Effects of Concentrations on the Transdermal Permeation Enhancing Mechanisms of Borneol: A Coarse-Grained Molecular Dynamics Simulation on Mixed-Bilayer Membranes
Abstract
:1. Introduction
2. Results and Discussion
2.1. Interaction of Borneol with SC Lipid Bilayer
2.2. Permeation Enhancing Effect of BO on OST
2.2.1. CG-MD Simulation Studies
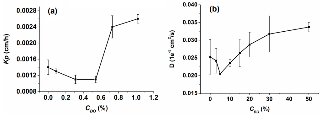
2.2.2. In Vitro Permeation Studies
2.2.3. TEM Studies
3. Materials and Methods
3.1. Simulation Method
3.1.1. CG Models
3.1.2. Initial Bilayer Structures
3.1.3. Simulation Details
3.2. Verification Experiments
3.2.1. Materials
3.2.2. In Vitro Permeation Studies
Preparation of Osthole Solutions with Different Concentrations of Borneol
Preparation of Skin
Skin Permeation
HPLC Analysis
Important Assessment Parameters
Transmission Electron Microscope (TEM) Studies
4. Conclusions
Supplementary Materials
Acknowledgments
Author Contributions
Conflicts of Interest
References
- Prausnitz, M.R.; Langer, R. Transdermal drug delivery. Nat. Biotechnol. 2008, 26, 1261–1268. [Google Scholar] [CrossRef] [PubMed]
- Thomas, B.J.; Finnin, B.C. The transdermal revolution. Drug Discov. Today 2004, 9, 697–703. [Google Scholar] [CrossRef]
- Van der Maaden, K.; Jiskoot, W.; Bouwstra, J. Microneedle technologies for (trans)dermal drug and vaccine delivery. J. Control. Release 2012, 161, 645–655. [Google Scholar] [CrossRef] [PubMed]
- Sinico, C.; Fadda, A.M. Vesicular carriers for dermal drug delivery. Expert Opin. Drug Deliv. 2009, 6, 813–825. [Google Scholar] [CrossRef] [PubMed]
- Kogan, A.; Garti, N. Microemulsions as transdermal drug delivery vehicles. Adv. Colloid Interface Sci. 2006, 123, 369–385. [Google Scholar] [CrossRef] [PubMed]
- Williams, A.C.; Barry, B.W. Penetration enhancers. Adv. Drug Deliv. Rev. 2012, 64, 128–137. [Google Scholar] [CrossRef]
- Herman, A.; Herman, A.P. Essential oils and their constituents as skin penetration enhancer for transdermal drug delivery: A review. J. Pharm. Pharm. Sci. 2015, 67, 473–485. [Google Scholar] [CrossRef] [PubMed]
- Patil, U.K.; Saraogi, R. Natural products as potential drug permeation enhancer in transdermal drug delivery system. Arch. Dermatol. Res. 2014, 306, 419–426. [Google Scholar] [CrossRef] [PubMed]
- Lim, P.F.C.; Liu, X.Y.; Chan, S.Y. A Review on Terpenes as Skin Penetration Enhancers in Transdermal Drug Delivery. J. Essent. Oil Res. 2009, 21, 423–428. [Google Scholar] [CrossRef]
- Guimaraes, A.G.; Serafini, M.R.; Quintans-Junior, L.J. Terpenes and derivatives as a new perspective for pain treatment: A patent review. Expert Opin. Drug Deliv. 2014, 24, 243–265. [Google Scholar] [CrossRef] [PubMed]
- Krol, S.K.; Skalicka-Wozniak, K.; Kandefer-Szerszen, M.; Stepulak, A. The biological and pharmacological activity of essential oils in the treatment and prevention of infectious diseases. Postep. Hig. I Med. Doswiadczalnej 2013, 67, 1000–1007. [Google Scholar] [CrossRef] [PubMed]
- Gonzalez-Burgos, E.; Gomez-Serranillos, M.P. Terpene Compounds in Nature: A Review of Their Potential Antioxidant Activity. Curr. Med. Chem. 2012, 19, 5319–5341. [Google Scholar] [CrossRef] [PubMed]
- Kohlert, C.; van Rensen, I.; Marz, R.; Schindler, G.; Graefe, E.U.; Veit, M. Bioavailability and pharmacokinetics of natural volatile terpenes in animals and humans. Planta Med. 2000, 66, 495–505. [Google Scholar] [CrossRef] [PubMed]
- Wu, H.; Tang, Y.; Gao, L.; Sun, W.; Hua, Y.; Yang, S.; Zhang, Z.; Liao, G.; Zhou, Q.; Luo, C.; et al. The synergetic effect of edaravone and borneol in the rat model of ischemic stroke. Eur. J. Pharm. Sci. 2014, 740, 522–531. [Google Scholar] [CrossRef] [PubMed]
- Guedes Da Silva Almeida, J.R.; Souza, G.R.; Silva, J.C.; Gomes De Lima Saraiva, S.R.; de Oliveira Junior, R.G.; Siqueira Quintans, J.D.S.; Siqueira Barreto, R.D.S.; Bonjardim, L.R.; de Holanda Cavalcanti, S.C.; Quintans Junior, L.J. Borneol, a Bicyclic Monoterpene Alcohol, Reduces Nociceptive Behavior and Inflammatory Response in Mice. Sci. World J. 2013, 2013, 808460. [Google Scholar]
- Slamenova, D.; Horvathova, E.; Wsolova, L.; Sramkova, M.; Navarova, J. Investigation of anti-oxidative, cytotoxic, DNA-damaging and DNA-protective effects of plant volatiles eugenol and borneol in human-derived HepG2, Caco-2 and VH10 cell lines. Mutat. Res. 2009, 677, 46–52. [Google Scholar] [CrossRef] [PubMed]
- Song, J.; Bi, H.; Xie, X.; Guo, J.; Wang, X.; Liu, D. Natural borneol enhances geniposide ophthalmic absorption in rabbits. Int. J. Pharm. 2013, 445, 163–170. [Google Scholar] [CrossRef] [PubMed]
- Yang, H.; Xun, Y.; Li, Z.; Hang, T.; Zhang, X.; Cui, H. Influence of Borneol on in Vitro Corneal Permeability and on in Vivo and in Vitro Corneal Toxicity. J. Int. Med. Res. 2009, 37, 791–802. [Google Scholar] [CrossRef] [PubMed]
- Li, Z.; Hao, T.; Ding, P.; Mei, L.; Gao, D.; Liu, K.; Tian, Y.; Li, L.; Tian, G. Effect of pH, Vehicles and Chemical Enhancers on the Skin Permeation of Loratadine. Lat. Am. J. Pharm. 2011, 30, 534–539. [Google Scholar]
- Qi, H.; Gao, X.; Zhang, L.; Wei, S.; Bi, S.; Yang, Z.; Cui, H. In vitro evaluation of enhancing effect of borneol on transcorneal permeation of compounds with different hydrophilicities and molecular sizes. Eur. J. Pharm. Sci. 2013, 705, 20–25. [Google Scholar] [CrossRef] [PubMed]
- Lu, Y.; Du, S.; Yao, Z.; Zhao, P.; Zhai, Y. Study on natural borneol and synthetic borneol affecting mucosal permeability of gardenia extract. Zhongguo Zhong Yao Za Zhi 2009, 34, 1207–1210. [Google Scholar] [PubMed]
- Yi, Q.; Yan, J.; Tang, S.; Huang, H.; Kang, L. Effect of borneol on the transdermal permeation of drugs with differing lipophilicity and molecular organization of stratum corneum lipids. Drug Dev. Ind. Pharm. 2016, 42, 1086–1093. [Google Scholar] [CrossRef] [PubMed]
- Case, F.; Alexandridis, P. Mesoscale Phenomena in Fluid Systems; American Chemical Society: Washington, DC, USA; Distributed by Oxford University Press: Oxford, UK, 2003. [Google Scholar]
- Naome, A.; Laaksonen, A.; Vercauteren, D.P. A Coarse-Grained Simulation Study of the Structures, Energetics, and Dynamics of Linear and Circular DNA with Its Ions. J. Chem. Theory Comput. 2015, 11, 2813–2826. [Google Scholar] [CrossRef] [PubMed]
- Rebic, M.; Mocci, F.; Laaksonen, A.; Ulicny, J. Multiscale Simulations of Human Telomeric G-Quadruplex DNA. J. Phys. Chem. B 2015, 119, 105–113. [Google Scholar] [CrossRef] [PubMed]
- Martin, A.A.T.; Tomasini, M.; Kholodovych, V.; Gu, L.; Sommerfeld, S.D.; Uhrich, K.E.; Murthy, N.S.; Welsh, W.J.; Moghe, P.V. Carbohydrate-derived amphiphilic macromolecules: A biophysical structural characterization and analysis of binding behaviors to model membranes. J. Funct. Biomater. 2015, 6, 171–191. [Google Scholar] [CrossRef]
- Bucher, D.; Hsu, Y.; Mouchlis, V.D.; Dennis, E.A.; McCammon, J.A. Insertion of the Ca2+-Independent Phospholipase A2 into a Phospholipid Bilayer via Coarse-Grained and Atomistic Molecular Dynamics Simulations. PLoS Comput. Biol. 2013, 9, e1003156. [Google Scholar] [CrossRef]
- Marrink, S.J.; de Vries, A.H.; Tieleman, D.P. Lipids on the move: Simulations of membrane pores, domains, stalks and curves. Biochim. Biophys. Acta 2009, 1788, 149–168. [Google Scholar] [CrossRef] [PubMed]
- Marrink, S.J.; Risselada, H.J.; Yefimov, S.; Tieleman, D.P.; de Vries, A.H. The MARTINI force field: Coarse grained model for biomolecular simulations. J. Phys. Chem. B 2007, 111, 7812–7824. [Google Scholar] [CrossRef] [PubMed]
- De Jong, D.H.; Singh, G.; Bennett, W.F.D.; Arnarez, C.; Wassenaar, T.A.; Schafer, L.V.; Periole, X.; Tieleman, D.P.; Marrink, S.J. Improved Parameters for the Martini Coarse-Grained Protein Force Field. J. Chem. Theory Comput. 2013, 9, 687–697. [Google Scholar] [CrossRef] [PubMed]
- Rossi, G.; Monticelli, L.; Puisto, S.R.; Vattulainen, I.; Ala-Nissila, T. Coarse-graining polymers with the MARTINI force-field: Polystyrene as a benchmark case. Soft Matter 2011, 7, 698–708. [Google Scholar] [CrossRef]
- Yesylevskyy, S.O.; Schafer, L.V.; Sengupta, D.; Marrink, S.J. Polarizable Water Model for the Coarse-Grained MARTINI Force Field. PLoS Comput. Biol. 2010, 6, e1000810. [Google Scholar] [CrossRef] [PubMed]
- Lopez, C.A.; Rzepiela, A.J.; de Vries, A.H.; Dijkhuizen, L.; Huenenberger, P.H.; Marrink, S.J. Martini Coarse-Grained Force Field: Extension to Carbohydrates. J. Chem. Theory Comput. 2009, 5, 3195–3210. [Google Scholar] [CrossRef] [PubMed]
- Monticelli, L.; Kandasamy, S.K.; Periole, X.; Larson, R.G.; Tieleman, D.P.; Marrink, S. The MARTINI coarse-grained force field: Extension to proteins. J. Chem. Theory Comput. 2008, 4, 819–834. [Google Scholar] [CrossRef] [PubMed]
- Weerhei, A.; Ponec, M. Determination of stratum corneum lipid profile by tape stripping in combination with high-performance thin-layer chromatography. Arch. Dermatol. Res. 2001, 293, 191–199. [Google Scholar] [CrossRef]
- Školová, B.; Janůšová, B.; Zbytovská, J.; Gooris, G.; Bouwstra, J.; Slepička, P.; Berka, P.; Roh, J.; Palát, K.; Hrabálek, A.; et al. Ceramides in the skin lipid membranes: Length matters. Langmuir 2013, 29, 15624–15633. [Google Scholar] [CrossRef] [PubMed]
- Školová, B.; Hudská, K.; Pullmannová, P.; Kováčik, A.; Palát, K.; Roh, J.; Fleddermann, J.; Estrela-Lopis, I.; Vávrová, K. Different phase behavior and packing of ceramides with long (C16) and very long (C24) acyls in model membranes: Infrared spectroscopy using deuterated lipids. J. Phys. Chem. B 2014, 118, 10460–10470. [Google Scholar] [CrossRef] [PubMed]
- Notman, R.; Anwar, J. Breaching the skin barrier—Insights from molecular simulation of model membranes. Adv. Drug Deliv. Rev. 2013, 65, 237–250. [Google Scholar] [CrossRef] [PubMed]
- Wertz, P.W. Lipids and barrier function of the skin. Acta Derm. Venereol. Suppl. 2000, 208, 7–11. [Google Scholar] [CrossRef]
- Wan, G.; Dai, X.; Yin, Q.; Shi, X.; Qiao, Y. Interaction of menthol with mixed-lipid bilayer of stratum corneum: A coarse-grained simulation study. J. Mol. Graph. Model. 2015, 60, 98–107. [Google Scholar] [CrossRef] [PubMed]
- Das, C.; Noro, M.G.; Olmsted, P.D. Simulation Studies of Stratum Corneum Lipid Mixtures. Biophys. J. 2009, 97, 1941–1951. [Google Scholar] [CrossRef] [PubMed]
- Das, C.; Olmsted, P.D.; Noro, M.G. Water permeation through stratum corneum lipid bilayers from atomistic simulations. Soft Matter 2009, 5, 4549–4555. [Google Scholar] [CrossRef]
- Okamoto, T.; Kobayashi, T. Synthetic derivatives of osthole for the prevention of hepatitis. Med. Chem. 2007, 3, 35–44. [Google Scholar] [CrossRef] [PubMed]
- Dai, D.; Du, G.; Wang, J. Comparison of Penetration Enhancer on Skin of Azone and Borneolum to Osthole. J. Jinling Inst. Technol. 2008, 24, 90–93. [Google Scholar]
- Fu, D.; Yong, X.; Liu, D.; Xiao, S. Effects of Borneol on Membrane Fluidity and Membrane Potential of HaCaT Cell. Chin. J. Inf. Tradit. Chin. Med. 2015, 4, 62–66. [Google Scholar]
- Kobayashi, D.; Matsuzawa, T.; Sugibayashi, K.; Morimoto, Y.; Kimura, M. Analysis of the combined effect of 1-menthol and ethanol as skin permeation enhancers based on a two-layer skin model. Pharm. Res. 1994, 11, 96–103. [Google Scholar] [CrossRef] [PubMed]
- Bennett, W.F.D.; MacCallum, J.L.; Hinner, M.J.; Marrink, S.J.; Tieleman, D.P. Molecular View of Cholesterol Flip-Flop and Chemical Potential in Different Membrane Environments. J. Am. Chem. Soc. 2009, 131, 12714–12720. [Google Scholar] [CrossRef] [PubMed]
- Gurtovenko, A.A.; Vattulainen, I. Molecular mechanism for lipid flip-flops. J. Phys. Chem. B 2007, 111, 13554–13559. [Google Scholar] [CrossRef] [PubMed]
- Pang, G.; Ye, X. Study on effect of different penetration enhancers on the transdemal penetration of Compound Fructus Cnidii Gels. China Med. Her. 2013, 10, 16–18. [Google Scholar]
- Heard, C.A.; Kung, D.; Thomas, C.P. Skin penetration enhancement of mefenamic acid by ethanol and 1,8-cineole can be explained by the “pull” effect. Int. J. Pharm. 2006, 321, 167–170. [Google Scholar] [CrossRef] [PubMed]
- Xu, W.; Wang, H.; Li, X.; Wu, T. Comparison of the effect of fructus cnidii volatileoil, mnthol and synthetic borneol on the percutaneous absorption of metronidazole in vitro. Cent. South Pharm. 2006, 4, 111–113. [Google Scholar]
- Xu, B.; Wang, H.; Xu, W. Enhancing Effect of Synthetic Borneol on Skin Permeation of Ligustrazine Hydrochloride. Chin. Tradit. Pat. Med. 2001, 12, 864–867. [Google Scholar]
- Wang, J.; Sun, J.; Chen, J.; Dai, D. The Influence of Ivermectin by Transdermal after Using Borneol and Menthol. J. Anhui Agric. Sci. 2013, 41, 11061–11063. [Google Scholar]
- PCKMOL Software Package. Available online: http://www.ime.unicamp.br/~martinez/packmol/ (accessed on 15 August 2016).
- VMD Software Package. Available online: http://www.ks.uiuc.edu/Research/vmd/ (accessed on 15 August 2016).
- GROMACS Software Package. Available online: http://www.gromacs.org/ (accessed on 15 August 2016).
- Martini Coarse Grain Force Field. Available online: http://www.cgmartini.nl/index.php/force-field-parameters (accessed on 15 August 2016).
- Goldsmith, L.B.; Friberg, S.E.; Wahlberg, J.E. The effect of solvent extraction on the lipids of the stratum corneum in relation to observed immediate whitening of the skin. Contact Dermat. 1988, 19, 348–350. [Google Scholar] [CrossRef]












| No. | CBO (%) | Je (μg/cm2·h) | Kp (cm/h) | PR (%) | ER |
|---|---|---|---|---|---|
| 1 | 0.00 | 0.9571 | 0.0014 | 3.26 | 1.0000 |
| 2 | 0.09 | 0.8737 | 0.0013 | 2.94 | 0.9129 |
| 3 | 0.31 | 0.7464 | 0.0011 | 2.67 | 0.7798 |
| 4 | 0.54 | 0.7005 | 0.0011 | 2.38 | 0.7319 |
| 5 | 0.73 | 1.6125 | 0.0024 | 5.38 | 1.6848 |
| 6 | 1.02 | 1.7064 | 0.0026 | 5.64 | 1.7828 |
© 2016 by the authors; licensee MDPI, Basel, Switzerland. This article is an open access article distributed under the terms and conditions of the Creative Commons Attribution (CC-BY) license (http://creativecommons.org/licenses/by/4.0/).
Share and Cite
Dai, X.; Yin, Q.; Wan, G.; Wang, R.; Shi, X.; Qiao, Y. Effects of Concentrations on the Transdermal Permeation Enhancing Mechanisms of Borneol: A Coarse-Grained Molecular Dynamics Simulation on Mixed-Bilayer Membranes. Int. J. Mol. Sci. 2016, 17, 1349. https://doi.org/10.3390/ijms17081349
Dai X, Yin Q, Wan G, Wang R, Shi X, Qiao Y. Effects of Concentrations on the Transdermal Permeation Enhancing Mechanisms of Borneol: A Coarse-Grained Molecular Dynamics Simulation on Mixed-Bilayer Membranes. International Journal of Molecular Sciences. 2016; 17(8):1349. https://doi.org/10.3390/ijms17081349
Chicago/Turabian StyleDai, Xingxing, Qianqian Yin, Guang Wan, Ran Wang, Xinyuan Shi, and Yanjiang Qiao. 2016. "Effects of Concentrations on the Transdermal Permeation Enhancing Mechanisms of Borneol: A Coarse-Grained Molecular Dynamics Simulation on Mixed-Bilayer Membranes" International Journal of Molecular Sciences 17, no. 8: 1349. https://doi.org/10.3390/ijms17081349
APA StyleDai, X., Yin, Q., Wan, G., Wang, R., Shi, X., & Qiao, Y. (2016). Effects of Concentrations on the Transdermal Permeation Enhancing Mechanisms of Borneol: A Coarse-Grained Molecular Dynamics Simulation on Mixed-Bilayer Membranes. International Journal of Molecular Sciences, 17(8), 1349. https://doi.org/10.3390/ijms17081349

