Alginate-Based Edible Films Delivering Probiotic Bacteria to Sliced Ham Pretreated with High Pressure Processing
Abstract
1. Introduction
2. Results
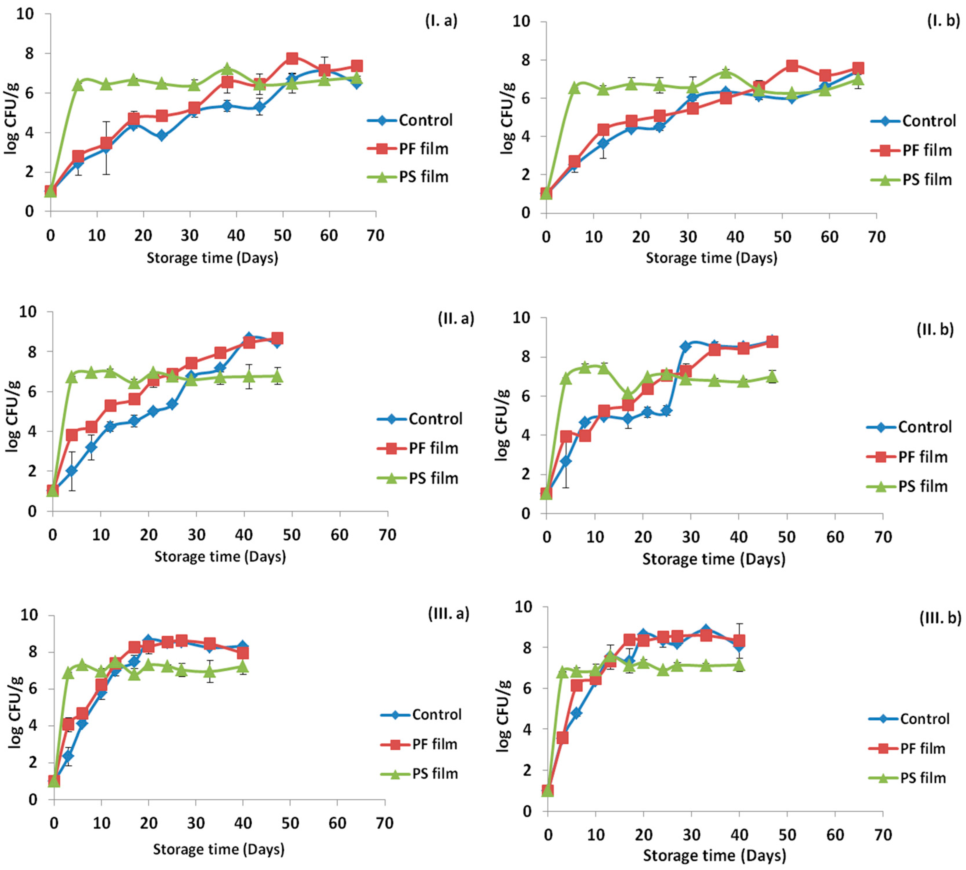
2.1. Microbiological Analysis
2.2. Viability of the Incorporated Strains in the Na-Alginate Films
2.3. pH Determination
2.4. Color Measurements
2.5. Sensory Evaluation
2.6. Probiotic Survival and Strain Differentiation in the Ham Slices and Edible Films
3. Discussion
4. Materials and Methods
4.1. Probiotic Strains and Ham Slices
4.2. High Pressure Processing (HPP) Treatment
4.3. Preparation of Na-Alginate Edible Films
4.4. Microbiological Analysis
4.5. Viability of the Probiotic Strains Incorporated within the Film
4.6. pH Values
4.7. Color Measurements
4.8. Sensory Evaluation
4.9. Pulsed Field Gel Electrophoresis (PFGE) for Monitoring Probiotic Survival and Strain Differentiation
4.10. Statistical Analysis
5. Conclusions
Acknowledgments
Author Contributions
Conflicts of Interest
References
- Granato, D.; Branco, G.F.; Gomez Cruz, A.; de Assis Fonseca Faria, J.; Shah, N.P. Probiotic dairy products as functional foods. Compr. Rev. Food Sci. Food Saf. 2010, 9, 455–470. [Google Scholar] [CrossRef]
- Kapetanakou, A.; Karyotis, D.; Skandamis, P.N. Control of Listeria monocytogenes by applying ethanol-based antimicrobial edible films on ham slices and microwave-reheated frankfurters. Food Microbiol. 2016, 54, 80–90. [Google Scholar] [CrossRef]
- Fuentes, V.; Ventanas, J.; Morcuende, D.; Est´evez, M.; Ventanas, S. Lipid and protein oxidation and sensory properties of vacuum-packaged dry-cured ham subjected to high hydrostatic pressure. Meat Sci. 2010, 85, 506–514. [Google Scholar] [CrossRef] [PubMed]
- Argyri, A.A.; Tassou, C.C.; Samaras, F.; Mallidis, C.; Chorianopoulos, N. Effect of high hydrostatic pressure processing on microbiological shelf-life and quality of fruits pretreated with ascorbic acid or SnCl2. BioMed Res. Int. 2014, 2014, 819209. [Google Scholar] [CrossRef] [PubMed]
- Rivas-Cañedo, A.; Fernández-García, E.; Nuñez, M. Volatile compounds in fresh meats subjected to high pressure processing: Effect of the packaging material. Meat Sci. 2009, 81, 321–328. [Google Scholar] [CrossRef] [PubMed]
- Andres, A.I.; Adamsen, C.E.; Møller, J.K.S.; Ruiz, J.; Skibsted, L.H. High-pressure treatment of dry-cured Iberian ham. Effect on colour and oxidative stability during chill storage packed in modified atmosphere. Eur. Food Res. Technol. 2006, 222, 486–491. [Google Scholar] [CrossRef]
- Simonin, H.; Duranton, F.; de Lamballerie, M. New insights into the high-pressure processing of meat and meat products. Compr. Rev. Food Sci. Food Saf. 2012, 11, 285–306. [Google Scholar] [CrossRef]
- Lopez-Rubio, A.; Gavara, R.; Lagaron, J.M. Bioactive packaging: Turning foods into healthier foods through biomaterials. Trends Food Sci. Technol. 2006, 17, 567–575. [Google Scholar] [CrossRef]
- Soukoulis, C.; Behboudi-Jobbehdar, S.; Macnaughtan, W.; Parmenter, C.; Fisk, I.D. Stability of Lactobacillus rhamnosus GG incorporated in edible films: Impact of anionic biopolymers and whey protein concentrate. Food Hydrocoll. 2017, 70, 345–355. [Google Scholar] [CrossRef]
- Tapia, M.S.; Rojas-Graü, M.A.; Rodríguez, F.J.; Ramírez, J.; Carmona, A.; Martin-Belloso, O. Alginate- and gellan-based edible films for probiotic coatings on fresh-cut fruits. J. Food Sci. 2007, 72, E190–E196. [Google Scholar] [CrossRef] [PubMed]
- Pavli, F.G.; Argyri, A.A.; Papadopoulou, O.S.; Nychas, G.-J.E.; Chorianopoulos, N.G.; Tassou, C.C. Probiotic potential of lactic acid bacteria from traditional fermented dairy and meat products: Assessment by in vitro tests and molecular characterization. J. Prob. Health 2016, 4, 157. [Google Scholar] [CrossRef]
- Souza, C.M.; Boler, D.D.; Clark, D.L.; Kutzler, L.W.; Holmer, S.F.; Summerfield, J.W.; Cannon, J.E.; Smit, N.R.; McKeith, F.K.; Killefer, J. Varying the temperature of the liquid used for high-pressure processing of prerigor pork: effects on fresh pork quality, myofibrillar protein solubility, and frankfurter textural properties. J. Food Sci. 2012, 71, S54–S61. [Google Scholar] [CrossRef] [PubMed]
- San Martín, M.F.; Barbosa-Cánovas, G.V.; Swanson, B.G. Food processing by high hydrostatic pressure. Crit. Rev. Food Sci. Nutr. 2002, 42, 627–645. [Google Scholar] [CrossRef] [PubMed]
- Trujillo, A.J.; Capellas, M.; Saldo, J.; Gervilla, R.; Guamis, B. Applications of high-hydrostatic pressure on milk and dairy products: A review. Innov. Food Sci. Emerg. Technol. 2002, 3, 295–307. [Google Scholar] [CrossRef]
- Garriga, M.; Grèbol, N.; Aymerich, M.T.; Monfort, J.M.; Hugas, M. Microbial inactivation after high-pressure processing at 600 MPa in commercial meat products over its shelf life. Innov. Food Sci. Emerg. Technol. 2004, 5, 451–457. [Google Scholar] [CrossRef]
- Aymerich, T.; Picouet, P.A.; Monfort, J.M. Decontamination technologies for meat products. Meat Sci. 2008, 78, 114–129. [Google Scholar] [CrossRef] [PubMed]
- Marcos, B.; Jofré, A.; Aymerich, T.; Monfort, J.M.; Garriga, M. Combined effect of natural antimicrobials and high pressure processing to prevent Listeria monocytogenes growth after a cold chain break during storage of cooked ham. Food Control 2008, 19, 76–81. [Google Scholar] [CrossRef]
- Ferrari, G.; Maresca, P.; Ciccarone, R. The application of high hydrostatic pressure for the stabilization of functional foods: Pomegranate juice. J. Food Eng. 2010, 100, 245–253. [Google Scholar] [CrossRef]
- Vercammen, A.; Vanoirbeek, K.G.A.; Lurquin, I.; Steen, L.; Goemaere, O.; Szczepaniak, S.; Paelinck, H.; Hendrickx, M.E.G.; Michiels, C.W. Shelf-life extension of cooked ham model product by high hydrostatic pressure and natural preservatives. Innov. Food Sci. Emerg. Technol. 2011, 12, 407–415. [Google Scholar] [CrossRef]
- Han, Y.; Jiang, Y.; Xu, X.; Sun, X.; Xu, B.; Zhou, G. Effect of high pressure treatment on microbial populations of sliced vacuum-packed cooked ham. Meat Sci. 2011, 88, 682–688. [Google Scholar] [CrossRef] [PubMed]
- Chawla, R.; Patil, G.R.; Singh, A.K. High hydrostatic pressure technology in dairy processing: A review. J. Food Sci. Technol. 2011, 48, 260–268. [Google Scholar] [CrossRef] [PubMed]
- Hereu, A.; Bover-Cid, C.; Garriga, M.; Aymerich, T. High hydrostatic pressure and biopreservation of dry-cured ham to meet the Food Safety Objectives for Listeria monocytogenes. Int. J. Food Microbiol. 2012, 154, 107–112. [Google Scholar] [CrossRef] [PubMed]
- Liu, G.; Wang, Y.; Gui, M.; Zheng, H.; Dai, R.; Li, P. Combined effect of high hydrostatic pressure and enterocin LM-2 on the refrigerated shelf life of ready-to-eat sliced vacuum-packed cooked ham. Food Control 2012, 24, 64–71. [Google Scholar] [CrossRef]
- Varela-Santos, E.; Ochoa-Martinez, A.; Tabilo-Munizaga, G.; Reyes, J.E.; Pérez-Won, M.; Briones-Labarca, V.; Morales-Castro, J. Effect of high hydrostatic pressure (HHP) processing on physicochemical properties, bioactive compounds and shelf-life of pomegranate juice. Innov. Food Sci. Emerg. Technol. 2012, 13, 13–22. [Google Scholar] [CrossRef]
- Juck, G.; Neetoo, H.; Chen, H. Application of an active alginate coating to control the growth of Listeria monocytogenes on poached and deli turkey products. Int. J. Food Microbiol. 2010, 142, 302–308. [Google Scholar] [CrossRef] [PubMed]
- Lim, G.O.; Hong, Y.H.; Song, K.B. Application of Gelidium corneum edible films containing carvacrol for ham packages. J. Food Sci. 2010, 75, C90–C93. [Google Scholar] [CrossRef] [PubMed]
- Ravishankar, S.; Jaroni, D.; Zhu, L.; Olsen, C.; McHugh, T.; Friedman, M. Inactivation of Listeria monocytogenes on ham and bologna using pectin-based apple, carrot, and hibiscus edible films containing carvacrol and cinnamaldehyde. J. Food Sci. 2012, 77, M377–M382. [Google Scholar] [CrossRef] [PubMed]
- Pattanayaiying, R.; H-Kittikun, A.; Cutter, C.N. Incorporation of nisin Z and lauric arginate into pullulan films to inhibit foodborne pathogens associated with fresh and ready-to-eat muscle foods. Int. J. Food Microbiol. 2015, 207, 77–82. [Google Scholar] [CrossRef] [PubMed]
- López de Lacey, A.M.; López-Caballero, M.E.; Gómez-Estaca, J.; Gómez-Guillén, M.C.; Montero, P. Functionality of Lactobacillus acidophilus and Bifidobacterium bifidum incorporated to edible coatings and films. Innov. Food Sci. Emerg. Technol. 2012, 16, 277–282. [Google Scholar] [CrossRef]
- Kanmani, P.; Lim, S.T. Development and characterization of novel probiotic-residing pullulan/starch edible films. Food Chem. 2013, 141, 1041–1049. [Google Scholar] [CrossRef] [PubMed]
- Soukoulis, C.; Yonekura, L.; Gan, H-H.; Behboudi-Jobbehdar, S.; Parmenter, C.; Fisk, I. Probiotic edible films as a new strategy for developing functional bakery products: The case of pan bread. Food Hydrocoll. 2014, 39, 231–242. [Google Scholar] [CrossRef] [PubMed]
- Gialamas, H.; Zinoviadou, K.G.; Biliaderis, C.G.; Koutsoumanis, K.P. Development of a novel bioactive packaging based on the incorporation of Lactobacillus sakei into sodium-caseinate films for controlling Listeria monocytogenes in foods. Food Res. Int. 2010, 43, 2402–2408. [Google Scholar] [CrossRef]
- Bak, K.H.; Lindahl, G.; Karlsson, A.H.; Lloret, E.; Ferrini, G.; Arnau, J.; Orlien, V. High pressure effect on the color of minced cured restructured ham at different levels of drying, pH, and NaCl. Meat Sci. 2012, 90, 690–696. [Google Scholar] [CrossRef] [PubMed]
- Souza, C.M.; Boler, D.D.; Clark, D.L.; Kutzler, L.W.; Holmer, S.F.; Summerfield, J.W.; Cannon, J.E.; Smit, N.R.; McKeith, F.K.; Killefer, J. The effects of high pressure processing on pork quality, palatability, and further processed products. Meat Sci. 2011, 87, 419–427. [Google Scholar] [CrossRef] [PubMed]
- Doulgeraki, A.I.; Pramateftaki, P.; Argyri, A.A.; Nychas, G.-J.E.; Tassou, C.C.; Panagou, E.Z. Molecular characterization of lactic acid bacteria isolated from industrially fermented Greek table olives. LWT Food Sci. Technol. 2013, 50, 353–356. [Google Scholar] [CrossRef]
- Tassou, C.C.; Panagou, E.Z.; Samaras, F.J.; Galiatsatou, P.; Mallidis, C.G. Temperature-assisted high hydrostatic pressure inactivation of Staphylococcus aureus in a ham model system: Evaluation in selective and nonselective medium. J. Appl. Microbiol. 2008, 104, 1764–1773. [Google Scholar] [CrossRef] [PubMed]
- Panagou, E.Z.; Tassou, C.C.; Manitsa, C.; Mallidis, C. Modelling the effect of high pressure on the inactivation kinetics of a pressure-resistant strain of Pediococcus damnosus in phosphate buffer and gilt-head seabream (Sparus aurata). J. Appl. Microbiol. 2007, 102, 1499–1507. [Google Scholar] [CrossRef] [PubMed]
- Gill, C.O.; Jeremiah, L.E. The storage life of non-muscle offals packaged under vacuum or carbon dioxide. Food Microbiol. 1991, 8, 339–353. [Google Scholar] [CrossRef]
- Papadopoulou, O.; Panagou, E.Z.; Tassou, C.C.; Nychas, G.-J.E. Contribution of Fourier transform infrared (FTIR) spectroscopy data on the quantitative determination of minced pork meat spoilage. Food Res. Int. 2011, 44, 3264–3271. [Google Scholar] [CrossRef]
- Argyri, A.A.; Mallouchos, A.C.; Panagou, E.Z.; Nychas, G.-J.E. The dynamics of the HS/SPME–GC/MS as a tool to assess the spoilage of minced beef stored under different packaging and temperature conditions. Int. J. Food Microbiol. 2015, 193, 51–58. [Google Scholar] [CrossRef] [PubMed]
- Doulgeraki, A.I.; Paramithiotis, S.; Kagkli, D.F.; Nychas, G.-J.E. Lactic acid bacteria population dynamics during minced beef storage under aerobic or modified atmosphere packaging conditions. Food Microbiol. 2010, 27, 1028–1034. [Google Scholar] [CrossRef] [PubMed]






| pH Values at 4°C | ||||||
|---|---|---|---|---|---|---|
| Days | Without HPP Treatment | With HPP Treatment | ||||
| Control | PF Film | PS Film | Control | PF Film | PS Film | |
| 0 | 6.49 A,a ± 0.07 | 6.49 A,a ± 0.07 | 6.49 A,a ± 0.07 | 6.54 A,a ± 0.11 | 6.54 A,a ± 0.11 | 6.54 A,a ± 0.11 |
| 6 | 6.53 A,a ± 0.06 | 6.24 B,a ± 0.01 | 5.22 B,b ± 0.23 | 6.52 A,a ± 0.00 | 6.30 B,b ± 0.01 | 5.43 B,c ± 0.07 |
| 12 | 6.35 B,a ± 0.03 | 6.11 C,b ± 0.01 | 4.77 C,c ± 0.04 | 6.45 A,B,a ± 0.01 | 6.30 B,b ± 0.01 | 5.23 C,c ± 0.01 |
| 18 | 5.76 C,b ± 0.01 | 6.04 C,a ± 0.02 | 4.44 D,c ± 0.01 | 6.42 A,B,a ± 0.03 | 6.31 B,b ± 0.01 | 5.05 D,c ± 0.01 |
| 24 | 5.54 D,b ± 0.03 | 5.66 D,a ± 0.01 | 4.32 D,E,c ± 0.02 | 6.40 A,B,a ± 0.00 | 6.14 C,b ± 0.01 | 4.91 E,F,c ± 0.01 |
| 31 | 5.55 D,a ± 0.05 | 5.44 E,a ± 0.04 | 4.36 D,E,b ± 0.01 | 6.48 A,B,a ± 0.01 | 5.72 D,b ± 0.02 | 4.77 G,c ± 0.03 |
| 38 | 5.52 D,a ± 0.04 | 5.44 E,b ± 0.00 | 4.40 D,E,c ± 0.01 | 5.76 D,a ± 0.07 | 5.75 D,a ± 0.01 | 4.93 E,b ± 0.00 |
| 45 | 5.52 D,a ± 0.01 | 5.44 E,a ± 0.07 | 4.36 D,E,b ± 0.01 | 6.01 C,a ± 0.01 | 5.43 E,b ± 0.07 | 4.84 F,G,c ± 0.03 |
| 52 | 5.39 E,a ± 0.01 | 5.25 F,a ± 0.16 | 4.22 E,b ± 0.01 | 5.83 D,a ± 0.04 | 5.26 G,b ± 0.02 | 4.78 G,c ± 0.01 |
| 59 | 5.27 F,a ± 0.03 | 5.17 F,b ± 0.01 | 4.26 E,c ± 0.01 | 5.73 D,a ± 0.11 | 5.33 F,b ± 0.07 | 4.68 H,c ± 0.04 |
| 66 | 5.36 E,a ± 0.01 | 5.25 F,b ± 0.01 | 4.25 E,c ± 0.03 | 5.62 E,a ± 0.03 | 5.40 E,F,b ± 0.07 | 4.66 H,c ± 0.04 |
| pH Values at 8 °C | ||||||
|---|---|---|---|---|---|---|
| Days | Without HPP Treatment | With HPP Treatment | ||||
| Control | PF Film | PS Film | Control | PF Film | PS Film | |
| 0 | 6.49 A,a ± 0.07 | 6.49 A,a ± 0.07 | 6.49 A,a ± 0.07 | 6.54 A,a ± 0.11 | 6.54 A,a ± 0.11 | 6.54 A,a ± 0.11 |
| 4 | 6.35 B,a ± 0.06 | 6.36 B,a ± 0.00 | 4.87 B,b ± 0.02 | 6.52 A,a ± 0.01 | 6.26 B,b ± 0.01 | 5.40 B,c ± 0.03 |
| 8 | 5.49 C,D,a ± 0.01 | 5.46 C,a ± 0.05 | 4.52 C,b ± 0.00 | 6.51 A,a ± 0.02 | 6.32 B,b ± 0.01 | 4.98 C,c ± 0.00 |
| 12 | 5.56 C,a ± 0.02 | 5.37 D,b ± 0.04 | 4.33 D,c ± 0.04 | 6.52 A,a ± 0.01 | 6.04 C,b ± 0.04 | 4.72 D,c ± 0.03 |
| 17 | 5.47 C,D,a ± 0.04 | 5.25 E,b ± 0.01 | 4.37 D,c ± 0.01 | 6.50 A,a ± 0.07 | 5.96 D,b ± 0.04 | 4.66 E,c ± 0.01 |
| 21 | 5.45 D,E,a ± 0.06 | 5.19 E,F,b ± 0.01 | 4.27 E,c ± 0.03 | 6.26 B.a ± 0.06 | 5.92 D,E,b ± 0.01 | 4.63 E,F,c ± 0.04 |
| 25 | 5.43 D,E,F,a ± 0.04 | 5.23 E,F,b ± 0.01 | 4.14 H,c ± 0.03 | 6.18 B,a ± 0.11 | 5.88 E,b ± 0.02 | 4.63 E,F,c ± 0.02 |
| 29 | 5.35 E,F,a ± 0.07 | 5.21 E,F,b ± 0.01 | 4.19 G,H,c ± 0.02 | 5.69 C,a ± 0.01 | 5.61 F,b ± 0.01 | 4.61 E,F,c ± 0.00 |
| 35 | 5.33 F,a ± 0.06 | 5.17 F,b ± 0.01 | 4.19 F,G,H,c ± 0.03 | 5.55 D,a ± 0.04 | 5.40 G,a ± 0.06 | 4.57 F,G,b ± 0.04 |
| 41 | 5.34 E,F,a ± 0.01 | 5.04 G,b ± 0.04 | 4.24 E,F,c ± 0.00 | 5.31 E,a ± 0.01 | 5.29 H,a ± 0.01 | 4.58 F,G,b ± 0.02 |
| 47 | 5.22 F,G,a ± 0.01 | 5.02 G,b ± 0.01 | 4.24 E,F,G,c ± 0.01 | 5.24 E,a ± 0.04 | 5.12 I,b ± 0.01 | 4.54 G,c ± 0.01 |
| pH Values at 12 °C | ||||||
|---|---|---|---|---|---|---|
| Days | Without HPP Treatment | With HPP Treatment | ||||
| Control | PF Film | PS Film | Control | PF Film | PS Film | |
| 0 | 6.49 A,a ± 0.07 | 6.49 A,a ± 0.07 | 6.49 A,a ± 0.07 | 6.54 A,a ± 0.11 | 6.54 A,a ± 0.11 | 6.54 A,a ± 0.11 |
| 3 | 6.01 B,a ± 0.01 | 5.93 B,b ± 0.03 | 4.75 B,c ± 0.03 | 6.43 A,a ± 0.06 | 6.19 B,b ± 0.02 | 5.28 B,c ± 0.04 |
| 6 | 5.62 C,a ± 0.01 | 5.30 C,b ± 0.08 | 4.19 C,D,c ± 0.02 | 6.42 A,a ± 0.01 | 6.10 C,b ± 0.03 | 4.50 C,D,c ± 0.00 |
| 10 | 5.46 D,a ± 0.01 | 4.92 E,b ± 0.07 | 4.06 E,c ± 0.01 | 6.15 B,a ± 0.02 | 6.03 D,b ± 0.01 | 4.42 E,c ± 0.04 |
| 13 | 5.42 D,a ± 0.01 | 5.17 C,D,b ± 0.00 | 4.08 E,c ± 0.04 | 5.76 C,a ± 0.05 | 5.60 E,b ± 0.02 | 4.50 C,D,c ± 0.02 |
| 17 | 5.35 D,a ± 0.01 | 4.96 E,b ± 0.11 | 4.12 D,E,c ± 0.01 | 5.54 D,a ± 0.02 | 5.49 F,a ± 0.01 | 4.44 D,E,b ± 0.02 |
| 20 | 5.45 D,a ± 0.04 | 5.02 D,E,b ± 0.13 | 4.13 D,E,c ± 0.04 | 5.25 E,a ± 0.06 | 5.09 G,b ± 0.01 | 4.53 C,c ± 0.04 |
| 24 | 5.24 E,a ± 0.02 | 5.07 D,E,a ± 0.04 | 4.26 C,b ± 0.08 | 5.16 F,a ± 0.01 | 5.03 G,b ± 0.04 | 4.53 C,c ± 0.04 |
| 27 | 5.23 E,a ± 0.12 | 5.02 D,E,a ± 0.03 | 4.09 E,b ± 0.01 | 5.12 F,G,a ± 0.05 | 4.87 H,b ± 0.07 | 4.40 E,c ± 0.03 |
| 33 | 5.06 F,a ± 0.05 | 5.00 E,a ± 0.01 | 4.08 E,b ± 0.03 | 5.06 G,H,a ± 0.04 | 4.91 H,b ± 0.05 | 4.46 D,E,c ± 0.03 |
| 40 | 5.04 F,a ± 0.04 | 4.95 E,a ± 0.06 | 4.13 D,E,b ± 0.03 | 4.98 H,a ± 0.01 | 4.87 H,b ± 0.02 | 4.51 C,c ± 0.01 |
| Chroma C* at 4 °C | ||||||
|---|---|---|---|---|---|---|
| Days | Without HPP Treatment | With HPP Treatment | ||||
| Control | PF Film | PS Film | Control | PF Film | PS Film | |
| 0 | 26.99 A,a ± 2.48 | 26.99 A,a ± 2.48 | 26.99 A,a ± 2.48 | 25.05 A,a ± 0.87 | 25.05 A,a ± 0.87 | 25.05 A,a ± 0.87 |
| 6 | 25.59 A,a ± 0.74 | 26.16 A,a ± 0.65 | 27.90 A,a ± 2.62 | 24.97 A,a ± 0.47 | 25.54 A,a ± 0.73 | 26.45 A,a ± 1.24 |
| 12 | 25.67 A,a ± 0.32 | 26.62 A,a ± 0.04 | 28.33 A,a ± 1.71 | 25.64 A,B,a ± 0.27 | 26.17 A,a ± 0.68 | 26.06 A,a ± 1.58 |
| 18 | 26.04 A,a ± 1.08 | 26.40 A,a ± 0.06 | 28.48 A,a ± 2.51 | 26.52 B,a ± 1.06 | 25.94 A,a ± 0.53 | 26.67 A,a ± 0.78 |
| 24 | 24.63 A,a ± 0.66 | 26.25 A,a ± 0.12 | 27.42 A,a ± 3.12 | 25.12 A,B,a ± 0.65 | 25.79 A,a ± 0.32 | 27.96 A,a ± 2.71 |
| 31 | 25.98 A,a ± 0.15 | 26.33 A,a ± 3.58 | 25.12 A,a ± 0.45 | 24.75 A,a ± 0.05 | 28.11 B,a ± 1.28 | 26.65 A,a ± 3.67 |
| 38 | 24.94 A,a ± 1.58 | 26.08 A,a ± 1.04 | 27.53 A,a ± 2.94 | 25.66 A,B,a ± 0.72 | 26.58 A,B,a ± 0.60 | 27.34 A,a ± 3.88 |
| 45 | 25.45 A,a ± 0.87 | 25.40 A,a ± 0.58 | 27.52 A,a ± 3.63 | 25.44 A,B,a ± 0.96 | 26.40 A,a ± 0.42 | 28.43 A,a ± 3.73 |
| 52 | 25.20 A,a ± 0.29 | 25.68 A,a ± 1.13 | 26.77 A,a ± 3.00 | 25.33 A,B,a ± 0.62 | 24.91 A,a ± 0.23 | 27.44 A,a ± 3.69 |
| 59 | 25.37 A,a ± 0.99 | 26.11 A,a ± 0.43 | 26.55 A,a ± 2.82 | 25.42 A,B,a ± 0.21 | 26.49 A,B,a ± 0.85 | 26.70 A,a ± 3.59 |
| 66 | 26.48 A,a ± 0.42 | 26.09 A,a ± 0.24 | 26.13 A,a ± 3.37 | 25.72 A,B,a ± 0.36 | 25.46 A,a ± 0.83 | 27.37 A,a ± 3.71 |
| Chroma C* at 8 °C | ||||||
|---|---|---|---|---|---|---|
| Days | Without HPP Treatment | With HPP Treatment | ||||
| Control | PF Film | PS Film | Control | PF Film | PS Film | |
| 0 | 26.99 A,a ± 2.48 | 26.99 A,a ± 2.48 | 26.99 A,a ± 2.48 | 25.05 A,a ± 0.87 | 25.05 A,a ± 0.87 | 25.05 A,a ± 0.87 |
| 4 | 25.42 A,a ± 0.06 | 26.04 A,a ± 0.55 | 27.81 A,a ± 1.93 | 25.06 A,a ± 0.09 | 28.38 A,a ± 3.25 | 28.17 A,a ± 2.42 |
| 8 | 26.34 A,a ± 1.00 | 25.95 A,a ± 0.81 | 28.38 A,a ± 2.22 | 25.68 A,a ± 0.22 | 26.46 A,a ± 0.46 | 28.62 A,a ± 1.78 |
| 12 | 24.95 A,a ± 0.15 | 26.19 A,a ± 0.31 | 28.25 A,a ± 2.41 | 25.24 A,a ± 0.02 | 25.99 A,a ± 0.77 | 28.05 A,a ± 3.70 |
| 17 | 25.42 A,a ± 0.77 | 26.18 A,a ± 0.31 | 27.17 A,a ± 2.98 | 25.35 A,a ± 0.90 | 26.42 A,a ± 1.11 | 27.26 A,a ± 3.31 |
| 21 | 25.19 A,a ± 0.85 | 25.96 A,a ± 0.34 | 27.59 A,a ± 2.92 | 26.02 A,a ± 1.05 | 28.27 A,a ± 3.10 | 24.63 A,a ± 0.14 |
| 25 | 24.91 A,a ± 0.17 | 25.92 A,a ± 0.32 | 26.53 A,a ± 4.29 | 25.42 A,a ± 1.00 | 25.94 A,a ± 0.61 | 28.11 A,a ± 2.62 |
| 29 | 25.86 A,a ± 1.01 | 25.84 A,a ± 0.31 | 27.05 A,a ± 3.47 | 25.09 A,a ± 0.71 | 27.65 A,a ± 2.65 | 24.57 A,a ± 0.47 |
| 35 | 24.88 A,a ± 1.57 | 25.52 A,a ± 0.24 | 27.46 A,a ± 2.14 | 24.88 A,a ± 0.08 | 25.90 A,a ± 0.10 | 24.43 A,a ± 0.24 |
| 41 | 24.85 A,a ± 1.60 | 24.86 A,a ± 1.46 | 27.48 A,a ± 2.72 | 25.31 A,a ± 0.59 | 25.76 A,a ± 0.64 | 24.75 A,a ± 1.29 |
| 47 | 25.67 A,a ± 1.50 | 25.31 A,a ± 0.05 | 27.83 A,a ± 1.13 | 25.87 A,a ± 0.38 | 25.22 A,a ± 0.58 | 23.66 A,a ± 0.15 |
| Chroma C* at 12 °C | ||||||
|---|---|---|---|---|---|---|
| Days | Without HPP Treatment | With HPP Treatment | ||||
| Control | PF Film | PS Film | Control | PF Film | PS Film | |
| 0 | 26.99 A,a ± 2.48 | 26.99 A,a ± 2.48 | 26.99 A,a ± 2.48 | 25.05 A,B,a ± 0.87 | 25.05 A,B,a ± 0.87 | 25.05 A,a ± 0.87 |
| 3 | 24.69 A,a ± 0.40 | 26.45 A,a ± 3.09 | 26.74 A,a ± 1.15 | 25.06 A,B,a ± 0.22 | 25.32 A,B,a ± 1.55 | 25.06 A,a ± 1.34 |
| 6 | 24.83 A,a ± 0.81 | 27.76 A,a ± 2.51 | 27.95 A,a ± 3.00 | 25.49 A,B,C,a ± 0.42 | 25.81 A,B,a ± 1.22 | 26.60 A,a ± 3.61 |
| 10 | 25.26 A,a ± 0.99 | 26.38 A,a ± 1.23 | 27.83 A,a ± 2.65 | 25.44 A,B,C,a ± 0.12 | 26.44 A,B,a ± 1.32 | 26.83 A,a ± 2.87 |
| 13 | 25.23 A,a ± 1.03 | 25.77 A,a ± 0.22 | 27.60 A,a ± 2.40 | 25.30 A,B,C,a ± 0.34 | 26.55 A,B,a ± 0.39 | 24.34 A,a ± 0.40 |
| 17 | 24.74 A,a ± 0.81 | 25.78 A,a ± 0.96 | 27.01 A,a ± 3.38 | 25.86 B,C,a ± 0.10 | 26.37 A,B,a ± 0.35 | 26.52 A,a ± 3.12 |
| 20 | 25.51 A,a ± 1.61 | 25.55 A,a ± 0.65 | 27.29 A,a ± 1.39 | 24.66 A,B,a ± 1.15 | 25.86 A,B,a ± 0.29 | 26.39 A,a ± 3.77 |
| 24 | 25.51 A,a ± 1.06 | 25.84 A,a ± 0.65 | 26.64 A,a ± 3.07 | 25.80 A,B,C,a ± 0.62 | 25.72 A,B,a ± 0.05 | 27.26 A,a ± 4.17 |
| 27 | 25.53 A,a ± 0.74 | 24.80 A,a ± 1.69 | 27.80 A,a ± 2.69 | 26.47 C,a ± 0.03 | 26.07 A,B,a ± 1.09 | 27.65 A,a ± 3.72 |
| 33 | 24.14 A,a ± 0.67 | 25.66 A,a ± 0.35 | 27.36 A,a ± 1.99 | 24.55 A,a ± 0.42 | 27.60 B,a ± 2.49 | 26.43 A,a ± 3.17 |
| 40 | 23.75 A,a ± 1.22 | 25.86 A,a ± 1.17 | 26.31 A,a ± 2.83 | 24.53 A,a ± 0.62 | 24.04 A,a ± 0.22 | 28.06 A,a ± 2.87 |
© 2017 by the authors. Licensee MDPI, Basel, Switzerland. This article is an open access article distributed under the terms and conditions of the Creative Commons Attribution (CC BY) license (http://creativecommons.org/licenses/by/4.0/).
Share and Cite
Pavli, F.; Kovaiou, I.; Apostolakopoulou, G.; Kapetanakou, A.; Skandamis, P.; Nychas, G.-J.E.; Tassou, C.; Chorianopoulos, N. Alginate-Based Edible Films Delivering Probiotic Bacteria to Sliced Ham Pretreated with High Pressure Processing. Int. J. Mol. Sci. 2017, 18, 1867. https://doi.org/10.3390/ijms18091867
Pavli F, Kovaiou I, Apostolakopoulou G, Kapetanakou A, Skandamis P, Nychas G-JE, Tassou C, Chorianopoulos N. Alginate-Based Edible Films Delivering Probiotic Bacteria to Sliced Ham Pretreated with High Pressure Processing. International Journal of Molecular Sciences. 2017; 18(9):1867. https://doi.org/10.3390/ijms18091867
Chicago/Turabian StylePavli, Foteini, Ioanna Kovaiou, Georgia Apostolakopoulou, Anastasia Kapetanakou, Panagiotis Skandamis, George-John E. Nychas, Chrysoula Tassou, and Nikos Chorianopoulos. 2017. "Alginate-Based Edible Films Delivering Probiotic Bacteria to Sliced Ham Pretreated with High Pressure Processing" International Journal of Molecular Sciences 18, no. 9: 1867. https://doi.org/10.3390/ijms18091867
APA StylePavli, F., Kovaiou, I., Apostolakopoulou, G., Kapetanakou, A., Skandamis, P., Nychas, G.-J. E., Tassou, C., & Chorianopoulos, N. (2017). Alginate-Based Edible Films Delivering Probiotic Bacteria to Sliced Ham Pretreated with High Pressure Processing. International Journal of Molecular Sciences, 18(9), 1867. https://doi.org/10.3390/ijms18091867

