Next Article in Journal
Synthesis of 2,3-Dimethoxy-7-methyl-7,12-dihydro-6H-[1]-benzofuro-[2,3-c]-[1]-benzazepin-6,12-dione
Previous Article in Journal
Correlation between Phenylphenalenone Phytoalexins and Phytopathological Properties in Musa and the Role of a Dihydrophenylphenalene Triol
 
 
Font Type:
Arial Georgia Verdana
Font Size:
Aa Aa Aa
Line Spacing:
Column Width:
Background:
Article

Synthesis and Rearrangement of 3-Methyl-1,4-pentadiyne-3-ol

Roche Vitamins Ltd., Vitamins Research and Technology Development, Grenzacherstr., CH-4070 Basel, Switzerland
*
Author to whom correspondence should be addressed.
Molecules 2002, 7(3), 341-352; https://doi.org/10.3390/70300341
Submission received: 8 March 2002 / Revised: 26 March 2002 / Accepted: 27 March 2002 / Published: 31 March 2002

Abstract

:
An efficient synthesis and rearrangement of 3-methyl-1,4-pentadiyne-3-ol (1) using perrhenate- and Mo(VI)-catalysts is reported. The by-products 3,6-dimethyl-1,4,7-octatriyne-3,6-diol (2) and 3-ethynyl-5-methyl-1,6-heptadiyne-3,5-diol (3) were isolated and spectroscopically characterized. A possible reaction mechanism for the formation of the by-products is discussed.

Introduction

α,β-Unsaturated carbonyl compounds, important intermediates in the manufacture of fragrances, carotenoids, and vitamins [1,2], are accessible by Meyer-Schuster- and Rupe-Kambli-type rearrangement of α-acetylenic alcohols [3,4]. The acid catalyzed Meyer-Schuster-rearrangement starts from α-alkynols to yield α,β-unsaturated aldehydes. In the Rupe-Kambli-type rearrangement α,β-unsaturated ketones are obtained as products. A very efficient and selective rearrangement of α-acetylenic alcohols could be achieved by using vanadium catalysts, e.g. tris(triphenylsilyl)vanadium oxide [5]. The re-arrangement of acid and/or temperature labile compounds, e.g. ethynyl-β-ynols, can be carried out in the presence of perrhenate catalysts [6].
We were interested in a convenient synthesis of 3-methyl-1,4-pentadiyne-3-ol (1) and its rearrangement to the E/Z-mixture of 3-methyl-2-penten-4-ynal (4), which could be an important building block in the synthesis of carotenoids or vitamin A. This C6-building block could be reacted with a C14-compound to form vitamin A after hydrogenation and dehydration [7].

Results and Discussion

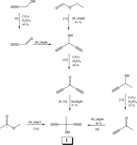
3-Methyl-1,4-pentadiyne-3-ol (1) was first synthesized by Böhm-Gössel et al. as an intermediate [8]. The synthesis of 1 could also be achieved using various methods [8,9,10,11,12,13,14] summarized in Scheme 1. Disadvantages of these methods are, however, the formation of toxic wastes and low yields.
Scheme 1. Various synthetic pathways to 1.
Scheme 1. Various synthetic pathways to 1.
Molecules 07 00341 g001
Oxidation of propynol to propynal [9] followed by ethynylation to 1,4-pentadiyne-3-ol, additional oxidation [10], and transfer of a methyl group gave 1 in 9% overall yield [8]. In the reaction sequence starting from ethyl formate and ethynyl magnesium bromide [11,12], followed by oxidation of the alcohol to 1,4-pentadiyne-3-one [10], and treatment with methyl magnesium bromide, compound 1 could be obtained in 13.5% yield [8]. Compound 1 could also be synthesized starting from 1-butyne-3-ol by oxidation [13] and subsequent ethynylation with the ethynyl Grignard reagent [8]. A more convenient synthesis of 1 was described by Märkl and Liebl, in which methyl acetate and ethynyl magnesium chloride were used [14]. The main disadvantage of this route is the handling of ethyl chloride, needed for the preparation of ethyl magnesium chloride which is later transformed to ethynyl magnesium chloride.
We were interested in the synthesis of 1 using a more efficient route and thus optimized the synthesis of 1 starting from methyl acetate and ethynyl magnesium bromide (see Scheme 2). Compared to the method of Märkl and Liebl a 10% higher yield of 1, based on the ester was obtained. It was found that methyl acetate is the most preferred starting material. Other derivatives, e.g. the isopropyl- or ethyl acetate resulted in lower yield.
Scheme 2. Synthesis of 1 from acetates and ethynyl magnesium bromide.
Scheme 2. Synthesis of 1 from acetates and ethynyl magnesium bromide.
Molecules 07 00341 g002
We could not detect any influence of source and quality of magnesium. In further experiments the influence of the solvent was examined and it was found that THF is the preferred solvent for the synthesis of ethynyl magnesium bromide and in the further transformation to 1. This is presumably due to the high solubility of ethyne in THF resulting in less by-product formation (lower amounts of dimagnesium bromide). In solvents like diethyl ether or methyl tert-butyl ether only small amounts of 1 could by isolated (7-15 %).
The molecular ion of 1 (m/z = 94) appears with low intensity (EI, 70 eV) and 1 fragments preferentially to m/z = 79 (M+-CH3, base peak). The ion m/z = 65 can be explained by elimination of CO from the [M-1]-ion. The cleavage of C2H2 results in m/z = 53 (35 % intensity). The fragments m/z = 51 and 43 are observed in low intensities.
During the development of the synthesis of 1 we found that the conditions of the Grignard reagent formation have an important influence. The amount of active magnesium in the ethyl magnesium bromide THF-mixture was determined by the methods of Ellison or Gilman [15] for the synthesis of ethynyl magnesium bromide. According to the work of Brandsma best conditions for the synthesis of ethynyl magnesium bromide are at 288 K [16]. At lower temperature the conversion is too low and at temperatures above 290 K the formation of the dimagnesium bromide is favored, which results in the formation of numerous by-products, some of which could be isolated and characterized (see Scheme 3).
Scheme 3. Synthesis and disproportionation of ethynyl magnesium bromide.
Scheme 3. Synthesis and disproportionation of ethynyl magnesium bromide.
Molecules 07 00341 g003
Wille and Strasser identified the by-products 1,4,7-octatriyne-3,6-diol and 1,4,7,10-undecatetrayne-3,6,9-triol in the synthesis of 1,4-pentadiyn-3-ol [10]. In the present work chromatography of the reaction residue allowed us to isolate small amounts of 3,6-dimethyl-1,4,7-octatriyne-3,6-diol (2) and 3-ethynyl-5-methyl-1,6-heptadiyne-3,5-diol (3) as orange-brown liquids (Scheme 4). These by-products 2 and 3 were found in the residue in ratios of 1:2 to 1:4. For 2 we found in 1H-NMR experiments resonances at 1.79, 2.55, and 4.10 ppm in the ratio of 3:1:1. In the IR-spectra characteristic absorptions at 3460, 3350, 2100, and 1070 cm-1 were found. By mass spectrometry of 2 and 3 the prominent fragments for α-alkynols at m/z = 53 and a base peak at m/z = 43 were detected. In comparison to 2, the mass spectrum of 3 shows a number of intense peaks in the range of m/z = 40 to m/z = 80, whereas the mass spectrum of 2 shows only three intense peaks at m/z = 43, 53, and 129. The ions at m/z = 69 and 79 in the fragmentation pathway of 3 result from molecular ion by α-fragmentation. The fragment m/z = 66 can be assigned to C5H6+. In the IR-spectrum of 3 characteristic absorptions at 3450, 3280, 2110, and 1150 cm-1 were found. The 1H-NMR data of 3 shows typical resonances at 2.62, 2.67, and 2.73 ppm for the alkyne protons. The resonances at 3.50 and 4.10 ppm for the OH protons are broad. Two resonances for the CH2-groups were detected at 2.45 and 2.53 ppm. The methyl group could be detected by the typical resonance at 1.65 ppm.
Scheme 4. Proposed mechanism for the formation of 2 and 3.
Scheme 4. Proposed mechanism for the formation of 2 and 3.
Molecules 07 00341 g004
The formation of 2 and 3 can be explained by addition of ethynyl dimagnesium bromide or ethynyl magnesium bromide to the starting ester. In the formation of 2 the intermediate 3-hexyne-2,5-dione is attacked by two equivalents of ethynyl magnesium bromide. After hydrolytic work-up the products can be isolated as described before. Despite the fact that the intermediate acetoacetic acid ester is con-siderably more acidic than ethyne we observed the formation of by-product 3 in 2.7 % yield. This pathway could be explained by proton abstraction and addition of the anion to the starting material followed by ethynylation with three equivalents of ethynyl magnesium bromide (Scheme 4). If the enol form of the β-keto ester reacts with the Grignard reagent the corresponding alkynol is not stabilized by keto-enol tautomerization and the second carbonyl group could be attacked by the ethynyl magnesium bromide.
The rearrangement of α-alkynols to α,β-unsaturated carbonyl compounds can be carried out in the presence of various catalysts, e.g. vanadium- [5], molybdenum [17], or Brønsted-acid [3,4]. Based on the thermolability of 1 we chose rhenium- and molybdenum-catalysts for the rearrangement of this alkynol. With vanadium based catalysts we were not successful, because the educt polymerized and decomposed at temperatures above 373 K in the presence of these types of catalysts, e.g. tris(triphenyl-siloxy)vanadium oxide [18]. Perrhenate catalysts, e.g. tetrabutylammonium perrhenate, were efficient catalysts for the rearrangement of thermolabile compounds like ethynyl-β-ionol [6]. Loborn and Osborn described the rearrangement of α-alkynols, e.g. methyl butynol, in the presence of a combination of Mo(VI)-catalysts, e.g. MoO2(acac)2, and a sulfoxide (dibutylsulfoxide) in dichlorobenzene as solvent. We found that the rearrangement of methyl butynol can be carried out in toluene and the cheaper dimethylsulfoxide used as a replacement for dibutylsulfoxide in a shorter reaction time. In the presence of ultrasound oxidation and decarboxylation reaction of the intermediate aldehyde occurs [19].
The rearrangement of α-alkynols to α,β-unsaturated carbonyl compounds could be carried out in the presence of tetrabutylammonium perrhenate (NBu4ReO4) and p-TsOH at room temperature in dichloromethane. Best results could be obtained by using 15 mol% Re-catalyst. Starting from 1, after 20 h reaction time an E/Z-mixture (E:Z = 1:4) of 3-methyl-penta-2-en-4-ynal (4) could be obtained in 46 % yield. Increasing of temperature, reaction time, and/or use of another solvent in the presence of perrhenate catalysts resulted in a yield decrease. Using higher or lower amounts of catalyst also resulted in decreased yields.
Scheme 5. Rearrangement of 1 in the presence of molybdenum(VI) or perrhenate catalysts.
Scheme 5. Rearrangement of 1 in the presence of molybdenum(VI) or perrhenate catalysts.
Molecules 07 00341 g005
In further experiments the stability of E-4 and Z-4 in the presence of NBu4ReO4/p-TsOH was tested. At room temperature E-4 decomposes at a rate of 0.55 %/h. The decomposition rate of Z-4 under the same conditions was found to be 0.42 %/h.
The MoO2(acac)2 catalyzed rearrangement of 1 was studied in various solvents. The synthesis of E- and Z-4 could be achieved in 8 % yield using DMSO. Increase of this yield to 17 % could be observed by using dibutylsulfoxide (DBSO). For this type of rearrangement a catalyst amount of 22-26 mol% gave best results. In further experiments the stability of E- and Z-4 in presence of the catalyst was studied. In contrast to the results observed in the application of the Re-catalyst system, here we found that E-4 decomposes with a rate of 6.87 %/h. The decomposition rate of Z-4 under the same conditions was found to be 11.31 %/h.
Based on these results experiments were carried out in the presence of methyl orthoformate with the aim to protect the E/Z-mixture of 4 in situ as an acetal. It was found that the rearrangement of 1 under these conditions has no beneficial effect.

Conclusions

We have presented a facile route for the formation of 3-methyl-1,4-pentadiyne-3-ol (1) and its rearrangement to E- and Z-3-methyl-2-penten-4-ynal (4). A reaction mechanism based on the isolated by-products was discussed.

Acknowledgments

We thank W. Arnold, A. Bubendorf, W. Walther, S. Müller, and G. Schiefer for analytical measurements and their interpretation.

Experimental

General

1H- and 13C-NMR spectra were obtained in CDCl3 using a Bruker 250 MHz (AC 250E) instrument, using SiMe4 as internal standard. Chemical shifts (δ) are given in ppm, coupling constants (J) in Hz. IR spectra were recorded on a Nicolet 170 SX Fourier transform apparatus. The mass spectra were recorded with MS 9 (AEI, Finnigan) and A VG7070F (Finnigan) instruments. Ethyne (Carbogas) was used after freeing from acetone (cooling trap, CO2, 195 K). The synthesis of perrhenate catalysts is described in [6]. The synthesis of E/Z-3-methyl-2-en-4-ynal (4) (for the comparison experiments) was carried out by the method described in [20]. The synthesis of the starting material E- or Z-3-methyl-2-pentene-4-yn-1-ol is also described in [20]. E- and Z-3-methylpenta-2-en-4-in-dimethylacetal was synthesized by the method described in literature [21]. All solvents, alkyl halides, and other reagents and chemicals were obtained from Fluka and were used (in the case of solvents) after distillation under argon. Magnesium (Fluka, Ventron, Aldrich) was handled under argon. The unreacted Mg from the Grignard reagent synthesis was also handled, stored and re-used under argon. All reactions were carried out under argon as protecting gas.

Ethylmagnesium bromide

In a 500-mL three-necked flask, equipped with a magnetic stirrer, thermometer, dropping funnel, and reflux condenser Mg (0.52 mol) and solvent (50 mL) were mixed and then the alkylbromide (1/20 of 0.5 mol) was added at room temperature. After initiation of the reaction the remaining alkyl bromide dissolved in solvent (220 mL) was added dropwise under reflux. After complete addition of the alkyl halide, the reaction mixture was heated for 30 min and filtered from unreacted magnesium. For further treatment, the amount of active Grignard-reagent was determined by titration using the methods of Ellison or Gilman [15]. The method of Ellison was preferred, because it is easier to perform and gives adequately correct results.

Ethynylmagnesium bromide

A 2500-mL 4-necked flask equipped with a stirrer, thermometer, reflux condenser gas inlet tube, and dropping funnel was connected to a 2000-mL round-bottomed flask. This flask was connected to two cooling traps (195K) in which acetone was removed from the ethyne. In the sulfier flask the solvent (e.g. THF) was saturated with ethyne. Over a period of 150 min the ethyl magnesium bromide in THF was added at 288-290K. During the reaction an ethyne stream was added to the mixture. After complete addition of ethyl magnesium bromide the reaction mixture was treated for an additional 20 min with ethyne.

3-methyl-1,4-pentadiyne-3-ol (1)

A solution of methyl acetate (0.25 mol) in THF (40 mL) was added to ethynylmagnesium bromide at 288 to 293 K over a period of 1 h. After addition of the acetate the reaction mixture was refluxed for one hour, cooled to room temperature, and after addition of ether (400 mL), hydrolyzed with saturated ammonium chloride solution (400 mL) followed by phase separation. The water phase was extracted with ether (200 mL) and the combined organic phases were finally washed with aqueous saturated ammonium chloride (200 mL). The organic phase was dried over Na2SO4 and concentrated at 303 K and 300 mbar to a volume of 200 mL using a rotavap system. Further distillation with a 20 cm Vigreux-column (12 torr, room temperature) and sublimation at 293-323 K and 0.006 mbar gave compound 1 as colorless needles (10.6 g, 45 %); m.p. 333.3 K; 1H-NMR (CDCl3) δ: 1.80 (s, 3H, CH3), 2.58 (s, 2H, ≡CH), 2.5-2.7 (bs, 1H, OH); 13C-NMR (CDCl3) δ: 31.51 (q, 1C, J1CH = 36.3 Hz, J2,CH = 4.7 Hz, CH3), 59.59 (s, 1Cquart), 71.19 (d, 2C, JCH = 253.3 Hz, ≡CH), 84.51 (q, 2C, -C≡); IR (thin film) cm-1: 3400 (broad), 3290, 2125, 1050; MS (70 eV) m/z (%) = 93 ([M-H] +., 4), 79 (M+-CH3, 100), 77 (M+-H2O, 10), 53 (93-CH3-C2H, 2); Microanalysis: calc. for C6H6O (mw. 94.11): C 76.57, H 6.43; found: C 76.01, H 6.35.
In additional experiments under identical conditions, phenyl-, -ethyl-, isopropyl-, and –tert-butylacetate were used. 1 is very soluble in ethers, e.g. diethylether, THF, dioxane, alcohols, e.g. methanol, ethanol, ketones, e.g. acetone, and insoluble in non-polar solvents, e.g. methylcyclohexane or heptane.

3,6-dimethyl-1,4,7-octatriyne-3,6-diol (2)

The residue from sublimation of 1 was chromatographed on silica (Merck, 70 –230 mesh). Eluent was a 9:1 mixture of toluene and ethyl acetate. After concentration in vacuo compound 2 (0.5 g, 1.2 %) could be isolated in > 96 % (GC) purity; 1H-NMR (CDCl3) δ: 1.79 (s, 6H, CH3), 2.55 (s, 2H, OH), 4.10 (s, 2H, ≡CH); IR (thin film) cm-1: 3460 (broad), 3290, 2100, 1070; MS (70 eV) m/z (%) = 147 (M+-CH3, 20), 129 (147-H2O, 70); Microanalysis: calcd. for C10H10O2 (mw 162) C 74.06, H 6.21; found: C 74.15, H 6.29.

3-ethynyl-5-methyl-1,6-heptadiyne-3,5-diol (3)

From a further fraction 3 (1.1 g, 2.7 %) was isolated after concentration in vacuo in >96 % purity (GC); 1H-NMR (CDCl3) δ: 1.65 (s, 3H, CH3), 2.45 (d, 1H, JHH = 14.8 Hz, -CH2-), 2.53 (d, 1 H, JHH = 14.8 Hz, -CH2-), 2.62 (s, 1H, ≡CH ), 2.67 (s, 1H, ≡CH), 2.73 (s, 1H, ≡CH), 3.50 (s, 1H, OH), 4.10 (s, 2H, OH); IR (thin film) cm-1: 3450 (broad), 3280, 2110, 1150; MS (ion-spray): m/z (%) = 213.3 [(M+Na)+, 30], 180.3 (M+NH4)+, 100); Microanalysis: calc. for C10H10O2 (mw 162), C 74.06, H 6.21; found: C 74.29, H 6.45.

Rearrangement of 1 to E/Z-mixture of 3-methyl-2-penten-4-ynal (4) using Bu4NReO4/p-TsOH.

The rearrangement reaction was carried out under various conditions. Thus solutions of 1 in toluene were treated at 273 or 338 K with 10, 15, and 30 mol % catalyst, according to the following procedures.

In toluene

NBu4ReO4 (170 mg, 0.34 mmol), p-TsOH.H2O (120 mg, 0.63 mmol) and undecane (237 mg, as int. standard for GC) were added to a solution of 1 (246.3 mg, 2.62 mmol) in toluene (35.0 mL). The reaction mixture was stirred at room temperature for several hours and the mixture was analyzed by GC.

In dichloromethane

NBu4ReO4 (170 mg, 0.34 mmol), p- TsOH.H2O (83 mg, 0.43 mmol) and undecane (192 mg , int. standard for GC) were added to a solution of 1 (214 mg, 2.28 mmol) in dichloromethane (20 mL). The reaction mixture was stirred at room temperature for several hours and the mixture was then analyzed by GC.
Best results were obtained in dichloromethane with 15 mol% catalyst at 273 K and 20 h reaction time. A 46% yield of E/Z-4 was detected in the reaction mixture by GC. Workup by filtration and concentration under vacuum (308 K, 5.5 mbar) resulted in a colorless liquid. The material was identified by comparison with spectral data of reference material synthesized from E- or Z-3-methyl-2-pentene-4-yn-1-ol by oxidation with MnO2 [20].
Spectral data of Z-4: 1H-NMR (CDCl3) δ: 2.15 (d, 3H, JHH= 1.5 Hz, CH3), 3.58 (s, C=CH), 6.26 (dd, 1 H, J1HH = 1.5 Hz, J2HH = 8.2 Hz, C=CH), 10.05 (d, 1H, J2HH = 8.2 Hz, CHO); IR (thin film) cm-1: 3261 (strong), 2837, 2080, 1675, 1589; MS: m/z (%) = 94 (M+, 40), 65 (M+-CO, 100), 65 (M+-CHO, 65), 39 (CHO+, 70); Microanalysis: calc. for C6H6O (mw 94.11), C 76.57, H 6.43; found: C 76.29, H 6.45.
Spectral data of E-4: 1H-NMR (CDCl3) δ: 2.14 (d, 3H, JHH= 1.5 Hz, CH3), 3.57 (s, 1H, C=CH), 6.26 (dd, 1 H, J1HH = 1.5 Hz, J2HH = 8.2 Hz, C=CH), 10.04 (d, 1H, J2HH = 8.2 Hz, CHO); IR (thin film) cm-1: 3261 (strong), 2837, 2080, 1675, 1589; MS: m/z (%) = 94 (M+, 40), 66 (M+-CO, 100), 65 (M+-CHO, 65), 39 (CHO+, 70); Microanalysis: calc. for C6H6O (mw 94.11), C 76.57, H 6.43; found, C 76.22, H 6.35.

Rearrangement of 1 to E/Z-3-methylpenta-2-en-4-ynal (4) using MoO2(acac)2

The rearrangement reaction was carried out at 373 K in the solvents toluene, dichloromethane (313 K), and 1,2-dichlorobenzene. A solution of 1 in the solvent was treated with MoO2(acac)2 and DMSO or DBSO as co-catalyst.

Rearrangement in toluene and DMSO

In a two-necked flask a mixture of 1 (582 mg, 6.2 mmol), MoO2(acac)2 (212 mg, 0.68 mmol), DMSO (983 mg, 12.6 mmol), 4-tert-butyl benzoic acid (418 mg, 2.28 mmol), and undecane (as internal standard) in toluene (7 mL) was stirred for 26 h and the reaction mixture was analyzed by GC throughout the reaction. After 20 h no additional conversion of 1 could be observed. The yield of 4 was determined by GC (E/Z-mixture) to be 8 %. In analogous experiments with dichloromethane or 1,2-dichlorobenzene as solvents E/Z-4 could be determined in 4.2 % and 4.5 % yield, respectively.

Rearrangement in toluene and DBSO

In a two-necked flask a mixture of 1 (200 mg, 2.1 mmol), MoO2(acac)2 (160 mg, 0.49 mmol), DBSO (500 mg, 3.08 mmol), 4-tert-butyl benzoic acid (156 mg, 0.87 mmol) and undecane (as internal standard) in toluene (25 mL) was stirred for 3 days and the reaction mixture was monitored by GC during the reaction period. After 3 days no additional conversion of 1 could be obtained. The yield of 4 was determined by GC (E/Z-mixture) to be 17 %. In an analogous experiment with dichloromethane as solvent E/Z-4 could be determined in 7.2 % yield.

Rearrangement of 1 in the presence of methyl orthoformate and NBu4ReO4

In a two-necked flask a mixture of 1 (209 mg, 2.22 mmol), Bu4NReO4 (220 mg, 0.45 mmol), p-TsOH (80 mg, 0.42 mmol), methyl orthoformate (0.5 mL, 4.5 mmol), and undecane (as internal standard) in dichloromethane (40 mL) was stirred for 64 h at room temperature and the reaction mixture was analyzed by GC during the reaction time. The acetals of E/Z-4 could be detected in 4.5 % yield.

Rearrangement of 1 in the presence of methyl orthoformate and MoO2(acac)2

In a two-necked flask a mixture of 1 (316 mg, 3.36 mmol), MoO2(acac)2 (115 mg, 0.35 mmol), DMSO (524 mg, 6.7 mmol), methyl orthoformate (0.8 mL , 7.2 mmol), 4-tert-butyl benzoic acid (242 mg, 1.36 mmol) and undecane (as internal standard) in toluene (5 mL) was stirred for 7 h at 373 K and the reaction mixture was analyzed by GC during the reaction. The acetals of E/Z-4 could be detected in 13 % yield.

References and Notes

  1. Hoffmann, W. Chem. Ztg. 1973, 97, 23.
  2. Carotenoids; Mayer, H.; Isler, O. (Eds.) Birkhäuser Verlag: Basel-Stuttgart, 1971; p. 325.
  3. Meyer, K.H.; Schuster, K. Ber. Dtsch. Chem. Ges. 1922, 55, 819. [CrossRef]
  4. Rupe, H.; Kambli, E. Helv .Chim. Acta 1926, 9, 672.
  5. Pauling, H.; Andrews, D.A.; Hindley, N.C. Helv. Chim. Acta 1976, 59, 1233. [CrossRef]
  6. Arnold, W.; Bonrath, W.; Pauling, H.; Pernin, R.; Thum, A. Helv. Chim. Acta 1996, 79, 646. [CrossRef]
  7. John, M.; Hähnlein, W. Ullmann’s Encyclopedia of Industrial Chemistry; Vol A27, VCH: Weinheim, 1996; p. 453 f. [Google Scholar]
  8. Böhm-Gössl, T.; Hunsmann, W.; Rohrschneider, L.; Schneider, M.; Ziegenbein, W. Chem. Ber. 1963, 96, 2504. [CrossRef]
  9. Veliev, M.G.; Guseinov, M.M. Synthesis 1980, 461.
  10. Wille, F.; Strasser, R. Chem. Ber. 1961, 94, 1606. [CrossRef]
  11. Jones, E.R.H.; Skatteböl, L.; Whiting, M.C. J. Chem. Soc. 1956, 4765.
  12. Jones, E.R.H.; Lee, H.H.; Whiting, M.C. J. Chem. Soc. 1960, 3483.
  13. Bowden, K.; Heilbron, I.M.; Jones, E.R.H.; Weedon, B.C.L. J. Chem. Soc. 1946, 43.
  14. Märkl, G.; Liebl, R. Liebigs Ann. Chem. 1980, 2095.
  15. Ellison, R.A.; Griffin, R.; Kotsonis, F.N. J. Organomet. Chem. 1972, 36, 209.Gilman, H.; Cartledge, F.K. J. Organomet. Chem. 1964, 2, 447.
  16. Brandsma, L. Preparative Acetylenic Chemistry, 2nd edition; Elsevier Science Publishers B.V.: Amsterdam, 1988; vol. 34, p. 27. [Google Scholar]
  17. Lorber, C.Y.; Osborn, J.A. Tetrahedron Lett. 1996, 37, 835.
  18. Thum, A.; Bonrath, W. 1996; unpublished results.
  19. Bonrath, W.; Schiefer, G. Ultrasonics Sonochemistry 1999, 6, 89.
  20. Boehm, E.E.; Thaller, V.; Whiting, M.C. J. Chem. Soc. 1963, 2535.
  21. Soukup, M.; Lukac, T.; Lohri, B.; Widmer, E. Helv. Chim. Acta 1989, 72, 361. [CrossRef]
  • Sample Availability: Available from the authors.

Share and Cite

MDPI and ACS Style

Buser, D.; Pauling, H.; Thum, A.; Bonrath, W. Synthesis and Rearrangement of 3-Methyl-1,4-pentadiyne-3-ol. Molecules 2002, 7, 341-352. https://doi.org/10.3390/70300341

AMA Style

Buser D, Pauling H, Thum A, Bonrath W. Synthesis and Rearrangement of 3-Methyl-1,4-pentadiyne-3-ol. Molecules. 2002; 7(3):341-352. https://doi.org/10.3390/70300341

Chicago/Turabian Style

Buser, Dominik, Horst Pauling, Andreas Thum, and Werner Bonrath. 2002. "Synthesis and Rearrangement of 3-Methyl-1,4-pentadiyne-3-ol" Molecules 7, no. 3: 341-352. https://doi.org/10.3390/70300341

APA Style

Buser, D., Pauling, H., Thum, A., & Bonrath, W. (2002). Synthesis and Rearrangement of 3-Methyl-1,4-pentadiyne-3-ol. Molecules, 7(3), 341-352. https://doi.org/10.3390/70300341

Article Metrics

Back to TopTop