Quantum Dots for Live Cell and In Vivo Imaging
Abstract
:1. Introduction
2. Quantum dot synthesis
2.1. Core synthesis
2.2. Shell growth and surface modification
2.3. Aqueous solubilization
2.3.1. Surface ligand exchange
2.3.2. Amphiphilic polymer coatings
2.4. Conjugation
3. Properties
4. Aqueous solubilization
4.1. Thiolate ligands
4.2. Silica
4.3. Polymers
5. Cytotoxicity
5.1. Oxidation and cadmium release
5.2. Surface coatings
5.3. Genotoxicity and cell activity disruption
6. Applications
6.1. In vivo Targeting and Imaging
6.1.1. Targeting
6.1.2. Imaging
6.1.3. Vasculature imaging
6.1.4. Tracking
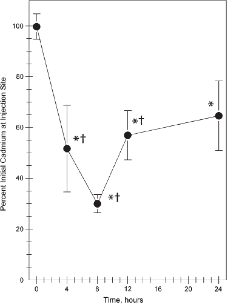
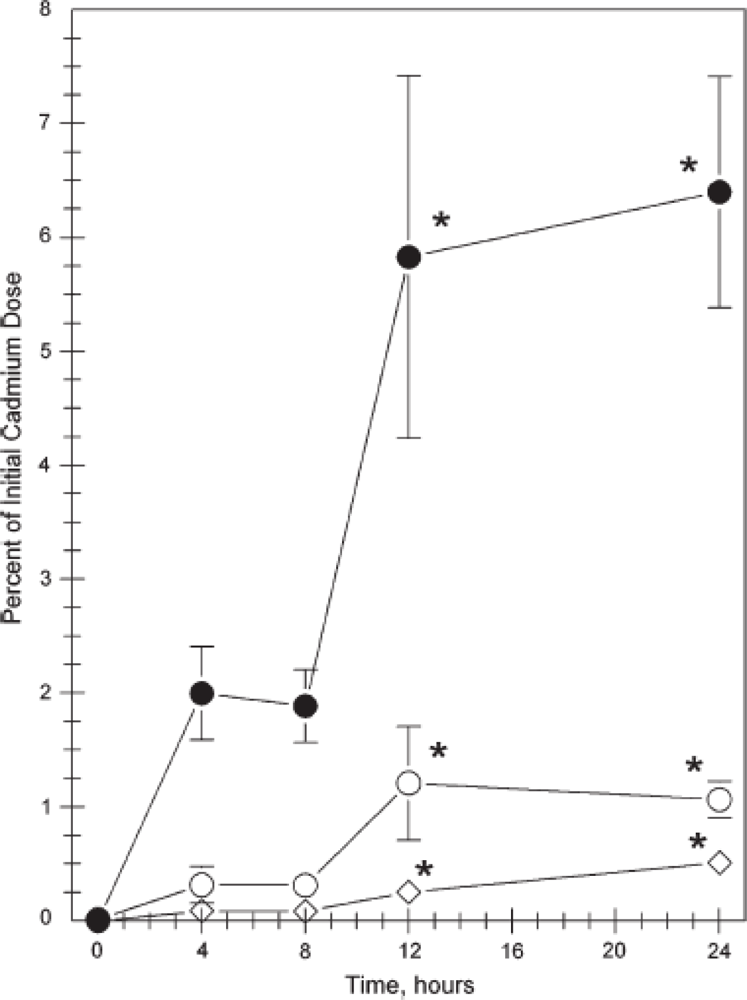
6.1.5. Circulation/Distribution
6.2. Cellular Targeting and Imaging
6.2.1. Labeling/detection
6.2.2. Cellular Imaging
6.2.3. Cellular uptake
6.3. Other Applications
6.3.1. Fixed tissue analysis
6.3.2. Optical encoding
6.3.3. Quantitative determination
7. Other Nanoparticles
7.1. Fluorescence measurements: gold and silica nanoparticles
7.2. Raman scattering measurements: dye-embedded nanoparticles
7.3. Magnetic resonance measurements: nanoworms
8. Summary
References
- Bruchez, M, Jr; Moronne, M; Gin, P; Weiss, S; Alivisatos, AP. Semiconductor Nanocrystals as Fluorescent Biological Labels. Science 1998, 281, 2013–2016. [Google Scholar]
- Chan, WCW; Nie, S. Quantum Dot Bioconjugates for Ultrasensitive Nonisotopic Detection. Science 1998, 281, 2016–2018. [Google Scholar]
- Murray, CB; Norris, DJ; Bawendi, MG. Synthesis and Characterization of Nearly Monodisperse CdE (E = sulfur, selenium, tellurium) Semiconductor Nanocrystallites. J. Am. Chem. Soc 1993, 115, 8706–8715. [Google Scholar]
- Hines, MA; Guyot-Sionnest, P. Synthesis and Characterization of Strongly Luminescing ZnS-Capped CdSe Nanocrystals. J. Phys. Chem 1996, 100, 468–471. [Google Scholar]
- Danek, M; Jensen, KF; Murray, CB; Bawendi, MG. Synthesis of Luminescent Thin-Film CdSe/ZnSe Quantum Dot Composites Using CdSe Quantum Dots Passivated with an Overlayer of ZnSe. Chem. Mater 1996, 8, 173–180. [Google Scholar]
- Dabbousi, BO; Rodriguez-Viejo, J; Mikulec, FV; Heine, JR; Mattoussi, H; Ober, R; Jensen, KF; Bawendi, MG. (CdSe)ZnS Core-Shell Quantum Dots: Synthesis and Characterization of a Size Series of Highly Luminescent Nanocrystallites. J. Phys. Chem. B 1997, 101, 9463–9475. [Google Scholar]
- Hines, MA; Guyot-Sionnest, P. Bright UV-Blue Luminescent Colloidal ZnSe Nanocrystals. J. Phys. Chem. B 1998, 102, 3655–3657. [Google Scholar]
- Yu, WW; Peng, X. Formation of High-Quality CdS and Other II–VI Semiconductor Nanocrystals in Noncoordinating Solvents: Tunable Reactivity of Monomers. Angew. Chemie 2002, 41, 2368–2371. [Google Scholar]
- Norris, DJ; Yao, N; Charnock, FT; Kennedy, TA. High-Quality Manganese-Doped ZnSe Nanocrystals. Nano Lett 2001, 1, 3–7. [Google Scholar]
- Kuno, M; Lee, JK. The Band Edge Luminescence of Surface Modified CdSe Nanocrystallites: Probing the Luminescing State. J. Chem. Phys 1997, 106, 9869. [Google Scholar]
- Talapin, DV; Rogach, AL; Kornowski, A; Haase, M; Weller, H. Highly Luminescent Monodisperse CdSe and CdSe/ZnS Nanocrystals Synthesized in a Hexadecylamine-Trioctylphosphine Oxide-Trioctylphospine Mixture. Nano Lett 2001, 1, 207–211. [Google Scholar]
- Qu, L; Peng, ZA; Peng, X. Alternative Routes Toward High Quality CdSe Nanocrystals. Nano Lett 2001, 1, 333–337. [Google Scholar]
- Katari, JEB; Colvin, VL; Alivisatos, AP. X-ray Photoelectron Spectroscopy of CdSe Nanocrystals with Applications to Studies of the Nanocrystal Surface. J. Phys. Chem 1994, 98, 4109–4117. [Google Scholar]
- Krueger, KM; Al-Somali, AM; Falkner, JC; Colvin, VL. Characterization of Nanocrystalline CdSe by Size Exclusion Chromatography. Anal. Chem 2005, 77, 3511–3115. [Google Scholar]
- Peng, ZA; Peng, X. Formation of High-Quality CdTe, CdSe, and CdS Nanocrystals Using CdO as Precursor. J. Am. Chem. Soc 2001, 123, 183–184. [Google Scholar]
- Micic, OI; Sprague, JR; Curtis, CJ; Jones, KM; Machol, JL; Nozik, AJ; Giessen, H; Fluegel, B; Mohs, G; Peyghambarian, N. Synthesis and Characterization of InP, GaP, and GaInP2 Quantum Dots. J. Phys. Chem 1995, 99, 7754–7759. [Google Scholar]
- Murray, CB; Sun, S; Gaschler, W; Doyle, H; Betley, TA; Kagan, CR. Colloidal Synthesis of Nanocrystals and Nanocrystal Superlattices. IBM J. Res. Dev 2001, 45, 47. [Google Scholar]
- Du, H; Chen, C; Krishnan, R; Krauss, TD; Harbold, JM; Wise, FW; Thomas, MG; Silcox, J. Optical Properties of Colloidal PbSe Nanocrystals. Nano Lett 2002, 2, 1321–1324. [Google Scholar]
- Pietryga, JM; Schaller, RD; Werder, D; Stewart, MH; Klimov, VI; Hollingsworth, JA. Pushing the Band Gap Envelope: Mid-Infrared Emitting Colloidal PbSe Quantum Dots. J. Am. Chem. Soc 2004, 126, 11752–11753. [Google Scholar]
- Kovalenko, MV; Heiss, W; Shevchenko, EV; Lee, J-S; Schwinghammer, H; Alivisatos, AP; Talapin, DV. SnTe Nanocrystals: A New Example of Narrow-Gap Semiconductor Quantum Dots. J. Am. Chem. Soc 2007, 129, 11354–11355. [Google Scholar]
- Weller, H. Colloidal Semiconductor Q-Particles: Chemistry in the Transition Region Between Solid State and Molecules. Angew. Chemie 1993, 32, 41–53. [Google Scholar]
- Peng, X; Schlamp, MC; Kadavanich, AV; Alivisatos, AP. Epitaxial Growth of Highly Luminescent CdSe/CdS Core/Shell Nanocrystals with Photostability and Electronic Accessibility. J. Am. Chem. Soc 1997, 119, 7019–7029. [Google Scholar]
- Gao, X; Nie, S. Quantum Dot-Encoded Mesoporous Beads with High Brightness and Uniformity. Anal. Chem 2004, 76, 2406–2410. [Google Scholar]
- Mattheakis, LC; Dias, JM; Choi, Y-J; Gong, J; Bruchez, MP; Liu, J; Wang, E. Optical Coding of Mammalian Cells Using Semiconductor Quantum Dots. Anal. Biochem 2004, 327, 200–208. [Google Scholar]
- Jaiswal, JK; Mattoussi, H; Mauro, JM; Simon, SM. Long-term Multiple Color Imaging of Live Cells Using Quantum Dot Bioconjugates. Nat. Biotechnol 2003, 21, 47–51. [Google Scholar]
- Chen, F; Gerion, D. Fluorescent CdSe/ZnS Nanocrystal-Peptide Conjugates for Long-term, Nontoxic Imaging and Nuclear Targeting in Living Cells. Nano Lett 2004, 4, 1827–1832. [Google Scholar]
- Derfus, AM; Chan, WCW; Bhatia, SN. Probing the Cytotoxicity of Semiconductor Quantum Dots. Nano Lett 2004, 4, 11–18. [Google Scholar]
- Hoshino, A; Fujioka, K; Oku, T; Suga, M; Sasaki, YF; Ohta, T; Yasuhara, M; Suzuki, K; Yamamoto, K. Physicochemical Properties and Cellular Toxicity of Nanocrystal Quantum Dots Depend on Their Surface Modification. Nano Lett 2004, 4, 2163–2169. [Google Scholar]
- Kirchner, C; Liedl, T; Kudera, S; Pellegrino, T; MunozJavier, A; Gaub, HE; Stolzle, S; Fertig, N; Parak, WJ. Cytotoxicity of Colloidal CdSe and CdSe/ZnS Nanoparticles. Nano Lett 2005, 5, 331–338. [Google Scholar]
- Ryman-Rasmussen, JP; Riviere, JE; Monteiro-Riviere, NA. Penetration of Intact Skin by Quantum Dots with Diverse Physicochemical Properties. Toxicol. Sci 2006, 91, 159–165. [Google Scholar]
- Zhang, T; Stilwell, JL; Gerion, D; Ding, L; Elboudwarej, O; Cooke, PA; Gray, JW; Alivisatos, AP; Chen, FF. Cellular Effect of High Doses of Silica-Coated Quantum Dot Profiled with High Throughput Gene Expression Analysis and High Content Cellomics Measurements. Nano Lett 2006, 6, 800–808. [Google Scholar]
- Dubertret, B; Skourides, P; Norris, DJ; Noireaux, V; Brivanlou, AH; Libchaber, A. In Vivo Imaging of Quantum Dots Encapsulated in Phospholipid Micelles. Science 2002, 298, 1759–1762. [Google Scholar]
- Hoshino, A; Hanaki, K; Suzuki, K; Yamamoto, K. Applications of T-lymphoma Labeled with Fluorescent Quantum Dots to Cell Tracing Markers in Mouse Body. Biochem. Biophys. Res. Commun 2004, 314, 46–53. [Google Scholar]
- Larson, DR; Zipfel, WR; Williams, RM; Clark, SW; Bruchez, MP; Wise, FW; Webb, WW. Water-Soluble Quantum Dots for Multiphoton Fluorescence Imaging In Vivo. Science 2003, 300, 1434–1436. [Google Scholar]
- Wu, X; Liu, H; Liu, J; Haley, KN; Treadway, JA; Larson, JP; Ge, N; Peale, F; Bruchez, MP. Immunofluorescent Labeling of Cancer Marker Her2 and Other Cellular Targets with Semiconductor Quantum Dots. Nat. Biotechnol 2003, 21, 41–46. [Google Scholar]
- Kim, S; Lim, YT; Soltesz, EG; De Grand, AM; Lee, J; Nakayama, A; Parker, JA; Mihaljevic, T; Laurence, RG; Dor, DM. Near-infrared Fluorescent Type II Quantum Dots for Sentinel Lymph Node Mapping. Nat. Biotechnol 2004, 22, 93–97. [Google Scholar]
- Medintz, IL; Konnert, JH; Clapp, AR; Stanish, I; Twigg, ME; Mattoussi, H; Mauro, JM; Deschamps, JR. A Fluorescence Resonance Energy Transfer-derived Structure of a Quantum Dot-protein Bioconjugate Nanoassembly. Proc. Natl. Acad. Sci. USA 2004, 101, 9612–9617. [Google Scholar]
- Ryman-Rasmussen, JP; Riviere, JE; Monteiro-Riviere, NA. Surface Coatings Determine Cytotoxicity and Irritation Potential of Quantum Dot Nanoparticles in Epidermal Keratinocytes. J. Invest. Dermatol 2006, 127, 143–153. [Google Scholar]
- Duan, H; Nie, S. Cell-Penetrating Quantum Dots Based on Multivalent and Endosome-Disrupting Surface Coatings. J. Am. Chem. Soc 2007, 129, 3333–3338. [Google Scholar]
- Chen, Y; Rosenzweig, Z. Luminescent CdS Quantum Dots as Selective Ion Probes. Anal. Chem 2002, 74, 5132–5138. [Google Scholar]
- Cui, B; Wu, C; Chen, L; Ramirez, A; Bearer, EL; Li, W-P; Mobley, WC; Chu, S. One at a Time, Live Tracking of NGF Axonal Transport Using Quantum Dots. Proc. Natl. Acad. Sci. USA 2007, 104, 13666–13671. [Google Scholar]
- Nirmal, M; Dabbousi, BO; Bawendi, MG; Macklin, JJ; Trautman, JK; Harris, TD; Brus, LE. Fluorescence Intermittency in Single Cadmium Selenide Nanocrystals. Nature 1996, 383, 802–804. [Google Scholar]
- Chen, Y; Vela, J; Htoon, H; Casson, JL; Werder, DJ; Bussian, DA; Klimov, VI; Hollingsworth, JA. Multishell CdSe Nanocrystal Quantum Dots with Suppressed Blinking. J. Am. Chem. Soc 2008, 130, 5026–5027. [Google Scholar]
- Mattoussi, H; Mauro, JM; Goldman, ER; Anderson, GP; Sundar, VC; Mikulec, FV; Bawendi, MG. Self-Assembly of CdSe-ZnS Quantum Dot Bioconjugates Using an Engineered Recombinant Protein. J. Am. Chem. Soc 2000, 122, 12142–12150. [Google Scholar]
- Akerman, ME; Chan, WCW; Laakkonen, P; Bhatia, SN; Ruoslahti, E. Nanocrystal Targeting In Vivo. Proc. Natl. Acad. Sci. USA 2002, 99, 12617–12621. [Google Scholar]
- Gussin, HA; Tomlinson, ID; Little, DM; Warnement, MR; Qian, H; Rosenthal, SJ; Pepperberg, DR. Binding of Muscimol-Conjugated Quantum Dots to GABA Receptors. J. Am. Chem. Soc 2006, 128, 15701–15713. [Google Scholar]
- Gao, X; Chan, WCW; Nie, S. Quantum-dot Nanocrystals for Ultrasensitive Biological Labeling and Multicolor Optical Encoding. J. Biomed. Opt 2002, 7, 532–537. [Google Scholar]
- Smith, A; Ruan, G; Rhyner, M; Nie, S. Engineering Luminescent Quantum Dots for In Vivo Molecular and Cellular Imaging. Ann. Biomed. Eng 2006, 34, 3–14. [Google Scholar]
- Parak, WJ; Boudreau, R; Le Gros, M; Gerion, D; Zanchet, D; Micheel, CM; Williams, SC; Alivisatos, AP; Larabell, C. Cell Motility and Metastatic Potential Studies Based on Quantum Dot Imaging of Phagokinetic Tracks. Adv. Mater 2002, 14, 882–885. [Google Scholar]
- Kloepfer, JA; Mielke, RE; Wong, MS; Nealson, KH; Stucky, G; Nadeau, JL. Quantum Dots as Strain- and Metabolism-Specific Microbiological Labels. Appl. Environ. Microbiol 2003, 69, 4205–4213. [Google Scholar]
- Pinaud, F; King, D; Moore, H-P; Weiss, S. Bioactivation and Cell Targeting of Semiconductor CdSe/ZnS Nanocrystals with Phytochelatin-Related Peptides. J. Am. Chem. Soc 2004, 126, 6115–6123. [Google Scholar]
- Sukhanova, A; Devy, J; Venteo, L; Kaplan, H; Artemyev, M; Oleinikov, V; Klinov, D; Pluot, M; Cohen, JHM; Nabiev, I. Biocompatible Fluorescent Nanocrystals for Immunolabeling of Membrane Proteins and Cells. Anal. Biochem 2004, 324, 60–67. [Google Scholar]
- Zhang, CY; Johnson, LW. Quantifying RNA-Peptide Interaction by Single-quantum Dot-Based Nanosensor: An Approach for Drug Screening. Anal. Chem 2007, 79, 7775–7781. [Google Scholar]
- Goldman, ER; Clapp, AR; Anderson, GP; Uyeda, HT; Mauro, JM; Medintz, IL; Mattoussi, H. Multiplexed Toxin Analysis Using Four Colors of Quantum Dot Fluororeagents. Anal. Chem 2004, 76, 684–688. [Google Scholar]
- Han, M; Gao, X; Su, JZ; Nie, S. Quantum-dot-tagged Microbeads for Multiplexed Optical Coding of Biomolecules. Nat. Biotechnol 2001, 19, 631–635. [Google Scholar]
- Gerion, D; Parak, WJ; Williams, SC; Zanchet, D; Micheel, CM; Alivisatos, AP. Sorting Fluorescent Nanocrystals with DNA. J. Am. Chem. Soc 2002, 124, 7070–7074. [Google Scholar]
- Fournier-Bidoz, S; Jennings, TL; Klostranec, JM; Fung, W; Rhee, A; Li, D; Chan, WCW. Facile and Rapid One-Step Mass Preparation of Quantum-Dot Barcodes. Angew Chemie 2008, 47, 5577–5581. [Google Scholar]
- Voura, EB; Jaiswal, JK; Mattoussi, H; Simon, SM. Tracking Metastatic Tumor Cell Extravasation with Quantum Dot Nanocrystals and Fluorescence Emission-Scanning Microscopy. Nature Med 2004, 10, 993–998. [Google Scholar]
- Dabbousi, BO; Murray, CB; Rubner, MF; Bawendi, MG. Langmuir-Blodgett Manipulation of Size-Selected CdSe Nanocrystallites. Chem. Mater 1994, 6, 216–219. [Google Scholar]
- Danek, M; Jensen, KF; Murray, CB; Bawendi, MG. Electrospray Organometallic Chemical Vapor Deposition—A Novel Technique for Preparation of II–VI Quantum Dot Composites. Appl. Phys. Lett 1994, 65, 2795–2797. [Google Scholar]
- Michalet, X; Pinaud, FF; Bentolila, LA; Tsay, JM; Doose, S; Li, JJ; Sundaresan, G; Wu, AM; Gambhir, SS; Weiss, S. Quantum Dots for Live Cells, In Vivo Imaging, and Diagnostics. Science 2005, 307, 538–544. [Google Scholar]
- Gerion, D; Pinaud, F; Williams, SC; Parak, WJ; Zanchet, D; Weiss, S; Alivisatos, AP. Synthesis and Properties of Biocompatible Water-Soluble Silica-Coated CdSe/ZnS Semiconductor Quantum Dots. J. Phys. Chem. B 2001, 105, 8861–8871. [Google Scholar]
- Chen, CC; Yet, CP; Wang, HN; Chao, CY. Self-Assembly of Monolayers of Cadmium Selenide Nanocrystals with Dual Color Emission. Langmuir 1999, 15, 6845–6850. [Google Scholar]
- Mitchell, GP; Mirkin, CA; Letsinger, RL. Programmed Assembly of DNA Functionalized Quantum Dots. J. Am. Chem. Soc 1999, 121, 8122–8123. [Google Scholar]
- Mattoussi, H; Mauro, JM; Goldman, ER; Green, TM; Anderson, GP; Sundar, VC; Bawendi, MG. Bioconjugation of Highly Luminescent Colloidal CdSe-ZnS Quantum Dots with an Engineered Two-Domain Recombinant Protein. Phys. Status Solidi B 2001, 224, 277–283. [Google Scholar]
- Sukhanova, A; Venteo, L; Devy, J; Artemyev, M; Oleinikov, V; Pluot, M; Nabiev, I. Highly Stable Fluorescent Nanocrystals as a Novel Class of Labels for Immunohistochemical Analysis of Paraffin-Embedded Tissue Sections. Lab. Invest 2002, 82, 1259–1261. [Google Scholar]
- Pathak, S; Davidson, MC; Silva, GA. Characterization of the Functional Binding Properties of Antibody Conjugated Quantum Dots. Nano Lett 2007, 7, 1839–1845. [Google Scholar]
- Shepard, JRE. Polychromatic Microarrays: Simultaneous Multicolor Array Hybridization of Eight Samples. Anal. Chem 2006, 78, 2478–2486. [Google Scholar]
- Rikans, LE; Yamano, T. Mechanisms of Cadmium-mediated Acute Hepatotoxicity. J. Biochem. Mol. Toxicol 2000, 14, 110–117. [Google Scholar]
- Alivisatos, AP. Perspectives on the Physical Chemistry of Semiconductor Nanocrystals. J. Phys. Chem 1996, 100, 13226–13239. [Google Scholar]
- Schroeder, JE; Shweky, I; Shmeeda, H; Banin, U; Gabizon, A. Folate-mediated Tumor Cell Uptake of Quantum Dots Entrapped in Lipid Nanoparticles. J. Control. Release 2007, 124, 28–34. [Google Scholar]
- Jayagopal, A; Russ, PK; Haselton, FR. Surface Engineering of Quantum Dots for In Vivo Vascular Imaging. Bioconjugate Chem 2007, 18, 1424–1433. [Google Scholar]
- Maysinger, D; Behrendt, M; Lalancette-Hebert, M; Kriz, J. Real-Time Imaging of Astrocyte Response to Quantum Dots: In Vivo Screening Model System for Biocompatibility of Nanoparticles. Nano Lett 2007, 7, 2513–2520. [Google Scholar]
- Jiang, W; Singhal, A; Kim, BYS; Zheng, J; Rutka, JT; Wang, C; Chan, WCW. Assessing Near-Infrared Quantum Dots for Deep Tissue, Organ, and Animal Imaging Applications. J. Assoc. Lab. Autom 2008, 13, 6–12. [Google Scholar]
- Zimmer, JP; Kim, S-W; Ohnishi, S; Tanaka, E; Frangioni, JV; Bawendi, MG. Size Series of Small Indium Arsenide-Zinc Selenide Core-Shell Nanocrystals and Their Application to In Vivo Imaging. J. Am. Chem. Soc 2006, 128, 2526–2527. [Google Scholar]
- Cai, W; Shin, D-W; Chen, K; Gheysens, O; Cao, Q; Wang, SX; Gambhir, SS; Chen, X. Peptide-Labeled Near-Infrared Quantum Dots for Imaging Tumor Vasculature in Living Subjects. Nano Lett 2006, 6, 669–676. [Google Scholar]
- Smith, JD; Fisher, GW; Waggoner, AS; Campbell, PG. The Use of Quantum Dots for Analysis of Chick CAM Vasculature. Microvasc. Res 2007, 73, 75–83. [Google Scholar]
- Tada, H; Higuchi, H; Wanatabe, TM; Ohuchi, N. In Vivo Real-time Tracking of Single Quantum Dots Conjugated with Monoclonal Anti-HER2 Antibody in Tumors of Mice. Cancer Res 2007, 67, 1138–1144. [Google Scholar]
- Gopee, NV; Roberts, DW; Webb, P; Cozart, CR; Siitonen, PH; Warbritton, AR; Yu, WW; Colvin, VL; Walker, NJ; Howard, PC. Migration of Intradermally Injected Quantum Dots to Sentinel Organs in Mice. Toxicol. Sci 2007, 98, 249–257. [Google Scholar]
- Ballou, B; Ernst, LA; Andreko, S; Harper, T; Fitzpatrick, JAJ; Waggoner, AS; Bruchez, MP. Sentinel Lymph Node Imaging Using Quantum Dots in Mouse Tumor Models. Bioconjugate Chem 2007, 18, 389–396. [Google Scholar]
- Kobayashi, H; Hama, Y; Koyama, Y; Barrett, T; Regino, CAS; Urano, Y; Choyke, PL. Simultaneous Multicolor Imaging of Five Different Lymphatic Basins Using Quantum Dots. Nano Lett 2007, 7, 1711–1716. [Google Scholar]
- Bakalova, R; Zhelev, Z; Aoki, I; Masamoto, K; Mileva, M; Obata, T; Higuchi, M; Gadjeva, V; Kanno, I. Multimodal Silica-Shelled Quantum Dots: Direct Intracellular Delivery, Photosensitization, Toxic, and Microcirculation Effects. Bioconjugate Chem 2008, 19, 1135–1142. [Google Scholar]
- Chen, Z; Chen, H; Meng, H; Xing, G; Gao, X; Sun, B; Shi, X; Yuan, H; Zhang, C; Liu, R. Bio-distribution and Metabolic Paths of Silica Coated CdSeS Quantum Dots. Toxicol. Appl. Pharmacol 2008, 230, 364–371. [Google Scholar]
- Robe, A; Pic, E; Lassalle, H-P; Bezdetnaya, L; Guillemin, F; Marchal, F. Quantum Dots in Axillary Lymph Node Mapping: Biodistribution Study in Healthy Mice. BMC Cancer 2008, 8, 111. [Google Scholar]
- Liu, W; Choi, HS; Zimmer, JP; Tanaka, E; Frangioni, JV; Bawendi, M. Compact Cysteine-Coated CdSe(ZnCdS) Quantum Dots for In Vivo Applications. J. Am. Chem. Soc 2007, 129, 14530–14531. [Google Scholar]
- Chang, J-C; Su, H-L; Hsu, S-h. The Use of Peptide-delivery to Protect Human Adipose-derived Adult Stem Cells from Damage Caused by the Internalization of Quantum Dots. Biomaterials 2008, 29, 925–936. [Google Scholar]
- Liu, W; Howarth, M; Greytak, AB; Zheng, Y; Nocera, DG; Ting, AY; Bawendi, MG. Compact Biocompatible Quantum Dots Functionalized for Cellular Imaging. J. Am. Chem. Soc 2008, 130, 1274–1284. [Google Scholar]
- Kuo, Y-C; Wang, Q; Ruengruglikit, C; Yu, H; Huang, Q. Antibody-Conjugated CdTe Quantum Dots for Escherichia coli Detection. J. Phys. Chem. C 2008, 112, 4818–4824. [Google Scholar]
- Erogbogbo, F; Yong, K-T; Roy, I; Xu, G; Prasad, PN; Swihart, MT. Biocompatible Luminescent Silicon Quantum Dots for Imaging of Cancer Cells. ACS Nano 2008, 2, 873–878. [Google Scholar]
- Kairdolf, BA; Mancini, MC; Smith, AM; Nie, S. Minimizing Nonspecific Cellular Binding of Quantum Dots with Hydroxyl-Derivatized Surface Coatings. Anal. Chem 2008, 80, 3029–3034. [Google Scholar]
- Botsoa, J; Lysenko, V; Geloen, A; Marty, O; Bluet, JM; Guillot, G. Application of 3C-SiC Quantum Dots for Living Cell Imaging. Appl. Phys. Lett 2008, 92, 173902–173903. [Google Scholar]
- Yezhelyev, MV; Al-Hajj, A; Morris, C; Marcus, AI; Liu, T; Lewis, M; Cohen, C; Zrazhevskiy, P; Simons, JW; Rogatko, A. In Situ Molecular Profiling of Breast Cancer Biomarkers with Multicolor Quantum Dots. Adv. Mater 2007, 19, 3146–3151. [Google Scholar]
- Hahn, MA; Keng, PC; Krauss, TD. Flow Cytometric Analysis To Detect Pathogens in Bacterial Cell Mixtures Using Semiconductor Quantum Dots. Anal. Chem 2008, 80, 864–872. [Google Scholar]
- Uyeda, HT; Medintz, IL; Jaiswal, JK; Simon, SM; Mattoussi, H. Synthesis of Compact Multidentate Ligands to Prepare Stable Hydrophilic Quantum Dot Fluorophores. J. Am. Chem. Soc 2005, 127, 3870–3878. [Google Scholar]
- Mei, BC; Susumu, K; Medintz, IL; Delehanty, JB; Mountziaris, TJ; Mattoussi, H. Modular Poly(ethylene glycol) Ligands for Biocompatible Semiconductor and Gold Nanocrystals with Extended pH and Ionic Stability. J. Mater. Chem 2008, 18, 4949–4958. [Google Scholar]
- Susumu, K; Uyeda, HT; Medintz, IL; Pons, T; Delehanty, JB; Mattoussi, H. Enhancing the Stability and Biological Functionalities of Quantum Dots via Compact Multifunctional Ligands. J. Am. Chem. Soc 2007, 129, 13987–13996. [Google Scholar]
- Epstein, JR; Biran, I; Walt, DR. Fluorescence-based Nucleic Acid Detection and Microarrays. Anal. Chim. Acta 2002, 469, 3–36. [Google Scholar]
- Epstein, JR; Walt, DR. Fluorescence-based Fibre Optic Arrays: A Universal Platform for Sensing. Chem. Soc. Rev 2003, 32, 203–214. [Google Scholar]
- Sapsford, KE; Pons, T; Medintz, IL; Mattoussi, H. Biosensing with Luminescent Semiconductor Quantum Dots. Sensors 2006, 6, 925–953. [Google Scholar]
- Algar, WR; Krull, UJ. Quantum Dots as Donors in Fluorescence Resonance Energy Transfer for the Bioanalysis of Nucleic Acids, Proteins, and Other Biological Molecules. Anal. Bioanal. Chem 2008, 391, 1609–1618. [Google Scholar]
- Prabhukumar, G; Matsumoto, M; Mulchandani, A; Chen, W. Cadmium Removal from Contaminated Soil by Tunable Biopolymers. Environ. Sci. Technol 2004, 38, 3148–3152. [Google Scholar]
- Sapsford, KE; Pons, T; Medintz, IL; Higashiya, S; Brunel, FM; Dawson, PE; Mattoussi, H. Kinetics of Metal-Affinity Driven Self-Assembly between Proteins or Peptides and CdSe-ZnS Quantum Dots. J. Phys. Chem. C 2007, 111, 11528–11538. [Google Scholar]
- Snee, PT; Chan, Y; Nocera, DG; Bawendi, MG. Whispering-Gallery-Mode Lasing from a Semiconductor Nanocrystal/Microsphere Resonator Composite. Adv. Mater 2005, 17, 1131–1136. [Google Scholar]
- Bentzen, EL; Tomlinson, ID; Mason, J; Gresch, P; Warnement, MR; Wright, D; Sanders-Bush, E; Blakely, R; Rosenthal, SJ. Surface Modification To Reduce Nonspecific Binding of Quantum Dots in Live Cell Assays. Bioconj. Chem 2005, 16, 1488–1494. [Google Scholar]
- Pathak, S; Choi, S-K; Arnheim, N; Thompson, ME. Hydroxylated Quantum Dots as Luminescent Probes for in Situ Hybridization. J. Am. Chem. Soc 2001, 123, 4103–4104. [Google Scholar]
- Wu, XL; Fan, JY; Qiu, T; Yang, X; Siu, GG; Chu, PK. Experimental Evidence for the Quantum Confinement Effect in 3C-SiC Nanocrystallites. Phys. Rev. Lett 2005, 94, 1–4. [Google Scholar]
- Fan, JY; Wu, XL; Li, HX; Liu, HW; Siu, GG; Chu, PK. Luminescence from Colloidal 3C-SiC Nanocrystals in Different Solvents. Appl. Phys. Lett 2006, 88, 1–3. [Google Scholar]
- Fan, JY; Wu, XL; Chu, PK. Low-dimensional SiC Nanostructures: Fabrication, Luminescence, and Electrical Properties. Prog. Mater. Sci 2006, 51, 983–1031. [Google Scholar]
- Morris, MC; Depollier, J; Mery, J; Heitz, F; Divita, G. A Peptide Carrier for the Delivery of Biologically Active Proteins into Mammalian Cells. Nat. Biotechnol 2001, 19, 1173–1176. [Google Scholar]
- Fountaine, TJ; Wincovitch, SM; Geho, DH; Garfield, SH; Pittaluga, S. Multispectral Imaging of Clinically Relevant Cellular Targets in Tonsil and Lymphoid Tissue Using Semiconductor Quantum Dots. Mod. Pathol 2006, 19, 1181–1191. [Google Scholar]
- Zhu, X-X; Cao, Y-C; Jin, X; Yang, J; Hua, X-F; Wang, H-Q; Liu, B; Wang, Z; Wang, J-H; Yang, L. Optical Encoding of Microbeads Based on Silica Particle Encapsulated Quantum Dots and Its Applications. Nanotechnol 2008, 19, 1–8. [Google Scholar]
- Zhang, Y-h; Zhang, H-s; Guo, X-f; Wang, H. L-Cysteine-coated CdSe/CdS Core-shell Quantum Dots as Selective Fluorescence Probe for Copper(II) Determination. Microchem. J 2008, 89, 142–147. [Google Scholar]
- Tang, B; Cao, L; Xu, K; Zhuo, L; Ge, J; Li, Q; Lijuan, Yu. A New Nanobiosensor for Glucose with High Sensitivity and Selectivity in Serum Based on Fluorescence Resonance Energy Transfer (FRET) between CdTe Quantum Dots and Au Nanoparticles. Chem. Eur. J 2008, 14, 3637–3644. [Google Scholar]
- Dickinson, ME; Bearman, G; Tille, S; Lansford, R; Fraser, SE. Multi-Spectral Imaging and Linear Unmixing Add a Whole New Dimension to Laser Scanning Flouresence Microscopy. BioTechniques 2001, 31, 1272–1278. [Google Scholar]
- Wang, D; Rogach, AL; Caruso, F. Semiconductor Quantum Dot-Labeled Microsphere Bioconjugates Prepared by Stepwise Self-Assembly. Nano Lett 2002, 2, 857–861. [Google Scholar]
- Gao, X; Nie, S. Doping Mesoporous Materials with Multicolor Quantum Dots. J. Phys. Chem. B 2003, 107, 11575–11578. [Google Scholar]
- Cao, Y-C; Huang, Z-L; Liu, T-C; Wang, H-Q; Zhu, X-X; Wang, Z; Zhao, Y-D; Liu, M-X; Luo, Q-M. Preparation of Silica Encapsulated Quantum Dot Encoded Beads for Multiplex Assay and its Properties. Anal. Biochem 2006, 351, 193–200. [Google Scholar]
- Xie, H-Y; Liang, J-G; Zhang, Z-L; Liu, Y; He, Z-K; Pang, D-W. Luminescent CdSe-ZnS Quantum Dots as Selective Cu2+ Probe. Spectrochim. Acta A 2004, 60, 2527–2530. [Google Scholar]
- Fernández-Argüelles, MT; Jin, WJ; Costa-Fernández, JM; Pereiro, R; Sanz-Medel, A. Surface-modified CdSe Quantum Dots for the Sensitive and Selective Determination of Cu(II) in Aqueous Solutions by Luminescent Measurements. Anal. Chim. Acta 2005, 549, 20–25. [Google Scholar]
- Jin, Y; Lohstreter, S; Pierce, DT; Parisien, J; Wu, M; Hall, C; Zhao, JX. Silica Nanoparticles with Continuously Tunable Sizes: Synthesis and Size Effects on Cellular Contrast Imaging. Chem. Mater 2008, 20, 4411–4419. [Google Scholar]
- Medley, CD; Smith, JE; Tang, Z; Wu, Y; Bamrungsap, S; Tan, W. Gold Nanoparticle-Based Colorimetric Assay for the Direct Detection of Cancerous Cells. Anal. Chem 2008, 80, 1067–1072. [Google Scholar]
- Park, JH; von Maltzahn, G; Zhang, L; Schwartz, MP; Ruoslahti, E; Bhatia, SN; Sailor, MJ. Magnetic Iron Oxide Nanoworms for Tumor Targeting and Imaging. Adv. Mater 2008, 20, 1630–1635. [Google Scholar]
- Wang, L; Zhang, J; Wang, X; Huang, Q; Pan, D; Song, S; Fan, C. Gold Nanoparticle-based Optical Probes for Target-Responsive DNA Structures. Gold Bull 2008, 41, 37–41. [Google Scholar]
- Nakamura, M; Shono, M; Ishimura, K. Synthesis, Characterization, and Biological Applications of Multifluorescent Silica Nanoparticles. Anal. Chem 2007, 79, 6507–6514. [Google Scholar]
- Gong, J-L; Jiang, J-H; Yang, H-F; Shen, G-L; Yu, R-Q; Ozaki, Y. Novel Dye-embedded Core-shell Nanoparticles as Surface-enhanced Raman Scattering Tags for Immunoassay. Anal. Chim. Acta 2006, 564, 151–157. [Google Scholar]
- Ow, H; Larson, DR; Srivastava, M; Baird, BA; Webb, WW; Wiesner, U. Bright and Stable Core-Shell Fluorescent Silica Nanoparticles. Nano Lett 2005, 5, 113–117. [Google Scholar]
- Doering, WE; Nie, S. Spectroscopic Tags Using Dye-Embedded Nanoparticles and Surface-Enhanced Raman Scattering. Anal. Chem 2003, 75, 6171–6176. [Google Scholar]
- Mirkin, CA; Letsinger, RL; Mucic, RC; Storhoff, JJ. A DNA-based Method for Rationally Assembling Nanoparticles into Macroscopic Materials. Nature 1996, 382, 607–609. [Google Scholar]
- Alivisatos, AP; Johnsson, KP; Peng, X; Wilson, TE; Loweth, CJ; Bruchez, MP; Schultz, PG. Organization of ‘nanocrystal molecules’ using DNA. Nature 1996, 382, 609–611. [Google Scholar]
- Lytton-Jean, AKR; Han, MS; Mirkin, CA. Microarray Detection of Duplex and Triplex DNA Binders with DNA-Modified Gold Nanoparticles. Anal. Chem 2007, 79, 6037–6041. [Google Scholar]
- Elghanian, R; Storhoff, JJ; Mucic, RC; Letsinger, RL; Mirkin, CA. Selective Colorimetric Detection of Polynucleotides Based on the Distance-Dependent Optical Properties of Gold Nanoparticles. Science 1997, 277, 1078–1081. [Google Scholar]
- Mulvaney, SP; Musick, MD; Keating, CD; Natan, MJ. Glass-Coated, Analyte-Tagged Nanoparticles: A New Tagging System Based on Detection with Surface-Enhanced Raman Scattering. Langmuir 2003, 19, 4784–4790. [Google Scholar]
- Cao, YC; Jin, R; Mirkin, CA. Nanoparticles with Raman Spectroscopic Fingerprints for DNA and RNA Detection. Science 2002, 297, 1536–1540. [Google Scholar]
- Nie, S; Emory, SR. Probing Single Molecules and Single Nanoparticles by Surface-Enhanced Raman Scattering. Science 1997, 275, 1102–1106. [Google Scholar]
- Emory, SR; Haskins, WE; Nie, S. Direct Observation of Size-Dependent Optical Enhancement in Single Metal Nanoparticles. J. Am. Chem. Soc 1998, 120, 8009–8010. [Google Scholar]
- Michaels, AM; Nirmal, M; Brus, LE. Surface Enhanced Raman Spectroscopy of Individual Rhodamine 6G Molecules on Large Ag Nanocrystals. J. Am. Chem. Soc 1999, 121, 9932–9939. [Google Scholar]
- Moyer, PJ; Schmidt, J; Eng, LM; Meixner, AJ; Sandmann, GW; Dietz, H; Plieth, W. Surface-Enhanced Raman Scattering Spectroscopy of Single Carbon Domains on Individual Ag Nanoparticles on a 25 ms Time Scale. J. Am. Chem. Soc 2000, 122, 5409–5410. [Google Scholar]
- Moghimi, SM; Hunter, AC; Murray, JC. Long-Circulating and Target-Specific Nanoparticles: Theory to Practice. Pharmacol Rev 2001, 53, 283–318. [Google Scholar]
- Weissleder, R; Bogdanov, A; Neuwelt, EA; Papisov, M. Long-circulating Iron Oxides for MR Imaging. Adv. Drug Delivery Rev 1995, 16, 321–334. [Google Scholar]























| Core Composition | Size Range (nm) | Emission Range, reference |
|---|---|---|
| ZnSe | ∼4.3–6.0 | UV, Visible (Size dependent), [7,8] |
| ZnSe:Mn | ∼2.7∼6.3 | UV, Visible (Size dependent), [9] |
| CdSe | ∼1.0 up to 25 | Visible, [1,3,10–14] |
| CdS | ∼1.0–6.0 | UV, Visible (Size dependent), [3,8,15] |
| CdTe | ∼2.0–8.0 | Visible, [3,15] |
| InP | 3.0–4.6 | UV, Visible, Near IR (Size dependent) [1,16] |
| ∼2.6–4.6 | ||
| InAs | 2.8–6.0 | IR, [1] |
| GaP | ∼2.0–3.0 | UV, Visible (Size dependent), [16] |
| GaInP2 | ∼2.5–6.5 | UV, Visible (Size dependent), [16] |
| PbSe | 3–8 (small), 8–12 (large) | Near/mid-IR (Size dependent), [17–19] |
| SnTe | 4.5–15 | Mid-IR, [20] |
© 2009 by the authors; licensee Molecular Diversity Preservation International, Basel, Switzerland. This article is an open-access article distributed under the terms and conditions of the Creative Commons Attribution license ( http://creativecommons.org/licenses/by/3.0/).
Share and Cite
Walling, M.A.; Novak, J.A.; Shepard, J.R.E. Quantum Dots for Live Cell and In Vivo Imaging. Int. J. Mol. Sci. 2009, 10, 441-491. https://doi.org/10.3390/ijms10020441
Walling MA, Novak JA, Shepard JRE. Quantum Dots for Live Cell and In Vivo Imaging. International Journal of Molecular Sciences. 2009; 10(2):441-491. https://doi.org/10.3390/ijms10020441
Chicago/Turabian StyleWalling, Maureen A., Jennifer A. Novak, and Jason R. E. Shepard. 2009. "Quantum Dots for Live Cell and In Vivo Imaging" International Journal of Molecular Sciences 10, no. 2: 441-491. https://doi.org/10.3390/ijms10020441
APA StyleWalling, M. A., Novak, J. A., & Shepard, J. R. E. (2009). Quantum Dots for Live Cell and In Vivo Imaging. International Journal of Molecular Sciences, 10(2), 441-491. https://doi.org/10.3390/ijms10020441
