Pharmacochemical Studies of Synthesized Coumarin–Isoxazole–Pyridine Hybrids
Abstract
1. Introduction
2. Results and Discussion



2.1. Biology
2.2. Biochemistry
3. Materials and Methods
3.1. Materials
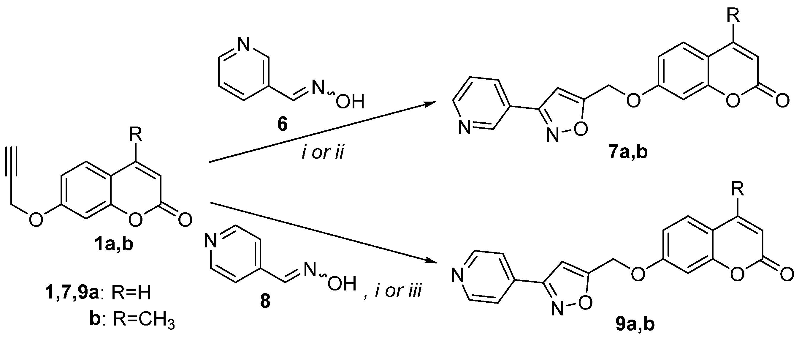
3.2. Chemistry
General Procedure of the 1,3-dipolar Cycloaddition Reactions of Propargyl Coumarins with Pyridine Aldoximes and Synthesis of (3-(pyridin-2-yl)isoxazol-5-yl)methoxy)-2H-chromen-2-one (3a)
- (3-(Pyridin-2-yl)isoxazol-5-yl)methoxy)-2H-chromen-2-one (3a)
- 4-Methyl-7-((3-(pyridin-4-yl)isoxazol-5-yl)methoxy)-2H-chromen-2-one (3b).
3.3. Biological Experiments
3.3.1. Inhibition of Linoleic Acid Peroxidation
3.3.2. Soybean Lipoxygenase Inhibition Study
3.4. Biochemical Experiments
3.4.1. Cell Culture
3.4.2. Cytotoxicity Evaluation
4. Conclusions
Supplementary Materials
Author Contributions
Funding
Data Availability Statement
Acknowledgments
Conflicts of Interest
Abbreviations
| DMSO | Dimethyl Sulfoxide |
| SD | Standard Deviation |
| TLC | Thin Layer Chromatography |
References
- Oliveira de Almeida, A.J.P.; Lúcio de Oliveira, J.C.P.; Virgolino da Silva Pontes, L.; Frederico de Souza Júnior, J.; Gonçalves, T.A.F.; Dantas, S.H.; Silva de Almeida Feitosa, M.; Silva, A.O.; Almeida de Medeiros, I. ROS: Basic concepts, sources, cellular signalling, and its implications in aging pathways. Oxid. Med. Cell Longev. 2022, 2022, 1225578. [Google Scholar] [CrossRef]
- Pontiki, E.; Hadjipavlou-Litina, D. Lipoxygenases superfamily (LOX): An interesting target for the development of inhibitors-promising drugs against cell differentiation, inflammation and carcinogenesis. Curr. Enz. Inh. 2005, 1, 309–328. [Google Scholar] [CrossRef]
- Elmusa, S.; Elmusa, M.; Elmusa, B.; Kasimogullari, R. Coumarins: Chemical Synthesis, Properties and Applications. Duzce Univ. J. Sci. Techn. 2025, 13, 131–170. [Google Scholar] [CrossRef]
- Citarella, A.; Vittorio, S.; Dank, C.; Ielo, L. Syntheses, reactivity, and biological applications of coumarins. Front. Chem. 2024, 12, 1362992. [Google Scholar] [CrossRef]
- Fernandez-Peña, L.; Matos, M.J.; López, E. Recent Advances in Biologically Active Coumarins from Marine Sources: Synthesis and Evaluation. Mar. Drugs 2023, 21, 37. [Google Scholar] [CrossRef]
- Flores-Morales, V.; Villasana-Ruíz, A.P.; Garza-Veloz, I.; González-Delgado, S.; Martinez-Fierro, M.L. Therapeutic Effects of Coumarins with Different Substitution Patterns. Molecules 2023, 28, 2413. [Google Scholar] [CrossRef]
- Carneiro, A.; Matos, M.J.; Uriarte, E.; Santana, L. Trending Topics on Coumarin and Its Derivatives in 2020. Molecules 2021, 26, 501. [Google Scholar] [CrossRef] [PubMed]
- Hussain, M.I.; Syed, Q.A.; Khattak, M.N.K.; Hafez, B.; Reigosa, M.J.; El-Keblawy, A. Natural Product Coumarins: Biological and Pharmacological Perspectives. Biologia 2019, 74, 863–888. [Google Scholar] [CrossRef]
- Matos, M.J.; Santana, L.; Uriarte, E.; Abreu, O.A.; Molina, E.; Yord, E.G. Coumarins—An Important Class of Phytochemicals. In Phytochemicals—Isolation, Characterisation and Role in Human Health; Rao, V., Rao, L., Eds.; IntechOpen: Rijeka, Croatia, 2015; Chapter 5. [Google Scholar]
- O’Kennedy, R.; Thornes, R.D. Coumarins: Biology, Applications and Mode of Action; John Wiley & Sons: Chichester, UK, 1997. [Google Scholar]
- Sharapov, A.D.; Fatykhov, R.F.; Khalymbadzha, I.A.; Zyryanov, G.V.; Chupakhin, O.N.; Tsurkan, M.V. Plant Coumarins with Anti-HIV Activity: Isolation and Mechanisms of Action. Int. J. Mol. Sci. 2023, 24, 2839. [Google Scholar] [CrossRef]
- Aqib, M.; Khatoon, S.; Ali, M.; Sajid, S.; Assiri, M.A.; Ahamad, S.; Saquib, M.; Hussain, M.K. Exploring the anticancer potential and mechanisms of action of natural coumarins and isocoumarins. Eur. J. Med. Chem. 2025, 282, 117088. [Google Scholar] [CrossRef]
- Alshibl, H.M.; Al-Abdullah, E.S.; Haiba, M.E.; Alkahtani, H.M.; Awad, G.E.A.; Mahmoud, A.H.; Ibrahim, B.M.M.; Bari, A.; Villinger, A. Synthesis and Evaluation of New Coumarin Derivatives as Antioxidant, Antimicrobial, and Anti-Inflammatory Agents. Molecules 2020, 25, 3251. [Google Scholar] [CrossRef] [PubMed]
- Fylaktakidou, K.C.; Hadjipavlou-Litina, D.J.; Litinas, K.E.; Nicolaides, D.N. Natural and synthetic coumarin derivatives with anti-inflammatory/antioxidant activities. Curr. Pharm. Des. 2004, 10, 3813–3833. [Google Scholar] [CrossRef] [PubMed]
- Abd El-Mageed, M.M.A.; Ezzat, M.A.F.; Moussa, S.A.; Abdel-Aziz, H.A.; Elmasry, G.F. Rational design, synthesis and computational studies of multi-targeted anti-Alzheimer’s agents integrating coumarin scaffold. Bioorg. Chem. 2025, 154, 108024. [Google Scholar] [CrossRef]
- Ogawa, K.; Shima, K.; Korogi, S.; Kotematsu, N.; Morinaga, O. Locomotor-reducing, sedative and antidepressant-likeeffects of confectionary flavours coumarin and vanillin. Biol. Pharm. Bull. 2024, 47, 1768–1773. [Google Scholar] [CrossRef] [PubMed]
- Sahoo, C.R.; Sahoo, J.; Mahapatra, M.; Lenka, D.; Sahu, P.K.; Dehury, B.; Padhy, R.N.; Paidesetty, S.K. Coumarin derivatives as promising antibacterial agent(s). Arab. J. Chem. 2021, 14, 102922. [Google Scholar] [CrossRef]
- Keri, R.S.; Budagumpi, S.; Balappa Somappa, S. Synthetic and natural coumarins as potent anticonvulsant agents: A review with structure–activity relationship. J. Clin. Pharm. Ther. 2022, 47, 915–931. [Google Scholar] [CrossRef] [PubMed]
- Reddy, D.S.; Kongot, M.; Kumar, A. Coumarin hybrid derivatives as promising leads to treat tuberculosis: Recent developments and critical aspects of structural design to exhibit anti-tubercular activity. Tuberculosis 2021, 127, 102050. [Google Scholar] [CrossRef]
- Kasperkiewicz, K.; Ponczek, M.B.; Owczarek, J.; Guga, P.; Budzisz, E. Antagonists of Vitamin K—Popular Coumarin Drugs and New Synthetic and Natural Coumarin Derivatives. Molecules 2020, 25, 1465. [Google Scholar] [CrossRef]
- Singh, A.K.; Kumar, A.; Singh, H.; Sonawane, P.; Paliwal, H.; Thareja, S.; Pathak, P.; Grishina, M.; Jaremko, M.; Emwas, A.-H.; et al. Concept of hybrid frugs and recent advancements in anticancer hybrids. Pharmaceuticals 2022, 15, 1071. [Google Scholar] [CrossRef]
- Liu, J.; Han, X.; Zhang, T.; Tian, K.; Li, Z.; Luo, F. Reactive Oxygen Species (ROS) scavenging biomaterials for anti-inflammatory diseases: From mechanism to therapy. J. Hematol. Oncol. 2023, 16, 116. [Google Scholar] [CrossRef]
- Morais, T.S. Recent advances in the development of hybrid drugs. Pharmaceutics 2024, 16, 889. [Google Scholar] [CrossRef]
- Alkhzem, A.H.; Woodman, T.J.; Blagbrough, I.S. Design and synthesis of hybrid compounds as novel drugs and medicines. RSC Adv. 2022, 12, 19470–19484. [Google Scholar] [CrossRef] [PubMed]
- Esfahani, S.N.; Damavandi, M.S.; Sadeghi, P.; Nazifi, Z.; Salari-Jazi, A.; Massah, A.R. Synthesis of some novel coumarin isoxazole sulfonamide, 3D-QSAR studies, and antibacterial evaluation. Sci. Rep. 2021, 11, 20088. [Google Scholar] [CrossRef]
- Waheed, M.; Ahmed, N.; Alsharif, M.A.; Alahmdi, M.I.; Mukhtar, S. PhI(OAc)2-Mediated One-Pot Synthgesis and their antibacterial activity of flavone and coumarin based isoxazoles under mild reaction conditions. ChemistrySelect 2019, 4, 1872–1878. [Google Scholar] [CrossRef]
- Abdellatif, K.R.A.; Abdelgawad, M.A.; Elshemy, H.A.H.; Kahk, N.M.; El Amir, D.M. Design, synthesis, antioxidant, and anticancer activity of new coumarin derivatives linked with thiazole, isoxazole, and pyrazole moiety. Lett. Drug Des. Discov. 2017, 14, 773–781. [Google Scholar] [CrossRef]
- Wang, J.; Wang, D.-B.; Sui, L.-L.; Luan, T. Natural products-isoxazole hybrids: A review of developments in medicinal chemistry. Arab. J. Chem. 2024, 17, 105794. [Google Scholar] [CrossRef]
- Shi, W.; Hu, J.; Bao, N.; Li, D.; Chen, L.; Sun, J. Design, synthesis and cytotoxic activities of scopoletin-isoxazole and scopoletin-pyrazole hybrids. Bioorg. Med. Chem. Lett. 2017, 27, 147–151. [Google Scholar] [CrossRef]
- Pang, G.X.; Niu, C.; Mamat, N.; Aisa, H.A. Synthesis and in vitro evaluation of novel coumarin derivatives containing isoxazole moieties on melanin synthesis in B16 cells and inhibition on bacteria. Bioorg. Med. Chem. Lett. 2017, 27, 2674–2677. [Google Scholar] [CrossRef]
- Patel, D.; Kumari, P.; Pstel, N.B. Synthesis and biological evaluation of coumarin based isoxazoles, pyrimidinethiones and pyrimidin-2-ones. Arab. J. Chem. 2017, 10, S3990–S4001. [Google Scholar] [CrossRef]
- Zayane, M.; Rahmouni, A.; Daami-Remadi, M.; Mansour, M.B.; Romdhane, A.; Jannet, H.B. Design and synthesis of antimicrobial, anticoagulantand anticholinesterase hybrid molecules from 4-umbelliferone. J. Enz. Inh. Med. Chem. 2016, 31, 1566–1575. [Google Scholar] [CrossRef]
- Koley, M.; Han, J.; Soloshonok, V.A.; Mojumder, S.; Javahershenas, R.; Makarem, A. Latest developments in coumarin-based anticancer agents: Mechanism of action and structure-activity relationship studies. RSC Med. Chem. 2024, 15, 10–54. [Google Scholar] [CrossRef] [PubMed]
- Dorababu, A. Coumarin-heterocycle framework: A privileged approach in promising anticancer drug design. Eur. J. Med. Chem. Rep. 2021, 2, 100006. [Google Scholar] [CrossRef]
- Fotopoulos, I.; Hadjipavlou-Litina, D. Hybrids of coumarin derivatives as potent and multifunctional bioactive agents: A review. Med. Chem. 2020, 16, 272–306. [Google Scholar] [CrossRef]
- Yildirim, M.; Poyraz, S.; Ersatir, M. Recent advances on biologically active coumarin-based hybrid compounds. Med. Chem. Res. 2023, 32, 617–642. [Google Scholar] [CrossRef]
- Sashidhara, K.V.; Modukuri, R.K.; Choudhary, D.; Rao, K.B.; Kumar, M.; Khedgikar, V.; Trivedi, R. Synthesis and evaluation of new coumarin-pyridine hybrids with promising anti-osteoporotic activities. Eur. J. Med. Chem. 2013, 70, 802–810. [Google Scholar] [CrossRef] [PubMed]
- Khatoon, S.; Aroosh, A.; Islam, A.; Kalsoom, S.; Ahmad, F.; Hameed, S.; Abbasi, S.W.; Yasinzai, M.; Naseer, M.M. Novel coumarin-isatin hybrids as potent antileishmanial agents: Synthesis, in silico and in vitro evaluations. Bioorg. Chem. 2021, 110, 104816. [Google Scholar]
- Das, S.; Chanda, K. An overview on metal-free synthetic routes to isoxazoles: The privileged scaffold. RSC Adv. 2021, 11, 32680–32705. [Google Scholar] [CrossRef]
- Subi, S.; Rose, S.V.; Reji, T.F.A.F. Synthesis, Characterization, DFT-study, molecular Modelling, and Biological evaluation of Novel 4-Aryl-3-(pyridine-3-yl)isoxazole Hybrids as Potent Anticancer Agents with Inhibitory Effect on Scin Cancer. Asian J. Chem. 2021, 33, 2281–2286. [Google Scholar] [CrossRef]
- Duc, D.X.; Dung, V.C. Recent progress in the synthesis of isoxazoles. Curr. Org. Chem. 2021, 25, 2938–2989. [Google Scholar] [CrossRef]
- Yano, J.K.; Denton, T.T.; Cerny, M.A.; Zhang, X.; Johnson, E.F.; Cashman, J.R. Synthetic Inhibitors of Cytochtome P-450 2A6: Inhibitory activity, Difference spectra, Mechanism of Inhibition, and Protein Cocrystallization. J. Med. Chem. 2006, 49, 6987–7001. [Google Scholar] [CrossRef]
- Huisgen, R. 1,3-Dipolar Cycloaddition. Past and Future. Angew. Chem. Int. Ed. Engl. 1963, 2, 565–632. [Google Scholar] [CrossRef]
- Breugst, M.; Reissig, H.-U. The Huisgen reaction: Milestones of the 1,3-Cycloaddition. Angew. Chem. Int. Ed. Engl. 2020, 59, 12293–12307. [Google Scholar] [CrossRef] [PubMed]
- Maurya, R.K.; Kumar, S.; Kumar, V.; Dey, A.; Patlolla, R.R.; Burra, A.G.; Khatravath, M. PIDA Mediated synthesis of benzopyranoisoxazoles via an intramolecular nitrile oxide cycloaddition (INOC): Application to the synthesis of 4H-chromeno[4,3-c]isoxazol-4-ones. Asian J. Org. Chem. 2023, 12, e202300410. [Google Scholar] [CrossRef]
- Master, J.; Sydney, S.; Rajapaske, H.; Saffiddine, M.; Reyes, V.; Denton, R.W. A facile synthesis of some bioactive isooxazoline dicarboxylic acids via microwave-assisted 1,3-dipolar cycloaddition reaction. Reactions 2024, 5, 1080–1088. [Google Scholar] [CrossRef]
- Gao, Y.; Cheng, H.; Khan, S.; Xiao, G.; Rong, l.; Bai, C. Development of coumarine derivatives as potent anti-filovirus entry inhibitors targeting viral glycoprotein. Eur. J. Med. Chem. 2020, 204, 112595. [Google Scholar] [CrossRef]
- Chen, Y.; Lan, Y.; Wang, S.; Zhang, H.; Xu, X.; Liu, X.; Yu, M.; Liu, B.F.; Zhang, G. Synthesis and evaluation of new coumarin derivatives as potential atypical antipsychotics. Eur. J. Med. Chem. 2014, 74, 427–439. [Google Scholar] [CrossRef]
- Park, J.Y.; Shin, S.; Park, K.C.; Jeong, E.; Park, J.H. Synthesis and in vitro assay of new triazole linked decursinol derivatives showing inhibitory activity against cholinesterase for Alzheimer’s disease therapeutics. J. Korean Chem. Soc. 2016, 60, 125–130. [Google Scholar] [CrossRef]
- Suresh, L.; Kumar, P.S.V.; Onkar, P.; Srinivas, L.; Pydisetty, Y.; Chandramouli, G.V.P. Synthesis and in vitro evaluation of dihydro-6H-chromeno[4,3-b]isoxazolo [4,5-e]pyridine derivatives as potent antidiabetic agents. Res. Chem. Intermed. 2017, 43, 5433–5451. [Google Scholar] [CrossRef]
- Majumder, S.; Borah, P.; Bhujan, P.J. Intramolecular 1,3-dipolar cycloaddition reactions in the synthesis of complex annelated quinolines, α-carbolines and coumarins. Mol. Divers. 2012, 16, 279–289. [Google Scholar] [CrossRef]
- Kallitsakis, M.G.; Hadjipavlou-Litina, D.J.; Litinas, K.E. Synthesis of purine homo-N-nucleosides modified with coumarins as free radicals scavengers. J. Enzym. Inhib. Med. Chem. 2013, 28, 765–775. [Google Scholar] [CrossRef]
- Kallitsakis, M.G.; Hadjipavlou-Litina, D.J.; Peperidou, A.; Litinas, K.E. Synthesis of 4-hydroxy-3-[(E)-2-(6-substituted-9H-purin-9-yl)vinyl]coumarins as lipoxygenase inhibitors. Tetrahedron Lett. 2014, 55, 650–653. [Google Scholar] [CrossRef]
- Kallitsakis, M.G.; Yanez, M.; Soriano, E.; Marco-Contelles, J.; Hadjipavlou-Litina, D.J.; Litinas, K.E. Purine Homo-N-Nucleoside+Coumarin Hybrids as Pleiotropic Agents for the Potential Treatment of Alzheimer’s Disease. Future Med. Chem. 2015, 7, 103–110. [Google Scholar] [CrossRef] [PubMed]
- Douka, M.D.; Sigala, I.M.; Nikolakaki, E.; Prousis, K.C.; Hadjipavlou-Litina, D.J.; Litinas, K.E. Cu-Catalyzed synthesis of coumarin-1,2,3-triazole hybrids connected with quinoline or pyridine framework. ChemistrySelect 2024, 9, e202401957. [Google Scholar] [CrossRef]
- Douka, M.D.; Hadjipavlou-Litina, D.J.; Litinas, K.E. Synthesis of coumarin-isoxazole-pyridine hybrids with biological interest. Preliminary Communications. In Proceedings of the 23rd Panhellenic Chemistry Conference, Athens, Greece, 25–28 September 2024. PP37. [Google Scholar]
- Liu, S.; Wei, W.; Li, Y.; Liu, X.; Cao, X.; Lei, K.; Zhou, M. Design, synthesis, biological evaluation and molecular docking studies of phenylpropanoid derivatives as potent ant-hepatitis B virus agents. Eur. J. Med. Chem. 2015, 95, 473–482. [Google Scholar] [CrossRef]
- Kosiova, I.; Kovackova, S.; Kois, P. Synthesis of coumarin-nucleoside conjugates via Huisgen 1,3-dipolar cycloaddition. Tetrahedron 2007, 63, 312–320. [Google Scholar] [CrossRef]
- Wiley, R.H.; Wakefield, B.J.J. Infrared Spectra of the Nitrile N-Oxides: Some New Furoxans. J. Org. Chem. 1960, 25, 546–551. [Google Scholar] [CrossRef]
- Stephens, C.E.; Arafa, R.K. 3,5-Diarylisoxazoles: Individualized three-step synthesis and isomer determination using 13C NMR or Mass Spectroscopy. J. Chem. Educ. 2006, 83, 1336–1340. [Google Scholar] [CrossRef]
- Outirite, M.; Lebrini, M.; Lagrenee, M.; Bentiss, F. New one step synthesis of 3,5-disubstituted 1,2,4-oxadiazoles. J. Heterocycl. Chem. 2007, 44, 1529–1531. [Google Scholar] [CrossRef]
- Ma, X.; Liu, D.; Chen, Z. Dehydration of aldoximes to nitriles using trichloroacetonitrile without catalyst. Synth. Commun. 2021, 51, 3261–3266. [Google Scholar] [CrossRef]
- Supsana, P.; Liaskopoulos, T.; Tsoungas, P.G.; Varvounis, G. DMF-Catalyzed thermal dehydration of aldoximes:A convenient access to Functionalized Aliphatic and Aromatic Nitriles. Synlett 2007, 2007, 2671–2674. [Google Scholar] [CrossRef]
- Kadam, K.S.; Gandhi, T.; Gupte, A.; Gangopadhyay, A.K.; Sharma, R. Alkyl nitrites: Novel reagents for one-pot synthesis of 3,5-disubstitued isoxazoles from aldoximes and alkynes. Synthesis 2016, 48, 3996–4008. [Google Scholar] [CrossRef]
- Pooja; Aggarval, S.; Tiwari, A.K.; Kumar, V.; Pratap, R.; Singh, G.; Mishra, A.K. Novel pyridinium oximes: Synthesis molecular docking and in vitro reactivation studies. RSC Adv. 2015, 5, 23471. [Google Scholar] [CrossRef]
- Rao, C.P.; Srimannarayana, G. Claisen rearrangement of 4-propargyloxycoumarins: Formation of 2H, 5H-pyrano[3,2-c][1]benzopyran-5-ones. Synth. Commun. 1990, 20, 535–540. [Google Scholar] [CrossRef]
- Yoon, J.A.; Tan, Y.T. Efficient synthesis of pyrido[3,2-c]coumarins via silver nitrate catalyzed cycloisomerization and application to the first synthesis of polyneomarline C. Synthesis 2019, 51, 4611–4618. [Google Scholar] [CrossRef]
- Symeonidis, T.S.; Hadjipavlou-Litina, D.J.; Litinas, K.E. Synthesis Through Three-Component Reactions Catalyzed by FeCl3 of Fused Pyridocoumarins as Inhibitors of Lipid Peroxidation. J. Heterocycl. Chem. 2014, 51, 642–647. [Google Scholar] [CrossRef]
- Pontiki, E.; Hsdjipavlou-Litina, D. Lipoxygenase Inhibitors: A comparative QSAR study review and evaluation of new QSARs. Med. Res. Rev. 2008, 28, 39–117. [Google Scholar] [CrossRef]
- Sigala, I.; Tsamis, K.I.; Gousia, A.; Alexiou, G.; Voulgaris, S.; Giannakouros, T.; Kyritsis, A.P.; Nikolakaki, E. Expression of SRPK1 in gliomas and its role in glioma cell lines viability. Tumor Biol. 2016, 37, 8699–8707. [Google Scholar] [CrossRef]
| Entry | Oxime | 7-Propagyl Oxycoumarin | Method 1 | Temperature | Time | Products (% Yield) |
|---|---|---|---|---|---|---|
| 1 | 2 | 1a | A | r.t. | 1 h | 3a (60), 4 (20) |
| 2 | 2 | 1a | B | 120 °C | 1 h | 3a (48), 4 (16), 5 (9) |
| 3 | 2 | 1a | C | Reflux | 18 h | 3a (34), 5 (32) |
| 4 | 2 | 1b | A | r.t. | 15 h | 3b (65), 4 (17) |
| 5 | 2 | 1b | B | 120 °C | 1 h | 3b (43), 4 (17), 5 (11) |
| 6 | 2 | 1b | C | Reflux | 18 h | 3b (44), 4 (15), 5 (13) |
| 7 | 6 | 1a | A 2 | r.t. | 18 h | 7a (24) |
| 8 | 6 | 1a | C | Reflux | 18 h | 7a (61) |
| 9 | 6 | 1b | A 2 | r.t. | 18 h | 7b (30) |
| 10 | 6 | 1b | C | Reflux | 18 h | 7b (53) |
| 11 | 8 | 1a | D | Reflux | 2 d | 9a (24) |
| 12 | 8 | 1a | C | Reflux | 18 h | 9a (42) |
| 13 | 8 | 1b | D | Reflux | 2 d | 9b (12) |
| 14 | 8 | 1b | C | Reflux | 18 h | 9b (45) |
| Entry | Oxime | 4-Propargylcoumarin | Method 1 | Temperature | Time | Products (% Yield) |
|---|---|---|---|---|---|---|
| 1 | 2 | 10a | B | 100 °C | 1 h | 11a (44), 4 (27) |
| 2 | 2 | 10a | C | Reflux | 18 h | 11a (62), 4 (5), 5 (11) |
| 3 | 2 | 10b | B | 100 °C | 2 h | 11b (55) |
| 4 | 6 | 10a | D | Reflux | 2 d | 12a (30) |
| 5 | 6 | 10a | C | Reflux | 18 h | 12a (33) |
| 6 | 6 | 10b | C | Reflux | 18 h | 12b (56) |
| 7 | 8 | 10a | D | Reflux | 2 d | 13a (55) |
| 8 | 8 | 10a | C | Reflux | 18 h | 13a (40) |
| Entry | Compounds 1 | Clog P 2 | LOX(%)/ IC50 µM | ILP (%) |
|---|---|---|---|---|
| 1 | 3a | 2.27 | no | 66 |
| 2 | 3b | 2.77 | no | 0.6 |
| 3 | 7a | 2.27 | 10 µM | 42 |
| 4 | 7b | 2.27 | no | 2 |
| 5 | 9a | 2.77 | 38 | 83.6 |
| 6 | 9b | 2.77 | no | 86.6 |
| 7 | 11a | 2.27 | no | 86 |
| 8 | 11b | 1.95 | no | 66 |
| 9 | 12a | 2.01 | 10 | 72 |
| 10 | 12b | 1.95 | 18 | 90.4 |
| 11 | 13a | 2.01 | 5 µM | 44.6 |
| 12 | NDGA | 0.45 μΜ | ||
| 13 | Trolox | 93 |
| Entry | Compound | HeLa, EC50 (μM) | HT-29, EC50 (μM) | H1437, EC50 (μM) |
|---|---|---|---|---|
| 1 | 7a | >100 | >100 | >100 |
| 2 | 9a | >100 | >100 | >100 |
| 3 | 12b | 38.1 ± 2.1 | 96.5 ± 6.6 | 47.3 ± 3.1 |
| 4 | 13a | 44.2 ± 1.9 | 65.8 ± 5.4 | 74.8 ± 4.4 |
Disclaimer/Publisher’s Note: The statements, opinions and data contained in all publications are solely those of the individual author(s) and contributor(s) and not of MDPI and/or the editor(s). MDPI and/or the editor(s) disclaim responsibility for any injury to people or property resulting from any ideas, methods, instructions or products referred to in the content. |
© 2025 by the authors. Licensee MDPI, Basel, Switzerland. This article is an open access article distributed under the terms and conditions of the Creative Commons Attribution (CC BY) license (https://creativecommons.org/licenses/by/4.0/).
Share and Cite
Douka, M.D.; Sigala, I.M.; Gabriel, C.; Nikolakaki, E.; Hadjipavlou-Litina, D.J.; Litinas, K.E. Pharmacochemical Studies of Synthesized Coumarin–Isoxazole–Pyridine Hybrids. Molecules 2025, 30, 1592. https://doi.org/10.3390/molecules30071592
Douka MD, Sigala IM, Gabriel C, Nikolakaki E, Hadjipavlou-Litina DJ, Litinas KE. Pharmacochemical Studies of Synthesized Coumarin–Isoxazole–Pyridine Hybrids. Molecules. 2025; 30(7):1592. https://doi.org/10.3390/molecules30071592
Chicago/Turabian StyleDouka, Matina D., Ioanna M. Sigala, Catherine Gabriel, Eleni Nikolakaki, Dimitra J. Hadjipavlou-Litina, and Konstantinos E. Litinas. 2025. "Pharmacochemical Studies of Synthesized Coumarin–Isoxazole–Pyridine Hybrids" Molecules 30, no. 7: 1592. https://doi.org/10.3390/molecules30071592
APA StyleDouka, M. D., Sigala, I. M., Gabriel, C., Nikolakaki, E., Hadjipavlou-Litina, D. J., & Litinas, K. E. (2025). Pharmacochemical Studies of Synthesized Coumarin–Isoxazole–Pyridine Hybrids. Molecules, 30(7), 1592. https://doi.org/10.3390/molecules30071592

