Optimizing Bioactive Profiles in Kolovi Olive Oils: Impact of Destoning, Harvest Timing, and Postharvest Factors on Phenolic, Tocopherol, Lutein, and Squalene Content
Abstract
1. Introduction
2. Results and Discussion
2.1. Nutritional Evaluation and Bioactive Profile
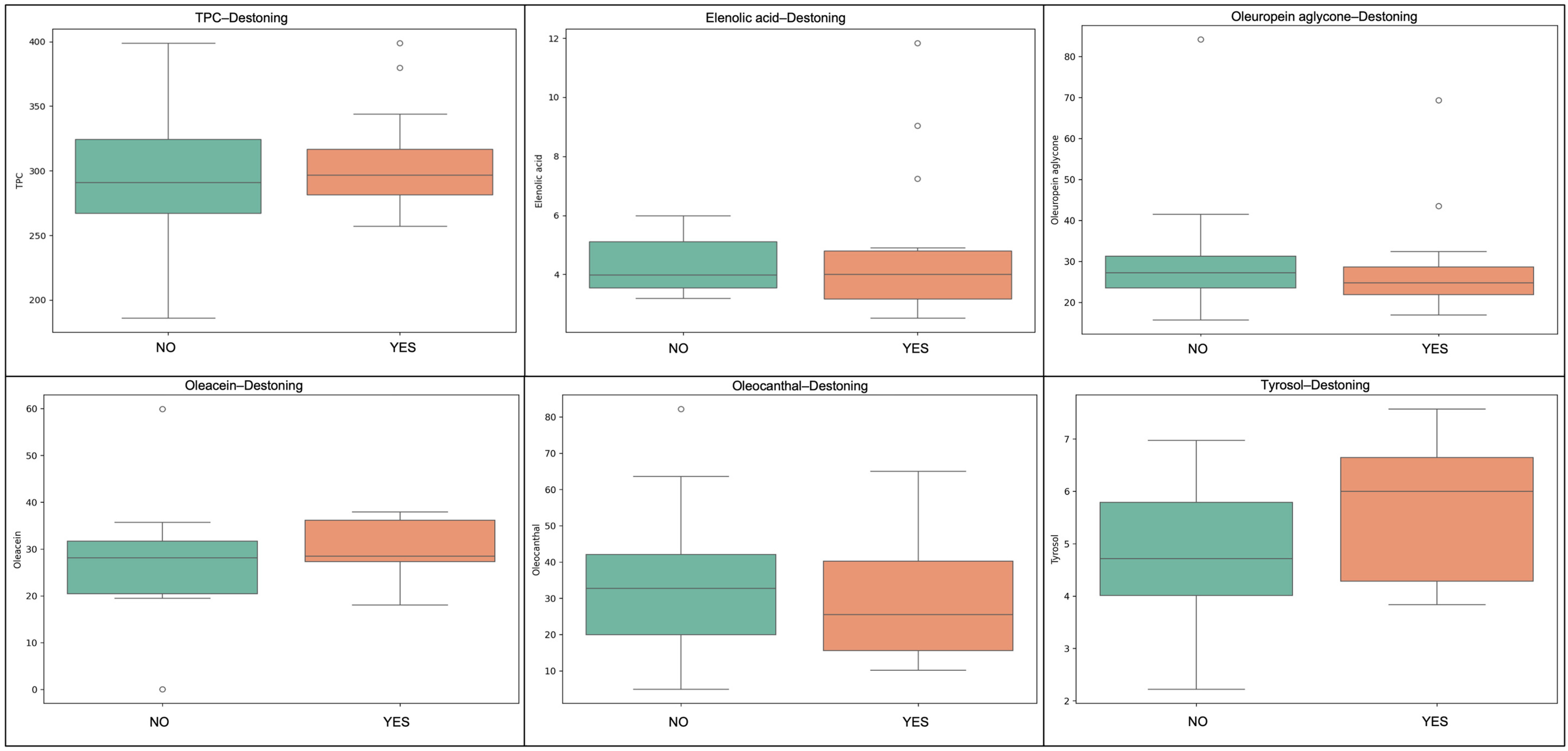
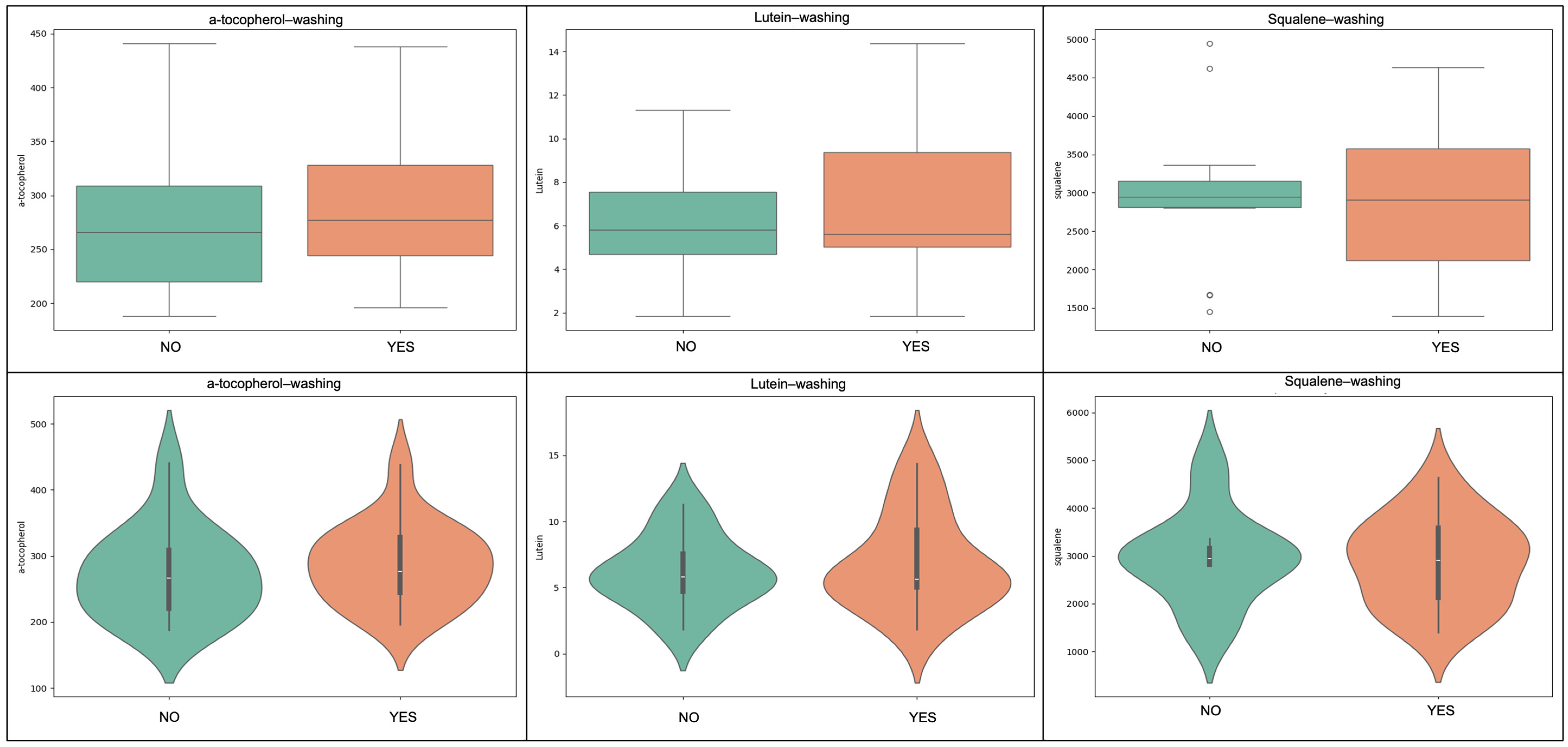
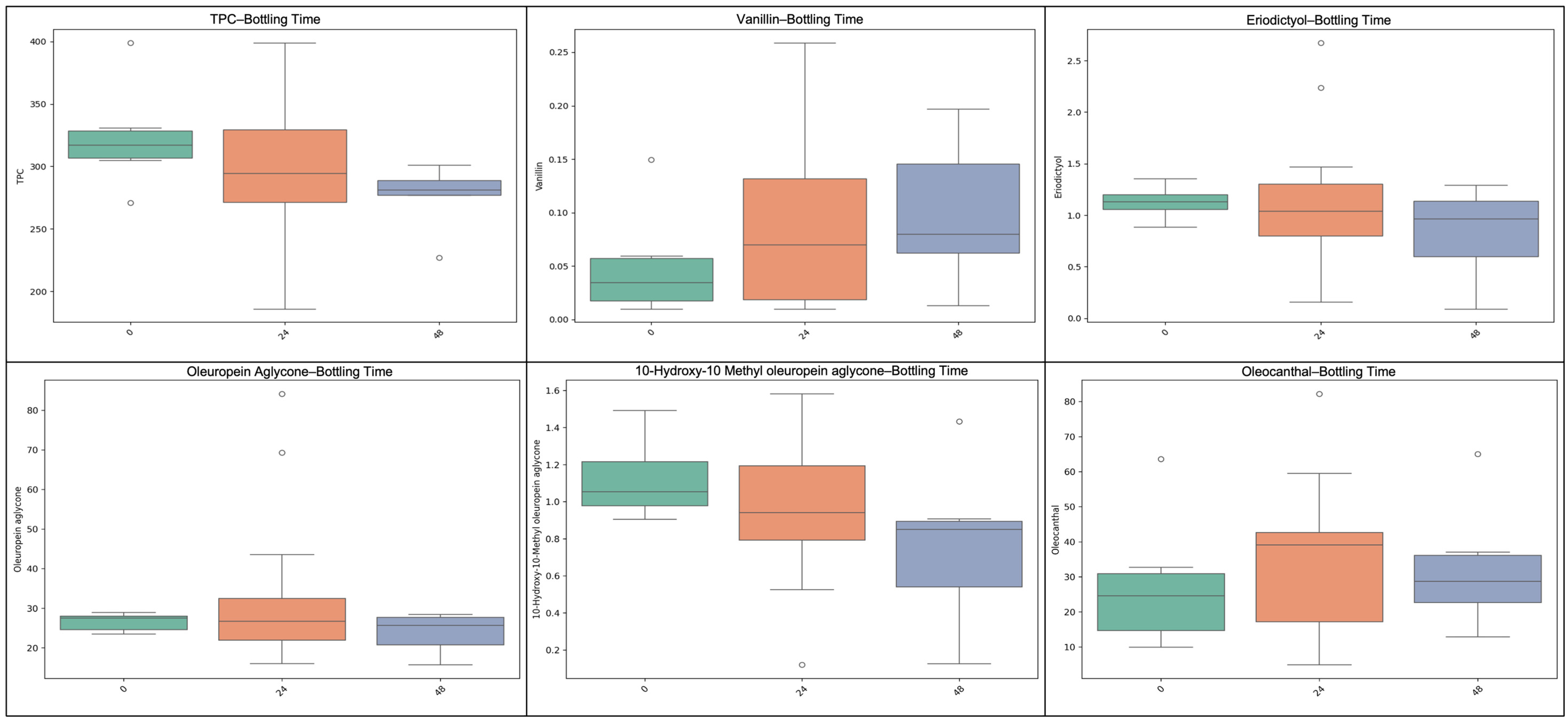
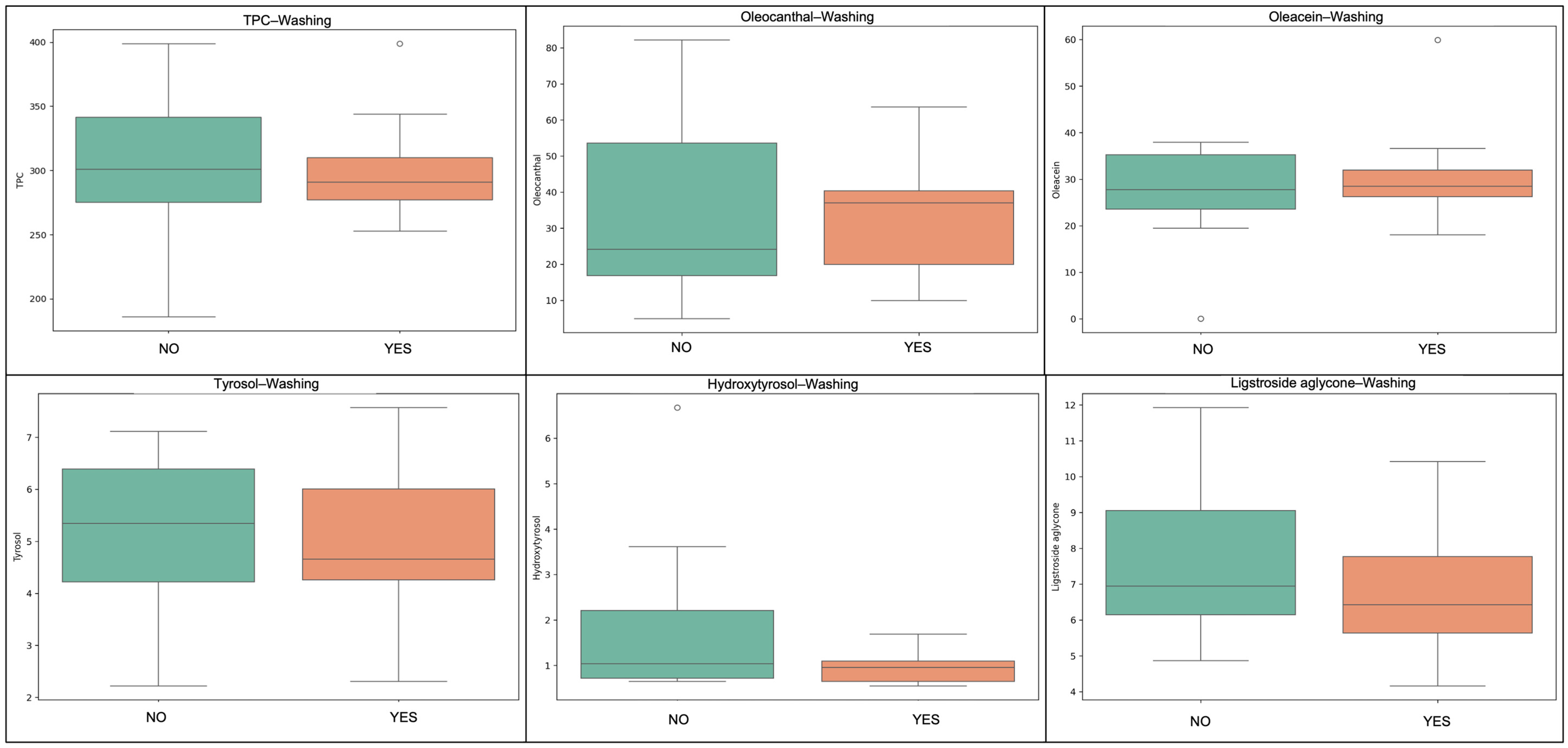
2.2. Effect of Agronomic and Processing Parameters
3. Materials and Methods
3.1. Chemicals and Standards
3.2. Sample Collection and Experimental Design
3.3. Phenolic Compound Analysis
3.3.1. Sample Preparation
3.3.2. Instrumental Conditions
3.4. Tocopherol, Pigment, and Squalene Analysis
3.4.1. Sample Preparation
3.4.2. Instrumental Conditions
3.5. Statistical Analysis
4. Conclusions
Supplementary Materials
Author Contributions
Funding
Institutional Review Board Statement
Informed Consent Statement
Data Availability Statement
Acknowledgments
Conflicts of Interest
Abbreviations
| EVOO | Extra Virgin Olive Oil |
| PGI | Protected Geographical Indication |
| EFSA | European Food Safety Authority |
| EU | European Union |
| TPC | Total Phenolic Content |
| UPLC | Ultra-Performance Liquid Chromatography |
| QTOF-MS | Quadrupole Time-of-Flight Mass Spectrometry |
| HPLC | High-Performance Liquid Chromatography |
| DAD | Diode Array Detector |
| LC-MS | Liquid Chromatography–Mass Spectrometry |
| ESI | Electrospray Ionization |
| PLS-DA | Partial Least Squares Discriminant Analysis |
| MeOH | Methanol |
| ACN | Acetonitrile |
| IPA | Isopropanol (2-Propanol) |
| NMR | Nuclear Magnetic Resonance |
| m/z | Mass-to-Charge Ratio |
| ΔtR | Retention Time Deviation |
| ANOVA | Analysis of Variance |
References
- Martakos, I.; Kostakis, M.; Dasenaki, M.; Pentogennis, M.; Thomaidis, N. Simultaneous Determination of Pigments, Tocopherols, and Squalene in Greek Olive Oils: A Study of the Influence of Cultivation and Oil-Production Parameters. Foods 2020, 9, 31. [Google Scholar] [CrossRef]
- Silva, S.; Gomes, L.; Leitão, F.; Coelho, A.V.; Boas, L.V. Phenolic Compounds and Antioxidant Activity of Olea Europaea L. Fruits and Leaves. Food Sci. Technol. Int. 2016, 12, 385–395. [Google Scholar] [CrossRef]
- Foti, M.C. Antioxidant Properties of Phenols. J. Pharm. Pharmacol. 2007, 59, 1673–1685. [Google Scholar] [CrossRef]
- Negro, C.; Aprile, A.; Luvisi, A.; Nicoli, F.; Nutricati, E.; Vergine, M.; Miceli, A.; Blando, F.; Sabella, E.; De Bellis, L. Phenolic Profile and Antioxidant Activity of Italian Monovarietal Extra Virgin Olive Oils. Antioxidants 2019, 8, 161. [Google Scholar] [CrossRef] [PubMed]
- European Commission. Commission Regulation (EU) No. 432/2012 Establishing a List of Permitted Health Claims Made on Foods, Other than Those Referring to the Reduction of Disease Risk and to Children’s Development and Health; European Commission: Brussels, Belgium, 2012. [Google Scholar]
- Boskou, D. Olive Fruit, Table Olives, and Olive Oil Bioactive Constituents; AOCS Press: Champaign, IL, USA, 2015; ISBN 9781630670429. [Google Scholar]
- Trapani, S.; Breschi, C.; Cecchi, L.; Guerrini, L.; Mulinacci, N.; Parenti, A.; Canuti, V.; Picchi, M.; Caruso, G.; Gucci, R.; et al. Indirect Indices of Oxidative Damage to Phenolic Compounds for the Implementation of Olive Paste Malaxation Optimization Charts. J. Food Eng. 2017, 207, 24–34. [Google Scholar] [CrossRef]
- Kalogiouri, N.P.; Aalizadeh, R.; Thomaidis, N.S. Investigating the Organic and Conventional Production Type of Olive Oil with Target and Suspect Screening by LC-QTOF-MS, a Novel Semi-Quantification Method Using Chemical Similarity and Advanced Chemometrics. Anal. Bioanal. Chem. 2017, 409, 5413–5426. [Google Scholar] [CrossRef]
- Kalogiouri, N.P.; Kritikou, E.; Martakos, I.C.; Lazarou, C.; Pentogennis, M.; Thomaidis, N.S. Characterization of the Phenolic Fingerprint of Kolovi Extra Virgin Olive Oils from Lesvos with Regard to Altitude and Farming System Analyzed by Uhplc-qtof-ms. Molecules 2021, 26, 5634. [Google Scholar] [CrossRef] [PubMed]
- Kritikou, E.; Kalogiouri, N.P.; Kostakis, M.; Kanakis, D.C.; Martakos, I.; Lazarou, C.; Pentogennis, M.; Thomaidis, N.S. Geographical Characterization of Olive Oils from the North Aegean Region Based on the Analysis of Biophenols with UHPLC-QTOF-MS. Foods 2021, 10, 2102. [Google Scholar] [CrossRef]
- Escudero, A.; Ramos, N.; La Rubia, M.D.; Pacheco, R. Influence of Extreme Storage Conditions on Extra Virgin Olive Oil Parameters: Traceability Study. J. Anal. Methods Chem. 2016, 2016, 7506807. [Google Scholar] [CrossRef]
- Gargouri, B.; Zribi, A.; Bouaziz, M. Effect of Containers on the Quality of Chemlali Olive Oil during Storage. J. Food Sci. Technol. 2015, 52, 1948–1959. [Google Scholar] [CrossRef]
- Servili, M. The Phenolic Compounds: A Commercial Argument in the Economic War to Come on the Quality of Olive Oil? Ocl 2014, 21, D509. [Google Scholar] [CrossRef]
- Nucciarelli, D.; García-González, D.L.; Veneziani, G.; Urbani, S.; Daidone, L.; Esposto, S.; Taticchi, A.; Selvaggini, R.; Servili, M. Extra Virgin Olive Oil from Stoned Olives with Oxygen Supply during Processing: Impact on Volatile and Phenolic Fraction and Sensory Characteristics. Foods 2024, 13, 3073. [Google Scholar] [CrossRef]
- Frangipane, M.T.; Cecchini, M.; Massantini, R.; Monarca, D. Extra Virgin Olive Oil from Destoned Fruits to Improve the Quality of the Oil and Environmental Sustainability. Foods 2022, 11, 1479. [Google Scholar] [CrossRef]
- Vichi, S.; Boynuegri, P.; Caixach, J.; Romero, A. Quality Losses in Virgin Olive Oil Due to Washing and Short-Term Storage before Olive Milling. Eur. J. Lipid Sci. Technol. 2015, 117, 2015–2022. [Google Scholar] [CrossRef]
- Segura-Borrego, M.P.; Ríos-Reina, R.; Puentes-Campos, A.J.; Jiménez-Herrera, B.; Callejón, R.M. Influence of the Washing Process and the Time of Fruit Harvesting throughout the Day on Quality and Chemosensory Profile of Organic Extra Virgin Olive Oils. Foods 2022, 11, 3004. [Google Scholar] [CrossRef]
- Bengana, M.; Bakhouche, A.; Lozano-Sánchez, J.; Amir, Y.; Youyou, A.; Segura-Carretero, A.; Fernández-Gutiérrez, A. Influence of Olive Ripeness on Chemical Properties and Phenolic Composition of Chemlal Extra-Virgin Olive Oil. Food Res. Int. 2013, 54, 1868–1875. [Google Scholar] [CrossRef]
- Jukić Špika, M.; Kraljić, K.; Koprivnjak, O.; Škevin, D.; Žanetić, M.; Katalinić, M. Effect of Agronomical Factors and Storage Conditions on the Tocopherol Content of Oblica and Leccino Virgin Olive Oils. JAOCS J. Am. Oil Chem. Soc. 2015, 92, 1293–1301. [Google Scholar] [CrossRef]
- European Commission Commisions Regulation (EU) No 1169/2011 of 25 October 2011 on the Provision of Food Information to Consumers, Amending Regulations (EC) No 1924/2006 and (EC) No 1925/2006. Off. J. Eur. Union 2011, 18–63.
- Drakopoulou, S.; Orfanakis, E.; Karagiannaki, I.; Gaitis, F.; Skoulika, S.; Papaioannou, A.; Boukouvalas, G.; Petropoulos, G.; Katsoudas, V.; Kontzedaki, R.; et al. Comparative Evaluation of Different Targeted and Untargeted Analytical Approaches to Assess Greek Extra Virgin Olive Oil Quality and Authentication. Molecules 2022, 27, 1350. [Google Scholar] [CrossRef] [PubMed]
- Bajoub, A.; Medina-Rodríguez, S.; Olmo-García, L.; Ajal, E.A.; Monasterio, R.P.; Hanine, H.; Fernández-Gutiérrez, A.; Carrasco-Pancorbo, A. In-Depth Two-Year Study of Phenolic Profile Variability among Olive Oils from Autochthonous and Mediterranean Varieties in Morocco, as Revealed by a LC-MS Chemometric Profiling Approach. Int. J. Mol. Sci. 2017, 18, 52. [Google Scholar] [CrossRef] [PubMed]
- Diamantakos, P.; Velkou, A.; Killday, K.; Gimisis, T.; Melliou, E.; Magiatis, P. Oleokoronal and Oleomissional: New Major Phenolic Ingredients of Extra Virgin Olive Oil. OLIVAE 2015, 122, 22–33. [Google Scholar]
- Dasenaki, M.E.; Drakopoulou, S.K.; Katsianou, P.A.; Martakos, I.C.; Thomaidis, N.S. Authentication of Olive Products with Liquid Chromatographic Techniques; World Scientific: Singapore, 2021; pp. 43–94. [Google Scholar]
- Kim, S.K.; Karadeniz, F. Biological Importance and Applications of Squalene and Squalane. In Advances in Food and Nutrition Research; Academic Press Inc.: Cambridge, MA, USA, 2012; Volume 65, pp. 223–233. [Google Scholar]
- Martinez-Beamonte, R.; Sanclemente, T.; Surra, J.C.; Osada, J. Could Squalene Be an Added Value to Use Olive By-Products? J. Sci. Food Agric. 2020, 100, 915–925. [Google Scholar] [CrossRef] [PubMed]
- Ochoa Becerra, M.; Mojica Contreras, L.; Hsieh Lo, M.; Mateos Díaz, J.; Castillo Herrera, G. Lutein as a Functional Food Ingredient: Stability and Bioavailability. J. Funct. Foods 2020, 66, 103771. [Google Scholar] [CrossRef]
- Fernández-Cuesta, A.; León, L.; Velasco, L.; De la Rosa, R. Changes in Squalene and Sterols Associated with Olive Maturation. Food Res. Int. 2013, 54, 1885–1889. [Google Scholar] [CrossRef]
- Lozano-Sánchez, J.; Bendini, A.; Quirantes-Piné, R.; Cerretani, L.; Segura-Carretero, A.; Fernández-Gutiérrez, A. Monitoring the Bioactive Compounds Status of Extra-Virgin Olive Oil and Storage by-Products over the Shelf Life. Food Control 2013, 30, 606–615. [Google Scholar] [CrossRef]
- Bendini, A.; Cerretani, L.; Carrasco-Pancorbo, A.; Gomez-Caravaca, A.M.; Segura-Carretero, A.; Fernandez-Gutierrez, A.; Lercker, G. Phenolic Molecules in Virgin Olive Oils: A Survey of Their Sensory Properties, Health Effects, Antioxidant Activity and Analytical Methods. An Overview of the Last Decade. Molecules 2007, 12, 1679–1719. [Google Scholar] [CrossRef] [PubMed]
- Langsrud, Ø. ANOVA for Unbalanced Data: Use Type II Instead of Type III Sums of Squares; Kluwer Academic Publishers: Dordrecht, The Netherlands, 2003; Volume 13. [Google Scholar]







| Analyte/Sample | Hydroxytyrosol | Luteolin | Oleacein | Oleocanthal | Oleokoronal | Oleomissional | Oleuropein Aglycone | Tyrosol | Total Phenolic Content |
|---|---|---|---|---|---|---|---|---|---|
| Sample 1 | 1.21 | 2.08 | 20.1 | 22.2 | 33.7 | 101 | 15.7 | 4.61 | 227 |
| Sample 2 | 6.68 | 1.98 | 0.3 | 4.9 | 40.0 | 96.8 | 16.0 | 2.22 | 186 |
| Sample 3 | 1.33 | 6.97 | 36.5 | 40.1 | 57.2 | 96.6 | 32.4 | 4.35 | 297 |
| Sample 4 | 1.44 | 7.91 | 31.9 | 37.0 | 55.8 | 88.7 | 27.8 | 4.38 | 277 |
| Sample 5 | 1.69 | 7.36 | 28.1 | 44.3 | 66.0 | 103 | 32.7 | 4.01 | 309 |
| Sample 6 | 3.62 | 1.40 | 37.9 | 51.4 | 110 | 86.8 | 69.3 | 3.84 | 399 |
| Sample 7 | 3.07 | 1.85 | 20.5 | 82.2 | 55.8 | 77.4 | 84.2 | 2.24 | 352 |
| Sample 8 | 0.98 | 7.25 | 18.1 | 40.4 | 96.2 | 113 | 43.5 | 4.06 | 344 |
| Sample 9 | 3.37 | 1.09 | 36.9 | 65.0 | 42.6 | 82.1 | 28.5 | 6.90 | 301 |
| Sample 10 | 0.76 | 7.91 | 19.5 | 31.4 | 40.0 | 76.7 | 31.3 | 4.72 | 231 |
| Sample 11 | 0.90 | 7.26 | 20.4 | 42.1 | 96.0 | 104 | 26.3 | 5.18 | 321 |
| Sample 12 | 0.84 | 7.49 | 20.7 | 38.5 | 77.9 | 84.4 | 24.8 | 4.32 | 277 |
| Sample 13 | 1.10 | 3.45 | 59.9 | 41.9 | 38.6 | 77.3 | 27.3 | 2.31 | 291 |
| Sample 14 | 0.96 | 6.87 | 23.8 | 33.2 | 76.7 | 95.1 | 27.4 | 4.26 | 285 |
| Sample 15 | 1.10 | 6.27 | 26.7 | 39.8 | 75.9 | 106 | 32.1 | 4.95 | 310 |
| Sample 16 | 1.02 | 7.00 | 26.6 | 32.7 | 90.9 | 122 | 27.2 | 5.35 | 399 |
| Sample 17 | 1.03 | 5.90 | 26.2 | 63.6 | 84.8 | 164 | 28.0 | 6.31 | 380 |
| Sample 18 | 1.20 | 6.97 | 27.5 | 55.7 | 83.1 | 155 | 23.3 | 7.11 | 322 |
| Sample 19 | 1.03 | 8.28 | 27.1 | 23.6 | 68.7 | 139 | 27.9 | 6.40 | 305 |
| Sample 20 | 1.06 | 7.06 | 28.4 | 25.6 | 74.5 | 112 | 28.9 | 7.12 | 410 |
| Sample 21 | 0.91 | 6.04 | 36.5 | 60.5 | 58.8 | 175 | 51.6 | 3.00 | 285 |
| Sample 22 | 0.80 | 6.33 | 29.3 | 24.1 | 68.0 | 113 | 23.9 | 6.67 | 290 |
| Sample 23 | 1.35 | 4.12 | 32.7 | 59.5 | 49.5 | 95.6 | 41.5 | 3.34 | 325 |
| Sample 24 | 0.59 | 6.72 | 36.6 | 23.0 | 65.4 | 111 | 17.0 | 7.57 | 285 |
| Sample 25 | 0.65 | 5.75 | 31.7 | 19.9 | 52.5 | 97.4 | 19.5 | 6.98 | 253 |
| Sample 26 | 0.66 | 4.95 | 34.8 | 16.2 | 58.1 | 112 | 22.0 | 6.00 | 273 |
| Sample 27 | 0.68 | 3.99 | 35.7 | 17.5 | 88.4 | 158 | 29.9 | 5.79 | 358 |
| Sample 28 | 0.79 | 4.37 | 35.0 | 15.0 | 62.8 | 93.4 | 21.7 | 6.01 | 257 |
| Sample 29 | 0.65 | 4.41 | 35.8 | 12.9 | 71.9 | 110 | 19.7 | 6.39 | 278 |
| Sample 30 | 0.62 | 4.04 | 29.9 | 11.4 | 62.8 | 114 | 22.8 | 5.79 | 267 |
| Sample 31 | 0.63 | 3.45 | 30.2 | 9.9 | 50.7 | 133 | 23.5 | 4.66 | 271 |
| Sample 32 | 0.66 | 3.16 | 27.8 | 10.2 | 54.0 | 156 | 20.8 | 4.84 | 292 |
| Sample 33 | 0.55 | 3.73 | 28.2 | 11.7 | 60.6 | 166 | 23.7 | 3.94 | 312 |
| Sample 34 | 0.62 | 3.33 | 30.4 | 10.9 | 50.1 | 153 | 26.5 | 3.19 | 293 |
| Sample/Analyte | α-Tocopherol | (β + γ)-Tocopherol | Squalene | Lutein |
|---|---|---|---|---|
| Sample 1 | 190 | 8.4 | 3168 | 5.8 |
| Sample 2 | 307 | 16 | 3026 | 10.6 |
| Sample 3 | 277 | 17 | 2805 | 5.5 |
| Sample 4 | 438 | 12 | 2909 | 14.4 |
| Sample 5 | 333 | 24 | 2127 | 10.4 |
| Sample 6 | 316 | 27 | 1676 | 6.2 |
| Sample 7 | 271 | 10 | 2803 | 8.5 |
| Sample 8 | 295 | 25 | 1831 | 5.6 |
| Sample 9 | 221 | 8.0 | 3008 | 4.8 |
| Sample 10 | 252 | 29 | 1450 | 8.6 |
| Sample 11 | 318 | 33 | 1681 | 10.7 |
| Sample 12 | 275 | 27 | 1999 | 6.2 |
| Sample 13 | 269 | 25 | 2124 | 5.0 |
| Sample 14 | 341 | 12 | 2792 | 5.5 |
| Sample 15 | 347 | 26 | 3754 | 13.3 |
| Sample 16 | 441 | 13 | 2872 | 11.3 |
| Sample 17 | 223 | 10 | 3362 | 9.4 |
| Sample 18 | 266 | 11 | 3364 | 6.3 |
| Sample 19 | 356 | 13 | 2914 | 5.6 |
| Sample 20 | 225 | 8.4 | 3135 | 5.5 |
| Sample 21 | 231 | 8.4 | 3446 | 5.7 |
| Sample 22 | 219 | 21 | 4948 | 5.6 |
| Sample 23 | 208 | 11 | 4616 | 4.6 |
| Sample 24 | 196 | 10 | 4093 | 1.8 |
| Sample 25 | 328 | 48 | 4636 | 6.4 |
| Sample 26 | 306 | 43 | 2828 | 4.3 |
| Sample 27 | 311 | 49 | 3146 | 6.6 |
| Sample 28 | 306 | 42 | 1394 | 4.3 |
| Sample 29 | 245 | 16 | 1666 | 2.2 |
| Sample 30 | 216 | 11 | 3602 | 4.2 |
| Sample 31 | 244 | 21 | 3578 | 6.1 |
| Sample 32 | 188 | 9.8 | 2949 | 1.8 |
| Sample 33 | 261 | 18 | 3076 | 2.4 |
| Sample 34 | 191 | 6.0 | 3076 | 8.4 |
| Sample | Harvest Month | Washing | Destoning | Bottling Delay |
|---|---|---|---|---|
| 1 | October | No | No | 48 |
| 2 | October | No | No | 24 |
| 3 | October | Yes | Yes | 24 |
| 4 | October | Yes | No | 48 |
| 5 | October | Yes | No | 24 |
| 6 | October | No | Yes | 24 |
| 7 | October | No | No | 24 |
| 8 | October | Yes | Yes | 24 |
| 9 | October | No | Yes | 48 |
| 10 | October | No | No | 24 |
| 11 | October | Yes | No | 24 |
| 12 | October | Yes | Yes | 24 |
| 13 | October | Yes | No | 24 |
| 14 | October | Yes | Yes | 48 |
| 15 | October | Yes | No | 24 |
| 16 | October | No | No | 0 |
| 17 | October | Yes | No | 0 |
| 18 | October | No | Yes | 24 |
| 19 | October | No | Yes | 0 |
| 20 | October | Yes | Yes | 0 |
| 21 | October | No | No | 48 |
| 22 | November | No | No | 48 |
| 23 | November | No | No | 24 |
| 24 | November | Yes | Yes | 24 |
| 25 | November | Yes | No | 24 |
| 26 | November | No | Yes | 24 |
| 27 | November | No | No | 24 |
| 28 | November | Yes | Yes | 24 |
| 29 | November | No | Yes | 48 |
| 30 | November | Yes | No | 24 |
| 31 | November | Yes | No | 0 |
| 32 | November | No | Yes | 24 |
| 33 | November | Yes | Yes | 0 |
| 34 | November | No | No | 48 |
Disclaimer/Publisher’s Note: The statements, opinions and data contained in all publications are solely those of the individual author(s) and contributor(s) and not of MDPI and/or the editor(s). MDPI and/or the editor(s) disclaim responsibility for any injury to people or property resulting from any ideas, methods, instructions or products referred to in the content. |
© 2026 by the authors. Licensee MDPI, Basel, Switzerland. This article is an open access article distributed under the terms and conditions of the Creative Commons Attribution (CC BY) license.
Share and Cite
Martakos, I.C.; Tzavellas, I.F.; Soultani, G.; Thomaidis, N.S. Optimizing Bioactive Profiles in Kolovi Olive Oils: Impact of Destoning, Harvest Timing, and Postharvest Factors on Phenolic, Tocopherol, Lutein, and Squalene Content. Molecules 2026, 31, 1181. https://doi.org/10.3390/molecules31071181
Martakos IC, Tzavellas IF, Soultani G, Thomaidis NS. Optimizing Bioactive Profiles in Kolovi Olive Oils: Impact of Destoning, Harvest Timing, and Postharvest Factors on Phenolic, Tocopherol, Lutein, and Squalene Content. Molecules. 2026; 31(7):1181. https://doi.org/10.3390/molecules31071181
Chicago/Turabian StyleMartakos, Ioannis C., Ilias F. Tzavellas, Georgia Soultani, and Nikolaos S. Thomaidis. 2026. "Optimizing Bioactive Profiles in Kolovi Olive Oils: Impact of Destoning, Harvest Timing, and Postharvest Factors on Phenolic, Tocopherol, Lutein, and Squalene Content" Molecules 31, no. 7: 1181. https://doi.org/10.3390/molecules31071181
APA StyleMartakos, I. C., Tzavellas, I. F., Soultani, G., & Thomaidis, N. S. (2026). Optimizing Bioactive Profiles in Kolovi Olive Oils: Impact of Destoning, Harvest Timing, and Postharvest Factors on Phenolic, Tocopherol, Lutein, and Squalene Content. Molecules, 31(7), 1181. https://doi.org/10.3390/molecules31071181

