Enhancing the Solubility of Isoconazole Nitrate Using Methyl-β-Cyclodextrin: Formulation and Characterization of Inclusion Complexes
Abstract
1. Introduction
2. Results and Discussion
2.1. Determination of Purity and Quantification of Isoconazole Nitrate via HPLC
2.2. Characterization of ISN/M-β-CD Inclusion Complexes
2.2.1. Phase Solubility Studies and Stability Analysis
2.2.2. Drug Content (DC) Determination
2.2.3. Solubility Assessment of ISN/M-β-CD Inclusion Complexes
2.2.4. Morphological Evaluation via Scanning Electron Microscopy (SEM)
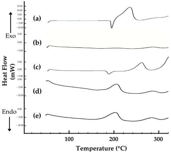
2.2.5. Thermal Behavior Analysis via Differential Scanning Calorimetry (DSC)
2.2.6. Functional Group Interactions via Fourier-Transform Infrared Spectroscopy (FT-IR)
2.2.7. Structural Confirmation via Proton Nuclear Magnetic Resonance (¹H-NMR) Analysis
3. Materials and Methods
3.1. Materials
3.2. High-Performance Liquid Chromatography (HPLC) Analysis of Isoconazole Nitrate
3.3. Phase Solubility Studies
3.4. Preparation of Isoconazole Nitrate/Methyl-β-Cyclodextrin Inclusion Complexes
3.4.1. Physical Mixing Method
3.4.2. Spray-Drying Method
3.4.3. Lyophilization (Freeze-Drying) Method
3.5. Characterization of Inclusion Complexes
3.5.1. Morphological Analysis via Scanning Electron Microscopy (SEM)
3.5.2. Determination of Isoconazole Nitrate Content in Inclusion Complexes
3.5.3. Solubility Analysis of Inclusion Complexes in Distilled Water
3.5.4. Thermal Analysis via Differential Scanning Calorimetry (DSC)
3.5.5. Structural Analysis via Fourier-Transform Infrared Spectroscopy (FT-IR)
3.5.6. Molecular Interaction Analysis via Proton Nuclear Magnetic Resonance (¹H-NMR)
4. Conclusions
Author Contributions
Funding
Institutional Review Board Statement
Informed Consent Statement
Data Availability Statement
Acknowledgments
Conflicts of Interest
Abbreviations
| ISN | Isoconazole nitrate |
| M-β-CD | Methyl-β-cyclodextrin |
| SEM | Scanning electron microscopy |
| FT-IR | Fourier-transform infrared spectroscopy |
| 1H-NMR | Proton nuclear magnetic resonance |
| DSC | Differential scanning calorimetry |
| FD | Freeze-drying |
| SD | Spray-drying |
| HPLC | High-performance liquid chromatography |
| PM | Physical mixture |
| DMSO-d6 | Deuterated dimethyl sulfoxide |
| DC% | Drug content percentage |
| RSD | Relative standard deviation |
| AL-type | Linear phase solubility diagram type A |
| K1:1 | Stability constant for 1:1 drug–CD complex |
| KS | Stability constant |
| R² | Correlation coefficient |
| δ | Chemical shift (for NMR spectroscopy) |
| ppm | Parts per million |
References
- Gülüstan, F.; Abakay, M.A.; Demir, E. Efficacy of topical isoconazole nitrate in the treatment of otomycosis. Am. J. Otolaryngol. 2021, 42, 102961. [Google Scholar] [CrossRef] [PubMed]
- Ivancic, A.; Macaev, F.; Aksakal, F.; Boldescu, V.; Pogrebnoi, S.; Duca, G. Preparation of alginate-chitosan-cyclodextrin micro- and nanoparticles loaded with anti-tuberculosis compounds. Beilstein J. Nanotechnol. 2016, 7, 1208–1218. [Google Scholar] [CrossRef]
- Ghannoum, M.A.; Rice, L.B. Antifungal agents: Mode of action, mechanisms of resistance, and correlation of these mechanisms with bacterial resistance. Clin. Microbiol. Rev. 1999, 12, 501–517. [Google Scholar] [CrossRef] [PubMed]
- Cowen, L.E.; Sanglard, D.; Howard, S.J.; Rogers, P.D.; Perlin, D.S. Mechanisms of antifungal drug resistance. Cold Spring Harb. Perspect. Med. 2014, 5, a019752. [Google Scholar] [CrossRef] [PubMed]
- Veraldi, S. Isoconazole nitrate: A unique broad-spectrum antimicrobial azole effective in the treatment of dermatomycoses, both as monotherapy and in combination with corticosteroids. Mycoses 2013, 56, 3–15. [Google Scholar] [CrossRef]
- Samineni, R.; Chimakurthy, J.; Konidala, S. Emerging role of biopharmaceutical classification and biopharmaceutical drug disposition system in dosage form development: A systematic review. Turk. J. Pharm. Sci. 2022, 19, 706–713. [Google Scholar] [CrossRef]
- Ghareeb, M.; Mohammed, M. Topical nanoemulsion-based gel of isoconazole nitrate. Al Mustansiriyah J. Pharm. Sci. 2023, 23, 378–396. [Google Scholar] [CrossRef]
- Alloush, T.; Yurtdaş Kırımlıoğlu, G. Development of vaginal in situ gel containing ISN/HP-β-CD inclusion complex for enhanced solubility and antifungal efficacy. Polymers 2025, 17, 514. [Google Scholar] [CrossRef]
- Nicolaescu, O.E.; Belu, I.; Mocanu, A.G.; Manda, V.C.; Rău, G.; Pîrvu, A.S.; Ionescu, C.; Ciulu-Costinescu, F.; Popescu, M.; Ciocîlteu, M.V. Cyclodextrins: Enhancing drug delivery, solubility, and bioavailability for modern therapeutics. Pharmaceutics 2025, 17, 288. [Google Scholar] [CrossRef]
- Zhou, J.; Jia, J.; He, J.; Li, J.; Cai, J. Cyclodextrin inclusion complexes and their application in food safety analysis: Recent developments and future prospects. Foods 2022, 11, 3871. [Google Scholar] [CrossRef]
- Musuc, A.M. Cyclodextrins: Advances in chemistry, toxicology, and multifaceted applications. Molecules 2024, 29, 5319. [Google Scholar] [CrossRef] [PubMed]
- Saha, S.; Roy, A.; Roy, K.; Roy, M.N. Study to explore the mechanism to form inclusion complexes of β-cyclodextrin with vitamin molecules. Sci. Rep. 2016, 6, 35764. [Google Scholar] [CrossRef]
- Esteso, M.A.; Romero, C.M. Cyclodextrins: Properties and applications. Int. J. Mol. Sci. 2024, 25, 4547. [Google Scholar] [CrossRef] [PubMed]
- Sandilya, A.A.; Natarajan, U.; Priya, M.H. Molecular view into the cyclodextrin cavity: Structure and hydration. ACS Omega 2020, 5, 25655–25667. [Google Scholar] [CrossRef]
- Rajamohan, R.; Muthuraja, P.; Murugavel, K.; Mani, M.K.; Prabakaran, D.S.; Seo, J.H.; Malik, T.; Lee, Y.R. Significantly improving the solubility and anti-inflammatory activity of fenofibric acid with native and methyl-substituted beta-cyclodextrins via complexation. Sci. Rep. 2025, 15, 853. [Google Scholar] [CrossRef]
- Miranda, J.C.; Martins, T.E.A.; Veiga, F.; Ferraz, H.G. Cyclodextrins and ternary complexes: Technology to improve solubility of poorly soluble drugs. Braz. J. Pharm. Sci. 2011, 47, 666–680. [Google Scholar] [CrossRef]
- Fu, X.-Y.; Yin, H.; Chen, X.-T.; Yao, J.-F.; Ma, Y.-N.; Song, M.; Xu, H.; Yu, Q.-Y.; Du, S.-S.; Qi, Y.-K.; et al. Three Rounds of Stability-Guided Optimization and Systematical Evaluation of Oncolytic Peptide LTX-315. J. Med. Chem. 2024, 67, 3885–3908. [Google Scholar] [CrossRef]
- Kim, J.; Choi, Y.; Park, J.; Lee, H.-Y.; Choi, J. Peptides conjugation on biomaterials: Chemical conjugation approaches and their promoted multifunction for biomedical applications. Biotechnol. Bioprocess Eng. 2024, 29, 427–439. [Google Scholar] [CrossRef]
- Cooper, B.M.; Iegre, J.; O’Donovan, D.H.; Ölwegård Halvarsson, M.; Spring, D.R. Peptides as a platform for targeted therapeutics for cancer: Peptide–drug conjugates (PDCs). Chem. Soc. Rev. 2021, 50, 1480–1494. [Google Scholar] [CrossRef]
- Wu, Y.; Williams, J.; Calder, E.D.D.; Walport, L.J. Strategies to expand peptide functionality through hybridisation with a small molecule component. RSC Chem. Biol. 2021, 2, 151–165. [Google Scholar] [CrossRef]
- Shabir, G.A. Validation of high-performance liquid chromatography methods for pharmaceutical analysis: Understanding the differences and similarities between validation requirements of the US Food and Drug Administration, the US Pharmacopeia, and the International Conference on Harmonization. J. Chromatogr. A 2003, 987, 57–66. [Google Scholar] [CrossRef] [PubMed]
- International Conference on Harmonisation (ICH). Validation of Analytical Procedures: Text and Methodology Q2(R1). In ICH Harmonised Tripartite Guideline; ICH: Geneva, Switzerland, 2005; Available online: https://database.ich.org/sites/default/files/Q2%28R1%29%20Guideline.pdf (accessed on 7 March 2025).
- Kırımlıoğlu, G.Y.; Yazan, Y.; Erol, K.; Çengelli Ünel, Ç. Gamma-aminobutyric acid loaded halloysite nanotubes and in vitro-in vivo evaluation for brain delivery. Int. J. Pharm. 2015, 495, 816–826. [Google Scholar] [CrossRef]
- Yurtdaş Kırımlıoğlu, G. Host-guest inclusion complex of desloratadine with 2-(hydroxy)propyl-β-cyclodextrin (HP-β-CD): Preparation, binding behaviors, and dissolution properties. J. Res. Pharm. 2020, 24, 693–707. [Google Scholar] [CrossRef]
- Higuchi, T.; Connors, K.A. Phase solubility techniques. Adv. Anal. Chem. Instrum. 1965, 4, 117–210. [Google Scholar]
- Doile, M.M.; Fortunato, K.A.; Schmücker, I.C.; Schucko, S.K.; Silva, M.A.S.; Rodrigues, P.O. Physicochemical properties and dissolution studies of dexamethasone acetate-β-cyclodextrin inclusion complexes produced by different methods. AAPS PharmSciTech 2008, 9, 314–321. [Google Scholar] [CrossRef] [PubMed]
- Loftsson, T.; Jarho, P.; Másson, M.; Järvinen, T. Cyclodextrins in drug delivery. Expert Opin. Drug Deliv. 2005, 2, 335–351. [Google Scholar] [CrossRef]
- Yurtdaş, G.; Demirel, M.; Genç, L. Inclusion complexes of fluconazole with β-cyclodextrin: Physicochemical characterization and in vitro evaluation of its formulation. J. Incl. Phenom. Macrocycl. Chem. 2011, 70, 429–435. [Google Scholar] [CrossRef]
- Deng, Y.; Pang, Y.; Guo, Y.; Ren, Y.; Wang, F.; Liao, X.; Yang, B. Host-guest inclusion systems of daidzein with 2-hydroxypropyl-β-cyclodextrin (HP-β-CD) and sulfobutyl ether-β-cyclodextrin (SBE-β-CD): Preparation, binding behaviors and water solubility. J. Mol. Struct. 2016, 1118, 307–315. [Google Scholar] [CrossRef]
- Tang, P.; Ma, X.; Wu, D.; Li, S.; Xu, K.; Tang, B.; Li, H. Posaconazole/hydroxypropyl-β-cyclodextrin host–guest system: Improving dissolution while maintaining antifungal activity. Carbohydr. Polym. 2016, 142, 16–23. [Google Scholar] [CrossRef]
- Spulber, M.; Pinteala, M.; Harbagiu, V.; Simionescu, B.C. Inclusion complexes of sulconazole with β-cyclodextrin and hydroxypropyl β-cyclodextrin: Characterization in aqueous solution and in solid state. J. Incl. Phenom. Macrocycl. Chem. 2008, 61, 41–51. [Google Scholar] [CrossRef]
- Figueiras, A.; Cardoso, O.; Veiga, F.J.; de Carvalho, R.B.F.; Ballaro, G. Preparation and Characterization of Trimethoprim Inclusion Complex with Methyl-β-Cyclodextrin and Determination of Its Antimicrobial Activity. Pharm. Anal. Acta 2015, 6, 1000405. [Google Scholar] [CrossRef]
- Ribeiro, A.; Figueiras, A.; Santos, D.; Veiga, F. Preparation and solid-state characterization of inclusion complexes formed between miconazole and methyl-β-cyclodextrin. AAPS PharmSciTech 2008, 9, 1102–1109. [Google Scholar] [CrossRef]
- Giordano, F.; Novak, C.; Moyano, J.R. Thermal analysis of cyclodextrins and their inclusion compounds. Thermochim. Acta 2001, 380, 123–151. [Google Scholar] [CrossRef]
- Vieira, A.C.C.; Ferreira Fontes, D.A.; Chaves, L.L.; Alves, L.D.S.; de Freitas Neto, J.L.; de La Roca Soares, M.F.; Soares-Sobrinho, J.L.; Rolim, L.A.; Rolim-Neto, P.J. Multicomponent Systems with Cyclodextrins and Hydrophilic Polymers for the Delivery of Efavirenz. Carbohydr. Polym. 2015, 130, 133–140. [Google Scholar] [CrossRef] [PubMed]
- Demirel, M.; Yurtdaş, G.; Genç, L. Inclusion Complexes of Ketoconazole with Beta-Cyclodextrin: Physicochemical Characterization and In Vitro Dissolution Behaviour of Its Vaginal Suppositories. J. Incl. Phenom. Macrocycl. Chem. 2011, 70, 437–445. [Google Scholar] [CrossRef]
- Ol’khovich, M.V.; Sharapova, A.V.; Perlovich, G.L.; Skachilova, S.Y.; Zheltukhin, N.K. Inclusion Complex of Antiasthmatic Compound with 2-Hydroxypropyl-β-Cyclodextrin: Preparation and Physicochemical Properties. J. Mol. Liq. 2017, 237, 185–192. [Google Scholar] [CrossRef]
- Abd El-Gawad, A.E.-G.H.; Soliman, O.A.; El-Dahan, M.S.; Al-Zuhairy, S.A.S. Improvement of the ocular bioavailability of econazole nitrate upon complexation with cyclodextrins. AAPS PharmSciTech 2017, 18, 1795–1809. [Google Scholar] [CrossRef]
- Zhang, Y.; Li, F.; Guo, G.; Xiu, Y.; Yan, H.; Zhao, L.; Gao, S.; Ye, F.; Fu, Y. Preparation and characterization of betulin/methyl-beta-cyclodextrin inclusion complex electrospun nanofiber: Improving the properties of betulin. Ind. Crops Prod. 2024, 209, 117974. [Google Scholar] [CrossRef]
- Güleç, K.; Demirel, M. Characterization and Antioxidant Activity of Quercetin/Methyl-β-Cyclodextrin Complexes. Curr. Drug Deliv. 2016, 13, 444–451. [Google Scholar] [CrossRef]
- Kaminski, L.; Degenhardt, M.; Ermer, J.; Feußner, C.; Höwer-Fritzen, H.; Link, P.; Renger, B.; Tegtmeier, M.; Wätzig, H. Efficient and economic HPLC performance qualification. J. Pharm. Biomed. Anal. 2010, 51, 557–564. [Google Scholar] [CrossRef]
- Heidorn, M. The Role of Temperature and Column Thermostatting in Liquid Chromatography; Thermo Fisher Scientific: Germering, Germany, 2016; Available online: https://assets.thermofisher.com/TFS-Assets/CMD/Reference-Materials/WP-71499-LC-Temperature-Column-Thermostatting-WP71499-EN.pdf (accessed on 7 March 2025).







| Protons | M-β-CD (Free) (δ, ppm) | SD Complex (δ, ppm) | Δδ (SD) | FD Complex (δ, ppm) | Δδ (FD) |
|---|---|---|---|---|---|
| H-3 | 3.461 | 3.460 | −0.001 | 3.547 | +0.086 |
| H-5 | 3.347 | 3.341 | −0.006 | 3.373 | +0.026 |
Disclaimer/Publisher’s Note: The statements, opinions and data contained in all publications are solely those of the individual author(s) and contributor(s) and not of MDPI and/or the editor(s). MDPI and/or the editor(s) disclaim responsibility for any injury to people or property resulting from any ideas, methods, instructions or products referred to in the content. |
© 2025 by the authors. Licensee MDPI, Basel, Switzerland. This article is an open access article distributed under the terms and conditions of the Creative Commons Attribution (CC BY) license (https://creativecommons.org/licenses/by/4.0/).
Share and Cite
Alloush, T.; Yurtdaş Kırımlıoğlu, G. Enhancing the Solubility of Isoconazole Nitrate Using Methyl-β-Cyclodextrin: Formulation and Characterization of Inclusion Complexes. Molecules 2025, 30, 1654. https://doi.org/10.3390/molecules30081654
Alloush T, Yurtdaş Kırımlıoğlu G. Enhancing the Solubility of Isoconazole Nitrate Using Methyl-β-Cyclodextrin: Formulation and Characterization of Inclusion Complexes. Molecules. 2025; 30(8):1654. https://doi.org/10.3390/molecules30081654
Chicago/Turabian StyleAlloush, Tarek, and Gülsel Yurtdaş Kırımlıoğlu. 2025. "Enhancing the Solubility of Isoconazole Nitrate Using Methyl-β-Cyclodextrin: Formulation and Characterization of Inclusion Complexes" Molecules 30, no. 8: 1654. https://doi.org/10.3390/molecules30081654
APA StyleAlloush, T., & Yurtdaş Kırımlıoğlu, G. (2025). Enhancing the Solubility of Isoconazole Nitrate Using Methyl-β-Cyclodextrin: Formulation and Characterization of Inclusion Complexes. Molecules, 30(8), 1654. https://doi.org/10.3390/molecules30081654

