Molecular Approaches to Genetically Improve the Accumulation of Health-Promoting Secondary Metabolites in Staple Crops—A Case Study: The Lipoxygenase-B1 Genes and Regulation of the Carotenoid Content in Pasta Products
Abstract
:1. Introduction
2. General Overview of Plant Secondary Metabolites
2.1. Phenolic Compounds
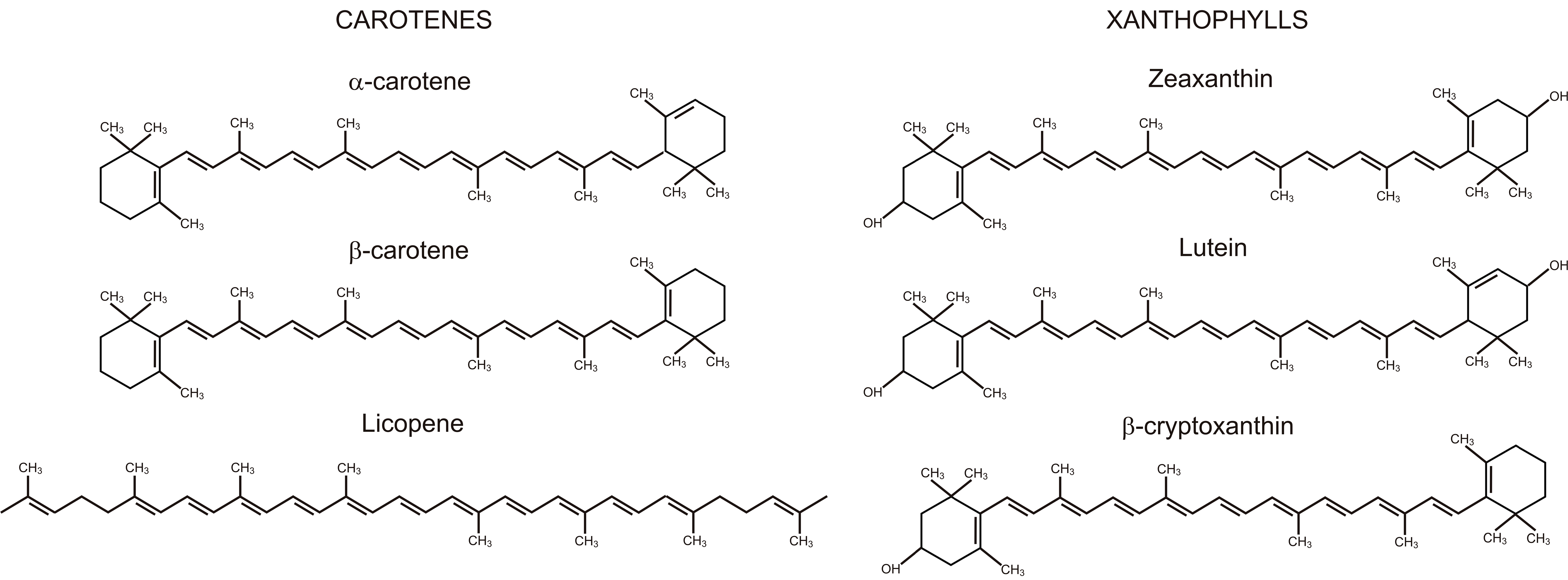
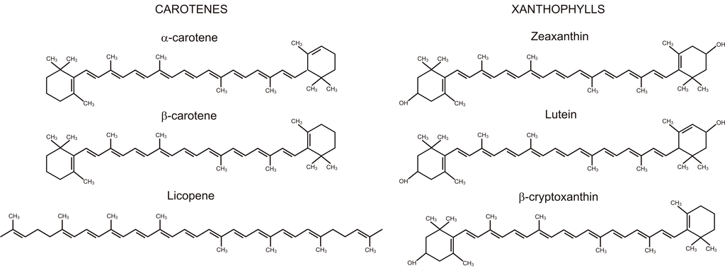
2.2. Terpenes
2.3. Nitrogen-Containing Compounds
3. Health Benefits of Secondary Metabolites
3.1. Cardiovascular Diseases
3.2. Obesity
3.3. Diabetes
3.4. Cancer
3.5. Alzheimer’s Disease
3.6. Eye Diseases
4. Molecular Tools for the Identification of Candidate Genes
4.1. Metabolite Analysis
4.2. Enzyme Analysis
4.3. Molecular Analysis
5. Genetics Approaches to Improve Phytochemical Contents in Crops
5.1. Marker-Assisted Selection
5.2. Genetic Transformation
5.3. Genome Editing
6. A Case Study: The Lipoxygenase-B1 (Lpx-B1) Genes and the Regulation of the Final Carotenoid Content in Pasta Products
7. Conclusions
Acknowledgments
Author Contributions
Conflicts of Interest
Abbreviations
| AD | Alzheimer’s disease | 
| AS-PCR | Allele specific PCR | 
| CAGE | Cap analysis of gene expression | 
| CAPS | Cleaved amplified polymorphic sequences | 
| CRISPR | Clustered regularly interspaced short palindromic repeats | 
| crRNA | CRISPR RNA | 
| CVD | Cardiovascular diseases | 
| GC | Gas chromatography | 
| HPLC | High-performance liquid chromatography | 
| InDel | Insertion/deletion | 
| IPP | Isopentenyl pyrophosphate | 
| KASP | Kompetitive allele specific PCR | 
| LC | Liquid chromatography | 
| LOX | Lipoxygense | 
| Lpx-B1 | Lipoxygenase-B1 | 
| MAS | Marker-assisted selection | 
| MITE | Miniature inverted-repeat transposable element | 
| MPSS | Massively parallel signature sequencing | 
| MS | Mass spectrometry | 
| NGS | Next-generation sequencing | 
| NIR | Near-infrared | 
| NMR | Nuclear magnetic resonance | 
| PCR | Polymerase chain reaction | 
| RT-PCR | Reverse transcription-PCR | 
| qRT-PCR | Real time quantitative RT-PCR | 
| QTL | Quantitative trait locus | 
| SAGE | Serial analysis of gene expression | 
| sgRNA | Single guide RNA | 
| SNP | Single nucleotide polymorphism | 
| T-DNA | Transferred DNA | 
| tracrRNA | Trans-activating crRNA | 
| YI | Yellow index | 
| YPC | Yellow pigment concentration | 
References
- Hussain, S.; Fareed, S.; Ansari, S.; Rahman, A.; Iffat-Zareen, A.; Saeed, M. Current approaches toward production of secondary plant metabolites. J. Pharm. Bioall. Sci. 2012, 4, 10–20. [Google Scholar] [CrossRef] [PubMed]
 - Verpoorte, R. Secondary metabolism. In Metabolic Engineering of Plant Secondary Metabolism; Verpoorte, R., Alfermann, A.W., Eds.; Kluwer Academic Publishers: Dordrecht, The Netherlands, 2000; pp. 1–29. [Google Scholar]
 - Zhang, Y.-J.; Gan, R.-Y.; Li, S.; Zhou, Y.; Li, A.-N.; Xu, D.-P.; Li, H.-B. Antioxidant phytochemicals for the prevention and treatment of chronic diseases. Molecules 2015, 20, 21138–21156. [Google Scholar] [CrossRef] [PubMed]
 - Tennant, D.R.; Davidson, J.; Day, A.J. Phytonutrient intakes in relation to European fruit and vegetable consumption patterns observed in different food surveys. Br. J. Nutr. 2014, 112, 1214–1225. [Google Scholar] [CrossRef] [PubMed]
 - Xu, Y.; Crouch, J.H. Marker-assisted selection in plant breeding: From publications to practice. Crop Sci. 2008, 48, 391–407. [Google Scholar] [CrossRef]
 - Newell, C.A. Plant transformation technology. Developments and applications. Mol. Biotechnol. 2000, 16, 53–65. [Google Scholar] [CrossRef]
 - Khatodia, S.; Bhatotia, K.; Passricha, N.; Khurana, S.M.P.; Tuteja, N. The CRISPR/Cas genome-editing tool: Application in improvement of crops. Front. Plant Sci. 2016, 7, 506. [Google Scholar] [CrossRef] [PubMed]
 - Pflieger, S.; Lefebvre, V.; Causse, M. The candidate gene approach in plant genetics: A review. Mol. Breed. 2001, 7, 275–291. [Google Scholar] [CrossRef]
 - Kabera, J.N.; Semana, E.; Mussa, A.R.; He, X. Plant secondary metabolites: Biosynthesis, classification, function and pharmacological properties. J. Pharm. Pharmacol. 2014, 2, 377–392. [Google Scholar]
 - Cheynier, V.; Comte, G.; Davies, K.M.; Lattanzio, V.; Martens, S. Plant phenolics: Recent advances on their biosynthesis, genetics, and ecophysiology. Plant Physiol. Biochem. 2013, 72, 1–20. [Google Scholar] [CrossRef] [PubMed]
 - Shahidi, F.; Ho, C.-T. Phenolics in food and natural health products: An overview. ACS Symp. Ser. 2005, 909, 1–8. [Google Scholar]
 - Cook, N.C.; Samman, S. Flavonoids—Chemistry, metabolism, cardioprotective effects, and dietary sources. J. Nutr. Biochem. 1996, 7, 66–76. [Google Scholar] [CrossRef]
 - Fernandez-Panchon, M.S.; Villano, D.; Troncoso, A.M.; Garcia-Parrilla, M.C. Antioxidant activity of phenolic compounds: From in vitro results to in vivo evidence. Crit. Rev. Food Sci. Nutr. 2008, 48, 649–671. [Google Scholar] [CrossRef] [PubMed]
 - Han, R.-M.; Zhang, J.-P.; Skibsted, L.H. Reaction dynamics of flavonoids and carotenoids as antioxidants. Molecules 2012, 17, 2140–2160. [Google Scholar] [CrossRef] [PubMed]
 - Kamal-Eldin, A.; Pouru, A.; Eliasson, C.; Åman, P. Alkylresorcinols as antioxidants: Hydrogen donation and peroxyl radical-scavenging effects. J. Sci. Food Agric. 2000, 81, 353–356. [Google Scholar] [CrossRef]
 - Vranová, E.; Coman, D.; Gruissem, W. Structure and dynamics of the isoprenoid pathway network. Mol. Plant 2012, 5, 318–333. [Google Scholar] [CrossRef] [PubMed]
 - Dudareva, N.; Pichersky, E.; Gershenzon, J. Biochemistry of plant volatiles. Plant Physiol. 2004, 135, 1893–1902. [Google Scholar] [CrossRef] [PubMed]
 - Rohmer, M. The discovery of a mevalonate-independent pathway for isoprenoid biosynthesis in bacteria, algae and higher plants. Nat. Prod. Rep. 1999, 16, 565–574. [Google Scholar] [CrossRef] [PubMed]
 - Gershenzon, J.; Dudareva, N. The function of terpene natural products in the natural world. Nat. Chem. Biol. 2007, 3, 408–414. [Google Scholar] [CrossRef] [PubMed]
 - Fraser, P.D.; Bramley, P. The biosynthesis and nutritional uses of carotenoids. Prog. Lipid Res. 2004, 43, 228–265. [Google Scholar] [CrossRef] [PubMed]
 - Krinsky, N.I.; Johnson, E.J. Carotenoid actions and their relation to health and disease. Mol. Asp. Med. 2005, 26, 459–516. [Google Scholar] [CrossRef] [PubMed]
 - Stahl, W.; Sies, H. Antioxidant activity of carotenoids. Mol. Asp. Med. 2003, 24, 345–351. [Google Scholar] [CrossRef]
 - Ramel, F.; Birtic, S.; Cuiné, S.; Triantaphylidès, C.; Ravanat, J.L.; Havaux, M. Chemical quenching of singlet oxygen by carotenoids in plants. Plant Physiol. 2012, 158, 1267–1278. [Google Scholar] [CrossRef] [PubMed]
 - Bohinc, T.; Ban, S.G.; Ban, D.; Trdan, S. Glucosinolates in plant protection strategies: A review. Arch. Biol. Sci. 2012, 64, 821–828. [Google Scholar] [CrossRef]
 - Schläger, S.; Dräger, B. Exploiting plant alkaloids. Curr. Opin. Biotechnol. 2016, 37, 155–164. [Google Scholar] [CrossRef] [PubMed]
 - Ishida, M.; Hara, M.; Fukino, N.; Kakizaki, T.; Morimitsu, Y. Glucosinolate metabolism, functionality and breeding for the improvement of Brassicaceae vegetables. Breed. Sci. 2014, 64, 48–59. [Google Scholar] [CrossRef] [PubMed]
 - Agerbirk, N.; Olsen, C.E. Glucosinolate structures in evolution. Phytochemistry 2012, 77, 16–45. [Google Scholar] [CrossRef] [PubMed]
 - Bones, A.M.; Rossiter, J.T. The enzymic and chemically induced decomposition of glucosinolates. Phytochemistry 2006, 67, 1053–1067. [Google Scholar] [CrossRef] [PubMed]
 - Cartea, M.E.; Velasco, P.; Obregon, S.; Padilla, G.; de Haro, A. Seasonal variation in glucosinolate content in Brassica oleracea crops grown in northwestern Spain. Phytochemistry 2008, 69, 403–410. [Google Scholar] [CrossRef] [PubMed]
 - Van Eylen, D.; Bellostas, N.; Strobel, B.W.; Oey, I.; Hendricks, M.; van Loey, A.; Sørensen, H.; Sørensen, J.C. Influence of pressure/temperature treatments on glucosinolate conversion in broccoli (Brassica oleracea L. cv. italica) heads. Food Chem. 2009, 112, 646–653. [Google Scholar] [CrossRef]
 - Dinkova-Kostova, A.T.; Kostov, R.V. Glucosinolates and isothiocyanates in health and disease. Trends Mol. Med. 2012, 18, 337–347. [Google Scholar] [CrossRef] [PubMed]
 - Li, F.; Hullar, M.A.J.; Beresford, S.A.A.; Lampe, J.A. Variation of glucoraphanin metabolism in vivo and ex vivo by human gut bacteria. Br. J. Nutr. 2011, 106, 408–416. [Google Scholar] [CrossRef] [PubMed]
 - Habauzit, V.; Morand, C. Evidence for a protective effect of polyphenols-containing foods on cardiovascular health: An update for clinicians. Ther. Adv. Chronic Dis. 2012, 3, 87–106. [Google Scholar] [CrossRef] [PubMed]
 - De Paula Nogueira, L.; Knibel, M.P.; Torres, M.R.; Nogueira Neto, J.F.; Sanjuliani, A.F. Consumption of high-polyphenol dark chocolate improves endothelial function in individuals with stage 1 hypertension and excess body weight. Int. J. Hypertens. 2012, 2012, 147321. [Google Scholar] [CrossRef]
 - Raj, P.; Zieroth, S.; Netticadan, T. An overview of the efficacy of resveratrol in the management of ischemic heart disease. Ann. N. Y. Acad. Sci. 2015, 1348, 55–67. [Google Scholar] [CrossRef] [PubMed]
 - Wallace, T.C.; Slavin, M.; Frankenfeld, C.L. Systematic review of anthocyanins and markers of cardiovascular disease. Nutrients 2016, 8, 32. [Google Scholar] [CrossRef] [PubMed]
 - Gormaz, J.G.; Quintremil, S.; Rodrigo, R. Cardiovascular disease: A target for the pharmacological effects of quercetin. Curr. Top. Med. Chem. 2015, 15, 1735–1742. [Google Scholar] [CrossRef] [PubMed]
 - Thushara, R.M.; Hemshekhar, M.; Santhosh, M.S.; Jnaneshwari, S.; Nayaka, S.C.; Naveen, S.; Kemparaju, K.; Girish, K.S. Crocin, a dietary additive protects platelets from oxidative stress-induced apoptosis and inhibits platelet aggregation. Mol. Cell. Biochem. 2013, 373, 73–83. [Google Scholar] [CrossRef] [PubMed]
 - Jacques, P.F.; Lyass, A.; Massaro, J.M.; Vasan, R.S.; D’Agostino, R.B. Relation of lycopene intake and consumption of tomato products to incident cardiovascular disease. Br. J. Nutr. 2013, 110, 545–551. [Google Scholar] [CrossRef] [PubMed]
 - Mukherjee, S.; Gangopadhyay, H.; Das, D.K. Broccoli: A unique vegetable that protects mammalian hearts through the redox cycling of the thioredoxin superfamily. J. Agric. Food Chem. 2008, 56, 609–617. [Google Scholar] [CrossRef] [PubMed]
 - Chan, J.; Yuen, A.; Chan, R.; Chan, S.W. A review of the cardiovascular benefits and antioxidant properties of allicin. Phytother. Res. 2013, 27, 637–646. [Google Scholar] [CrossRef] [PubMed]
 - Wang, S.; Moustaid-Moussa, N.; Chen, L.; Mo, H.; Shastri, A.; Su, R.; Bapat, P.; Kwun, I.; Shen, C.L. Novel insights of dietary polyphenols and obesity. J. Nutr. Biochem. 2014, 25, 1–18. [Google Scholar] [CrossRef] [PubMed]
 - Bonet, M.L.; Canas, J.A.; Ribot, J.; Palou, A. Carotenoids and their conversion products in the control of adipocytefunction, adiposity and obesity. Arch. Biochem. Biophys. 2015, 572, 112–125. [Google Scholar] [CrossRef] [PubMed]
 - Yoshinari, O.; Shiojima, Y.; Igarashi, K. Anti-obesity effects of onion extract in zucker diabetic fatty rats. Nutrients 2012, 4, 1518–1526. [Google Scholar] [CrossRef] [PubMed]
 - Chuang, C.C.; McIntosh, M.K. Potential mechanisms by which polyphenol-rich grapes prevent obesity-mediated inflammation and metabolic diseases. Annu. Rev. Nutr. 2011, 31, 155–176. [Google Scholar] [CrossRef] [PubMed]
 - Tiwari, A.K.; Jyothi, A.L.; Tejeswini, V.B.; Madhusudana, K.; Kumar, D.A.; Zehra, A.; Agawane, S.B. Mitigation of starch and glucose-induced postprandial glycemic excursion in rats by antioxidant-rich green-leafy vegetables juice. Pharmacogn. Mag. 2013, 9S, 66–73. [Google Scholar] [CrossRef] [PubMed]
 - Dragan, S.; Andrica, F.; Serban, M.C.; Timar, R. Polyphenols-rich natural products for treatment of diabetes. Curr. Med. Chem. 2015, 22, 14–22. [Google Scholar] [CrossRef] [PubMed]
 - Nettleton, J.A.; McKeown, N.M.; Kanoni, S.; Lemaitre, R.N.; Hivert, M.F.; Ngwa, J.; van Rooij, F.J.A.; Sonestedt, E.; Wojczynski, M.K.; Ye, Z.; et al. Interactions of dietary whole-grain intake with fasting glucose- and insulin-related genetic loci in individuals of European descent: A meta-analysis of 14 cohort studies. Diabetes Care 2010, 33, 2684–2691. [Google Scholar] [CrossRef] [PubMed]
 - Johnston, K.L.; Clifford, M.N.; Morgan, L.M. Coffee acutely modifies gastrointestinal hormone secretion and glucose tolerance in humans: Glycemic effects of chlorogenic acid and caffeine. Am. J. Clin. Nutr. 2003, 78, 728–733. [Google Scholar] [PubMed]
 - Mellor, D.D.; Madden, L.A.; Smith, K.A.; Kilpatrick, E.S.; Atkin, S.L. High-polyphenol chocolate reduces endothelial dysfunction and oxidative stress during acute transient hyperglycaemia in Type 2 diabetes: A pilot randomized controlled trial. Diabet. Med. 2012, 30, 478–483. [Google Scholar] [CrossRef] [PubMed]
 - Hokayem, M.; Blond, E.; Vidal, H.; Lambert, K.; Meugnier, E.; Feillet-Coudray, C.; Coudray, C.; Pesenti, S.; Luyton, C.; Lambert-Porcheron, S.; et al. Grape polyphenols prevent fructose induced oxidative stress and insulin resistance in first-degree relatives of type 2 diabetic patients. Diabetes Care 2013, 36, 1454–1461. [Google Scholar] [CrossRef] [PubMed]
 - Sluijs, I.; Cadier, E.; Beulens, J.W.; van der A, D.L.; Spijkerman, A.M.; van der Schouw, Y.T. Dietary intake of carotenoids and risk of type 2 diabetes. Nutr. Metab. Cardiovasc. Dis. 2015, 25, 376–381. [Google Scholar] [CrossRef] [PubMed]
 - Nichols, J.A.; Katiyar, S.K. Skin photoprotection by natural polyphenols: Anti-inflammatory, antioxidant and DNA repair mechanisms. Arch. Dermatol. Res. 2010, 302, 71–83. [Google Scholar] [CrossRef] [PubMed]
 - Kumar, M.; Kumar, S.; Kaur, S. Role of ROS and COX-2/iNOS inhibition in cancer chemoprevention: A review. Phytochem. Rev. 2012, 11, 309–337. [Google Scholar] [CrossRef]
 - Taylor, C.K.; Levy, R.M.; Elliott, J.C.; Burnett, B.P. The effect of genistein aglycone on cancer and cancer risk: A review of in vitro, preclinical, and clinical studies. Nutr. Rev. 2009, 67, 398–415. [Google Scholar] [CrossRef] [PubMed]
 - Sak, K. Site-Specific anticancer effects of dietary flavonoid quercetin. Nutr. Cancer 2014, 66, 177–193. [Google Scholar] [CrossRef] [PubMed]
 - Carter, L.G.; D’Orazio, J.A.; Pearson, K.J. Resveratrol and cancer: Focus on in vivo evidence. Endocr. Relat. Cancer 2014, 21, R209–R225. [Google Scholar] [CrossRef] [PubMed]
 - Jung, S.; Wu, K.; Giovannucci, E.; Spiegelman, D.; Willett, W.C.; Smith-Warner, S.A. Carotenoid intake and risk of colorectal adenomas in a cohort of male health professionals. Cancer Causes Control 2013, 24, 705–717. [Google Scholar] [CrossRef] [PubMed]
 - Singh, S.V.; Singh, K. Cancer chemoprevention with dietary isothiocyanates mature for clinical translational research. Carcinogenesis 2012, 33, 1833–1842. [Google Scholar] [CrossRef] [PubMed]
 - Nurk, E.; Refsum, H.; Drevon, C.A.; Tell, G.S.; Nygaard, H.A.; Engedal, K.; Smith, A.D. Intake of flavonoid-rich wine, tea, and chocolate by elderly men and women is associated with better cognitive test performance. J. Nutr. 2009, 139, 120–127. [Google Scholar] [CrossRef] [PubMed]
 - Beking, K.; Vieira, A. Flavonoid intake and disability-adjusted life years due to Alzheimer’s and related dementias: A population-based study involving twenty-three developed countries. Public Health Nutr. 2010, 13, 1403–1409. [Google Scholar] [CrossRef] [PubMed]
 - Hamaguchi, T.; Ono, K.; Murase, A.; Yamada, M. Phenolic compounds prevent Alzheimer’s pathology through different effects on the amyloid-β aggregation pathway. Am. J. Pathol. 2009, 75, 2557–2565. [Google Scholar] [CrossRef] [PubMed]
 - Roseiro, L.B.; Rauter, A.P.; Serralheiro, M.L.M. Polyphenols as acetylcholinesterase inhibitors: Structural specificity and impact on human disease. Nutr. Aging 2012, 1, 99–111. [Google Scholar]
 - Obulesu, M.; Venu, R.; Somashekhar, R. Tau mediated neurodegeneration: An insight into Alzheimer’s disease pathology. Neurochem. Res. 2011, 36, 1329–3135. [Google Scholar] [CrossRef] [PubMed]
 - Lerner, A.J.; Gustaw-Rothenberg, K.; Smyth, S.; Casadesus, G. Retinoids for treatment of Alzheimer’s disease. Biofactors 2012, 38, 84–89. [Google Scholar] [CrossRef] [PubMed]
 - Ono, K.; Yamada, M. Vitamin A and Alzheimer’s disease. Geriatr. Gerontol. Int. 2012, 12, 180–188. [Google Scholar] [CrossRef] [PubMed]
 - Koushan, K.; Rusovici, R.; Li, W.; Ferguson, L.R.; Chalam, K.V. The role of lutein in eye-related disease. Nutrients 2013, 5, 1823–1839. [Google Scholar] [CrossRef] [PubMed]
 - Faustino, J.F.; Ribeiro-Silva, A.; Dalto, R.F.; Souza, M.M.; Furtado, J.M.; de Melo Rocha, G.; Alves, M.; Rocha, E.M. Vitamin A and the eye: An old tale for modern times. Arq. Bras. Oftalmol. 2016, 79, 56–61. [Google Scholar] [CrossRef] [PubMed]
 - ChEBI. Available online: http://www.ebi.ac.uk/chebi/ (accessed on 25 May 2016).
 - GMD. Available online: http://gmd.mpimp-golm.mpg.de/ (accessed on 4 May 2016).
 - KEGG Compound. Available online: http://www.genome.jp/kegg/compound/ (accessed on 25 May 2016).
 - PubChem. Available online: http://www.ncbi.nlm.nih.gov/pccompound (accessed on 11 May 2016).
 - BRENDA. Available online: http://www.brenda-enzymes.org/ (accessed on 29 April 2016).
 - ExPASy-enzyme. Available online: http://enzyme.expasy.org/ (accessed on 29 April 2016).
 - KEGG enzyme/KEGG Reaction. Available online: http://www.genome.jp/kegg/reaction/ (accessed on 4 May 2016).
 - Rhea BioPAX. Available online: http://www.ebi.ac.uk/rhea/ (accessed on 4 May 2016).
 - Sabio-RK. Available online: http://sabio.villa-bosch.de/) (accessed on 25 May 2016).
 - KEGG pathway. Available online: http://www.genome.jp/kegg/pathway.html (accessed on 29 April 2016).
 - MetaCrop. Available online: http://metacrop.ipk-gatersleben.de/ (accessed on 25 May 2016).
 - MetaCyc. Available online: http://metacyc.org/ (accessed on 11 May 2016).
 - PANTHER Pathway. Available online: http://www.pantherdb.org/pathway/ (accessed on 11 May 2016).
 - PlantCyc. Available online: http://www.plantcyc.org/ (accessed on 4 May 2016).
 - Reactome. Available online: http://www.reactome.org/) (accessed on 25 May 2016).
 - Hill, C.B.; Roessner, U. Metabolic profiling of plants by GC–MS. In The Handbook of Plant Metabolomics; Weckwerth, W., Kahl, G., Eds.; Wiley-VCH Verlag GmbH & Co. KGaA: Weinheim, Germany, 2013; pp. 1–23. [Google Scholar]
 - PlantransDB. Available online: http://lifecenter.sgst.cn/plantransdb/index.do (accessed on 29 April 2016).
 - PLEXdb. Available online: http://www.plexdb.org/index.php (accessed on 4 May 2016).
 - leuks.cgi. Available online: http://www.ncbi.nlm.nih.gov/genomes/ (accessed on 4 May 2016).
 - Plant GDB. Available online: http://www.plantgdb.org (accessed on 11 May 2016).
 - Phytozome. Available online: http://www.phytozome.net (accessed on 11 May 2016).
 - Pérez-de-Castro, A.M.; Vilanova, S.; Cañizares, J.; Pascual, L.; Blanca, J.M.; Díez, M.J.; Prohens, J.; Picó, B. Application of genomic tools in plant breeding. Curr. Genom. 2012, 13, 179–195. [Google Scholar] [CrossRef] [PubMed]
 - Hill, C.B.; Roessner, U. Advances in high-throughput LC-MS analysis for plant metabolomics. In Advanced LC-MS Applications for Metabolomics; de Vooght-Johnson, R., Ed.; Future Science Ltd.: London, UK, 2015; pp. 58–71. [Google Scholar]
 - Murray, J.A. Qualitative and quantitative approaches in comprehensive two-dimensional gas chromatography. J. Chromatogr. A 2012, 1261, 58–68. [Google Scholar] [CrossRef] [PubMed]
 - Jandera, P. Programmed elution in comprehensive two-dimensional liquid chromatography. J. Chromatogr. A 2012, 1255, 112–129. [Google Scholar] [PubMed]
 - De Hoffmann, E.; Stroobant, V. Mass Spectrometry—Principles and Applications, 3rd ed.; John Wiley & Sons Ltd.: West Sussex, UK, 2007. [Google Scholar]
 - Eisenreich, W.; Bacher, A. Advances of high-resolution NMR techniques in the structural and metabolic analysis of plant biochemistry. Phytochemistry 2007, 68, 2799–2815. [Google Scholar] [CrossRef] [PubMed]
 - Rinnan, Å.; Engelsen, S.B. The shining future of near infrared spectroscopy in plant phenomics, crop sorting and biofuel production. NIR News 2016, 27, 20–23. [Google Scholar] [CrossRef]
 - Mélo, E.A.; Lima, V.L.A.G.; Maciel, M.I.S.; Caetano, A.C.S.; Leal, F.L.L. Polyphenol, ascorbic acid, total carotenoid contents in common fruits and vegetables. Braz. J. Food Technol. 2006, 9, 89–94. [Google Scholar]
 - Reymond, J.-L.; Fluxà, V.S.; Maillard, N. Enzyme assays. Chem. Commun. 2009, 1, 34–46. [Google Scholar]
 - Bock, R. Methoden der Analytischen Chemie; Verlag Chemie: Weinheim, Germany, 1980; Volume 2, pp. 232–238. [Google Scholar]
 - Campbell, A.K. Living light: Biochemistry, function and biomedical applications. Essays Biochem. 1989, 24, 41–81. [Google Scholar] [PubMed]
 - DeLuca, M.; McElroy, W.D. Purification and properties of firefly luciferase. Methods Enzymol. 1978, 57, 3–15. [Google Scholar]
 - Rossomando, E.F. HPLC in Enzymatic Analysis, 2nd ed.; John Wiley & Sons, Inc.: New York, NY, USA, 1998; pp. 1–12. [Google Scholar]
 - Michaelis, L.; Menten, M.L. Kinetik der invertinwirkung. Biochem. Zeitung 1913, 49, 333–369. [Google Scholar]
 - Nomenclature Committee of the International Union of Biochemistry. Symbolism and terminology in enzyme kinetics: Recommendations 1981. Arch. Biochem. Biophys. 1983, 224, 732–740. [Google Scholar]
 - He, C.; Holme, J.; Anthony, J. SNP genotyping: The KASP assay. Methods Mol. Biol. 2014, 1145, 75–86. [Google Scholar] [PubMed]
 - Konieczny, A.; Ausubel, F.M. A procedure for mapping Arabidopsis mutations using codominant ecotype-specific PCR-based markers. Plant J. 1993, 4, 403–410. [Google Scholar] [CrossRef] [PubMed]
 - Ahmadian, A.; Gharizadeh, B.; Gustafsson, A.C.; Sterky, F.; Nyrén, P.; Uhlén, M.; Lundeberg, J. Single-nucleotide polymorphism analysis by pyrosequencing. Anal. Biochem. 2000, 280, 103–110. [Google Scholar] [CrossRef] [PubMed]
 - Joice, C. Quantitative RT-PCR. In RT-PCR Protocols; O’Connell, J., Ed.; Humana Press Inc.: Totowa, NJ, USA, 2002; Volume 193, pp. 83–92. [Google Scholar]
 - VanGuilder, H.D.; Vrana, K.E.; Freeman, W.M. Twenty-five years of quantitative PCR for gene expression analysis. Biotechniques 2008, 44, 619–626. [Google Scholar] [CrossRef] [PubMed]
 - Guenin, S.; Mauriat, M.; Pelloux, J.; Van Wuytswinkel, O.; Bellini, C.; Gutierrez, L. Normalization of qRT-PCR data: The necessity of adopting a systematic, experimental conditions-specific, validation of references. J. Exp. Bot. 2009, 60, 487–493. [Google Scholar] [CrossRef] [PubMed]
 - Galbraith, D.W.; Edwards, J. Applications of microarrays for crop improvement: Here, there, and everywhere. BioScience 2010, 60, 337–348. [Google Scholar] [CrossRef]
 - Wang, Z.; Gerstein, M.; Snyder, M. RNA-Seq: A revolutionary tool for transcriptomics. Nat. Rev. Genet. 2009, 10, 57–63. [Google Scholar] [CrossRef] [PubMed]
 - Unamba, C.I.; Nag, A.; Sharma, R.K. Next generation sequencing technologies: The doorway to the unexplored genomics of non-model plants. Front. Plant Sci. 2015, 6, 1074. [Google Scholar] [CrossRef] [PubMed]
 - Collard, B.C.Y.; Mackill, D.J. Marker-assisted selection: An approach for precision plant breeding in the twenty-first century. Philos. Trans. R. Soc. B 2008, 363, 557–572. [Google Scholar] [CrossRef] [PubMed]
 - Harjes, C.E.; Rocheford, T.R.; Bai, L.; Brutnell, T.P.; Kandianis, C.B.; Sowinski, S.G.; Stapleton, A.E.; Vallabhaneni, R.; Williams, M.; Wurtzel, E.T.; et al. Natural genetic variation in lycopene epsilon cyclase tapped for maize biofortification. Science 2008, 319, 330–333. [Google Scholar] [CrossRef] [PubMed]
 - Muthusamy, V.; Hossain, F.; Thirunavukkarasu, N.; Choudhary, M.; Saha, S.; Bhat, J.S.; Prasanna, B.M.; Gupta, H.S. Development of β-carotene rich maize hybrids through marker-assisted introgression of β-carotene hydroxylase allele. PLoS ONE 2014, 9, e113583. [Google Scholar] [CrossRef] [PubMed]
 - Yan, J.; Kandianis, C.B.; Harjes, C.E.; Bai, L.; Kim, E.; Yang, X.; Skinner, D.; Fu, Z.; Mitchell, S.; Li, Q.; et al. Rare genetic variation at Zea mays crtRB1 increases β-carotene in maize grain. Nat. Genet. 2010, 42, 322–327. [Google Scholar] [CrossRef] [PubMed]
 - Xu, Y.; Xie, C.; Wan, J.; He, Z.; Prasanna, B.M. Marker-assisted selection in cereals: Platforms, strategies and examples. In Cereal Genomics II; Gupta, P.K., Varshney, R.K., Eds.; Springer Science+Business Media: Dordrecht, The Netherlands, 2013; Chapter 14; pp. 375–411. [Google Scholar]
 - Takos, A.M.; Jaffé, F.W.; Jacob, S.R.; Bogs, J.; Robinson, S.P.; Walker, A.R. Light-induced expression of a MYB gene regulates anthocyanin biosynthesis in red apples. Plant Physiol. 2006, 142, 1216–1232. [Google Scholar] [CrossRef] [PubMed]
 - Zhu, Y.; Evans, K.; Peace, C. Utility testing of an apple skin color MdMYB1 marker in two progenies. Mol. Breed. 2011, 27, 525–532. [Google Scholar] [CrossRef]
 - Chagné, D.; Carlisle, C.M.; Blond, C.; Volz, R.K.; Whitworth, C.J.; Oraguzie, N.C.; Crowhurst, R.N.; Allan, A.C.; Espley, R.V.; Hellens, R.P.; et al. Mapping a candidate gene (MdMYB10) for red flesh and foliage colour in apple. BMC Genom. 2007, 8, 212. [Google Scholar] [CrossRef] [PubMed]
 - Gelvin, S.B. Agrobacterium and plant genes involved in T-DNA transfer and integration. Annu. Rev. Plant Physiol. Plant Mol. Biol. 2000, 51, 223–256. [Google Scholar] [CrossRef] [PubMed]
 - Vasil, V.; Srivastava, A.M.; Castillo, A.M.; From, M.E.; Vasil, I.K. Rapid production of transgenic wheat plants by direct bombardment of cultured immature embryos. Nat. Biotechnol. 1993, 11, 1553–1558. [Google Scholar] [CrossRef]
 - Giuliano, G. Plant carotenoids: Genomics meets multi-gene engineering. Curr. Opin. Plant Biol. 2014, 19, 111–117. [Google Scholar] [CrossRef] [PubMed]
 - Ye, X.; Al-Babili, S.; Klöti, A.; Zhang, J.; Lucca, P.; Beyer, P.; Potrykus, I. Engineering the provitamin A (β-carotene) biosynthetic pathway into (carotenoid-free) rice endosperm. Science 2000, 287, 303–305. [Google Scholar] [CrossRef] [PubMed]
 - Paine, J.A.; Shipton, C.A.; Chaggar, S.; Howells, R.M.; Kennedy, M.J.; Vernon, G.; Wright, S.Y.; Hinchliffe, E.; Adams, J.L.; Silverstone, A.L.; et al. Improving the nutritional value of Golden Rice through increased pro-vitamin A content. Nat. Biotechnol. 2005, 23, 482–487. [Google Scholar] [CrossRef] [PubMed]
 - Diretto, G.; Al-Babili, S.; Tavazza, R.; Papacchioli, V.; Beyer, P.; Giuliano, G. Metabolic engineering of potato carotenoid content through tuber-specific overexpression of a bacterial mini-pathway. PLoS ONE 2007, 2, e350q. [Google Scholar] [CrossRef] [PubMed]
 - Lopez, A.B.; van Eck, J.; Conlin, B.J.; Paolillo, D.J.; O’Neill, J.; Li, L. Effect of the cauliflower Or transgene on carotenoid accumulation and chromoplast formation in transgenic potato tubers. J. Exp. Bot. 2008, 59, 213–223. [Google Scholar] [CrossRef] [PubMed]
 - Verhoeyen, M.E.; Bovy, A.; Collins, G.; Muir, S.; Robinson, S.; de Vos, C.H.; Colliver, S. Increasing antioxidant levels in tomatoes through modification of the flavonoid biosynthetic pathway. J. Exp. Bot. 2002, 53, 2099–2106. [Google Scholar] [CrossRef] [PubMed]
 - Nicoletti, I.; De Rossi, A.; Giovinazzo, G.; Corradini, D. Identification and quantification of stilbenes in fruits of transgenic tomato plants (Lycopersicon esculentum Mill.) by reversed phase HPLC with photodiode array and mass spectrometry detection. J. Agric. Food Chem. 2007, 55, 3304–3311. [Google Scholar] [CrossRef] [PubMed]
 - Schaeffer, S.M.; Nakata, P.A. CRISPR/Cas9-mediated genome editing and gene replacement in plants: Transitioning from lab to field. Plant Sci. 2015, 240, 130–142. [Google Scholar] [CrossRef] [PubMed]
 - Jinek, M.; Chylinski, K.; Fonfara, I.; Hauer, M.; Doudna, J.A.; Charpentier, E. A programmable dual-RNA-guided DNA endonuclease in adaptive bacterial immunity. Science 2012, 337, 816–821. [Google Scholar] [CrossRef] [PubMed]
 - Wiedenheft, B.; Sternberg, S.H.; Doudna, J.A. RNA-guided genetic silencing systems in bacteria and archaea. Nature 2012, 482, 331–338. [Google Scholar] [CrossRef] [PubMed]
 - Zhang, H.; Zhang, J.; Wei, P.; Zhang, B.; Gou, F.; Feng, Z.; Mao, Y.; Yang, L.; Zhang, H.; Xu, N.; et al. The CRISPR/Cas9 system produces specific and homozygous targeted gene editing in rice in one generation. Plant Biotechnol. J. 2014, 12, 797–807. [Google Scholar] [CrossRef] [PubMed]
 - Jia, H.; Wang, N. Targeted genome editing of sweet orange using Cas9/sgRNA. PLoS ONE 2014, 9, e93806. [Google Scholar] [CrossRef] [PubMed]
 - Hentschel, V.; Kranl, K.; Hollmann, J.; Lindhauer, M.G.; Bohmand, V.; Bitsch, R. Spectrophotometric determination of yellow pigment content and evaluation of carotenoids by high-performance liquid chromatography in durum wheat grain. J. Agric. Food Chem. 2002, 50, 6663–6668. [Google Scholar] [CrossRef] [PubMed]
 - Panfili, G.; Fratianni, A.; Irano, M. Improved normal-phase high performance liquid chromatography procedure for the determination of carotenoids in cereals. J. Agric. Food Chem. 2004, 52, 6373–6377. [Google Scholar] [CrossRef] [PubMed]
 - Burkhardt, S.; Böhm, V. Development of a new method for the complete extraction of carotenoids from cereals with special reference to durum wheat (Triticum durum Desf.). J. Agric. Food Chem. 2007, 55, 8295–8301. [Google Scholar] [CrossRef] [PubMed]
 - Digesù, A.M.; Platani, C.; Cattivelli, L.; Mangini, G.; Blanco, A. Genetic variability in yellow pigment components in cultivated and wild tetraploid wheats. J. Cereal Sci. 2009, 50, 210–218. [Google Scholar] [CrossRef]
 - Van Hung, P.; Hatcher, D.W. Ultra-performance liquid chromatography (UPLC) quantification of carotenoids in durum wheat: Influence of genotype and environment in relation to the colour of yellow alkaline noodles (YAN). Food Chem. 2011, 125, 1510–1516. [Google Scholar] [CrossRef]
 - AACC International Official Method 14-50.01. AACC International Approved Methods Analysis, 11th ed. (Method 14-50 in the 10th ed., 2000, American Association of Cereal Chemists (AACC): St. Paul, MN, USA). 2013. Available online: http://methods.aaccnet.org/toc.aspx (accessed on 12 July 2016).
 - Fu, B.X.; Schlichting, L.; Pozniak, C.J.; Singh, A.K. Pigment loss from semolina to dough: Rapid measurement and relationship with pasta colour. J. Cereal Sci. 2013, 57, 560–566. [Google Scholar] [CrossRef]
 - Beleggia, R.; Platani, C.; Nigro, F.; Cattivelli, L. A micromethod for the determination of yellow pigment content in durum wheat. J. Cereal Sci. 2010, 52, 106–110. [Google Scholar] [CrossRef]
 - Commission Internationale de l’Eclairage (CIE). Colorimetry, 2nd ed.; Publication 15.2.; Central Bureau: Wien, Austria, 1986. [Google Scholar]
 - Clarke, F.R.; Clarke, J.M.; McCaig, T.N.; Knox, R.E.; DePauw, R.M. Inheritance of yellow pigment concentration in seven durum wheat crosses. Can. J. Plant Sci. 2006, 86, 133–141. [Google Scholar] [CrossRef]
 - Pozniak, C.J.; Knox, R.E.; Clarke, F.R.; Clarke, J.M. Identification of QTL and association of a phytoene synthase gene with endosperm colour in durum wheat. Theor. Appl. Genet. 2007, 114, 525–537. [Google Scholar] [CrossRef] [PubMed]
 - De Simone, V.; Menzo, V.; de Leonardis, A.M.; Ficco, D.B.M.; Trono, D.; Cattivelli, L.; de Vita, P. Different mechanisms control lipoxygenase activity in durum wheat kernels. J. Cereal Sci. 2010, 52, 121–128. [Google Scholar] [CrossRef]
 - Pastore, D.; Trono, D.; Padalino, L.; Simone, S.; Valenti, D.; di Fonzo, N.; Passarella, S. Inhibition by α-tocopherol and l-ascorbate of linoleate hydroperoxidation and β-carotene bleaching activities in durum wheat semolina. J. Cereal Sci. 2000, 31, 41–54. [Google Scholar] [CrossRef]
 - Wang, R.; Shen, W.; Liu, L.; Jiang, L.; Liu, Y.; Su, N.; Wan, J. A novel lipoxygenase gene from developing rice seeds confers dual position specificity and responds to wounding and insect attack. Plant Mol. Biol. 2008, 66, 401–414. [Google Scholar] [CrossRef] [PubMed]
 - Umate, P. Genome-wide analysis of lipoxygenase gene family in Arabidopsis and rice. Plant Signal. Behav. 2011, 6, 335–338. [Google Scholar] [CrossRef] [PubMed]
 - Gao, X.; Stumpe, M.; Feussner, I.; Kolomiets, M. A novel plastidial lipoxygenase of maize (Zea mays) ZmLOX6 encodes for a fatty acid hydroperoxide lyase and is uniquely regulated by phytohormones and pathogen infection. Planta 2008, 227, 491–503. [Google Scholar] [CrossRef] [PubMed]
 - Park, Y.S.; Kunze, S.; Ni, X.; Feussner, I.; Kolomiets, M.V. Comparative molecular and biochemical characterization of segmentally duplicated 9-lipoxygenase genes ZmLOX4 and ZmLOX5 of maize. Planta 2010, 231, 1425–1437. [Google Scholar] [CrossRef] [PubMed]
 - Van Mechelen, J.R.; Smits, M.; Douma, A.C.; Rouster, J.; Cameron-Mills, V.; Heidekamp, F.; Valk, B.E. Primary structure of a lipoxygenase from barley grain as deduced from its cDNA sequence. Biochim. Biophys. Acta 1995, 1254, 221–225. [Google Scholar] [CrossRef]
 - Holtman, W.L.; van Duijn, G.; Sedee, N.J.A.; Douma, A.C. Differential expression of lipoxygenase isoenzymes in embryos of germinating barley. Plant Physiol. 1996, 111, 569–576. [Google Scholar] [PubMed]
 - Van Mechelen, J.R.; Schuurink, R.C.; Smits, M.; Graner, A.; Douma, A.C.; Sedee, N.J.A.; Schmitt, N.F.; Valk, B.E. Molecular characterization of two lipoxygenases from barley. Plant Mol. Biol. 1999, 39, 1283–1289. [Google Scholar] [CrossRef] [PubMed]
 - Feng, B.; Dong, Z.; Xu, Z.; An, X.; Qin, H.; Wu, N.; Wang, D.; Wang, T. Molecular analysis of lipoxygenase (LOX) genes in common wheat and phylogenetic investigation of LOX proteins from model and crop plants. J. Cereal Sci. 2010, 52, 387–394. [Google Scholar] [CrossRef]
 - Feng, B.; Dong, Z.; Xu, Z.; Wang, D.; Wang, T. Molecular characterization of a novel type of lipoxygenase (LOX) gene from common wheat (Triticum aestivum L.). Mol. Breed. 2012, 30, 113–124. [Google Scholar] [CrossRef]
 - Garbus, I.; Soresi, D.; Romero, J.; Echenique, V. Identification, mapping and evolutionary course of wheat lipoxygenase-1 genes located on the A genome. J. Cereal Sci. 2013, 58, 298–304. [Google Scholar] [CrossRef]
 - Zhang, F.; Chen, F.; Wu, P.; Zhang, N.; Cui, D. Molecular characterization of lipoxygenase genes on chromosome 4BS in Chinese bread wheat (Triticum aestivum L.). Theor. Appl. Genet. 2015, 128, 1467–1479. [Google Scholar] [CrossRef] [PubMed]
 - Carrera, A.; Echenique, V.; Zhang, W.; Helguera, M.; Manthey, F.; Schrager, A.; Picca, A.; Cervigni, G.; Dubcovsky, J. A deletion at the Lpx-B1 locus is associated with low lipoxygenase activity and improved pasta color in durum wheat Triticum turgidum ssp. durum. J. Cereal Sci. 2007, 45, 67–77. [Google Scholar] [CrossRef]
 - Garbus, I.; Carrera, A.; Dubcovsky, J.; Echenique, V. Physical mapping of durum wheat lipoxygenase. J. Cereal Sci. 2009, 50, 67–73. [Google Scholar] [CrossRef]
 - Verlotta, A.; de Simone, V.; Mastrangelo, A.M.; Cattivelli, L.; Papa, R.; Trono, D. Insight into durum wheat Lpx-B1: A small gene family coding for the lipoxygenase responsible for carotenoid bleaching in mature grains. BMC Plant Biol. 2010, 10, 263. [Google Scholar] [CrossRef] [PubMed]
 - Yang, G.; Schwarz, P.B.; Vick, B.A. Purification and characterization of lipoxygenase isoenzymes in germitating barley. Cereal Chem. 1993, 70, 589–595. [Google Scholar]
 - Hessler, G.; Thomson, M.J.; Bensher, D.; Nachit, M.M.; Sorrells, M.E. Association of a lipoxygenase locus, Lpx-B1, with variation in lipoxygenase activity in durum wheat seeds. Crop Sci. 2002, 42, 1695–1700. [Google Scholar] [CrossRef]
 - Zhang, W.; Chao, S.; Manthey, F.; Chicaiza, O.; Brevis, J.C.; Echenique, V.; Dubcovsky, J. QTL analysis of pasta quality using a composite microsatellite and SNP map of durum wheat. Theor. Appl. Genet. 2008, 117, 1361–1377. [Google Scholar] [CrossRef] [PubMed]
 - Geng, H.; Zhang, Y.; He, Z.; Zhang, L.; Appels, R.; Qu, Y.; Xia, X. Molecular markers for tracking variation in lipoxygenase activity in wheat breeding. Mol. Breed. 2011, 28, 117–126. [Google Scholar] [CrossRef]
 - Pshenichnikova, T.A.; Osipova, S.V.; Permyakova, M.D.; Mitrofanova, T.N.; Trufanov, V.A.; Lohwasser, U.; Röder, M.; Börner, A. Mapping of quantitative trait loci (QTL) associated with activity of disulfide reductase and lipoxygenase in grain of bread wheat Triticum aestivum L. Russ. J. Genet. 2008, 44, 567–574. [Google Scholar] [CrossRef]
 - Börner, A.; Röder, M.; Korzun, V. Comparative molecular mapping of GA insensitive Rht loci on chromosome 4B and 4D of common wheat (Triticum aestivum L.). Theor. Appl. Genet. 1997, 95, 1133–1137. [Google Scholar] [CrossRef]
 - Trono, D.; Pastore, D.; di Fonzo, N. Carotenoid dependent inhibition of durum wheat lipoxygenase. J. Cereal Sci. 1999, 29, 99–102. [Google Scholar] [CrossRef]
 - WheatCAP. Available online: http://maswheat.ucdavis.edu/Achievements/markers.htm (accessed on 13 May 2016).
 - Menzo, V.M. Molecular Markers Validation to Develop a Marker Assisted Selection Programme in Durum Wheat (Triticum turgidum L. subsp. durum (Desf) Husn.). Ph.D. Thesis, Tuscia University, Viterbo, Italy, 21 March 2011. [Google Scholar]
 - Menzo, V.M.; Mastrangelo, A.M.; Cattivelli, L.; Papa, R.; de Vita, P. Development of a marker assisted selection program for the improvement of durum wheat (Triticum durum Desf.). In Proceedings of the Joint Meeting AGI-SIBV-SIGA, Assisi, Italy, 19–22 September 2011.
 - De Simone, V.; Menzo, V.M.; di Paola, C.; Palumbo, G.; Ferragonio, P.; Mastrangelo, A.M.; Papa, R.; Rubiales, D.; Piarulli, L.; Simeone, R.; et al. Marker-assisted pyramiding of resistance genes and grain quality traits in durum wheat (Triticum durum Desf.). In Proceedings of the 57th Italian Society of Agricultural Genetics Annual Congress, Foggia, Italy, 16–19 September 2013.
 







| Class | Carbon Skeleton | Examples | 
|---|---|---|
| C6 | Simple phenols and benzoquinones | Catechol, 2,6-dimethoxybenzoquinone, hydroquinone, phenol, pirocatechol | 
| C6–C1 | Benzoic acids | Gallic, p-hydroxybenzoic, salicylic, siringic and vanillic acids | 
| C6–C2 | Phenylacetic acids and acetophenones | 3-Acetyl-6-methoxybenzaldehyde, tyrosol, p-hydroxyphenylacetic acid | 
| C6–C3 | Cinnammic acids and phenylpropanoids | Caffeic, ferulic, p-coumaric, sinapic acids, aesculetin, bergenon, eugenin, myristicin | 
| C6–C4 | Naphtochinones | Juglone, plumbagin | 
| C6–C1–C6 | Xanthones | Mangiferin, mangostin | 
| C6–C2–C6 | Stilbenes and anthraquinones | Astringin, resveratrol, viniferin, chrysophanol, emodin | 
| C6–C3–C6 | Flavonoids and isoflavonoids | Catechin, cyanidin, epigallocatechin-3-gallate, naringenin, quercetin, myricetin, genistein | 
| (C6–C3)2 | Lignans and neolignans | Lariciresinol, pinoresinol, eusiderin, magnolianin | 
| (C6)n | Catechol melanins | |
| (C6–C1)n | Hydrolysable tannins | |
| (C6–C2)n | Lignin, cutin and suberin | |
| (C6–C3–C6)n | Condensed tannins (proanthocyanidins) | 
| Class | Isoprene Units | Carbon Atoms | Examples | 
|---|---|---|---|
| Monoterpene | 2 | 10 | Canphor, eucalyptol, geraniol, lavandulol, limonene, menthol, pinene, thymol | 
| Sesquiterpene | 3 | 15 | Abscisic acid, bergamotene, cedrol, curcumene, patchoulol, vetivone | 
| Diterpene | 4 | 20 | Abietic acid, cafestol, caffeol, carnosol, gibberellin, phytol | 
| Triterpene | 6 | 30 | Betulinic acid, morolic acid, oleanolic acid, ursolic acid, brassinosteroids, saponins | 
| Tetraterpene | 8 | 40 | Carotenoids (e.g., α-carotene, β-carotene, crocin, licopene) and xanthophylls (e.g., lutein, zeaxanthin, α-cryptoxanthin, β-cryptoxanthin) | 
| Polyterpene | >8 | >40 | Cytokinines, gutta-percha, rubber | 
| Class | Example | Structure | 
|---|---|---|
| Aliphatic | Sinigrin |   ![]()  | 
| Glucoraphanin |   ![]()  | |
| Dehydroerucin |   ![]()  | |
| Indole | Glucobrassicin |   ![]()  | 
| Aromatic | Sinalbin |   ![]()  | 
| Gluconasturtiin |   ![]()  | 
| Haplotype a | Year of Release | Gene/Allele a | Transcript Abundance a | Linoleate Hydroperoxidation Activity (IU/g) a,b | β-Carotene Bleaching Activity (IU/g) a,b | 
|---|---|---|---|---|---|
| I | Pre–1971 | Lpx-B1.1b  Lpx-B1.3  | High  High  | 2.30–7.91  (4.60)  | 0.074–0.037  (0.058)  | 
| II | 1971–1990 | Lpx-B1.1a  Lpx-B1.2  | High  Very low  | 1.32–4.52  (2.59)  | 0.026–0.043  (0.034)  | 
| III | 1991–2005 | Lpx-B1.1c  Lpx-B1.2  | High  Very low  | 0.22–0.02  (0.12)  | 0.007–0.003  (0.005)  | 
© 2016 by the authors; licensee MDPI, Basel, Switzerland. This article is an open access article distributed under the terms and conditions of the Creative Commons Attribution (CC-BY) license (http://creativecommons.org/licenses/by/4.0/).
Share and Cite
Borrelli, G.M.; Trono, D. Molecular Approaches to Genetically Improve the Accumulation of Health-Promoting Secondary Metabolites in Staple Crops—A Case Study: The Lipoxygenase-B1 Genes and Regulation of the Carotenoid Content in Pasta Products. Int. J. Mol. Sci. 2016, 17, 1177. https://doi.org/10.3390/ijms17071177
Borrelli GM, Trono D. Molecular Approaches to Genetically Improve the Accumulation of Health-Promoting Secondary Metabolites in Staple Crops—A Case Study: The Lipoxygenase-B1 Genes and Regulation of the Carotenoid Content in Pasta Products. International Journal of Molecular Sciences. 2016; 17(7):1177. https://doi.org/10.3390/ijms17071177
Chicago/Turabian StyleBorrelli, Grazia M., and Daniela Trono. 2016. "Molecular Approaches to Genetically Improve the Accumulation of Health-Promoting Secondary Metabolites in Staple Crops—A Case Study: The Lipoxygenase-B1 Genes and Regulation of the Carotenoid Content in Pasta Products" International Journal of Molecular Sciences 17, no. 7: 1177. https://doi.org/10.3390/ijms17071177
APA StyleBorrelli, G. M., & Trono, D. (2016). Molecular Approaches to Genetically Improve the Accumulation of Health-Promoting Secondary Metabolites in Staple Crops—A Case Study: The Lipoxygenase-B1 Genes and Regulation of the Carotenoid Content in Pasta Products. International Journal of Molecular Sciences, 17(7), 1177. https://doi.org/10.3390/ijms17071177
        
                                                
                        
       




