Effect of Sugarcane Bagasse Content and Modification on the Properties of Sugarcane Bagasse/Poly(lactic Acid) Biocomposites
Abstract
1. Introduction
2. Results and Discussion
2.1. Effects of SB Content on the Properties of the Biocomposites
2.1.1. Effects of SB Content on the Mechanical Properties of the Biocomposites
2.1.2. Effects of SB Content on the Thermal Stability of the Biocomposites
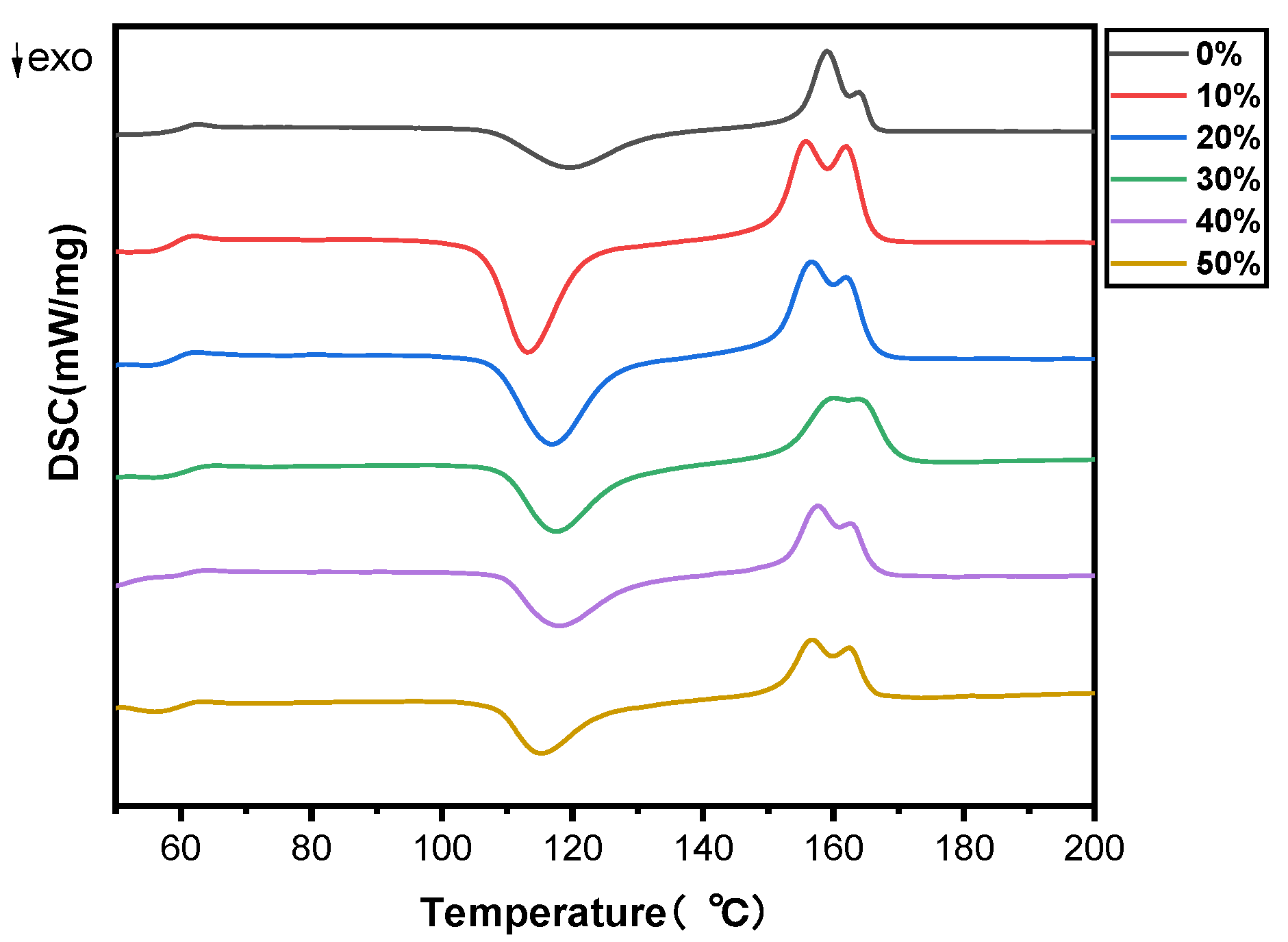
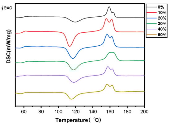
2.1.3. Effects of SB Content on the Melt and Crystallization Behavior of the Biocomposites
2.1.4. Effects of SB Content on the Hydrophilicity of the Biocomposites
2.1.5. Effects of SB Content on the Water Absorption of the Biocomposites
2.2. Effects of SB Modification on the Properties of the Biocomposites
2.2.1. FTIR Analysis and SEM Observations of the Filler SB
2.2.2. Visual Appearances of SB and Biocomposites
2.2.3. Effects of SB Modification on the Mechanical Properties of the Biocomposites
2.2.4. Effects of SB Modification on the Thermal Stability of the Biocomposites
2.2.5. Effects of SB Modification on the Melt and Crystallization Behavior of the Biocomposites
2.2.6. Effects of SB Modification on the Hydrophobicity of the Biocomposites
2.2.7. Effects of SB Modification on the Water Absorption Behavior of the Biocomposites
2.3. Cost Analysis
3. Experiments
3.1. Materials and Reagents
3.2. SB Modification
3.3. Preparation of SB/PLA Biocomposites
3.4. Testing and Characterization
3.4.1. Fourier-Transform Infrared Spectroscopy (FTIR) Analysis
3.4.2. Mechanical Characterization
3.4.3. Morphology Observation
3.4.4. Thermal Stability Assessment
3.4.5. Melting and Crystallization Behavior Analysis
3.4.6. Wettability Testing
3.4.7. Water Absorption
4. Conclusions
Author Contributions
Funding
Institutional Review Board Statement
Informed Consent Statement
Data Availability Statement
Conflicts of Interest
References
- Russo, P.; Passaro, J.; Dib, A.; Fabbrocino, F.; Fantuzzi, N. Effect of processing conditions on the tensile properties of PLA/Jute fabric laminates: Experimental and numerical analysis. Compos. Part C Open Access 2024, 15, 100511. [Google Scholar] [CrossRef]
- Murariu, M.; Paint, Y.; Murariu, O.; Laoutid, F.; Dubois, P. Recent Advances in Production of Ecofriendly Polylactide (PLA)–Calcium Sulfate (Anhydrite II) Composites: From the Evidence of Filler Stability to the Effects of PLA Matrix and Filling on Key Properties. Polymers 2022, 14, 2360. [Google Scholar] [CrossRef] [PubMed]
- Józó, M.; Várdai, R.; Bartos, A.; Móczó, J.; Pukánszky, B. Preparation of Biocomposites with Natural Reinforcements: The Effectof Native Starch and SugarcaneBagasse Fibers. Molecules 2022, 27, 6423. [Google Scholar] [CrossRef]
- Szatkowski, P.; Gralewski, J.; Suchorowiec, K.; Kosowska, K.; Mielan, B.; Kisilewicz, M. Aging Process of Biocomposites with the PLA Matrix Modified with Different Types of Cellulose. Materials 2024, 17, 22. [Google Scholar] [CrossRef]
- Ramirez, C.; Agaliotis, E.; Pettarin, V. Fracture toughness and overall characterization of PLA based biocomposites with natural fibers: A comparative study. Polymer 2024, 307, 127309. [Google Scholar] [CrossRef]
- Gond, R.K.; Naik, T.P.; Gupta, M.K.; Singh, I. Development and characterisation of sugarcane bagasse nanocellulose/PLA composites. Mater. Technol. 2022, 37, 2942–2954. [Google Scholar] [CrossRef]
- Azka, M.A.; Sapuan, S.M.; Abral, H.; Zainudin, E.S.; Aziz, F.A. An examination of recent research of water absorption behavior of natural fiber reinforced polylactic acid (PLA) composites: A review. Int. J. Biol. Macromol. 2024, 268, 131845. [Google Scholar] [CrossRef]
- Huo, X.; Wan, P.; Zhang, R.; Zhang, Z.; Lv, S. Enhancing the strength and toughness of polylactic acid-based compositesthrough one-step co-deposition of active coating onto wood fiber. Int. J. Biol. Macromol. 2024, 274, 133414. [Google Scholar] [CrossRef]
- Kong, M.; Qin, Z.; Zhang, P.; Xie, G.; Wang, H.; Wang, J.; Guan, F. Weizhen Yang, Zhaowen Qiu. Study on modified poplar wood powder/polylactic acid high toughness green 3D printing composites. Int. J. Biol. Macromol. 2023, 228, 311–322. [Google Scholar] [CrossRef]
- Pączkowski, P.; Puszka, A.; Miazga-Karska, M.; Ginalska, G.; Gawdzik, B. Synthesis, Characterization and Testing of Antimicrobial Activity of Composites of Unsaturated Polyester Resins with Wood Flour and Silver Nanoparticles. Materials 2021, 14, 1122. [Google Scholar] [CrossRef]
- Sienkiewicz, A.; Czub, P. Functional Management of Waste Wood Flour as an Example of a ‘Greener’ Approach towards the Synthesis of Bio-Based Epoxy Resins. Polymers 2023, 15, 3521. [Google Scholar] [CrossRef] [PubMed]
- Gao, J.; Zhang, Y.; Bi, Y.; Du, K.; Su, J.; Zhang, S. A strong hydrogen bond bridging interface based on tannic acid forimproving the performance of high-filled bamboo fibers/poly(butylene succinate-co-butylene adipate)(PBSA) biocomposites. Int. J. Biol. Macromol. 2024, 267, 131611. [Google Scholar] [CrossRef]
- Zhang, Z.; Zhang, J.; Lucia, L.A.; Abidi, N. Bamboo fiber reinforced poly (acrylonitrile-styrene-acrylic)/chlorinated polyethylene via compabilization. Int. J. Biol. Macromol. 2024, 266, 131287. [Google Scholar] [CrossRef]
- Zhang, W.; Zhou, H.; Huang, B.; Zhou, H.; Peng, X. Characterization of tool-ply friction behavior for treated jute/PLA biocomposite prepregs in thermoforming. Compos. Part A 2024, 177, 107875. [Google Scholar] [CrossRef]
- Xiao, X.; Chevali, V.S.; Song, P.; He, D.; Wang, H. Polylactide/hemp hurd biocomposites as sustainable 3D printing feedstock. Compos. Sci. Technol. 2019, 184, 107887. [Google Scholar] [CrossRef]
- Aliotta, L.; Pont, B.D.; Gigante1, V.; Russo, P.; Passaro, J.; Lazzeri, A. Investigation of new Poly(lactic acid) (PLA)/Poly(butylene succinate-co-adipate) (PBSA) thermoplastic composites reinforced with different amount of twill hemp fabrics. J. Mater. Sci. 2024, 59, 847–862. [Google Scholar]
- Wang, Z.; Feng, W.; Ban, J.; Yang, Z.; Fang, X.; Ding, T.; Liu, B.; Zhao, J. Sisal-Fiber-Reinforced Polypropylene Flame-Retardant Composites: Preparation and Properties. Polymers 2023, 15, 893. [Google Scholar] [CrossRef]
- Dejene, B.K.; Gudayu, A.D.; Abtew, M.A. Development and optimization of sustainable and functional food packaging using false banana (Enset) fiber and zinc-oxide (ZnO) nanoparticle-reinforced polylactic acid (PLA) biocomposites: A case of Injera preservation. Int. J. Biol. Macromol. 2024, 279, 135092. [Google Scholar] [CrossRef]
- Rao, H.J.; Singh, S.; Singh, N.; Ramulu, P.J.; Santos, T.; Santos, F.C.M.; Senthamaraikannan, P.; Suyambulingam, I.; Gapsari, F.; Raharjo, R.; et al. Enhancing mechanical performance and water resistance of Careya-Banana fiber epoxy hybrid composites through PLA coating and alkali treatment. J. Mater. Res. Technol. 2024, 32, 4304–4315. [Google Scholar]
- Faria, D.L.; Mendes, L.M.; Junior, J.B.G. Effect of surface treatment on the technological properties of coconut fiber–reinforced plant polyurethane composites. Environ. Sci. Pollut. Res. 2023, 30, 52124–52140. [Google Scholar] [CrossRef]
- Lule, Z.C.; Kim, J. Properties of economical and eco-friendly polybutylene adipate terephthalate composites loaded with surface treated coffee husk. Compos. Part A 2021, 140, 106154. [Google Scholar] [CrossRef]
- Muthuraj, R.; Lacoste, C.; Lacroix, P.; Bergeret, A. Sustainable thermal insulation biocomposites from rice husk, wheat husk, wood fibers and textile waste fibers: Elaboration and performances evaluation. Ind. Crops Prod. 2019, 135, 238–245. [Google Scholar] [CrossRef]
- Feng, J.; Zhang, W.; Wang, L.; He, C. Performance Comparison of Four Kinds of Straw/PLA/PBAT Wood Plastic Composites. BioResources 2020, 15, 2596–2604. [Google Scholar]
- Sriseubsai, W.; Praemettha, A. Hybrid natural fiber composites of Polylactic acid reinforced with sisal and coir fibers. Polymers 2025, 17, 64. [Google Scholar]
- Palak, H.; Aboelkheir, M.; Uyar, T.; Kayaoğlu, B.K. Cellulose nanocrystal-loaded polylactide/poly(butylene adipate-co-terephthalate) blends: Nanoparticles’ influence on the structure and properties of nanofibrous webs. Cellulose 2025, 32, 1607–1626. [Google Scholar]
- Oladele, I.O.; Taiwo, A.O.S.; Bello, L.J.; Balogun, S.O.; Sipho, L.S.; Adelani, S.O. Fabrication of animal shell and sugarcane bagasse particulate hybrid reinforced epoxy composites for structural applications. Polym. Polym. Compos. 2024, 32, 1–12. [Google Scholar] [CrossRef]
- Patil, H.; Sudagar, I.P.; Pandiselvam, R.; Sudha, P.; Boomiraj, K. Development and characterization of rigid packaging material usingcellulose/sugarcane bagasse and natural resins. Int. J. Biol. Macromol. 2023, 246, 125641. [Google Scholar] [CrossRef]
- Anggono, J.; Farkas, A.E.; Bartos, A.; Móczó, J.; Purwaningsih, A.H.; Pukánszky, B. Deformation and failure of sugarcane bagasse reinforced PP. Eur. Polym. J. 2019, 112, 153–160. [Google Scholar] [CrossRef]
- Vidyashri, V.; Lewis, H.; Narayanasamy, P.G.; Mahesha, T.; Subrahmanya Bhat, K. Preparation of chemically treated sugarcane bagasse fiber reinforced epoxy composites and their characterization. Cogent Eng. 2019, 6, 1708644. [Google Scholar] [CrossRef]
- Prasad, L.; Kumar, S.; Patel, R.V.; Yadav, A.; Kumar, V.; Winczek, J. Physical and Mechanical Behaviour of Sugarcane Bagasse Fibre-Reinforced Epoxy Bio-Composites. Materials 2020, 13, 5387. [Google Scholar] [CrossRef]
- Souissi, S.; Lachtar, F.; Elloumi, A.; Bergeret, A. Properties of wood polymer composites based on polypropylene/olive wood four: Efects of fiber treatment and compatibilizer. Iran. Polym. J. 2022, 31, 1511–1521. [Google Scholar] [CrossRef]
- Phung, A.T.; Dzung, H.T.; Linh, N.P.D.; Duc, V.M.; Liem, N.T. Acrylonitrile butadiene styrene/wood sawdust particles composites: Mechanical and morphological properties. Iran. Polym. J. 2023, 33, 67–78. [Google Scholar] [CrossRef]
- Moustafa, H.; Guizani, G.; Dufresne, A. Sustainable biodegradable coffee grounds filler and its effect on the hydrophobicity, mechanical and thermal properties of biodegradable PBAT composites. J. Appl. Polym. Sci. 2017, 134, 44498. [Google Scholar] [CrossRef]
- Cho, M.J.; Park, B.D. Tensile and thermal properties of nanocellulose-reinforced poly(vinyl alcohol) Nanocomposites. J. Ind. Eng. Chem. 2011, 17, 36–40. [Google Scholar] [CrossRef]
- Yue, Z.; Wang, H.; Zhang, M.; Wang, M. Mechanical, thermal and rheological properties of polylactic acid(PLA)/epichlorohydrin modifed pine wood four (EWF) composites. Eur. J. Wood Prod. 2022, 80, 1111–1120. [Google Scholar] [CrossRef]
- Yao, L.; Wang, Y.; Li, Y.; Duan, J. Thermal properties and crystallization behaviors of polylactide/redwood flour or bamboo fiber composites. Iran. Polym. J. 2017, 26, 161–168. [Google Scholar] [CrossRef]
- Dai, X.; Cao, Y.; Shi, X.W.; Wang, X.L. Non-isothermal crystallization kinetics, thermal degradation behavior and mechanical properties of poly(lactic acid)/MOF composites prepared by melt-blending methods. RSC Adv. 2016, 6, 71461–71471. [Google Scholar] [CrossRef]
- Zhang, W.; Li, C.; Cheng, X.; Xu, L.; Xu, W.; Zhang, B.; Wang, H.; Zhou, Y.; Xiao, Y.; Jiang, J.; et al. Structural characterization of lignin from the green pretreatments for co-producing xylo-oligosaccharides and glucose: Toward full biomass utilization. Int. J. Biol. Macromol. 2024, 259, 129235. [Google Scholar] [CrossRef] [PubMed]
- Mulinari, D.R.; Voorwald, H.J.C.; Cioffifi, M.O.H.; Silva, M.L.C.P.; Sandra, M.L. Preparation and properties of HDPE/sugarcane bagasse cellulose composites obtained for thermokinetic mixer. Carbohydr. Polym. 2009, 75, 317–321. [Google Scholar] [CrossRef]
- Anna, S.; Piotr, C. Modification of epoxy compositions by the application of various fillers of natural origin. Materials 2023, 16, 3149. [Google Scholar] [CrossRef]
- ASTM D 638-22; Standard Test Method for Tensile Properties of Plastics. ASTM International (ASTM): West Conshohocken, PA, USA, 2022.
- ASTM D 790-2010; Standard Test Methods for Flexural Properties of Unreinforced and Reinforced Plastics and Electrical Insulating Materials. ASTM International (ASTM): West Conshohocken, PA, USA, 2010.
- GB/T 1043.1-2008; Plastics-Determination of Charpy Impact Properties-Part 1: Non-Instrumented Impact Test. General Administration of Quality Super. Vision, Inspection and Quarantine of the People’s Republic of China. Standardization Administration of the People’s Republic of China: Beijing, China, 2008.
- Farah, S.S.; Mohamed, T.H.S.; Syafifiqah, N.A.S.; Mohammad, J.A.; Rahim, A.T.; Adi, A.B.; Ain, U.M.S. Physical, thermal and tensile behaviour of 3D printed kenaf/PLA to suggest its usability for ankle-foot orthosis—A preliminary study. Rapid Prototyp. J. 2022, 28, 8. [Google Scholar] [CrossRef]
















| Sample ID | Ti/°C | Tp/°C | Char Residue/wt% |
|---|---|---|---|
| PLA | 347.84 | 382.53 | 0.99 |
| SB-10/PLA | 312.23 | 369.32 | 3.64 |
| SB-20/PLA | 285.61 | 359.44 | 2.95 |
| SB-30/PLA | 284.33 | 358.56 | 8.37 |
| SB-40/PLA | 269.78 | 358.22 | 12.32 |
| SB-50/PLA | 260.79 | 358.03 | 12.91 |
| Sample ID | Tg/°C | Tcc/°C | ΔHc (J/g) | Tm/°C | ΔHm (J/g) | Xc/% |
|---|---|---|---|---|---|---|
| PLA | 58.9 | 130.63 | −38.22 | 159.12 | 39.53 | 1.39 |
| SB-10/PLA | 58.5 | 123.60 | −35.35 | 155.86 | 42.21 | 8.14 |
| SB-20/PLA | 58.4 | 127.21 | −26.41 | 157.93 | 35.58 | 12.25 |
| SB-30/PLA | 58.6 | 128.20 | −18.51 | 159.01 | 29.52 | 16.8 |
| SB-40/PLA | 58.9 | 128.02 | −16.37 | 158.02 | 22.79 | 11.4 |
| SB-50/PLA | 59.6 | 125.41 | −17.22 | 156.39 | 20.96 | 7.99 |
| Sample ID | Flexural Strength (MPa) | Flexural Modulus (MPa) | Impact Strength (kJ/cm2) |
|---|---|---|---|
| Strength | 42.04 ± 4.87 | 3845.82 ± 269.52 | 21.77 ± 3.49 |
| Mg-SB/PLA | 81.82 ± 5.71 | 5683.51 ± 376.16 | 34.56 ± 4.86 |
| Na-SB/PLA | 96.4 ± 3.46 | 5414.59 ± 450.32 | 32.96 ± 4.02 |
| Sample ID | Ti/°C | Tp/°C | Char Residue/wt% |
|---|---|---|---|
| SB-30/PLA | 284.33 | 358.56 | 8.37 |
| Mg-SB/PLA | 319.05 | 365.88 | 2.89 |
| Na-SB/PLA | 312.49 | 361.57 | 7.55 |
| Sample | Tg/°C | Tcc/°C | ΔHc (J/g) | Tm/°C | ΔHm (J/g) | Xc/% |
|---|---|---|---|---|---|---|
| SB-30/PLA | 58.6 | 116.9 | −18.51 | 156.7 | 22.52 | 4.28 |
| Mg-SB/PLA | 60.3 | 99.5 | −26.81 | 167.8 | 30.23 | 5.22 |
| Na-SB/PLA | 59.0 | 97.7 | −28.13 | 167.0 | 34.78 | 10.15 |
| Sample Codes | PLA | SB-10/PLA | SB-20/PLA | SB-30/PLA | SB-40/PLA | SB-50/PLA | Na-SB/PLA | Mg-SB/PLA |
|---|---|---|---|---|---|---|---|---|
| PLA/wt % | 100 | 90 | 80 | 70 | 60 | 50 | 70 | 70 |
| SB/wt % | 10 | 20 | 30 | 40 | 50 | |||
| Na-SB/wt % | 30 | |||||||
| Mg-SB/wt % | 30 |
Disclaimer/Publisher’s Note: The statements, opinions and data contained in all publications are solely those of the individual author(s) and contributor(s) and not of MDPI and/or the editor(s). MDPI and/or the editor(s) disclaim responsibility for any injury to people or property resulting from any ideas, methods, instructions or products referred to in the content. |
© 2025 by the authors. Licensee MDPI, Basel, Switzerland. This article is an open access article distributed under the terms and conditions of the Creative Commons Attribution (CC BY) license (https://creativecommons.org/licenses/by/4.0/).
Share and Cite
Peng, Y.; Lei, W.; Yu, W.; Chen, Y. Effect of Sugarcane Bagasse Content and Modification on the Properties of Sugarcane Bagasse/Poly(lactic Acid) Biocomposites. Molecules 2025, 30, 1583. https://doi.org/10.3390/molecules30071583
Peng Y, Lei W, Yu W, Chen Y. Effect of Sugarcane Bagasse Content and Modification on the Properties of Sugarcane Bagasse/Poly(lactic Acid) Biocomposites. Molecules. 2025; 30(7):1583. https://doi.org/10.3390/molecules30071583
Chicago/Turabian StylePeng, Youxue, Wen Lei, Wangwang Yu, and Yong Chen. 2025. "Effect of Sugarcane Bagasse Content and Modification on the Properties of Sugarcane Bagasse/Poly(lactic Acid) Biocomposites" Molecules 30, no. 7: 1583. https://doi.org/10.3390/molecules30071583
APA StylePeng, Y., Lei, W., Yu, W., & Chen, Y. (2025). Effect of Sugarcane Bagasse Content and Modification on the Properties of Sugarcane Bagasse/Poly(lactic Acid) Biocomposites. Molecules, 30(7), 1583. https://doi.org/10.3390/molecules30071583

