Next Article in Journal
Structure-Acidity-IR Spectra Correlations for p-Substituted N-Phenylsulfonylbenzamides†
Previous Article in Journal
Mechanism-based Enzyme Inactivators of Phytosterol Biosynthesis
 
 
Font Type:
Arial Georgia Verdana
Font Size:
Aa Aa Aa
Line Spacing:
Column Width:
Background:
Article

Synthesis of Some New 4,5-Substituted-4H-1,2,4-triazole-3-thiol Derivatives

Department of Chemistry, Faculty of Science, Fırat University, 23119, Elazığ, Turkey
*
Author to whom correspondence should be addressed.
Molecules 2004, 9(4), 204-212; https://doi.org/10.3390/90400204
Submission received: 11 July 2003 / Revised: 9 February 2004 / Accepted: 2 February 2004 / Published: 31 March 2004

Abstract

:
In this study appropriate hydrazide compounds, furan-2-carboxylic acid hydrazide (1) and phenylacetic acid hydrazide (2) were converted into 1,4‑substituted thiosemicarbazides 4a-e and 5a-e and 4-amino-5-(furan-2-yl or benzyl)-4H-1,2,4-triazole- 3-thiols 7 and 10. The 1,4-substituted thiosemicarbazides were then converted into 5-(furan-2-yl or benzyl)-4-(aryl)-4H-1,2,4-triazole-3-thiols 8a-e and 9a-e. In addition, the azomethines 11a-d and 12a-d were prepared from the corresponding arylaldehydes and the 4-amino-5-(furan-2-yl or benzyl)-4H-1,2,4-triazole-3-thiols 7 and 10. The structures of all the synthesized compounds were confirmed by elemental analyses, IR, 1H-NMR and 13C-NMR spectra.

Introduction

Derivatives of 1,2,4-triazole are known to exhibit anti-inflammatory [1,2], antiviral [3], analgesic [4], antimicrobial [5,6,7], anticonvulsant [8] and antidepressant activity [9], the latter being usually explored by the forced swim test [10,11]. Among the pharmacological profiles of 1,2,4-triazoles, their antimicrobial, anticonvulsant and antidepressant properties seem to be the best documented. New changing problems in plant protection technology have promoted research to discover more efficient pesticides. In particular the development of herbicides, now an unavoidable means to selectively control the growth of weeds, resulted in a whole range of azoles exhibiting high levels of activity, application flexibility, crop tolerance and low levels of toxicity to mammals. Triazoles play an important role among this class of heterocycles. A series of 1,2,4-triazole derivatives [11] have been patented and extensively employed in agriculture. We now report the synthesis of 20 original compounds derived from furan-2-carboxylic acid hydrazide and phenylacetic hydrazide with the purpose of investigating in the future their possible antibacterial and antifungal activity.

Results and Discussion

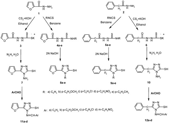
The new derivatives were prepared following the reaction sequences depicted in Scheme 1. Initial compounds were prepared from available furan-2-carboxylic acid hydrazide (1), and phenylacetic acid hydrazide (2). Potassium 3-(2-furoyl) or (phenylacetyl) dithiocarbazates 3, 6 were prepared by reaction of compounds 1 and 2 with carbon disulfide in ethanolic potassium hydroxide. 1-(2-Furoyl or phenylacetyl)-4-substituted thiosemicarbazides 4a-e and 5a-e were prepared in yields ranging from 88 to 95% by the condensation of 1 and 2 with arylisothiocyanates. Ring closure of arylthiosemicarbazides in an alkaline medium is a well known method for the synthesis of 1,2,4-triazoles, and 5-(furan-2-yl or benzyl)-4-(aryl)-4H-1,2,4-triazole-3-thiols 8a-e and 9a-e were obtained in 62-79% yields from the respective 4a-e, 5a-e by this method. Compounds 7 and 10 were obtained from the reaction of 3 and 6 with hydrazide hydrate under reflux in solution. When an arylaldehyde was added to 7 or 10 in ethanol, the reactions gave 11a-d, 12a-d.
Scheme 1.
Scheme 1.
Molecules 09 00204 g001
The IR spectra of the 1,4-substituted-thiosemicarbazide derivatives 4a-e, 5a-e have C=O stretching bands at 1687-1672 cm-1 and C=S stretching bands at 1290-1250 cm-1. The N-H protons of 4a-e, 5a-e were observed at 9.20-10.15 ppm, (O=C-NH-NH-C=S) and 8.00-8.25 ppm (S=C-NH-Ar). Compounds 7, 8a-e, 9a-e, 10, 11a-d, 12a-d exist as thiol-thione tautomers as indicated by their IR spectra which showed a band due to SH and four bands due to N-C=S I, II, III, IV. The azomethine derivatives 11a-d, 12a-d were charcterized by the presence of the methine protons (N=CH) at 9.18-10.33 ppm. The data of all the compounds are given in the Experimental section.

Experimental

General

Melting points were determined in open capillary tubes on a digital Gallenkamp melting point apparatus and are uncorrected. The IR spectra were recorded for KBr disks with a Mattson 1000 FT-IR spectrometer. 1H-NMR spectra were recorded on a FX 90 JEOL 90 MHz NMR, spectrometer in CDCl3 + DMSO-d6 with TMS as an internal standard. Elemental analyses were done on a LECO-CHNS-938. Starting materials were obtained from Fluka or Aldrich.

General Procedure for Preparation of Potassium 3-(2-furoyl) or (phenylacetyl)dithiocarbazates 3 and 6.

Carbon disulfide (0.15 mole) was added to a solution of potassium hydroxide (0.15 mole), absolute ethanol (200 mL) and the appropriate furan-2-carboxylic acid hydrazide (1) or phenylacetic acid hydrazide (2) (0.10 mole). This mixture was diluted with absolute ethanol (150 mL) and agitated for 12-18 hours. It was then diluted with dry ether (250 mL) and the products were filtered off and vacuum dried at 65 °C. The salts prepared as described above were obtained in nearly quantitative yields and were used without further purification.
Potassium-3-(2-furoyl)dithiocarbazate (3): m.p. 222-225 °C; IR υ (cm-1): 3450, 3310 (N-H), 1639 (C=O), 1270 (C=S), 1248 (C-O-C).
Potassium-3-(Phenylacetyl)dithiocarbazate (6): m.p. 212-255 °C; IR υ (cm-1): 3375, 3225 (N-H), 1670 (C=O), 1275 (C=S), 1250 (C-O-C).

General procedure for Preparation of 4a-e, 5a-e.

A mixture of 1 (or 2) (0.01 mole) and the appropriate aryl isothiocyanate (0.01 mole) in dry C6H6 was refluxed for 6 hours. The solid material obtained on cooling was filtered off and recrystallized from methanol.
1-(2-furoyl)-4-Phenylthiosemicarbazide (4a): From phenylisothiocyanate, yield 92%; m.p. 184-185 °C; IR υ (cm-1): 3365, 3315 (N-H), 1672 (C=O), 1274 (C=S), 1251 (C-O-C); 1H-NMR δ (ppm): 6.68-7.20 (m, 3H, furan), 7.42-7.92 (m, 5H, Ar-H), 8.11-8.19 (br, 1H, -NH-Ar), 9.20-9.92 (br, 2H, 2xNH). Calcd. for C12H11N3O2S (261); (%): C, 55.16; H, 4.24; N, 16.08; S, 12.27; found (%): C, 55.27; H, 4.11, N, 15.97; S, 12.13.
1-(2-furoyl)-4-(4-methoxyphenyl)thiosemicarbazide (4b): From p-methoxphenylisothiocyanate, yield 93%; m.p. 162-163 °C; IR υ (cm-1): 3355, 3320 (N-H), 1678 (C=O), 1271 (C=S), 1253 (C-O-C); 1H-NMR δ (ppm): 3.79 (s, 3H, -O-CH3) 5.90-6.20 (m, 3H, furan), 6.55-6.90 (m, 4H, Ar-H), 8.21-8.25 (br, 1H, -NH-Ar), 9.21-9.92 (br, 2H, 2xNH). Calcd. for C13H13N3O3S (291); (%): C, 53.60; H, 4.50; N, 14.42; S, 11.01; found (%): C, 53.45; H, 4.51, N, 14.47; S, 10.98.
1-(2-furoyl)-4-(4-chlorophenyl)thiosemicarbazide (4c): From p-chlorophenylisothiocyanate, yield 90%; m.p. 188-189 °C; IR υ (cm-1): 3354, 3321 (N-H), 1673 (C=O), 1268 (C=S), 1249 (C-O-C); 1H-NMR δ (ppm): 6.67-7.21 (m, 3H, furan), 7.22-7.90 (m, 4H, Ar-H), 8.18-8.20 (br, 1H, -NH-Ar), 9.71-10.02 (br, 2H, 2xNH). Calcd. for C12H10ClN3O2S (295); (%): C, 48.74; H, 3.41; N, 14.21; S, 10.84; found (%): C, 48.45; H, 3.43, N, 14.17; S, 10.88.
1-(2-furoyl)-4-(4-nitrophenyl)thiosemicarbazide (4d): From p-nitrophenylisothiocyanate, yield 95%; m.p. 210-211 °C; IR υ (cm-1): 3344, 3311 (N-H), 1422 (NO2), 1679 (C=O), 1274 (C=S), 1254 (C-O-C); 1H-NMR δ (ppm): 6.70-7.28 (m, 3H, furan), 7.56-7.76 (m, 4H, Ar-H), 8.00-8.14 (br, 1H, -NH-Ar), 9.21-10.11 (br, 2H, 2xNH). Calcd. for C12H10N4O4S (306); (%): C, 47.06; H, 3.29; N, 18.29; S, 10.47; found (%): C, 47.10; H, 3.23, N, 18.27; S, 10.40.
1-(2-furoyl)-4-(4-methylphenyl)thiosemicarbazide (4e): From p-methylphenylisothiocyanate, yield 91%; m.p. 165-167 °C; IR υ (cm-1): 3449, 3321 (N-H), 1683 (C=O), 1269 (C=S), 1241 (C-O-C); 1H-NMR δ (ppm): 2.28 (s, 3H, CH3), 6.71-7.26 (m, 3H, furan), 7.54-7.72 (m, 4H, Ar-H), 8.20-8.25 (br, 1H, -NH-Ar), 9.97-10.15 (br, 2H, 2xNH). Calcd. for C13H13N3O2S (275); (%): C, 56.71; H, 4.76; N, 15.26; S, 11.65; found (%): C, 56.54; H, 4.71, N, 14.97; S, 11.64.
1-Phenylacetyl-4-phenylhiosemicarbazide (5a): From phenylisothiocyanate, yield 94%; m.p. 160-161 °C; IR υ (cm-1): 3450, 3310 (N-H), 1687 (C=O), 1290 (C=S); 1H-NMR δ (ppm): 3.35 (s, 2H, CH2), 7.30-7.44 (m, 10H, Ar-H), 8.21-8.23 (br, 1H, -NH-Ar), 9.95-10.11 (br, 2H, 2xNH). Calcd. for C15H15N3OS (285); (%): C, 63.13; H, 5.30; N, 14.72; S, 11.24; found (%): C, 63.09; H, 5.35, N, 14.67; S, 11.19.
1-Phenylacetyl-4-(4-methoxyphenyl)thiosemicarbazide (5b): From p-methoxphenylisothiocyanate, yield 92%; m.p. 157-159 °C; υ (cm-1): 3452, 3312 (N-H), 1686 (C=O), 1274 (C=S); 1H-NMR δ (ppm): 3.39 (s, 2H, CH2), 4.25 (s, 3H, -O-CH3), 6.77-7.30 (m, 9H, Ar-H), 8.11-8.13 (br, 1H, -NH-Ar), 9.98-10.13 (br, 2H, 2xNH). Calcd. for C16H17N3O2S (315); (%): C, 60.93; H, 5.43; N, 13.32; S, 10.47; found (%): C, 61.01; H, 5.25, N, 13.32; S, 10.49.
1-Phenylacetyl-4-(4-chlorophenyl)thiosemicarbazide (5c): From p-chlorophenylisothiocyanate, yield 90%; m.p. 164-165 °C; IR υ (cm-1): 3482, 3317 (N-H), 1675 (C=O), 1267 (C=S); 1H-NMR δ (ppm): 3.40 (s, 2H, CH2), 7.31-7.44 (m, 9H, Ar-H), 8.13-8.17 (br, 1H, -NH-Ar), 10.11-10.13 (br, 2H, 2xNH). Calcd. for C15H14ClN3OS (319); (%): C, 56.33; H, 4.41; N, 13.14; S, 10.03; found (%): C, 56.21; H, 4.39, N, 13.12; S, 9.99.
1-Phenylacetyl-4-(4-nitrophenyl)thiosemicarbazide (5d): From p-nitrophenylisothiocyanate, yield 93%; m.p. 187-188 °C; IR υ (cm-1): 3451, 3322 (N-H), 1672 (C=O), 1266 (C=S); 1H-NMR δ (ppm): 3.74 (s, 2H, CH2), 7.37-7.87 (m, 9H, Ar-H), 8.19-8.22 (br, 1H, -NH-Ar), 10.13-10.15 (br, 2H, 2xNH). Calcd. for C15H14N4O3S (330); (%): C, 54.54; H, 4.27; N, 16.96; S, 9.71; found (%): C, 54.41; H, 4.29, N, 17.01; S, 9.69.
1-Phenylacetyl-4-(4-methylphenyl)thiosemicarbazide (5e): From p-methylphenylisothiocyanate, yield 88%; m.p. 160-161 °C; IR υ (cm-1): 3450, 3329 (N-H), 1678 (C=O), 1250 (C=S); 1H-NMR δ (ppm): 2.28 (s, 3H, CH3), 3.53 (s, 2H, CH2), 7.30-7.45 (m, 9H, Ar-H), 8.17-8.24 (br, 1H, -NH-Ar), 10.13-10.15 (br, 2H, 2xNH). Calcd. for C16H17N3OS (299); (%): C, 64.19; H, 5.72; N, 14.03; S, 10.71; found (%): C, 64.11; H, .69, N, 14.01; S, 10.59.

General Procedure for the Preparation of Compounds 7 and 10.

A suspension of the potassium salt 3 (or 6) (20 mmoles), 95 % hydrazine (40 mmoles) and water (2 mL) was refluxed with stirring for 0.5 to 1 hours. The color of the reaction mixture changed to green, hydrogen sulfide was evolved and a homogeneous solution resulted. A white solid was precipitated by dilution with cold water (100 mL) and acidification with concentrated hydrochloric acid. This product was filtered, washed with cold water (2x30 mL) and recrystallized from ethanol or ethanol-water.
4-Amino-5-furan-2-yl-4H-1,2,4-triazole-3-thiol (7): Yield 45%; m.p. 202-203 °C; IR υ (cm-1): 3329 (N-H), 2775 (SH), 1618 (C=N), 1238 (C-O-C), 1533, 1262, 1051, 952 (N-C=S, amide I, II, III and IV bands); 1H-NMR δ (ppm): 5.80 (s, 2H, NH2), 6.70-7.91 (m, 3H, furan), 13.89 (s, 1H, SH); 13C-NMR δ: 111.89, 11398, 139.90, 142.83, 145.20, 156.54. Calcd. for C6H6N4OS (182); (%): C, 39.55; H, 3.32; N, 30.75; S, 17.60; found (%): C, 39.49; H, 3.39, N, 31.01; S, 17.59.
4-Amino-5-benzyl-4H-1,2,4-triazole-3-thiol (10): Yield 53%; m.p. 207-209 °C; IR υ (cm-1): 3337 (N-H), 2350 (SH), 1620 (C=N), 1535, 1260, 1050, 950 (N-C=S, amide I, II, III and IV bands); 1H-NMR δ (ppm): 5.01 (s, 2H, NH2), 5.41 (s, 2H, CH2), 6.72-7.02 (m, 5H, Ar-H), 13.01 (s, 1H, SH); 13C-NMR δ: 35.41, 111.89, 113.98, 125.71, 127.91, 128.31, 139.90, 141.54, 142.83, 145.20, 156.54. Calcd. for C9H10N4S (206); (%): C, 52.41; H, 4.89; N, 27.16; S, 15.54; found (%): C, 52.49; H, 4.87, N, 27.25.01; S, 15.59.

General Procedure for the Preparation of Compounds 8a-e and 9a-e.

A stirring mixture of compound 4a (or 4b-e, 5a-e) (1 mmole) and sodium hydroxide (40 mg, 1 mmole, as a 2N solution) was refluxed for 4 hours. After cooling, the solution was acidified with hydrochloric acid and the precipitate was filtered. The precipitate was then crystallized from ethanol.
5-Furan-2-yl-4-phenyl-4H-1,2,4-triazole-3-thiol (8a): Yield 68%; m. p. 210-212 °C; IR υ (cm-1): 3321, 3250 (N-H), 2575 (SH), 1604 (C=N), 1249 (C-O-C), 1535, 1260, 1054, 948 (N-C=S, amide I, II, III and IV bands); 1H-NMR δ (ppm): 5.97-6.34 (m, 3H, furan), 7.45-7.55 (m, 5H, Ar-H), 13.04 (s, 1H, SH). Calcd. for C12H9N3OS (243); (%): C, 59.24; H, 3.73; N, 17.27; S, 13.18; found (%): C, 58.99; H, 3.69, N, 17.25; S, 13.19.
5-Furan-2-yl-4-(4-methoxyphenyl)-4H-1,2,4-triazole-3-thiol (8b): Yield 78%; m. p. 245-246 °C; IR υ (cm-1): 3331, 3258 (N-H), 2564 (SH), 1618 (C=N), 1250 (C-O-C), 1538, 1259, 1048, 948 (N-C=S, amide I, II, III and IV bands); 1H-NMR δ (ppm): 3.88 (s, 3H, OCH3), 5.95-6.38 (m, 3H, furan), 7.09-7.55 (m, 4H, Ar-H), 14.00 (s, 1H, SH). Calcd. for C13H11N3O2S (273); (%): C, 57.13; H, 4.06; N, 15.37; S, 11.73; found (%): C, 57.19; H, 3.99, N, 15.25; S, 11.79.
4-(4-Chlorophenyl-)5-Furan-2-yl)-4H-1,2,4-triazole-3-thiol (8c): Yield 72%; m. p. 264-265 °C; IR υ (cm-1): 3351, 3288 (N-H), 2564 (SH), 1625 (C=N), 1250 (C-O-C), 1535, 1260, 1050, 950 (N-C=S, amide I, II, III and IV bands); 1H-NMR δ (ppm): 6.16-6.50 (m, 3H, furan), 7.45-7.78 (m, 4H, Ar-H), 13.98 (s, 1H, SH). Calcd. for C12H8ClN3OS (273); (%): C, 51.90; H, 2.90; N, 15.13; S, 11.54; found (%): C, 51.88; H, 2.99, N, 15.15; S, 11.49.
4-(4-Nitrophenyl-)5-Furan-2-yl)-4H-1,2,4-triazole-3-thiol (8d): Yield 62%; m. p. 187-188 °C; IR υ (cm-1): 3341, 3280 (N-H), 2580 (SH), 1625 (C=N), 1250 (C-O-C), 1528 (NO2), 1537, 1263, 1057, 952 (N-C=S, amide I, II, III and IV bands); 1H-NMR δ (ppm): 5.91-6.95 (m, 3H, furan), 7.51-8.08 (m, 4H, Ar-H), 12.98 (s, 1H, SH). Calcd. for C12H8N4O3S (288); (%): C, 50.00; H, 2.80; N, 19.43; S, 11.12; found (%): C, 50.08; H, 2.89, N, 19.50; S, 11.15.
5-Furan-2-yl-4-(4-methylphenyl)-4H-1,2,4-triazole-3-thiol (8e): Yield 79%; m. p. 257-258 °C; IR υ (cm-1): 3351, 3285 (N-H), 2576 (SH), 1621 (C=N), 1250 (C-O-C), 1534, 1258, 1050, 951 (N-C=S, amide I, II, III and IV bands); 1H-NMR δ (ppm): 2.46 (s, 3H, CH3), 5.94-6.36 (m, 3H, furan), 7.31-7.47 (m, 4H, Ar-H), 14.01 (s, 1H, SH). Calcd. for C13H11N3OS (257); (%): C, 60.68; H, 4.31; N, 16.33; S, 12.46; found (%): C, 60.65; H, 4.39, N, 16.50; S, 12.42.
5-Benzyl-4-phenyl-4H-1,2,4-triazole-3-thiol (9a): Yield 73%; m. p. 197-198 °C; IR υ (cm-1): 3344, 3282 (N-H), 2548 (SH), 1620 (C=N), 1535, 1263, 1050, 951 (N-C=S, amide I, II, III and IV bands); 1H-NMR δ (ppm): 3.81 (s, 2H, CH2), 7.10-7.45 (m, 10H, Ar-H), 13.81 (s, 1H, SH). Calcd. for C15H13N3S (267); (%): C, 67.39; H, 4.90; N, 15.72; S, 11.99; found (%): C, 67.38; H, 4.87, N, 15.65; S, 12.09.
5-Benzyl-4-(4-methoxyphenyl)-4H-1,2,4-triazole-3-thiol (9b): Yield 79%; m.p. 177-178 °C; IR υ (cm-1): 3344, 3282 (N-H), 2570 (SH), 1606 (C=N), 1538, 1260, 1050, 950 (N-C=S, amide I, II, III and IV bands); 1H-NMR δ (ppm): 3.80 (s, 2H, CH2), 3.88(s, 3H, OCH3), 6.95-7.25 (m, 9H, Ar-H), 13.06 (s, 1H, SH). Calcd. for C16H15N3OS (297); (%): C, 64.62; H, 5.08; N, 14.13; S, 10.78; found (%): C, 64.58; H, 4.97, N, 14.09; S, 10.72.
5-Benzyl-4-(4-chlorophenyl)-4H-1,2,4-triazole-3-thiol (9c): Yield 73%; m.p. 187-188 °C; IR υ (cm-1): 3354, 3292 (N-H), 2580 (SH), 1606 (C=N), 1535, 1260, 1050, 950 (N-C=S, amide I, II, III and IV bands); 1H-NMR δ: 3.84 (s, 2H, CH2), 6.94-7.42 (m, 9H, Ar-H), 12.96 (s, 1H, SH). Calcd. for C15H12ClN3OS (301); (%): C, 59.70; H, 4.01; N, 13.92; S, 10.62; found (%): C, 59.58; H, 4.07, N, 14.00; S, 10.62.
5-Benzyl-4-(4-nitrophenyl)-4H-1,2,4-triazole-3-thiol (9d): Yield 63%; m.p. 210-211 °C; IR υ (cm-1): 3354, 3291 (N-H), 2550 (SH), 1616 (C=N), 1535, 1260, 1050, 950 (N-C=S, amide I, II, III and IV bands); 1H-NMR δ (ppm): 3.90 (s, 2H, CH2), 6.92-8.29 (m, 9H, Ar-H), 14.01 (s, 1H, SH). Calcd. for C15H12NO2S (312); (%): C, 57.68; H, 3.87; N, 17.94; S, 10.27; found (%): C, 57.58; H, 3.87, N, 18.00; S, 10.27.
5-Benzyl-4-(4-methylphenyl)-4H-1,2,4-triazole-3-thiol (9e): Yield 71%; m.p. 182-183 °C; IR υ (cm-1): 3358, 3290 (N-H), 2550 (SH), 1605 (C=N), 1538, 1262, 1050, 950 (N-C=S, amide I, II, III and IV bands); 1H-NMR δ (ppm): 2.42 (s, 3H, CH3), 3.81 (s, 2H, CH2), 6.97-7.29 (m, 9H, Ar-H), 12.91 (s, 1H, SH). Calcd. for C16H15N3S (312); (%): C, 68.30; H, 5.37; N, 14.93; S, 11.40; found (%): C, 63.38; H, 5.37, N, 15.00; S, 11.47.

General Procedure for the Preparation of Compounds 11a-d and 12a-d.

A mixture of 7 (or 10) (0.01 mole) and the corresponding aryl aldehyde (0.01 mole) in ethanol (25 mL) was treated with concentrated HCl (0.5 mL) and refluxed for 2 hours. The reaction mixture on cooling was filtered and recrystallized from ethanol.
4-(Benzylideneamino)-5-furan-2-yl-4H-1,2,4-triazole-3-thiol (11a): Prepared from benzaldehyde, yield 59%; m.p. 197-198 °C; IR υ (cm-1): 3329 (N-H), 2625 (SH), 1630 (C=N), 1238 (C-O-C), 1535, 1262, 1051, 952 (N-C=S, amide I, II, III and IV bands); 1H-NMR δ (ppm): 6.57-7.23 (m, 3H, furan), 7.55-7.97 (m, 5H, Ar-H), 10.18 (s, 1H, N=CH), 13.19 (s, 1H, SH). Calcd. for C13H10N4OS (270); (%): C, 57.76; H, 3.73; N, 20.73; S, 11.86; found (%): C, 57.69; H, 3.71, N, 20.69; S, 11.89.
5-furan-2-yl-4-[(4-methoxybenzylidene)amino]-4H-1,2,4-triazole-3-thiol (11b): Prepared from p-methoxybenzaldehyde, yield 53%; m.p. 205-206 °C; IR υ (cm-1): 3339 (N-H), 2525 (SH), 1630 (C=N), 1238 (C-O-C), 1545, 1262, 1050, 950 (N-C=S, amide I, II, III and IV bands); 1H-NMR δ (ppm): 3.87 (s, 3H, OCH3), 5.57-6.74 (m, 3H, furan), 7.07-7.97 (m, 4H, Ar-H), 9.18 (s, 1H, N=CH), 12.99 (s, 1H, SH). Calcd. for C14H12N4O2S (300); (%): C, 55.99; H, 4.03; N, 18.65; S, 10.68; found (%): C, 56.01; H, 3.99, N, 18.69; S, 10.67.
4-[(4-Chlorobenzylidene)amino]-5-furan-2-yl-4H-1,2,4-triazole-3-thiol (11c): Prepared from p-chloro- benzaldehyde, yield 59%; m.p. 225-226 °C; IR υ (cm-1): 3359 (N-H), 2558 (SH), 1633 (C=N), 1238 (C-O-C), 1535, 1260, 1050, 950 (N-C=S, amide I, II, III and IV bands); 1H-NMR δ (ppm): 5.71-6.84 (m, 3H, furan), 7.06-7.98 (m, 4H, Ar-H), 9.98 (s, 1H, N=CH), 13.99 (s, 1H, SH). Calcd. for C13H9ClN4OS (304); (%): C, 51.24; H, 2.98; N, 18.38; S, 10.52; found (%): C, 51.19; H, 3.00, N, 18.41; S, 10.55.
4-[(3-Nitrobenzylidene)amino]-5-furan-2-yl-4H-1,2,4-triazole-3-thiol (11d): Prepared from m-nitro- benzaldehyde, yield 51%; m.p. 165-166 °C; IR υ (cm-1): 3369 (N-H), 2563 (SH), 1631 (C=N), 1238 (C-O-C), 1535, 1260, 1050, 950 (N-C=S, amide I, II, III and IV bands); 1H-NMR δ (ppm): 2.40 (s, 3H, CH3), 5.82-6.72 (m, 3H, furan), 7.40-8.71 (m, 4H, Ar-H), 10.08 (s, 1H, N=CH), 13.97 (s, 1H, SH). Calcd. for C13H9N5O3S (315); (%): C, 49.52; H, 2.88; N, 22.21; S, 10.17; found (%): C, 49.59; H, 3.00, N, 22.29; S, 10.25.
5-Benzyl-4-(benzylideneamino)-4H-1,2,4-triazole-3-thiol (12a): Prepared from benzaldehyde, yield 43%; m.p. 177-178 °C; IR υ (cm-1): 3350 (N-H), 2558 (SH), 1610 (C=N), 1535, 1260, 1050, 950 (N-C=S, amide I, II, III and IV bands); 1H-NMR δ (ppm): 4.18 (s, 2H, CH2), 7.28-7.90 (m, 10H, Ar-H), 10.31 (s, 1H, N=CH), 12.99 (s, 1H, SH). Calcd. for C16H14N4S (294); (%): C, 65.28; H, 4.79; N, 19.03; S, 10.89; found (%): C, 65.30; H, 4.81, N, 18.99.; S, 10.84.
5-Benzyl-4-[(4-methoxybenzylidene)amino]-4H-1,2,4-triazole-3-thiol (12b): Prepared from p-methoxy- benzaldehyde, yield 53%; m.p. 191-192 °C; IR υ (cm-1): 3354 (N-H), 2566 (SH), 1605 (C=N), 1535, 1260, 1050, 950 (N-C=S, amide I, II, III and IV bands); 1H-NMR δ (ppm): 4.16 (s, 2H, CH2), 4.21 (s, 3H, OCH3), 6.93-7.86 (m, 9H, Ar-H), 10.02 (s, 1H, N=CH), 12.79 (s, 1H, SH). Calcd. for C17H16N4S (324); (%): C, 62.94; H, 4.97; N, 17.27; S, 9.88; found (%): C, 63.00; H, 4.96, N, 17.29.; S, 9.86.
5-Benzyl-4-[(4-chlorobenzylidene)amino]-4H-1,2,4-triazole-3-thiol (12c): Prepared from p-chloro- benzaldehyde, yield 58%; m.p. 205-206 °C; IR υ (cm-1): 3355 (N-H), 2561 (SH), 1625 (C=N), 1533, 1261, 1050, 950 (N-C=S, amide I, II, III and IV bands); 1H-NMR δ (ppm): 4.17 (s, 2H, CH2), 7.27-7.96 (m, 9H, Ar-H), 10.33 (s, 1H, N=CH), 13.79 (s, 1H, SH). Calcd. for C16H13ClN4S (328); (%): C, 58.44; H, 3.98; N, 17.04; S, 9.75; found (%): C, 58.39; H, 3.96, N, 17.09.; S, 9.71.
5-Benzyl-4-[(3-nitrobenzylidene)amino]-4H-1,2,4-triazole-3-thiol (12d): Prepared from m-nitro- benzaldehyde, yield 69%; m.p. 181-182 °C; IR υ (cm-1): 3359 (N-H), 2563 (SH), 1621 (C=N), 1538, 1260, 1050, 950 (N-C=S, amide I, II, III and IV bands); 1H-NMR δ (ppm): 2.44 (s, 3H, CH3), 4.15 (s, 2H, CH2), 7.27-7.96 (m, 9H, Ar-H), 10.33 (s, 1H, N=CH), 13.91 (s, 1H, SH). Calcd. for C16H13N5S (339); (%): C, 56.63; H, 3.86; N, 20.64; S, 9.45; found (%): C, 56.69; H, 3.96, N, 20.69.; S, 9.41.

References

  1. Unangst, P.C.; Shurum, G.P.; Connor, D.T.; Dyer, R.D.; Schrier, D.J. J. Med. Chem. 1992, 35, 3691–3698.
  2. Mullican, M.D.; Wilson, M.W.; Connor, D.T.; Kostlan, C.R.; Schrier, D.J.; Dyer, R.D. J. Med. Chem. 1993, 36, 1090–1099.
  3. Jones, D.H.; Slack, R.; Slack, R.; Squires, S.; Wooldridge, K.R.H. J. Med. Chem. 1965, 8, 676–680.
  4. Sughen, J.K.; Yoloye, T. Pharm. Acta Helv. 1978, 58, 64–68.
  5. Shams El-Dine, Sh.A.; Hazzaa, A.A.B. Pharmazie 1974, 29, 761–768.
  6. Misato, T.; Ko, K.; Honma, Y.; Konno, K.; Taniyama, E. JP 77-25028 (A01N 9/12); [Chem. Abstr. 1977, 87, 147054a],
  7. Cansız, A.; Servi, S.; Koparır, M.; Altıntaş, M.; Dığrak, M. J. Chem. Soc. Pak. 2001, 23, 237–239.
  8. Stillings, M.R.; Welbourn, A.P.; Walter, D.S. J. Med. Chem. 1986, 29, 2280–2284.
  9. Kane, J.M.; Dudley, M.W.; Sorensen, S.M.; Miller, F.P. J. Med. Chem. 1988, 31, 1253–1258.
  10. Porsolt, R.D.; Bertin, A.; Jalfre, M. Arch. Int. Pharmacol. 1977, 229, 327–336.
  11. Vamvakides, A. Pharm. Fr. 1990, 48, 154–159.
  • Sample availability: Available from the authors

Share and Cite

MDPI and ACS Style

Koparır, M.; Cansız, A.; Demirdağ, A. Synthesis of Some New 4,5-Substituted-4H-1,2,4-triazole-3-thiol Derivatives. Molecules 2004, 9, 204-212. https://doi.org/10.3390/90400204

AMA Style

Koparır M, Cansız A, Demirdağ A. Synthesis of Some New 4,5-Substituted-4H-1,2,4-triazole-3-thiol Derivatives. Molecules. 2004; 9(4):204-212. https://doi.org/10.3390/90400204

Chicago/Turabian Style

Koparır, M., A. Cansız, and A. Demirdağ. 2004. "Synthesis of Some New 4,5-Substituted-4H-1,2,4-triazole-3-thiol Derivatives" Molecules 9, no. 4: 204-212. https://doi.org/10.3390/90400204

APA Style

Koparır, M., Cansız, A., & Demirdağ, A. (2004). Synthesis of Some New 4,5-Substituted-4H-1,2,4-triazole-3-thiol Derivatives. Molecules, 9(4), 204-212. https://doi.org/10.3390/90400204

Article Metrics

Back to TopTop