Stromal Cell-Derived Factor 1 Gene Polymorphism Is Associated with Susceptibility to Adverse Long-Term Allograft Outcomes in Non-Diabetic Kidney Transplant Recipients
Abstract
:1. Introduction
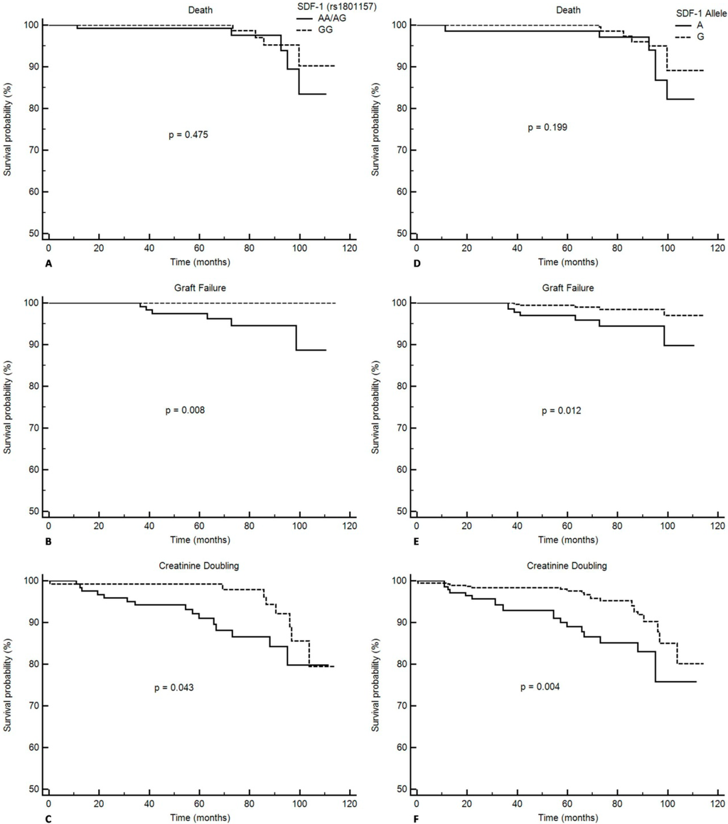
2. Results

| Variable | SDF-1 | ||
|---|---|---|---|
| AA/AG | GG | p | |
| Number | 121 | 131 | |
| Adverse outcome (n, %) | 16 (13.2) | 9 (6.9) | 0.092 |
| Gender (male, %) | 57 (47.1) | 69 (52.7) | 0.377 |
| Age at transplant (year) | 53.0 ± 10.5 | 51.8 ± 12.3 | 0.559 |
| HLA mismatch (n, %) | |||
| ≤3 | 71 (65.7) | 73 (61.3) | 0.492 |
| >3 | 37 (34.3) | 46 (38.7) | |
| Parental DM (n, %) | 10 (8.3) | 13 (9.9) | 0.648 |
| Cigarette smoke (n, %) | 31 (26.1) | 39 (30.5) | 0.441 |
| HBV (n, %) | 13 (10.7) | 11 (8.4) | 0.526 |
| HCV (n, %) | 14 (11.6) | 7 (5.3) | 0.074 |
| Hypertension (n, %) | 98 (81) | 106 (80.9) | 0.988 |
| Cardiovascular event (n , %) | 6 (5) | 7 (5.3) | 0.890 |
| CVA | 3 (2.5) | 2 (1.5) | 0.588 |
| CAD | 2 (1.7) | 2 (1.5) | 0.936 |
| PAOD | 2 (1.7) | 4 (3.1) | 0.466 |
| Blood chemistry at Tx | |||
| Glucose (g/dL) | 95.6 ± 11.7 | 97.3 ± 12.4 | 0.494 |
| Triglyceride (mg/dL) | 123.6 ± 52.2 | 142.9 ± 77.7 | 0.187 |
| Total cholesterol (mg/dL) | 164.6 ± 35.9 | 163.6 ± 35.6 | 0.869 |
| Albumin (g/dL) | 4.2 ± 0.56 | 4.2 ± 0.48 | 0.862 |
| Calcium (mg/dL) | 9.0 ± 1.03 | 9.0 ± 1.05 | 0.890 |
| Phosphate (mg/dL) | 2.49 ± 1.39 | 2.54 ± 1.35 | 0.839 |
| Body mass index (kg/m2) | 22.0 ± 3.3 | 22.6 ± 3.6 | 0.183 |
| Treatment (n, %) | |||
| Tacrolimus | 92 (76) | 100 (76.3) | 0.626 |
| Cyclosporine | 28 (23.1) | 28 (21.4) | |
| Serum Creatinine post-Tx | |||
| 1 month | 1.47 ± 1.02 | 1.45 ± 0.79 | 0.788 |
| 3 month | 1.32 ± 0.38 | 0.33 ± 0.38 | 0.720 |
| 6 month | 1.29 ± 0.43 | 1.32 ± 0.40 | 0.232 |
| 12 month | 1.26 ± 0.48 | 1.28 ± 0.50 | 0.988 |
| Δ12-6 | −0.04 ± 0.36 | −0.04 ± 0.34 | 0.707 |


| Variant | aHR | 95% CI | p |
|---|---|---|---|
| GG | 1 | ||
| AA/AG | 2.742 | 1.106–6.799 | 0.03 |
| G | 1 | ||
| A | 2.306 | 1.254–4.24 | 0.008 |
3. Discussion
4. Materials and Methods
4.1. Subjects
4.2. Genomic DNA Extraction
4.3. Polymerase Chain Reaction—Restriction Fragment Length Polymorphism (PCR-RFLP)
4.4. Adverse Composite Outcome
4.5. Statistical Analysis
5. Conclusions
Acknowledgments
Author Contributions
Conflicts of interest
References
- Schwarz, A.; Mengel, M.; Gwinner, W.; Radermacher, J.; Hiss, M.; Kreipe, H.; Haller, H. Risk factors for chronic allograft nephropathy after renal transplantation: A protocol biopsy study. Kidney Int. 2005, 67, 341–348. [Google Scholar] [CrossRef]
- Meier-Kriesche, H.U.; Schold, J.D.; Srinivas, T.R.; Kaplan, B. Lack of improvement in renal allograft survival despite a marked decrease in acute rejection rates over the most recent era. Am. J. Transplant. 2004, 4, 378–383. [Google Scholar] [CrossRef]
- Chapman, J.R.; O’Connell, P.J.; Nankivell, B.J. Chronic renal allograft dysfunction. J. Am. Soc. Nephrol. 2005, 16, 3015–3026. [Google Scholar] [CrossRef]
- Thakkinstian, A.; Dmitrienko, S.; Gerbase-Delima, M.; McDaniel, D.O.; Inigo, P.; Chow, K.M.; McEvoy, M.; Ingsathit, A.; Trevillian, P.; Barber, W.H.; et al. Association between cytokine gene polymorphisms and outcomes in renal transplantation: A meta-analysis of individual patient data. Nephrol. Dial. Transplant. 2008, 23, 3017–3023. [Google Scholar] [CrossRef]
- Dmitrienko, S.; Hoar, D.I.; Balshaw, R.; Keown, P.A. Immune response gene polymorphisms in renal transplant recipients. Transplantation 2005, 80, 1773–1782. [Google Scholar]
- Tsai, J.P.; Yang, S.F.; Wu, S.W.; Hung, T.W.; Tsai, H.C.; Lian, J.D.; Chang, H.R. Association between interleukin 23 receptor polymorphism and kidney transplant outcomes: A 10-year taiwan cohort study. Clin. Chim. Acta 2011, 412, 958–962. [Google Scholar]
- Alakulppi, N.S.; Kyllonen, L.E.; Jantti, V.T.; Matinlauri, I.H.; Partanen, J.; Salmela, K.T.; Laine, J.T. Cytokine gene polymorphisms and risks of acute rejection and delayed graft function after kidney transplantation. Transplantation 2004, 78, 1422–1428. [Google Scholar] [CrossRef]
- Anders, H.J.; Romagnani, P.; Mantovani, A. Pathomechanisms: Homeostatic chemokines in health, tissue regeneration, and progressive diseases. Trends Mol. Med. 2014, 20, 154–165. [Google Scholar] [CrossRef]
- Shirozu, M.; Nakano, T.; Inazawa, J.; Tashiro, K.; Tada, H.; Shinohara, T.; Honjo, T. Structure and chromosomal localization of the human stromal cell-derived factor 1 (sdf1) gene. Genomics 1995, 28, 495–500. [Google Scholar] [CrossRef]
- Winkler, C.; Modi, W.; Smith, M.W.; Nelson, G.W.; Wu, X.; Carrington, M.; Dean, M.; Honjo, T.; Tashiro, K.; Yabe, D.; et al. Genetic restriction of aids pathogenesis by an sdf-1 chemokine gene variant. Alive study, hemophilia growth and development study (hgds), multicenter aids cohort study (macs), multicenter hemophilia cohort study (mhcs), san francisco city cohort (sfcc). Science 1998, 279, 389–393. [Google Scholar] [CrossRef]
- Gianesin, K.; Freguja, R.; Carmona, F.; Zanchetta, M.; del Bianco, P.; Malacrida, S.; Montagna, M.; Rampon, O.; Giaquinto, C.; de Rossi, A. The role of genetic variants of stromal cell-derived factor 1 in pediatric hiv-1 infection and disease progression. PLoS One 2012, 7, e44460. [Google Scholar] [CrossRef]
- Soriano, A.; Martinez, C.; Garcia, F.; Plana, M.; Palou, E.; Lejeune, M.; Arostegui, J.I.; de Lazzari, E.; Rodriguez, C.; Barrasa, A.; et al. Plasma stromal cell-derived factor (Sdf)-1 levels, Sdf1-3'A genotype, and expression of cxcr4 on t lymphocytes: Their impact on resistance to human immunodeficiency virus type 1 infection and its progression. J. Infect. Dis. 2002, 186, 922–931. [Google Scholar] [CrossRef]
- Xiao, Q.; Ye, S.; Oberhollenzer, F.; Mayr, A.; Jahangiri, M.; Willeit, J.; Kiechl, S.; Xu, Q. Sdf1 gene variation is associated with circulating sdf1alpha level and endothelial progenitor cell number: The bruneck study. PLoS One 2008, 3, e4061. [Google Scholar] [CrossRef]
- Schroppel, B.; Fischereder, M.; Ashkar, R.; Lin, M.; Kramer, B.K.; Mardera, B.; Schiano, T.; Murphy, B. The impact of polymorphisms in chemokine and chemokine receptors on outcomes in liver transplantation. Am. J. Transplant. 2002, 2, 640–645. [Google Scholar] [CrossRef]
- Togel, F.E.; Westenfelder, C. Role of sdf-1 as a regulatory chemokine in renal regeneration after acute kidney injury. Kidney Int. Suppl. 2011, 1, 87–89. [Google Scholar] [CrossRef]
- Togel, F.; Isaac, J.; Hu, Z.; Weiss, K.; Westenfelder, C. Renal sdf-1 signals mobilization and homing of cxcr4-positive cells to the kidney after ischemic injury. Kidney Int. 2005, 67, 1772–1784. [Google Scholar] [CrossRef]
- Gao, C.; Huan, J. Sdf-1 plays a key role in chronic allograft nephropathy in rats. Transplant. Proc. 2008, 40, 1674–1678. [Google Scholar] [CrossRef]
- Parekh, J.; Bostrom, A.; Feng, S. Diabetes mellitus: A risk factor for delayed graft function after deceased donor kidney transplantation. Am. J. Transplant. 2010, 10, 298–303. [Google Scholar] [CrossRef]
- Einollahi, B.; Jalalzadeh, M.; Taheri, S.; Nafar, M.; Simforoosh, N. Outcome of kidney transplantation in type 1 and type 2 diabetic patients and recipients with posttransplant diabetes mellitus. Urol. J. 2008, 5, 248–254. [Google Scholar]
- Tsai, J.P.; Lian, J.D.; Wu, S.W.; Hung, T.W.; Tsai, H.C.; Chang, H.R. Long-term impact of pretransplant and posttransplant diabetes mellitus on kidney transplant outcomes. World J. Surg. 2011, 35, 2818–2825. [Google Scholar] [CrossRef]
- Manetti, M.; Liakouli, V.; Fatini, C.; Cipriani, P.; Bonino, C.; Vettori, S.; Guiducci, S.; Montecucco, C.; Abbate, R.; Valentini, G.; et al. Association between a stromal cell-derived factor 1 (sdf-1/cxcl12) gene polymorphism and microvascular disease in systemic sclerosis. Ann. Rheum. Dis. 2009, 68, 408–411. [Google Scholar] [CrossRef]
- Ghilardi, G.; Biondi, M.L.; Turri, O.; Pateri, F.; d’Eril, G.M.; Scorza, R. Genetic control of chemokines in severe human internal carotid artery stenosis. Cytokine 2008, 41, 24–28. [Google Scholar] [CrossRef]
- Ding, M.; Hui, S.; Li, C.; Jothy, S.; Haase, V.; Steer, B.M.; Marsden, P.A.; Pippin, J.; Shankland, S.; Rastaldi, M.P.; et al. Loss of the tumor suppressor Vhlh leads to upregulation of Cxcr4 and rapidly progressive glomerulonephritis in mice. Nat. Med. 2006, 12, 1081–1087. [Google Scholar] [CrossRef]
- Neusser, M.A.; Lindenmeyer, M.T.; Moll, A.G.; Segerer, S.; Edenhofer, I.; Sen, K.; Stiehl, D.P.; Kretzler, M.; Grone, H.J.; Schlondorff, D.; et al. Human nephrosclerosis triggers a hypoxia-related glomerulopathy. Am. J. Pathol. 2010, 176, 594–607. [Google Scholar] [CrossRef]
- Darisipudi, M.N.; Kulkarni, O.P.; Sayyed, S.G.; Ryu, M.; Migliorini, A.; Sagrinati, C.; Parente, E.; Vater, A.; Eulberg, D.; Klussmann, S.; et al. Dual blockade of the homeostatic chemokine CXCL12 and the proinflammatory chemokine CCL2 has additive protective effects on diabetic kidney disease. Am. J. Pathol. 2011, 179, 116–124. [Google Scholar] [CrossRef]
- Stokman, G.; Stroo, I.; Claessen, N.; Teske, G.J.; Florquin, S.; Leemans, J.C. Sdf-1 provides morphological and functional protection against renal ischaemia/reperfusion injury. Nephrol. Dial. Transplant. 2010, 25, 3852–3859. [Google Scholar] [CrossRef]
- Chen, L.H.; Advani, S.L.; Thai, K.; Kabir, M.G.; Sood, M.M.; Gibson, I.W.; Yuen, D.A.; Connelly, K.A.; Marsden, P.A.; Kelly, D.J.; et al. Sdf-1/cxcr4 signaling preserves microvascular integrity and renal function in chronic kidney disease. PLoS One 2014, 9, e92227. [Google Scholar]
- Hoffmann, U.; Banas, B.; Kruger, B.; Banas, M.; Bergler, T.; Boger, C.; Kammerl, M.; Obed, A.; Rummele, P.; Segerer, S.; et al. Sdf-1 expression is elevated in chronic human renal allograft rejection. Clin. Transplant. 2006, 20, 712–718. [Google Scholar] [CrossRef]
- Di Marco, G.S.; Rustemeyer, P.; Brand, M.; Koch, R.; Kentrup, D.; Grabner, A.; Greve, B.; Wittkowski, W.; Pavenstadt, H.; Hausberg, M.; et al. Circulating endothelial progenitor cells in kidney transplant patients. PLoS One 2011, 6, e24046. [Google Scholar] [CrossRef]
© 2014 by the authors; licensee MDPI, Basel, Switzerland. This article is an open access article distributed under the terms and conditions of the Creative Commons Attribution license (http://creativecommons.org/licenses/by/3.0/).
Share and Cite
Wang, C.-J.; Tsai, J.-P.; Yang, S.-F.; Lian, J.-D.; Chang, H.-R. Stromal Cell-Derived Factor 1 Gene Polymorphism Is Associated with Susceptibility to Adverse Long-Term Allograft Outcomes in Non-Diabetic Kidney Transplant Recipients. Int. J. Mol. Sci. 2014, 15, 12495-12506. https://doi.org/10.3390/ijms150712495
Wang C-J, Tsai J-P, Yang S-F, Lian J-D, Chang H-R. Stromal Cell-Derived Factor 1 Gene Polymorphism Is Associated with Susceptibility to Adverse Long-Term Allograft Outcomes in Non-Diabetic Kidney Transplant Recipients. International Journal of Molecular Sciences. 2014; 15(7):12495-12506. https://doi.org/10.3390/ijms150712495
Chicago/Turabian StyleWang, Chung-Jieh, Jen-Pi Tsai, Shun-Fa Yang, Jong-Da Lian, and Horng-Rong Chang. 2014. "Stromal Cell-Derived Factor 1 Gene Polymorphism Is Associated with Susceptibility to Adverse Long-Term Allograft Outcomes in Non-Diabetic Kidney Transplant Recipients" International Journal of Molecular Sciences 15, no. 7: 12495-12506. https://doi.org/10.3390/ijms150712495
APA StyleWang, C.-J., Tsai, J.-P., Yang, S.-F., Lian, J.-D., & Chang, H.-R. (2014). Stromal Cell-Derived Factor 1 Gene Polymorphism Is Associated with Susceptibility to Adverse Long-Term Allograft Outcomes in Non-Diabetic Kidney Transplant Recipients. International Journal of Molecular Sciences, 15(7), 12495-12506. https://doi.org/10.3390/ijms150712495

