Effect of Alkyl Chain Length and Hydroxyl Substitution on the Antioxidant Activity of Gallic Acid Esters
Abstract
1. Introduction
2. Results and Discussion
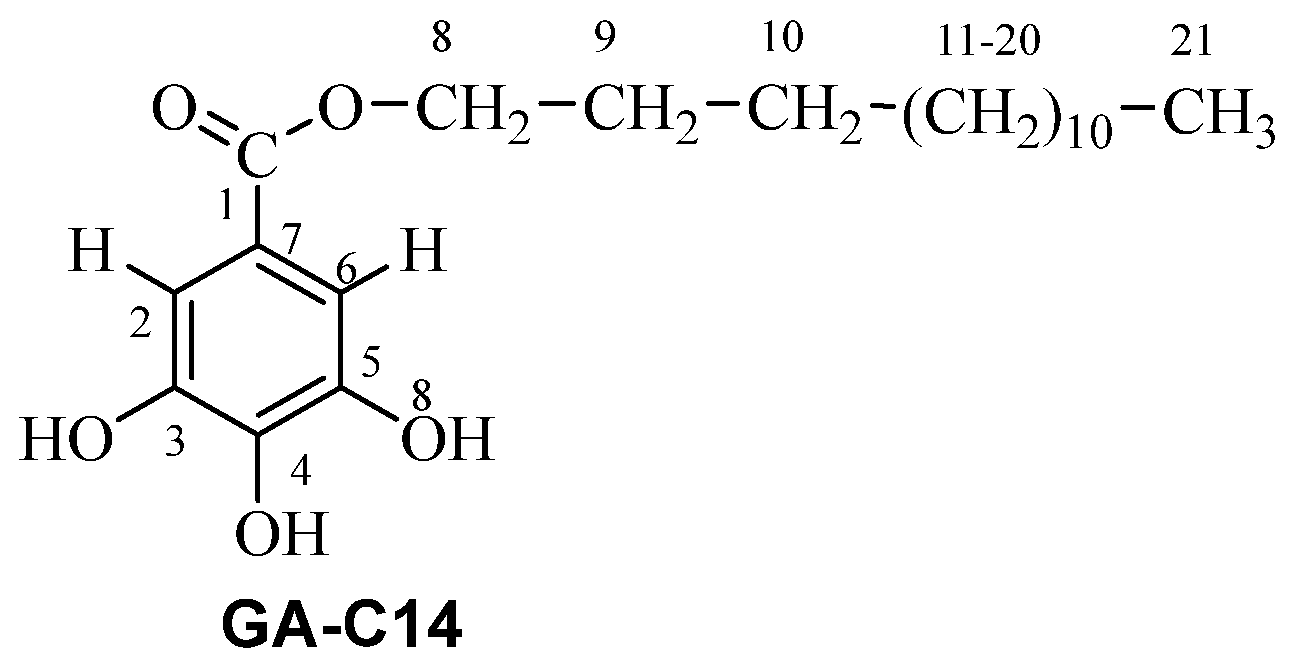
2.1. Characterization of Alkane Chain GA Esters
2.2. Characterization of GA-EG
2.3. Characterization of GA-GL
2.4. Characterization of GA-PT
2.5. Solubility
2.6. The Effect of GA Esters in Scavenging DPPH Free Radicals
2.7. Evaluation of GA Esters in Oil Oxidation Prevention
3. Materials and Methods
3.1. Materials
3.2. Synthesis of GA Alkyl Esters
3.3. Synthesis of GA-EG
3.4. Synthesis of GA-GL
3.5. Synthesis of GA-PT
3.6. Characterization
3.7. Determination of the Solubility
3.8. Determination of DPPH Radical Scavenging Capacity
3.9. Oxidation Resistance Measurement of Oil
3.10. Statistical Analysis
4. Conclusions
Supplementary Materials
Author Contributions
Funding
Institutional Review Board Statement
Informed Consent Statement
Data Availability Statement
Acknowledgments
Conflicts of Interest
References
- Ren, Y.Y.; Zhang, X.R.; Li, T.N.; Zeng, Y.J.; Wang, J.; Huang, Q.W. Galla Chinensis, a Traditional Chinese Medicine: Comprehensive review of botany, traditional uses, chemical composition, pharmacology and toxicology. J. Ethnopharmacol. 2021, 278, 114247. [Google Scholar] [CrossRef] [PubMed]
- Hadidi, M.; Atero, R.L.; Tarahi, M.; Christodoulou, M.C.; Aghababaei, F. The Potential Health Benefits of Gallic Acid: Therapeutic and Food Applications. Antioxidants 2024, 13, 1001. [Google Scholar] [CrossRef] [PubMed]
- Zhang, Y.; Zhang, Y.; Yi, J.; Cai, S. Phytochemical characteristics and biological activities of Rhus chinensis Mill.: A review. Curr. Opin. Food Sci. 2022, 48, 100925. [Google Scholar] [CrossRef]
- Keisuke, N.; Yasutomo, Y.; Hiroyo, I.; Taro, K.; Keiichi, S.; Yoshimi, N. Bactericidal action of photoirradiated gallic acid via reactive oxygen species formation. J. Agric. Food Chem. 2012, 60, 10048–10054. [Google Scholar] [CrossRef]
- Matija, S.; Tanja, R.; Jana, K.; Boris, P. Anti- and prooxidative properties of gallic acid in fenton-type systems. J. Agric. Food Chem. 2002, 50, 6313–6317. [Google Scholar] [CrossRef]
- Carmo, P.H.F.d.; Lage, A.C.P.; Soares da Silva, N.; Rosa Rezende, M.d.A.; Ferreira, G.F.; Garcia, M.T.; Mylonakis, E.; Junqueira, J.C. In Vitro Antifungal Activity of Gallic Acid-Coated Gold Nanorods against Candida albicans. ACS Appl. Nano Mater. 2025, 8, 18032–18041. [Google Scholar] [CrossRef]
- Shen, Y.; Li, S.; Qi, R.; Wu, C.; Yang, M.; Wang, J.; Cai, Z.; Liu, K.; Yue, J.; Guan, B.; et al. Assembly of Hexagonal Column Interpenetrated Spheres from Plant Polyphenol/Cationic Surfactants and Their Application as Antimicrobial Molecular Banks. Angew. Chem. 2021, 61, e202110938. [Google Scholar] [CrossRef]
- Lee, S.; Han, D.Y.; Kim, K.K. Gallic Acid Improves Muscular Function Through Enhanced Myoblast Myogenesis in Mice. Food Sci. Nutr. 2025, 13, e70667. [Google Scholar] [CrossRef]
- Behboodi-Sadabad, F.; Zhang, H.; Trouillet, V.; Welle, A.; Plumeré, N.; Levkin, P.A. UV-Triggered Polymerization, Deposition, and Patterning of Plant Phenolic Compounds. Adv. Funct. Mater. 2017, 27, 1700127. [Google Scholar] [CrossRef]
- Cai, D.; Wang, X.; Wang, Q.; Tong, P.; Niu, W.; Guo, X.; Yu, J.; Chen, X.; Liu, X.; Zhou, D.; et al. Controlled release characteristics of alkyl gallates and gallic acid from β-cyclodextrin inclusion complexes of alkyl gallates. Food Chem. 2024, 460, 140726. [Google Scholar] [CrossRef]
- Binder, C.F.; Manian, A.P.; Lenninger, M.; Ortlieb, S.; Bechtold, T.; Pham, T. Dyeing behaviour of iron(III)-gallic acid complexes on wool as function of pH-dependent iron(III)-complex stoichiometry. Dye. Pigment. 2025, 233, 112502. [Google Scholar] [CrossRef]
- Akbari, Y.H.A.; Rostami, M.; Sari, M.G.; Ramezanzadeh, B. pH-responsive anti-corrosion activity of gallic acid-intercalated MgAl LDH in acidic, neutral, and alkaline environments. Mater. Today Commun. 2024, 40, 109258. [Google Scholar] [CrossRef]
- Yeong, G.S.; Seungmi, H.; Mi-Ja, K.; JaeHwan, L. Gallic Acid Grafted Chitosan Has Enhanced Oxidative Stability in Bulk Oils. J. Food Sci. 2017, 82, 1608–1613. [Google Scholar] [CrossRef] [PubMed]
- Gi, P.S.; Mei-Xian, L.; Kyung, C.W.; Ki, J.Y.; Moo, H.K. Thermosensitive gallic acid-conjugated hexanoyl glycol chitosan as a novel wound healing biomaterial. Carbohydr. Polym. 2021, 260, 117808. [Google Scholar] [CrossRef]
- Yen, G.-C.; Duh, P.-D.; Tsai, H.-L. Antioxidant and pro-oxidant properties of ascorbic acid and gallic acid. Food Chem. 2002, 79, 307–313. [Google Scholar] [CrossRef]
- Cordova, C.A.S.d.; Locatelli, C.; Assunção, L.S.; Mattei, B.; Mascarello, A.; Winter, E.; Nunes, R.J.; Yunes, R.A.; Creczynski-Pasa, T.B. Octyl and dodecyl gallates induce oxidative stress and apoptosis in a melanoma cell line. Toxicol. Vitr. 2011, 25, 2025–2034. [Google Scholar] [CrossRef]
- Shahrzad, S.; Aoyagi, K.; Winter, A.; Koyama, A.; Bitsch, I. Pharmacokinetics of gallic acid and its relative bioavailability from tea in healthy humans. J. Nutr. 2001, 131, 1207–1210. [Google Scholar] [CrossRef]
- Dongye, C.; Chen, X.; Zhao, Y.; Li, H.; Abdallah, M.F.; Li, T.; Chen, X. Protective Effects of Octyl Gallate Against Deoxynivalenol-Induced Colon Inflammation: Insights from Proteomic and Metabolomic Analyses. Environ. Health 2025, 3, 515–525. [Google Scholar] [CrossRef]
- Zhang, X.; Xiao, J.; Huang, Y.; Liu, Y.; Hu, G.; Yan, W.; Yan, G.; Guo, Q.; Shi, J.; Han, R.; et al. Sustainable pest management using plant secondary metabolites regulated azadirachtin nano-assemblies. Nat. Commun. 2025, 16, 1721. [Google Scholar] [CrossRef]
- Miketova, P.H.; Schram, K.H.; Whitney, J.; Li, M.; Huang, R.; Kerns, E.; Valcic, S.; Timmermann, B.N.; Rourick, R.; Klohr, S. Tandem mass spectrometry studies of green tea catechins. Identification of three minor components in the polyphenolic extract of green tea. J. Mass. Spectrom. 2000, 35, 860–869. [Google Scholar] [CrossRef]
- Huang, W.-L.; Wang, X.-D.; Li, S.; Zhang, R.; Ao, Y.-F.; Tang, J.; Wang, Q.-Q.; Wang, D.-X. Anion Transporters Based on Noncovalent Balance including Anion−π, Hydrogen, and Halogen Bonding. J. Org. Chem. 2019, 84, 8859–8869. [Google Scholar] [CrossRef] [PubMed]
- Soleimani, A.; Risselada, H.J. Pure Graphene Acts as an “Entropic Surfactant” at the Octanol–Water Interface. ACS Nano 2023, 17, 13554–13562. [Google Scholar] [CrossRef] [PubMed]
- Wang, W.; Weber, M.E.; Vera, J.H. Effect of the concentration of DODMAC and 1-decanol on the behavior of reverse micelles in the extraction of amino acids. Biotechnol. Bioeng. 1995, 46, 343–350. [Google Scholar] [CrossRef] [PubMed]
- Ruan, Y.; Cai, D.; Li, Y.; Zhao, P.; Wu, Y.; Luo, S.; Li, N.; Yang, H.; Luo, S.; You, S.; et al. Preliminary Exploration of the Inhibitory Mechanism of Lauryl Alcohol on Plant Pathogenic Fungi. J. Agric. Food Chem. 2025, 73, 14564–14579. [Google Scholar] [CrossRef]
- Kung, H.C.; Goddard, E.D. Studies of Molecular Association in Pairs of Long-chain Compounds by Differential Thermal Analysis. I. Lauryl and Myristyl Alcohols and Sulfates. J. Phys. Chem. 1963, 67, 1965–1969. [Google Scholar] [CrossRef]
- Masoumi, K.; Mardani, H.; Roghani-Mamaqani, H.; Salami-Kalajahi, M. Reversible Thermochromic and Fluorescent Poly(methyl Methacrylate) Nanocapsules for Wearable Devices, Thermal Energy Regulation, and High-Security Anticounterfeiting Inks. ACS Appl. Mater. Interfaces 2025, 17, 18869–18886. [Google Scholar] [CrossRef]
- Somesh, P.; Prasad, S.; Deepak, S.; Amit, P. Synthesis and tribological properties of Guerbet alcohol from a mixture of C12–C14 fatty alcohol: Modeling using RSM, ANN. J. Am. Oil Chem. Soc. 2024, 102, 771–783. [Google Scholar] [CrossRef]
- Noa, M.; Mas, R. Protective Effect of Policosanol on Atherosclerotic Plaque on Aortas in Monkeys. Arch. Med. Res. 2005, 36, 441–447. [Google Scholar] [CrossRef]
- Liu, L.; Li, X.; Dong, G.; Zhang, H.; Tao, Y.F.; He, R.; Xu, J.; Ma, J.; Tang, B.; Zhou, B.; et al. Bioinspired Natural Shellac Dressing for Rapid Wound Sealing and Healing. ACS Appl. Mater. Interfaces 2023, 15, 43294–43308. [Google Scholar] [CrossRef]
- Isao, K.; Ken-Ichi, F.; Ken-Ichi, N. Anti-Salmonella activity of alkyl gallates. J. Agric. Food Chem. 2002, 50, 6692–6696. [Google Scholar]
- Wang, S.; Wang, H.; Yan, F.; Wang, J.; Liu, S. Development of Galloyl Antioxidant for Dispersed and Bulk Oils through Incorporation of Branched Phytol Chain. Molecules 2022, 27, 7301. [Google Scholar] [CrossRef] [PubMed]
- Cellante, L.; Costa, R.; Monaco, I.; Cenacchi, G.; Locatelli, E. One-step esterification of nanocellulose in a Brønsted acid ionic liquid for delivery to glioblastoma cancer cells. New J. Chem. 2018, 42, 5237–5242. [Google Scholar] [CrossRef]
- Zarmeena, K.; Fahed, J.; Zufishan, S.; Ainy, H.; Tahir, F.; Ambreen, A.; William, B.Z.; Fahad, R. Current developments in esterification reaction: A review on process and parameters. J. Ind. Eng. Chem. 2021, 103, 80–101. [Google Scholar] [CrossRef]
- Deng, X.; Han, P.X.; Hu, P.X.; Zheng, S.; Liu, D.K. Enzyme-Catalyzed Starch Esterification in Deep Eutectic Solvent. ChemistrySelect 2019, 4, 565–569. [Google Scholar] [CrossRef]
- Shamoto, K.; Miyazaki, A.; Matsukura, M.; Kobayashi, Y.; Shioiri, T.; Matsugi, M. A Nonenzymatic Kinetic Resolution of (±)-trans-2-Arylcyclohexanols via Esterification Using Polymer-Supported DCC, DMAP, and 3β-Acetoxyetienic Acid. Synth. Commun. 2013, 43, 1425–1431. [Google Scholar] [CrossRef]
- Foti, M.C. Use and Abuse of the DPPH(*) Radical. J. Agric. Food Chem. 2015, 63, 8765–8776. [Google Scholar] [CrossRef]
- Laguerre, M.; López Giraldo, L.J.; Lecomte, J.; Figueroa-Espinoza, M.-C.; Baréa, B.; Weiss, J.; Decker, E.A.; Villeneuve, P. Chain Length Affects Antioxidant Properties of Chlorogenate Esters in Emulsion: The Cutoff Theory Behind the Polar Paradox. J. Agric. Food Chem. 2009, 57, 11335–11342. [Google Scholar] [CrossRef]
- Yeo, J.; Shahidi, F. Critical Re-Evaluation of DPPH assay: Presence of Pigments Affects the Results. J. Agric. Food Chem. 2019, 67, 7526–7529. [Google Scholar] [CrossRef]
- Konopko, A.; Litwinienko, G. Mutual Activation of Two Radical Trapping Agents: Unusual “Win–Win Synergy” of Resveratrol and TEMPO during Scavenging of dpph• Radical in Methanol. J. Org. Chem. 2022, 87, 15530–15538. [Google Scholar] [CrossRef]
- Laguerre, M.; Lecomte, J.; Villeneuve, P. Evaluation of the ability of antioxidants to counteract lipid oxidation: Existing methods, new trends and challenges. Prog. Lipid Res. 2007, 46, 244–282. [Google Scholar] [CrossRef]
- Zhao, M.T.; Liu, Z.Y.; Zhao, G.H.; Li, D.Y.; Xia, G.H.; Yin, F.W.; Zhou, D.Y. Investigation of the antioxidation capacity of gallic acid and its alkyl esters with different chain lengths for dried oyster during ambient storage. Int. J. Food Sci. Technol. 2022, 57, 2435–2446. [Google Scholar] [CrossRef]
- Toshiya, M.; Kazuki, Y.; Jun, A.; Tatsushi, S.; Yuka, O.; Yoshio, T.; Motoo, T.; Katsuyuki, N.; Tomomi, M.; Yoshiaki, S. Antioxidation mechanism studies of caffeic acid: Identification of antioxidation products of methyl caffeate from lipid oxidation. J. Agric. Food Chem. 2008, 56, 5947–5952. [Google Scholar] [CrossRef]
- Giuseppe, C.; Silke, H.; Rüdiger, K.; Francesco, P.; Francesca, I.; Manuela, C.; Ilaria, P.O.; Gianfranco, S.U.; Nevio, P.; Albrecht, L.; et al. Antioxidant multi-walled carbon nanotubes by free radical grafting of gallic acid: New materials for biomedical applications. J. Pharm. Pharmacol. 2011, 63, 179–188. [Google Scholar] [CrossRef]














| GA | PG | GA-C28 | GA-EG | GA-GL | GA-PT | ||
|---|---|---|---|---|---|---|---|
| Entrey Solvents | Solubility (mg·mL−1) | ||||||
| 1 | Water | ≈16.6 | ≈7.5 | 0 | ≥50.0 | ≥50.0 | ≥50.0 |
| 2 | methanol | ≥50.0 | ≥50.0 | 0 | ≥50.0 | ≥50.0 | ≥50.0 |
| 3 | Ethanol | ≥50.0 | ≥50.0 | ≈3.4 | ≥50.0 | ≥50.0 | ≥50.0 |
| 4 | DMSO | ≥50.0 | ≥50.0 | 0 | ≥50.0 | ≥50.0 | ≥50.0 |
| 5 | DMF | ≥50.0 | ≥50.0 | ≈0.7 | ≥50.0 | ≥50.0 | ≥50.0 |
| 6 | 1,4-Dioxane | ≥50.0 | ≥50.0 | ≈0.9 | ≥50.0 | ≥50.0 | ≥50.0 |
| 7 | Acetone | ≥50.0 | ≥50.0 | ≈0.2 | ≈0.2 | ≈0.6 | ≈0.1 |
| 8 | Glycerol | ≥50.0 | ≥50.0 | 0 | ≈2.8 | ≈4.3 | ≈1.1 |
| 9 | PE | 0 | 0 | 0 | 0 | 0 | 0 |
| 10 | Cyclohexane | 0 | 0 | 0 | 0 | 0 | 0 |
| 11 | Ethyl acetate | ≥50.0 | ≥50.0 | ≈2.3 | ≈3.5 | ≈2.0 | ≈1.2 |
| 12 | oil | ≈0.4 | ≈0.1 | 0 | ≈0.2 | ≈0.4 | ≈0.2 |
Disclaimer/Publisher’s Note: The statements, opinions and data contained in all publications are solely those of the individual author(s) and contributor(s) and not of MDPI and/or the editor(s). MDPI and/or the editor(s) disclaim responsibility for any injury to people or property resulting from any ideas, methods, instructions or products referred to in the content. |
© 2026 by the authors. Licensee MDPI, Basel, Switzerland. This article is an open access article distributed under the terms and conditions of the Creative Commons Attribution (CC BY) license.
Share and Cite
Chen, Q.; Cui, S.; Zhang, W.; Dong, G.; Tang, B.; Ma, J.; Xu, J.; Zhang, J.; Liu, L. Effect of Alkyl Chain Length and Hydroxyl Substitution on the Antioxidant Activity of Gallic Acid Esters. Molecules 2026, 31, 210. https://doi.org/10.3390/molecules31020210
Chen Q, Cui S, Zhang W, Dong G, Tang B, Ma J, Xu J, Zhang J, Liu L. Effect of Alkyl Chain Length and Hydroxyl Substitution on the Antioxidant Activity of Gallic Acid Esters. Molecules. 2026; 31(2):210. https://doi.org/10.3390/molecules31020210
Chicago/Turabian StyleChen, Qi, Shuaiwei Cui, Wenwen Zhang, Gang Dong, Baoshan Tang, Jinju Ma, Juan Xu, Jun Zhang, and Lanxiang Liu. 2026. "Effect of Alkyl Chain Length and Hydroxyl Substitution on the Antioxidant Activity of Gallic Acid Esters" Molecules 31, no. 2: 210. https://doi.org/10.3390/molecules31020210
APA StyleChen, Q., Cui, S., Zhang, W., Dong, G., Tang, B., Ma, J., Xu, J., Zhang, J., & Liu, L. (2026). Effect of Alkyl Chain Length and Hydroxyl Substitution on the Antioxidant Activity of Gallic Acid Esters. Molecules, 31(2), 210. https://doi.org/10.3390/molecules31020210

