Different Serum Free Fatty Acid Profiles in NAFLD Subjects and Healthy Controls after Oral Fat Load
Abstract
:1. Introduction
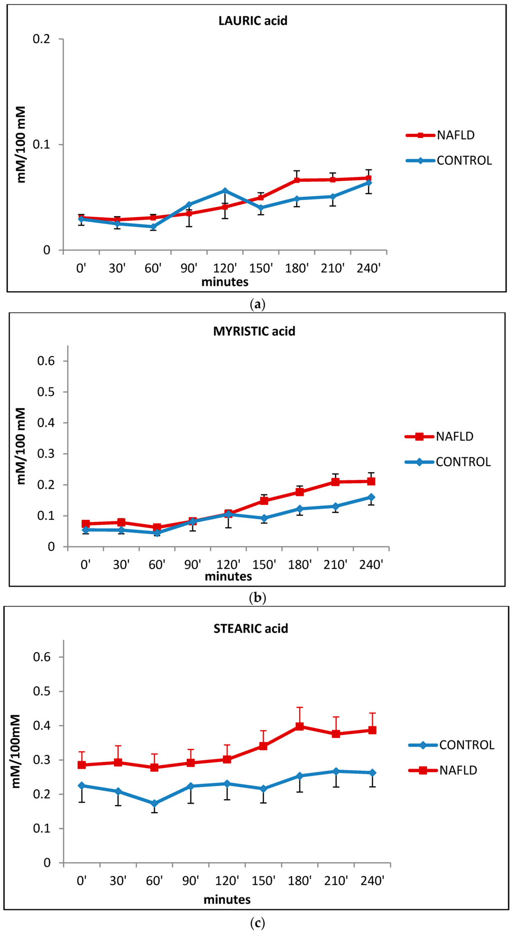
2. Results
3. Discussion
4. Experimental Section
4.1. Subjects
4.2. Oral Fat Load
4.3. Biochemical Analyses
4.4. Statistical Analysis
5. Conclusions
Acknowledgments
Author Contributions
Conflicts of Interest
References
- Kooner, J.S.; Baliga, R.R.; Wilding, J.; Crook, D.; Packard, C.J.; Banks, L.M.; Peart, S.; Aitman, T.J.; Scott, J. Abdominal obesity, impaired nonesterified fatty acid suppression, and insulin-mediated glucose disposal are early metabolic abnormalities in families with premature myocardial infarction. Arterioscler. Thromb. Vasc. Biol. 1998, 18, 1021–1026. [Google Scholar] [CrossRef] [PubMed]
- Zoratti, R.; Godsland, I.F.; Chaturvedi, N.; Crook, D.; Crook, D.; Stevenson, J.C.; McKeigue, P.M. Relation of plasma lipids to insulin resistance, nonesterified fatty acid levels, and body fat in men from three ethnic groups: Relevance to variation in risk of diabetes and coronary disease. Metabolism 2000, 49, 245–252. [Google Scholar] [CrossRef]
- Musso, G.; Gambino, R.; Cassader, M. Recent insights into hepatic lipid metabolism in non-alcoholic fatty liver disease (NAFLD). Prog. Lipid Res. 2009, 48, 1–26. [Google Scholar] [CrossRef] [PubMed]
- Musso, G.; Gambino, R.; de Michieli, F.; Biroli, G.; Fagà, E.; Pagano, G.; Cassader, M. Association of liver disease with postprandial large intestinal triglyceride-rich lipoprotein accumulation and pro/antioxidant imbalance in normolipidemic non-alcoholic steatohepatitis. Ann. Med. 2008, 40, 383–394. [Google Scholar] [CrossRef] [PubMed]
- De Almeida, I.T.; Cortez-Pinto, H.; Fidalgo, G.; Rodrigues, D.; Camilo, M.E. Plasma total and free fatty acids composition in human non-alcoholic steatohepatitis. Clin. Nutr. 2002, 21, 219–223. [Google Scholar] [CrossRef] [PubMed]
- Seidelin, K.N.; Myrup, B.; Fischer-Hansen, B. n-3 fatty acids in adipose tissue and coronary artery disease are inversely related. Am. J. Clin. Nutr. 1992, 55, 1117–1119. [Google Scholar] [PubMed]
- Musso, G.; Gambino, R.; Pacini, G.; de Michieli, F.; Cassader, M. Prolonged saturated fat-induced, glucose-dependent insulinotropic polypeptide elevation is associated with adipokine imbalance and liver injury in nonalcoholic steatohepatitis: Dysregulated enteroadipocyte axis as a novel feature of fatty liver. Am. J. Clin. Nutr. 2009, 89, 558–567. [Google Scholar] [CrossRef] [PubMed]
- Marinou, K.; Adiels, M.; Hodson, L.; Frayn, K.N.; Karpe, F.; Fielding, B.A. Young women partition fatty acids towards ketone body production rather than VLDL-TAG synthesis, compared with young men. Br. J. Nutr. 2011, 105, 857–865. [Google Scholar] [CrossRef] [PubMed]
- Nelson, R.H.; Basu, R.; Johnson, C.M.; Rizza, R.A.; Miles, J.M. Splanchnic spillover of extracellular lipase-generated fatty acids in overweight and obese humans. Diabetes 2007, 56, 2878–2884. [Google Scholar] [CrossRef] [PubMed]
- Hardy, S.; El-Assaad, W.; Przybytkowski, E.; Joly, E.; Prentki, M.; Langelier, Y. Saturated fatty acid induced-apoptosis in MDA-MB-231 breast cancer cells—A role for cardiolipin. J. Biol. Chem. 2003, 278, 31861–31870. [Google Scholar] [CrossRef] [PubMed]
- Musso, G.; Gambino, R.; Durazzo, M.; Biroli, G.; Carello, M.; Faga, E.; Pacini, G.; de Michieli, F.; Rabbione, L.; Premoli, A.; et al. Adipokines in NASH: Postprandial lipid metabolism as a link between adiponectin and liver disease. Hepatology 2005, 42, 1175–1183. [Google Scholar] [CrossRef] [PubMed]
- Okere, I.; Chandler, M.; McElfresh, T.; Rennison, J.H.; Sharov, V.; Sabbah, H.N.; Tserng, K.T.; Hoit, B.D.; Ernsberger, P.; Young, M.E.; et al. Differential effects of saturated and unsaturated fatty acid diets on cardiomyocyte apoptosis, adipose distribution, and serum leptin. Am. J. Physiol. Heart Circ. Physiol. 2006, 291, H38–H44. [Google Scholar] [CrossRef] [PubMed]
- Wang, D.; Wei, Y.R.; Pagliassotti, M.J. Saturated fatty acids promote endoplasmic reticulum stress and liver injury in rats with hepatic steatosis. Endocrinology 2006, 147, 943–951. [Google Scholar] [CrossRef] [PubMed]
- Spector, A.A.; Yorek, M.A. Membrane lipid-composition and cellular function. J. Lipid Res. 1985, 26, 1015–1035. [Google Scholar] [PubMed]
- Borradaile, N.M.; Han, X.; Harp, J.D.; Gale, S.E.; Ory, D.S.; Schaffer, J.E. Disruption of endoplasmic reticulum structure and integrity in lipotoxic cell death. J. Lipid Res. 2006, 47, 2726–2737. [Google Scholar] [CrossRef] [PubMed]
- Satapati, S.; Sunny, N.E.; Kucejova, B.; Fu, X.; He, T.T.; Méndez-Lucas, A.; Shelton, J.M.; Perales, J.C.; Browning, J.D.; Burgess, S.C. Elevated TCA cycle function in the pathology of diet-induced hepatic insulin resistance and fatty liver. J. Lipid Res. 2012, 53, 1080–1092. [Google Scholar] [CrossRef] [PubMed]
- Sunny, N.E.; Parks, E.J.; Browning, J.D.; Burgess, S.C. Excessive hepatic mitochondrial TCA cycle and gluconeogenesis in humans with nonalcoholic fatty liver disease. Cell Metab. 2011, 14, 804–810. [Google Scholar] [CrossRef] [PubMed]
- Nakamura, S.; Takamura, T.; Matsuzawa-Nagata, N.; Takayama, H.; Misu, H.; Noda, H.; Nabemoto, S.; Kurita, S.; Ota, T.; Ando, H.; et al. Palmitate induces insulin resistance in H4IIEC3 hepatocytes through reactive oxygen species produced by mitochondria. J. Biol. Chem. 2009, 284, 14809–14818. [Google Scholar] [CrossRef] [PubMed]
- Paumen, M.B.; Ishida, Y.; Muramatsu, M.; Yamamoto, M.; Honjo, T. Inhibition of carnitine palmitoyltransferase I augments sphingolipid synthesis and palmitate-induced apoptosis. J. Biol. Chem. 1997, 272, 3324–3329. [Google Scholar] [CrossRef] [PubMed]
- Summers, S.A. Ceramides in insulin resistance and lipotoxicity. Prog. Lipid Res. 2006, 45, 42–72. [Google Scholar] [CrossRef] [PubMed]
- Maeda, K.; Cao, H.; Kono, K.; Gorgun, C.Z.; Furuhashi, M.; Uysal, K.T.; Cao, Q.; Atsumi, G.; Malone, H.; Krishnan, B.; et al. Adipocyte/macrophage fatty acid binding proteins control integrated metabolic responses in obesity and diabetes. Cell Metab. 2005, 1, 107–119. [Google Scholar] [CrossRef] [PubMed]
- Yli-Jama, P.; Meyer, H.E.; Ringstad, J.; Pedersen, J.I. Serum free fatty acid pattern and risk of myocardial infarction: A case-control study. J. Intern. Med. 2002, 251, 19–28. [Google Scholar] [CrossRef] [PubMed]
- Miles, J.M.; Park, Y.S.; Walewicz, D.; Russell-Lopez, C.; Windsor, S.; Isley, W.L.; Coppack, S.W.; Harris, W.S. Systemic and forearm triglyceride metabolism: Fate of lipoprotein lipase-generated glycerol and free fatty acids. Diabetes 2004, 53, 521–527. [Google Scholar] [CrossRef] [PubMed]
- Havel, R.J.; Hamilton, R.L. Hepatic catabolism of remnant lipoproteins: Where the action is. Arterioscler. Thromb. Vasc. Biol. 2004, 24, 213–215. [Google Scholar] [PubMed]
- Griffiths, A.J.; Humphreys, S.M.; Clark, M.L.; Fielding, B.A.; Frayn, K.N. Immediate metabolic availability of dietary fat in combination with carbohydrate. Am. J. Clin. Nutr. 1994, 59, 53–59. [Google Scholar] [PubMed]
- Weiss, E.P.; Fields, D.A.; Mittendorfer, B.; Dorien Haverkort, A.M.; Klein, S. Reproducibility of postprandial lipemia test and validity of an abbreviated 4-h test. Metabolism 2008, 57, 1479–1485. [Google Scholar] [CrossRef] [PubMed]
- Musso, G.; Gambino, R.; De Michieli, F.; Cassader, M.; Rizzetto, M.; Durazzo, M.; Fagà, E.; Silli, B.; Pagano, G. Dietary habits and their relation to insulin resistance in nonalcoholic steatohepatitis. Hepatology 2003, 37, 909–916. [Google Scholar] [CrossRef] [PubMed]
- Cassader, M.; Gambino, R.; Musso, G.; Depetris, N.; Mecca, F.; Cavallo-Perin, P.; Pacini, G.; Rizzetto, M.; Pagano, G. Postprandial triglyceride-rich lipoprotein metabolism and insulin sensitivity in nonalcoholic steatohepatitis patients. Lipids 2001, 36, 1117–1124. [Google Scholar] [CrossRef] [PubMed]
- Ntambi, J.M.; Miyazaki, M. Regulation of stearoyl-CoA desaturases and role in metabolism. Prog. Lipid Res. 2004, 43, 91–104. [Google Scholar] [CrossRef]
- Inagaki, K.; Aki, T.; Fukuda, Y.; Kawamoto, S.; Shigeta, S.; Ono, K.; Suzuki, O. Identification and expression of a rat fatty acid elongase involved in the biosynthesis of C18 fatty acids. Biosci. Biotechnol. Biochem. 2002, 66, 613–621. [Google Scholar] [CrossRef] [PubMed]
- Sampath, H.; Ntambi, J.M. The fate and intermediary metabolism of stearic acid. Lipids 2005, 40, 1187–1191. [Google Scholar] [CrossRef] [PubMed]
- Sun, Y.; Hao, M.M.; Luo, Y.; Liang, C.P.; Silver, D.L.; Cheng, C.; Maxfield, F.R.; Tall, A.R. Stearoyl-CoA desaturase inhibits ATP-binding cassette transporter A1-mediated cholesterol efflux and modulates membrane domain structure. J. Biol. Chem. 2003, 278, 5813–5820. [Google Scholar] [CrossRef] [PubMed]
- Attie, A.D.; Krauss, R.M.; Gray-Keller, M.P.; Brownlie, A.; Miyazaki, M.; Kastelein, J.J.; Lusis, A.J.; Stalenhoef, A.F.; Stoehr, J.P.; Hayden, M.R.; et al. Relationship between stearoyl-CoA desaturase activity and plasma triglycerides in human and mouse hypertriglyceridemia. J. Lipid Res. 2002, 43, 1899–1907. [Google Scholar] [CrossRef] [PubMed]
- Le, H.D.; Meisel, J.A.; de Meijer, V.E.; Gura, K.M.; Puder, M. The essentiality of arachidonic acid and docosahexaenoic acid. Prostaglandins Leukot. Essent. Fatty Acids 2009, 81, 165–170. [Google Scholar] [CrossRef] [PubMed]
- Brenna, J.T.; Salem, N., Jr.; Sinclair, A.J.; Cunnane, S.C. α-Linolenic acid supplementation and conversion to n-3 long-chain polyunsaturated fatty acids in humans. Prostaglandins Leukot. Essent. Fatty Acids 2009, 80, 85–91. [Google Scholar] [CrossRef] [PubMed]
- Roche, H.M.; Gibney, M.J. Effect of long-chain n-3 polyunsaturated fatty acids on fasting and postprandial triacylglycerol metabolism. Am. J. Clin. Nutr. 2000, 71, 232s–237s. [Google Scholar] [PubMed]
- Tulk, H.; Robinson, L. Modifying the n-6/n-3 polyunsaturated fatty acid ratio of a high-saturated fat challenge does not acutely attenuate postprandial changes in inflammatory markers in men with metabolic syndrome. Metabolism 2009, 58, 1709–1716. [Google Scholar] [CrossRef] [PubMed]
- Song, Z.; Yang, L.; Shu, G.; Lu, H.; Sun, G. Effects of the n-6/n-3 polyunsaturated fatty acids ratio on postprandial metabolism in hypertriacylglycerolemia patients. Lipids Health Dis. 2013, 12, 181–188. [Google Scholar] [CrossRef] [PubMed]
- Warnick, G.R.; Albers, J.J. A comprehensive evolution of the heparin manganese precipitation procedure for estimating high density lipoprotein cholesterol. J. Lipid Res. 1978, 29, 65–76. [Google Scholar]
- Gidez, L.I.; Miller, G.J.; Burnstein, M.; Slagle, S.; Eder, H.A. Separation and quantitation of subclasses of human plasma HDL by a single precipitation procedure. J. Lipid Res. 1982, 23, 1206–1216. [Google Scholar] [PubMed]
- Katz, A.; Nambi, S.S.; Mather, K.; Baron, A.D.; Follmann, D.A.; Sullivan, G.; Quon, M.J. Quantitative insulin sensitivity check index: A simple, accurate method for assessing insulin sensitivity in humans. J. Clin. Endocrinol. Metab. 2000, 85, 2402–2410. [Google Scholar] [CrossRef] [PubMed]
- Matthews, D.R.; Hosker, J.P.; Rudenski, A.S.; Naylor, B.A.; Treacher, D.F.; Turner, R.C. Homeostasis model assessment: Insulin resistance and β-cell function from fasting plasma glucose and insulin concentrations in man. Diabetologia 1985, 28, 412–419. [Google Scholar] [CrossRef] [PubMed]
- Matsuzawa, T.; Mishima, K.; Nishii, M.; Ito, M. Serum fatty acids analysis by high performance liquid chromatography, after enzymatic hydrolysis and isolation by Sep-Pak C18 minicolumn. Biochem. Int. 1987, 15, 693–702. [Google Scholar] [PubMed]









| Parameters | Control Group (n = 9) | NAFLD Group (n = 21) | p |
|---|---|---|---|
| Age (year) | 27 ± 2 | 40 ± 9 | 0.001 |
| BMI (kg/m2) | 21 ± 2 | 28 ± 4 | 0.002 |
| Systolic blood pressure (mmHg) | 119 ± 4 | 125 ± 8 | 0.049 |
| Waist (cm) | 73 ± 6 | 94 ± 8 | 0.000001 |
| Diastolic blood pressure (mmHg) | 80 ± 0 | 82 ± 9 | 0.615 |
| Glucose (mg/dL) | 91 ± 5 | 98 ± 11 | 0.097 |
| Triglycerides (mg/dL) | 59 ± 19 | 100 ± 49 | 0.021 |
| Cholesterol (mg/dL) | 168 ± 27 | 182 ± 34 | 0.306 |
| HDL-Chol (mg/dL) | 54 ± 13 | 42 ± 8 | 0.007 |
| HDL2-Chol (mg/dL) | 20 ± 8 | 12 ± 4 | 0.003 |
| HDL3-Chol (mg/dL) | 34.22 ± 5 | 30 ± 5 | 0.072 |
| LDL-Chol (mg/dL) | 107 ± 27 | 125 ± 29 | 0.139 |
| FFA (mmol/L) | 0.73 ± 0.41 | 1.07 ± 0.59 | 0.131 |
| sdLDL (mg/dL) | 21 ± 11 | 31 ± 18 | 0.127 |
| c-Peptide (pM/mL) | 0.54 ± 0.13 | 0.92 ± 0.35 | 0.004 |
| Insulin (µU/mL) | 6.28 ± 1.99 | 12.7 ± 7.68 | 0.021 |
| AST (U/L) | 20 ± 4 | 33 ± 10 | 0.002 |
| ALT (U/L) | 16 ± 4 | 64 ± 30 | 0.001 |
| GGT (U/L) | 14 ± 12 | 80 ± 74 | 0.021 |
| ALP (U/L) | 51 ± 21 | 75 ± 23 | 0.016 |
| HOMA-IR | 1.42 ± 0.49 | 3.16 ± 2.13 | 0.024 |
| QUICKI index | 0.367 ± 0.02 | 0.333 ± 0.03 | 0.008 |
| Fatty Acids | 200 g Dairy Cream (38% fat) | NO. 1 Egg Yolk | Total Fat Load |
|---|---|---|---|
| C12:0 (g) | 3.02 | ||
| C14:0 (g) | 9.18 | 0.013 | |
| C16:0 (g) | 21.40 | 1.020 | |
| C18:0 (g) | 7.54 | 0.630 | |
| Total SFA (g) | 52.75 | 1.67 | 54.32 |
| C18:1 (g) | 18.00 | 1.30 | |
| Total MUFA (g) | 20.48 | 1.33 | 21.81 |
| C18:2 (g) | 1.52 | 0.650 | |
| C18:3 (g) | 0.20 | 0.019 | |
| C20:4 (g) | 0.120 | ||
| Total PUFA (g) | 2.07 | 0.74 | 2.82 |
| Total fat (g) | 75.30 | 4.66 | 79.96 |
| Cholesterol (mg) | 228.00 | 213.92 | 441.92 |
| Proteins (g) | 1.60 | 2.53 | 4.12 |
| Carbohydrates (g) | 2.28 | 2.28 | |
| Kcal | 693.20 | 52.02 | 745.22 |
© 2016 by the authors; licensee MDPI, Basel, Switzerland. This article is an open access article distributed under the terms and conditions of the Creative Commons by Attribution (CC-BY) license (http://creativecommons.org/licenses/by/4.0/).
Share and Cite
Gambino, R.; Bugianesi, E.; Rosso, C.; Mezzabotta, L.; Pinach, S.; Alemanno, N.; Saba, F.; Cassader, M. Different Serum Free Fatty Acid Profiles in NAFLD Subjects and Healthy Controls after Oral Fat Load. Int. J. Mol. Sci. 2016, 17, 479. https://doi.org/10.3390/ijms17040479
Gambino R, Bugianesi E, Rosso C, Mezzabotta L, Pinach S, Alemanno N, Saba F, Cassader M. Different Serum Free Fatty Acid Profiles in NAFLD Subjects and Healthy Controls after Oral Fat Load. International Journal of Molecular Sciences. 2016; 17(4):479. https://doi.org/10.3390/ijms17040479
Chicago/Turabian StyleGambino, Roberto, Elisabetta Bugianesi, Chiara Rosso, Lavinia Mezzabotta, Silvia Pinach, Natalina Alemanno, Francesca Saba, and Maurizio Cassader. 2016. "Different Serum Free Fatty Acid Profiles in NAFLD Subjects and Healthy Controls after Oral Fat Load" International Journal of Molecular Sciences 17, no. 4: 479. https://doi.org/10.3390/ijms17040479
APA StyleGambino, R., Bugianesi, E., Rosso, C., Mezzabotta, L., Pinach, S., Alemanno, N., Saba, F., & Cassader, M. (2016). Different Serum Free Fatty Acid Profiles in NAFLD Subjects and Healthy Controls after Oral Fat Load. International Journal of Molecular Sciences, 17(4), 479. https://doi.org/10.3390/ijms17040479

