Comparative Evaluation of Drying Methods for Vegetable Waste Aimed at Producing Natural Functional Food Ingredients
Abstract
1. Introduction
2. Results
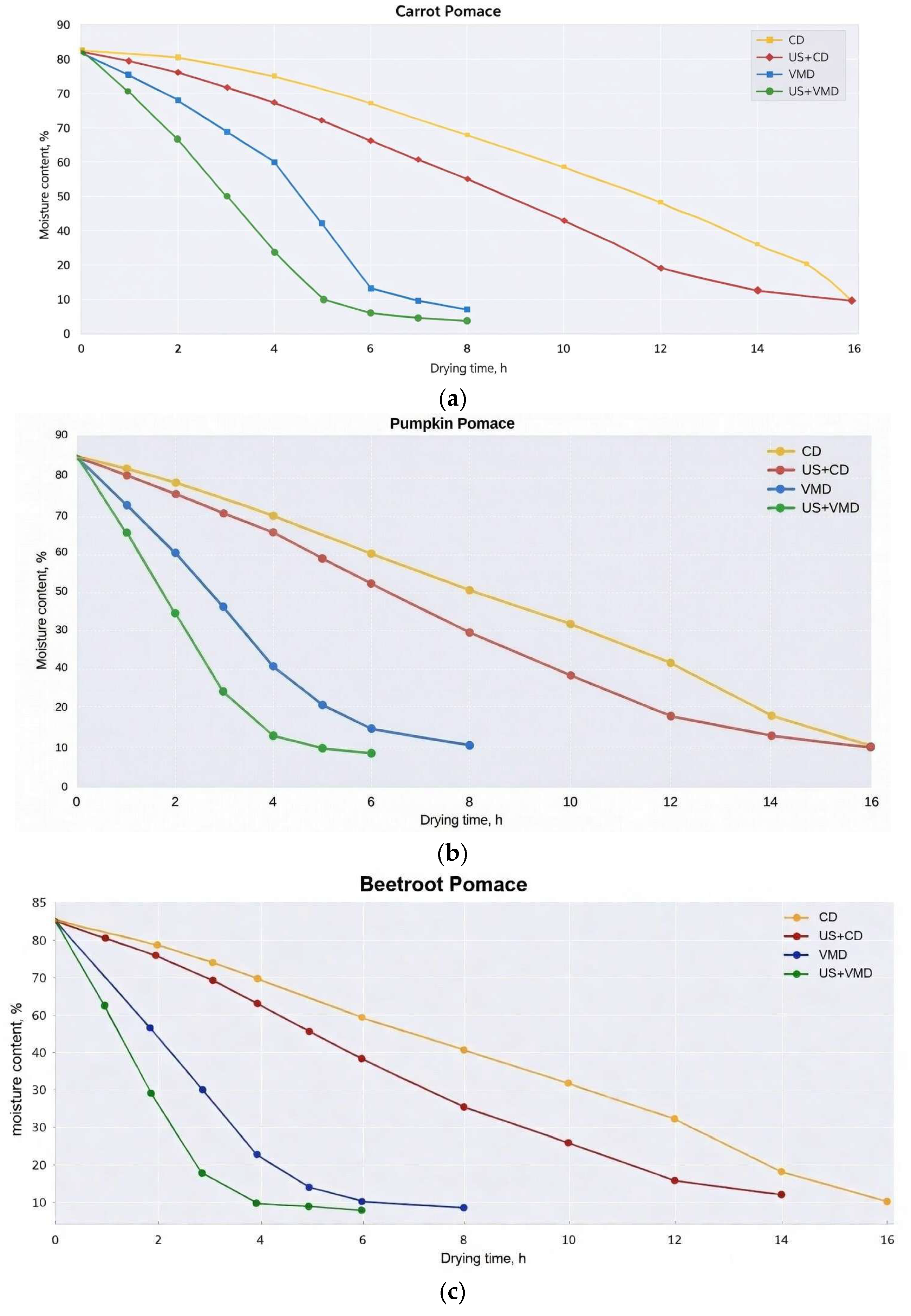
2.1. Drying Kinetics and Processing Time
Mathematical Modeling of Drying Kinetics
2.2. Changes in Water Activity During Drying of Beet, Carrot, and Pumpkin Pomace
Mathematical Modeling of Water Activity Changes During Drying
2.3. Physicochemical Properties of Powders Obtained by Different Drying Methods of Vegetable Waste
2.4. Retention of Bioactive Compounds in Powders Obtained by Different Drying Methods of Vegetable Waste
2.5. Color Characteristics and Thermal Stability of Powders Obtained by Different Drying Methods of Vegetable Waste
2.6. Sensory and Functional Properties of Powders Obtained by Different Drying Methods of Vegetable Waste
2.7. Data Processing
3. Discussion
3.1. Drying Kinetics and Mass Transfer Efficiency of Water Activity
3.2. Retention of Bioactive Compounds and Thermal Stability
3.3. Physicochemical and Functional Properties of Powders
3.4. Applied Advantages and Limitations
4. Materials and Methods
4.1. Raw Materials and Sample Preparation
4.2. Ultrasound Pretreatment (US)
4.3. Drying Methods
4.4. Determination of Drying Kinetics
4.5. Physicochemical and Functional Properties of Powders
4.6. Determination of Bioactive Compounds
4.7. Statistical Analysis
5. Conclusions
- -
- For red beet pomace, the maximum relative drying acceleration is observed (up to 7–11× compared to convective drying), which is attributed to the high content of soluble sugars and nitrates. These components reduce the viscosity of the system and promote intense evaporation of free moisture under vacuum conditions.
- -
- Pumpkin pomace exhibits the lowest acceleration (5.5–8×), primarily due to the high proportion of insoluble dietary fibers and pectic substances, which create additional diffusion barriers and slow down the removal of bound moisture even under combined intensive methods.
- -
- For carrot pomace, the effect is intermediate (6–9×), with carotenoids exerting a noticeable influence on local changes in the dielectric properties of the material during vacuum-microwave heating.
- -
- The differences in the degree of drying acceleration among the types of press cake highlight the need to account for the compositional features of the raw material (content of soluble substances, dietary fibers, pigments) when optimizing parameters, which is consistent with hypotheses regarding the influence of these components on mass and heat transfer.
- -
- The superior retention of β-carotene (85–95 mg/100 g dw) and higher FRAP/DPPH values in US + VMD samples align with findings on reduced thermal degradation under vacuum-microwave conditions and cavitation-enhanced mass transfer from ultrasound pretreatment. These results are consistent with previous reports on improved bioactive preservation in microwave-vacuum dried vegetable pomace.
Author Contributions
Funding
Institutional Review Board Statement
Informed Consent Statement
Data Availability Statement
Conflicts of Interest
References
- Ngamwonglumlert, L.; Devahastin, S.; Chiewchan, N. Natural colorants: Pigment stability and extraction yield enhancement via utilization of appropriate pretreatment and extraction methods. Crit. Rev. Food Sci. Nutr. 2017, 57, 3243–3259. [Google Scholar] [CrossRef]
- Alegbe, E.O.; Uthman, T.O. A review of history, properties, classification, applications and challenges of natural and synthetic dyes. Heliyon 2024, 10, e33646. [Google Scholar] [CrossRef] [PubMed]
- Bekavac, N.; Krog, K.; Stanic, A.; Samec, D.; Salic, A.; Benkovic, M.; Jurina, T.; Gajdoš Kljusurić, J.; Valinger, D.; Jurinjak Tusek, A. Valorization of Food Waste: Extracting Bioactive Compounds for Sustainable Health and Environmental Solutions. Antioxidants 2025, 14, 714. [Google Scholar] [CrossRef] [PubMed]
- Ueda, J.M.; Pedrosa, M.C.; Heleno, S.A.; Carocho, M.; Ferreira, I.C.; Barros, L. Food additives from fruit and vegetable by-products and bio-residues: A comprehensive review focused on sustainability. Sustainability 2022, 14, 5212. [Google Scholar]
- Paul, S.K.K.; Islam, M.N.; Dewan, M.F.; Alim, M.A.; Ahmmed, R. Functional yogurt: An approach to enhance yogurt quality with peanut polyphenols. Food Biosci. 2024, 60, 104398. [Google Scholar] [CrossRef]
- Wicks, C. Polyphenol-Mediated Protein and Fat Structure Development in a Frozen Dessert Model. Ph.D. Thesis, The University of Wisconsin-Madison, Madison, WI, USA, 2024. [Google Scholar]
- Jacob, T.M.; Ijarotimi, O.; Oluwalana, I.; Adewumi, S. Phytochemical, Physicochemical, Sensory, Antioxidant, and Functional Properties of Infused Roselle, Beetroot, and Fig Fruit Beverages. Available online: https://ssrn.com/abstract=5776392 (accessed on 13 March 2026).
- Xie, A.; Dong, Y.; Liu, Z.; Li, Z.; Shao, J.; Li, M.; Yue, X. A review of plant-based drinks addressing nutrients, flavor, and processing technologies. Foods 2023, 12, 3952. [Google Scholar] [CrossRef]
- Huang, X.; Yang, J.; Ho, C.T.; Ke, Q.; Kou, X. Functional flavor agents: Enhancing health benefits and consumer preferences. Crit. Rev. Food Sci. Nutr. 2025, 65, 8188–8216. [Google Scholar] [CrossRef]
- Betoret, E.; Rosell, C.M. Enrichment of bread with fruits and vegetables: Trends and strategies to increase functionality. Cereal Chem. 2020, 97, 9–19. [Google Scholar]
- Saddique, M.S.; Sultan, M.T.; Iqbal, S.Z.; Bosch, C.; Akhtar, S.; Raza, H.; Tariq, N.; Ahmed, W. Physicochemical, rheological and sensory evaluation of herbal bread containing turmeric, ginger, and black cumin powder. Foods 2024, 13, 555. [Google Scholar] [CrossRef]
- Lee, J.; Sung, J.M.; Cho, H.J.; Woo, S.H.; Kang, M.C.; Yong, H.I.; Kim, T.K.; Lee, H.; Choi, Y.S. Natural extracts as inhibitors of microorganisms and lipid oxidation in emulsion sausage during storage. Food Sci. Anim. Resour. 2021, 41, 1060. [Google Scholar]
- Lakshmi, M.; Malathy, S. Creation of a Functional Vegan Sausage Dry Mix Using Plant-Based Ingredients: A Comparative Study on Proximate, Microbial, Shelf Life, and Sensory Attributes. Strad Res. 2024, 11, 257–267. [Google Scholar]
- Pourashouri, P.; Shabanpour, B.; Kordjazi, M.; Jamshidi, A. Characteristic and shelf life of fish sausage: Fortification with fish oil through emulsion and gelled emulsion incorporated with green tea extract. J. Sci. Food Agric. 2020, 100, 4474–4482. [Google Scholar] [CrossRef] [PubMed]
- Kolniak-Ostek, J.; Kita, A.; Giacalone, D.; Vazquez-Araujo, L.; Noguera-Artiaga, L.; Brzezowska, J.; Michalska-Ciechanowska, A. Physicochemical and Instrumental Flavor Analysis of Plant-Based Drinks with Plant Powder Additions. Foods 2025, 14, 2593. [Google Scholar] [CrossRef] [PubMed]
- Sahu, F.M. Food Additives: Making food taste better and safer. Beverage Food World 2016, 43, 19–28. [Google Scholar]
- Jiang, H.; Zhang, N.; Xie, L.; Li, G.; Chen, L.; Liao, Z. A comprehensive review of the rehydration of instant powders: Mechanisms, influencing factors, and improvement strategies. Foods 2025, 14, 2883. [Google Scholar] [CrossRef]
- Janiszewska-Turak, E.; Rybak, K.; Grzybowska, E.; Konopka, E.; Witrowa-Rajchert, D. The Influence of Different Pretreatment Methods on Color and Pigment Change in Beetroot Products. Molecules 2021, 26, 3683. [Google Scholar] [CrossRef]
- Castro-Enríquez, D.D.; Montaño-Leyva, B.; Del Toro-Sánchez, C.L.; Juaréz-Onofre, J.E.; Carvajal-Millan, E.; Burruel-Ibarra, S.E.; Tapia-Hernández, J.A.; Barreras-Urbina, C.G.; Rodríguez-Félix, F. Stabilization of betalains by encapsulation-a review. J. Food Sci. Technol. 2020, 57, 1587–1600. [Google Scholar] [CrossRef]
- Zannou, O.; Oussou, K.F.; Chabi, I.B.; Odouaro, O.B.O.; Deli, M.G.E.P.; Goksen, G.; Vahid, A.M.; Kayodé, A.P.P.; Kelebek, H.; Selli, S.; et al. A comprehensive review of recent development in extraction and encapsulation techniques of betalains. Crit. Rev. Food Sci. Nutr. 2024, 64, 11263–11280. [Google Scholar] [CrossRef]
- Chan, P.N.A. Chemical properties and applications of food additives: Flavor, sweeteners, food colors, and texturizers. In Handbook of Food Chemistry; Springer: Berlin/Heidelberg, Germany, 2015; pp. 101–129. [Google Scholar]
- Khalid, M.U.; Sultan, M.T.; Chaudhary, K.; Baig, I.; Khalid, S.; Ansar, S.; Haider, M.B.; Orabi, M.A.; Ghazal, A.F.; Onyeaka, H. Assessment of Ultrasound-Assisted Dried Withania somnifera: Nutritional Value, Functional Characteristics of Supplemented Flour, Dough Rheology, and Sensory Attributes of FlatUnleavened Bread. J. Food Process. Preserv. 2025, 2025, 9938364. [Google Scholar] [CrossRef]
- Que, F.; Mao, L.; Fang, X.; Wu, T. Comparison of hot air-drying and freeze-drying on the physicochemical properties and antioxidant activities of pumpkin (Cucurbita moschata Duch.) flours. Int. J. Food Sci. Technol. 2008, 43, 1195–1201. [Google Scholar] [CrossRef]
- Polat, S.; Guclu, G.; Kelebek, H.; Keskin, M.; Selli, S. Comparative elucidation of colour, volatile and phenolic profiles of black carrot (Daucus carota L.) pomace and powders prepared by five different drying methods. Food Chem. 2022, 369, 130941. [Google Scholar] [CrossRef]
- Cui, Z.W.; Xu, S.Y.; Sun, D.W. Microwave–vacuum drying kinetics of carrot slices. J. Food Eng. 2004, 65, 157–164. [Google Scholar] [CrossRef]
- Zhumaliyeva, G.; Chomanov, U.; Tultabayev, M.; Aktokalova, G.; Tultabayeva, T.; Kenenbay, G.; Kasymbek, R.; Tultabayev, N. Establishing the regularities of blending functional purpose juices based on watermelon juice. East.-Eur. J. Enterp. Technol. 2023, 125, 57–66. [Google Scholar] [CrossRef]
- Akcicek, A.; Avci, E.; Tekin-Cakmak, Z.H.; Kasapoglu, M.Z.; Sagdic, O.; Karasu, S. Influence of different drying techniques on the drying kinetics, total bioactive compounds, anthocyanin profile, color, and microstructural properties of blueberry fruit. ACS Omega 2023, 8, 41603–41611. [Google Scholar] [CrossRef] [PubMed]
- Alam, M.S.; Gupta, K.; Khaira, H.; Javed, M. Quality of dried carrot pomace powder as affected bypretreatments and methods of drying. Agric. Eng. Int. CIGR J. 2013, 15, 236–243. [Google Scholar]
- Nahimana, H.; Zhang, M. Shrinkage and color change during microwave vacuum drying of carrot. Dry. Technol. 2011, 29, 836–847. [Google Scholar] [CrossRef]
- Wodajo Bekele, D.; Admassu, S. Pumpkin flour qualities as affected by ultrasound and microwave pre-drying treatment. Int. J. Food Prop. 2022, 25, 2409–2424. [Google Scholar] [CrossRef]
- Muth, I.; Zalazar-García, D.; Roman, M.C.; Baldán, Y.; Fernández, A.; Fabani, M.P.; Blasetti, A.P.; Mazza, G.; Rodríguez, R. Transforming pumpkin waste into high-value powder: A model for the drying process of functional food ingredients. Agronomy 2024, 14, 1424. [Google Scholar] [CrossRef]
- García-Moreira, D.P.; Moreno, I.; López-Vidanha, E.C. Controlled solar drying as a sustainable strategy for color preservation and food waste minimization. AgriEngineering 2025, 7, 392. [Google Scholar] [CrossRef]
- Meda, V.; Orsat, V.; Raghavan, V. 2—Microwave heating and the dielectric properties of foods. In Woodhead Publishing Series in Food Science, Technology and Nutrition, the Microwave Processing of Foods, 2nd ed.; Regier, M., Knoerzer, K., Schubert, H., Eds.; Woodhead Publishing: Cambridge, UK, 2017; pp. 23–43. [Google Scholar] [CrossRef]
- Vega-Galvez, A.; Orellana-Palma, P.; Pasten, A.; Uribe, E.; Cortes, D.; Carvajal, M. Mild Temperature Conditions Applied to Carrot (Daucus carota L.) Waste Using Different Drying Methods: Effect on the Kinetics and Some Chemical Parameters. Processes 2025, 13, 90. [Google Scholar] [CrossRef]
- Pasten, A.; Vega-Gálvez, A.; Uribe, E.; Carvajal, M.; Mejias, N.; Araya, M.; Goni, M.G. Comparison of the effect of low-temperature vacuum drying and other methods on the nutritional and functional properties of cauliflower. Processes 2024, 12, 1629. [Google Scholar] [CrossRef]
- De Laet, E.; Bernaerts, T.; Ares, J.N.; De Cock, K.; Goos, P.; Van Loey, A.M. Influence of ultrasound-assisted extraction on the pectin extraction yield and structural characteristics: A case study on carrot pomace (Daucus carota). Food Bioprod. Process. 2024, 148, 309–320. [Google Scholar] [CrossRef]
- Pandiselvam, R.; Tak, Y.; Olum, E.; Sujayasree, O.J.; Tekgul, Y.; Caliskan Koc, G.; Kaur, M.; Nayi, P.; Kothakota, A.; Kumar, M. Advanced osmotic dehydration techniques combined with emerging drying methods for sustainable food production: Impact on bioactive components, texture, color, and sensory properties of food. J. Texture Stud. 2022, 53, 737–762. [Google Scholar] [CrossRef] [PubMed]
- Jakubczyk, E.; Jaskulska, A. The Effect of Freeze-Drying on the Properties of Polish Vegetable Soups. Appl. Sci. 2021, 11, 654. [Google Scholar] [CrossRef]
- Bashir, O.; Hussain, S.Z.; Ameer, K.; Amin, T.; Beenish; Ahmed, I.A.M.; Aljobair, M.O.; Gani, G.; Mir, S.A.; Ayaz, Q.; et al. Influence of Anticaking Agents and Storage Conditions on Quality Characteristics of Spray Dried Apricot Powder: Shelf Life Prediction Studies Using Guggenheim-Anderson-de Boer (GAB) Model. Foods 2023, 12, 171. [Google Scholar] [CrossRef]
- Ghelichi, S.; Hajfathalian, M.; Yesiltas, B.; Sorensen, A.M.; Garcia-Moreno, P.J.; Jacobsen, C. Oxidation and oxidative stability in emulsions. Compr. Rev. Food Sci. Food Saf. 2023, 22, 1864–1901. [Google Scholar] [CrossRef]
- Wojdylo, A.; Lech, K.; Nowicka, P. Effects of Different Drying Methods on the Retention of Bioactive Compounds, On-Line Antioxidant Capacity and Color of the Novel Snack from Red-Fleshed Apples. Molecules 2020, 25, 5521. [Google Scholar] [CrossRef]
- Wang, X.; Song, Z.; Ding, C. Study on the effect of ultrasonic and cold plasma non-thermal pretreatment combined with hot air on the drying characteristics and quality of yams. Foods 2025, 14, 2831. [Google Scholar] [CrossRef]
- ElGamal, R.; Song, C.; Rayan, A.M.; Liu, C.; Al-Rejaie, S.; ElMasry, G. Thermal Degradation of Bioactive Compounds during Drying Process of Horticultural and Agronomic Products: A Comprehensive Overview. Agronomy 2023, 13, 1580. [Google Scholar] [CrossRef]
- Santos, A.A.d.L.; Leal, G.F.; Marques, M.R.; Reis, L.C.C.; Junqueira, J.R.d.J.; Macedo, L.L.; Correa, J.L.G. Emerging Drying Technologies and Their Impact on Bioactive Compounds: A Systematic and Bibliometric Review. Appl. Sci. 2025, 15, 6653. [Google Scholar] [CrossRef]
- AOAC Method 934.01; Loss on Drying (Moisture) at 95–100 °C for Feeds; Dry Matter on Oven Drying at 95–100 °C for Feeds. AOAC International: Rockville, MD, USA, 1934.
- Carr, J.F.; Hiltunen, J.K. Changes in the bottom fauna of western lake erie from 1930 to 1961. Limnol. Oceanogr. 1965, 10, 551–569. [Google Scholar] [CrossRef]
- Cano-Chauca, M.; Stringheta, P.; Ramos, A.M.; Cal-Vidal, J. Effect of the carriers on the microstructure of mango powder spray drying and its functional characterization. Innov. Food Sci. Emerg. Technol. 2005, 6, 420–428. [Google Scholar] [CrossRef]
- Stintzing, F.C.; Schieber, A.; Carle, R. Evaluation of colour properties and chemical quality parameters of cactus juices. Eur. Food Res. Technol. 2003, 216, 303–311. [Google Scholar] [CrossRef]


| Pomace Type | Drying Method | Drying Time to <6% Moisture | Acceleration Relative to CD | Note/Deff (Relative to CD) |
|---|---|---|---|---|
| Carrot | CD | 600–840 min (10–14 h) | 1× (baseline) | — |
| US + CD | 420–600 min (7–10 h) | 1.4–1.5× | Acceleration due to microchannels | |
| VMD | 120–180 min (2–3 h) | 5–7× | Volumetric heating + vacuum | |
| US + VMD | 90–140 min (1.5–2.3 h) | 6–9× | Maximum acceleration (Deff 3–5×) | |
| Beet | CD | 720–960 min (12–16 h) | 1× (baseline) | — |
| US + CD | 480–720 min (8–12 h) | 1.3–1.5× | Acceleration due to microchannels | |
| VMD | 100–160 min (1.7–2.7 h) | 6–9× | High sugar content accelerates | |
| US + VMD | 80–130 min (1.3–2.2 h) | 7–11× | Maximum acceleration (Deff 3–5×) | |
| Pumpkin | CD | 660–900 min (11–15 h) | 1× (baseline) | — |
| US + CD | 480–660 min (8–11 h) | 1.3–1.4× | Acceleration due to microchannels | |
| VMD | 140–200 min (2.3–3.3 h) | 4.5–6.5× | High fiber content slows down | |
| US + VMD | 110–170 min (1.8–2.8 h) | 5.5–8× | Maximum acceleration (Deff 3–5×) |
| Parameter | Carrot VMD | Carrot US + VMD | Beet VMD | Beet US + VMD | Pumpkin VMD | Pumpkin US +VMD | CD (Average Across Types) | US + CD (Average) |
|---|---|---|---|---|---|---|---|---|
| Moisture, % | 5.6 ± 0.3 | 5.4 ± 0.2 | 5.2 ± 0.2 | 5.1 ± 0.1 | 6.1 ± 0.4 | 5.9 ± 0.3 | 7.8 ± 0.5 | 7.4 ± 0.4 |
| aw | 0.30 ± 0.02 | 0.29 ± 0.01 | 0.28 ± 0.01 | 0.27 ± 0.01 | 0.33 ± 0.02 | 0.31 ± 0.02 | 0.43 ± 0.04 | 0.39 ± 0.03 |
| Carr’s index, % | 30.4 ± 1.2 | 26.8 ± 1.0 | 23.7 ± 0.9 | 22.5 ± 0.8 | 29.3 ± 1.1 | 25.9 ± 0.9 | 35.2 ± 1.8 | 32.1 ± 1.5 |
| Dispersibility (30 s), % | 78 ± 3 | 85 ± 2 | 82 ± 3 | 88 ± 2 | 72 ± 4 | 80 ± 3 | 62 ± 5 | 68 ± 4 |
| Pomace Type | Drying Method | β-Carotene (mg/100 g dw) | TPC (mg GAE/g dw) | DPPH (% Inhibition at 1 mg/mL) | FRAP (µmol TE/g dw) |
|---|---|---|---|---|---|
| Carrot | CD | 45–55 | 8.5–10.5 | 65–75 | 180–220 |
| US + CD | 65–75 | 11.0–13.5 | 78–85 | 240–280 | |
| VMD | 80–90 | 13.0–15.5 | 85–92 | 300–350 | |
| US + VMD | 85–95 (retention ~ 90%) | 14.5–17.0 | 88–95 | 320–380 | |
| Beetroot | CD | — (focus on betalains) | 12.0–15.0 | 70–80 | 220–260 |
| US + CD | — | 15.0–18.0 | 80–88 | 280–320 | |
| VMD | — | 17.0–20.0 | 85–93 | 340–390 | |
| US + VMD | — | 18.5–22.0 | 88–96 | 360–410 | |
| Pumpkin | CD | 25–35 | 6.0–8.0 | 55–65 | 140–180 |
| US + CD | 35–45 | 8.0–10.0 | 68–78 | 190–230 | |
| VMD | 45–55 | 9.5–12.0 | 75–85 | 240–280 | |
| US + VMD | 50–60 (retention ~ 90%) | 10.5–13.5 | 80–90 | 260–300 |
Disclaimer/Publisher’s Note: The statements, opinions and data contained in all publications are solely those of the individual author(s) and contributor(s) and not of MDPI and/or the editor(s). MDPI and/or the editor(s) disclaim responsibility for any injury to people or property resulting from any ideas, methods, instructions or products referred to in the content. |
© 2026 by the authors. Licensee MDPI, Basel, Switzerland. This article is an open access article distributed under the terms and conditions of the Creative Commons Attribution (CC BY) license.
Share and Cite
Tultabayeva, T.; Zhumanova, U.; Makangali, K.; Sagandyk, A.; Muldasheva, A.; Shoman, A.; Tultabayev, M. Comparative Evaluation of Drying Methods for Vegetable Waste Aimed at Producing Natural Functional Food Ingredients. Molecules 2026, 31, 1190. https://doi.org/10.3390/molecules31071190
Tultabayeva T, Zhumanova U, Makangali K, Sagandyk A, Muldasheva A, Shoman A, Tultabayev M. Comparative Evaluation of Drying Methods for Vegetable Waste Aimed at Producing Natural Functional Food Ingredients. Molecules. 2026; 31(7):1190. https://doi.org/10.3390/molecules31071190
Chicago/Turabian StyleTultabayeva, Tamara, Umyt Zhumanova, Kadyrzhan Makangali, Assem Sagandyk, Aknur Muldasheva, Aruzhan Shoman, and Mukhtar Tultabayev. 2026. "Comparative Evaluation of Drying Methods for Vegetable Waste Aimed at Producing Natural Functional Food Ingredients" Molecules 31, no. 7: 1190. https://doi.org/10.3390/molecules31071190
APA StyleTultabayeva, T., Zhumanova, U., Makangali, K., Sagandyk, A., Muldasheva, A., Shoman, A., & Tultabayev, M. (2026). Comparative Evaluation of Drying Methods for Vegetable Waste Aimed at Producing Natural Functional Food Ingredients. Molecules, 31(7), 1190. https://doi.org/10.3390/molecules31071190

