Evaluation of the Comet Assay for Assessing the Dose-Response Relationship of DNA Damage Induced by Ionizing Radiation
Abstract
:1. Introduction
2. Results and Discussion
2.1. Differentiation of Apoptotic and Comet Cells
2.2. In Vivo and in Vitro Differences in DNA DSBs in Mouse Lymphocytes
2.3. DNA DSBs in Human Lymphocytes Induced by Radiation
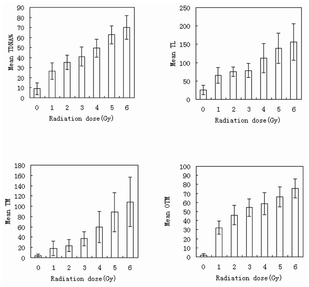
2.4. Dose- and Time-Response Relationship of DNA DSBs
3. Experimental Section
3.1. Mice, Reagents, and Equipment
3.2. Collection of Blood Samples and Selection of the Radiation Exposure Groups
3.3. Lymphocyte Isolation and Comet Assay
3.4. Statistical Analysis
4. Conclusions








| Group | N | Control | 1 Gy | 2 Gy | ||||||
|---|---|---|---|---|---|---|---|---|---|---|
| in vivo | in vitro | p | in vivo | in vitro | p | in vivo | in vitro | p | ||
| Tail DNA (TDNA) % | 6 | 5.8 ± 1.8 | 61 ± 2.1 | 0.27 | 31 ± 11.9 | 33 ± 10.7 | 0.16 | 39 ± 6.6 | 41 ± 7.8 | 0.40 |
| Tail length (TL) (pix) | 6 | 18.1 ± 5.2 | 19.9 ± 6.3 | 0.43 | 68.1 ± 27.1 | 70.1 ± 29.6 | 0.36 | 77.2 ± 15.2 | 79.4 ± 13.7 | 0.71 |
| Tail moment (TM) | 6 | 2.1 ± 0.6 | 2.6 ± 0.8 | 0.29 | 24.1 ± 9.2 | 25.1 ± 10.8 | 0.23 | 31.6 ± 13.2 | 34.7 ± 10.9 | 0.10 |
| Olive tail moment (OTM) | 6 | 1.9 ± 0.6 | 1.7 ± 0.8 | 0.18 | 13.6 ± 7.9 | 14.4 ± 6.6 | 0.11 | 18.7 ± 6.46 | 19.2 ± 7.1 | 0.13 |
| Group | control | 1 Gy | 2 Gy | 3 Gy | 4 Gy | 5 Gy | 6 Gy |
|---|---|---|---|---|---|---|---|
| 0 h | 1.6 ± 1.6 | 28.3 ± 8.2 | 46.2 ± 10.1 | 54.2 ± 11.7 | 59.0 ± 10.2 | 68.5 ± 9.8 | 75.4 ± 10.1 |
| 3 h | 1.6 ± 1.7 | 21.7 ± 6.3 | 39.6 ± 13.6 | 47.2 ± 8.7 | 52.3 ± 7.2 | 64.6 ± 8.7 | 69.3 ± 8.3 |
| 24 h | 1.6 ± 0.7 | 16.5 ± 8.0 | 24.3 ± 10.1 | 32.2 ± 13.9 | 35.4 ± 8.0 | 42.7 ± 10.5 | 56.7 ± 20.7 |
| 48 h | 1.7 ± 1.5 | 10.9 ± 6.2 | 16.6 ± 11.7 | 21.3 ± 7.6 | 26.6 ± 9.4 | 33.1 ± 7.5 | 43.4 ± 14.3 |
| 72 h | 1.7 ± 1.9 | 5.7 ± 5.2 | 10.6 ± 9.7 | 18.2 ± 13.2 | 19.7 ± 9.3 | 21.2 ± 15.1 | 26.3 ± 18.0 |
Acknowledgments
Conflicts of Interest
References
- Turai, I.; Veress, K.; Gunalp, B.; Souchkevitch, G. Medical response to radiation incidents and radionuclear threats. Br. Med. J 2004, 328, 568–572. [Google Scholar]
- Helfand, I.; Forrow, L.; Tiwari, J. Nuclear terrorism. Br. Med. J 2002, 324, 356–359. [Google Scholar]
- Benger, J.R. Response to radiation incidents and radionuclear threats: Medical treatment should be given only when safe to do so. Br. Med. J 2004, 328, 1074. [Google Scholar]
- International Atomic Energy Agency, Cytogenetic Analysis for Radiation Dose Assessment: A Manual; Technical Reports Series No. 405; International Atomic Energy Agency (IAEA): Vienna, Austria, 2001; pp. 105–122.
- Bender, M.A.; Gooch, P.C. Somatic chromosome aberrations induced by human whole-body irradiation: The “Recuplex” criticality accident. Radiat. Res 1966, 29, 568–582. [Google Scholar]
- Waselenko, J.K.; MacVittie, T.J.; Blakely, W.F.; Pesik, N.; Wiley, A.L.; Dickerson, W.E.; Tsu, H.; Confer, D.L.; Coleman, C.N.; Seed, T.; et al. Medical management of the acute radiation syndrome: Recommendations of the strategic national stockpile radiation working group. Ann. Intern. Med 2004, 140, 1037–1051. [Google Scholar]
- Haines, G.A.; Hendry, J.H.; Daniel, C.P.; Morris, I.D. Germ cell and dose-dependent DNA damage measured by the comet assay in murine spermatozoaa after testicular X-irradiation. Biol. Reprod 2002, 67, 854–861. [Google Scholar]
- Hoffmann, H.; Speit, G. Assessment of DNA damage in peripheral blood of heavy smokers with the comet assay and the micronucleus test. Mutat. Res 2005, 581, 105–114. [Google Scholar]
- Paulraj, R.; Behari, J. Single strand DNA breaks in rat brain cells exposed to microwave radiation. Mutat. Res 2006, 596, 76–80. [Google Scholar]
- Verde, P.E.; Geracitano, L.A.; Amado, L.L.; Rosa, C.E.; Bianchini, A.; Monserrat, J.M. Application of public-domain statistical analysis software for evaluation and comparison of comet assay data. Mutat. Res 2006, 604, 71–82. [Google Scholar]
- McKenna, D.J.; Doherty, B.A.; Downes, C.S.; McKeown, S.R.; McKelvey-Martin, V.J. Use of the comet-FISH assay to compare DNA damage and repair in p53 and hTERT genes following ionizing radiation. PLoS One 2012, 7, e49364. [Google Scholar]
- Olive, P.L.; Banáth, J.P.; Durand, R.E. Heterogeneity in radiation-induced DNA damage and repair in tumor and normal cells measured using the “comet” assay. Radiat. Res 1990, 122, 86–94. [Google Scholar]
- Seidel, C.; Lautenschläger, C.; Dunst, J.; Müller, A.C. Factors influencing heterogeneity of radiation-induced DNA-damage measured by the alkaline comet assay. Radiat. Oncol 2012, 7, 61. [Google Scholar] [CrossRef]
- Güerci, A.; Zúiga, L.; Marcos, R. Construction and validation of a dose-response curve using the comet assay to determine human radiosensitivity to ionizing radiation. J. Toxicol. Environ. Health A 2011, 74, 1087–1093. [Google Scholar]
- Garaj-Vrhovac, V.; Kopjar, N.; Razem, D.; Vekic, B.; Miljanic, S. Application of the alkaline comet assay in biodosimetry: assessment of in vivo DNA damage in human peripheral leukocytes after a gamma radiation incident. Radiat. Prot. Dosim 2002, 98, 407–415. [Google Scholar]
- Garcia, O.; Mandina, T. DNA damage evaluated by the comet assay in lymphocytes of children with 137Cs internal contamination caused by the Chernobyl accident. Mutat. Res 2005, 565, 191–197. [Google Scholar]
- Wada, S.; Khoa, T.V.; Kobayashi, Y.; Funayama, T.; Yamamoto, K.; Natsuhori, M.; Ito, N. Detection of radiation-induced apoptosis using the comet assay. J. Vet. Med. Sci 2003, 65, 1161–1166. [Google Scholar]
- Yasuhara, S.; Zhu, Y.; Matsui, T.; Tipirneni, N.; Yasuhara, Y.; Kaneki, M.; Rosenzweig, A.; Martyn, J.A. Comparison of comet assay, electron microscopy and flow cytometry for detection of apoptosis. J. Histochem. Cytochem 2003, 51, 873–885. [Google Scholar]
- Garty, G.; Chen, Y.; Salerno, A.; Turner, H.; Zhang, J.; Lyulko, O.; Bertucci, A.; Xu, Y.; Wang, H.; Simaan, N.; et al. The RABIT: A rapid automated biodosimetry tool for radiological triage. Health Phys 2010, 98, 209–217. [Google Scholar]
- Kinneberg, M.; Lyulko, M.O.V. Applications of the Cytokinesis-Block Micronucleus Cytome Assay on Human Lymphocytes: Construction of a Calibration Curve for use in the Rapid Automated Biodosimetry Tool; Columbia University: New York, NY, USA, 2010. [Google Scholar]
- Hu, Q.; Hill, R.P. Radiosensitivity, apoptosis and repair of DNA double-strand breaks in radiation-sensitive Chinese hamster ovary cell mutants treated at different dose rates. Radiat. Res 1996, 146, 636–645. [Google Scholar]
- Qiu, L.M.; Li, W.J.; Pang, X.Y.; Gao, Q.X.; Feng, Y.; Zhou, L.B.; Zhang, G.H. Observation of DNA damage of human hepatoma cells irradiated by heavy ions using comet assay. World J. Gastroenterol 2003, 9, 1450–1454. [Google Scholar]
- Wada, S.; Kurahayashi, H.; Kobayashi, Y.; Funayama, T.; Yamamoto, K.; Natsuhori, M.; Ito, N. The relationship between cellular radiosensitivity and radiation-induced DNA damage measured by the comet assay. J. Vet. Med. Sci 2003, 65, 471–477. [Google Scholar]
- Rossler, U.; Hornhardt, S.; Seidl, C.; Muller-Laue, E.; Walsh, L.; Panzer, W.; Schmid, E.; Senekowitsch-Schmidtke, R.; Gomolka, M. The sensitivity of the alkaline comet assay in detecting DNA lesions induced by X-rays, γ-rays and α particles. Radiat. Prot. Dosim 2006, 122, 154–159. [Google Scholar]
- Singh, N.P. Microgels for estimation of DNA strand breaks, DNA protein crosslinks and apoptosis. Mutat. Res 2000, 455, 111–127. [Google Scholar]
- Mozdarani, H.; Nasirian, B.; Haeri, S.A. In vivo γ-rays induced initial DNA damage and the effect of famotidine in mouse leukocytes as assayed by the alkaline comet assay. J. Radiat. Res 2007, 48, 129–134. [Google Scholar]
- Redon, C.E.; Nakamura, A.J.; Sordet, O.; Dickey, J.S.; Gouliaeva, K.; Tabb, B.; Lawrence, S.; Kinders, R.J.; Bonner, W.M.; Sedelnikova, O.A. γ-H2AX detection in peripheral blood lymphocytes, splenocytes, bone marrow, xenografts, and skin. Methods Mol. Biol 2011, 682, 249–270. [Google Scholar]
- Moroni, M.; Maeda, D.; Whitnall, M.H.; Bonner, W.M.; Redon, C.E. Evaluation of the γ-H2AX assay for radiation biodosimetry in a swine model. Int. J. Mol. Sci 2013, 14, 14119–14135. [Google Scholar]
- Banáth, J.P.; Fushiki, M.; Olive, P.L. Rejoining of DNA single- and double-strand breaks in human white blood cells exposed to ionizing radiation. Int. J. Radiat. Biol 1998, 73, 649–660. [Google Scholar]
- Końca, K.; Lankoff, A.; Banasik, A.; Lisowska, H.; Kuszewski, T.; GóŸdŸ, S.; Koza, Z.; Wojcik, A. A cross-platform public domain PC image-analysis program for the comet assay. Mutat. Res 2003, 534, 15–20. [Google Scholar]
© 2013 by the authors; licensee MDPI, Basel, Switzerland This article is an open access article distributed under the terms and conditions of the Creative Commons Attribution license (http://creativecommons.org/licenses/by/3.0/).
Share and Cite
Wang, Y.; Xu, C.; Du, L.Q.; Cao, J.; Liu, J.X.; Su, X.; Zhao, H.; Fan, F.-Y.; Wang, B.; Katsube, T.; et al. Evaluation of the Comet Assay for Assessing the Dose-Response Relationship of DNA Damage Induced by Ionizing Radiation. Int. J. Mol. Sci. 2013, 14, 22449-22461. https://doi.org/10.3390/ijms141122449
Wang Y, Xu C, Du LQ, Cao J, Liu JX, Su X, Zhao H, Fan F-Y, Wang B, Katsube T, et al. Evaluation of the Comet Assay for Assessing the Dose-Response Relationship of DNA Damage Induced by Ionizing Radiation. International Journal of Molecular Sciences. 2013; 14(11):22449-22461. https://doi.org/10.3390/ijms141122449
Chicago/Turabian StyleWang, Yan, Chang Xu, Li Qing Du, Jia Cao, Jian Xiang Liu, Xu Su, Hui Zhao, Fei-Yue Fan, Bing Wang, Takanori Katsube, and et al. 2013. "Evaluation of the Comet Assay for Assessing the Dose-Response Relationship of DNA Damage Induced by Ionizing Radiation" International Journal of Molecular Sciences 14, no. 11: 22449-22461. https://doi.org/10.3390/ijms141122449
APA StyleWang, Y., Xu, C., Du, L. Q., Cao, J., Liu, J. X., Su, X., Zhao, H., Fan, F.-Y., Wang, B., Katsube, T., Fan, S. J., & Liu, Q. (2013). Evaluation of the Comet Assay for Assessing the Dose-Response Relationship of DNA Damage Induced by Ionizing Radiation. International Journal of Molecular Sciences, 14(11), 22449-22461. https://doi.org/10.3390/ijms141122449
