Chemoresistance Is Associated with MUC1 and Lewis y Antigen Expression in Ovarian Epithelial Cancers
Abstract
:Objective
Methods
Results
Conclusion
1. Introduction
2. Results
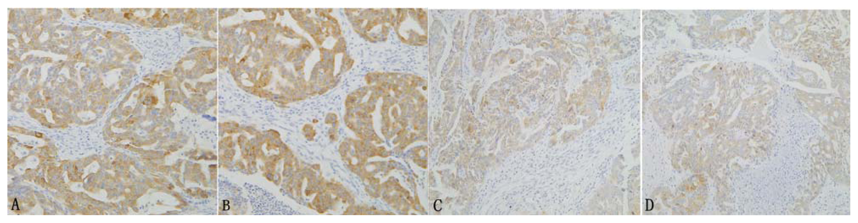
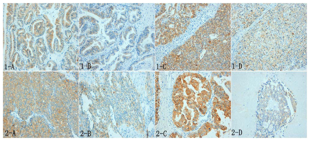
2.1. Expression of MUC1 and the Lewis y Antigen in Ovarian Cancer
2.2. The Association between MUC1 and Lewis y Antigen Expression
2.3. Risk Factors for Chemoresistance in Ovarian Cancer
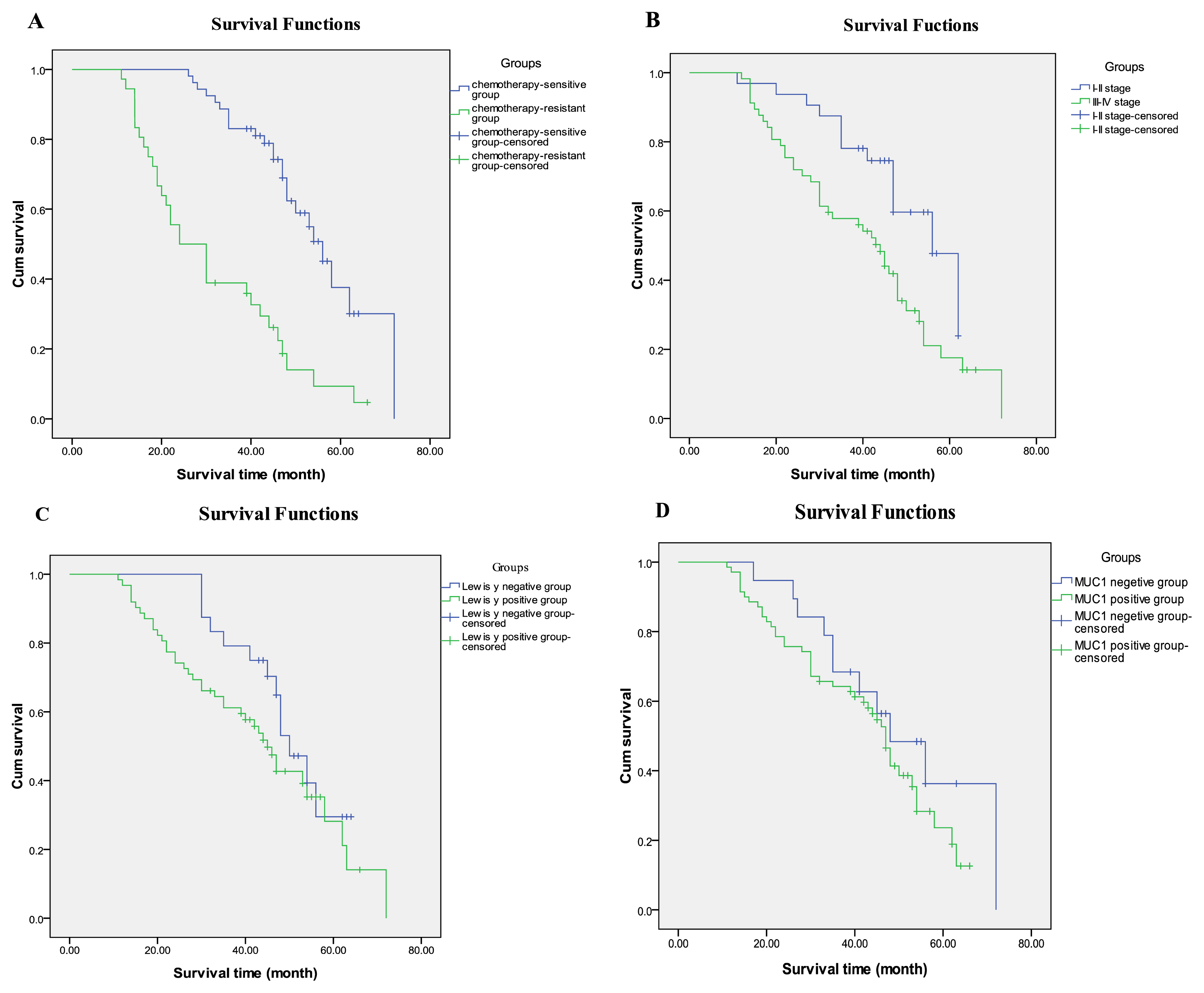
2.4. Prognostic Analysis
3. Discussion
4. Materials and Methods
4.1. Patients
4.2. Immunohistochemistry Staining and Scoring
4.3. Statistical Analysis
5. Conclusions
Acknowledgements
Conflict of Interest
References
- Budiu, R.A.; Mantia-Smaldone, G.; Elishaev, E.; Chu, T.; Thaller, J.; McCabe, K.; Lenzner, D.; Edwards, R.P.; Vlad, A.M. Soluble MUC1 and serum MUC1-specific antibodies are potential prognostic biomarkers for platinum-resistant ovarian cancer. Cancer Immunol. Immunother 2011, 60, 975–984. [Google Scholar]
- Hazlehurst, L.A.; Dalton, W.S. Mechanisms associated with cell adhesion mediated drug resistance (CAM-DR) in hematopoietic malignancies. Cancer Metastasis Rev 2001, 20, 43–50. [Google Scholar]
- Moro, L.; Venturino, M.; Bozzo, C.; Silengo, L.; Altruda, F.; Beguinot, L.; Tarone, G.; Defilippi, P. Integrins induce activation of EGF receptor: Role in MAP kinase induction and adhesion-dependent cell survival. EMBO J 1998, 17, 6622–6632. [Google Scholar]
- Hasegawa, H.; Komoda, M.; Yamada, Y.; Yonezawa, S.; Tsutsumida, H.; Nagai, K.; Atogami, S.; Tsuruda, K.; Osaka, A.; Sasaki, D.; et al. Aberrant overexpression of membrane-associated mucin contributes to tumor progression in adult T-cell leukemia/lymphoma cells. Leuk Lymphoma 2011, 52, 1108–1117. [Google Scholar]
- Ye, Q.; Yan, Z.; Liao, X.; Li, Y.; Yang, J.; Sun, J.; Kawano, T.; Wang, X.; Cao, Z.; Wang, Z.; Huang, L. MUC1 induces metastasis in esophageal squamous cell carcinoma by upregulating matrix metalloproteinase 13. Lab. Invest 2011, 91, 778–787. [Google Scholar]
- Yan, L.; Lin, B.; Zhu, L.; Hao, Y.; Qi, Y.; Wang, C.; Gao, S.; Liu, S.; Zhang, S.; Iwamori, M. Enhancement of the adhesive and spreading potentials of ovarian carcinoma RMG-1 cells due to increased expression of integrin α5β1 with the Lewis Y-structure on transfection of the α1,2-fucosyltransferase gene. Biochimie 2010, 7, 852–857. [Google Scholar]
- Engelstaedter, V.; Heublein, S.; Schumacher, A.L.; Lenhard, M.; Engelstaedter, H.; Andergassen, U.; Guenthner-Biller, M.; Kuhn, C.; Rack, B.; Kupka, M.; et al. Mucin-1 and its relation to grade, stage and survival in ovarian carcinoma patients. BMC Cancer 2012, 12, 600. [Google Scholar]
- Van Elssen, C.H.; Frings, P.W.; Bot, F.J.; van de Vijver, K.K.; Huls, M.B.; Meek, B.; Hupperets, P.; Germeraad, W.T.; Bos, G.M. Expression of aberrantly glycosylated Mucin-1 in ovarian cancer. Histopathology 2010, 57, 597–606. [Google Scholar]
- Feng, H.; Ghazizadeh, M.; Konishi, H.; Araki, T. Expression of MUC1 and MUC2 mucin gene products in human ovarian carcinomas. Jpn. J. Clin. Oncol 2002, 32, 525–529. [Google Scholar]
- Cheng, J.P.; Yan, Y.; Wang, X.Y.; Lu, Y.L.; Yuan, Y.H.; Jia, J.; Ren, J. MUC1-positive circulating tumor cells and MUC1 protein predict chemotherapeutic efficacy in the treatment of metastatic breast cancer. Chin. J. Cancer 2011, 30, 54–61. [Google Scholar]
- Al-azawi, D.; Kelly, G.; Myers, E.; McDermott, E.W.; Hill, A.D.; Duffy, M.J.; Higgins, N.O. CA 15-3 is predictive of response and disease recurrence following treatment in locally advanced breast cancer. BMC Cancer 2006, 6, 220. [Google Scholar]
- Uchida, Y.; Raina, D.; Kharbanda, S.; Kufe, D. Inhibition of the MUC1-C oncoprotein is synergistic with cytotoxic agents in the treatment of breast cancer cells. Cancer Biol. Ther 2013, 14, 127–134. [Google Scholar]
- Raina, D.; Kharbanda, S.; Kufe, D. The MUC1 oncoprotein activates the anti-apoptotic phosphoinositide 3-kinase/Akt and Bcl-xL pathways in rat 3Y1 fibroblasts. J. Biol. Chem 2004, 279, 20607–20612. [Google Scholar]
- Yin, L.; Li, Y.; Ren, J.; Kuwahara, H.; Kufe, D. Human MUC1 carcinoma antigen regulates intracellular oxidant levels and the apoptotic response to oxidative stress. J. Biol. Chem 2003, 278, 35458–35464. [Google Scholar]
- Raina, D.; Ahmad, R.; Kumar, S.; Ren, J.; Yoshida, K.; Kharbanda, S.; Kufe, D. MUC1 oncoprotein blocks nuclear targeting of c-Abl in the apoptotic response to DNA damage. EMBO J 2006, 25, 3774–3783. [Google Scholar]
- Ren, J.; Agata, N.; Chen, D.; Li, Y.; Yu, W.H.; Huang, L.; Raina, D.; Chen, W.; Kharbanda, S.; Kufe, D. Human MUC1 carcinoma-associated protein confers resistance to genotoxic anticancer agents. Cancer Cell 2004, 5, 163–175. [Google Scholar]
- Simpson, C.; Anyiwe, K.; Schimmer, A. Anoikis resistance and tumor metastasis. Cancer Lett 2008, 2, 177–185. [Google Scholar]
- Siragusa, M.; Zerilli, M.; Iovino, F.; Francipane, M.G.; Lombardo, Y.; Ricci-Vitiani, L.; di Gesu, G.; Todaro, M.; de Maria, R.; Stassi, G. MUC1 oncoprotein promotes refractoriness to chemotherapy in thyroid cancer cells. Cancer Res 2007, 67, 5522–5530. [Google Scholar]
- Ahmad, R.; Alam, M.; Rajabi, H.; Kufe, D. The MUC1-C oncoprotein binds to the BH3 domain of the pro-apoptotic BAX protein and blocks BAX function. J. Biol. Chem 2012, 287, 20866–20875. [Google Scholar]
- Wei, X.; Xu, H.; Kufe, D. Human MUC1 oncoprotein regulates p53-responsive gene transcription in the genotoxic stress response. Cancer Cell 2005, 7, 167–178. [Google Scholar]
- Wernyj, R.P.; Morin, P.J. Molecular mechanisms of platinum resistance: Still searching for the Achilles’ heel. Drug Resist. Updat 2004, 7, 227–232. [Google Scholar]
- Agarwal, R.; Kaye, S.B. Ovarian cancer: Strategies for overcoming resistance to chemotherapy. Nat. Rev. Cancer 2003, 3, 502–516. [Google Scholar]
- Horm, T.M.; Schroeder, J.A. MUC1 and metastatic cancer: Expression, function and therapeutic targeting. Cell Adh. Migr 2013, 7, 187–198. [Google Scholar]
- Yuan, Z.; Wong, S.; Borrelli, A.; Chung, M.A. Down-regulation of MUC1 in cancer cells inhibits cell migration by promoting E-cadherin/catenin complex formation. Biochem. Biophys. Res. Commun 2007, 362, 740–746. [Google Scholar]
- Chien, J.R.; Aletti, G.; Bell, D.A.; Keeney, G.L.; Shridhar, V.; Hartmann, L.C. Molecular pathogenesis and therapeutic targets in epithelial ovarian cancer. J. Cell Biochem 2007, 102, 1117–1129. [Google Scholar]
- Gao, L.; Yan, L.; Lin, B.; Gao, J.; Liang, X.; Wang, Y.; Liu, J.; Zhang, S.; Iwamori, M. Enhancive effects of Lewis y antigen on CD44-mediated adhesion and spreading of human ovarian cancer cell line RMG-I. J. Exp. Clin. Cancer Res 2011, 30, 15. [Google Scholar]
- Gao, S.; Liu, Q.; Wang, X.; Lin, B.; Zhang, S. Effects of Lewis Y antigen on the gene expression of multiple drug resistance-associated proteins in human ovarian cancer RMG-I-H cells. Med. Oncol 2010, 27, 960–967. [Google Scholar]



| Group | N | MUC1 | Lewis y | ||||||||
|---|---|---|---|---|---|---|---|---|---|---|---|
| − | + | ++ | +++ | Positive (%) | − | + | ++ | +++ | Positive (%) | ||
| Resistant | 37 | 3 | 7 | 13 | 13 | 34/37 (91.89) | 3 | 13 | 18 | 8 | 34/37 (91.89) |
| Sensitive | 55 | 17 | 3 | 16 | 19 | 38/55 (69.09) | 19 | 13 | 16 | 0 | 36/55 (65.45) |
| Group | N | Resistant | Sensitive | p | ||
|---|---|---|---|---|---|---|
| n = 37 | % | n = 55 | % | |||
| Stage | ||||||
| I | 19 | 1 | 2.7 | 18 | 32.7 | 0.001 |
| II | 15 | 3 | 8.1 | 12 | 21.8 | |
| III | 56 | 32 | 86.5 | 24 | 43.6 | |
| IV | 2 | 1 | 2.7 | 1 | 1.8 | |
| Tumor grade | ||||||
| I | 14 | 4 | 10.8 | 9 | 14 | 0.091 |
| II | 40 | 14 | 37.8 | 25 | 40 | |
| III | 38 | 19 | 51.4 | 21 | 38 | |
| Pathological subtype | ||||||
| Serous carcinoma | 57 | 24 | 64.9 | 33 | 60 | 0.339 |
| Mucinous carcinoma | 8 | 5 | 13.5 | 3 | 5.5 | |
| Endometrioid adenocarcinoma | 6 | 1 | 2.7 | 5 | 9.1 | |
| Clear cell carcinoma | 7 | 1 | 2.7 | 6 | 10.9 | |
| Poorly differentiated adenocarcinoma | 12 | 5 | 13.5 | 7 | 12.7 | |
| Undifferentiated carcinoma | 2 | 1 | 2.7 | 1 | 1.8 | |
| Lymph node metastasis | ||||||
| Yes | 11 | 3 | 8.1 | 8 | 14.5 | 0.001 |
| No | 50 | 11 | 29.7 | 39 | 70.9 | |
| Unknown | 31 | 18 | 48.6 | 13 | 23.6 | |
| Residual tumor size | ||||||
| ≤1 cm | 42 | 8 | 21.6 | 36 | 65.5 | 0.001 |
| 1–2 cm | 13 | 7 | 18.9 | 6 | 10.9 | |
| ≥2 cm | 13 | 10 | 27.0 | 3 | 5.5 | |
| Type | β-value | Sx | p | OR * value | 95% CI |
|---|---|---|---|---|---|
| MUC1 | 1.905 | 0.905 | 0.035 | 6.716 | 1.139 39.604 |
| Lewis y | 1.245 | 0.341 | 0.000 | 3.474 | 1.781 6.776 |
| Stage | 2.048 | 1.280 | 0.003 | 7.753 | 1.990 30.203 |
| T | β-value | SE | p | Exp (β) | 95%CI |
|---|---|---|---|---|---|
| Stage | 0.774 | 0.335 | 0.021 | 2.168 | 1.125 4.176 |
| Lewis y | 0.320 | 0.143 | 0.025 | 1.377 | 1.040 1.823 |
© 2013 by the authors; licensee MDPI, Basel, Switzerland This article is an open access article distributed under the terms and conditions of the Creative Commons Attribution license ( http://creativecommons.org/licenses/by/3.0/).
Share and Cite
Zhang, D.; Gao, J.; Zhu, L.; Hu, Z.; Hou, R.; Liu, S.; Tan, M.; Liu, J.; Lin, B. Chemoresistance Is Associated with MUC1 and Lewis y Antigen Expression in Ovarian Epithelial Cancers. Int. J. Mol. Sci. 2013, 14, 11024-11033. https://doi.org/10.3390/ijms140611024
Zhang D, Gao J, Zhu L, Hu Z, Hou R, Liu S, Tan M, Liu J, Lin B. Chemoresistance Is Associated with MUC1 and Lewis y Antigen Expression in Ovarian Epithelial Cancers. International Journal of Molecular Sciences. 2013; 14(6):11024-11033. https://doi.org/10.3390/ijms140611024
Chicago/Turabian StyleZhang, Danye, Jian Gao, Liancheng Zhu, Zhenhua Hu, Rui Hou, Shuice Liu, Mingzi Tan, Juanjuan Liu, and Bei Lin. 2013. "Chemoresistance Is Associated with MUC1 and Lewis y Antigen Expression in Ovarian Epithelial Cancers" International Journal of Molecular Sciences 14, no. 6: 11024-11033. https://doi.org/10.3390/ijms140611024
APA StyleZhang, D., Gao, J., Zhu, L., Hu, Z., Hou, R., Liu, S., Tan, M., Liu, J., & Lin, B. (2013). Chemoresistance Is Associated with MUC1 and Lewis y Antigen Expression in Ovarian Epithelial Cancers. International Journal of Molecular Sciences, 14(6), 11024-11033. https://doi.org/10.3390/ijms140611024
