Theoretical Kinetic Study of Thermal Decomposition of 5-Methyl-2-ethylfuran
Abstract
1. Introduction
2. Results and Discussion
2.1. Potential Energy Surfaces
2.1.1. Unimolecular Dissociation Reaction Potential Energy Surface of 5-MEF
2.1.2. H-Transfer Decompositions Potential Energy Surface of 5-MEF
2.1.3. H-Abstraction Reaction Potential Energy Surface of 5-MEF
2.1.4. H-Addition Reaction Potential Energy Surface of 5-MEF
2.2. Temperature and Pressure-Dependent Rate Coefficients
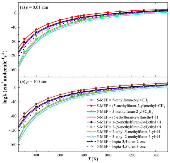
2.2.1. Unimolecular Dissociation and H-Transfer Decomposition Reaction Rate Constants for 5-MEF
2.2.2. H-Abstraction Reaction Rate Constants for 5-MEF
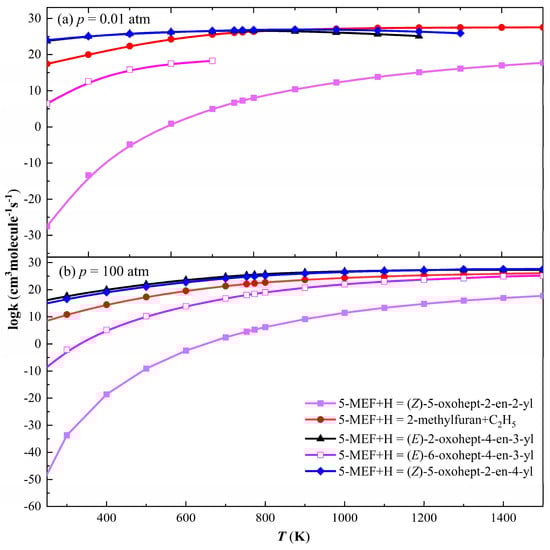
2.2.3. H-Addition Reaction Rate Constants for 5-MEF
3. Theoretical and Computational Methods
3.1. Electronic Structure Methods
3.2. Reaction Kinetics
4. Conclusions
Supplementary Materials
Author Contributions
Funding
Institutional Review Board Statement
Informed Consent Statement
Data Availability Statement
Conflicts of Interest
References
- Jiang, Z.W.; Zeng, Y.J.; Hu, D.; Guo, R.C.; Yan, K.; Luque, R. Chemical transformations of 5-hydroxymethylfurfural into highly added value products: Present and future. Green Chem. 2023, 25, 871–892. [Google Scholar]
- Yang, X.Y.; Zhang, J.P.; Zheng, J.; Liu, Z.C.; Liu, J.S.; Li, S.R.; Ye, Y.Y.; Xie, W.; Fan, J.Q.; Lan, H.Q.; et al. In-situ and ex-situ catalytic pyrolysis of cellulose to produce furans over red mud-supported transition metal catalysts. J. Anal. Appl. Pyrolysis 2023, 169, 105830. [Google Scholar] [CrossRef]
- Ghosh, M.; Mishra, S.; Monir, K.; Hajra, A. Copper-catalyzed regioselective synthesis of furan via tandem cycloaddition of ketone with an unsaturated carboxylic acid under air. Org. Biomol. Chem. 2015, 13, 309–314. [Google Scholar] [PubMed]
- Zhu, Y.F.; Li, W.B.; Huang, Y.B.; Zheng, Y.W.; Wang, D.; Ye, Y.Y.; Li, S.R.; Zheng, Z.F. Catalytic pyrolysis of cellulose over solid acidic catalysts: An environment-friendly method for furan production. Biomass Convers. Biorefin. 2021, 11, 2695–2702. [Google Scholar] [CrossRef]
- Gupta, K.; Rai, R.K.; Dwivedi, A.D.; Singh, S.K. Catalytic Aerial Oxidation of Biomass-Derived Furans to Furan Carboxylic Acids in Water over Bimetallic Nickel-Palladium Alloy Nanoparticles. ChemCatChem 2017, 9, 2760–2767. [Google Scholar] [CrossRef]
- Eldeeb, M.A.; Akih-Kumgeh, B. Recent Trends in the Production, Combustion and Modeling of Furan-Based Fuels. Energies 2018, 11, 512. [Google Scholar] [CrossRef]
- Eldeeb, M.A.; Akih-Kumgeh, B. Investigation of 2,5-dimethyl furan and iso-octane ignition. Combust. Flame 2015, 162, 2454–2465. [Google Scholar] [CrossRef]
- Somers, K.P.; Simmie, J.M.; Gillespie, F.; Conroy, C.; Black, G.; Metcalfe, W.K.; Battin-Leclerc, F.; Dirrenberger, P.; Herbinet, O.; Glaude, P.A.; et al. A comprehensive experimental and detailed chemical kinetic modelling study of 2,5-dimethylfuran pyrolysis and oxidation. Combust. Flame 2013, 160, 2291–2318. [Google Scholar] [CrossRef]
- Tanoue, K.; Takayama, T.; Ueno, S.; Mieno, T.; Irikura, K.; Kiritani, T.; Obata, K.; Naiki, T.; Watanabe, M. Study on the combustion characteristics of furan- and nitromethane-added hydrocarbon fuels. Fuel 2021, 287, 119550. [Google Scholar] [CrossRef]
- Whelan, C.A.; Eble, J.; Mir, Z.S.; Blitz, M.A.; Seakins, P.W.; Olzmann, M.; Stone, D. Kinetics of the Reactions of Hydroxyl Radicals with Furan and Its Alkylated Derivatives 2-Methyl Furan and 2,5-Dimethyl Furan. J. Phys. Chem. A 2020, 124, 7416–7426. [Google Scholar] [CrossRef]
- Pintor, D.L.; Cho, S. Effects of the stability of 2-methyl furan and 2, 5 dimethyl furan on the autoignition and combustion characteristics of a gasoline-like fuel. Fuel 2022, 312, 122990. [Google Scholar]
- Wu, S.H.; Tay, K.L.; Li, J.; Yang, W.M.; Yang, S.L. Development of a compact and robust kinetic mechanism for furan group biofuels combustion in internal combustion engines. Fuel 2021, 298, 120824. [Google Scholar] [CrossRef]
- Tranter, R.S.; Lynch, P.T.; Randazzo, J.B.; Lockhart, J.P.A.; Chen, X.; Goldsmith, C.F. High temperature pyrolysis of 2-methyl furan. Phys. Chem. Chem. Phys. 2018, 20, 10826–10837. [Google Scholar] [CrossRef]
- Xu, N.; Tang, C.L.; Meng, X.; Fan, X.S.; Tian, Z.M.; Huang, Z.H. Experimental and Kinetic Study on the Ignition Delay Times of 2,5-Dimethylfuran and the Comparison to 2-Methylfuran and Furan. Energy Fuels 2015, 29, 5372–5381. [Google Scholar] [CrossRef]
- Wang, J.L.; Ding, W.M.; Gao, X.Z.; Wang, H.; Li, W.; Xu, Q.; Zhong, X.; Cheng, Z.J.; Wang, H.; Wang, Z.D.; et al. Experimental and kinetic model studies on the pyrolysis of 2-furfuryl alcohol at two reactors: Flow reactor and jet-stirred reactor. Combust. Flame 2022, 244, 112275. [Google Scholar]
- Li, P.D.; He, W.; Wang, J.L.; Song, S.B.; Wang, J.; Lv, T.L.; Yang, J.Z.; Cheng, Z.J.; Wei, L.X. Experimental and kinetic modeling investigations on low-temperature oxidation of 2-ethylfuran in a jet-stirred reactor. Combust. Flame 2022, 241, 112098. [Google Scholar]
- Su, H.J.; Wang, J.L.; Zou, J.B.; Xu, Q.; Yang, J.Z.; Cheng, Z.J.; Wei, L.X. Experimental and Kinetic Modeling Studies of 3-Methylfuran Pyrolysis at Low and Atmospheric Pressures. Energy Fuels 2020, 34, 981–988. [Google Scholar]
- He, W.; Xu, Q.; Xie, C.; Yin, J.Z.; Li, P.D.; Wang, Z.D.; Zhang, L.D.; Wei, L.X. Experimental and kinetic modeling studies of 2-acetylfuran pyrolysis at atmospheric pressure. Combust. Flame 2022, 236, 111824. [Google Scholar]
- Yan, B.B.; Wang, J.L.; Meng, Q.H.; Cheng, Z.J.; Wei, L.X.; Zhang, Y.; Cao, C.C.; Yang, J.Z.; Chen, G.Y. Experimental and Kinetic Modeling Studies of Methyl 2-Furoate Pyrolysis at Atmospheric Pressure. Energy Fuels 2019, 33, 4611–4620. [Google Scholar]
- He, W.; Zhang, Q.C.; Chen, K.X.; Nie, Y.S.; Li, Y.; Zhu, L.C.; Shen, K. Theoretical Study of the Decomposition Reactions of 2-Vinylfuran. ACS Omega 2024, 9, 19063–19070. [Google Scholar] [CrossRef]
- St. John, P.C.; Guan, Y.F.; Kim, Y.; Kim, S.; Paton, R.S. Prediction of organic homolytic bond dissociation enthalpies at near chemical accuracy with sub-second computational cost. Nat. Commun. 2020, 11, 2328. [Google Scholar]
- Montgomery, J.A.; Frisch, M.J.; Ochterski, J.W.; Petersson, G.A. A complete basis set model chemistry. VI. Use of density functional geometries and frequencies. J. Chem. Phys. 1999, 110, 2822–2827. [Google Scholar]
- Fukui, K. The path of chemical reactions—The IRC approach. Acc. Chem. Res. 1981, 14, 363–368. [Google Scholar]
- Sirjean, B.; Fournet, R.; Glaude, P.-A.; Ruiz-López, M.F. Extension of the composite CBS-QB3 method to singlet diradical calculations. Chem. Phys. Lett. 2007, 435, 152–156. [Google Scholar]
- Frisch, M.J.; Scalmani, G.W.T.; Barone, V.; Mennucci, B.; Petersson, G.A.; Nakatsuji, H.; Caricato, M.; Li, X.; Hratchian, H.P.; Izmaylov, A.F.; et al. Gaussian09; Gaussian Inc.: Wallingford, CT, USA, 2013. [Google Scholar]
- Eckart, C. The Penetration of a Potential Barrier by Electrons. Phys. Rev. 1930, 35, 1303–1309. [Google Scholar]
- Georgievskii, Y.; Miller, J.A.; Burke, M.P.; Klippenstein, S.J. Reformulation and Solution of the Master Equation for Multiple-Well Chemical Reactions. J. Phys. Chem. A 2013, 117, 12146–12154. [Google Scholar] [PubMed]
- Georgievskii, Y.; Klippenstein, S.J. MESS; Argonne National Laboratory: Lemont, IL, USA, 2016. [Google Scholar]
- Klippenstein, S.J.; Miller, J.A. From the time-dependent, multiple-well master equation to phenomenological rate coefficients. J. Phys. Chem. A 2002, 106, 9267–9277. [Google Scholar]
- Date, N.; Hase, W.L.; Gilbert, R.G. Collisional deactivation of highly vibrationally excited molecules. Dynamics of the collision event. J. Phys. Chem. 1984, 88, 5135–5138. [Google Scholar]
- Klippenstein, S.J. From theoretical reaction dynamics to chemical modeling of combustion. Proc. Combust. Inst. 2017, 36, 77–111. [Google Scholar]
- Joback, K.G.; Reid, R.C. Estimation of pure-component properties from group-contributions. Chem. Eng. Commun. 1987, 57, 233–243. [Google Scholar] [CrossRef]









Disclaimer/Publisher’s Note: The statements, opinions and data contained in all publications are solely those of the individual author(s) and contributor(s) and not of MDPI and/or the editor(s). MDPI and/or the editor(s) disclaim responsibility for any injury to people or property resulting from any ideas, methods, instructions or products referred to in the content. |
© 2025 by the authors. Licensee MDPI, Basel, Switzerland. This article is an open access article distributed under the terms and conditions of the Creative Commons Attribution (CC BY) license (https://creativecommons.org/licenses/by/4.0/).
Share and Cite
He, W.; Wang, C.; Zhang, Q.; Chen, K.; Shen, L.; Li, Y.; Shen, K. Theoretical Kinetic Study of Thermal Decomposition of 5-Methyl-2-ethylfuran. Molecules 2025, 30, 1595. https://doi.org/10.3390/molecules30071595
He W, Wang C, Zhang Q, Chen K, Shen L, Li Y, Shen K. Theoretical Kinetic Study of Thermal Decomposition of 5-Methyl-2-ethylfuran. Molecules. 2025; 30(7):1595. https://doi.org/10.3390/molecules30071595
Chicago/Turabian StyleHe, Wei, Cheng Wang, Qichuan Zhang, Kaixuan Chen, Linghao Shen, Yan Li, and Kang Shen. 2025. "Theoretical Kinetic Study of Thermal Decomposition of 5-Methyl-2-ethylfuran" Molecules 30, no. 7: 1595. https://doi.org/10.3390/molecules30071595
APA StyleHe, W., Wang, C., Zhang, Q., Chen, K., Shen, L., Li, Y., & Shen, K. (2025). Theoretical Kinetic Study of Thermal Decomposition of 5-Methyl-2-ethylfuran. Molecules, 30(7), 1595. https://doi.org/10.3390/molecules30071595

