 130.1, 130.7, 172.8, 173.4. Anal. Calcd for C22H34N2O4: C, 67.66; H, 8.78; N, 7.17. Found: C, 67.70; H, 8.75; N, 7.20.

4.7.3. (S)-Ethyl 2-((R)-3-(benzylamino)-2-((1S,2R,4R)-2-hydroxy-4-methylcyclohexyl)propanamido)propanoate (29)

Prepared from 5a with L-alanine ethyl ester at 70 °C. Yield: 40%, white crystals, m.p.: 115–117 °C. [ α ] D 20 = −30.0 (c 0.25, MeOH). 1H NMR (500 MHz, CDCl3): δ = 0.81–0.89 (2H, m), 0.88 (3H, d, J = 6.5 Hz), 1.04 (1H, q, J = 11.8 Hz), 1.25 (3H, t, J = 7.1 Hz), 1.28–1.38 (1H, m), 1.47 (3H, d, J = 7.2 Hz), 1.58–1.66 (2H, m), 1.81–1.90 (2H, m), 1.95–2.17 (2H, m), 3.10–3.18 (1H, m), 3.27–3.34 (2H, m), 3.64 (1H, d, J = 10.2 Hz), 4.00–4.03 (1H, m), 4.14–4.18 (3H, m), 4.42 (1H, quin, J = 6.9 Hz), 7.39 (3H, d, J = 3.6 Hz), 7.51 (2H, d, J = 3.8 Hz), 7.99 (1H, d, J = 6.1 Hz), 10.1 (br s). 13C NMR (125 MHz, CDCl3): δ = 14.3, 17.3, 22.1, 25.2, 31.8, 34.1, 42.1, 43.8, 44.2, 48.0, 49.0, 52.3, 52.3, 61.3, 70.0, 129.4, 129.8, 130.1, 130.4, 173.0, 173.2. Anal. Calcd for C22H34N2O4: C, 67.66; H, 8.78; N, 7.17. Found: C, 67.65; H, 8.80; N, 7.15.

4.8. General Procedure for Debenzylation

To a suspension of 5% Pd/C or Pd(OH)2/C (100 mg) in MeOH (10 mL) was added β-aminoamides 2123 and 3234 or N-benzyldipepetides 2829 (0.38 mmol) in MeOH (10 mL). The mixture was stirred under H2 at room temperature and normal pressure. When the reaction was complete (indicated by TLC), the mixture was filtered through a Celite pad, the solution was evaporated to dryness and purified by recrystallization in diethyl ether providing 2426 and 3537 as well as 3031, respectively.

4.8.1. (R)-3-Amino-N-benzyl-2-((1S,2R,4R)-2-hydroxy-4-methylcyclohexyl)propanamide (24)

Prepared from 21 with 5% Pd/C for 96 h. Yield: 80%, white crystals, m.p.: 226–230 °C. [ α ] D 20 = −24.0 (c 0.29, MeOH). 1H NMR (500 MHz, DMSO-d6): δ = 0.67–0.74 (1H, m), 0.82–0.97 (2H, m), 0.85 (3H, d, J = 6.4 Hz), 1.34–1.37 (2H, m), 1.54 (1H, d, J = 12.0 Hz), 1.69 (1H, t, J = 12.3 Hz), 1.87 (1H, d, J = 11.9 Hz), 2.81 (1H, dd, J = 1.9, 10.1 Hz), 3.08 (1H, t, J = 11.9 Hz), 3.17 (1H, d, J = 10.3 Hz), 3.28 (1H, td, J = 3.9, 10.4 Hz), 4.18 (1H, dd, J = 5.4, 15.1 Hz), 4.43 (1H, dd, J = 6.4, 15.2 Hz), 7.21–7.32 (5H, m), 7.91 (3H, br s), 8.72 (1H, t, J = 5.8 Hz). 13C NMR (125 MHz, DMSO-d6): δ = 22.1, 25.0, 30.9, 34.1, 35.5, 42.2, 42.6, 44.7, 46.8, 68.7, 126.7, 127.1, 128.2, 139.6, 172.2. Anal. Calcd for C17H26N2O2: C, 70.31; H, 9.02; N, 9.65. Found: C, 70.35; H, 9.05; N, 9.60.

4.8.2. (R)-3-Amino-2-((1S,2R,4R)-2-hydroxy-4-methylcyclohexyl)-N-((R)-1-phenylethyl)propanamide (25)

Prepared from 22 with 5% Pd/C for 168 h. Yield: 62%, white crystals, m.p.: 145–150 °C. [ α ] D 20 = +28.7 (c 0.31, MeOH). 1H NMR (500 MHz, DMSO-d6): δ = 0.73–0.79 (1H, m), 0.87 (3H, d, J = 6.4 Hz), 0.90–1.00 (2H, m), 1.34 (3H, d, J = 6.9 Hz), 1.37–1.46 (2H, m), 1.59 (1H, d, J = 12.2 Hz), 1.81 (1H, t, J = 12.3 Hz), 1.88 (1H, d, J = 11.9 Hz), 2.81 (1H, dd, J = 2.6, 12.1 Hz), 3.05 (1H, d, J = 12.0 Hz), 3.14–3.17 (1H, m), 3.28 (1H, td, J = 3.7, 10.3 Hz), 5.01 (1H, quin, J = 7.4 Hz), 7.20–7.40 (5H, m), 8.65 (1H, d, J = 8.3 Hz). 13C NMR (125 MHz, DMSO-d6): δ = 22.1, 22.6, 25.1, 31.0, 34.3, 35.5, 42.5, 44.8, 46.5, 48.0, 68.9, 126.4, 126.6, 128.2, 144.3, 171.4. Anal. Calcd for C18H28N2O2: C, 71.02; H, 9.27; N, 9.20. Found: C, 71.05; H, 9.30; N, 9.15.

4.8.3. (R)-3-Amino-2-((1S,2R,4R)-2-hydroxy-4-methylcyclohexyl)-N-((S)-1-phenylethyl)propanamide (26)

Prepared from 23 (0.16 g, 0.39 mmol) with Pd(OH)2/C for 200 h. Yield: 65%, white crystals, m.p.: 150–160 °C. [ α ] D 20 = −37.4 (c 0.31, MeOH). 1H NMR (500 MHz, DMSO-d6): δ = 0.59–0.66 (1H, m), 0.74–0.82 (1H, m), 0.84 (3H, d, J = 6.4 Hz), 0.88–0.97 (1H, m), 1.06 (1H, d, J = 10.8 Hz), 1.22–1.26 (1H, m), 1.30–1.37 (1H, m), 1.36 (3H, d, J = 7.0 Hz), 1.42 (1H, d, J = 12.1 Hz), 1.77–1.87 (2H, m), 2.75 (1H, d, J = 11.8 Hz), 3.00 (1H, d, J = 12.0 Hz), 3.16–3.25 (2H, m), 4.93 (1H, quin, J = 7.3 Hz), 7.18–7.29 (5H, m), 8.77 (1H, d, J = 7.7 Hz). 13C NMR (125 MHz, DMSO-d6): δ = 22.1, 22.4, 24.8, 30.9, 42.1, 44.7, 46.7, 48.3, 68.7, 125.7, 126.5, 128.1, 145.5, 171.4. Anal. Calcd for C18H28N2O2: C, 71.02; H, 9.27; N, 9.20. Found: C, 71.00; H, 9.25; N, 9.23.

4.8.4. Ethyl 3-((R)-3-amino-2-((1S,2R,4R)-2-hydroxy-4-methylcyclohexyl)propanamido)propanoate (30)

Prepared from 28 with 5% Pd/C for 24 h. Yield: 50%, colorless oil. [ α ] D 20 = −15.5(c 0.31, MeOH). 1H NMR (500 MHz, DMSO-d6): δ = 0.66–0.73 (1H, m), 0.79–1.05 (2H, m), 0.83 (3H, d, J = 6.2 Hz), 1.17 (3H, t, J = 7.0 Hz), 1.22–1.28 (1H, m), 1.29–1.35 (1H, m) 1.41–1.53 (3H, m), 1.73–1.82 (1H, m), 2.36–2.43 (3H, m), 2.59–2.76 (3H, m), 3.16 (1H, s), 3.19–3.24 (3H, m), 4.04 (2H, q, J = 7.1 Hz). 13C NMR (125 MHz, DMSO-d6): δ = 14.1, 22.2, 26.0, 31.1, 34.0, 34.4, 34.7, 44.8, 46.4, 59.9, 69.3. Anal. Calcd for C15H28N2O2: C, 59.97; H, 9.40; N, 9.33. Found: C, 60.00; H, 9.45; N, 9.30.

4.8.5. (S)-Ethyl 2-((R)-3-amino-2-((1S,2R,4R)-2-hydroxy-4-methylcyclohexyl)propanamido)propanoate (31)

Prepared from 29 with 5% Pd/C for 24 h. Yield: 55%, colorless oil. [ α ] D 20 = −20.0 (c 0.30, MeOH). 1H NMR (500 MHz, DMSO-d6): δ = 0.70–0.77 (1H, m), 0.85 (3H, d, J = 6.4 Hz), 0.84–0.93 (2H, m), 1.15 (3H, t, J = 7.1 Hz), 1.28 (2H, d, J = 7.3 H), 1.36 (1H, br s), 1.47–1.56 (2H, m), 1.74 (1H, t, J = 11.6 Hz), 1.86 (1H, d, J = 12.7 Hz), 2.78 (1H, d, J = 11.1 Hz), 3.04 (1H, t, J = 11.8 Hz), 3.13 (1H, d, J = 10.3 Hz), 3.26 (1H, td, J = 3.6, 10.2 Hz), 4.04 (2H, q, J = 6.9 Hz), 4.26 (1H, quin, J = 7.0 Hz), 8.58 (1H, d, J = 1.3 Hz). 13C NMR (125 MHz, DMSO-d6): δ = 14.0, 16.5, 22.2, 24.8, 30.9, 34.2, 35.4, 42.3, 44.7, 46.5, 48.0, 60.4, 68.7, 172.3, 172.6. Anal. Calcd for C15H28N2O2: C, 59.97; H, 9.40; N, 9.33. Found: C, 59.97; H, 9.38; N, 9.35.

4.8.6. (S)-3-Amino-N-benzyl-2-((1S,2S,4R)-2-hydroxy-4-methylcyclohexyl)propanamide (35)

Prepared from 32 with 5% Pd/C for 96 h. Yield: 70%, white crystals, m.p.: 270–275 °C. [ α ] D 20 = +36.0 (c 0.26, MeOH). 1H NMR (500 MHz, DMSO-d6): 0.74–0.86 (1H, m), 0.79 (3H, d, J = 6.4 Hz), 1.01 (1H, t, J = 12.8 Hz), 1.18–1.26 (2H, m), 1.34–1.40 (1H, m), 1.47 (1H, t, J = 11.4 Hz), 1.55 (1H, d, J = 12.5 Hz), 1.69 (2H, d, J = 11.0 Hz), 2.23–2.27 (1H, m), 2.67–2.71 (1H, m), 2.77–2.80 (1H, m), 3.84 (1H, s), 4.22–4.31 (1H, m), 7.20–7.32 (5H, m), 8.39 (1H, t, J = 5.6 Hz). 13C NMR (125 MHz, DMSO-d6): δ = 22.5, 25.1, 25.5, 34.6, 40.8, 41.3, 41.9, 42.3, 50.6, 64.3, 126.6, 127.2, 128.2, 139.9, 174.7. Anal. Calcd for C17H26N2O2: C, 70.31; H, 9.02; N, 9.65. Found: C, 70.29; H, 9.03; N, 9.60.

4.8.7. (S)-3-Amino-2-((1S,2S,4R)-2-hydroxy-4-methylcyclohexyl)-N-((R)-1-phenylethyl)propanamide (36)

Prepared from 33 with 5% Pd/C for 240 h. Yield: 70%, white crystals, m.p.: 245–250 °C. [ α ] D 20 = +20.0 (c 0.24, MeOH). 1H NMR (500 MHz, DMSO-d6): δ = 0.65–0.72 (1H, m), 0.78 (3H, d, J = 6.3 Hz), 0.95–1.02 (1H, m), 1.36 (3H, d, J = 7.0 Hz), 1.35–1.39 (1H, m), 1.48–1.82 (2H, m), 1.65 (2H, d, J = 12.2 Hz), 2.58–2.64 (1H, m), 2.93 (1H, d, J = 12.1 Hz), 3.02–3.06 (1H, m), 3.74 (1H, s), 4.60 (1H, s), 4.93 (1H, quin, J = 7.3 Hz), 7.20–7.30 (5H, m), 7.87 (3H, br s), 8.68 (1H, d, J = 7.8 Hz). 13C NMR (125 MHz, DMSO-d6): δ = 22.3, 22.5, 24.4, 25.2, 34.3, 37.9, 42.0, 44.9, 48.3, 63.9, 126.0, 126.6, 128.1, 144.7, 171.7. Anal. Calcd for C18H28N2O2: C, 71.02; H, 9.27; N, 9.20. Found: C, 71.00; H, 9.25; N, 9.25.

4.8.8. (S)-3-Amino-2-((1S,2S,4R)-2-hydroxy-4-methylcyclohexyl)-N-((S)-1-phenylethyl)propanamide (37)

Prepared from 34 with Pd(OH)2/C for 300 h. Yield: 52%, white crystals, m.p.: 225–228 °C. [ α ] D 20 = −32.0 (c 0.24, MeOH). 1H NMR (500 MHz, DMSO-d6): δ = 0.78–0.85 (1H, m), 0.82 (3H, d, J =.6.3 Hz), 0.96–1.19 (1H, m), 1.02 (3H, d, J = 6.3 Hz), 1.10 (3H, d, J = 6.0 Hz), 1.35 (3H, d, J = 7.0 Hz), 1.44–1.55 (2H, m), 1.61–1.73 (3H, m), 2.64 (1H, br s), 2.92 (1H, d, J = 11.4 Hz), 3.03–3.15 (2H, m), 3.89 (1H, s), 4.96 (1H, quin, J =.7.0 Hz), 7.20–7.36 (5H, m), 8.68 (1H, d, J = 7.5 Hz). 13C NMR (125 MHz, DMSO-d6): δ = 22.3, 22.5, 24.4, 25.3, 34.4, 41.3, 42.1, 48.0, 49.0, 64.1, 126.2, 126.7, 128.2, 144.2, 171.9. Anal. Calcd for C18H28N2O2: C, 71.02; H, 9.27; N, 9.20. Found: C, 70.97; H, 9.30; N, 9.17.

4.9. Determination of Antiproliferative Properties

The human cancer cell lines isolated from cervical adenocarcinoma (HeLa) and breast cancers (MCF7 and MDA-MB-231) were purchased from European Collection of Cell Cultures (Salisbury, UK). The cells were maintained in Minimum Essential Medium (MEM) supplemented with fetal calf serum (10%), non-essential amino acids (1%), and penicillin-streptomycin (1%) at 37 °C in a humidified atmosphere containing 5% CO2. All media and supplements for these experiments were obtained from Lonza Group Ltd. (Basel, Switzerland). The antiproliferative properties of the prepared compounds were determined by the MTT [3-(4,5-dimethylthiazol-2-yl)-2,5-diphenyltetrazolium bromide] assay [33]. Briefly, cells were seeded into 96 well plates (5000 cells/well) and incubated with the tested compounds at 10 and 30 µM under cell-culturing conditions for 72 h. Then MTT solution (5 mg/mL) was added to each sample, which were incubated for a further 4 h. The formazan crystals precipitated were dissolved in 100 µL dimethyl sulfoxide, and the absorbance was measured at 545 nm with a microplate reader (Awareness Technology, Palm City, FL, USA). Two independent experiments were performed with five wells for each condition. Cisplatin (Ebewe GmbH, Unterach, Austria), a clinically used anticancer agent, was used as a reference agent. Calculations were performed by means of the GraphPad Prism 5.01 software (GraphPad Software Inc., San Diego, CA, USA).

Supplementary Materials

Supplementary materials can be found at https://www.mdpi.com/1422-0067/19/11/3522/s1.

Author Contributions

Z.S. and I.Z. conceived and designed the experiments; T.M.L. and P.B. performed the experiments, analyzed the data and wrote the experimental part; Z.S., F.F. and I.Z. discussed the results and contributed to manuscript writing.

Funding

We are grateful for financial supports from the Hungarian Research Foundation (NKFI K112442, K115731 and K109293) and GINOP-2.3.2-15-2016-00012.

Conflicts of Interest

The authors declare no conflict of interest.

Abbreviations

DCMDichloromethane
DMFDimethylformamide
THFTetrahydrofuran
EtOHEthanol

References

  1. Picman, A.K. Biological activities of sesquiterpene lactones. Biochem. Syst. Ecol. 1986, 14, 255–281. [Google Scholar] [CrossRef]
  2. Beekman, A.C.; Woerdenbag, H.J.; van Uden, W.; Pras, N.; Konings, A.W.T.; Wikström, H.V.; Schmidt, T.J. Structure−Cytotoxicity Relationships of Some Helenanolide-Type Sesquiterpene Lactones. J. Nat. Prod. 1997, 60, 252–257. [Google Scholar] [CrossRef] [PubMed]
  3. Lawrence, N.J.; McGown, A.T.; Nduka, J.; Hadfield, J.A.; Pritchard, R.G. Cytotoxic michael-type amine adducts of α-methylene lactones alantolactone and isoalantolactone. Bioorg. Med. Chem. Lett. 2001, 11, 429–431. [Google Scholar] [CrossRef]
  4. Hejchman, E.; Haugwitz, R.D.; Cushman, M. Synthesis and Cytotoxicity of Water-Soluble Ambrosin Prodrug Candidates. J. Med. Chem. 1995, 38, 3407–3410. [Google Scholar] [CrossRef] [PubMed]
  5. Koneva, E.A.; Volcho, K.P.; Korchagina, D.V.; Komarova, N.I.; Kochnev, A.I.; Salakhutdinov, N.F.; Tolstikov, A.G. New chiral Schiff bases derived from (+)- and (−)-α-pinenes in the metal complex catalyzed asymmetric oxidation of sulfides. Russ. Chem. Bull. 2008, 57, 108–117. [Google Scholar] [CrossRef]
  6. Koneva, E.A.; Volcho, K.P.; Korchagina, D.V.; Salakhutdinov, N.F.; Tolstikov, A.G. Synthesis of new chiral schiff bases from (+)-3-carene and their use in asymmetric oxidation of sulfides catalyzed by metal complexes. Russ. J. Org. Chem. 2009, 45, 815–824. [Google Scholar] [CrossRef]
  7. Koneva, E.A. Catalytic Asymmetric Addition of Diethylzinc to Benzaldehyde Using α-Pinene-Derived Ligands. Open Catal. J. 2011, 4, 107–112. [Google Scholar] [CrossRef]
  8. Koneva, E.A.; Khomenko, T.M.; Kurbakova, S.Y.; Komarova, N.I.; Korchagina, D.V.; Volcho, K.P.; Salakhutdinov, N.F.; Tolstikov, A.G.; Tolstikov, G.A. Synthesis of optically active omeprazole by catalysis with vanadyl complexes with chiral Schiff bases. Russ. Chem. Bull. 2008, 57, 1680–1685. [Google Scholar] [CrossRef]
  9. Koneva, E.A.; Korchagina, D.V.; Gatilov, Y.V.; Genaev, A.M.; Krysin, A.P.; Volcho, K.P.; Tolstikov, A.G.; Salakhutdinov, N.F. New chiral ligands based on (+)-α-pinene. Russ. J. Org. Chem. 2010, 46, 1109–1115. [Google Scholar] [CrossRef]
  10. Lázár, L.; Fülöp, F. 1,3-Oxazines and their Benzo Derivatives. In Comprehensive Heterocyclic Chemistry III; Elsevier: Oxford, UK, 2008; pp. 373–459. ISBN 978-0-08-044992-0. [Google Scholar]
  11. Fülöp, F.; Bernáth, G.; Pihlaja, K. Synthesis, Stereochemistry and Transformations of Cyclopentane-, Cyclohexane-, Cycloheptane-, and Cyclooctane-Fused 1,3-Oxazines, 1,3-Thiazines, and Pyrimidines. In Advances in Heterocyclic Chemistry; Elsevier: Amsterdam, The Netherlands, 1997; Volume 69, pp. 349–477. ISBN 978-0-12-020769-5. [Google Scholar]
  12. Xu, X.; Qian, X.; Li, Z.; Song, G.; Chen, W. Synthesis and fungicidal activity of fluorine-containing phenylimino-thiazolidines derivatives. J. Fluor. Chem. 2004, 125, 1159–1162. [Google Scholar] [CrossRef]
  13. Woltering, T.J.; Wostl, W.; Hilpert, H.; Rogers-Evans, M.; Pinard, E.; Mayweg, A.; Göbel, M.; Banner, D.W.; Benz, J.; Travagli, M.; et al. BACE1 inhibitors: A head group scan on a series of amides. Bioorg. Med. Chem. Lett. 2013, 23, 4239–4243. [Google Scholar] [CrossRef] [PubMed]
  14. Kai, H.; Morioka, Y.; Murashi, T.; Morita, K.; Shinonome, S.; Nakazato, H.; Kawamoto, K.; Hanasaki, K.; Takahashi, F.; Mihara, S.; et al. 2-Arylimino-5,6-dihydro-4H-1,3-thiazines as a new class of cannabinoid receptor agonists. Part 1: Discovery of CB2 receptor selective compounds. Bioorg. Med. Chem. Lett. 2007, 17, 4030–4034. [Google Scholar] [CrossRef] [PubMed]
  15. Kai, H.; Morioka, Y.; Tomida, M.; Takahashi, T.; Hattori, M.; Hanasaki, K.; Koike, K.; Chiba, H.; Shinohara, S.; Kanemasa, T.; et al. 2-Arylimino-5,6-dihydro-4H-1,3-thiazines as a new class of cannabinoid receptor agonists. Part 2: Orally bioavailable compounds. Bioorg. Med. Chem. Lett. 2007, 17, 3925–3929. [Google Scholar] [CrossRef] [PubMed]
  16. Kai, H.; Morioka, Y.; Koriyama, Y.; Okamoto, K.; Hasegawa, Y.; Hattori, M.; Koike, K.; Chiba, H.; Shinohara, S.; Iwamoto, Y.; et al. 2-Arylimino-5,6-dihydro-4H-1,3-thiazines as a new class of cannabinoid receptor agonists. Part 3: Synthesis and activity of isosteric analogs. Bioorg. Med. Chem. Lett. 2008, 18, 6444–6447. [Google Scholar] [CrossRef] [PubMed]
  17. Pearson, W.H.; Hines, J.V. Synthesis of.beta.-amino-.alpha.-hydroxy acids via aldol condensation of a chiral glycolate enolate. A synthesis of (-)-bestatin. J. Org. Chem. 1989, 54, 4235–4237. [Google Scholar] [CrossRef]
  18. Sendzik, M.; Janc, J.W.; Cabuslay, R.; Honigberg, L.; Mackman, R.L.; Magill, C.; Squires, N.; Waldeck, N. Design and synthesis of β-amino-α-hydroxy amide derivatives as inhibitors of MetAP2 and HUVEC growth. Bioorg. Med. Chem. Lett. 2004, 14, 3181–3184. [Google Scholar] [CrossRef] [PubMed]
  19. Kowalchick, J.E.; Leiting, B.; Pryor, K.D.; Marsilio, F.; Wu, J.K.; He, H.; Lyons, K.A.; Eiermann, G.J.; Petrov, A.; Scapin, G.; et al. Design, synthesis, and biological evaluation of triazolopiperazine-based β-amino amides as potent, orally active dipeptidyl peptidase IV (DPP-4) inhibitors. Bioorg. Med. Chem. Lett. 2007, 17, 5934–5939. [Google Scholar] [CrossRef] [PubMed]
  20. Lagu, B.R.; Liotta, D.C. Diastereoselective synthesis of the key lactone intermediate for the preparation of hydroxyethylene dipeptide isosteres. Tetrahedron Lett. 1994, 35, 547–550. [Google Scholar] [CrossRef]
  21. Grayson, I.; Kessler, C. Modern applications of amino acids and dipeptides in pharmaceuticals and biopharmaceuticals. Chim. OggiChem. Today 2015, 33, 46–51. [Google Scholar]
  22. Yagasaki, M.; Hashimoto, S. Synthesis and application of dipeptides; current status and perspectives. Appl. Microbiol. Biotechnol. 2008, 81, 13–22. [Google Scholar] [CrossRef] [PubMed]
  23. Brocksom, T.J.; Tercio, J.; Ferreira, B. A Biomimetic Synthesis of α-Methylene-γ-Butyrolactones. Synth. Commun. 1981, 11, 105–119. [Google Scholar] [CrossRef]
  24. Brocksom, T.J.; dos Santos, R.B.; Varanda, N.A.; Brocksom, U. An Efficient Synthesis of Monoterpene α-Methylene-γ-Butyrolactones. Synth. Commun. 1988, 18, 1403–1410. [Google Scholar] [CrossRef]
  25. Serra, S.; Fuganti, C. Enzyme-Mediated Preparation of Enantiomerically Pure p-Menthan- 3,9-diols and Their Use for the Synthesis of Natural p-Menthane Lactones and Ethers. Helv. Chim. Acta 2002, 85, 2489–2502. [Google Scholar] [CrossRef]
  26. Schlosser, M.; Kotthaus, M. Isopulegol as a Model Compound: Metalation and Substitution of an Allylic Position in the Presence of an Unprotected Hydroxy Function. Eur. J. Org. Chem. 1999, 1999, 459–462. [Google Scholar] [CrossRef]
  27. Friedrich, D.; Bohlmann, F. Total synthesis of various elemanolides. Tetrahedron 1988, 44, 1369–1392. [Google Scholar] [CrossRef]
  28. Gaudin, J.-M. Use of Furanones as Scenting Ingredients. European Patent EP0621892, 9 June 1994. [Google Scholar]
  29. Carda, M.; Marco, J.A. Total synthesis of the monoterpenes (−)-mintlactone and (+)-isomintlactone. Tetrahedron 1992, 48, 9789–9800. [Google Scholar] [CrossRef]
  30. Kupchan, S.M.; Fessler, D.C.; Eakin, M.A.; Giacobbe, T.J. Reactions of Alpha Methylene Lactone Tumor Inhibitors with Model Biological Nucleophiles. Science 1970, 168, 376–378. [Google Scholar] [CrossRef] [PubMed]
  31. Sastry, B.S.; Suresh Babu, K.; Hari Babu, T.; Chandrasekhar, S.; Srinivas, P.V.; Saxena, A.K.; Madhusudana Rao, J. Synthesis and biological activity of amide derivatives of nimbolide. Bioorg. Med. Chem. Lett. 2006, 16, 4391–4394. [Google Scholar] [CrossRef] [PubMed]
  32. Gach, K.; Długosz, A.; Janecka, A. The role of oxidative stress in anticancer activity of sesquiterpene lactones. N-S Arch. Pharmacol. 2015, 388, 477–486. [Google Scholar] [CrossRef] [PubMed]
  33. Mosmann, T. Rapid colorimetric assay for cellular growth and survival: Application to proliferation and cytotoxicity assays. J. Immunol. Methods 1983, 65, 55–63. [Google Scholar] [CrossRef]
Figure 1. Synthesis of (-)-isopulegol-based α-methylene-γ-butyrolactones 2 and 4.
Figure 1. Synthesis of (-)-isopulegol-based α-methylene-γ-butyrolactones 2 and 4.
Ijms 19 03522 g001
Scheme 1. (i) Benzylamine (1 equiv.), dry EtOH, 25 °C, 20 h.
Scheme 1. (i) Benzylamine (1 equiv.), dry EtOH, 25 °C, 20 h.
Ijms 19 03522 sch001
Scheme 2. (i) R1R2NH (1 equiv.), dry EtOH, 25 °C, 20 h, for 610; (ii) aminoester. HCl (2 equiv.), Et3N (2 equiv.), dry EtOH, 25 °C, 20 h, for 11 and 12.
Scheme 2. (i) R1R2NH (1 equiv.), dry EtOH, 25 °C, 20 h, for 610; (ii) aminoester. HCl (2 equiv.), Et3N (2 equiv.), dry EtOH, 25 °C, 20 h, for 11 and 12.
Ijms 19 03522 sch002
Scheme 3. (i) R1R2NH (1 equiv.), dry EtOH, 25 °C, 20 h for 1318; (ii) aminoester. HCl (2 equiv.), Et3N (2 equiv.), dry EtOH, 70 °C, 20 h, for 19 and 20.
Scheme 3. (i) R1R2NH (1 equiv.), dry EtOH, 25 °C, 20 h for 1318; (ii) aminoester. HCl (2 equiv.), Et3N (2 equiv.), dry EtOH, 70 °C, 20 h, for 19 and 20.
Ijms 19 03522 sch003
Figure 2. Determination of the relative configuration of β-aminolactones by NOESY.
Figure 2. Determination of the relative configuration of β-aminolactones by NOESY.
Ijms 19 03522 g002
Scheme 4. (i) RNH2 (4 equiv.), dry EtOH; (ii) 10% aqueous HCl solution, 25 °C, 24 h, 5a: 70%, 6, 7: 65%; (iii) catalyst, H2 (1 atm.), MeOH, 25 °C, 62–80%.
Scheme 4. (i) RNH2 (4 equiv.), dry EtOH; (ii) 10% aqueous HCl solution, 25 °C, 24 h, 5a: 70%, 6, 7: 65%; (iii) catalyst, H2 (1 atm.), MeOH, 25 °C, 62–80%.
Ijms 19 03522 sch004
Scheme 5. (i) NH2C2H5COOC2H5 (3 equiv.), dry EtOH, 25 °C, 48 h, 63%; (ii) Benzylamine (1 equiv.), dry EtOH, 25 °C, 20 h, 65%; then amino esters (3 equiv.), dry EtOH, 70 °C, 48 h, 40–45%; (iii) 5% Pd/C, dry EtOH, 25 °C, 24 h, 50–55%.
Scheme 5. (i) NH2C2H5COOC2H5 (3 equiv.), dry EtOH, 25 °C, 48 h, 63%; (ii) Benzylamine (1 equiv.), dry EtOH, 25 °C, 20 h, 65%; then amino esters (3 equiv.), dry EtOH, 70 °C, 48 h, 40–45%; (iii) 5% Pd/C, dry EtOH, 25 °C, 24 h, 50–55%.
Ijms 19 03522 sch005
Scheme 6. (i) RNH2 (4 equiv.), dry THF; 70 °C; (ii) 10% aqueous HCl solution, 25 °C, 24 h, 13: 60%, 14, 15: 70%; (iii) catalyst, H2 (1 atm), MeOH, 25 °C, 52–70%.
Scheme 6. (i) RNH2 (4 equiv.), dry THF; 70 °C; (ii) 10% aqueous HCl solution, 25 °C, 24 h, 13: 60%, 14, 15: 70%; (iii) catalyst, H2 (1 atm), MeOH, 25 °C, 52–70%.
Ijms 19 03522 sch006
Table 1. Nucleophilic addition reaction of 2 with benzylamine.
Table 1. Nucleophilic addition reaction of 2 with benzylamine.
EntrySolventTemperature (°C)Reaction Time (h)Products Ratios (%)Yield of 5a (%)
5a5b
1DCM020445610
2-020505030
3DMF020673344
4MeOH02092830
5i-PrOH02094655
6EtOH02094660
7EtOH252094665
8EtOH4015802055
9EtOH5010802055
10EtOH607802050
11EtOH705802045
Table 2. Nucleophilic addition reaction of amines with 2.
Table 2. Nucleophilic addition reaction of amines with 2.
EntryCompoundR1R2Yield (%)
16H(R)-α-Methylbenzyl75
27H(S)-α-Methylbenzyl71
38C2H5C2H550
49-(CH2)5-47
510BenzylBenzyl59
611Hβ-Alanine ethyl ester60
712HL-Alanine ethyl ester40
Table 3. Nucleophilic addition of amines with 4.
Table 3. Nucleophilic addition of amines with 4.
EntryCompoundR1R2Temperature (°C)Yield (%)
113HBenzyl2560
214H(R)-α-Methylbenzyl2565
315H(S)-α-Methylbenzyl2570
416C2H5C2H52550
517-(CH2)5-2553
618BenzylBenzyl2550
719Hβ-Alanine ethyl ester7060
820HL-Alanine ethyl ester7044
Table 4. Preparation of β-aminoamides from 2 and 1315.
Table 4. Preparation of β-aminoamides from 2 and 1315.
EntryCompoundRTemperature (°C)Reaction Time (h)Yield (%)
121Benzyl252090
222(R)-α-Methylbenzyl704858
323(S)-α-Methylbenzyl704854
432Benzyl702470
533(R)-α-Methylbenzyl707242
634(S)-α-Methylbenzyl707245
Table 5. Debenzylation of aminoamides 2123 and 3234.
Table 5. Debenzylation of aminoamides 2123 and 3234.
EntryCompoundRCatalystReaction Time (h)Yield (%)
124Benzyl5% Pd/C9680
225(R)-α-Methylbenzyl5% Pd/C16862
326(S)-α-MethylbenzylPd(OH)2/C20065
435Benzyl5% Pd/C9670
536(R)-α-Methylbenzyl5% Pd/C24070
637(S)-α-MethylbenzylPd(OH)2/C30052
Table 6. Antiproliferative activities of the tested monoterpene analogs.
Table 6. Antiproliferative activities of the tested monoterpene analogs.
AnalogConc. (µM)Growth Inhibition (%) ± SEM *
HeLaMCF7MDA-MB-231
210
3018.33 ± 2.90
410
3021.10 ± 2.44
51016.90 ± 2.6018.76 ± 2.50
3028.74 ± 2.3031.25 ± 3.01
710
3017.29 ± 2.90
2110
3031.79 ± 1.9524.36 ± 2.4222.75 ± 1.84
2210
3027.09 ± 1.66
231041.25 ± 2.6033.96 ± 1.8424.71 ± 1.86
3094.83 ± 0.7387.93 ± 1.4770.56 ± 3.51
291017.00 ± 2.51
3036.45 ± 1.0023.43 ± 2.03
321024.36 ± 2.7017.06 ± 1.46
3032.43 ± 0.5240.40 ± 2.88
341022.70 ± 1.8219.51 ± 2.35
3036.04 ± 0.5145.41 ± 2.9234.61 ± 2.22
cisplatin1042.61 ± 2.3353.03 ± 2.2967.51 ± 1.01
3099.93 ± 0.2686.90 ± 1.2487.75 ± 1.10
* Growth inhibition values less than 15% are considered negligible and are not given numerically. Compounds 6, 8, 9, 13, 26, 27, and 28 were also examined but did not elicit 15% growth inhibition even at 30 μM.

Share and Cite

MDPI and ACS Style

Le, T.M.; Bérdi, P.; Zupkó, I.; Fülöp, F.; Szakonyi, Z. Synthesis and Transformation of (-)-Isopulegol-Based Chiral β-Aminolactones and β-Aminoamides. Int. J. Mol. Sci. 2018, 19, 3522. https://doi.org/10.3390/ijms19113522

AMA Style

Le TM, Bérdi P, Zupkó I, Fülöp F, Szakonyi Z. Synthesis and Transformation of (-)-Isopulegol-Based Chiral β-Aminolactones and β-Aminoamides. International Journal of Molecular Sciences. 2018; 19(11):3522. https://doi.org/10.3390/ijms19113522

Chicago/Turabian Style

Le, Tam Minh, Péter Bérdi, István Zupkó, Ferenc Fülöp, and Zsolt Szakonyi. 2018. "Synthesis and Transformation of (-)-Isopulegol-Based Chiral β-Aminolactones and β-Aminoamides" International Journal of Molecular Sciences 19, no. 11: 3522. https://doi.org/10.3390/ijms19113522

APA Style

Le, T. M., Bérdi, P., Zupkó, I., Fülöp, F., & Szakonyi, Z. (2018). Synthesis and Transformation of (-)-Isopulegol-Based Chiral β-Aminolactones and β-Aminoamides. International Journal of Molecular Sciences, 19(11), 3522. https://doi.org/10.3390/ijms19113522

Note that from the first issue of 2016, this journal uses article numbers instead of page numbers. See further details here.

Article Metrics

Back to TopTop