Over-Expression of Copper/Zinc Superoxide Dismutase in the Median Preoptic Nucleus Attenuates Chronic Angiotensin II-Induced Hypertension in the Rat
Abstract
:1. Introduction
2. Results
2.1. Adenovirus-Mediated Over-Expression of Copper/Zinc Superoxide Dismutase (CuZnSOD) in the Median Preoptic Nucleus (MnPO)

2.2. CuZnSOD Over-Expression in the MnPO Attenuates Angiotensin II (AngII)-Induced Hypertension

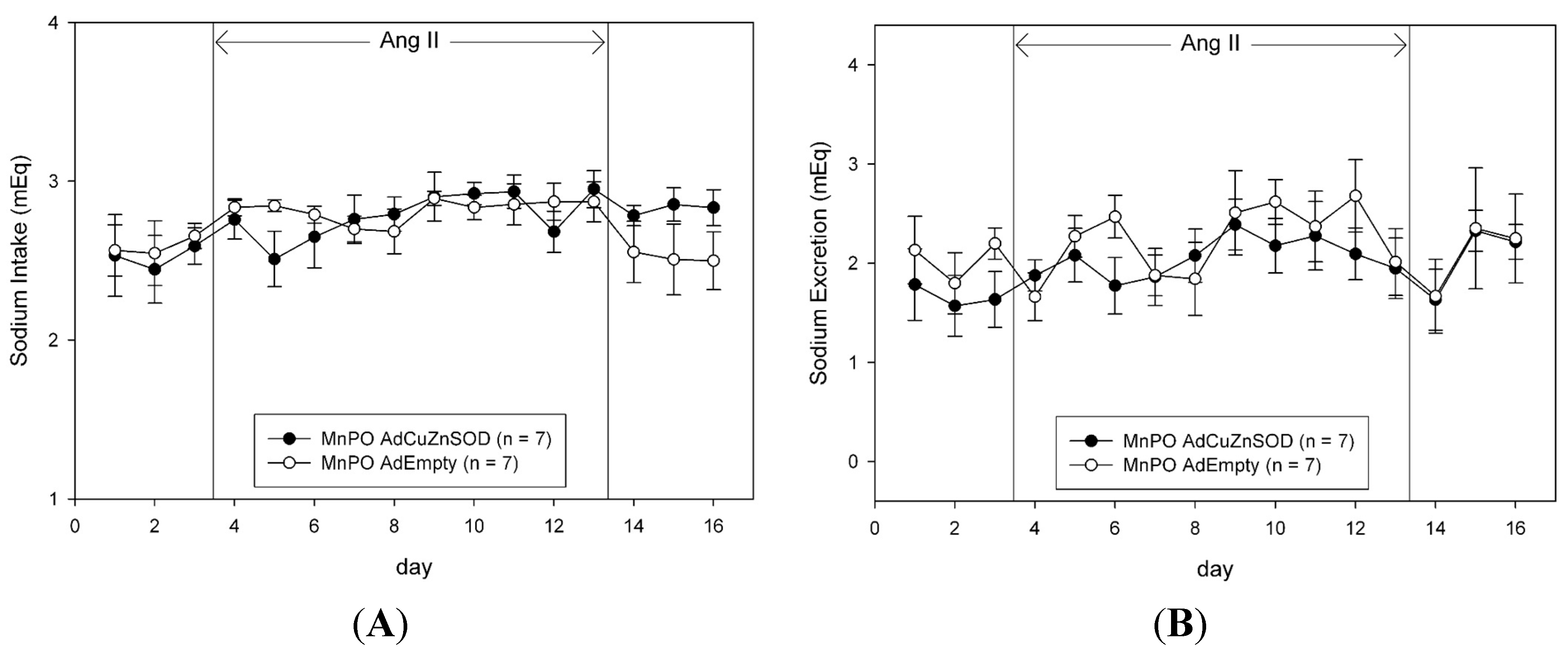
2.3. CuZnSOD Over-Expression in the MnPO Does not Alter Sodium and Water Balance in AngII Hypertensive Rats



3. Discussion
4. Experimental Section
4.1. Surgical Procedures
4.2. Experimental Protocol
4.3. Statistical Analysis
5. Conclusions
Acknowledgments
Author Contributions
Conflicts of Interest
References
- Ferguson, A.V.; Bains, J.S. Actions of angiotensin in the subfornical organ and area postrema: Implications for long term control of autonomic output. Clin. Exp. Pharmacol. Physiol. 1997, 24, 96–101. [Google Scholar]
- Ferguson, A.V.; Wall, K.M. Central actions of angiotensin in cardiovascular control: Multiple roles for a single peptide. Can. J. Physiol. Pharmacol. 1992, 70, 779–785. [Google Scholar]
- Simpson, J.B. The circumventricular organs and the central actions of angiotensin. Neuroendocrinology 1981, 32, 248–256. [Google Scholar]
- Mangiapane, M.L.; Simpson, J.B. Subfornical organ lesions reduce the pressor effect of systemic angiotensin II. Neuroendocrinology 1980, 31, 380–384. [Google Scholar]
- Mangiapane, M.L.; Simpson, J.B. Subfornical organ: Forebrain site of pressor and dipsogenic action of angiotensin II. Am. J. Physiol. 1980, 239, R382–R389. [Google Scholar]
- Ciriello, J.; Gutman, M.B. Functional identification of central pressor pathways originating in the subfornical organ. Can. J. Physiol. Pharmacol. 1991, 69, 1035–1045. [Google Scholar]
- Gutman, M.B.; Ciriello, J.; Mogenson, G.J. Electrophysiological identification of forebrain connections of the subfornical organ. Brain Res. 1986, 382, 119–128. [Google Scholar]
- Lind, R.W.; van Hoesen, G.W.; Johnson, A.K. An HRP study of the connections of the subfornical organ of the rat. J. Comp. Neurol. 1982, 210, 265–277. [Google Scholar]
- Miselis, R.R. The subfornical organ’s neural connections and their role in water balance. Peptides 1982, 3, 501–502. [Google Scholar]
- Saper, C.B.; Levisohn, D. Afferent connections of the median preoptic nucleus in the rat: Anatomical evidence for a cardiovascular integrative mechanism in the anteroventral third ventricular (AV3V) region. Brain Res. 1983, 288, 21–31. [Google Scholar]
- Miselis, R.R. The efferent projections of the subfornical organ of the rat: A circumventricular organ within a neural network subserving water balance. Brain Res. 1981, 230, 1–23. [Google Scholar]
- Cunningham, J.T.; Beltz, T.; Johnson, R.F.; Johnson, A.K. The effects of ibotenate lesions of the median preoptic nucleus on experimentally-induced and circadian drinking behavior in rats. Brain Res. 1992, 580, 325–330. [Google Scholar]
- Gutman, M.B.; Jones, D.L.; Ciriello, J. Contribution of nucleus medianus to the drinking and pressor responses to angiotensin II acting at subfornical organ. Brain Res. 1989, 488, 49–56. [Google Scholar]
- Jones, D.L. Kainic acid lesions of the median preoptic nucleus: Effects on angiotensin II induced drinking and pressor responses in the conscious rat. Can. J. Physiol. Pharmacol. 1988, 66, 1082–1086. [Google Scholar]
- Lind, R.W.; Johnson, A.K. Subfornical organ-median preoptic connections and drinking and pressor responses to angiotensin II. J. Neurosci. 1982, 2, 1043–1051. [Google Scholar]
- Mangiapane, M.L.; Thrasher, T.N.; Keil, L.C.; Simpson, J.B.; Ganong, W.F. Deficits in drinking and vasopressin secretion after lesions of the nucleus medianus. Neuroendocrinology 1983, 37, 73–77. [Google Scholar]
- Hendel, M.D.; Collister, J.P. Contribution of the subfornical organ to angiotensin II-induced hypertension. Am. J. Physiol. 2005, 288, H680–H685. [Google Scholar]
- Osborn, J.W.; Hendel, M.; Collister, J.P.; Fink, G.D. Role of the subfornical in angiotensin II-salt hypertension. Exp. Physiol. 2012, 97, 80–88. [Google Scholar]
- Ployngam, T.; Collister, J.P. An intact median preoptic nucleus is necessary for chronic angiotensin II-induced hypertension. Brain Res. 2007, 1162, 69–75. [Google Scholar]
- Ployngam, T.; Collister, J.P. Role of the median preoptic nucleus in chronic angiotensin II-induced hypertension. Brain Res. 2008, 1238, 75–84. [Google Scholar]
- Zimmerman, M.C.; Lazartigues, E.; Sharma, R.V.; Davisson, R.L. Hypertension caused by angiotensin II infusion involves increased superoxide production in the central nervous system. Circ. Res. 2004, 95, 210–216. [Google Scholar]
- Edgley, A.; Kett, M.; Anderson, W. “Slow pressor” hypertension from low-dose chronic angiotensin II infusion. Clin. Exp. Pharmacol. Physiol. 2001, 28, 1035–1039. [Google Scholar]
- Simon, G.; Abraham, G.; Cserep, G. Pressor and subpressor angiotensin II administration. Two experimental models of hypertension. Am. J. Hypertens. 1995, 8, 645–650. [Google Scholar]
- Osborn, J.W.; Fink, G.D.; Kuroki, M.T. Neural mechanisms of angiotensin II-salt hypertension: Implications for therapies targeting neural controlof the splanchnic circulation. Curr. Hypertens. Rep. 2011, 13, 221–228. [Google Scholar]
- Osborn, J.W.; Fink, G.D.; Sved, A.F.; Toney, G.M.; Raizada, M.K. Circulating angiotensin II and dietary salt: Converging signals for neurogenic hypertension. Curr. Hypertens. Rep. 2007, 29, 228–235. [Google Scholar]
- Sawchenko, P.E.; Swanson, L.W. The organization of forebrain afferents to the paraventricular and supraoptic nuclei of the rat. J. Comp. Neurol. 1983, 218, 121–144. [Google Scholar]
- Zardetto-Smith, A.M.; Thunhorst, R.L.; Cicha, M.Z.; Johnson, A.K. Afferent signaling and forebrain mechanisms in the behavioral control of extracellular fluid volume. Ann. N. Y. Acad. Sci. 1993, 689, 161–176. [Google Scholar]
© 2014 by the authors; licensee MDPI, Basel, Switzerland. This article is an open access article distributed under the terms and conditions of the Creative Commons Attribution license (http://creativecommons.org/licenses/by/4.0/).
Share and Cite
Collister, J.P.; Bellrichard, M.; Drebes, D.; Nahey, D.; Tian, J.; Zimmerman, M.C. Over-Expression of Copper/Zinc Superoxide Dismutase in the Median Preoptic Nucleus Attenuates Chronic Angiotensin II-Induced Hypertension in the Rat. Int. J. Mol. Sci. 2014, 15, 22203-22213. https://doi.org/10.3390/ijms151222203
Collister JP, Bellrichard M, Drebes D, Nahey D, Tian J, Zimmerman MC. Over-Expression of Copper/Zinc Superoxide Dismutase in the Median Preoptic Nucleus Attenuates Chronic Angiotensin II-Induced Hypertension in the Rat. International Journal of Molecular Sciences. 2014; 15(12):22203-22213. https://doi.org/10.3390/ijms151222203
Chicago/Turabian StyleCollister, John P., Mitch Bellrichard, Donna Drebes, David Nahey, Jun Tian, and Matthew C. Zimmerman. 2014. "Over-Expression of Copper/Zinc Superoxide Dismutase in the Median Preoptic Nucleus Attenuates Chronic Angiotensin II-Induced Hypertension in the Rat" International Journal of Molecular Sciences 15, no. 12: 22203-22213. https://doi.org/10.3390/ijms151222203
APA StyleCollister, J. P., Bellrichard, M., Drebes, D., Nahey, D., Tian, J., & Zimmerman, M. C. (2014). Over-Expression of Copper/Zinc Superoxide Dismutase in the Median Preoptic Nucleus Attenuates Chronic Angiotensin II-Induced Hypertension in the Rat. International Journal of Molecular Sciences, 15(12), 22203-22213. https://doi.org/10.3390/ijms151222203
