Optimization of Zinc and Aluminum Hydroxyquinolines for Applications as Semiconductors in Molecular Electronics
Abstract
1. Introduction
2. Materials and Methods
2.1. Fabrication of Dispersed Heterojunction Films
2.2. Computational Method
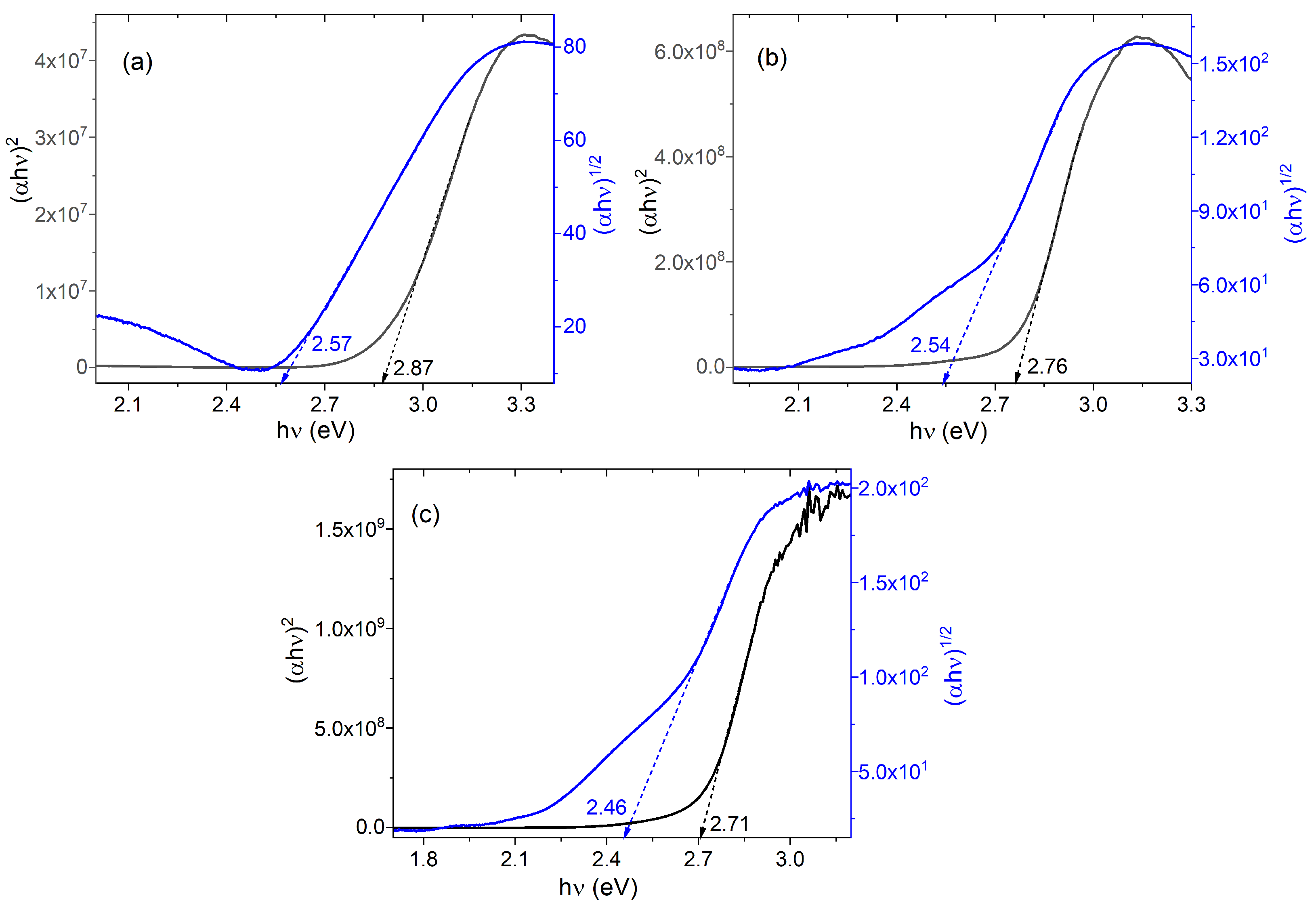
3. Results and Discussion
Optimization of Hydroxyquinolines
4. Conclusions
Supplementary Materials
Author Contributions
Funding
Institutional Review Board Statement
Informed Consent Statement
Data Availability Statement
Acknowledgments
Conflicts of Interest
References
- Aut Sawatzki-Park, M.; Wang, S.-J.; Kleemann, H.; Leo, K. Highly Ordered Small Molecule Organic Semiconductor Thin-Films Enabling Complex, High-Performance Multi-Junction Devices. Chem. Rev. 2023, 123, 8232–8250. [Google Scholar] [CrossRef]
- Giannini, S.; Blumberger, J. Charge Transport in Organic Semiconductors: The Perspective from Nonadiabatic Molecular Dynamics. Acc. Chem. Res. 2022, 55, 819–830. [Google Scholar] [CrossRef]
- Kim, K.; Yoo, H.; Lee, E.K. New Opportunities for Organic Semiconducting Polymers in Biomedical Applications. Polymers 2022, 14, 2960. [Google Scholar] [CrossRef] [PubMed]
- Bronstein, H.; Nielsen, C.B.; Schroeder, B.C.; McCulloch, I. The role of chemical design in the performance of organic semiconductors. Nat. Rev. Chem. 2020, 4, 66–77. [Google Scholar] [CrossRef] [PubMed]
- Okamoto, T.; Kumagai, S.; Fukuzaki, E.; Ishii, H.; Watanabe, G.; Niitsu, N.; Annaka, T.; Yamagishi, M.; Tani, Y.; Sugiura, H.; et al. Robust, high-performance n-type organic semiconductors. Sci. Adv. 2020, 6, eaaz0632. [Google Scholar] [CrossRef]
- Gao, C.; Wong, W.W.H.; Qin, Z.; Lo, S.; Namdas, E.B.; Dong, H.; Hu, W. Application of Triplet-Triplet Annihilation Upconversion in Organic Optoelectronic Devices: Advances and Perspectives. Adv. Mater. 2021, 33, 2100704. [Google Scholar] [CrossRef] [PubMed]
- Zhao, Z.; Liu, K.; Liu, Y.; Guo, Y.; Liu, Y. Intrinsically flexible displays: Key materials and devices. Nat. Sci. Rev. 2022, 9, nwac090. [Google Scholar] [CrossRef]
- Zhang, Y.; Guo, L.; Zhu, X.; Sun, X. The Application of Organic Semiconductor Materials in Spintronics. Front. Chem. 2020, 8, 589207. [Google Scholar] [CrossRef] [PubMed]
- Kim, J.H.; Schembri, T.; Bialas, D.; Stolte, M.; Würthner, F. Slip-Stacked J-Aggregate Materials for Organic Solar Cells and Photodetectors. Adv. Mater. 2021, 34, 2104678. [Google Scholar] [CrossRef]
- Borchert, J.W.; Weitz, R.T.; Ludwigs, S.; Klauk, H. A Critical Outlook for the Pursuit of Lower Contact Resistance in Organic Transistors. Adv. Mater. 2021, 34, 2104075. [Google Scholar] [CrossRef]
- Nakayama, Y.; Kera, S.; Ueno, N. Photoelectron Spectroscopy on Single Crystals of Organic Semiconductors: Experimental Electronic Band Structure for Optoelectronic Properties. J. Mater. Chem. C 2020, 8, 9090–9132. [Google Scholar] [CrossRef]
- Murawski, C.; Gather, M.C. Emerging Biomedical Applications of Organic Light-Emitting Diodes. Adv. Opt. Mater. 2021, 9, 2100269. [Google Scholar] [CrossRef]
- Inoue, S.; Higashino, T.; Nikaido, K.; Miyata, R.; Matsuoka, S.; Tanaka, M.; Tsuzuki, S.; Horiuchi, S.; Kondo, R.; Sagayama, R.; et al. Control of Polar/Antipolar Layered Organic Semiconductors by the Odd-Even Effect of Alkyl Chain. Adv. Sci. 2024, 11, 2308270. [Google Scholar] [CrossRef] [PubMed]
- Sharma, S.; Gaurav, K.V.; Nagamatsu, S.; Pandey, S.S. The Influence of a Microstructural Conformation of Oriented Floating Films of Semiconducting Polymers on Organic Device Performance. Polymers 2024, 16, 710. [Google Scholar] [CrossRef] [PubMed]
- Hofmann, A.; Schmid, M.; Brütting, W. The Many Facets of Molecular Orientation in Organic Optoelectronics. Adv. Opt. Mater. 2021, 9, 2101004. [Google Scholar] [CrossRef]
- Summers, K.L.; Pushie, M.J.; Sopasis, G.J.; James, A.K.; Dolgova, N.V.; Sokaras, D.; Kroll, T.; Harris, H.H.; Pickering, I.J.; George, G.N. Solution Chemistry of Copper(II) Binding to Substituted 8-Hydroxyquinolines. Inorg. Chem. 2020, 59, 13858–13874. [Google Scholar] [CrossRef]
- Saadeh, H.A.; Sweidan, K.A.; Mubarak, M.S. Recent Advances in the Synthesis and Biological Activity of 8-Hydroxyquinolines. Molecules 2020, 25, 4321. [Google Scholar] [CrossRef]
- Al-Farhan, B.S.; Basha, M.T.; Abdel Rahman, L.H.; El-Saghier, A.M.M.; Abou El-Ezz, D.; Marzouk, A.A.; Shehata, M.R.; Abdalla, E.M. Synthesis, DFT Calculations, Antiproliferative, Bactericidal Activity and Molecular Docking of Novel Mixed-Ligand Salen/8-Hydroxyquinoline Metal Complexes. Molecules 2021, 26, 4725. [Google Scholar] [CrossRef]
- Sánchez Vergara, M.E.; Cantera Cantera, L.A.; Rios, C.; Salcedo, R.; Lozada Flores, O.; Dutt, A. Preparation of Hybrid Films Based in Aluminum 8-Hydroxyquinoline as Organic Semiconductor for Photoconductor Applications. Sensors 2023, 23, 7708. [Google Scholar] [CrossRef]
- Sangwan, A.; Antim, N.; Shrivastava, A.; Kumar, S.; Kumar, V.; Kumar, A. Zinc Quinoline Complexes: Solvent Effects on Optical Properties, Charge Transport Study, and OFET Applications. J. Mater. Sci. Mater. Electron. 2023, 34, 11087. [Google Scholar] [CrossRef]
- Park, J.; Kim, S.; Choi, J.; Yoo, S.H.; Oh, S.; Kim, D.H.; Park, D.H. Fine Fabrication and Optical Waveguide Characteristics of Hexagonal tris(8-hydroxyquinoline)aluminum(III) (Alq3) Crystal. Crystals 2020, 10, 260. [Google Scholar] [CrossRef]
- Sypniewska, M.; Pokladko-Kowar, M.; Gondek, E.; Apostoluk, A.; Kamedulski, P.; Smokal, V.; Song, P.; Liu, J.; Szczesny, R.; Derkowska-Zielinska, B. Organic LEDs Based on Bis(8-hydroxyquinoline) Zinc Derivatives with a Styryl Group. Molecules 2023, 28, 7435. [Google Scholar] [CrossRef]
- Debsharma, M.; Pramanik, T.; Daka, C.; Mukherjee, R. Recent Advances in the Electrical and Optical Properties of Alq3 and Alq3 Derivatives Based OLEDS. J. Phys. Conf. Ser. 2022, 2267, 012159. [Google Scholar] [CrossRef]
- Li, S.; Wen, H.; Yuan, N.; Xie, P.; Qin, J.; Wang, Z. Synthesis, Characterization and Computational Studies of Zn Complex Based on the 8-Hydroxyquinoline Group Containing Benzimidazole. RSC Adv. 2020, 10, 32490–32496. [Google Scholar] [CrossRef] [PubMed]
- Rosa, N.M.P.; Borges, I., Jr. Review on the DFT computation of bulk heterojunction and dye-sensitized organic solar cell properties. J. Mol. Model. 2025, 31, 83. [Google Scholar] [CrossRef] [PubMed]
- Sánchez-Vergara, M.E.; Rios, C.; Jiménez-Sandoval, O.; Salcedo, R. A Comparative Study of the Semiconductor Behavior of Organic Thin Films: TCNQ-Doped Cobalt Phthalocyanine and Cobalt Octaethylporphyrin. Molecules 2020, 25, 5800. [Google Scholar] [CrossRef]
- Muramatsu, S.; Chaki, N.; Kinoshita, S.; Inokuchi, Y.; Abe, M.; Iimori, T.; Ebata, T. New Aspect of Photophysics of 7,7,8,8-Tetracyanoquinodimethane and Its Solvated Complexes: Intra- vs. Inter-Molecular Charge-Transfer. RSC Adv. 2021, 11, 22381–22389. [Google Scholar] [CrossRef]
- Payne, S.; Andrusenko, I.; Papi, F.; Potticary, J.; Gemmi, M.; Hall, S.R. The Crystal Structure and Electronic Properties of Three Novel Charge Transfer Co-Crystals TCNQFn–Triphenylene (n = 0, 2, 4). CrystEngComm 2023, 25, 828–834. [Google Scholar] [CrossRef]
- Blowey, P.J.; Sohail, B.; Rochford, L.A.; Lafosse, T.; Duncan, D.A.; Ryan, P.T.P.; Warr, D.A.; Lee, T.; Costantini, G.; Maurer, R.J.; et al. Alkali Doping Leads to Charge-Transfer Salt Formation in a Two-Dimensional Metal–Organic Framework. ACS Nano 2020, 14, 7475–7483. [Google Scholar] [CrossRef]
- Mohitkar, A.; Goel, S.; Jayanty, S. Efficient Standalone Flexible Small Molecule Organic Solar Cell Devices: Structure-Performance Relation Among Tetracyanoquinodimethane Derivatives. ACS Omega 2023, 8, 40836–40847. [Google Scholar] [CrossRef]
- Raczyński, K.; Pihut, A.; Panek, J.J.; Jezierska, A. Competition of Intra- and Intermolecular Forces in Anthraquinone and Its Selected Derivatives. Molecules 2021, 26, 3448. [Google Scholar] [CrossRef] [PubMed]
- Gallmetzer, J.M.; Kröll, S.; Werner, D.; Wielend, D.; Irimia-Vladu, M.; Portenkirchner, E.; Sariciftci, N.S.; Hofer, T.S. Anthraquinone and Its Derivatives as Sustainable Materials for Electrochemical Applications—A Joint Experimental and Theoretical Investigation of the Redox Potential in Solution. Phys. Chem. Chem. Phys. 2022, 24, 16207–16219. [Google Scholar] [CrossRef]
- Grabowska, I.; Hepel, M.; Kurzątkowska-Adaszyńska, K. Advances in Design Strategies of Multiplex Electrochemical Aptasensors. Sensors 2022, 22, 161. [Google Scholar] [CrossRef]
- Werner, D.; Apaydin, D.H.; Wielend, D.; Geistlinger, K.; Saputri, W.D.; Griesser, U.J.; Dražević, E.; Hofer, T.S.; Portenkirchner, E. Analysis of the Ordering Effects in Anthraquinone Thin Films and Its Potential Application for Sodium Ion Batteries. J. Phys. Chem. C 2021, 125, 3745–3757. [Google Scholar] [CrossRef] [PubMed]
- Korte, D.; Pavlica, E.; Klančar, D.; Bratina, G.; Pawlak, M.; Gondek, E.; Song, P.; Liu, J.; Derkowska-Zielinska, B. Influence of P3HT:PCBM Ratio on Thermal and Transport Properties of Bulk Heterojunction Solar Cells. Materials 2023, 16, 617. [Google Scholar] [CrossRef] [PubMed]
- Lai, T.; Manthiram, A. Phloroglucinol–2,6-Diaminoanthraquinone as a Durable Redox Mediator for Enhancing Conversion Reaction Kinetics in Lithium-Sulfur Batteries. Adv. Funct. Mater. 2024, 34, 2405814. [Google Scholar] [CrossRef]
- Becke, A.D. Density-Functional Exchange-Energy Approximation with Correct Asymptotic Behavior. Phys. Rev. A 1988, 38, 3098. [Google Scholar] [CrossRef]
- Perdew, J.P.; Wang, Y. Accurate and simple analytic representation of the electron-gas correlation energy. Phys. Rev. B 1992, 45, 13244–13249. [Google Scholar] [CrossRef]
- Frisch, M.J.; Trucks, G.W.; Schlegel, H.B.; Scuseria, G.E.; Robb, M.A.; Cheeseman, J.R.; Scalmani, G.; Barone, V.; Petersson, G.A.; Nakatsuji, H.; et al. Gaussian16, Revision A.03; Gaussian Inc.: Wallingford, CT, USA, 2017; Available online: https://gaussian.com/ (accessed on 1 September 2016).
- Crowley, J.M.; Tahir-Kheli, J.; Goddard, W.A., III. Resolution of the band gap prediction problem for material design. J. Phys. Chem. Lett. 2016, 7, 1198–1203. [Google Scholar] [CrossRef]
- Perdew, J.P.; Burke, K.; Ernzerhof, M. Generalized gradient approximation made simple. Phys. Rev. Lett. 1996, 77, 3865. [Google Scholar] [CrossRef]
- ADF2013.01 SCM. Theoretical Chemistry; Vrije Universiteit: Amsterdam, The Netherlands. Available online: https://www.scm.com/ (accessed on 2 February 2025).
- Santiago, P.F.; Mercado, J.R.S.; Brito, B.M. DFT/TD-DFT studies on electronic and photophysical properties of Auranofin: A reference Au(I) complex. Polyhedron 2020, 180, 114262. [Google Scholar] [CrossRef]
- Spackman, M.A.; Jayatilaka, D. Hirshfeld surface analysis. Crys. Eng. Comm. 2009, 11, 19–32. [Google Scholar] [CrossRef]
- Oliveira-Neto, J.G.; Bezerra, R.D.S.; Domingos, F.N.B.; Lima, A.D.S.G.; Souto, E.B.; Lage, M.R.; da Silva, L.M.; dos Santos, A.O. A new coamorphous ethionamide with enhanced solubility: Preparation, characterization, in silico pharmacokinetics, and controlled release by encapsulation. Int. J. Pharm. 2025, 670, 125159. [Google Scholar] [CrossRef]
- Zhang, H.; Zhao, F.; Xia, M.; Wang, F. Microscopic adsorption mechanism of montmorillonite for common ciprofloxacin emerging contaminant: Molecular dynamics simulation and Multiwfn wave function analysis. Colloids Surf. A Physicochem. Eng. Asp. 2021, 614, 126186. [Google Scholar] [CrossRef]
- Sánchez Vergara, M.E.; Ramírez Vargas, L.; Rios, C.; Molina, B.; Salcedo, R. Investigation of Structural and Optoelectronic Properties of Organic Semiconductor Film Based on 8-Hydroxyquinoline Zinc. Electronics 2021, 10, 117. [Google Scholar] [CrossRef]
- Rios, C.; Molina, B.; Salcedo, R. Capture of Fullerenes in Cages and Rings by Forming Metal-π Bond Arene Interactions. Materials 2021, 14, 3424. [Google Scholar] [CrossRef]
- Wang, M.H.; Sawada, Y.; Saito, K.; Horie, S.; Uchida, T.; Ohtsuka, M.; Seki, S.; Kobayashi, S.; Arii, T.; Kishi, A.; et al. Thermal change of Alq3, tris(8-hydroxyquinolinato) aluminum(III) studied by TG and XRD-DSC. J. Therm. Anal. Calorim. 2007, 89, 363–366. [Google Scholar] [CrossRef]
- Jung, M.-H.; Ghorpade, R.V. Polyimide Containing Tricarbonyl Moiety as an Active Cathode for Rechargeable Li-Ion Batteries. J. Electrochem. Soc. 2018, 165, A2476. [Google Scholar] [CrossRef]
- Usman, R.; Khan, A.; Sun, H.; Wang, M. Study of charge transfer interaction modes in the mixed Donor-Acceptor cocrystals of pyrene derivatives and TCNQ: A combined structural, thermal, spectroscopic, and hirshfeld surfaces análisis. J. Solid State Chem. 2018, 266, 112–120. [Google Scholar] [CrossRef]
- Keshmiri, L.; Elahi, S.M.; Jafari, M.R.; Jafari, F.; Parhizgar, S.S. The Blue-Shift of Photoluminescence Spectra of Zinc Complexes of 8-Hydroxyquinoline by Addition of ZnO Nanoparticles. J. Electron. Mater. 2018, 47, 1526–1532. [Google Scholar] [CrossRef]
- Sevgili, O.; Canlı, S.; Akman, F.; Orak, I.; Karabulut, A.; Yıldırım, N. Characterization of aluminum 8-hydroxyquinoline microbelts and microdots, and photodiode applications. J. Phys. Chem. Solids 2020, 136, 109128. [Google Scholar] [CrossRef]
- Yang, P.; Pan, H.; Wang, Y.; Li, J.; Dong, Y.; Wang, Y.; Hou, S. Exploring aromaticity effects on electronic transport in cyclo(n)carbon single molecule junctions. Molecules 2024, 29, 3827. [Google Scholar] [CrossRef] [PubMed]
- Sugimori, R.; Okada, K.; Kishi, R.; Kitawaka, Y. Stacked-Ring aromaticity from the viewpoint of the effective number of π-electrons. Chem. Sci. 2025, 16, 1707. [Google Scholar] [CrossRef] [PubMed]
- Tauc, J. Optical Properties and Electronic Structure of Amorphous Ge and Si. Mater. Res. Bull. 1968, 3, 37–46. [Google Scholar] [CrossRef]
- Tauc, J.; Menth, A. States in the Gap. J. Non-Cryst. Solids 1972, 8–10, 569–585. [Google Scholar] [CrossRef]
- El-Menyawy, E.M. Optical properties of amorphous and crystalline tris(8-hydroxyquinoline) indium films. J. Alloys Compd. 2016, 683, 393–398. [Google Scholar] [CrossRef]
- Muhammad, F.F.; Sulaiman, K. Utilizing a simple and reliable method to investigate the optical functions of small molecular organic films—Alq3 and Gaq3 as examples. Measurement 2011, 44, 1468. [Google Scholar] [CrossRef]
- Painuly, D.; Masram, D.T.; Rabanal, M.E.; Nagpure, I.M. The effect of ethanol on structural, morphological and optical properties of Li(I) 8–hydroxyquinoline phosphor. J. Lumin. 2017, 192, 1180–1190. [Google Scholar] [CrossRef]










| Interaction (TCNQ/DAAq)·Qn(Al/Zn) | Wiberg Index | Distances [Å] |
|---|---|---|
| AlQ3-TCNQ | ||
| C-H···O-Al (d1) | 0.016 | 2.20 |
| C-H···O-Al (d2) | 0.005 | 2.71 |
| C=N···H-C (d3) | 0.004 | 2.52 |
| AlQ3-DAAq | ||
| C=O···H-C (d1) | 0.003 | 2.62 |
| C=O···H-C (d2) | 0.003 | 2.64 |
| N-H···C (d3) | 0.005 | 2.73 |
| ZnQ2-DAAq | ||
| N-H···O-Zn (d1) | 0.024 | 2.07 |
| N-H···O-Zn (d2) | 0.021 | 2.12 |
| Interaction (TCNQ/DAAq)·Qn (Al/Zn) | Wiberg Index | Distances [Å] |
|---|---|---|
| AlQ3-TCNQ-GD3 | ||
| C-H···O-Al (d1) | 0.003 | 2.42 |
| C-H···O-Al (d2) | 0.0007 | 2.89 |
| C=N···H-C (d3) | 0.004 | 2.63 |
| C=N···H-C (d4) | 0.005 | 2.64 |
| H-C···O-Al (d5) | 0.006 | 2.97 |
| C=N···C (d6) | 0.002 | 3.50 |
| C-H···H-C | 0.0004 | 2.41 |
| AlQ3-DAAq-GD3 | ||
| N-H···O-Al (d1) | 0.040 | 1.90 |
| N-H···O-Al (d2) | 0.0006 | 3.03 |
| Ring···Ring (d3) | - | 3.26 |
| ZnQ2-DAAq-GD3 | ||
| N-H···O-Zn (d1) | 0.026 | 2.00 |
| N-H···O-Zn (d2) | 0.003 | 2.74 |
| Ring···Ring (d3) | - | 3.31 |
| Sample | C=C (cm−1) | C-N Quinoline (cm−1) | C-O (cm−1) | In Plane-Ring Deformation (cm−1) | O-M (cm−1) | -C≡N (TCNQ) (cm−1) | C=O (DAAq) (cm−1) | N-H (DAAq) (cm−1) | C-H (DAAq) (cm−1) |
|---|---|---|---|---|---|---|---|---|---|
| AlQ3 KBr pellet | 1605 | 1581, 1329 | 1471, 1281 | 805, 751 | 648 | ||||
| ZnQ2 KBr pellet | 1610 | 1582, 1326 | 1487, 1282 | 803, 735 | 652 | ||||
| TCNQ KBr pellet | 2222 | ||||||||
| DAAq KBr pellet | 1664 | 3334, 3207, 1497 | 3059 | ||||||
| AlQ3-TCNQ, KBr pellet | 1603 | 1575, 1318 | 1464, 1270 | 790, 737 | 647 | 2194 | |||
| AlQ3-TCNQ, film | 1602 | 1575, 1323 | 1463, 1277 | 789, 732 | 646 | 2214 | |||
| AlQ3-DAAq KBr pellet | 1605 | 1577, 1328 | 1476, 1285 | 787, 749 | 649 | 1657 | 3334, 3204, 1494 | 3047 | |
| AlQ3-DAAq film | 1608 | 1580, 1323 | 1471, 1280 | 790, 750 | 645 | 1660 | 3340, 3210, 1499 | 3049 | |
| ZnQ2-DAAq KBr pellet | 1607 | 1580, 1323 | 1462, 1275 | 790, 732 | 647 | 1658 | 3336, 3207, 1492 | 3041 | |
| ZnQ2-DAAq film | 1609 | 1578, 1463 | 1463, 1278 | 790, 732 | 648 | 1660 | 3348, 3219, 1494 | 3048 |
| HOMO (eV) | LUMO (eV) | ΔE (eV) | |
|---|---|---|---|
| AlQ3-TCNQ | ![]() −5.5155 | ![]() −4.2755 | 1.24 |
| AlQ3-DAAq | ![]() −5.1998 | ![]() −2.4991 | 2.70 |
| ZnQ2-DAAq | ![]() −5.0673 | ![]() −2.1789 | 2.89 |
| AlQ3-TCNQ-GD3 | ![]() −6.6287 | ![]() −4.0091 | 1.62 |
| AlQ3-DAAq-GD3 | ![]() −5.2469 | ![]() −2.2692 | 2.98 |
| ZnQ2-DAAq-GD3 | ![]() −5.1628 | ![]() −2.1987 | 2.97 |
| Film | Thickness (μm) | RMS (nm) | σ (Pa) | HK |
|---|---|---|---|---|
| AlQ3-TCNQ | 6.2 | 37.65 | 2.97 × 10−3 | 14.41 |
| AlQ3-DAAq | 6.6 | 27.06 | 1.52 × 10−4 | 18.13 |
| ZnQ2-DAAq | 6.3 | 11.97 | 1.04 × 10−6 | 0.0002 |
Disclaimer/Publisher’s Note: The statements, opinions and data contained in all publications are solely those of the individual author(s) and contributor(s) and not of MDPI and/or the editor(s). MDPI and/or the editor(s) disclaim responsibility for any injury to people or property resulting from any ideas, methods, instructions or products referred to in the content. |
© 2025 by the authors. Licensee MDPI, Basel, Switzerland. This article is an open access article distributed under the terms and conditions of the Creative Commons Attribution (CC BY) license (https://creativecommons.org/licenses/by/4.0/).
Share and Cite
Sánchez Vergara, M.E.; Díaz Morales, F.I.; Molina, B.; Alvarez-Zauco, E.; Bazán-Díaz, L.; Salcedo, R. Optimization of Zinc and Aluminum Hydroxyquinolines for Applications as Semiconductors in Molecular Electronics. Molecules 2025, 30, 1896. https://doi.org/10.3390/molecules30091896
Sánchez Vergara ME, Díaz Morales FI, Molina B, Alvarez-Zauco E, Bazán-Díaz L, Salcedo R. Optimization of Zinc and Aluminum Hydroxyquinolines for Applications as Semiconductors in Molecular Electronics. Molecules. 2025; 30(9):1896. https://doi.org/10.3390/molecules30091896
Chicago/Turabian StyleSánchez Vergara, María Elena, Francisco Iñaki Díaz Morales, Bertha Molina, Edgar Alvarez-Zauco, Lourdes Bazán-Díaz, and Roberto Salcedo. 2025. "Optimization of Zinc and Aluminum Hydroxyquinolines for Applications as Semiconductors in Molecular Electronics" Molecules 30, no. 9: 1896. https://doi.org/10.3390/molecules30091896
APA StyleSánchez Vergara, M. E., Díaz Morales, F. I., Molina, B., Alvarez-Zauco, E., Bazán-Díaz, L., & Salcedo, R. (2025). Optimization of Zinc and Aluminum Hydroxyquinolines for Applications as Semiconductors in Molecular Electronics. Molecules, 30(9), 1896. https://doi.org/10.3390/molecules30091896













