Screening of Bioactive Microalgae from Freshwaters, Collected in Hue, Vietnam: Cytotoxic Constituents from Dolichospermum smithii HU04
Abstract
1. Introduction
2. Results and Discussion
2.1. Sampling Sites and Environmental Characteristics
2.2. Optimization of Culture Media for Small-Scale Cultivation of Microalgae
2.3. Large-Scale Cultivation of D. smithii HU04
2.4. Cytotoxic Evaluation of Microalgal Extracts
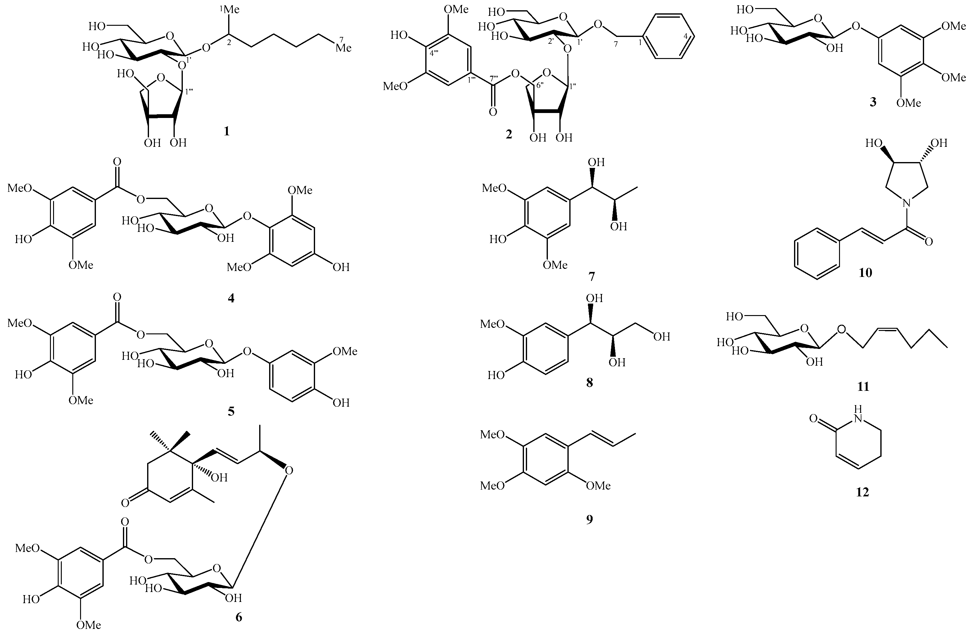
2.5. Structural Elucidation
2.6. Cytotoxic Evaluation
3. Material and Methods
3.1. General
3.2. Sampling and Sample Collection
3.3. Isolation Strains
3.4. Batch Cultivation and Harvesting Microalgae for Screening Cytotoxic Effects
3.5. Biomass Cultivation of D. smithii HU04
3.6. Extraction and Purification of Compounds
3.6.1. Smithioside A (1)
3.6.2. Smithioside B (2)
3.7. Acid Hydrolysis
3.8. Cytotoxic Assays
4. Conclusions
Supplementary Materials
Author Contributions
Funding
Institutional Review Board Statement
Informed Consent Statement
Data Availability Statement
Conflicts of Interest
References
- Naselli-Flores, L.; Padisák, J. Ecosystem services provided by marine and freshwater phytoplankton. Hydrobiologia 2023, 850, 2691–2706. [Google Scholar] [CrossRef]
- Bouyahya, A.; Bakrim, S.; Chamkhi, I.; Taha, D.; El Omari, N.; El Mneyiy, N.; El Hachlafi, N.; El-Shazly, M.; Khalid, A.; Abdalla, A.N.; et al. Bioactive substances of cyanobacteria and microalgae: Sources, metabolism, and anticancer mechanism insights. Biomed. Pharmacother. 2024, 170, 115989. [Google Scholar] [CrossRef]
- Dai, N.; Wang, Q.; Xu, B.; Chen, H. Remarkable natural biological resource of algae for medical applications. Front. Mar. Sci. 2022, 9, 912924. [Google Scholar] [CrossRef]
- Duong, T.T.; Jähnichen, S.; Le, T.P.Q.; Ho, C.T.; Hoang, T.K.; Nguyen, T.K.; Vu, T.N.; Dang, D.K. The occurrence of cyanobacteria and microcystins in the Hoan Kiem Lake and the Nui Coc reservoir (North Vietnam). Environ. Earth Sci. 2014, 71, 2419–2427. [Google Scholar] [CrossRef]
- El-Seedi, H.R.; El-Mallah, M.F.; Yosri, N.; Alajlani, M.; Zhao, C.; Mehmood, M.A.; Du, M.; Ullah, H.; Daglia, M.; Guo, Z.; et al. Review of marine cyanobacteria and the aspects related to their roles: Chemical, biological properties, nitrogen fixation and climate change. Mar. Drugs 2023, 21, 439. [Google Scholar] [CrossRef] [PubMed]
- Pertuit, D.; Mitaine-Offer, A.-C.; Miyamoto, T.; Tanaka, C.; Delemasure, S.; Dutartre, P.; Lacaille-Dubois, M.-A. A new aromatic compound from the stem bark of Terminalia catappa. Nat. Prod. Comm. 2015, 10, 1934578X1501000652. [Google Scholar] [CrossRef]
- Jiang, H.; Shen, Y.; Yasuda, E.; Chiba, M.; Terazawa, M. Phenolic glucosides from inner bark of Shirakamba Birch, Betula platyphylla Sukatchev var. japonica Hara: Six phenolic glucosides containing a new glucoside 4′-hydroxy-3′-methoxyphenol-β-D-[6-O-(4″-hydroxy-3″, 5″-dimethoxylbenzoate]-glucopyranoside. Eurasian J. For. Res. 2001, 3, 49–54. [Google Scholar]
- Machida, K.; Yogiashi, Y.; Matsuda, S.; Suzuki, A.; Kikuchi, M. A new phenolic glycoside syringate from the bark of Juglans mandshurica MAXIM. var. sieboldiana MAKINO. J. Nat. Med. 2009, 63, 220–222. [Google Scholar] [CrossRef] [PubMed]
- Wei, K.; Li, W.; Koike, K.; Liu, L.; Fu, X.; Lin, L.; Chen, Y.; Nikaido, T. Two new galloylglucosides from the leaves of Mallotus furetianus. Chem. Pharm. Bull. 2004, 52, 776–779. [Google Scholar] [CrossRef]
- Kuo, H.T.; Peng, C.F.; Huang, H.Y.; Lin, C.H.; Chen, I.S.; Tsai, I.L. Chemical constituents and antitubercular activity of formosan Pisonia umbellifera. Planta Med. 2011, 77, 736–741. [Google Scholar] [CrossRef]
- Ishikawa, T.; Fujimatu, E.; Kitajima, J. Water-soluble constituents of anise: New glucosides of anethole glycol and its related compounds. Chem. Pharm. Bull. 2002, 50, 1460–1466. [Google Scholar] [CrossRef]
- Siergiejczyk, L.; Poplawski, J.; Lozowicka, B.; Dubis, A.; Lachowska, B. 1H and 13C NMR spectral analysis of (E)-asarone and its isomers. Magn. Res. Chem. 2000, 38, 1037–1038. [Google Scholar] [CrossRef]
- Kasturi, S.; Surarapu, S.; Uppalanchi, S.; Anireddy, J.S.; Dwivedi, S.; Anantaraju, H.S.; Perumal, Y.; Sigalapalli, D.K.; Babu, B.N.; Ethiraj, K.S. Synthesis and α-glucosidase inhibition activity of dihydroxy pyrrolidines. Bioorg. Med. Chem. Lett. 2017, 27, 2818–2823. [Google Scholar] [CrossRef]
- Mizutani, K.; Yuda, M.; Tanaka, O.; Saruwatari, Y.I.; Fuwa, T.; Jia, M.; Ling, Y.K.; Pu, X.F. Chemical studies on Chinese traditional medicine, dangshen. I.: Isolation of (Z)-3-and (E)-2-hexenyl β-D-glucosids. Chem. Pharm. Bull. 1988, 36, 2689–2690. [Google Scholar] [CrossRef] [PubMed]
- Roman, B.I.; Monbaliu, J.C.; De Coen, L.M.; Verhasselt, S.; Schuddinck, B.; Van Hoeylandt, E.; Stevens, C.V. Feruloylbenzotriazole and weinreb amide as bioinspired building blocks: A reactivity study towards O-, N-, S-, and C-nucleophiles. Eur. J. Org. Chem. 2014, 2014, 2594–2611. [Google Scholar] [CrossRef]
- Thi Vien, L.; Thi Hong Hanh, T.; Quang, T.H.; Cuong, N.T.; Cuong, N.X.; Oh, H.; Sinh, N.V.; Nam, N.H.; Van Minh, C. Phenolic glycosides from Oroxylum indicum. Nat. Prod. Res. 2022, 36, 2336–2340. [Google Scholar] [CrossRef]
- Ersöz, T.; Saracoğlu, İ.; Harput, Ü.Ş.; Çaliş, İ.; Dönmez, A.A. Iridoid and phenylpropanoid glycosides from Phlomis grandiflora var. fimbrilligera and Phlomis fruticosa. Turk. J. Chem. 2002, 26, 171–177. [Google Scholar]
- Anh, B.T.M.; Trang, D.T.; Lan, H.T.T.; Van Kiem, P.; Tai, B.H.; Dung, N.V.; Nam, N.K.T.; Cuong, N.T.; Nhiem, N.X.; Mai, N.T. Constituents of Tinospora sinensis and their nitric oxide inhibitory activities. J. Asian Nat. Prod. Res. 2023, 25, 603–609. [Google Scholar] [CrossRef]
- Österholm, J.; Popin, R.V.; Fewer, D.P.; Sivonen, K. Phylogenomic analysis of secondary metabolism in the toxic cyanobacterial genera Anabaena, Dolichospermum and Aphanizomenon. Toxins 2020, 12, 248. [Google Scholar] [CrossRef] [PubMed]
- Al-Said, M.S.; El-Gazzar, M.G.; Ghorab, M.M. In-vitro cytotoxic and radiosensitizing evaluation of novel 2-pyridone, isoquinoline, chromene and chromenopyridone derivatives. Eur. J. Chem. 2012, 3, 228–234. [Google Scholar] [CrossRef]
- Uebel, T.; Wilken, M.; Vu Chi, H.; Esselen, M. In vitro combinatory cytotoxicity of hepatocarcinogenic asarone isomers and flavonoids. Toxicol. In Vitro 2019, 60, 19–26. [Google Scholar] [CrossRef]
- Allen, M.M. Simple conditions for growth of unicellular blue-green algae on plates 1, 2. J. Phycol. 1968, 4, 1–4. [Google Scholar] [CrossRef]
- Stanier, R.Y.; Kunisawa, R.; Mandel, M.; Cohen-Bazire, G. Purification and properties of unicellular blue-green algae (order Chroococcales). Bacteriol. Rev. 1971, 35, 171–205. [Google Scholar] [CrossRef]
- Kotai, J. Instructions for preparation of modified nutrient solution Z8 for algae. Nor. Inst. Water Res. 1972, 11, 5. [Google Scholar]
- Yadav, K.; Nikalje, G.C.; Pramanik, D.; Suprasanna, P.; Rai, M.P. Screening of the most effective media for bioprospecting three indigenous freshwater microalgae species. Int. J. Plant Biol. 2023, 14, 558–570. [Google Scholar] [CrossRef]
- Hoek, C.; Mann, D.G.; Jahns, H.M. Algae: An Introduction to Phycology; Cambridge University Press: Singapore, 1995. [Google Scholar]
- Anagnostidis, K.; Komarek, J. Modern approach to the classification system of cyanophytes 4-Nostocales. Algol. Stud. 1989, 56, 247–345. [Google Scholar]
- Vuong, N.Q.; Nam, N.H.; Hue, N.T.; Thanh, L.N.; Cuong, P.V.; Thao, V.M.; Hang, N.T.M.; Thu, V.K.; Nhiem, N.X. Two new phenolic glucosides from Curculigo orchioides and their cytotoxic effects. Phytochem. Lett. 2024, 60, 113–116. [Google Scholar] [CrossRef]




| No. | Code | Classification | Place of Collection |
|---|---|---|---|
| CYANOBACTERIA | |||
| Chroococcales | |||
| 1 | M.a. HU05 | Microcystis aeruginosa | Nhu Y river |
| 2 | M.v. HU13 | Microcystis viridis | Tinh Tam lake |
| Nostocales | |||
| 3 | A.c HU08 | Anabaena circinalis | Hoa My lake |
| 4 | A.f. HU02 | Aphanizomen flos-aquae | Huong river |
| 5 | D.s. HU04 | Dolichospermum smithii | Huong river |
| 6 | C.b. HU14 | Calothrix braunii | Tinh Tam lake |
| 7 | N.m. HU12 | Nostoc muscorum | Tinh Tam lake |
| 8 | N.p. HU11 | Nostoc punctiforme | Mung Lake |
| 9 | R.r. HU03 | Raphidiopsis raciborskii | Huong river |
| Oscillatoriales | |||
| 10 | L.s HU15 | Lyngbya spiralis | Tinh Tam lake |
| 11 | P.s HU16 | Phormidium stagnina | Mung lake |
| 12 | P.s. HU06 | Planktothrixsubtilis | Nhu Y river |
| CHLOROPHYTA | |||
| 13 | S.q. HU07 | Scenedesmus quadricauda | Hoa My lake |
| No. | Microalgae Name | Culture Medium | Dried Biomass (g/flask) | MeOH Extract (g) | Extraction Yield (%) | IC50 (µg/mL) | |
|---|---|---|---|---|---|---|---|
| SK-LU-1 | HepG2 | ||||||
| 1 | Microcystis aeruginosa | Z8 | 3.3 | 0.43 | 13.03 | 78.93 ± 7.42 | 47.39 ± 6.53 |
| 2 | Microcystis viridis | Z8 | 3.1 | 0.35 | 11.29 | 6.19 ± 0.80 | 4.89 ± 0.76 |
| 3 | Anabaena circinalis | Z8 | 3.0 | 0.37 | 12.33 | 88.55 ± 6.27 | 72.82 ± 3.99 |
| 4 | Aphanizomen flos-aquae | Z8 | 1.7 | 0.21 | 12.36 | >100 | >100 |
| 5 | Dolichospermum smithii | Z8 | 3.9 | 0.42 | 10.77 | 9.51 ± 0.84 | 8.32 ± 0.94 |
| 6 | Calothrix braunii | Z8 | 2.1 | 0.28 | 13.33 | >100 | >100 |
| 7 | Nostoc muscorum | Z8 | 2.9 | 0.36 | 12.41 | >100 | >100 |
| 8 | Nostoc punctiforme | Z8 | 3.0 | 0.46 | 15.33 | >100 | >100 |
| 9 | Raphidiopsis raciborskii | Z8 | 3.0 | 0.31 | 10.33 | >100 | >100 |
| 10 | Lyngbya spiralis | Z8 | 1.8 | 0.22 | 12.22 | >100 | >100 |
| 11 | Phormidium stagnina | Z8 | 1.5 | 0.20 | 13.33 | >100 | >100 |
| 12 | Planktothrixsubtilis | Z8 | 4.1 | 0.53 | 12.93 | >100 | >100 |
| 13 | Scenedesmus quadricauda | BBM | 4.2 | 0.52 | 12.62 | >100 | >100 |
| C | 1 | 2 | |||
|---|---|---|---|---|---|
| δC a | δH b (Mult., J = Hz) | δC a | δH b (Mult., J = Hz) | ||
| 1 | 19.6 | 1.18 (d, 6.0) | 138.9 | - | |
| 2 | 75.3 | 3.90 (m) | 129.2 | 7.34 (d, 7.8) | |
| 3 | 38.4 | 1.45 (m)/1.61 (m) | 129.2 | 7.22 (t, 7.8) | |
| 4 | 26.1 | 1.39 (m) | 128.6 | 7.17 (t, 7.8) | |
| 5 | 33.1 | 1.31 (m) | 129.2 | 7.22 (t, 7.8) | |
| 6 | 23.7 | 1.34 (m) | 129.2 | 7.34 (d, 7.8) | |
| 7 | 14.4 | 0.93 (t, 6.6) | 71.9 | 4.55 (d, 11.4) 4.91 (d, 11.4) | |
| 6-O-Glc | |||||
| 1′ | 100.7 | 4.41 (d, 7.8) | 102.2 | 4.44 (d, 7.8) | |
| 2′ | 78.6 | 3.33 (dd, 7.8, 9.0) | 78.9 | 3.50 (dd, 7.8, 9.6) | |
| 3′ | 78.8 | 3.49 (t, 9.0) | 78.6 | 3.48 (m) | |
| 4′ | 71.9 | 3.31 (t, 9.0) | 71.8 | 3.32 (m) | |
| 5′ | 77.7 | 3.24 (m) | 78.0 | 3.27 (m) | |
| 6′ | 62.9 | 3.68 (dd, 5.4, 12.0) 3.86 (dd, 2.4, 12.0) | 62.8 | 3.70 (dd, 6.0, 12.0) 3.90 (dd, 2.4, 12.0) | |
| 2′-O-Api | |||||
| 1″ | 110.5 | 5.41 (d, 1.8) | 110.4 | 5.44 (d, 1.2) | |
| 2″ | 78.0 | 3.95 (d, 1.8) | 78.5 | 4.01 (d, 1.2) | |
| 3″ | 80.8 | - | 79.2 | - | |
| 4″ | 75.4 | 3.73 (d, 9.6) 4.08 (d, 9.6) | 75.4 | 3.72 (d, 9.6) 4.04 (d, 9.6) | |
| 5″ | 66.3 | 3.62 (d, 11.4) 3.66 (d, 11.4) | 66.8 | 4.27 (d, 11.4) 4.40 (d, 11.4) | |
| 5″-O-Syr | |||||
| 1‴ | 121.0 | - | |||
| 2‴, 6‴ | 108.6 | 7.36 (s) | |||
| 3‴, 5‴ | 149.1 | - | |||
| 4‴ | 143.0 | - | |||
| 7‴ | 168.0 | - | |||
| 3‴/5‴-OMe | 57.0 | 3.90 (s) |
| Compound | IC50 (µM) | |
|---|---|---|
| SK-LU-1 | HepG2 | |
| 1 | >100 | >100 |
| 2 | >100 | >100 |
| 3 | >100 | >100 |
| 4 | 79.80 ± 1.34 | 67.53 ± 2.87 |
| 5 | 51.47 ± 4.31 | 44.81 ± 1.32 |
| 6 | 29.77 ± 1.56 | 25.99 ± 2.17 |
| 7 | >100 | >100 |
| 8 | >100 | >100 |
| 9 | 84.06 ± 6.53 | 67.12 ± 5.91 |
| 10 | 74.69 ± 3.54 | 61.05 ± 3.50 |
| 11 | >100 | >100 |
| 12 | 9.13 ± 0.89 | 7.64 ± 0.46 |
| Ellipticine | 3.51 ± 0.38 | 3.42 ± 0.45 |
Disclaimer/Publisher’s Note: The statements, opinions and data contained in all publications are solely those of the individual author(s) and contributor(s) and not of MDPI and/or the editor(s). MDPI and/or the editor(s) disclaim responsibility for any injury to people or property resulting from any ideas, methods, instructions or products referred to in the content. |
© 2026 by the authors. Licensee MDPI, Basel, Switzerland. This article is an open access article distributed under the terms and conditions of the Creative Commons Attribution (CC BY) license.
Share and Cite
Hang, N.T.M.; Ha, N.T.T.; Manh, H.D.; Thuy, D.T.; Quynh, H.T.; Lien, N.T.T.; Oanh, N.T.T.; Giap, T.H.; Tai, B.H.; Huong, D.T.M.; et al. Screening of Bioactive Microalgae from Freshwaters, Collected in Hue, Vietnam: Cytotoxic Constituents from Dolichospermum smithii HU04. Molecules 2026, 31, 165. https://doi.org/10.3390/molecules31010165
Hang NTM, Ha NTT, Manh HD, Thuy DT, Quynh HT, Lien NTT, Oanh NTT, Giap TH, Tai BH, Huong DTM, et al. Screening of Bioactive Microalgae from Freshwaters, Collected in Hue, Vietnam: Cytotoxic Constituents from Dolichospermum smithii HU04. Molecules. 2026; 31(1):165. https://doi.org/10.3390/molecules31010165
Chicago/Turabian StyleHang, Nguyen Thi Minh, Nguyen Thi Thu Ha, Hoang Duc Manh, Duong Thi Thuy, Hoang Thi Quynh, Nguyen Thi Thu Lien, Nguyen Thi Tu Oanh, Tran Huu Giap, Buu Huu Tai, Doan Thi Mai Huong, and et al. 2026. "Screening of Bioactive Microalgae from Freshwaters, Collected in Hue, Vietnam: Cytotoxic Constituents from Dolichospermum smithii HU04" Molecules 31, no. 1: 165. https://doi.org/10.3390/molecules31010165
APA StyleHang, N. T. M., Ha, N. T. T., Manh, H. D., Thuy, D. T., Quynh, H. T., Lien, N. T. T., Oanh, N. T. T., Giap, T. H., Tai, B. H., Huong, D. T. M., Anh, N. Q., & Nhiem, N. X. (2026). Screening of Bioactive Microalgae from Freshwaters, Collected in Hue, Vietnam: Cytotoxic Constituents from Dolichospermum smithii HU04. Molecules, 31(1), 165. https://doi.org/10.3390/molecules31010165
