Antimelanogenic Effects of Polygonum tinctorium Flower Extract from Traditional Jeju Fermentation via Upregulation of Extracellular Signal-Regulated Kinase and Protein Kinase B Activation
Abstract
1. Introduction
2. Results
2.1. Effects of PTFFE on the Viability of B16F10 Cells
2.2. Effects of PTFFE on Melanin Production
2.3. Effects of PTFFE on Intracellular Tyrosinase Activity
2.4. Effects of PTFFE on the Expression of Melanogenic Enzymes and MITF in B16F10 Cells
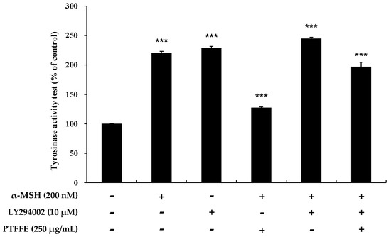
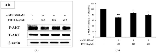
2.5. Effects of PTFFE on the AKT Signaling Pathway
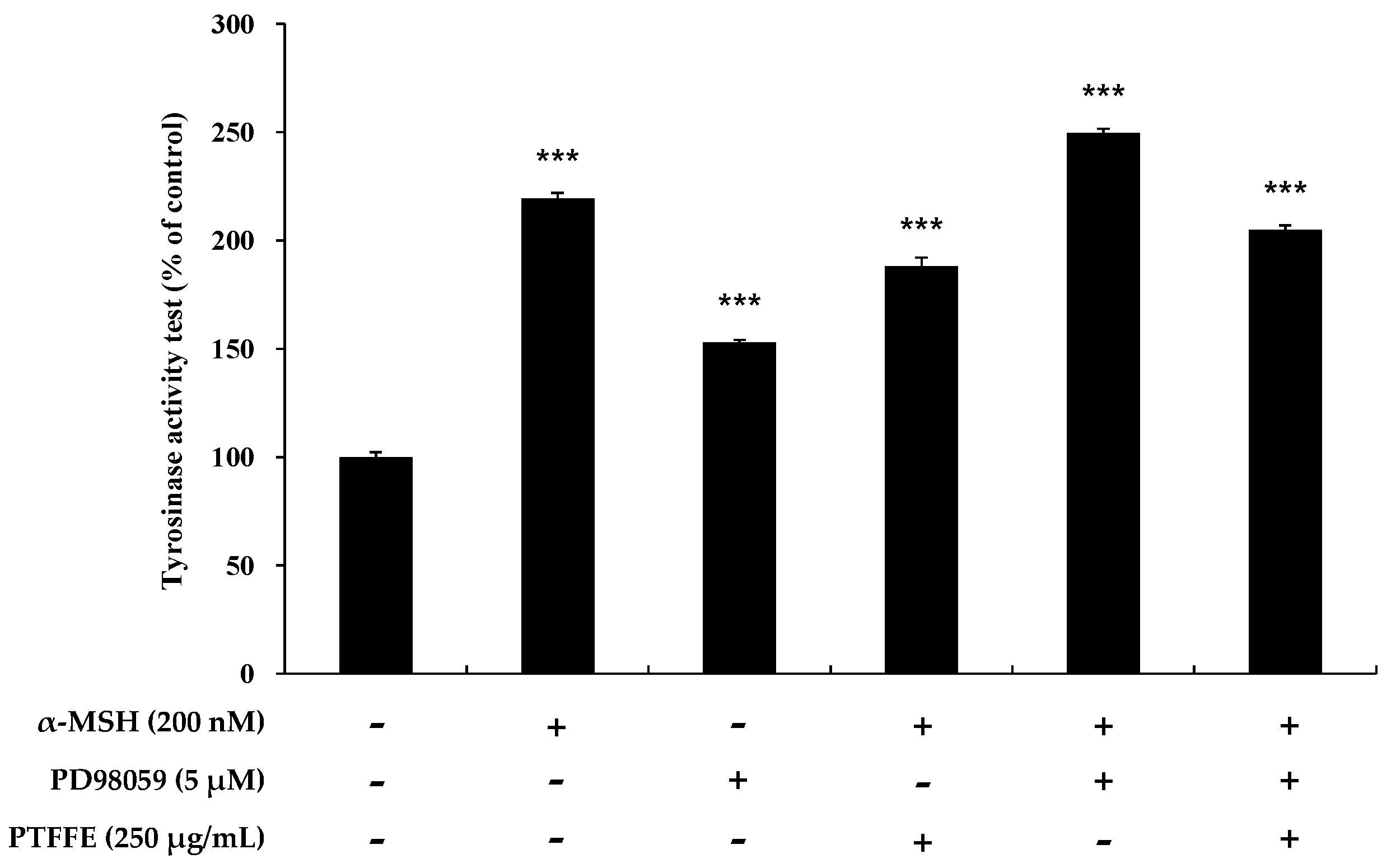
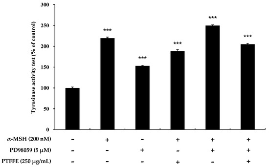
2.6. Effects of PTFFE on MAPK Phosphorylation in B16F10 Cells
2.7. Human Skin Primary Irritation Test of PTFFE
2.8. Isoquercitrin and Quercetin Contents in PTFE and PTFFE
3. Discussion
4. Materials and Methods
4.1. Chemicals and Reagents
4.2. P. tinctorium Flower Extract
4.3. P. tinctorium Fermented Flower Extract
4.4. High-performance liguid chromatography (HPLC) Analysis of P. tinctorium Flower Extract and Fermented Extract
4.5. Cell Culture
4.6. Measurement of Cell Viability
4.7. Lactate Dehydrogenase (LDH) Release Assay
4.8. Measurement of Intracellular Melanin Content
4.9. Measurement of Intracellular Tyrosinase Activity
4.10. Western Blot Analysis
4.11. Human Skin Primary Irritation Test
4.12. Data Analysis
Author Contributions
Acknowledgments
Conflicts of Interest
References
- Miyamura, Y.I.; Coelho, S.G.; Wolber, R.; Miller, S.A.; Wakamatsu, K.; Zmudzka, B.Z.; Ito, S.; Smuda, C.; Passeron, T.; Choi, W.; et al. Regulation of human skin pigmentation and responses to ultraviolet radiation. Pigment Cell Res. 2007, 20, 2–13. [Google Scholar] [CrossRef] [PubMed]
- Briganti, S.; Camera, E.; Picardo, M. Chemical and instrumental approaches to treat hyperpigmentation. Pigment Cell Res. 2003, 16, 101–110. [Google Scholar] [CrossRef] [PubMed]
- Sugumaran, M. Reactivities of quinone methides versus o-quinones in catecholamine metabolism and eumelanin biosynthesis. Int. J. Mol. Sci. 2016, 17, 1576. [Google Scholar] [CrossRef] [PubMed]
- Hearing, V.J.; Jimenez, M. Mammalian tyrosinase—The critical regulatory control point in melanocyte pigmentation. Int. J. Biochem. 1987, 19, 1141–1147. [Google Scholar] [CrossRef]
- Jiménez-Cervantes, C.; Solano, F.; Kobayashi, T.; Urabe, K.; Hearing, V.J.; Lozano, J.A.; Garcia-Borrón, J.C. A new enzymatic function in the melanogenic pathway. The 5,6-dihydroxyindole-2-carboxylic acid oxidase activity of tyrosinase-related protein-1 (TRP1). J. Biol. Chem. 1994, 269, 17993–18000. [Google Scholar] [PubMed]
- Tsukamoto, K.; Jackson, I.J.; Urabe, K.; Montague, P.M.; Hearing, V.J. A second tyrosinase-related protein, TRP-2, is a melanogenic enzyme termed DOPAchrome tautomerase. EMBO J. 1992, 11, 519–526. [Google Scholar] [CrossRef] [PubMed]
- Ahn, J.H.; Jin, S.H.; Kang, H.Y. LPS induces melanogenesis through p38 MAPK activation in human melanocytes. Arch. Dermatol. Res. 2008, 300, 325–329. [Google Scholar] [CrossRef] [PubMed]
- Widlude, H.R.; Fisher, D.E. Microphthalmia-associated transcription factor: A critical regulator of pigment cell development and survival. Oncogene 2003, 22, 3035–3041. [Google Scholar] [CrossRef]
- Saha, B.; Singh, S.K.; Sarkar, C.; Bera, R.; Ratha, J.; Tobin, D.J.; Bhadra, R. Activation of the Mitf promoter by lipid-stimulated activation of p38-stress signalling to CREB. Pigment Cell Res. 2006, 19, 595–605. [Google Scholar] [CrossRef] [PubMed]
- Kang, S.J.; Choi, B.R.; Lee, E.K.; Kim, S.H.; Yi, H.Y.; Park, H.R.; Song, C.H.; Lee, Y.J.; Ku, S.K. Inhibitory Effect of Dried Pomegranate Concentration Powder on Melanogenesis in B16F10 Melanoma Cells; Involvement of p38 and PKA Signaling Pathways. Int. J. Mol. Sci. 2015, 16, 24219–24242. [Google Scholar] [CrossRef] [PubMed]
- Han, J.S.; Sung, J.H.; Lee, S.K. Antimelanogenesis Activity of Hydrolyzed Ginseng Extract (GINST) via Inhibition of JNK Mitogen-activated Protein Kinase in B16F10 Cells. J. Food Sci. 2016, 81, H2085–H2092. [Google Scholar] [CrossRef] [PubMed]
- Wu, L.C.; Lin, Y.Y.; Yang, S.Y.; Weng, Y.T.; Tsai, Y.T. Antimelanogenic effect of c-phycocyanin through modulation of tyrosinase expression by upregulation of ERK and downregulation of p38 MAPK signaling pathways. J. Biomed. Sci. 2011, 18, 74. [Google Scholar] [CrossRef] [PubMed]
- Im, D.S.; Lee, J.M.; Lee, J.; Shin, H.J.; No, K.T.; Park, S.H.; Kim, K. Inhibition of collagenase and melanogenesis by ethanol extracts of Orostachys japonicus A. Berger: Possible involvement of Erk and Akt signaling pathways in melanoma cells. Acta Biochim. Biophys. Sin. 2017, 49, 945–953. [Google Scholar] [CrossRef] [PubMed]
- García-Gavín, J.; González-Vilas, D.; Fernández-Redondo, V.; Toribio, J. Pigmented contact dermatitis due to kojic acid. A paradoxical side effect of a skin lightener. Contact Dermat. 2010, 62, 63–64. [Google Scholar] [CrossRef] [PubMed]
- Cheng, S.L.; Liu, R.H.; Sheu, J.N.; Chen, S.T.; Sinchaikul, S.; Tsay, G.J. Toxicogenomics of A375 human malignant melanoma cells treated with arbutin. J. Biomed. Sci. 2007, 14, 87–105. [Google Scholar] [CrossRef] [PubMed]
- Curto, E.V.; Kwong, C.; Hermersdorfer, H.; Glatt, H.; Santis, C.; Virador, V.; Hearing, V.J.; Dooley, T.P. Inhibitors of mammalian melanocytes tyrosinase: In vitro comparisons of alkyl esters of gentisic acid and other putative inhibitors. Biochem. Pharmacol. 1999, 57, 663–672. [Google Scholar] [CrossRef]
- Nakagawa, M.; Kawai, K. Contact allergy to kojic acid in skin care products. Contact Dermat. 1995, 32, 9–13. [Google Scholar] [CrossRef]
- Park, C.-D.; Jung, H.-K.; Park, H.-H.; Hong, J.-H. Identification and fermentation characteristics of lactic acid bacteria isolated from Hahyangju nuruk. Korean J. Food Preserv. 2007, 14, 188–193. [Google Scholar]
- Yu, T.S.; Kim, H.S.; Hong, J.; Ha, H.P.; Kim, T.Y.; Yoon, I.W. Bibliographical study on microorganisms of nuruk (until 1945). J. Korean Soc. Food Nutr. 1996, 25, 170–179. [Google Scholar]
- Kim, J.; Ko, S. Screening of brewing yeasts and saccharifying molds for foxtail millet-wine making. J. Korean Soc. Appl. Biol. Chem. 2004, 47, 78–84. [Google Scholar]
- Ponnusamy, K.; Lee, S.; Lee, C.H. Time-dependent correlation of the microbial community and the metabolomics of traditional barley nuruk starter fermentation. Biosci. Biotechnol. Biochem. 2013, 77, 683–690. [Google Scholar] [CrossRef] [PubMed]
- Kwak, Y.J.; Kim, K.S.; Kim, K.M.; Yu, H.Y.; Chung, E.; Kim, S.J.; Cha, J.Y.; Lee, Y.C.; Lee, J.H. Fermented Viola mandshurica inhibits melanogenesis in B16 melanoma cells. Biosci. Biotechnol. Biochem. 2011, 75, 841–847. [Google Scholar] [CrossRef] [PubMed]
- Kimura, H.; Tokuyama, S.; Ishihara, T.; Ogawa, S.; Yokota, K. Identification of newflavonol O-glycosides from indigo (Polygonum tinctorium Lour) leaves and theirinhibitory activity against 3-hydroxy-3-methylglutaryl-CoA reductase. J. Pharm. Biomed. Anal. 2015, 108, 102–112. [Google Scholar] [CrossRef] [PubMed]
- Jeong, H.J.; Oh, H.A.; Lee, B.J.; Kim, H.M. Inhibition of IL-32 and TSLP productionthrough the attenuation of caspase-1 activation in an animal model of allergicrhinitis by Naju Jjok (Polygonum tinctorium). Int. J. Mol. Med. 2014, 33, 142–150. [Google Scholar] [CrossRef] [PubMed]
- Kang, J.-S.; Kim, S.; Kang, C.I.; Kim, M.-J.; Yang, E.-J.; Lee, N.H.; Hyun, H.-G. Antioxidant, Anti-wrinkle, Whitening, and UV-protective Effects of Polygonum tinctorium Flower. Int. J. ChemTech Res. 2017, 10, 674–682. [Google Scholar]
- Mitrus, I.; Bryndza, E.; Kazura, M.; Smagur, A.; Sochanik, A.; Cichon, T.; Szala, S. Properties of B16-F10 murine melanoma cells subjected to metabolic stress conditions. Acta Biochim. Pol. 2012, 59, 363–366. [Google Scholar] [PubMed]
- Cunha, E.S.; Kawahara, R.; Kadowaki, M.K.; Amstalden, H.G.; Noleto, G.R.; Cadena, S.M.; Winnischofer, S.M.; Martinez, G.R. Melanogenesis stimulation in B16-F10 melanoma cells induces cell cycle alterations, increased ROS levels and a differential expression of proteins as revealed by proteomic analysis. Exp. Cell Res. 2012, 318, 1913–1925. [Google Scholar] [CrossRef] [PubMed]
- Carvalho, A.A.; da Costa, P.M.; Da Silva Souza, L.G.; Lemos, T.L.; Alves, A.P.; Pessoa, C.; de Moraes, M.O. Inhibition of metastatic potential of B16-F10 melanoma cell line in vivo and in vitro by biflorin. Life Sci. 2013, 93, 201–207. [Google Scholar] [CrossRef] [PubMed]
- Salimi, M.; Sarkhail, P.; Tahmasvand, R.; Baeeri, M. Determination of anti-melanogenic activity of Phlomis kurdica in human melanoma SKMEL-3 cells. Iran. J. Pharm. Sci. 2016, 12, 1–10. [Google Scholar]
- Oh, T.I.; Yun, J.M.; Park, E.J.; Kim, Y.S.; Lee, Y.M.; Lim, J.H. Plumbagin suppresses α-MSH-induced melanogenesis in B16F10 mouse melanoma cells by inhibiting tyrosinase activity. Int. J. Mol. Sci. 2017, 18, 320. [Google Scholar] [CrossRef] [PubMed]
- Oh, T.I.; Lee, Y.M.; Lim, B.O.; Lim, J.H. Inhibition of NAT10 suppresses melanogenesis and melanoma growth by attenuating microphthalmia-associated transcription factor (MITF) expression. Int. J. Mol. Sci. 2017, 18, 1924. [Google Scholar] [CrossRef] [PubMed]
- Busca, R.; Abbe, P.; Mantoux, F.; Aberdam, E.; Peyssonnaux, C.; Eychene, A.; Ortonne, J.P.; Ballotti, R. Ras mediates the cAMP-dependent activation of extracellular signal-regulated kinases (ERKs) in melanocytes. EMBO J. 2000, 19, 2900–2910. [Google Scholar] [CrossRef] [PubMed]
- Busca, R.; Ballotti, R. Cyclic AMP a key messenger in the regulation of skin pigmentation. Pigment Cell Res. 2000, 13, 60–69. [Google Scholar] [CrossRef] [PubMed]
- Yang, Y.M.; Son, Y.O.; Lee, S.A.; Jeon, Y.M.; Lee, J.C. Quercetin inhibits α-MSH-stimulated melanogenesis in B16F10 melanoma cells. Phytother. Res. 2011, 25, 1166–1173. [Google Scholar] [CrossRef] [PubMed]
- Fujii, T.; Saito, M. Inhibitory effect of quercetin isolated from rose hip (Rosa canina L.) against melanogenesis by mouse melanoma cells. Biosci. Biotechnol. Biochem. 2009, 73, 1989–1993. [Google Scholar] [CrossRef] [PubMed]
- Wang, J.; Gong, A.; Yang, C.F.; Bao, Q.; Shi, X.Y.; Han, B.B.; Wu, X.Y.; Wu, F.A. An effective biphase system accelerates hesperidinase-catalyzed conversion of rutin to isoquercitrin. Sci. Rep. 2015, 5, 8682. [Google Scholar] [CrossRef] [PubMed]
- Gaden, E.L. Fermentation process kinetics. Biotechnol. Bioeng. 2000, 67, 629–635. [Google Scholar] [CrossRef]
- Carmichael, J.; DeGraff, W.G.; Gazdar, A.F.; Minna, J.D.; Mitchell, J.B. Evaluation of a tetrazolium-based semiautomated colorimetric assay: Assessment of chemosensitivity testing. Cancer Res. 1987, 47, 936–942. [Google Scholar] [PubMed]











| No. | Test Material | 48 h | 72 h | Reaction Grade 1 | ||||||||||
|---|---|---|---|---|---|---|---|---|---|---|---|---|---|---|
| ± | 1+ | 2+ | 3+ | 4+ | ± | 1+ | 2+ | 3+ | 4+ | 48 h | 72 h | Mean | ||
| 1 | Control | − 2 | − | − | − | − | − | − | − | − | − | 0 | 0 | 0 |
| 2 | PTFFE (125 μg/mL) | − | − | − | − | − | − | − | − | − | − | 0 | 0 | 0 |
| 3 | PTFFE (250 μg/mL) | − | − | − | − | − | − | − | − | − | − | 0 | 0 | 0 |
| 4 | PTFFE (500 μg/mL) | − | − | − | − | − | − | − | − | − | − | 0 | 0 | 0 |
| Compound | PTFE (mg/g) | PTFFE (mg/g) |
|---|---|---|
| Isoquercitrin | 10.021 | 3.715 |
| Quercetin | 1.442 | 114.134 |
| Standard | Run Time (min) | Injection Volume (µL) | Wavelength (nm) | Column Temperature (°C) | Flow Rate (mL/min) | Solvent Ratio (A:B) |
|---|---|---|---|---|---|---|
| Isoquercitrin | 15 | 5 | 355 | 30 | 1.2 | 2:8 |
| Quercetin | 10 | 10 | 280 | 37 | 1.0 | 4:6 |
| Parameter | Condition | |||||
| Column | YMC-Triart C18 (250 × 4.6 mm, 5 μm, 12 nm) | |||||
| Mobile phase | A: Acetonitrile, B: 20 mM Phosphoric acid in distilled water | |||||
| Sample Temperature | 15 °C | |||||
| Sample Concentration | 10 mg/mL | |||||
| Detector | Photodiode array (Waters) | |||||
| Separation | Waters 2695 | |||||
© 2018 by the authors. Licensee MDPI, Basel, Switzerland. This article is an open access article distributed under the terms and conditions of the Creative Commons Attribution (CC BY) license (http://creativecommons.org/licenses/by/4.0/).
Share and Cite
Chung, Y.C.; Ko, J.-H.; Kang, H.-K.; Kim, S.; Kang, C.I.; Lee, J.N.; Park, S.-M.; Hyun, C.-G. Antimelanogenic Effects of Polygonum tinctorium Flower Extract from Traditional Jeju Fermentation via Upregulation of Extracellular Signal-Regulated Kinase and Protein Kinase B Activation. Int. J. Mol. Sci. 2018, 19, 2895. https://doi.org/10.3390/ijms19102895
Chung YC, Ko J-H, Kang H-K, Kim S, Kang CI, Lee JN, Park S-M, Hyun C-G. Antimelanogenic Effects of Polygonum tinctorium Flower Extract from Traditional Jeju Fermentation via Upregulation of Extracellular Signal-Regulated Kinase and Protein Kinase B Activation. International Journal of Molecular Sciences. 2018; 19(10):2895. https://doi.org/10.3390/ijms19102895
Chicago/Turabian StyleChung, You Chul, Ji-Hye Ko, Hyun-Kyu Kang, Seoyeon Kim, Choon Il Kang, Jung No Lee, Sung-Min Park, and Chang-Gu Hyun. 2018. "Antimelanogenic Effects of Polygonum tinctorium Flower Extract from Traditional Jeju Fermentation via Upregulation of Extracellular Signal-Regulated Kinase and Protein Kinase B Activation" International Journal of Molecular Sciences 19, no. 10: 2895. https://doi.org/10.3390/ijms19102895
APA StyleChung, Y. C., Ko, J.-H., Kang, H.-K., Kim, S., Kang, C. I., Lee, J. N., Park, S.-M., & Hyun, C.-G. (2018). Antimelanogenic Effects of Polygonum tinctorium Flower Extract from Traditional Jeju Fermentation via Upregulation of Extracellular Signal-Regulated Kinase and Protein Kinase B Activation. International Journal of Molecular Sciences, 19(10), 2895. https://doi.org/10.3390/ijms19102895

