Abstract
Approaches capable of simultaneously treating cancer and protecting susceptible patients from lethal infections are highly desirable, although they prove challenging. Taking inspiration from the well-known anticancer platinum complexes, successive studies about the complexation of organic compounds with other late transition metals, such as silver, gold, palladium, rhodium, ruthenium, iridium, and osmium, have led to remarkable anticancer activities. Among the numerous chemical moieties studied, N-heterocyclic carbenes (NHCs) have revealed very attractive activities due to their favorable chemical properties. Specifically, gold–NHC complexes emerged as some of the most active complexes acting as antitumor agents. On the other hand, some recent studies have highlighted the involvement of these complexes in antiviral research as well. The well-known gold-based, orally available complex auranofin approved by the Food and Drug Administration (FDA) for the treatment of rheumatoid arthritis has been suggested as a repositioned drug for both cancer and viral infections. In the era of the COVID-19 pandemic, the most interesting goal could be the discovery of gold–NHC complexes as dual antiviral and anticancer agents. In this review, the most recent studies regarding the anticancer and antiviral activities of gold(I)–NHC complexes will be analyzed and discussed, offering an interesting insight into the research in this field.
1. Introduction
Lethal viral infections and co-infections, such as those caused by SARS-CoV-2, HIV, monkeypox, and influenza viruses, have spread worldwide. Concurrently, the number of cancer patients and cancer deaths is still continuously increasing. Hence, numerous research is addressed to find new drugs acting both as antitumor and antiviral agents, and amazing results have been obtained with metal complexes [1,2,3,4,5,6]. Among these, metal N-heterocyclic carbene (NHC) complexes (Figure 1) have represented a wonderful discovery as they present entirely appropriate prerequisites for effective drug design and quick optimization, and numerous scientific studies are being carried on in this view [6].
Figure 1.
Structures of NHCs.
Advances in the study of the antitumor properties of metal–NHC complexes, including Au, Ag, Pd, Pt, Ru, Rh, Re, Ir, Fe, and Cu, have recently been reviewed by Zhang et al. [7]. However, except for well-known platinum derivatives, none of the metallodrugs received approval for clinical chemotherapy, even though numerous candidates have entered clinical trials, such as Ru(III) complexes NAMI-A and BOLD-100, Ru(II) RAPTA-C and TLD1433 [8], Cu(II) complex Elesclomol [9], the Casiopeinas family, mixed chelate copper complexes, and the Au(I) complex Auranofin (Figure 2). The topical Co(III) chelate CTC-96 has been demonstrated to reduce the severity of conjunctival viral infection and make its resolution faster in the in vivo model of keratoconjunctivitis consisting of rabbits infected with the Adenovirus type 5 (ad-5) and to have virucidal and antiviral activity against ad-5-infected HeLa, A549, and SIRC cell lines [10].
Figure 2.
Structure of gold complexes.
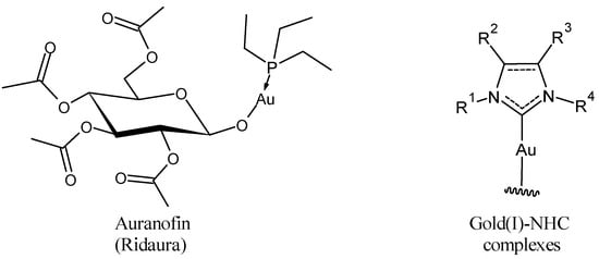
Specifically, the gold complex auranofin (Ridaura) received its first approval by the FDA in 1985 as an antiarthritic agent [11]. Then, based on several preclinical studies [12], it was suggested as a repositioning drug behaving as an anticancer, antimicrobial, antiviral, and antiparasitic agent [13,14,15,16]. Among the numerous gold-based complexes [17,18], gold–NHC complexes are widely studied for their very interesting anticancer activities [19,20,21,22,23,24], as well as silver–NHC complexes [25]. Numerous molecular modeling studies on gold– and silver–NHC as anticancer complexes continue to be proposed, in order to find new compounds [26,27,28,29,30,31] and/or to better understand their mechanism of action [32]. In addition, recent reports have described the involvement of gold– and silver–NHC complexes [33,34,35] in the antiviral activity against SARS-CoV-2 by inhibiting SARS-CoV-2 papain-like protease PLpro, which is a key enzyme in the virus replication in infected cells. In this review, we focused our attention on auranofin and gold(I)–NHC complexes and summarized the most interesting studies on these complexes with antiviral and/or anticancer activities carried out in recent years, including their sources, features, and mechanisms of action.
2. Auranofin: The First Gold Complex in Clinics
Auranofin (1-thio-β-D-glucopyranosatotriethylphosphine gold-2,3,4,6-tetraacetate) is an orally available lipophilic (LogP = 1.6 [36]) gold(I) complex used in therapy. Following its approval as an anti-inflammatory agent for rheumatoid arthritis, it was investigated for other potential therapeutic applications in a number of diseases, including cancer, viral, parasitic, and bacterial infections (Figure 3) [37,38,39,40,41]. Auranofin has also been studied in vitro and in vivo in nonalcoholic fatty liver disease [42] and for neurodegenerative diseases such as Alzheimer’s disease and multiple sclerosis [43]. Different studies have been carried out regarding the anticancer activity in prolymphocytic leukemia (PLL)/small lymphocytic lymphoma/chronic lymphocytic leukemia (CLL) [12,44], lung cancer [45,46,47], ovarian cancer [48], gastrointestinal stromal tumor [49], and recently in anaplastic thyroid cancer [50]. It completed phase 1 and 2 clinical trials as anticancer in chronic lymphocytic leukemia (NCT01419691), ovarian and lung cancer (NCT01737502, NCT01747798, NCT03456700) [51,52] and has recently been suggested for the treatment of pancreatic ductal adenocarcinoma [53] and triple-negative breast cancer [54]. Studies related to the outcomes of the combination of auranofin with radiation therapy are controversial. Nag et al. (2019) [55] reported that auranofin pretreatment was able to prevent radiation toxicity in colon tumor in studies in organoids, whereas Lee et al. (2019) [56] demonstrated that it aggravates radiation-induced acute intestinal injury in mice.
Figure 3.
Anticancer and antiviral activities of Auranofin.
Auranofin was one of the first metallodrugs showing potential antiviral activity. The first report was about an HIV-positive and psoriatic arthritis patient, under treatment with auranofin, who showed a significant, sustained increase in CD4 T-cells, the main virus cell target, and resistance to opportunistic infections [57]. Later, it was demonstrated that auranofin led to a reduction in the viral reservoir in peripheral blood cells from antiretroviral therapy (ART)-treated Chinese rhesus macaques infected with the simian HIV homolog SIVmac251; moreover, macaques that received auranofin showed a deferred and blunted viral load rebound after ART suspension [58]. In the clinical trial NCT02961829, auranofin was well tolerated and decreased total viral and integrated proviral DNA, in patients under intensified ART [59], with higher activity than chloroquine [60]. The efforts of the new combined therapies, in fact, try to target all the HIV cellular reservoirs, critical factors to viral eradication, since they harbor nonproductive provirus, which reactivates viral replication and leads to viremia rebound when ART is suspended [58,61]. Auranofin has been tested against some arthropod-borne viruses that have re-emerged in recent decades, causing large-scale epidemics in many parts of the world. Langsjoenm et al. (2017) [62] reported that auranofin was able to inhibit the Chikungunya virus (CHIKV) replication in vitro and reduced viremia and morbidity in a murine model of infection. Moreover, it inhibited flavivirus Zika virus (ZIKV) and alphavirus Venezuelan equine encephalitis virus (VEEV) replication in vitro. All three of these viruses are enveloped RNA viruses in which glycoproteins required oxidative folding pathways that the authors suggested could represent auranofin targets [62]. During the COVID-19 pandemic [63,64], auranofin was suggested as a repositioned drug acting against SARS-CoV-2 [65,66,67]. Rothan et al. (2020) [68] demonstrated that the treatment of hepatocarcinoma cells infected with SARS-CoV-2 with auranofin reduced viral RNA copies and the expression of inflammatory cytokines, at a low micromolar concentration (EC50 = 1.4 μmol/L), suggesting that it could be a useful drug to limit both viral replication and associated inflammatory injury. Different pathways have been suggested to explain auranofin mechanisms of action in different diseases. The anti-inflammatory activity in rheumatoid arthritis is likely related to the inhibition of thioredoxin reductase (TrxR) and thioredoxin glutathione reductase (TGR) enzymes, thus leading to control reactive oxygen species (ROS) and DNA damage. Moreover, the inhibition of TrxR prevents NF-kB-DNA binding and gene expression. In addition, it has been suggested that it inhibits several steps in the NF-kB/IL-6/STAT3 inflammatory signaling pathway [66]. Auranofin has been shown in fact to suppress TLR4 homodimerization [69]. Jeon et al. (2000) [70] reported that it prevents the activation of IkB kinase (IKK) that promotes the phosphorylation of IkB and translocation of NF-kB in the nucleus and its activity [14,15]. Moreover, it acts also directly on inhibitory IkB proteins associated with NF-kB by preventing their degradation and therefore holding NF-kB in the cytosol. Auranofin inhibits the IL-6-induced phosphorylation of Janus kinase 1 (JAK1) and signal transducer and activator of transcription 3 (STAT3). The inhibitory effect of auranofin on STAT3 translocation to the nucleus also leads to the blockage of STAT3-regulated gene expression [71]. The anti-inflammatory effect of auranofin was studied by Hwangbo et al. (2021) [38] in a model of chronic inflammation represented by palmitic acid and a low concentration of lipopolysaccharide (LPS)-stimulated macrophages, demonstrating the interaction of the drug with TLR4 and downregulation of NADPH oxidase (NOX)4-mediated NF-κB signaling pathway. It was shown to modulate TNF-α, IL-8, and IL-6 secretion by macrophages and monocytes.
The anticancer activity of auranofin has been suggested to occur through the inhibition of redox enzymes that are essential for maintaining intracellular levels of ROS, interaction with TrxR, ubiquitin–proteasome system (UPS), tyrosine kinases, protein tyrosine phosphatases (PTPs), topoisomerases, and signaling pathways related to cell proliferation, apoptosis, and ferroptosis [72,73,74,75]. The NF-kB/IL-6/STAT3 cascade may also be useful to explain the anticancer activity of auranofin, as NF-kB, IL-6, and STAT3 are central players linking chronic inflammation to cancer by driving tumor initiation and subsequent growth and metastasis.
The mechanism of antiviral activity could be explained again considering the inhibition of redox enzymes and related pathways, which play a key role in viral infections [76]. For instance, TrxR is important for the redox conformational changes that HIV glycoprotein gp120 undergoes, allowing the virus to enter cells [77]. Regarding coronaviruses, multiple mechanisms have been proposed. Laplantine et al. (2022) [78] also showed a dual inhibitory effect of auranofin on SARS-CoV-2 infection: it inhibited the ACE2-mediated entry pathway and dampened virus-induced inflammation by preventing post-translational modifications of NF-kB effectors and their recruitment into activating complexes. Since high levels of IL-6 are linked with COVID-19 severity and mortality, the auranofin effect on NF-kB/IL-6/STAT3 cascade could be an advantage in the management of the infection [66]. Furthermore, Gil-Moles and colleagues (2020) [34] reported that auranofin inhibited both SARS-CoV-2 spike–ACE2 interactions and papain-like protein (PLpro) (IC50 = 25.5 ± 1.2 μM and IC50 = 0.75 ± 0.13 μM against SARS-CoV PLpro and SARS-CoV-2 PLpro, respectively). In a more recent study, the same research group [79] showed that the mechanism of SARS-CoV-2 PLpro inhibition by other metallodrugs, with silver, involves the ejection of the zinc(II) ion from the zinc binding domain of the viral protease, in agreement with previous studies of the Abbehausen research group that had already shown HIVNCp7 zinc finger inhibition by gold(I)-phosphine-N-heterocycles [80]. Ott and co-workers [33,66], on the other hand, screened a great selection of coordination chemotypes bearing a variety of metal ions, and ligands against PLpro, in which the Au(I) compounds presented striking results. The best candidates were aurothiomalate, [AuCl(Et3P)], and other Au(I)–NHCs bearing the structure AuCl(NHC).
3. Gold(I)–NHC Complexes
Starting from auranofin as a lead compound, several gold(I) complexes have been studied for their various activities, also behaving as dual agents against two diseases, including cancer and viral infections. Given the usefulness of NHCs for biological activities, several metal–NHC complexes have been studied that behave as dual agents, such as silver(I)–NHC and ruthenium(II)–NHC complexes, which act as anticancer molecules and antibacterials [81], or presenting more than two activities [82].
Gold(I)–NHC complexes emerged for their interesting properties in organic [83] and inorganic chemistry [84,85,86] and their biological activities [87], such as anticancer, antiviral, antioxidant, anti-inflammatory, and antimicrobial activities, also against antibiotic resistant bacterial pathogens [88,89,90,91].
3.1. Gold–NHC Complexes as Anticancer Agents
Several studies aim to find new gold–NHC complexes acting as anticancer molecules. Different targets have been suggested to explain the mechanism of action of these compounds [20], resembling those suggested for auranofin, including TrxR inhibition [92,93,94,95,96,97,98] interaction with UPS, tyrosine kinases, PTPs [99], and topoisomerases [21].
As shown in Table 1, we summarized some recent studies of cytotoxicity, and the half-maximal (50%) inhibitory concentration (IC50) values are given. The MTT (3-(4,5-dimethylthiazol-2-yl)-2,5-diphenyltetrazolium bromide) cell viability test was adopted to evaluate the cytotoxic effects of the complexes, unless otherwise indicated. The standards used and IC50 values against non-tumoral cells are detailed in the text.
Trávníček et al. (2024) [100] studied a series of NHC–gold(I) complexes, involving 1,3-bis(2,6-diisopropylphenyl)imidazol-2-ylidene ligand in combination with 6-mercaptopurine derivatives, and evaluated the in vitro cytotoxicity against four human cancer cell lines: A2780 (ovarian) and A2780R (ovarian cisplatin resistant), PC3 (prostate), and MCF-7 (breast). Normal human MRC-5 cells (lung fibroblasts) were used for selectivity. The standard was cisplatin (IC50 = 17.2 ± 0.9, > 50, > 50 and 25.3 ± 3.6 µM against A270, A270R, PC3, and MCF-7, respectively). Complexes 1–3 showed significative cytotoxicity against all cell lines, with the highest IC50 values ranging between 3.4 and 6.2 μM against A2780 cell lines, also demonstrating a strong pro-apoptotic effect and the loss of mitochondrial membrane potential, as shown by flow cytometry assays. Thus, the authors suggested the main mechanism of action based on the collapse of mitochondrial metabolism and the activation of the intrinsic signaling pathway of apoptosis, resulting in cell death. The complexes also showed a moderate selectivity index (SI) and resistance factor RF [IC50(A2780R)/IC50(A2780)].
D’Amato et al. (2024) [101] studied a series of hybrid molecules in which NHC-Au(I) complexes and N-alkylthiolated carbazoles are linked together and evaluated their anticancer activity against breast cancer cells, MCF-7 and MDA-MB-231. The best anticancer activity was obtained for complexes 4–6, all of them being more potent than the reference cisplatin (IC50 = 34.3 ± 1.0 and 27.3 ± 1.1 μM against MCF-7 and MDA-MB-231 cells, respectively). The SI was calculated in comparison to normal human mammary epithelial cell line MCF-10A, and the three complexes were found to be highly selective.
Marra et al. (2024) [102] described some chiral gold(I) and silver(I) NHC complexes, evidencing the influence of chirality on anticancer activity. Complex (R)-7 was more active than its enantiomer against both MCF-7 and MDA-MB-231 breast cancer cell lines, whereas (R)-8 showed a strange behavior, being more active than its enantiomer only against MDA-MB-231 cells. IC50 against normal MCF-10A cell lines was also different depending on the enantiomer tested (IC50 = 52.9 ± 2.2 and 64.5 ± 3.2 μM for (R)- and (S)-8, respectively, and IC50 = 38.0 ± 2.2 and 17.2 ± 1.6 μM for (R)- and (S)-7, respectively). The highest selectivity was found for (R)-7.
Al-Buthabhak et al. (2024) [103] reported a study on a series of gold–NHC complexes with a thiocarboxylate ligand against cisplatin-resistant ovarian cancer cells (OVCAR-8) that showed promising anticancer activity, with IC50 values lower than 10 μM. The most potent were 9–11. Positive and negative controls were gold–NHC complexes, as previously reported [104].
Ma et al. (2024) [105] reported a series of dinuclear gold–-NHC–thiolate complexes with remarkable cytotoxicity towards several cancer cell lines, namely cisplatin-sensitive ovarian cancer cells (A2780), cisplatin-resistant ovarian cancer cells (A2780cis), colon cancer cells (HCT116), lung cancer cells (A549), and triple-negative breast cancer (MDA-MB231). Complexes 12–14 showed remarkable cytotoxicity, being more active than cisplatin against all cell lines (cisplatin, IC50 = 1.1 ± 0.1, 11 ± 3, 21 ± 7, 9 ± 1 and 15 ± 1 μM A2780, A2780cis, HCT116, A549, and MDA-MB231, respectively).
Galassi et al. (2024) [106] reported an in-depth study of gold(I/III)–NHC complexes on non-small-cell lung cancer (NSCLC) cell lines, with or without KRAS mutations (A549, H460, H1792, HCC-44, H1355, and H522, H661, H1395, H1993, respectively) to study the mechanism of action of the synthesized complexes. Gold(I)–NHC complex 15 exerted the highest cytotoxicity (average IC50 values are given in the table) and a high degree of TrxR inhibition in both H522 and A549 cell lines after 24 h of treatment. Moreover, it reduced the enzymatic activity of hDHFR by 80% at a dihydrofolate concentration comparable with Km, with an IC50 of about 15 mM. Thus, the authors confirmed the importance of TrxR in the mechanism of action of these complexes and suggested a dual-target inhibition of both human DHFR and TrxR enzymes for this complex.
Mariconda et al. (2024) [107] reported a study on silver and gold complexes with NHC derived from caffeine. Complex 16 showed anticancer activity against breast cancer MDA-MB-231 and MCF-7 cell lines, being even more active than cisplatin (IC50 = 32.2 ± 1 µM against MDA-MB-231; IC50 = 26.2 ± 1 µM against MCF-7) against MDA-MB-231 cells. The compound was not cytotoxic against normal cells (MCF-10A), showing IC50 > 100 µM.
Table 1.
Au–NHC complexes as anticancer agents.
Table 1.
Au–NHC complexes as anticancer agents.
| Structure | Compound | Anticancer Activity | Reference |
|---|---|---|---|
![]() | 1 | IC50 = 3.4 ± 0.4 µM (A270) IC50 = 6.9 ± 1.7 µM (A270R) IC50 = 11.3 ± 0.1 µM (PC3) IC50 = 15.7 ± 1.1 µM (MCF-7) | [100] |
![]() | 2 | IC50 = 3.5 ± 0.3 µM (A270) IC50 = 7.3 ± 2.1 µM (A270R) IC50 = 11.2 ± 0.6 µM (PC3) IC50 = 14.9 ± 1.2 µM (MCF-7) | [100] |
![]() | 3 | IC50 = 6.2 ± 0.7 µM (A270) IC50 = 12.1 ± 0.7 µM (A270R) IC50 = 15.5 ± 2.3 µM (PC3) IC50 = 27.3 ± 1.2 µM (MCF-7) | [100] |
![]() | 4 | IC50 = 3.6 ± 0.5 μM (MCF-7) IC50 = 6.4 ± 0.4 μM (MDA-MB-231) | [101] |
![]() | 5 | IC50 = 3.5 ± 0.2 μM (MCF-7) IC50 = 6.3 ± 0.7 μM (MDA-MB-231) | [101] |
![]() | 6 | IC50 = 2.7 ± 0.3 μM (MCF-7) IC50 = 6.1 ± 0.2 μM (MDA-MB-231) | [101] |
![]() | (R)-7 | IC50 = 2.2 ± 0.2 μM (MCF-7) IC50 = 1.2 ± 0.2 μM (MDA-MB-231) | [102] |
![]() | (S)-7 | IC50 = 10.0 ± 0.5 μM (MCF-7) IC50 = 11.5± 0.4 μM (MDA-MB-231) | [102] |
![]() | (R)-8 | IC50 = 16.0 ± 0.8 μM (MCF-7) IC50 = 15.3 ± 4.5 μM (MDA-MB-231) | [102] |
![]() | (S)-8 | IC50 = 14.6 ± 1.0 μM (MCF-7) IC50 = 22.6 ± 0.4 μM (MDA-MB-231) | [102] |
![]() | 9 | IC50 = 2.7 ± 0.2 μM (OVCAR-8) | [103] |
![]() | 10 | IC50 = 2.9 ± 0.5 μM (OVCAR-8) | [103] |
![]() | 11 | IC50 = 2.9 ± 0.5 μM (OVCAR-8) | [103] |
![]() | 12 | IC50 = 0.4 ± 0.2 μM (A2780) IC50 = 2.4 ± 0.2 μM (A2780cis) IC50 = 4 ± 0.1 μM (HCT116) IC50 = 7.7 ± 0.1 μM (A549) IC50 = 4.5 ± 0.3 μM (MDA-MB-231) | [105] |
![]() | 13 | IC50 = 0.3 ± 0.1 μM (A2780) IC50 = 1.0 ± 0.3 μM (A2780cis) IC50 = 4.4 ± 0.2 μM (HCT116) IC50 = 4.4 ± 0.2 μM (A549) IC50 = 4.4 ± 0.2 μM (MDA-MB-231) | [105] |
![]() | 14 | IC50 = 0.12 ± 0.03 μM (A2780) IC50 = 0.11 ± 0.01 μM (A2780cis) IC50 = 1.0 ± 0.1 μM (HCT116) IC50 = 5.8 ± 0.2 μM (A549) IC50 = 1.2 ± 0.5 μM (MDA-MB-231) | [105] |
![]() | 15 | IC50 = 11 μM (human NSCLC with KRAS mutations) IC50 = 3 μM (human NSCLC without KRAS mutations) | [106] |
![]() | 16 | IC50 = 14.7 ± 1.1 μM (MDA-MB-231) IC50 = 73.8 ± 1.1 μM (MCF-7) | [107] |
IC50 = half-maximal (50%) inhibitory concentration.
3.2. Gold–NHC Complexes as Antiviral Agents
There is a growing interest in studying other biological activities of gold–NHC complexes, including the antiviral ones. Gil-Moles et al. (2020) [34] studied some gold organometallics as inhibitors of two targets of coronaviruses SARS-CoV and SARS-CoV-2 (Table 2). In particular, the authors analyzed the compounds’ interference with the viral spike (S) protein and its interaction with the ACE2 receptor, which is essential for virus entry, as well as with the papain-like protease PLpro, a key enzyme in viral replication. Interestingly, the NHC complex 17 was more active than auranofin in the inhibition of spike–ACE2 interaction and against SARS-CoV-1 PLpro and slightly less active than auranofin against SARS-CoV-2. Then, in 2021, the same research group [33] reported other small molecules complexed with gold(I/III) for their antiviral activity through the inhibition of SARS-CoV-1 and 2 PLpro. Gold(I)–NHC complexes 18–20 showed good activity, with IC50 values in the submicromolar range against both enzymes. Complex 19 showed antiviral activity also in a cellular model of SARS-CoV-2 infection.
Table 2.
Au(I)–NHC as antiviral agents.
Aires et al. (2022) [108] studied four gold(I) complexes (specifically two of them were triphenylphosphine and two were bimesityl–NHC derivatives) promoting antiviral effects against CHIKV infection. The triphenylphosphine complexes blocked viral replication until 99%, while the two NHC complexes, 21 and 22, reached 50% of inhibition, without a toxic effect on cells. The higher antiviral activity of the triphenylphosphine compounds has been correlated to their higher lipophilicity and ability to cross the cell membrane. To further investigate the mechanisms of action of these two compounds, evaluating the stages of the viral replication cycle they interfere with, the authors performed time of drug addition assays; both compounds promoted a cell protective effect against infection and to inhibit the early but especially the post-entry step of the viral life cycle. These results suggested that the complexes interfere with cellular pathways and/or inhibit viral biomolecules in the cytoplasm. A significant interaction of the compounds with dsRNA was also measured, suggesting that they could inhibit viral replication by dsRNA binding.
Oliveira et al. (2024) [109] described additional studies on complex 21 and, in addition, the synthesis and antiviral activity evaluation of four other gold(I) NHC complexes. The antiviral activity was evaluated against three viruses: two arboviruses, one of Togaviridae, MAYV expressing the nanoluciferase gene reporter, and the other from the Flaviviridae, ZIKVpe243, as well as a pseudotyped vesicular stomatitis virus (VSV) expressing eGFP as an infection marker, in which the glycoprotein gene (G) was replaced by the spike protein (S) of SARS-CoV-2 (VSV-eGFP-SARS-CoV-2-S) [110]. The effect of the complex 21 and other four complexes (23–26) that are arylthiol derivatives, on virus replication, was evaluated by the infection of Vero E6 cells with the viruses described above, followed by treatment with compounds at one concentration, determined through a cell viability assay, that was 2 µM for 24–27 complexes and 10 µM for complex 21. Regarding ZIKV, complexes 23–26, and in particular 23 and 24, showed higher antiviral activity (96% and 94% of inhibition at 2 µM, respectively), followed by 25 and 26 (88.3% and 55% of inhibition, at the same concentration 2 µM). The precursor 21 inhibited 70% of viral replication, but at a higher concentration, 10 uM. All the complexes led to a similar MAYV inhibition, ranging from 80 to 90%, with complex 26 reaching 90% of inhibition at 2 µM, the best value of the series. In general, the complexes resulted in being less active against VSV-eGFP-SARS-CoV-2-S, but with complexes 26 and 25 still achieving an inhibition of 76 and 70%, respectively. In conclusion, this study highlighted the potential antiviral activity of Au–NHC complexes and indicated complexes 23–26 as better antiviral candidates than complex 21.
4. Conclusions
Metal-based agents form a variegate and attractive class of drugs with a number of therapeutic applications. Among these, gold complexes have gained particular attention for their biological activities. Auranofin is an FDA-approved gold-based compound for the treatment of rheumatoid arthritis. Evidence suggests that it could also be a potential therapeutic agent for different pathological conditions (inflammatory, tumoral, microbial), among which this review aimed to point out cancer and viral infections, including HIV and COVID-19. In addition, gold(I)–NHC derivatives have revealed interesting biological activities, often also superior to the standards. Most recent studies regarding auranofin and gold(I)–NHC complexes as anticancer and/or antiviral agents are summarized here. To the best of our knowledge, no or few studies have been carried out on gold(I)–NHC complexes acting both as anticancer and antiviral agents. New studies are needed to design and synthesize new gold(I)–NHC complexes with dual anticancer and antiviral activities, which could represent potent drugs for the treatment of tumors and viral infections, with promising clinical applications.
Author Contributions
Conceptualization, P.C., A.C. and P.L.; methodology, J.C. and M.P.; writing—original draft preparation, P.C. and A.C.; data curation, P.C., A.M. and A.C.; writing—review and editing, A.M., S.A. and M.S.S.; funding, S.A., M.S.S. and P.L.; supervision, P.L. All authors have read and agreed to the published version of the manuscript.
Funding
This work was supported by PRIN 2022, code 2022HARH5W—HyMTA (Hybrid Multi-Target Agents) (CUP MASTER: C53D23004490001) and by the Italian Ministry of Health-Ricerca Corrente.
Institutional Review Board Statement
Not applicable.
Informed Consent Statement
Not applicable.
Conflicts of Interest
The authors declare no conflicts of interest.
References
- Abdolmaleki, S.; Aliabadi, A.; Khaksar, S. Riding the Metal Wave: A Review of the Latest Developments in Metal-Based Anticancer Agents. Coord. Chem. Rev. 2024, 501, 215579. [Google Scholar] [CrossRef]
- Andrés, C.M.C.; Pérez de la Lastra, J.M.; Bustamante Munguira, E.; Andrés Juan, C.; Pérez-Lebeña, E. Anticancer activity of Metallodrugs and Metallizing Host Defense Peptides—Current Developments in Structure-Activity Relationship. Int. J. Mol. Sci. 2024, 25, 7314. [Google Scholar] [CrossRef] [PubMed]
- Adhikari, S.; Nath, P.; Das, A.; Datta, A.; Baildya, N.; Duttaroy, A.K.; Pathak, S. A Review on Metal Complexes and Its Anti-Cancer Activities: Recent Updates from In Vivo Studies. Biomed. Pharmacother. 2024, 171, 116211. [Google Scholar] [CrossRef] [PubMed]
- Bai, Y.; Aodeng, G.; Ga, L.; Hai, W.; Ai, J. Research Progress of Metal Anticancer Drugs. Pharmaceutics 2023, 15, 2750. [Google Scholar] [CrossRef]
- Tsvetkova, D.D.; Marangozov, S.D.; Kostadinova, I.I. Pharmacological Activity of Metal-Based Organic Complexes Against Different Viral Diseases. Pharmacophore 2024, 15, 1–11. [Google Scholar] [CrossRef]
- Barnard, P.J.; Baker, M.V.; Berners-Price, S.J.; Day, D.A. Mitochondrial Permeability Transition Induced by Dinuclear Gold(I)-Carbene Complexes: Potential New Antimitochondrial Antitumour Agents. J. Inorg. Biochem. 2004, 98, 1642–1647. [Google Scholar] [CrossRef]
- Zhang, Y.-F.; Yin, Y.-K.; Zhang, H.; Han, Y.-F. Metal N-Heterocyclic Carbene Complexes as Potential Metallodrugs in Antitumor Therapy. Coord. Chem. Rev. 2024, 514, 215941. [Google Scholar] [CrossRef]
- Swaminathan, S.; Haribabu, J.; Karvembu, R. From Concept to Cure: The Road Ahead for Ruthenium-Based Anticancer Drugs. ChemMedChem 2024, 19, e202400435. [Google Scholar] [CrossRef]
- Gao, J.; Wu, X.; Huang, S.; Zhao, Z.; He, W.; Song, M. Novel Insights into Anticancer Mechanisms of Elesclomol: More than a Prooxidant Drug. Redox Biol. 2023, 67, 102891. [Google Scholar] [CrossRef]
- Epstein, S.P.; Pashinsky, Y.Y.; Gershon, D.; Winicov, I.; Srivilasa, C.; Kristic, K.J.; Asbell, P.A. Efficacy of Topical Cobalt Chelate CTC-96 against Adenovirus in a Cell Culture Model and against Adenovirus Keratoconjunctivitis in a Rabbit Model. BMC Opthalmol. 2006, 6, 22. [Google Scholar] [CrossRef]
- Roder, C.; Thomson, M.J. Auranofin: Repurposing an Old Drug for a Golden New Age. Drugs RD 2015, 15, 13–20. [Google Scholar] [CrossRef] [PubMed]
- Chiappetta, G.; Gamberi, T.; Faienza, F.; Limaj, X.; Rizza, S.; Messori, L.; Filomeni, G.; Modesti, A.; Vinh, J. Redox Proteome Analysis of Auranofin Exposed Ovarian Cancer Cells (A2780). Redox Biol. 2022, 52, 102294. [Google Scholar] [CrossRef] [PubMed]
- Tejman-Yarden, N.; Miyamoto, Y.; Leitsch, D.; Santini, J.; Debnath, A.; Gut, J.; McKerrow, J.H.; Reed, S.L.; Eckmann, L. A Reprofiled Drug, Auranofin, Is Effective against Metronidazole-Resistant Giardia lamblia. Antimicrob. Agents Chemother. 2013, 57, 2029–2035. [Google Scholar] [CrossRef]
- Yamashita, M. Auranofin: Past to Present, and Repurposing. Int. Immunopharmacol. 2021, 101, 108272. [Google Scholar] [CrossRef]
- Sarup, S.; Obukhov, A.G.; Raizada, S.; Atre, R.; Baig, M.S. Drug Repurposing in the Treatment of Chronic Inflammatory Diseases. Fut. J. Pharm. Sci. 2024, 10, 152. [Google Scholar] [CrossRef]
- Li, H.; Yuan, S.; Wei, X.; Sun, H. Metal-Based Strategies for the Fight Against COVID-19. Chem. Commun. 2022, 58, 7466–7482. [Google Scholar] [CrossRef]
- Malik, M.A.; Hashmi, A.A.; Al-Bogami, A.S.; Wani, M.Y. Harnessing the Power of Gold: Advancements in Anticancer Gold Complexes and their Functionalized Nanoparticles. J. Mater. Chem. B 2024, 12, 552–576. [Google Scholar] [CrossRef]
- Ghorbanpour, M.; Soltani, B. An Updated Overview on Nitrogen-rich Azole-based Gold Coordination Complexes as Potent Anticancer Agents. Coord. Chem. Rev. 2025, 523, 216233. [Google Scholar] [CrossRef]
- Bertrand, B.; Casini, A. A Golden Future in Medicinal Inorganic Chemistry: The Promise of Anticancer Gold Organometallic Compounds. Dalton Transact. 2014, 43, 4209–4219. [Google Scholar] [CrossRef]
- Porchia, M.; Pellei, M.; Marinelli, M.; Tisato, F.; Del Bello, F.; Santini, C. New Insights in Au-NHCs Complexes as Anticancer Agents. Eur. J. Med. Chem. 2018, 146, 709–746. [Google Scholar] [CrossRef]
- Mora, M.; Gimeno, M.C.; Visbal, R. Recent Advances in Gold–NHC Complexes with Biological Properties. Chem. Soc. Rev. 2019, 48, 447–462. [Google Scholar] [CrossRef] [PubMed]
- Dominelli, B.; Correia, J.D.; Kuehn, F.E. Medicinal Applications of Gold(I/III)-based Complexes Bearing N-Heterocyclic Carbene and Phosphine Ligands. J. Organomet. Chem. 2018, 866, 153–164. [Google Scholar] [CrossRef]
- Al-Majid, A.M.; Yousuf, S.; Choudhary, M.I.; Nahra, F.; Nolan, S.P. Gold-NHC Complexes as Potent Bioactive Compounds. ChemistrySelect 2016, 1, 76–80. [Google Scholar] [CrossRef]
- Iacopetta, D.; Ceramella, J.; Rosano, C.; Mariconda, A.; Pellegrino, M.; Sirignano, M.; Saturnino, C.; Catalano, A.; Aquaro, S.; Longo, P.; et al. N-Heterocyclic Carbene-Gold(I) Complexes Targeting Actin Polymerization. Appl. Sci. 2021, 11, 5626. [Google Scholar] [CrossRef]
- Benavides, M.; Granda, E. Au⋯H− X (X= N or C) Intramolecular Interactions in Gold(I)-NHC Carbene Complexes with Potential Anticancer Properties: A Quantum Mechanical Study with Two Basis Sets. ChemistryOpen 2024, 13, e202400140. [Google Scholar] [CrossRef]
- Ceramella, J.; Catalano, A.; Mariconda, A.; D’Amato, A.; Aquila, S.; Saturnino, C.; Rosano, C.; Sinicropi, M.S.; Longo, P. Silver N-Heterocyclic Carbene (NHC) Complexes as Antimicrobial and/or Anticancer Agents. Pharmaceuticals 2025, 18, 9. [Google Scholar] [CrossRef]
- Kaya, S. Computational Characterization of Benzimidazolium-Acridine-Based Gold N-Heterocyclic Carbene Complexes and Investigation of their Anti-tumor Properties. Polyhedron 2024, 261, 117105. [Google Scholar] [CrossRef]
- Tolbatov, I.; Marrone, A.; Coletti, C.; Re, N. Computational Studies of Au(I) and Au(III) Anticancer Metallodrugs: A Survey. Molecules 2021, 26, 7600. [Google Scholar] [CrossRef]
- Varchmin, A.; Muñoz-Castro, A.; Ott, I. Gold(I) Organometallics with Alkynyl and N-Heterocyclic Carbene Ligands and their Medicinal and Computational Chemistry Evaluation as Prospective Anticancer Drugs. J. Organometal. Chem. 2024, 1012, 123148. [Google Scholar] [CrossRef]
- Rodrigues, G.C.; Barrionuevo, M.V.; San-Miguel, M.A.; Abbehausen, C. Unraveling Ligand Exchange Reactions in Linear Neutral Au(I) and Cu(I) N-Heterocyclic Carbene Complexes for Biological Applications. New J. Chem. 2024, 48, 2040–2047. [Google Scholar] [CrossRef]
- Üstün, E.; Şahin, N. Synthesis and Characterization of Novel Benzimidazolium Type NHC Molecule and Its Silver Complex and Their Theoretical Analysis for Potential Anti-Cancer Activity. Karadeniz Fen Bilim. Derg. 2023, 13, 275–287. [Google Scholar] [CrossRef]
- Naderizadeh, B.; Bayat, M. Chemical Bonding in Some Anticancer NHC Complexes [R′C ≡ C → ML](M = Cu (I), Ag (I), Au (I); R′ = C10H7 and C9NH12SO2; L = NHC (R) and P (R)3; and R= F, Cl, Br, H, CH3, SiH3, Ph). J. Iran. Chem. Soc. 2024, 21, 2775–2798. [Google Scholar] [CrossRef]
- Gil-Moles, M.; Türck, S.; Basu, U.; Pettenuzzo, A.; Bhattacharya, S.; Rajan, A.; Ma, X.; Büssing, R.; Wölker, J.; Burmeister, H.; et al. Metallodrug Profiling against SARS-CoV-2 Target Proteins Identifies Highly Potent Inhibitors of the S/ACE2 interaction and the Papain-like Protease PLpro. Chemistry 2021, 27, 17928–17940. [Google Scholar] [CrossRef] [PubMed]
- Gil-Moles, M.; Basu, U.; Büssing, R.; Hoffmeister, H.; Türck, S.; Varchmin, A.; Ott, I. Gold Metallodrugs to Target Coronavirus Proteins: Inhibitory Effects on the Spike-ACE2 Interaction and on PLpro Protease Activity by Auranofin and Gold Organometallics. Chemistry 2020, 26, 15140–15144. [Google Scholar] [CrossRef]
- Karges, J.; Cohen, S.M. Metal Complexes as Antiviral Agents for SARS-CoV-2. ChemBioChem 2021, 22, 2600–2607. [Google Scholar] [CrossRef]
- Marzo, T.; Cirri, D.; Gabbiani, C.; Gamberi, T.; Magherini, F.; Pratesi, A.; Guerri, A.; Biver, T.; Binacchi, F.; Stefanini, M.; et al. Auranofin, Et3PAuCl, and Et3PAuI Are Highly Cytotoxic on Colorectal Cancer Cells: A Chemical and Biological Study. ACS Med. Chem. Lett. 2017, 8, 997–1001. [Google Scholar] [CrossRef]
- Chattopadhyay, A.; Joseph, J.P.; Jagdish, S.; Chaudhuri, S.; Ramteke, N.S.; Karhale, A.K.; Waturuocha, U.; Saini, D.K.; Nandi, D. High Throughput Screening Identifies Auranofin and Pentamidine as Potent Compounds that Lower IFN-γ-induced Nitric Oxide and Inflammatory Responses in Mice: DSS-induced Colitis and Salmonella typhimurium-induced Sepsis. Int. Immunopharmacol. 2023, 122, 110569. [Google Scholar] [CrossRef]
- Hwangbo, H.; Ji, S.Y.; Kim, M.Y.; Kim, S.Y.; Lee, H.; Kim, G.Y.; Choi, Y.H. Anti-inflammatory Effect of Auranofin on Palmitic Acid and LPS-induced Inflammatory Response by Modulating TLR4 and NOX4-mediated NF-κB Signaling Pathway in RAW264. 7 Macrophages. Int. J. Mol. Sci. 2021, 22, 5920. [Google Scholar] [CrossRef]
- Hwangbo, H.; Kim, M.Y.; Ji, S.Y.; Kim, S.Y.; Lee, H.; Kim, G.Y.; Park, C.; Keum, Y.S.; Hong, S.H.; Cheong, J.; et al. Auranofin Attenuates Non-Alcoholic Fatty Liver Disease by Suppressing Lipid Accumulation and NLRP3 Inflammasome-Mediated Hepatic Inflammation In Vivo and In Vitro. Antioxidants 2020, 9, 1040. [Google Scholar] [CrossRef]
- Madeira, J.M.; Gibson, D.L.; Kean, W.F.; Klegeris, A. The Biological Activity of Auranofin: Implications for Novel Treatment of Diseases. Inflammopharmacology 2012, 20, 297–306. [Google Scholar] [CrossRef]
- Coscione, F.; Zineddu, S.; Vitali, V.; Fondi, M.; Messori, L.; Perrin, E. The Many Lives of Auranofin: How an Old Anti-Rheumatic Agent May Become a Promising Antimicrobial Drug. Antibiotics 2024, 13, 652. [Google Scholar] [CrossRef] [PubMed]
- Lee, S.M.; Koh, D.H.; Jun, D.W.; Roh, Y.J.; Kang, H.T.; Oh, J.H.; Kim, H.S. Auranofin Attenuates Hepatic Steatosis and Fibrosis in Nonalcoholic Fatty Liver Disease via NRF2 and NF-κB Signaling Pathways. Clin. Mol. Hepatol. 2022, 28, 827. [Google Scholar] [CrossRef] [PubMed]
- Al-Kharashi, L.A.; Al-Harbi, N.O.; Ahmad, S.F.; Attia, S.M.; Algahtani, M.M.; Ibrahim, K.E.; Bakheet, S.A.; Alanazi, M.M.; Alqarni, S.A.; Alsanea, S.; et al. Auranofin Modulates Thioredoxin Reductase/Nrf2 Signaling in Peripheral Immune Cells and the CNS in a Mouse Model of Relapsing-Remitting EAE. Biomedicines 2023, 11, 2502. [Google Scholar] [CrossRef]
- Fiskus, W.; Saba, N.; Shen, M.; Ghias, M.; Liu, J.; Gupta, S.D.; Chauhan, L.; Rao, R.; Gunewardena, S.; Schorno, K.; et al. Auranofin Induces Lethal Oxidative and Endoplasmic Reticulum Stress and Exerts Potent Preclinical Activity against Chronic Lymphocytic Leukemia. Cancer Res. 2014, 74, 2520–2532. [Google Scholar] [CrossRef]
- Li, H.; Hu, J.; Wu, S.; Wang, L.; Cao, X.; Zhang, X.; Dai, B.; Cao, M.; Shao, R.; Zhang, R.; et al. Auranofin-mediated Inhibition of PI3K/AKT/mTOR Axis and Anticancer Activity in Non-Small Cell Lung Cancer Cells. Oncotarget 2015, 7, 3548–3558. [Google Scholar] [CrossRef]
- Freire Boullosa, L.; Van Loenhout, J.; Flieswasser, T.; De Waele, J.; Hermans, C.; Lambrechts, H.; Cuypers, B.; Laukens, K.; Bartholomeus, E.; Siozopoulou, V.; et al. Auranofin Reveals Therapeutic Anticancer Potential by Triggering Distinct Molecular Cell Death Mechanisms and Innate Immunity in Mutant p53 Non-Small Cell Lung Cancer. Redox Biol. 2021, 42, 101949. [Google Scholar] [CrossRef]
- Cui, X.Y.; Park, S.H.; Park, W.H. Anti-Cancer Effects of Auranofin in Human Lung Cancer Cells by Increasing Intracellular ROS Levels and Depleting GSH Levels. Molecules 2022, 27, 5207. [Google Scholar] [CrossRef]
- Park, S.-H.; Lee, J.; Berek, J.; Hu, M. Auranofin Displays Anticancer Activity against Ovarian Cancer Cells through FOXO3 Activation Independent of p53. Int. J. Oncol. 2014, 45, 1691–1698. [Google Scholar] [CrossRef]
- Pessetto, Z.Y.; Weir, S.J.; Sethi, G.; Broward, M.A.; Godwin, A.K. Drug Repurposing for Gastrointestinal Stromal Tumor. Mol. Cancer Ther. 2013, 12, 1299–1309. [Google Scholar] [CrossRef]
- An, S.C.; Jun, H.H.; Kim, K.M.; Kim, I.; Choi, S.; Yeo, H.; Lee, S.; An, H.J. Auranofin as a Novel Anticancer Drug for Anaplastic Thyroid Cancer. Pharmaceuticals 2024, 17, 1394. [Google Scholar] [CrossRef]
- Abdalbari, F.H.; Telleria, C.M. The Gold Complex Auranofin: New Perspectives for Cancer Therapy. Discov. Oncol. 2021, 12, 42. [Google Scholar] [CrossRef] [PubMed]
- Onodera, T.; Momose, I.; Kawada, M. Potential Anticancer Activity of Auranofin. Chem. Pharm. Bull. 2019, 67, 186–191. [Google Scholar] [CrossRef] [PubMed]
- Deben, C.; Boullosa, L.F.; Fortes, F.R.; De La Hoz, E.C.; Le Compte, M.; Seghers, S.; Peeters, M.; Vanlanduit, S.; Lin, A.; Dijkstra, K.K.; et al. Auranofin Repurposing for Lung and Pancreatic Cancer: Low CA12 Expression as a Marker of Sensitivity in Patient-Derived Organoids, with Potentiated Efficacy by AKT Inhibition. J. Exp. Clin. Cancer Res. 2024, 43, 88. [Google Scholar] [CrossRef]
- Flowers, B.; Rullo, A.; Zhang, A.; Chang, K.; Petukhova, V.Z.; Aboagye, S.Y.; Angelucci, F.; Williams, D.L.; Kregel, S.; Petukhov, P.A.; et al. Pleiotropic Anti-Cancer Activities of Novel Non-Covalent Thioredoxin Reductase Inhibitors Against Triple Negative Breast Cancer. Free Rad. Biol. Med. 2024, 227, 201–209. [Google Scholar] [CrossRef]
- Nag, D.; Bhanja, P.; Riha, R.; Sanchez-Guerrero, G.; Kimler, B.F.; Tsue, T.T.; Lominska, C.; Saha, S. Auranofin Protects Intestine against Radiation Injury by Modulating p53/p21 Pathway and Radiosensitizes Human Colon Tumor. Clin. Cancer Res. 2019, 25, 4791–4807. [Google Scholar] [CrossRef]
- Lee, E.S.; Kim, J.S.; Lee, H. Auranofin, an Anti-rheumatic Gold Drug, Aggravates the Radiation-Induced Acute Intestinal Injury in Mice. Front. Pharmacol. 2019, 10, 417. [Google Scholar] [CrossRef]
- Shapiro, D.L.; Masci, J.R. Treatment of HIV Associated Psoriatic Arthritis with Oral Gold. J. Rheumatol. 1996, 23, 1818–1820. [Google Scholar]
- Lewis, M.G.; DaFonseca, S.; Chomont, N.; Palamara, A.T.; Tardugno, M.; Mai, A.; Collins, M.; Wagner, W.L.; Yalley-Ogunro, J.; Greenhouse, J.; et al. Gold Drug Auranofin Restricts the Viral Reservoir in the Monkey AIDS Model and Induces Containment of Viral Load Following ART Suspension. AIDS 2011, 25, 1347–1356. [Google Scholar] [CrossRef]
- Diaz, R.S.; Shytaj, I.L.; Giron, L.B.; Obermaier, B.; Della Libera, E.; Galinskas, J.; Dias, D.; Hunter, J.; Janini, M.; Gossen, G.; et al. Potential Impact of the Antirheumatic Agent Auranofin on Proviral HIV-1 DNA in Individuals under Intensified Antiretroviral Therapy: Results from a Randomised Clinical Trial. Int. J. Antimicrob. Agents 2019, 54, 592–600. [Google Scholar] [CrossRef]
- Savarino, A.; Shytaj, I.L. Chloroquine and Beyond: Exploring Antirheumatic Drugs to Reduce Immune Hyperactivation in HIV/AIDS. Retrovirology 2015, 12, 51. [Google Scholar] [CrossRef]
- Marra, M.; Catalano, A.; Sinicropi, M.S.; Ceramella, J.; Iacopetta, D.; Salpini, R.; Svicher, V.; Marsico, S.; Aquaro, S.; Pellegrino, M. New Therapies and Strategies to Curb HIV Infections with a Focus on Macrophages and Reservoirs. Viruses 2024, 16, 1484. [Google Scholar] [CrossRef] [PubMed]
- Langsjoen, R.M.; Auguste, A.J.; Rossi, S.L.; Roundy, C.M.; Penate, H.N.; Kastis, M.; Schnizlein, M.K.; Le, K.C.; Haller, S.L.; Chen, R.; et al. Host Oxidative Folding Pathways Offer Novel Anti-Chikungunya Virus Drug Targets with Broad Spectrum Potential. Antivir. Res. 2017, 143, 246–251. [Google Scholar] [CrossRef] [PubMed]
- Ciotti, M.; Ciccozzi, M.; Terrinoni, A.; Jiang, W.C.; Wang, C.B.; Bernardini, S. The COVID-19 Pandemic. Crit. Rev. Clin. Lab. Sci. 2020, 57, 365–388. [Google Scholar] [CrossRef] [PubMed]
- Catalano, A. COVID-19: Could Irisin Become the Handyman Myokine of the 21st Century? Coronaviruses 2020, 1, 32–41. [Google Scholar] [CrossRef]
- De Paiva, R.E.F.; Marçal Neto, A.; Santos, I.A.; Jardim, A.C.G.; Corbi, P.P.; Bergamini, F.R.G. What Is Holding Back the Development of Antiviral Metallodrugs? A Literature Overview and Implications for SARS-CoV-2 Therapeutics and Future Viral Outbreaks. Dalton Trans. 2020, 49, 16004–16033. [Google Scholar] [CrossRef]
- Sonzogni-Desautels, K.; Ndao, M. Will Auranofin Become a Golden New Treatment Against COVID-19? Front. Immunol. 2021, 12, 683694. [Google Scholar] [CrossRef]
- Marzo, T.; Messori, L. A Role for Metal-Based Drugs in Fighting COVID-19 Infection? The Case of Auranofin. ACS Med. Chem. Lett. 2020, 11, 1067–1068. [Google Scholar] [CrossRef]
- Rothan, H.A.; Stone, S.; Natekar, J.; Kumari, P.; Arora, K.; Kumar, M. The FDA-Approved Gold Drug Auranofin Inhibits Novel Coronavirus (SARS-COV-2) Replication and Attenuates Inflammation in Human Cells. Virology 2020, 547, 7–11. [Google Scholar] [CrossRef]
- Youn, H.S.; Lee, J.Y.; Saitoh, S.I.; Miyake, K.; Hwang, D.H. Auranofin, as an Anti-rheumatic Gold Compound, Suppresses LPS-Induced Homodimerization of TLR4. Biochem. Biophys. Res. Commun. 2006, 350, 866–871. [Google Scholar] [CrossRef]
- Jeon, K.I.; Jeong, J.Y.; Jue, D.M. Thiol-Reactive Metal Compounds Inhibit NF-Kappa B Activation by Blocking I Kappa B Kinase. J. Immunol. 2000, 164, 5981–5989. [Google Scholar] [CrossRef]
- Kim, N.-H.; Lee, M.-Y.; Park, S.-J.; Choi, J.-S.; Oh, M.-K.; Kim, I.-S. Auranofin Blocks Interleukin-6 Signalling by Inhibiting Phosphorylation of JAK1 and STAT3 Nam-Hoon. Immunology 2007, 122, 607–614. [Google Scholar] [CrossRef] [PubMed]
- Shen, S.; Shen, J.; Luo, Z.; Wang, F.; Min, J. Molecular Mechanisms and Clinical Implications of the Gold Drug Auranofin. Coord. Chem. Rev. 2023, 493, 215323. [Google Scholar] [CrossRef]
- Zhang, X.; Selvaraju, K.; Saei, A.A.; D’Arcy, P.; Zubarev, R.A.; Arnér, E.S.; Linder, S. Repurposing of Auranofin: Thioredoxin Reductase Remains a Primary Target of the Drug. Biochimie 2019, 162, 46–54. [Google Scholar] [CrossRef] [PubMed]
- Sharma, N.; Singh, A.; Sharma, R.; Kumar, A. Repurposing of Auranofin against Bacterial Infections: An in Silico and in Vitro Study. Curr. Comput. Aided. Drug Des. 2021, 17, 687–701. [Google Scholar] [CrossRef]
- Pickering, I.J.; Cheng, Q.; Rengifo, E.M.; Nehzati, S.; Dolgova, N.V.; Kroll, T.; Sokaras, D.; George, G.N.; Arner, E.S.J. Direct Observation of Methylmercury and Auranofin Binding to Selenocysteine in Thioredoxin Reductase. Inorg. Chem. 2020, 59, 2711–2718. [Google Scholar] [CrossRef]
- Checconi, P.; De Angelis, M.; Marcocci, M.E.; Fraternale, A.; Magnani, M.; Palamara, A.T.; Nencioni, L. Redox-Modulating Agents in the Treatment of Viral Infections. Int. J. Mol. Sci. 2020, 21, 4084. [Google Scholar] [CrossRef]
- Reiser, K.; François, K.O.; Schols, D.; Bergman, T.; Jörnvall, H.; Balzarini, J.; Karlsson, A.; Lundberg, M. Thioredoxin-1 and Protein Disulfide Isomerase Catalyze the Reduction of Similar Disulfides in HIV gp120. Int. J. Biochem. Cell Biol. 2012, 44, 556–562. [Google Scholar] [CrossRef]
- Laplantine, E.; Chable-Bessia, C.; Oudin, A.; Swain, J.; Soria, A.; Merida, P.; Gourdelier, M.; Mestiri, S.; Besseghe, I.; Bremaud, E.; et al. The FDA-Approved Drug Auranofin Has a Dual Inhibitory Effect on SARS-CoV-2 Entry and NF-κB Signaling. iScience 2022, 25, 105066. [Google Scholar] [CrossRef]
- Abbehausen, C.; Peterson, E.J.; de Paiva, R.E.F.; Corbi, P.P.; Formiga, A.L.B.; Qu, Y.; Farrell, N.P. Gold(I)-phosphine-N-Heterocycles: Biological Activity and Specific (Ligand) Interactions on the C-terminal HIV-NCp7 Zinc Finger. Inorg. Chem. 2013, 52, 11280–11287. [Google Scholar] [CrossRef]
- Gil-Moles, M.; O’Beirne, C.; Esarev, I.V.; Lippmann, P.; Tacke, M.; Cinatl, J.; Bojkova, D.; Ott, I. Silver N-Heterocyclic Carbene Complexes are Potent Uncompetitive Inhibitors of the Papain-Like Protease with Antiviral Activity against SARS-CoV-2. RSC Med. Chem. 2023, 14, 1260–1271. [Google Scholar] [CrossRef]
- Varna, D.; Geromichalos, G.; Gioftsidou, D.K.; Tzimopoulos, D.; Hatzidimitriou, A.G.; Dalezis, P.; Papi, R.; Trafalis, D.; Angaridis, P.A. N-Heterocyclic-carbene vs Diphosphine Auxiliary Ligands in Thioamidato Cu(I) and Ag(I) Complexes towards the Development of Potent and Dual-Activity Antibacterial and Apoptosis-inducing Anticancer Agents. J. Inorg. Biochem. 2024, 252, 112472. [Google Scholar] [CrossRef] [PubMed]
- Al Nasr, I.S.; Koko, W.S.; Khan, T.A.; Gurbuz, N.; Ozdemir, I.; Hamdi, N. Evaluation of Ruthenium(II) N-Heterocyclic Carbene Complexes as Enzymatic Inhibitory Agents with Antioxidant, Antimicrobial, Antiparasitical and Antiproliferative Activity. Molecules 2023, 28, 1359. [Google Scholar] [CrossRef] [PubMed]
- Dominique, N.L.; Jensen, I.M.; Kaur, G.; Kotseos, C.Q.; Boggess, W.C.; Jenkins, D.M.; Camden, J.P. Giving Gold Wings: Ultrabright and Fragmentation Free Mass Spectrometry Reporters for Barcoding, Bioconjugation Monitoring, and Data Storage. Angew. Chem. Int. Ed. Engl. 2023, 62, e202219182. [Google Scholar] [CrossRef] [PubMed]
- Kaplanai, E.; Tzouras, N.V.; Tsoureas, N.; Pozsoni, N.B.; Bhandary, S.; Van Hecke, K.; Nolan, S.P.; Vougioukalakis, G.C. Synthesis of N-Heterocyclic Carbene (NHC)-Au/Ag/Cu Benzotriazolyl Complexes and their Catalytic Activity in Propargylamide Cycloisomerization and Carbonyl Hydrosilylation Reactions. Dalton Transact. 2024, 53, 11001–11008. [Google Scholar] [CrossRef]
- Scattolin, T.; Tonon, G.; Botter, E.; Guillet, S.G.; Tzouras, N.V.; Nolan, S.P. Gold(I)-N-Heterocyclic Carbene Synthons in Organometallic Synthesis. Chem. Eur. J. 2023, 29, e202301961. [Google Scholar] [CrossRef]
- Seppanen, O.; Lenarda, A.; Nieger, M.; Helaja, J. In Situ Brønsted Acid Activated Cyclometalated N-Heterocyclic Carbene-Au(III)-Sulfonamide Complexes as Precatalysts for Alkyne Activation in Benzofuran Synthesis. Organometallics 2024, 43, 605–610. [Google Scholar] [CrossRef]
- Iacopetta, D.; Rosano, C.; Sirignano, M.; Mariconda, A.; Ceramella, J.; Ponassi, M.; Saturnino, C.; Sinicropi, M.S.; Longo, P. Is the Way to Fight Cancer Paved with Gold? Metal-based Carbene Complexes with Multiple and Fascinating Biological Features. Pharmaceuticals 2020, 13, 91. [Google Scholar] [CrossRef]
- Sahu, P.; Mandal, S.M.; Biswas, R.; Chakraborty, S.; Natarajan, R.; Isab, A.A.; Dinda, J. Design, Synthesis and Bioactivity Evaluation of Ag(I)-, Au(I)-and Au(III)-Quinoxaline-Wingtip N-Heterocyclic Carbene Complexes Against Antibiotic Resistant Bacterial Pathogens. ChemMedChem 2024, 19, e202400236. [Google Scholar] [CrossRef]
- Marques, A.; Carabineiro, S.A.; Aureliano, M.; Faleiro, L. Evaluation of Gold Complexes to Address Bacterial Resistance, Quorum Sensing, Biofilm Formation, and Their Antiviral Properties against Bacteriophages. Toxics 2023, 11, 879. [Google Scholar] [CrossRef]
- Pellegrino, M.; Checconi, P.; Ceramella, J.; Prezioso, C.; Limongi, D.; Marra, M.; Mariconda, A.; Catalano, A.; De Angelis, M.; Nencioni, L.; et al. Antibacterial and Anti-Influenza Activities of N-Heterocyclic Carbene–Gold Complexes. Pharmaceuticals 2024, 17, 1680. [Google Scholar] [CrossRef]
- Catalano, A.; Iacopetta, D.; Ceramella, J.; Mariconda, A.; Rosano, C.; Scumaci, D.; Saturnino, C.; Longo, P.; Sinicropi, M.S. New Achievements for the Treatment of Triple-Negative Breast Cancer. Appl. Sci. 2022, 12, 5554. [Google Scholar] [CrossRef]
- Mather, J.C.; Wyllie, J.A.; Hamilton, A.; da Costa, T.P.S.; Barnard, P.J. Antibacterial Silver and Gold Complexes of Imidazole and 1,2,4-Triazole Derived N-Heterocyclic Carbenes. Dalton Trans. 2022, 51, 12056–12070. [Google Scholar] [CrossRef] [PubMed]
- Augello, G.; Azzolina, A.; Rossi, F.; Prencipe, F.; Mangiatordi, G.F.; Saviano, M.; Ronga, L.; Cervello, M.; Tesauro, D. New Insights into the Behavior of NHC-Gold Complexes in Cancer Cells. Pharmaceutics 2023, 15, 466. [Google Scholar] [CrossRef] [PubMed]
- Karaca, Ö.; Scalcon, V.; Meier-Menches, S.M.; Bonsignore, R.; Brouwer, J.M.J.L.; Tonolo, F.; Folda, A.; Rigobello, M.P.; Kühn, F.E.; Casini, A. Characterization of Hydrophilic Gold(I) N-Heterocyclic Carbene (NHC) Complexes as Potent TrxR Inhibitors Using Biochemical and Mass Spectrometric Approaches. Inorg. Chem. 2017, 56, 14237–14250. [Google Scholar] [CrossRef] [PubMed]
- Karaaslan, M.G.; Aktaş, A.; Gürses, C.; Gök, Y.; Ateş, B. Chemistry, Structure, and Biological Roles of Au-NHC Complexes as TrxR Inhibitors. Bioorg. Chem. 2020, 95, 103552. [Google Scholar] [CrossRef]
- Schmidt, C.; Albrecht, L.; Balasupramaniam, S.; Misgeld, R.; Karge, B.; Brönstrup, M.; Prokop, A.; Baumann, K.; Reichl, S.; Ott, I.A. A Gold(I) Biscarbene Complex with Improved Activity as a TrxR Inhibitor and Cytotoxic Drug: Comparative Studies with Different Gold Metallodrugs. Metallomics 2019, 11, 533–545. [Google Scholar] [CrossRef]
- Goetzfried, S.; Kapitza, P.; Gallati, C.M.; Nindl, A.; Cziferszky, M.; Hermann, M.; Wurst, K.; Kircher, B.; Gust, R. Investigations on Reactivity, Stability and Biological Activity of Halido (NHC)gold(I) Complexes. Dalton Tranacts. 2022, 51, 1395–1406. [Google Scholar] [CrossRef]
- Jovanović, M.; Podolski-Renić, A.; Krasavin, M.; Pešić, M. The Role of the Thioredoxin Detoxification System in Cancer Progression and Resistance. Front. Mol. Biosci. 2022, 9, 883297. [Google Scholar] [CrossRef]
- Krishnamurthy, D.; Karver, M.R.; Fiorillo, E.; Orrú, V.; Stanford, S.M.; Bottini, N.; Barrios, A.M. Gold(I)-Mediated Inhibition of Protein Tyrosine Phosphatases: A Detailed in Vitro and Cellular Study. J. Med. Chem. 2008, 51, 4790–4795. [Google Scholar] [CrossRef]
- Trávníček, Z.; Vančo, J.; Čajan, M.; Belza, J.; Popa, I.; Hošek, J.; Lenobel, R.; Dvořák, Z. Gold(I) N-Heterocyclic Carbene (NHC) Complexes Containing 6-Mercaptopurine Derivatives and Their In Vitro Anticancer and Anti-Inflammatory Effects. Appl. Organomet. Chem. 2024, 38, e7401. [Google Scholar] [CrossRef]
- D’Amato, A.; Iacopetta, D.; Ceramella, J.; Troiano, R.; Mariconda, A.; Catalano, A.; Marra, M.; Saturnino, C.; Rosano, C.; Sinicropi, M.S.; et al. Design, Synthesis and Biological Evaluation of Multitarget Hybrid Molecules Containing NHC-Au(I) Complexes and Carbazole Moieties. Eur. J. Med. Chem. 2024, 277, 116757. [Google Scholar] [CrossRef] [PubMed]
- Marra, M.; Mariconda, A.; Iacopetta, D.; Ceramella, J.; D’Amato, A.; Rosano, C.; Tkachenko, K.; Pellegrino, M.; Aquaro, S.; Sinicropi, M.S.; et al. When Chirality Makes the Difference: The Case of Novel Enanntiopure N-Heterocyclic Carbene–Gold and–Silver Complexes. Molecules 2024, 29, 5262. [Google Scholar] [CrossRef] [PubMed]
- Al-Buthabhak, H.S.; Falasca, V.; Yu, Y.; Sobolev, A.N.; Skelton, B.W.; Moggach, S.A.; Ferro, V.; Al-Salami, H.; Baker, M.V. Au-NHC Complexes with Thiocarboxylate Ligands: Synthesis, Structure, Stability, Thiol Exchange and In Vitro Anticancer Activity. Appl. Organometal. Chem. 2024, 38, e6645. [Google Scholar] [CrossRef]
- Hickey, J.L.; Ruhayel, R.A.; Barnard, P.J.; Baker, M.V.; Berners-Price, S.J.; Filipovska, A. Mitochondria-Targeted Chemotherapeutics: The Rational Design of gold(I) N-Heterocyclic Carbene Complexes That Are Selectively Toxic to Cancer Cells and Target Protein Selenols in Preference to Thiols. J. Am. Chem. Soc. 2008, 130, 12570–12571. [Google Scholar] [CrossRef]
- Ma, X.; Zhao, Y.; Caligiuri, I.; Rizzolio, F.; Pozsoni, N.B.; Van Hecke, K.; Scattolin, T.; Nolan, S.P. Dinuclear NHC–Gold (I)–Thiolato and –Alkynyl Complexes: Synthesis, Anticancer Activity, and Catalytic Activity in Lactonization Reactions. Dalton Transact. 2024, 53, 7939–7945. [Google Scholar] [CrossRef]
- Galassi, R.; Sargentoni, N.; Renzi, S.; Luciani, L.; Bartolacci, C.; Pattabhi, P.; Andreani, C.; Pucciarelli, S. Anticancer Activity of Imidazolyl Gold (I/III) Compounds in Non-Small Cell Lung Cancer Cell Lines. Pharmaceuticals 2024, 17, 1133. [Google Scholar] [CrossRef]
- Mariconda, A.; Iacopetta, D.; Sirignano, M.; Ceramella, J.; D’Amato, A.; Marra, M.; Pellegrino, M.; Sinicropi, M.S.; Aquaro, S.; Longo, P. Silver and Gold Complexes with NHC-Ligands Derived from Caffeine: Catalytic and Pharmacological Activity. Int. J. Mol. Sci. 2024, 25, 2599. [Google Scholar] [CrossRef]
- Aires, R.L.; Santos, I.A.; Fontes, J.V.; Bergamini, F.R.G.; Jardim, A.C.G.; Abbehausen, C. Triphenylphosphine Gold (I) Derivatives Promote Antiviral Effects against the Chikungunya Virus. Metallomics 2022, 14, mfac056. [Google Scholar] [CrossRef]
- Oliveira, I.S.; Garcia, M.S.A.; Cassani, N.M.; Oliveira, A.L.C.; Freitas, L.C.F.; Bertolini, V.K.S.; Castro, J.; Clauss, G.; Honorato, J.; Gadelha, F.R.; et al. Exploring Antiviral and antiparasitic Activity of Gold N-Heterocyclic Carbenes with Thiolate Ligands. Dalton Trans. 2024, 53, 18963–18973. [Google Scholar] [CrossRef]
- Case, J.B.; Rothlauf, P.W.; Chen, R.E.; Liu, Z.; Zhao, H.; Kim, A.S.; Bloyet, L.M.; Zeng, Q.; Tahan, S.; Droit, L.; et al. Neutralizing Antibody and Soluble ACE2 Inhibition of a Replication-Competent VSV-SARS-CoV-2 and a Clinical Isolate of SARS-CoV-2. Cell Host Microbe 2020, 28, 475–485.e475. [Google Scholar] [CrossRef]
Disclaimer/Publisher’s Note: The statements, opinions and data contained in all publications are solely those of the individual author(s) and contributor(s) and not of MDPI and/or the editor(s). MDPI and/or the editor(s) disclaim responsibility for any injury to people or property resulting from any ideas, methods, instructions or products referred to in the content. |
© 2025 by the authors. Licensee MDPI, Basel, Switzerland. This article is an open access article distributed under the terms and conditions of the Creative Commons Attribution (CC BY) license (https://creativecommons.org/licenses/by/4.0/).



























