Next Article in Journal
Intramolecular Acylation of Aryl- and Aroyl-Aliphatic Acids by the Action of Pyrophosphoryl Chloride and Phosphorus Oxychloride
Previous Article in Journal
Enantioselective Intramolecular CH-Insertions upon Cu-Catalyzed Decomposition of Phenyliodonium Ylides
 
 
Font Type:
Arial Georgia Verdana
Font Size:
Aa Aa Aa
Line Spacing:
Column Width:
Background:
Article

Aminoacids in the Synthesis of Heterocyclic Systems: The Synthesis of Triazinoquinazolinones, Triazepinoquinazolinones and Triazocinoquinazolinones of Potential Biological Interest

1
Department of Chemistry, Faculty of Science, Al-Azhar University, Nasr-City 11884, Cairo, Egypt
2
Department of Chemistry, Faculty of Science, Al-Azhar University at Assiut, Assiut 71524 Egypt
*
Authors to whom correspondence should be addressed.
Molecules 2001, 6(3), 267-278; https://doi.org/10.3390/60300267
Submission received: 5 April 2000 / Revised: 29 August 2000 / Accepted: 1 February 2001 / Published: 28 February 2001

Abstract

:
A number of novel triazinoquinazolinones (5b,c and 8), triazepinoquinazolinones(5a, 6b, 7 and 9) and triazocinoquinazolinones (6a and 10) were obtained via nucleophilic interaction of 3-aminoquinazolinone derivatives 3 with different reagents.

Introduction

Varied biological activities have been attributed to quinazoline compounds, including analgesic, antiinflammatory, antipyretic [1,2,3], antimicrobial [4], anticonvulsant [5], fungicidal [6], antidepressant and other central nervous system affecting activities [7]. The use of aminoacids as starting materials for the design and synthesis of new quinazoline compounds with the aim of preparing potent biologically active compounds is a subject of recent interest [8,9,10,11]. Now we report a facile synthesis of several heterocyclic compounds containing six, seven and eight membered rings fused to a quinazoline moiety starting from amino acids.

Results and Discussion.

Synthesis and characterization

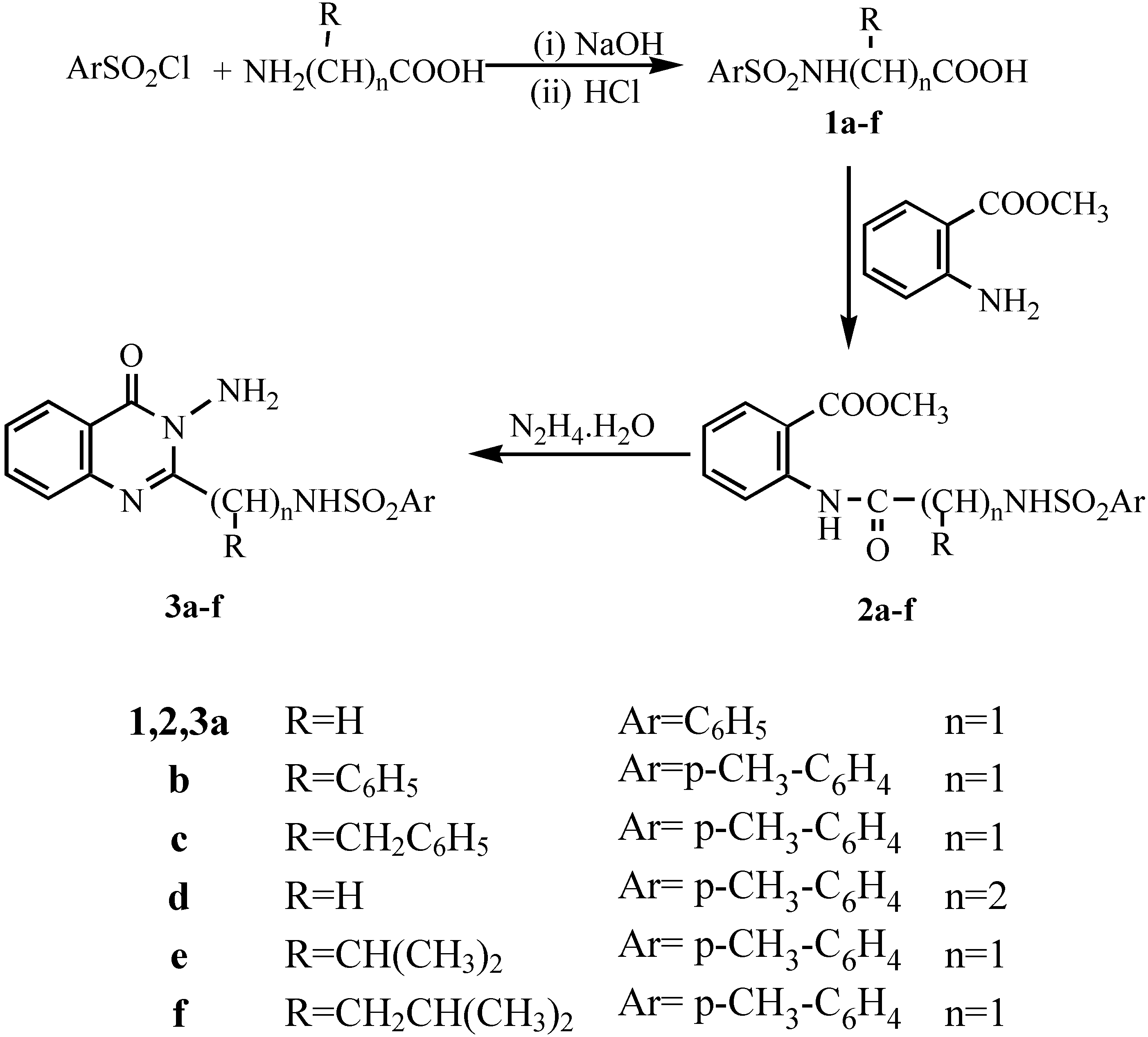
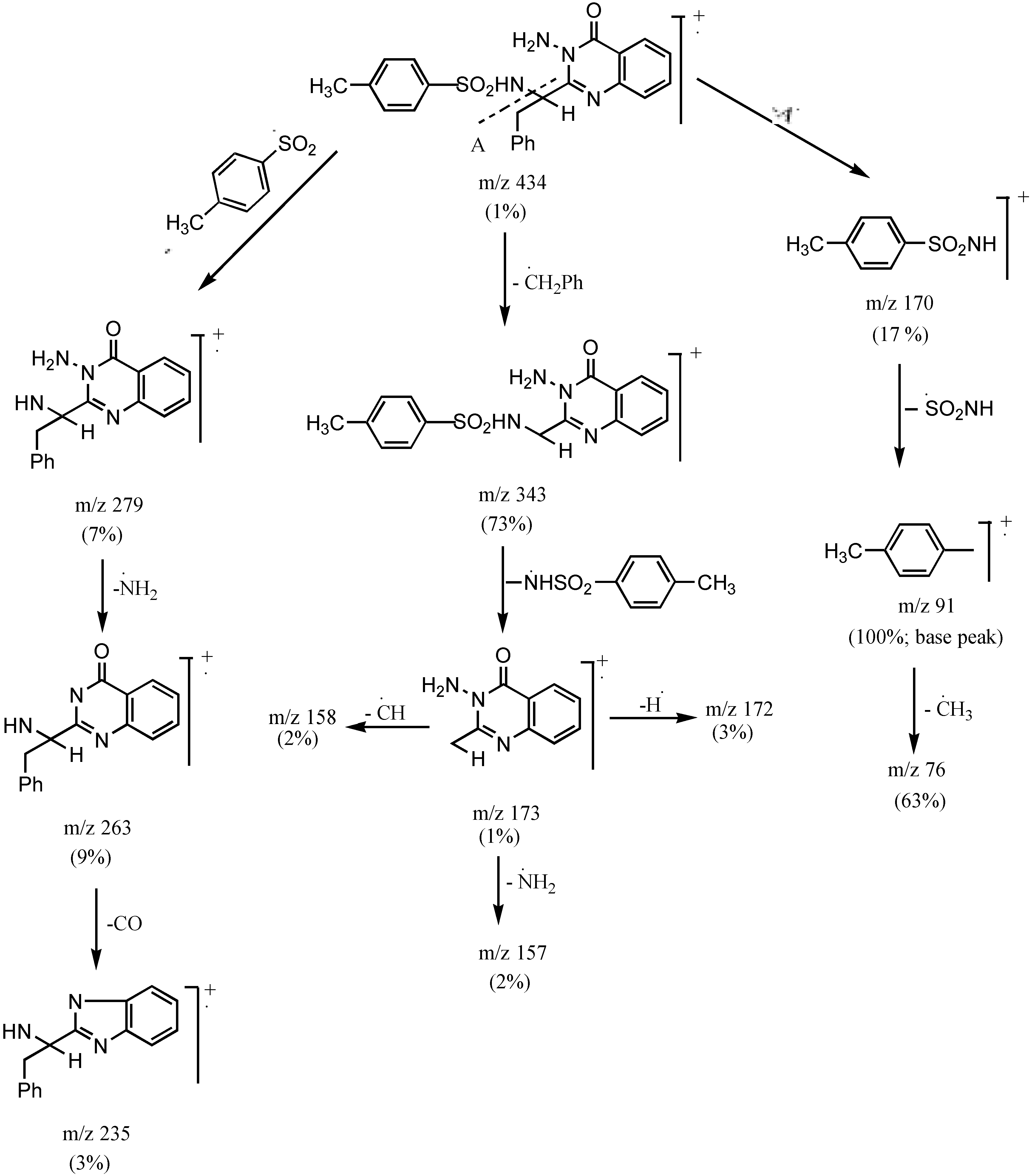
The starting materials 1a-f were prepared via reaction of the appropriate sulfonyl chloride derivatives with amino acids in the presence of 10 % sodium hydroxide solution, followed by acidification [12]. The amides 2a-f have been prepared by condensation of the corresponding 1a-f with methyl anthranilate in presence of PCl3. 3-Aminoquinazolinones 3a-f were obtained by refluxing compounds 2a-f with hydrazine hydrate in n-butanol (Scheme 1). Compounds 2a-f and 3a-f have been fully characterized by their analytical and spectral data. For example, the IR spectrum of compound 3e showed the presence of NH, NH2, CH-aliphatic, C=O and S=O functional groups. Also, the 1H-NMR spectrum of compound 3e exhibited signals in the range of 0.85-0.92; 1.88; 2.15-2.24; 2.50-2.51; 5.51; 6.82-8.02; 10.6 ppm due to 2CH3 (d); CH3 (s); CH (m); CH (d); NH2 (s); Ar-H’s (m) and SO2NH (s) respectively. The mass spectrum of compound 3c showed a molecular ion peak at m/z 434 (1.01%) which underwent fragmentation to give the well established fragment at m/z 91 (100%; base peak; see Scheme 2).
Scheme 1.
Scheme 1.
Molecules 06 00267 g001
Scheme 2. Proposed fragmentation pattern of compound 3c
Scheme 2. Proposed fragmentation pattern of compound 3c
Molecules 06 00267 g002
3-Aminoquinazolinone derivatives 3d,e were used as a precursors for further cyclizations with the purpose of synthesizing several heterocyclic compounds fused to the quinazoline moiety. Thus, condensation of 3e with p-chlorobenzaldehyde in acetic acid furnished the corresponding Schiff’s base 4. The structure of compound 4 was deduced from elemental analyses and spectral data. The IR spectrum showed the absence of the NH2 group present in the parent compound and the presence of a C=N group. On the other hand, refluxing compounds 3d,e with p-fluoro, p-chloro and p-methoxy-benzaldehydes in DMF yielded the novel heterocyclic compounds 5a-c. Formation of 5 from the reaction of 3 and an aldehyde is assumed to proceed in three steps. First, condensation of 3 and aldehyde to yield Schiff’s bases 4; second, nucleophilic addition of NHSO2 to the activated C=N bond to form intermediate (A) followed by the third step, elimination of sulphinic acid to furnish 5, Scheme 3.
Scheme 3.
Scheme 3.
Molecules 06 00267 g003
Naphtho[2`,3`:3,4]-[1,2,5]triazocino[8,1-b]quinazolinone (6a) and naphtho[2`,3`:3,4]-[1,2,5]-triazepino[7,1-b]quinazolinone (6b) were obtained by refluxing compounds 3d and 3e, respectively, with 2,3-dichloro-1,4-naphthoquinone in DMF. This reaction takes place via loss of two HCl molecules followed by elimination of toluenesulphinic acid.
Also, the 1,2,4-triazepino[7,1-b]quinazolinone 7 and 1,2,4-triazino[6,1-b]quinazolinone 8 were isolated when compounds 3d and 3e were refluxed with bis[(methylsulfanyl)methylidene)-malononitrile in DMF. The formation of the later compound proceeds via elimination of two methyl mercaptan molecules followed by elimination of toluenesulphinic acid, Scheme 4.
As an extension of this work, when compound 3d was allowed to react with Cl(CH2)nCOOEt system (n=0,1) in DMF and under reflux conditions, the triazepinoquinazolinone 9 and triazocino-quinazolinone 10 were isolated, respectively. The postulated mechanism for this reaction involves the initial attack by the chloroester followed then by a sequential elimination of ethanol and then toluenesulphinic acid, which is a good leaving group, to give the intermediate (C) which is finally alkylated, Scheme 5.
Scheme 4.
Scheme 4.
Molecules 06 00267 g004
Scheme 5.
Scheme 5.
Molecules 06 00267 g005

Biological Activity

Antimicrobial activities

Compounds 2b,d,e, 3a,d,e,f, 9 and 10 were tested for their antimicrobial activity by the filter paper disc method [13] using the gram positive bacteria Staphlococcus aureus (NCTC-7447) and Bacillus cerus (ATCC-14579) and the gram negative bacteria Serratia marcesens (IMRU-70) and Proteus merabitis (NCTC-289). The results of antimicrobial activity tests are summarized in Table 1.
Table 1. Antimicrobial screen of the newly synthesized compounds
Table 1. Antimicrobial screen of the newly synthesized compounds
Compd. No.Gram positiveGram negative
Staphlococcus aureus (NCTC-7447)Bacillus cereus (ATCC-14579)Serratia marcesens (IMRU-70)Proteus merabitis (NTC-289)
2b++++++++
2d+++++++
2e++++++++
3a++++++++
3d+++++++++
3e+++++++++++
3f+++++++++++
9+++++++++++
10++++++++
Most of the synthesized compounds were found to possess various antimicrobial activities towards all the microorganisms used with minimal inhibitory concentration (MIC). The N-amino compound 3d was found to possess antimicrobial activity against Bacillus cereus (ATCC-14579), compound 3e containing the N-amino moiety possesses a high antimicrobial activity against Staphlococcus aureus (NCTC-7447), Bacillus cereus (ATCC-14579) and Proteus merabitis (NTC-289) and the N-amino compound 3f possesses antimicrobial activity towards Staphlococcuss aureus (NCTC-7447), Serratia marcesens (IMRU-70) and Proteus merabitis (NTC-289). Also, compound 9, containing the triazepinoquinazolinone moiety, was found to possess the highest antimicrobial activity towards Staphlococcus aureus (NCTC-7447), Serratia marcesens (IMRU-70) and Proteus merabitis (NTC-289).

Antifungal activities

The selected compounds were also tested for their antifungal activity using Aspergillus ochraceus Wilhelm (AUCC-230) and Penicillium chrysogenum Thom (AUCC-530) (Table 2). Some of the synthesized compounds were found to possess antifungal activities towards all the microorganisms used with minimal inhibitory concentration (MIC). The amide 2d possesses a high antifungal activity towards Aspergillus ochraceus Wilhelm (AUCC-230). Also compound 3d which contain the N-amino moiety was found to possess the highest antifungal activity towards Penicillium chrysogenum Thom (AUCC-530). On the other hand the triazepinoquinazolinone 9 was found to possess antifungal activity against Penicillium chrysogenum Thom (AUCC-530).
Table 2. Antifungal activity of the synthesized compounds
Table 2. Antifungal activity of the synthesized compounds
Compd.No.Aspergillus ochraceus Wilhelm (AUCC-230)Penicillium chrysogenum Thom (AUCC-530)
2b++++
2d+++++
2e+++
3aRR
3d+++++
3e++++
3f++++
9+++++
10R+
Key to the results: Inhibition zones were measured in mm. The concentration used was 4x10-5M. Control discs were done using dimethylformamide (DMF) and no inhibition zones were observed. Results are reported as (R) resistant, (+) moderately sensitive giving a 5 mm inhibition zone; (++) sensitive giving a 14 mm inhibition zone; (+++) very sensitive giving a 20 mm inhibition zone.

Experimental

General 

Melting points were taken on a STUART apparatus and are uncorrected. The IR spectra (KBr disks) were measured with a Jasco FT/IR 5300 spectrometer. The 1H-NMR spectra were obtained on a Varian Gemini 200 instrument at 200 MHz using DMSO-d6 as a solvent and TMS as internal standard. Mass spectra were performed by Shimadzu-GC MS QP 1000 EX using the direct inlet system. Thin layer chromatography (TLC) was carried out on silica gel (MN-Kieselgel G., 0.2 mm thickness) with ethylacetate:n-hexane (E/H) as the solvent and the plates were scanned under 254 nm ultraviolet light. Microanalyses were performed by the Microanalytical Unit at Cairo University. All the compounds gave satisfactory elemental analyses. Antimicrobial and antifungal activity tests were carried out by the Microbiology Lab., Faculty of Science, Al-Azhar University, Cairo, Egypt.
General procedure for synthesis of tosyl aminoacids 1a-f.- The tosyl amino acid derivatives were prepared according to McChesney et al [12] whereby the aminoacid (0.026 mol) was dissolved in 1N sodium hydroxide (25 mL) and over a period of thirteen minutes a solution of p-toluenesulphonyl chloride (0.027 mol) in ether (30 mL) was added in portions. The mixture was stirred at room temperature for 3hrs. The excess p-toluenesulphonyl chloride was filtered off and the solution treated with 2N HCl until acidic to Congo Red (pH 5). After cooling acidification caused the product to precipitate. The crude product was filtered, washed with water and dried. The crude materials were recrystallized to give 1a-f.
General procedure for synthesis of the amides 2a-f.- To a mixture of tosyl aminoacid (0.01 mol) and methyl anthranilate (0.01 mol) in xylene (20 mL), phosphorous trichloride (2-3 mL) was added. The mixture was heated under reflux for 3-4 hrs. After cooling and addition of pet.ether (bp 40-60°C; 10 mL) the precipitate was filtered and washed with two 5 mL portions of pet.ether, dried and recrystallized from the appropriate solvent to give 2a-f.
Methyl N-[phenylsulphonyl-glycyl]anthranilate (2a).- From phenylglycyl chloride as colourless crystals (65%), m.p. 125°C; IR νmax/cm-1 (2NH), 1703 (ester CO), 1680 (CO).
Methyl N-[4'-methylphenylsulphonyl-2-phenylglycyl]anthranilate (2b).- From tosyl 2-phenylglycyl acid chloride as colourless crystals (71%), m.p. 155°C; IR νmax/cm-1 3190 (2NH), 1700 (ester CO), 1681 (CO).
Methyl N-[4'-methylphenylsulphonyl-phenylalaninyl]anthranilate (2c).- From tosyl phenylalaninyl acid chloride as colourless crystals (68%), m.p. 120°C; IR νmax/cm-1 3195 (2NH), 1715 (ester CO), 1662 (CO).
Methyl N-[4'-methylphenylsulphonyl-β-alaninyl]anthranilate (2d).- From tosyl-β-alaninyl acid chloride as colourless crystals (73%), m.p. 130°C; IR νmax/cm-1 3190 (2NH), 1695 (ester CO), 1660 (CO).
Methyl N-[4'-methylphenylsulphonyl-DL-valinyl]anthranilate (2e).- From tosyl-DL-valinyl acid chloride as colourless crystals (75%), m.p. 170°C; IR νmax/cm-1 3220 (2NH), 1721 (ester CO), 1676 (CO); 1H-NMR δ 0.85-0.87 (d, 3H, isopropyl CH3), 0.90-0.93 (d, 3H, isopropyl CH3), 2.02-2.13 (m, 1H, CH), 2.37 (d, 1H, CH), 2.45 (s, 3H, CH3), 3.98 (s, 3H, OCH3), 7.26-8.55 (m, 8H, ArH’s), 11.12 ppm (s, 2H, 2NH).
Methyl N-[4'-methylphenylsulphonyl-DL-leucinyl]anthranilate (2f).- From tosyl-DL-leucine acid chloride as colourless crystals (68%), m.p. 165°C; IR νmax/cm-1 3180 (2NH), 1698 (ester CO), 1663 (CO).
General procedure for synthesis of N-amino quinazolin-4(3H)-one derivatives (3a-f).- The corresponding amide 2a-f (0.01 mol) and 95% hydrazine hydrate (0.05 mol) were dissolved in nbutanol (30 mL) and refluxed for 6-8 hrs. Cooling in ice gave the crude product which was filtered off and recrystallized to give compounds 3a-f.
3-Amino-2-(phenylsulphonamidomethyl)quinazolin-4(3H)-one (3a).- Colourless crystals (74%); m.p. 180°C; IR νmax/cm-1 3320 (NH2), 3210 (NH), 3060 (CH-arom.), 2960 (CH-aliph.), 1660 (CO).
3-Amino-2-(1`(4-methylphenylsulphonyl)-1`-(phenyl)methyl]quinazolin-4(3H)-one (3b).- Colourless crystals (65%), m.p. 135°C; IR νmax/cm-1 3325 (NH2), 3298 (NH), 3060 (CH-arom.), 2910 (CH-aliph.), 1669 (CO), 1598 (C=N).
3-Amino 2-[1`(4-methyl phenylsulphonamido)-1`-(benzyl)methyl]quinazo-line-4-(3H)-one (3c).- Colourless crystals (68%), m.p. 170°C; IR νmax/cm-1 3316 (NH2), 3241 (NH), 3055 (CH-arom.), 2972 (CH-aliph.), 1667 (CO); MS (C23H22N4O3S): m/e 434 (M+, 1%), 343 (73.3%), 328 (10.6%), 235 (2.7%), 188 (4.6%), 172 (2.7%), 145 (4.2%), 91 (100%, base peak), 65 (22.6%).
3-Amino-2-[4-methyl phenylsulphonamidoethyl]quinazolin-4-(3H)-one (3d).- Colourless crystals (70%), m.p. 185°C, IR νmax/cm-1 3322, 3294 (NH2), 3260 (NH), 1666 (CO.), 1614 (C=N).
3-Amino-2-[1`-(4-methylphenylsulphonamido)-1`-(iso-propyl)methyl]quinazolin-4-(3H)-one (3e).- Colourless crystals (76%), m.p. 190°C; IR νmax/cm-1 3320, 3290 (NH2), 3250 (NH), 1665 (CO), 1611 (C=N); MS (C19H22N4O3S): m/e 387(M+1, 4.5%), 353 (5.6%), 343 (5%), 275 (11%), 226(39.6%), 185 (15.3%), 155 (51.6%), 91 (100%, base peak), 65 (32%); 1H-NMR δ 0.85-0.92 (d, 6H, 2CH3), 1.88 (s, 3H, CH3), 2.15-2.24 (m, 1H, CH), 2.50-2.51 (d, 1H, CH +DMSO), 5.51 (s, 2H, NH2; exchangeable with D2O), 6.82-8.02 (m, 8H, Ar-H’s), 10.6 (s, 1H, NH; exchangeable with D2O).
3-Amino 2-[1`-(4-methylphenylsulphonamido)-1`-(iso-butyl)methyl]quina-zolin-4-(3H)-one (3f).- Colourless crystals (71%), m.p. 170°C; 1H-NMR δ 0.88-0.94 (d, 6H, 2CH3), 1.52-1.59 (t, 2H, CH2), 1.82-1.90 (m, 1H, CH), 2.50-2.52 (d, 1H, CH +DMSO), 5.57 (s, 2H, NH2; exchangeable with D2O), 6.86-8.04 (m, 8H, Ar-H’s), 10.2 (s, 1H, NH; exchangeable with D2O).
The Schiff’s base of 3-amino-2-[1`-(4-methyl phenyl sulphonamido)-1`-(iso-propyl)methyl]-quinazolin-4-(3H)-one (4).- Prepared from 3e (0.01 mol) and 4-chlorobenzaldehyde (0.01 mol) in acetic acid (20 mL). The mixture was refluxed for 4 hrs., cooled and colected by filteration as pale brown crystals (69%); m.p. 160°C; IR νmax/cm-1 3220 (NH), 3050 (CH-arom.), 2985 (CH-aliph.), 1660 (CO).
General procedure for the synthesis of 5a-c.- Compounds 3d,e (0.01 mol) and the corresponding aldehyde derivative (0.01 mol) in DMF (20 mL) containing 2 drops of triethylamine was refluxed for 6-8 hrs., after cooling and acidification with dil. HCl, a precipitate was formed, which was collected by filtration, washed with water and recrystallized to give 5a-c.
2-(4-Chlorophenyl)-4,5,11-trihydro-1H[1,2,4]triazepino[7,1-b]quinazolin-11-one (5a).- Prepared from 3d and 4-chlorobenzaldehyde as brown crystals (67%), m.p. 260°C; IR νmax/cm-1 3210 (NH), 1664 (CO), 1590 (C=N); 1H-NMR δ 4.23, 4.6 (2s, 4H, 2CH2), 7.2-8.4 (m, 8H, Ar-H’s), 9.2 (s, 1H, NH; exchangeable with D2O).
2-(4-Fluorophenyl)-4-isopropyl-4,10-dihydro-1H[1,2,4]triazino[6,1-b]-quinazolin-10-one (5b).- Prepared from 3e and 4-fluorobenzaldehyde as pale brown crystals (62%), m.p. 180°C; IR νmax/cm-1 3195 (NH), 2995, 2890 (CH-aliph), 1658 (CO).
2-(4-Methoxyphenyl-4-isopropyl-4,10-dihydro-1H-[1,2,4]triazino[6,1-b] quinazolin-10-one (5c).- Prepared from 3e and 4-methoxybenzaldehyde as brown crystals (60%), m.p. 170°C; IR νmax/cm-1 3210 (NH), 2990, 2885 (CH-aliph.), 1665 (CO).
6,7,9,14,17-Pentahydronaphtho[2`,3`:3,4][1,2,5]triazocino[8,1-b]qinozolin-9,14,17-trione (6a).- Prepared in a similar fashion as 6a from 3d and 2,3-dichloro-1,4-naphthoquinone as deep brown crystals (63%), m.p. > 300°C; IR νmax/cm-1 3060 (CH-arom.), 1670, 1660 (3CO).
6-Isopropyl-6,8,13,16-tetrahydronaphtho[2`,3`:3,4][1,2,5]triazepino[7,1-b]-quinazolin-8,13,16 trione (6b).- Prepared from 3e (0.01 mol); 2,3-dichloro-1,4-naphthoquinone (0.01 mol) in DMF (20 mL) and TEA (0.05 mL), the reaction mixture was refluxed for 6 hrs., cooled and acidified with HCl, the precipitate was filtered, washed with water and recrystallized to give 6a as dark brown crystals (60%); m.p. > 300°C; MS (C22H16N4O3) m/e 384 (5.9%), 328 (8.1%), 278 (12.5%), 224 (14.8%), 183 (21.7%), 137 (24.3%)), 97 (100%), 1H-NMR δ 0.87-0.89 (dd, 3H, isopropyl CH3), 0.91-0.94 (dd, 3H, isopropyl CH3), 2.04-2.15 (m, 1H, isopropyl CH), 7.02-8.34 (8H,m,Ar-H’s).
2-[11-Oxo5,11-dihydro-1H-[1,2,4]triazepino[7,1-b]quinazolin-2-ylidine]-malononitrile (7).- From 3d and [bis(methylthio)methylene]malononitrile as yellow crystals (61%); m.p. 250°C; MS (C14H8N6O) m/e 276 (3%), 229 (3.8%), 203 (26.3%), 186 (17.6%), 160 (77.4%), 91 (100%, base peak), 65 (46.8%), 1H-NMR δ 4.3 (d, 2H, CH2), 4.5 (dd, 1H, CH), 7.2-8.3(m, 4H, Ar-H’s + 1H, NH; exchangeable with D2O).
2[4-isopropyl-10-oxo-1,10-dihydro-[1,2,4]-triazino-[6,1-b]quinazolin-2-ylidine) malononitrile (8) Prepared from 3e (0.01 mol), [bis(methylthio)methylene)malononitrile (0.02 mol) in DMF (20 mL) and TEA (0.5 mL). The reaction mixture was refluxed for 5 hrs. until the odour of methyl mercaptan disappeared. Cooling and acidification caused the precipitation of the product which was then collected and recrystallized to give 7 as pale yellow crystals (66%), m.p. > 300°C; IR νmax/cm-1 3210 (NH), 2210 (2CN), 1659 (CO).
Ethyl 1-[11-oxo-5,11-dihydro-[1,2,4]triazepino[7,1-b]quinazolinyl]formate (9).- Prepared from 3d (0.01 mol), ethyl chloroformate (0.03 mol) and TEA (0.5 mL) in DMF (20 mL). The mixture was refluxed for 8 hrs., cooled and acidified with dil. HCl. The solid obtained was collected and crystallized to give 9 as pale brown crystals (60%), m.p. 265°C; MS (C14H12N4O4) m/e 300 (M+1, 0.5%), 284 (2.9%), 256 (7%), 213 (4.9%), 185 (6.2%), 149 (16.6%), 129 (10.8%), 91 (22.3%), 65 (8%); 1H-NMR δ 1.28-1.33 (t, 3H, CH3), 4.23-4.30 (q, 2H, CH2), 4.41, 4.5 (2s, 2H, 2CH), 7.29-8.29 (m, 4H, Ar-H’s + 1H, NH; exchangeable with D2O).
Ethyl-1-[12-oxo-6,12-dihydro[1,2,5]triazocino[8,1-b]quinazolinyl]acetate (10).- Prepared like 9 from 3d and ethyl chloroacetate as pale brown crystals (63%), m.p. > 300°C, MS (C16H16N4O4) m/e 328 (0.5%), 299 (0.7%), 284 (0.8%), 256 (7.3%), 213 (4.3%), 185 (5.2%), 149 (15.8%), 69 (100%; base peak); 1H-NMR δ 1.24-1.32 (t,3H, CH3 -ethyl), 1.80 (s, 2H, CH2), 4.09-4.15(q, 2H, CH2 ethyl), 7.2-8.3 (m, 4H, Ar-H’s + 2H, 2NH; exchangeable with D2O).

References

  1. Daidone, G.; Maggio, B.; Raffa, D.; Plescia, S.; Bajardi, M. L.; Caruso, A.; Cuttuli, V. M. C.; Amico-Roxas, M. Eur. J. Med. Chem. 1994, 29, 707.
  2. Bckhit, A.A.; Khalil, M.A. Pharmazie 1998, 53, 539.
  3. Agarwal, R.; Singli, C.; Mishara, N.S. Ind. Drugs 1988, 25, 185.
  4. Pramella, B.; Rajanarender, E.; Murty, A. K. Ind J. Heterocyclic Chem. 1992, 2, 115.
  5. Shyimad, M.; Kalsi, R.; Dixit, K. S.; Barthwal, J. Arzneim-Fosch. Drug Res. 1991, 41, 514.
  6. Shakhidoyator, Kh. M.; Eripor, E. O.; Yun, L. M.; Yamankulov, M. Ya; Kadyrov. Ch. Sh.; Fungitsidy 1981, 66. Chem. Abstr.: 1981, 94, 192253.
  7. Fetter, J.; Czuppon, T.; Hornyak, G.; Feller, A. Tetrahedron 1991, 47, 9393. [CrossRef]
  8. Kralj, L.; Hvala, A.; Sreto, J.; Golic, L.; Stanovik, B. J. Heterocyclic Chem. 1997, 34, 247.
  9. Mohamed, Y. A.; El-Sharief, A. M. Sh.; Ammar, Y. A.; Amin, N. E.; Ghorab, M.M. J. Serb. Chem. Soc. 1989, 54, 179.
  10. Ammar, Y. A.; El-Sharief, A. M. Sh.; Mohamed, Y. A.; Ahmed, H. A. J. Serb. Chem. Soc. 1987, 52, 633.
  11. Hassanein, A. A.; Nassar, O. M.; Zahran, M. A.; Ali, A.H. Al-Azhar Bull. Sci. 1997, 8, 417.
  12. McChesney, E.W.; Kirkswann, W. M. J. Am. Chem. Soc. 1937, 59, 1116.
  13. Elslager, E.F. Prog. Drug. Res. 1974, 18, 99. [PubMed]
  • Sample Availability: Samples are available from the authors.

Share and Cite

MDPI and ACS Style

El-Sharief, A.M.S.; Ammar, Y.A.; Zahran, M.A.; Ali, A.H.; El-Gaby, M.S.A. Aminoacids in the Synthesis of Heterocyclic Systems: The Synthesis of Triazinoquinazolinones, Triazepinoquinazolinones and Triazocinoquinazolinones of Potential Biological Interest. Molecules 2001, 6, 267-278. https://doi.org/10.3390/60300267

AMA Style

El-Sharief AMS, Ammar YA, Zahran MA, Ali AH, El-Gaby MSA. Aminoacids in the Synthesis of Heterocyclic Systems: The Synthesis of Triazinoquinazolinones, Triazepinoquinazolinones and Triazocinoquinazolinones of Potential Biological Interest. Molecules. 2001; 6(3):267-278. https://doi.org/10.3390/60300267

Chicago/Turabian Style

El-Sharief, A. M.Sh., Y. A. Ammar, M. A. Zahran, A. H. Ali, and M. S.A. El-Gaby. 2001. "Aminoacids in the Synthesis of Heterocyclic Systems: The Synthesis of Triazinoquinazolinones, Triazepinoquinazolinones and Triazocinoquinazolinones of Potential Biological Interest" Molecules 6, no. 3: 267-278. https://doi.org/10.3390/60300267

APA Style

El-Sharief, A. M. S., Ammar, Y. A., Zahran, M. A., Ali, A. H., & El-Gaby, M. S. A. (2001). Aminoacids in the Synthesis of Heterocyclic Systems: The Synthesis of Triazinoquinazolinones, Triazepinoquinazolinones and Triazocinoquinazolinones of Potential Biological Interest. Molecules, 6(3), 267-278. https://doi.org/10.3390/60300267

Article Metrics

Back to TopTop