The Antioxidant Activity of New Coumarin Derivatives
Abstract
:1. Introduction
2. Results and Discussion
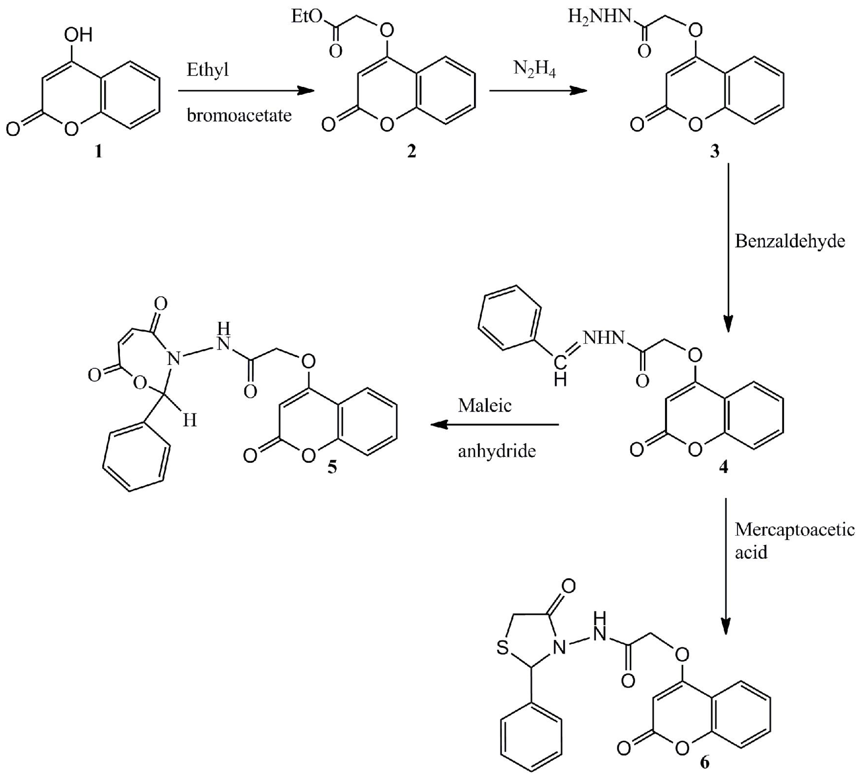
2.1. Chemistry
2.1.1. Computational Studies
2.2. Pharmacology
2.2.1. Antioxidant Activity
3. Experimental Section
3.1. General
3.2. Chemistry
3.2.1. Synthesis of Ethyl 2-(2-oxo-2H-chromen-4-yloxy)acetate 2
3.2.2. Synthesis of 2-(2-oxo-2H-chromen-4-yloxy)acetohydrazide 3
3.2.3. Synthesis of N′-benzylidene-2-(2-oxo-2H-chromen-4-yloxy)acetohydrazide 4
3.2.4. Synthesis of N-(4,7-dioxo-2-phenyl-1,3-oxazepin-3(2H,4H,7H)-yl)-2-(2-oxo-2H-chromen-4-yloxy) acetamide 5
3.2.5. Synthesis of N-(4-oxo-2-phenylthiazolidin-3-yl)-2-(2-oxo-2H-chromen-4-yloxy)acetamide 6
3.3. Pharmacology
3.3.1. (2,2-diphenyl-1-picrylhydrazyl) (DPPH) Radical Scavenging Activity
3.3.2. Nitric Oxide Scavenging Activity
3.3.3. Hydrogen Peroxide Scavenging Activity
3.4. DFT
4. Conclusions
References
- El-Agrody, A; Abd El-Latif1, M; El-Hady, N; Fakery1, A; Bedair, A. Hetero aromatization with 4-ydroxycoumarin Part II: Synthesis of some new pyrano[2,3-d]pyrimidines, [1,2,4]triazolo [1,5-c]pyrimidines and Pyrimido[1,6-b] [1,2,4]triazine derivatives. Molecules 2001, 6, 519–527. [Google Scholar]
- Rositca, DN; Vayssilov, GN; Rodios, N; Bojilova, A. Regio- and Stereoselective [2 + 2] Photodimerization of 3-Substituted 2-Alkoxy-2-oxo-2H-1,2-benzoxaphosphorines. Molecules 2002, 7, 420–432. [Google Scholar]
- Flašík, R; Stankovičová, H; Gáplovský, A; Donovalová, J. Synthesis and study of novel coumarin derivatives potentially utilizable as memory media. Molecules 2009, 14, 4838–4848. [Google Scholar]
- Kovalenko, S; Bylov, I; Sytnik, K; Chernykh, V; Bilokin, Y. A new pathway to 3-hetaryl-2-oxo- 2H-chromenes: On the proposed mechanisms for the reaction of 3-carbamoyl-2-iminochromenes with dinucleophiles. Molecules 2000, 5, 1146–1165. [Google Scholar]
- El-Saghier, A; Khodairy, A; Khodiyar, A. New synthetic approaches to condensed and spiro coumarins: Coumarin-3-thiocarboxamide as building block for the the synthesis of condense and spiro coumarins. Phosphorus Sulfur Silicon 2000, 160, 105–119. [Google Scholar]
- Al-Amiery, AA; Al-Bayati, R; Saour, K; Radi, M. Cytotoxicity, Antioxidant and Antimicrobial activities of novel 2-quinolone derivatives derived from coumarins. Research on Chemical Intermediates 2011. In press. [Google Scholar]
- Azizian, J; Mohammadi, A; Bidar, I; Mirazaei, P. KAl(SO4)2·12H2O (alum) a reusable catalyst for the synthesis of some 4-substituted coumarins via Pechmann reaction under solvent-free conditions. Montash Chem 2008, 139, 805–808. [Google Scholar]
- Satyanarayan, VS; Sreevani, P; Sivakumar, A. Synthesis and antimicrobial activity of new Schiff bases containing coumarin moiety and their spectral characterization. Arkivoc 2008, 17, 221–233. [Google Scholar]
- Garazd, MM; Muzychka, OV; Voyk, AI; Nagorichna, IV; Ogorodniichuk, AS. Modified coumarins. 27. Synthesis and antioxidant activity of 3-substituted 5,7-dihydroxy-4-methylcoumarins. Chem Nat Compd 2007, 43, 19–23. [Google Scholar]
- Smitha, G; Sanjeeva, R. ZrCl4-catalyzed Pechmann reaction: Synthesis of coumarins under solvent-free conditions. Synth Commun 2004, 34, 3997–4003. [Google Scholar]
- Kotali, A; Lafazanis, I; Harris, P. Synthesis of 6,7-diacylcoumarins via the transformation of a hydroxy into a carbonyl group. Synth Commun 2008, 38, 3996–4006. [Google Scholar]
- Nofal, ZM; El-Zahar, M; Abd El-Karim, S. Novel coumarin derivatives with expectedbiological activity. Molecules 2000, 5, 99–113. [Google Scholar]
- Kennedy, RO; Thornes, RD. Coumarins: Biology, Applications and Mode of Action; John Wiley and Sons: Chichester, England, 1997. [Google Scholar]
- Zabradnik, M. The Production and Application of Fluorescent Brightening Agents; John Wiley and Sons: New York, NY, USA, 1992. [Google Scholar]
- Heravi, M; Sadjadi, S; Oskooie, H; Shoar, R; Bamoharram, F. The synthesis of coumarin-3-carboxylic acids and 3-acetyl-coumarin derivatives using heteropolyacids as heterogeneous and recyclable catalysts. Catal Commun 2008, 9, 470–474. [Google Scholar]
- Lin, S; Kuo, P; Yang, D. Design and synthesis of a coumarin-based acidichromic colorant. Molecules 2007, 12, 1316–1324. [Google Scholar]
- Ray, D; Bharadwaj, PK. A Coumarin-derived fluorescence probe selective for magnesium. Inorg Chem 2008, 47, 2252–2254. [Google Scholar]
- Al-Amiery, AA; Musa, AY; Kadhum, AH; Mohamad, A. The use of umbelliferone in the synthesis of new heterocyclic compounds. Molecules 2011, 16, 6833–6843. [Google Scholar]
- Hung, TT; Lu, YJ; Liao, WY; Huang, CL. Blue violet laser write-once optical disk with coumarin derivative recording layer. IEEE Trans Magn 2007, 43, 867–869. [Google Scholar]
- Hara, K; Sayama, K; Ohga, Y; Shinpo, A; Suga, S; Arakawa, H. A coumarin-derivative dye sensitized nanocrystalline TiO2 solar cell having a high solar-energy conversion efficiency up to 5.6%. Chem Commun 2001, 569–571. [Google Scholar]
- Mukhatar, S; Mujeebur, RVP; Ansari, WH; Lemiere, G; de Groot, A; Dommisse, R. Bifunctional derivative of p,p′-dichlorochalcone. Part II. Synthesis of a novel compound 2-[2-Carboxymethylthio-2-(4-chlorophenyl)ethyl]-2-(4-chlorophenyl)-4-thiazolidinone. Molecules 1999, 4, 232–237. [Google Scholar]
- Milan, C; Maja, M; Tomislav, B; Nela, D; Valentina, R. Design and synthesis of some thiazolidin-4-ones based on(7-hydroxy-2-oxo-2h-chromen-4-yl) acetic acid. Molecules 2009, 14, 2501–2513. [Google Scholar]
- Rajithaa, B; Kumara, VN; Someshwara, P; Madhava, JV; Reddy, PN; Reddy, YH. Dipyridine copper chloride catalyzed coumarin synthesis via Pechmann condensation under conventional heating and microwave irradiation. Arkivoc 2006, xii, 23–27. [Google Scholar]
- Murraya, R; Jorge, Z. A simple method for differentiating between angular and linear 5-methoxyfuranocoumarins. Phytochemistry 1984, 23, 697–699. [Google Scholar]
- Chavan, S; Shivasankara, K; Sivappaa, R; Kalea, R. Zinc mediated transesterification of β-ketoesters and coumarin synthesis. Tetrahedron Lett 2002, 43, 8583–8586. [Google Scholar]
- Yavari, I; Hekmat-Shoar, R; Zonouzi, A. A new and efficient route to 4-carboxymethylcoumarins mediated by vinyltriphenylphosphonium salt. Tetrahedron Lett 1998, 39, 2391–2392. [Google Scholar]
- Dittmer, DC; Li, Q; Avilov, DV. Synthesis of coumarins, 4-hydroxycoumarins, and 4-hydroxyquinolinones by tellurium-triggered cyclizations. J Org Chem 2005, 70, 4682–4686. [Google Scholar]
- Verdía, P; Santamarta, F; Tojo, E. Knoevenagel reaction in [MMIm][MSO4]: Synthesis of coumarins. Molecules 2011, 16, 4379–4388. [Google Scholar]
- Shapiro, S; Sherwin, B. Thromboembolization. II. The use of dicumarol (3,3′-methylenebis (4-hydroxycoumarin) in embolization. Report of five cases. N Y State J Med 1943, 43, 45–52. [Google Scholar]
- Butsch, WL; Stewart, JD. Administration of dicoumarin compound for prophylaxis of postoperative thrombosis and embolism. Arch Surg 1942, 45, 551–553. [Google Scholar]
- Arti, RV; Vijayakumar, M; Chandana, VR; Chandra, SM. In vitro and in vivo antioxidant properties and DNA damage protective activity of green fruit of Ficusglomerata. Food Chem Toxicol 2010, 48, 704–709. [Google Scholar]
- Aruoma, OI; Cuppett, SL. Antioxidant Methodology: In Vivo and In Vitro Concepts; AOCS Press: Champaign, IL, USA, 1997; pp. 141–172. [Google Scholar]
- Al-Amiery, AA; Al-Majedy, K; Abdulreazak, H; Abood, H. Synthesis, characterization, theoretical crystal structure and antibacterial activities of some transition metal complexes of the thiosemicarbazone (Z)-2-(pyrrolidin-2-ylidene)hydrazinecarbothioamide. Bioinorg Chem Appl 2011, 2011. [Google Scholar] [CrossRef]
- Kadhum, AH; Mohamad, A; Al-Amiery, AA. Antimicrobial and anti-oxidant activities of new metal complexes derived from 3-aminocoumarin. Molecules 2011, 16, 6969–6984. [Google Scholar]
- Rose, WM; Creighton, MO; Stewart, DHPJ; Sanwal, M; Trevithick, GR. In vivo effects of vitamin E on cataractogenesis in diabetic rats. Can J Ophtalmol 1972, 17, 61–66. [Google Scholar]
- Williams, W; Cuvelier, M; Berset, C. Use of a free radical method to evaluate antioxidant activity. Lebensm Wiss Technol 1995, 28, 25–30. [Google Scholar]
- Marcocci, L; Packer, L; Droy-Lefai, MT; Sekaki, A; Albert, M. Antioxidant action of Ginkgo biloba extracts EGb 761. Methods Enzymol 1994, 234, 462–475. [Google Scholar]
- Soares, JR; Dinis, TCP; Cunha, AP; Almeida, LM. Antioxidant activities of some extracts of thymus zygis. Free Radic Res 1997, 26, 469–478. [Google Scholar]
- Garratt, DC. The Quantitative Analysis of Drugs; Chapman and Hall Ltd: Tokyo, Japan, 1964; Volume 3, pp. 456–458. [Google Scholar]
- Duh, PD; Tu, YY; Yen, GC. Antioxidant activity of water extract of Harng Jyur (Chyrsanthemum morifolium Ramat). Lebn Wissen Technol 1999, 32, 269. [Google Scholar]
- Chen, Y; Wong, M; Rosen, R; Ho, C. 2,2-Diphenyl-1-picrylhydrazyl radical scavenging active components from Polygonum multiflorum thunb. J Agric Food Chem 1999, 47, 2226–2228. [Google Scholar]










| Atom | Charge | Atom | Charge | Atom | Charge | Atom | Charge |
|---|---|---|---|---|---|---|---|
| C (1) | 0.044 | C (13) | −0.138 | C (25) | 0.110 | H (37) | 0.189 |
| C (2) | 0.365 | C (14 | 0.549 | C (26) | −0.203 | H (38) | 0.188 |
| C (3) | −0.196 | O (15) | −0.437 | C (27) | −0.112 | H (39) | 0.325 |
| C (4) | −0.111 | N (16) | −0.400 | C (28) | −0.117 | H (40) | 0.182 |
| C (5) | −0.125 | N (17) | −0.264 | C (29) | −0.112 | H (41) | 0.161 |
| C (6) | −0.180 | C (18) | 0.185 | C (30) | −0.180 | H (42) | 0.165 |
| C (7) | 413 | C (19) | −0.160 | O (31) | −0.465 | H (43) | 0.188 |
| C (8) | −0.339 | C (20) | −0.159 | H (32) | 0.147 | H (44) | 0.126 |
| C (9) | 0.556 | C (21) | 0.517 | H (33) | 0.130 | H (45) | 0.122 |
| O (10) | −0.509 | C (22) | 0.560 | H (34) | 0.126 | H (46) | 0.123 |
| O (11) | −0.426 | O (23) | −0.499 | H (35) | 0.147 | H (47) | 0.152 |
| O (12) | −0.510 | O (24) | −0.411 | H (36) | 0.183 | - | - |
© 2011 by the authors; licensee MDPI, Basel, Switzerland. This article is an open-access article distributed under the terms and conditions of the Creative Commons Attribution license (http://creativecommons.org/licenses/by/3.0/).
Share and Cite
Kadhum, A.A.H.; Al-Amiery, A.A.; Musa, A.Y.; Mohamad, A.B. The Antioxidant Activity of New Coumarin Derivatives. Int. J. Mol. Sci. 2011, 12, 5747-5761. https://doi.org/10.3390/ijms12095747
Kadhum AAH, Al-Amiery AA, Musa AY, Mohamad AB. The Antioxidant Activity of New Coumarin Derivatives. International Journal of Molecular Sciences. 2011; 12(9):5747-5761. https://doi.org/10.3390/ijms12095747
Chicago/Turabian StyleKadhum, Abdul Amir H., Ahmed A. Al-Amiery, Ahmed Y. Musa, and Abu Bakar Mohamad. 2011. "The Antioxidant Activity of New Coumarin Derivatives" International Journal of Molecular Sciences 12, no. 9: 5747-5761. https://doi.org/10.3390/ijms12095747
APA StyleKadhum, A. A. H., Al-Amiery, A. A., Musa, A. Y., & Mohamad, A. B. (2011). The Antioxidant Activity of New Coumarin Derivatives. International Journal of Molecular Sciences, 12(9), 5747-5761. https://doi.org/10.3390/ijms12095747
