Abstract
The reaction of substituted and unsubstituted propargylic bromides with butanal in presence of zinc power in THF/saturated aqueous NH4Cl solution gave corresponding allenic and propargylic alcohols with high selectivity.
Introduction
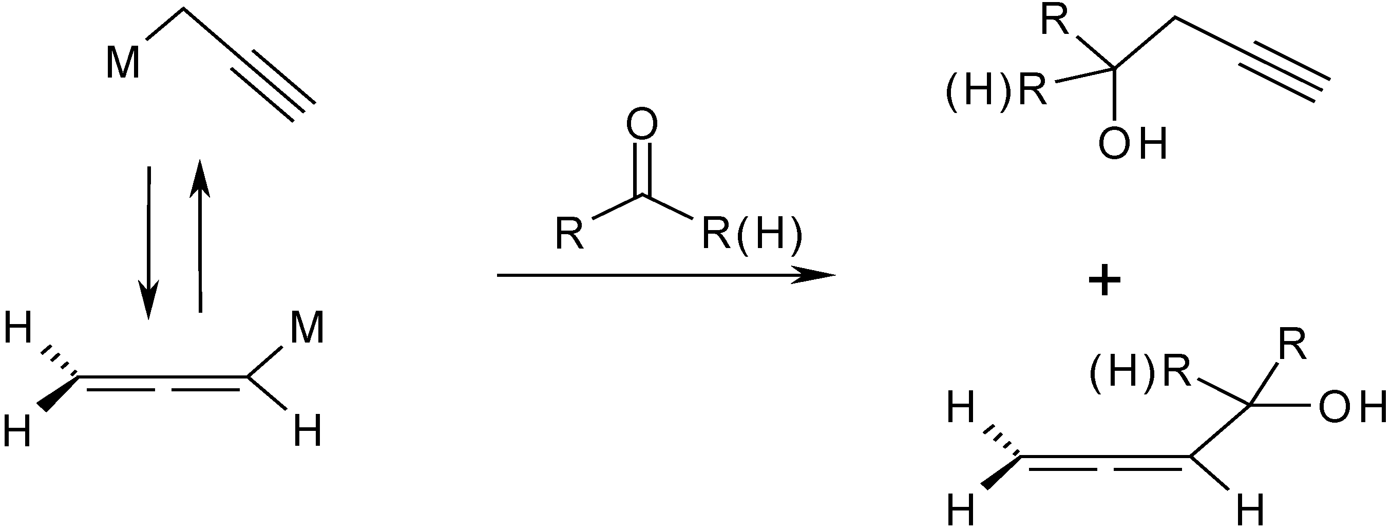
The Barbier reaction has been known for more than hundred years and has been well investigated [1]. Barbier type reactions in aqueous solution using tin, zinc, indium and other metals are also described [2]. The Barbier reaction has been successfully applied recently in the preparation of new β-lactam antibiotics [3], in propargylation of cyclic imides [4], in asymmetric allenylation of aliphatic aldehydes catalyzed by a chiral formamide [5] and for the synthesis of propargylic and allenic alcohols [6,7]. A mechanism for the Barbier reaction has also been proposed (Scheme 1)[8]:
Scheme 1.
Scheme 1.

The regioselectivity of this reaction is highly dependent on the nature of the propargyl halide and carbonyl compound, steric hindrances, solvent effects and the metal used. Use of cheap zinc powder in the Barbier reactions of substituted propargylic halides in water gave a mixture of allenic and propargylic alcohols but unsubstituted propargyl halides always gave the corresponding propargylic alcohols with high selectivity [9]. It was reported recently that allenic alcohols were obtained with high selectivity by indium-mediated coupling of propargylic halides with aldehydes in aqueous media [7]. The zinc mediated regioselective synthesis of allenic alcohols in media containing water is not documented. Here we describe the regiospecific Barbier reaction of two representative model compounds giving exclusively the corresponding substituted propargylic or allenic alcohol.
Results and Discussion
In our investigation we chosed 1-bromo-2-propyne and 1-bromo-2-nonyne as two model compounds that would react preferentially as the corresponding propargyl or allenyl metal derivatives in Barbier reactions [8]. A mixture of anhydrous THF and saturated aqueous NH4Cl solution was used as solvent. First zinc powder was stirred with the propargylic bromide in anhydrous THF media, then butanal was added. After 3 hours of stirring saturated aqueous NH4Cl solution was added. It was confirmed by GLC that the coupling reaction started only after addition of the sat. aq. NH4Cl solution and was complete within 15 minutes. The coupling of substituted and unsubstituted propargylic bromide with butanal in presence of zinc powder gave the corresponding propargylic and allenic alcohols in modest yield albeit with high selectivity (Scheme 2):
Scheme 2.
Zinc-mediated coupling of propargylic bromides with butanal in THF/ aq. NH4Cl
Scheme 2.
Zinc-mediated coupling of propargylic bromides with butanal in THF/ aq. NH4Cl

| Propargylic bromide (R) | Yield, % | Allenic (1) : Propargylic (2) alcohol |
| C6H13 | 47 | 100 : 0 |
| H | 25 | 0 : 100 |
The purity and structure of the alcohols obtained was proven by GLC, IR, 1H-NMR and 13C-NMR spectroscopy.
Conclusions
We have presented a facile route for the selective synthesis of allenic and propargylic alcohols in THF/ aq. NH4Cl media. This represents the first successful preparation of these allenic and propargylic alcohols in the presence of cheap zinc powder and the first reported synthesis of the allenic alcohol 3-hexyl-1.2-heptadien-4-ol (1).
Experimental
General
1H- and 13C-NMR spectra were recorded at 200 and 50 MHz respectively using a Bruker AC 200P instrument (Spektrospin AG, Switzerland). GLC analysis: Chrom-5 instrument (Laboratorni Pristroje, Praha) equipped with a FID and glass column, 2.5 x 3 mm, 20% Carbowax 20M, Chromosorb W/AW-DMCS, 100-120 mesh. Products were purified on a 40-63 mesh silica chromatography column (A/S Tanel, Estonia), using 1:3 ethyl acetate:hexane as the eluting solvent. Reagents and chemicals were obtained from Aldrich Chemical Company (USA) and from REACHIM (USSR). The substituted and unsubstituted propargylic bromide starting materials were prepared according to the published standard procedure [10]: propargyl bromide, bp 82-83 oC, 60-70% yield; 1-bromo-2-nonyne, bp 92-95 oC/4 mmHg, 58% yield.
Typical synthetic procedure
Propargylic bromide (28 mmol) in THF (30 mL) was added to a stirred mixture of zinc (1.84 g, 28 mmol) in THF (60 mL) and after stirring for 1 hour, butanal (2.02 g, 28mmol) in THF (10 mL) was added. The mixture was stirred 3 hours, then saturated aqueous NH4Cl solution (100 mL) was added. After 0,5 hour the reaction mixture was filtered to remove the remaining zinc, 10% hydrochloric acid (20 mL) was added and organic layer was separated. The aqueous layer extracted with small portions of ether, the combined organic extracts were dried over MgSO4 and concentrated in vacuo. The resulting brown liquid was purified by column chromatography. All experiments were performed at room temperature.
Spectral Data
3-hexyl-1,2-heptadien-4-ol (1): 1H-NMR (CDCl3) δ: 0.85-1.0 (m, 6H), 1.25-1.70 (m, 12H), 1.90-2.05 (m, 3H), 3.98-4.08 (m, 1H), 4.78-4.85 (m, 2H); 13C-NMR (CDCl3) δ: 14.819, 14.871, 19.729, 23.521, 28.624, 28.779, 30.005, 32,639, 38.762, 72.756, 78.932, 108.606, 205.569; IR (thin film) cm-1: 3308 (broad), 3024, 1931, 1036, 999, 845.
1-heptyn-4-ol (2) [11]: 1H-NMR (CDCl3) δ: 0.9-1.0 (m, 3H), 1.2-1.6 (m, 4H), 2.0-2.1 (m, 1H), 2.32-2.42 (m, 2H), 3.65-3.85 (m, 2H); 13C-NMR (CDCl3) δ: 13.981, 18.845, 27.410, 38.447, 69.780, 70.673, 81.182; IR (thin film) cm-1: 3350 (broad), 3308, 2122, 1017, 665.
Acknowledgements
We acknowledge the Estonian Science Foundation (grant No. 3368) for its financial support.
References and Notes
- Trost, B. M. Comprehensive Organic Synthesis; Fleming, I., Ed.; Pergamon Press: Oxford, 1991; Vol. 1, Part 1; pp. 255–266. [Google Scholar]
- Li, C.J. Aqueous Barbier-Grignard type reaction: scope, mechanism, and synthetic applications. Tetrahedron 1996, 52, 5643–5668. [Google Scholar]
- Cho, Y. S.; Lee, J. E.; Pae, A. N.; Choi, K. I.; Koh, H. Y. Indium and zinc mediated Barbier type reactions: allylation and propargylation reactions of 6-oxopenicillanate and 7-oxocephalosporanate. Tetrahedron 1999, 40, 1725–1728. [Google Scholar]
- Kim, S. H.; Han, E. H. Zinc mediated Barbier type propargylation of cyclic imides. Tetrahedron Lett. 2000, 41, 6479–6482. [Google Scholar]
- Iseki, K.; Kuroki, Y.; Kobayashi, Y. Asymmetric allenylation of aliphatic aldehydes catalyzed by a chiral formamide. Tetrahedron: Asymmetry 1998, 9, 2889–2894. [Google Scholar]
- Kurono, N.; Sugita, K.; Tokuda, M. Regioselective propargylation of aldehydes and ketones by electrochemical reaction using zinc and aluminum anodes. Tetrahedron 2000, 56, 847–854. [Google Scholar]
- Isaac, M. B.; Chan, T.-H. Indium-mediated coupling of aldehydes with prop-2-ynyl bromides in aqueous media. J. Chem. Soc., Chem. Commun. 1995, 1003–1004. [Google Scholar]
- Cabezas, J. A.; Alvarez, L. X. Propargylation of carbonyl compounds: an efficient method for the synthesis of homopropargyl alcohols. Tetrahedron Lett. 1998, 39, 3935–3938. [Google Scholar]
- Bieber, L. W.; Silva, M. F.; Costa, R. C.; Silva, L. O. S. Zinc Barbier reaction of propargyl halides in water. Tetrahedron Lett. 1998, 39, 3655–3658. [Google Scholar]
- Brandsma, L. Preparative Acetylenic Chemistry; Elsevier: Amsterdam, 1971; p. 158. [Google Scholar]
- Favre, E.; Gaudemar, M. J. Organomet. Chem. 1974, 76, 297–304.
- Sample Availability: Samples of compound 1 are available from MDPI.
© 2001 by MDPI (http://www.mdpi.org). Reproduction is permitted for noncommercial purposes.