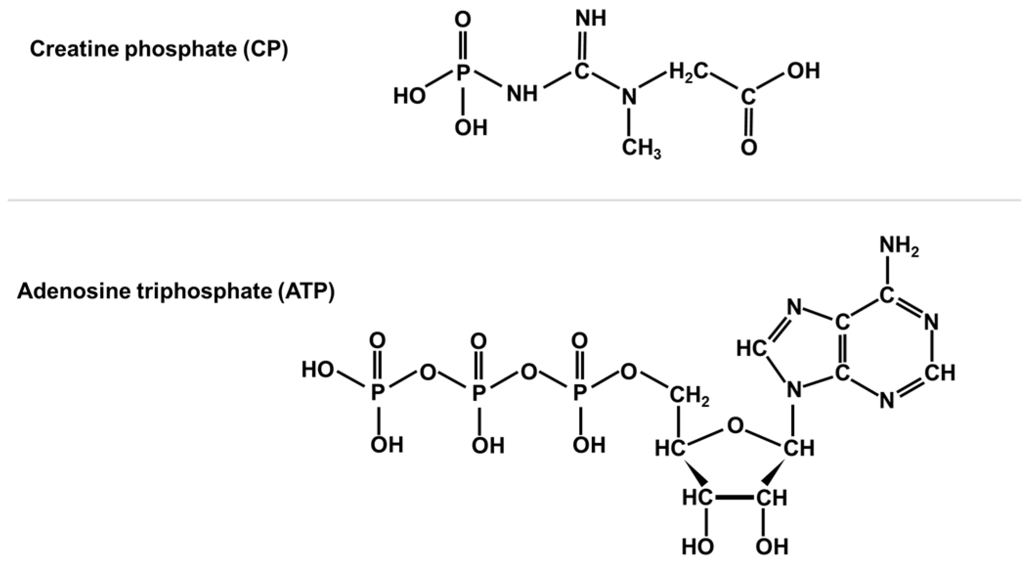
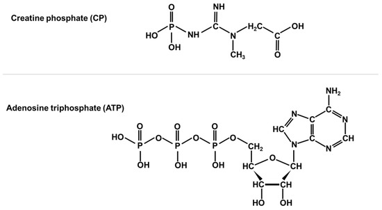
Microwave-Heating-Assisted Synthesis of Ultrathin and Ultralong Hydroxyapatite Nanowires Using Biogenic Creatine Phosphate and Their Derived Flexible Bio-Paper with Drug Delivery Function
Abstract
1. Introduction
2. Results and Discussion
2.1. Characterization of Ultrathin UHAPNWs
2.2. Effects of Experimental Parameters on the Formation of Ultrathin UHAPNWs
2.3. The Formation Mechanism of Ultrathin UHAPNWs
2.4. Ultrathin UHAPNWs as Drug Nanocarriers for Drug Delivery
3. Experimental
3.1. Materials and Chemicals
3.2. Synthesis of Ultralong HAP Nanowires with Ultrathin Diameters
3.3. Material Characterization
3.4. Ibuprofen Loading
4. Conclusions
Author Contributions
Funding
Institutional Review Board Statement
Informed Consent Statement
Data Availability Statement
Conflicts of Interest
References
- Baig, N.; Kammakakam, I.; Falath, W. Nanomaterials: A review of synthesis methods, properties, recent progress, and challenges. Mater. Adv. 2021, 2, 1821–1871. [Google Scholar] [CrossRef]
- Mitchell, M.J.; Billingsley, M.M.; Haley, R.M.; Wechsler, M.E.; Peppas, N.A.; Langer, R. Engineering precision nanoparticles for drug delivery. Nat. Rev. Drug Discov. 2021, 20, 101–124. [Google Scholar] [CrossRef] [PubMed]
- Harish, V.; Tewari, D.; Gaur, M.; Yadav, A.B.; Swaroop, S.; Bechelany, M.; Barhoum, A. Review on Nanoparticles and Nanostructured Materials: Bioimaging, Biosensing, Drug Delivery, Tissue Engineering, Antimicrobial, and Agro-Food Applications. Nanomaterials 2022, 12, 457. [Google Scholar] [CrossRef] [PubMed]
- Cho, N.H.; Guerrero-Martínez, A.; Ma, J.; Bals, S.; Kotov, N.A.; Liz-Marzán, L.M.; Nam, K.T. Bioinspired chiral inorganic nanomaterials. Nat. Rev. Bioeng. 2023, 1, 88–106. [Google Scholar] [CrossRef]
- Liu, H.; Haider, B.; Fried, H.R.; Ju, J.; Bolonduro, O.; Raghuram, V.; Timko, B.P. Nanobiotechnology: 1D nanomaterial building blocks for cellular interfaces and hybrid tissues. Nano Res. 2018, 11, 5372–5399. [Google Scholar] [CrossRef]
- Garnett, E.; Mai, L.; Yang, P. Introduction: 1D Nanomaterials/Nanowires. Chem. Rev. 2019, 119, 8955–8957. [Google Scholar] [CrossRef]
- Wang, S.; Shan, Z.; Huang, H. The Mechanical Properties of Nanowires. Adv. Sci. 2017, 4, 1600332. [Google Scholar] [CrossRef]
- He, Z.; Wang, J.L.; Chen, S.M.; Liu, J.W.; Yu, S.H. Self-Assembly of Nanowires: From Dynamic Monitoring to Precision Control. Acc. Chem. Res. 2022, 55, 1480–1491. [Google Scholar] [CrossRef]
- Wu, F.; Qiang, S.; Zhang, X.; Wang, F.; Yin, X.; Liu, L.; Yu, J.; Liu, Y.T.; Ding, B. The Rising of Flexible and Elastic Ceramic Fiber Materials: Fundamental Concept, Design Principle, and Toughening Mechanism. Adv. Funct. Mater. 2022, 32, 2207130. [Google Scholar] [CrossRef]
- Jia, C.; Xu, Z.; Luo, D.; Xiang, H.; Zhu, M. Flexible Ceramic Fibers: Recent Development in Preparation and Application. Adv. Fiber Mater. 2022, 4, 573–603. [Google Scholar] [CrossRef]
- Si, Y.; Wang, X.; Dou, L.; Yu, J.; Ding, B. Ultralight and fire-resistant ceramic nanofibrous aerogels with temperature-invariant superelasticity. Sci. Adv. 2018, 4, eaas8925. [Google Scholar] [CrossRef] [PubMed]
- Su, L.; Jia, S.; Ren, J.; Lu, X.; Guo, S.W.; Guo, P.; Cai, Z.; Lu, D.; Niu, M.; Zhuang, L.; et al. Strong yet flexible ceramic aerogel. Nat. Commun. 2023, 14, 7057. [Google Scholar] [CrossRef]
- Zhang, Y.; Li, J.; Soleimani, M.; Giacomini, F.; Friedrich, H.; Truckenmüller, R.; Habibovic, P. Biodegradable Elastic Sponge from Nanofibrous Biphasic Calcium Phosphate Ceramic as an Advanced Material for Regenerative Medicine. Adv. Funct. Mater. 2021, 31, 2102911. [Google Scholar] [CrossRef]
- Zhang, Y.; Li, J.; Mouser, V.H.M.; Roumans, N.; Moroni, L.; Habibovic, P. Biomimetic Mechanically Strong One-Dimensional Hydroxyapatite/Poly(d,l-lactide) Composite Inducing Formation of Anisotropic Collagen Matrix. ACS Nano 2021, 15, 17480–17498. [Google Scholar] [CrossRef] [PubMed]
- Zheng, Y.; Ma, W.; Yang, Z.; Zhang, H.; Ma, J.; Li, T.; Niu, H.; Zhou, Y.; Yao, Q.; Chang, J.; et al. An ultralong hydroxyapatite nanowire aerogel for rapid hemostasis and wound healing. Chem. Eng. J. 2022, 430, 132912. [Google Scholar] [CrossRef]
- Hao, L.; Liang, S.; Han, Q.; Jing, Y.; Li, J.; Li, Q.; Wang, A.; Bai, S.; Yin, J. Ultralong hydroxyapatite nanowires-incorporated dipeptide hydrogel with enhanced mechanical strength and superior in vivo osteogenesis activity. Colloids Surf. A Physicochem. Eng. Asp. 2023, 664, 131153. [Google Scholar] [CrossRef]
- Peng, F.; Su, Y.; Ji, X.; Zhong, Y.; Wei, X.; He, Y. Doxorubicin-loaded silicon nanowires for the treatment of drug-resistant cancer cells. Biomaterials 2014, 35, 5188–5195. [Google Scholar] [CrossRef]
- Martinez-Banderas, A.I.; Aires, A.; Quintanilla, M.; Holguin-Lerma, J.A.; Lozano-Pedraza, C.; Teran, F.J.; Moreno, J.A.; Perez, J.E.; Ooi, B.S.; Ravasi, T.; et al. Iron-Based Core-Shell Nanowires for Combinatorial Drug Delivery and Photothermal and Magnetic Therapy. ACS Appl. Mater. Interfaces 2019, 11, 43976–43988. [Google Scholar] [CrossRef]
- Filip, D.G.; Surdu, V.A.; Paduraru, A.V.; Andronescu, E. Current Development in Biomaterials—Hydroxyapatite and Bioglass for Applications in Biomedical Field: A Review. J. Funct. Biomater. 2022, 13, 248. [Google Scholar] [CrossRef]
- Mondal, S.; Park, S.; Choi, J.; Vu, T.T.H.; Doan, V.H.M.; Vo, T.T.; Lee, B.; Oh, J. Hydroxyapatite: A journey from biomaterials to advanced functional materials. Adv. Colloid Interface Sci. 2023, 321, 103013. [Google Scholar] [CrossRef]
- Liu, C.; Xu, M.; Wang, Y.; Yin, Q.; Hu, J.; Chen, H.; Sun, Z.; Liu, C.; Li, X.; Zhou, W.; et al. Exploring the potential of hydroxyapatite-based materials in biomedicine: A comprehensive review. Mater. Sci. Eng. R Rep. 2024, 161, 100870. [Google Scholar] [CrossRef]
- Du, M.; Chen, J.; Liu, K.; Xing, H.; Song, C. Recent advances in biomedical engineering of nano-hydroxyapatite including dentistry, cancer treatment and bone repair. Compos. Part B Eng. 2021, 215, 108790. [Google Scholar] [CrossRef]
- Zhao, H.; Liu, S.; Lu, J.; Yang, X.; Yang, Z.; Li, F.; Guo, L. Natural tooth enamel and its analogs. Cell Rep. Phys. Sci. 2022, 3, 100945. [Google Scholar] [CrossRef]
- Diez-Escudero, A.; Espanol, M.; Ginebra, M.P. High-aspect-ratio nanostructured hydroxyapatite: Towards new functionalities for a classical material. Chem. Sci. 2023, 15, 55–76. [Google Scholar] [CrossRef] [PubMed]
- Lu, B.Q.; Zhu, Y.J.; Chen, F. Highly flexible and nonflammable inorganic hydroxyapatite paper. Chem.-A Eur. J. 2014, 20, 1242–1246. [Google Scholar] [CrossRef]
- Zhu, Y.J. Multifunctional Fire-Resistant Paper Based on Ultralong Hydroxyapatite Nanowires. Chin. J. Chem. 2021, 39, 2296–2314. [Google Scholar] [CrossRef]
- Zhu, Y.-J. Fire-Resistant Paper: Materials, Technologies, and Applications; CRC Press: Boca Raton, FL, USA, 2021. [Google Scholar]
- Yu, H.-P.; Zhu, Y.-J. Bioinspired flexible, high-strength, and versatile hydrogel with the fiberboard-and-mortar hierarchically ordered structure. Nano Res. 2021, 14, 3643–3652. [Google Scholar] [CrossRef]
- Wang, L.; Nancollas, G.H. Calcium Orthophosphates: Crystallization and Dissolution. Chem. Rev. 2008, 108, 4628–4669. [Google Scholar] [CrossRef]
- Lin, K.; Wu, C.; Chang, J. Advances in synthesis of calcium phosphate crystals with controlled size and shape. Acta Biomater. 2014, 10, 4071–4102. [Google Scholar] [CrossRef]
- Mohd Pu’ad, N.A.S.; Abdul Haq, R.H.; Mohd Noh, H.; Abdullah, H.Z.; Idris, M.I.; Lee, T.C. Synthesis method of hydroxyapatite: A review. Mater. Today Proc. 2019, 29, 233–239. [Google Scholar] [CrossRef]
- Zhang, Y.; Zhu, Y.-J.; Yu, H.-P. Microwave-Assisted Hydrothermal Rapid Synthesis of Ultralong Hydroxyapatite Nanowires Using Adenosine 5′-Triphosphate. Molecules 2022, 27, 5020. [Google Scholar] [CrossRef] [PubMed]
- Qi, C.; Musetti, S.; Fu, L.H.; Zhu, Y.J.; Huang, L. Biomolecule-assisted green synthesis of nanostructured calcium phosphates and their biomedical applications. Chem. Soc. Rev. 2019, 48, 2698–2737. [Google Scholar] [CrossRef] [PubMed]
- Zhu, Y.-J.; Chen, F. Microwave-assisted preparation of inorganic nanostructures in liquid phase. Chem. Rev. 2014, 114, 6462–6555. [Google Scholar] [CrossRef] [PubMed]
- Gaddi, A.V.; Galuppo, P.; Yang, J. Creatine phosphate administration in cell energy impairment conditions: A summary of past and present research. Heart Lung Circ. 2017, 26, 1026–1035. [Google Scholar] [CrossRef] [PubMed]
- Wu, S.H.; Chen, K.L.; Hsu, C.; Chen, H.C.; Chen, J.Y.; Yu, S.Y.; Shiu, Y.J. Creatine Supplementation for Muscle Growth: A Scoping Review of Randomized Clinical Trials from 2012 to 2021. Nutrients 2022, 14, 1255. [Google Scholar] [CrossRef]
- Yquel, R.J.; Arsac, L.M.; Thiaudiere, E.; Canioni, P.; Manier, G. Effect of creatine supplementation on phosphocreatine resynthesis, inorganic phosphate accumulation and pH during intermittent maximal exercise. J. Sports Sci. 2002, 20, 427–437. [Google Scholar] [CrossRef]
- Bessman, S.P.; Carpenter, C.L. The Creatine-Creatine Phosphate Energy Shuttle. Annu. Rev. Biochem. 1985, 54, 831–862. [Google Scholar] [CrossRef]
- Andres, R.H.; Ducray, A.D.; Schlattner, U.; Wallimann, T.; Widmer, H.R. Functions and effects of creatine in the central nervous system. Brain Res. Bull. 2008, 76, 329–343. [Google Scholar] [CrossRef]
- Williams, C.; Rollo, I. Carbohydrate Nutrition and Team Sport Performance. Sports Med. 2015, 45 (Suppl. 1), S13–S22. [Google Scholar] [CrossRef]
- Hargreaves, M.; Spriet, L.L. Skeletal muscle energy metabolism during exercise. Nat. Metab. 2020, 2, 817–828. [Google Scholar] [CrossRef]
- Cao, X.; Wang, G.; Yang, Y.; Cao, X. Biomolecules induce the synthesis of hollow hierarchical mesoporous structured hydroxyapatite microflowers: Application in macromolecule drug delivery. J. Mater. Sci. 2021, 56, 7034–7049. [Google Scholar] [CrossRef]
- Qi, C.; Zhu, Y.-J.; Wu, C.-T.; Sun, T.-W.; Chen, F.; Wu, J. Magnesium phosphate pentahydrate nanosheets: Microwave-hydrothermal rapid synthesis using creatine phosphate as an organic phosphorus source and application in protein adsorption. J. Colloid Interface Sci. 2016, 462, 297–306. [Google Scholar] [CrossRef] [PubMed]
- Du, T.-m.; Yang, H.-s.; Niu, X.-f. Phosphorus-containing compounds regulate mineralization. Mater. Today Chem. 2021, 22, 100579. [Google Scholar] [CrossRef]
- Balestrino, M. Role of Creatine in the Heart: Health and Disease. Nutrients 2021, 13, 1215. [Google Scholar] [CrossRef]
- Gawande, M.B.; Shelke, S.N.; Zboril, R.; Varma, R.S. Microwave-Assisted Chemistry: Synthetic Applications for Rapid Assembly of Nanomaterials and Organics. Chem. Rev. 2014, 47, 1338–1348. [Google Scholar] [CrossRef]
- Yu, H.-P.; Zhu, Y.-J.; Lu, B.-Q. Highly efficient and environmentally friendly microwave-assisted hydrothermal rapid synthesis of ultralong hydroxyapatite nanowires. Ceram. Int. 2018, 44, 12352–12356. [Google Scholar] [CrossRef]
- Kumar, A.; Kuang, Y.; Liang, Z.; Sun, X. Microwave chemistry, recent advancements, and eco-friendly microwave-assisted synthesis of nanoarchitectures and their applications: A review. Mater. Today Nano 2020, 11, 100076. [Google Scholar] [CrossRef]
- Katsuki, H.; Furuta, S.; Komarneni, S. Semi-continuous and fast synthesis of nanophase cubic BaTiO3 using a single-mode home-built microwave reactor. Mater. Lett. 2012, 83, 8–10. [Google Scholar] [CrossRef]
- Yu, H.P.; Zhu, Y.J. Guidelines derived from biomineralized tissues for design and construction of high-performance biomimetic materials: From weak to strong. Chem. Soc. Rev. 2024, 53, 4490–4606. [Google Scholar] [CrossRef]
- Zhang, H.; Darvell, B.W. Synthesis and characterization of hydroxyapatite whiskers by hydrothermal homogeneous precipitation using acetamide. Acta Biomater. 2010, 6, 3216–3222. [Google Scholar] [CrossRef]
- Lee, J.-H.; Kim, Y.-J. Hydroxyapatite nanofibers fabricated through electrospinning and sol–gel process. Ceram. Int. 2014, 40, 3361–3369. [Google Scholar] [CrossRef]
- Stojanović, Z.S.; Ignjatović, N.; Wu, V.; Žunič, V.; Veselinović, L.; Škapin, S.; Miljković, M.; Uskoković, V.; Uskoković, D. Hydrothermally processed 1D hydroxyapatite: Mechanism of formation and biocompatibility studies. Mater. Sci. Eng. C 2016, 68, 746–757. [Google Scholar] [CrossRef] [PubMed]
- Ko, H.-S.; Lee, S.; Jho, J.Y. Synthesis and Modification of Hydroxyapatite Nanofiber for Poly(Lactic Acid) Composites with Enhanced Mechanical Strength and Bioactivity. Nanomaterials 2021, 11, 213. [Google Scholar] [CrossRef] [PubMed]
- Jeong, E.J.; Kim, J.H.; Park, J.; Kang, H.C. Synthesis and characterization of hydroxyapatite nanowires on tricalcium phosphate bone discs using a hydrothermal reaction. Ceram. Int. 2024, 50, 55609–55616. [Google Scholar] [CrossRef]
- Yu, H.-P.; Zhu, Y.-J.; Xiong, Z.-C.; Lu, B.-Q. Bioinspired fiberboard-and-mortar structural nanocomposite based on ultralong hydroxyapatite nanowires with high mechanical performance. Chem. Eng. J. 2020, 399, 125666. [Google Scholar] [CrossRef]
- Nakayama, M.; Kajiyama, S.; Kumamoto, A.; Nishimura, T.; Ikuhara, Y.; Yamato, M.; Kato, T. Stimuli-responsive hydroxyapatite liquid crystal with macroscopically controllable ordering and magneto-optical functions. Nat. Commun. 2018, 9, 568. [Google Scholar] [CrossRef]
- Sebastian, T.; Preisker, T.R.; Gorjan, L.; Graule, T.; Aneziris, C.G.; Clemens, F.J. Synthesis of hydroxyapatite fibers using electrospinning: A study of phase evolution based on polymer matrix. J. Eur. Ceram. Soc. 2020, 40, 2489–2496. [Google Scholar] [CrossRef]
- Das, P.; Jana, N.R. Length-Controlled Synthesis of Calcium Phosphate Nanorod and Nanowire and Application in Intracellular Protein Delivery. ACS Appl. Mater. Interfaces 2016, 8, 8710–8720. [Google Scholar] [CrossRef]
- Horjus, D.L.; Oudman, I.; van Montfrans, G.A.; Brewster, L.M. Creatine and creatine analogues in hypertension and cardiovascular disease. Cochrane Database Syst. Rev. 2011, 11, CD005184. [Google Scholar] [CrossRef]
- Clarke, H.; Hickner, R.C.; Ormsbee, M.J. The Potential Role of Creatine in Vascular Health. Nutrients 2021, 13, 857. [Google Scholar] [CrossRef]
- Meng, C.; Liu, X.; Li, R.; Malekmohammadi, S.; Feng, Y.; Song, J.; Gong, R.H.; Li, J. 3D Poly (L-lactic acid) fibrous sponge with interconnected porous structure for bone tissue scaffold. Int. J. Biol. Macromol. 2024, 268, 131688. [Google Scholar] [CrossRef] [PubMed]
- Meng, C.; Song, J.; Malekmohammadi, S.; Meng, J.; Wei, W.; Li, R.; Feng, J.; Gong, R.H.; Li, J. Hierarchical porous poly (L-lactic acid) fibrous vascular graft with controllable architectures and stable structure. Mater. Des. 2024, 240, 112829. [Google Scholar] [CrossRef]
- Yu, H.; Chen, X.; Cai, J.; Ye, D.; Wu, Y.; Fan, L.; Liu, P. Novel porous three-dimensional nanofibrous scaffolds for accelerating wound healing. Chem. Eng. J. 2019, 369, 253–262. [Google Scholar] [CrossRef]
- Higuchi, T. Rate of Release of Medicaments from Ointment Bases Containing Drugs in Suspension. J. Pharm. Sci. 1961, 50, 874–875. [Google Scholar] [CrossRef]
- Higuchi, T. Mechanism of sustained-action medication. Theoretical analysis of rate of release of solid drugs dispersed in solid matrices. J. Pharm. Sci. 1963, 52, 1145–1149. [Google Scholar] [CrossRef]
- Andersson, J.; Rosenholm, J.; Areva, S.; Lindén, M. Influences of Material Characteristics on Ibuprofen Drug Loading and Release Profiles from Ordered Micro- and Mesoporous Silica Matrices. Chem. Mater. 2004, 16, 4160–4167. [Google Scholar] [CrossRef]












Disclaimer/Publisher’s Note: The statements, opinions and data contained in all publications are solely those of the individual author(s) and contributor(s) and not of MDPI and/or the editor(s). MDPI and/or the editor(s) disclaim responsibility for any injury to people or property resulting from any ideas, methods, instructions or products referred to in the content. |
© 2025 by the authors. Licensee MDPI, Basel, Switzerland. This article is an open access article distributed under the terms and conditions of the Creative Commons Attribution (CC BY) license (https://creativecommons.org/licenses/by/4.0/).
Share and Cite
Zhang, Y.; Zhu, Y.-J.; Li, S.-Y.; Dong, L.-Y.; Yu, H.-P. Microwave-Heating-Assisted Synthesis of Ultrathin and Ultralong Hydroxyapatite Nanowires Using Biogenic Creatine Phosphate and Their Derived Flexible Bio-Paper with Drug Delivery Function. Molecules 2025, 30, 996. https://doi.org/10.3390/molecules30050996
Zhang Y, Zhu Y-J, Li S-Y, Dong L-Y, Yu H-P. Microwave-Heating-Assisted Synthesis of Ultrathin and Ultralong Hydroxyapatite Nanowires Using Biogenic Creatine Phosphate and Their Derived Flexible Bio-Paper with Drug Delivery Function. Molecules. 2025; 30(5):996. https://doi.org/10.3390/molecules30050996
Chicago/Turabian StyleZhang, Yu, Ying-Jie Zhu, Si-Yi Li, Li-Ying Dong, and Han-Ping Yu. 2025. "Microwave-Heating-Assisted Synthesis of Ultrathin and Ultralong Hydroxyapatite Nanowires Using Biogenic Creatine Phosphate and Their Derived Flexible Bio-Paper with Drug Delivery Function" Molecules 30, no. 5: 996. https://doi.org/10.3390/molecules30050996
APA StyleZhang, Y., Zhu, Y.-J., Li, S.-Y., Dong, L.-Y., & Yu, H.-P. (2025). Microwave-Heating-Assisted Synthesis of Ultrathin and Ultralong Hydroxyapatite Nanowires Using Biogenic Creatine Phosphate and Their Derived Flexible Bio-Paper with Drug Delivery Function. Molecules, 30(5), 996. https://doi.org/10.3390/molecules30050996

