Abstract
Numerous studies have previously demonstrated the antimicrobial activity of plant extracts rich in procyanidins. However, these investigations that focused on uncharacterized extracts do not provide information on the structure–activity relationships of these compounds. The aim of this work was to investigate the antibacterial and antibiofilm properties of 27 phenolics with coumarin, naphthoquinone and pyranone moieties against foodborne microorganisms, as well as to establish structure–activity relationships. Minimal inhibitory concentrations (MICs) for each compound were investigated, as well as their ability for inhibiting biofilm formation as well as disrupting previously formed biofilms by food pathogens. Our compounds show high antibacterial and antibiofilm activities against Gram-positive bacteria. Regarding the structure–activity relationships observed, the coumarin moiety seems to favor the antibacterial activity against both S. aureus strains assayed, while a naphthoquinone moiety enhances antibacterial effects against B. cereus. Moreover, the replacement of OH groups in the B-ring by methoxy groups impairs antibacterial activity of the compounds against target bacteria, while the presence of Cl or OH groups in the molecules seems to enhance the inhibition of biofilm formation as well as the disruption of preformed biofilms. These results may be of great relevance for the food sector, increasing the options of additives that can be used industrially.
1. Introduction
Procyanidins (PCs) are ubiquitously present in a wide range of foods and crop plants, such as cranberry, cocoa, apple or grape [1,2,3]. However, the PC composition varies significantly across different plant species, due to variations in the configuration of main moieties, the types of bonds between units, and the varying substituents in the molecules [4]. Numerous studies have evaluated the antimicrobial activity of plant extracts rich in procyanidins and their impact on the inhibition of urinary tract and oral infections, bacterial adhesion, and biofilm formation [1,3,5]. However, most publications only evaluate the antimicrobial potential of crude extracts [6], and only a few of these studies have established correlations between the structural attributes and their biological activities [7,8].
The antimicrobial activity of these compounds is mainly based on metabolic disruption, DNA interactions or osmotic imbalance, while their antibiofilm activities include antiadhesive effects but also the modulation of mobility and quorum sensing [9]. PCs can also potentiate the activities of antibiotics and antifungals in diverse ways, exerting a synergistic effect with beta-lactams against Enterobacteriaceae clinical isolates, as well as against extended-spectrum β-lactamases (ESBLs) and metallo-β-lactamases producing E. coli, as well as against carbapenemases producing human pathogens [10], which makes them valuable tools in the prevention and treatment of urinary tract infections (UTIs) [11].
We have also previously described desirable antibacterial and antibiofilm activities against foodborne bacteria by A-type procyanidins (PCs), a class of natural products from the condensed tannin family, and two main series of analogs related to them. Thus, once the A-type PC called cinnamtannin B–1 proved to be more effective than procyanidin B–2 (a B-type PC) [12], we synthesized several A-type analogs to procyanidin A–2, the structurally simplified version of cinnamtannin B–1, finding that the presence of a nitro (NO2) group at carbon 6 afforded higher activities [13] (Figure 1). Then, seven compounds with a NO2 group at C–6 and a variable number of OH groups on rings B and D, with or without a methyl group at the C-ring, were synthesized and evaluated. Among them, analog I proved to be more active regarding the inhibition of biofilm formation and disruption of preformed biofilms [14] (Figure 1). Taking into account that the presence of an electron-withdrawing group (NO2) on the A–ring seemed to improve the antibacterial and antibiofilm activities, eight additional analogs with chloro and bromo atoms at C–6 of the A-ring were synthesized and evaluated as potential biocides [15]. The results from this study showed that halogenated analogs (like analog II) were more active than the nitro derivatives previously reported (Figure 1).
Figure 1.
Natural A-type procyanidins (cinnamtannin B–1, procyanidin A–2) and some synthetic analogs to them (analogs I and II) previously studied by the authors [12,13,14,15]. Letters A–D refer to the type of ring in the structure.
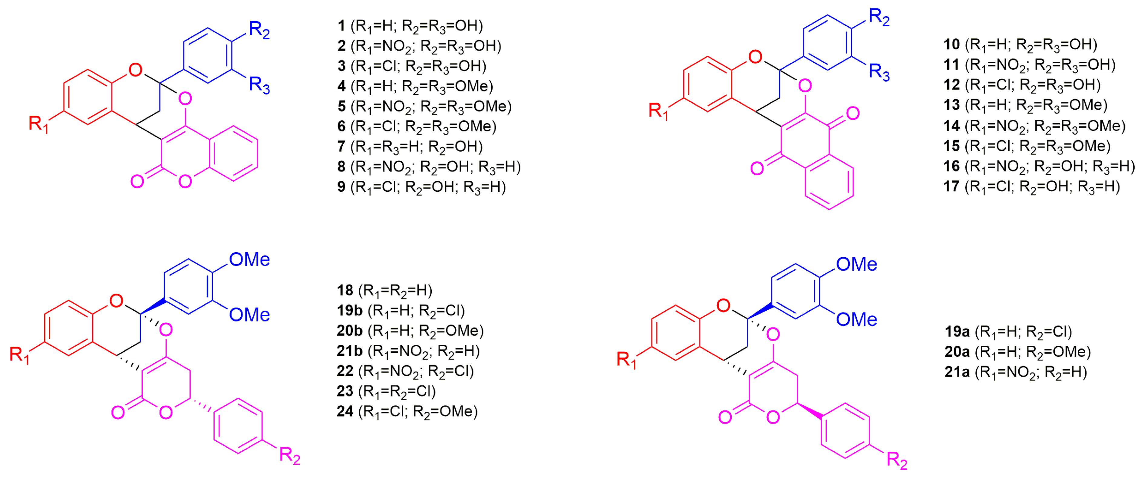
Continuing this work, we report herein on the evaluation of the antibacterial and antibiofilm properties of 27 compounds related to analogs I and II with coumarin, naphthoquinone and pyranone moieties (instead of phloroglucinol or resorcinol at D-ring) (Figure 2) against foodborne microorganisms, in an attempt to advance our knowledge on structure–activity relationships.
Figure 2.
Analogs to A-type procyanidins, related to the leading structures of compounds I and II (Figure 1), evaluated in this work against foodborne pathogens. The synthesis of these compounds has been previously reported by us [16].
Among the target bacteria used in this study, the most susceptible strains were Gram-positive strains (S. aureus and B. cereus strains). Regarding the structure–activity relationships observed, a coumarin moiety seems to favor the antibacterial activity against S. aureus strains, while the naphthoquinone moiety enhances antibacterial effects against B. cereus. Moreover, the replacement of OH groups in the B-ring by methoxy groups impairs antibacterial activity of the compounds against target bacteria, while the presence of Cl or OH groups in the molecules seems to enhance the inhibition of biofilm formation as well as the disruption of preformed biofilms.
2. Results
2.1. Chemistry
Compounds 1–24 (Table S1, Supplementary Materials) displayed in Figure 2 were obtained by reaction of flavylium salts with three different π-nucleophiles, such as 4-hydroxy-coumarin, 2-hydroxy-naphthoquinone and several pyranone derivatives (Scheme 1) [16]. Flavylium salts were synthesized by aldol condensation under acidic conditions between salicylic aldehyde and acetophenone derivatives according to procedures previously used by us [17].
Scheme 1.
Synthesis of compounds 1–24 by reaction of flavylium salts with π-nucleophiles [16].
2.2. Antibacterial Activity
As targets for these assays, eight strains from Type-Culture, belonging to genera Staphylococcus, Listeria, Escherichia and Salmonella, as well as twelve strains of our own collection of resistant strains from organic foods, both Gram-positive and Gram-negative ones, were used.
According to the preliminary standard agar diffusion assay, which showed eight potential susceptible strains and eleven active compounds (Table 1), minimal inhibitory concentration (MIC) values for each compound were obtained (Table 2).
Table 1.
Growth inhibition concentration (µg/mL) of analogs against target strains.
Table 2.
MICs of analogs against target strains (µg/mL).
These assays showed three susceptible strains (S. aureus CECT 976, S. aureus CECT 828 and B. cereus UJA 27q), with MIC values for various compounds assayed between 25 and 50 μg/mL against them.
Analogs 1, 3, 6, 7, 8, 9 and 10 showed MIC values of 25 µg/mL against S. aureus CECT 976, while analogs 11 and 12 were able to inhibit the growth of this strain at 50 µg/mL. Thus, the presence of a coumarin moiety seems to favor the antibacterial activity against this strain, as shown in Figure 3.
Figure 3.
Structure–activity relationship of analogs to A-type procyanidins (1–24) against selected foodborne pathogens (S. aureus CECT 976, S. aureus CECT 828 and B. cereus UJA 27q). Blue line: number of compounds (expressed in percentage) with an MIC lower than 50 μg/mL against S. aureus CECT 976. Orange line: number of compounds (expressed in percentage) with an MIC lower than 50 μg/mL against S. aureus CECT 828. Black line: number of compounds (expressed in percentage) with an MIC lower 50 μg/mL against B. cereus UJA 27q.
Lowest MICs against S. aureus CECT 828 were found for analogs 3, 7, 9 and 11 (25 µg/mL). On the other hand, analogs 6, 8, 10 and 12 showed MICs of 50 µg/mL against these bacteria. The presence of a coumarin unit in the chemical structure seems to enhance again the antibacterial activity against these Gram-positive bacteria (Figure 3).
Analogs 3, 10 and 11 showed MICs of 25 µg/mL against B. cereus UJA 27q. Most of the active analogs against these bacteria have a naphthoquinone moiety in their structure, which seems to increase the antibacterial activity against this Gram-positive bacillus (Figure 3).
S. aureus CECT 976 was the most susceptible strain among those studied, as nine analogs were able to inhibit the growth of this strain at a concentration of 25 µg/mL. S. aureus CECT 828 showed similar susceptibility patterns against the same analogs, although the MICs of these compounds were between 25 and 50 µg/mL against this strain. In contrast, B. cereus UJA 27q was the most resistant strain, being susceptible to just three of the analogs tested.
2.3. Antibiofilm Activity
2.3.1. Inhibition of Biofilm Formation
Based on the previous results of antibacterial activity, strains S. aureus CECT 976, S. aureus CECT 828 and B. cereus UJA 27q along with the nine compounds that showed the best antibacterial activity were selected for analyzing their ability to inhibit the biofilm formation by these target strains (Table 3).
Table 3.
Inhibition of biofilm and disruption of preformed biofilm by analogs against target strains.
The best results (with more than 90% of biofilm inhibition by target bacteria) were found for compound 10 (97.9% of inhibition against S. aureus CECT 976, at a concentration of 0.1 µg/mL), compound 3 (97.2% of inhibition at 0.01 µg/mL against B. cereus UJA 27q), compound 1 (96.8% of inhibition at 0.1 µg/mL against S. aureus CECT 976), compounds 8 (95.7% at 50 µg/mL) and 10 (94.2% at 25 µg/mL) against S. aureus CECT 828 and finally, compound 11 (93.9% of inhibition at 0.01 µg/mL) against B. cereus UJA 27q.
Taking into account their chemical structure, three of these especially active compounds (1, 3 and 8) have a coumarin moiety. All of these compounds also have OH groups in their structure, which seems to be of great value to favor the ability to inhibit the biofilm formation by target bacteria. However, the efficacy of the compounds also depends on the target strain, so compounds 1 and 10 are the most active against S. aureus CECT 976, compounds 8 and 10 against S. aureus CECT 828 and compounds 3 and 11 against B. cereus UJA 27q, respectively (Table 3).
A second group of compounds, which showed biofilm inhibition of 65 to 90% on the selected target strains, includes compounds 9 at 10 µg/mL, compound 3 at 10 µg/mL and compound 6 at 25 µg/mL against S. aureus CECT 976 (with percentages of biofilm inhibition of 88.9%, 85.7% and 83.9%, respectively); compound 11 at 0.01 µg/mL against S. aureus CECT 828 (81.2% inhibition) and against S. aureus CECT 976 (77.6% of inhibition); compound 9 at 0.01 µg/mL and compound 7 at 1 µg/mL against S. aureus CECT 828 (71,25% and 69.9% of inhibition, respectively); compounds 8 at 25 µg/mL and 12 at 10 µg/mL against S. aureus CECT 976 (69.6% and 69.5% of inhibition) and at 0.01 µg/mL against S. aureus CECT 828 (68.46% of inhibition) and compound 10 at 0.01 µg/mL against B. cereus UJA 27q (68.2% oh inhibition). Similar results were previously found for analogs with a NO2 group at the A-ring against B. cereus UJA 27q [14].
Of the eight compounds that form this group, five of them, including the three with highest activity, have the coumarin moiety. Moreover, all of them excluding compound 6 have OH groups in their chemical structure, which increase their antibacterial activity as previously shown. In contrast, compound 6 has a Cl group, which favors the ability to inhibit biofilm formation by target cells.
The most susceptible strain in these assays was S. aureus CECT 976, being inhibited in the biofilm formation by six of the assayed compounds (9, 3, 6, 11, 8 and 12). Four compounds (11, 9, 7, 12) were able to inhibit biofilm formation by S. aureus CECT 828 and just one compound (10) had the same effect on B. cereus UJA 27q, along with the previously studied analogs with a NO2 group at the A-ring [14].
Finally, less active compounds, with 50 to 65% of inhibition in biofilm formation by the target bacteria, were compound 6 at 10 µg/mL against S. aureus CECT 828 (51.9% of inhibition), compound 7 at 10 µg/mL against S. aureus CECT 976 (50.9% of inhibition) and compound 3 at 1 µg/mL against S. aureus CECT 828 (49.22% of inhibition). All these three compounds have the common coumarin moiety in their chemical structure.
In contrast, some compounds, such as 16 and 17, increase the biofilm formation by S. aureus CECT 976, S. aureus CECT 828 and B. cereus UJA 27q.
Regarding the structure–activity relationships, compounds with a coumarin moiety show higher activity against S. aureus strains and those with a naphthoquinone moiety seem to be more active against B. cereus (Figure 4).
Figure 4.
Structure–activity of analogs to A-type procyanidins (1–24) against the inhibition of biofilm of selected foodborne pathogens (S. aureus CECT 976, S. aureus CECT 828 and B. cereus UJA 27q). Blue line: number of compounds (expressed in percentage) with more than 65% of biofilm inhibition against S. aureus CECT 976. Orange line: number of compounds (expressed in percentage) with more than 65% of biofilm inhibition against S. aureus CECT 828. Black line: number of compounds (expressed in percentage) with more than 65% of biofilm inhibition against B. cereus UJA 27q.
2.3.2. Disruption of Preformed Biofilms
The ability of the analogs in disrupting previously formed biofilms by food pathogens was also evaluated (Table 3). Strains S. aureus CECT 976, S. aureus CECT 828 and B. cereus UJA 27q and the nine analogs with best activity were selected again to analyze the disruption of preformed biofilms. All these compounds were able to disrupt more than 50% of preformed biofilms for at least one of the assayed bacteria. Moreover, concentrations of 0.01 µg/mL or 0.1 µg/mL were enough to disrupt the biofilms, regardless of the assayed strain.
The best activity was observed for compounds 10 and 11, both with a naphthoquinone moiety and with two OH groups in the molecule.
Compound 8 at 0.01 µg/mL also stands out, being able to disrupt 86.2% of the preformed biofilm by S. aureus CECT 976, together with compound 11 at 0.01 µg/mL against B. cereus UJA 27q, with disruptions of more than 75% of the preformed biofilms.
3. Discussion
Compared to previous results obtained using analogs with floroglucinol or resorcinol as the D–ring [13,14], higher antibacterial activities of these new analogs were detected, although analog IV described in [13] showed similar antibacterial activity against B. cereus UJA 27q compared to analogs 2 and 11 reported here. These results point to the nucleophilic unit used in the synthesis of A–type PC analogs as one of the most important aspects to consider when designing new antibacterials derived from A–type proanthocyanidins. In that sense, coumarin and/or naphthoquinone instead of fluoroglucinol, resorcinol and/or pyranone moieties significantly increase the antibacterial activity of the prepared compounds against these foodborne bacteria.
Our synthetic compounds showed higher antibacterial activities compared to natural products, as previously described for chlorinated thymol and carvracol derivatives on S. aureus and P. aeruginosa [18]. Similar results have also been previously described by us with phenolic compounds against these target strains. We tested six analogs of A–type proanthocyanidins that were able to inhibit the growth of twenty-one foodborne bacteria, as well as inhibit the biofilm formation and disrupt preformed biofilms by these target bacteria [13].
The hydroxylation at positions 5 and 7 on the A–ring has been previously described to play an important role in the antibacterial activity of flavonols [19]. Moreover, hydroxylations on the C–ring increased the activity. Therefore, the number of monomeric subunits and the location of B–ring hydroxyl groups of the flavan-3-ol monomer are important factors that define the chemistry and bioactivities of condensed tannins (CTs) [20]. Our results also corroborate these previously established structure–activity relationships, so the presence of OHs at the B–ring and halogenated atoms like Cl at the A–ring provide higher antibacterial activities [14,15].
Regarding antibiofilm activity of our compounds, various biofilm inhibitory mechanisms have been reported for CT, such as bacterial growth reduction properties, bacterial membrane impairment, and inhibition of the production of an extracellular matrix against P. aeruginosa [21]. Cranberry proanthocyanidins have also showed antibiofilm properties against P. aeruginosa by down-regulating the expression of the citric acid cycle and ATP synthesis proteins in bacterial metabolism [22], and CT from astringent persimmons showed anti-biofilm activity against intraoral bacteria by reducing the hydrophobicity of bacteria [23]. The proanthocyanidins from highbush blueberry are also able to inhibit biofilm formation by altering the cell membrane integrity [24]. In contrast, the increase in biofilm formation by S. aureus CECT 976, S. aureus CECT 828 and B. cereus UJA 27q induced by compounds 16 and 17 is probably due to the capacity of some phenolic compounds to induce partial bacterial lysis and subsequent aggregation and membrane fusion, which may favor biofilm formation [25]. Similar results have been previously detected and a paradoxical effect has been described in phenolic compounds against E. coli with cinnamtannin B–1 and against Candida albicans with proanthocyanidins [26] due to the association of some phenolic compounds to each other when the concentration increases [27] and because of the formation of aggregates with proteins and peptides [28], which reduces the effective concentration of these phenolic compounds.
Changes in exopolysaccharide (EPS) production or motility in both Gram–positive and Gram–negative bacteria, as well as changes in hydrophobicity, may also account for the antibiofilm activities we have found in our analogs, as previously described for some natural and derived compounds [29]. In general, tannin compounds act against bacteria, causing disintegration of bacterial colonies, by interfering with the bacterial cell wall and inhibiting fatty acid biosynthesis pathways [20]. They also act through iron chelation, damage to the cell membrane, inhibition of enzyme activities or interaction with proteins [30]. Interaction of tannins with cell wall synthesis also makes bacteria more susceptible to osmotic lysis and the alteration of the structure of the bacterial membranes may also increase fluidity, enhancing the effect of antibiotics [31]. Proanthocyanidins can also bind to the lipopolysaccharides of Gram–negative bacteria, leading to destabilization of the integrity of the outer membrane. They may also inhibit numerous bacterial enzymes, such as protease, phospholipase, urease, neuraminidase, and collagenase [32]. The expression and activity of the urease gene in Proteus mirabilis has also been described to be inhibited by tannic acid, with subsequent reduction in biofilm formation. Recent research efforts are addressing this gap, suggesting that PCs exert antibiofilm activities either by modulating quorum-sensing (QS) systems or by affecting elements such as the composition of the EPS matrix and bacterial motility [9], although further studies are necessary to corroborate this hypothesis.
In general, our compounds reported here present high antibacterial and antibiofilm activities specifically against three Gram–positive bacteria of great relevance for the food sector, including two strains of S. aureus, which are widely studied as a target of phenolic compounds, mainly because of the high virulence in methicillin–resistant S. aureus (MRSA) and their capacity to cause recurrent and durable infections in humans [33]. However, wider studies including a panel of reference strains of bacteria should be conducted in order to contribute to the active development of new food packaging preventing contamination by foodborne pathogens, lengthening the food shelf life and increasing the options of additives that can be used industrially.
4. Materials and Methods
4.1. General Experimental Methods
The solvents and reagents used, reactions performed and instrumentation were reported by us in a previous work [16]. In brief, all reactions were performed under inert atmospheric conditions at either room temperature or 50 °C. Reaction progress was monitored using analytical thin-layer chromatography (TLC) on silica gel 60 F254 precoated aluminum sheets (0.25 mm, Merck Chemicals, Darmstadt, Germany), with visualization achieved under ultraviolet light at 254 nm. Purification of the synthesized compounds was carried out via column chromatography (CC) using silica gel 60 (particle size 0.040–0.063 mm, Merck Chemicals, Darmstadt, Germany).
Nuclear magnetic resonance (NMR) spectra, including 1 H and 13 C, were recorded on a Bruker Avance 400 spectrometer (Bruker Daltonik GmbH, Bremen, Germany) operating at 400 MHz for 1 H and 100 MHz for 13 C. Deuterated solvents such as methanol (CD3OD), chloroform (CDCl3), and dimethyl sulfoxide ((CD3)2SO) were used, with a drop of deuterated trifluoroacetic acid (TFA-d) added for flavylium salts to establish acidic conditions. High-resolution mass spectra (HRMS) were obtained using an Agilent 6520B Quadrupole Time-of-Flight (QTOF) mass spectrometer (Agilent Technologies, Santa Clara, CA, USA).
4.1.1. General Procedure for the Synthesis of Flavylium Salts
In a round-bottom flask, a salicylaldehyde derivative (1 mmol), an acetophenone derivative (1 mmol), concentrated H2SO4 (0.3 mL, 5.4 mmol), and acetic acid (HOAc, 1.3 mL) were combined. The mixture was stirred at room temperature overnight, as previously described [16]. Subsequently, diethyl ether (Et2O, 20 mL) was gradually added, resulting in the precipitation of a reddish solid. The solid was collected by filtration, thoroughly washed with additional diethyl ether, and dried. The synthesized flavylium salts were consistent with our prior reports, yielding comparable efficiencies, and their structures were confirmed by comparison to previously reported spectral data [16].
4.1.2. General Procedure for the Synthesis of 2,8-Dioxabicyclo [3.3.1] Nonanes (1–24)
In a round-bottom flask, a flavylium salt (0.5 mmol) was reacted with 4-hydroxycoumarin, 2-hydroxy-1,4-naphthoquinone, 4-hydroxy-6-phenyl-5,6-dihydro-2H-pyran-2-one, 6-(4-chlorophenyl)-4-hydroxy-5,6-dihydro-2H-pyran-2-one, or 4-hydroxy-6-(4-methoxyphenyl)-5,6-dihydro-2H-pyran-2-one (0.5 mmol) in absolute methanol (MeOH, 8 mL). The reaction mixture was stirred at 50 °C overnight in an oil bath, as previously detailed [16]. Following the reaction, the solvent was evaporated, and the resulting crude product was purified using column chromatography with silica gel 60 as the stationary phase. The synthesized dioxabicyclic derivatives (1–24) were consistent with our previous reports [16], and their structures were confirmed by comparison with previously reported spectral data [16].
4.2. Antibacterial Activity
With the aim to estimate the efficacy of the compounds against different foodborne bacteria, their antibacterial and antibiofilm activities were evaluated. The compounds were dissolved in dimethyl sulfoxide (DMSO) (Sigma-Aldrich, Madrid, Spain) and serially diluted for antimicrobial and antibiofilm assays. All experiments were carried out in triplicate.
Preliminary studies on the antibacterial activity of the compounds were performed by the standard agar diffusion method as previously described [15]. Next, minimal inhibitory concentration (MIC) values for each compound were obtained by the broth microdilution method, according to the recommendations of the CLSI (2015) [34]. Briefly, serial dilutions of the compounds in tryptic soya broth (TSB) (Scharlab, Barcelona, Spain) were incubated with bacterial suspensions of the target strains (105 CFU in TSB) during 24 h, at 37 °C. Then, plates were read on an iMarkMicroplate Reader (Bio-Rad, Madrid, Spain) at OD595 to determine the minimal concentration of each of the compounds tested being able to inhibit bacterial growth. As targets for these assays, both strains from Type-Culture Collections (Spanish; CECT and from the University of Goteborg; CCUG) as well as strains of our own collection from organic foods [35] were used (Table 4).
Table 4.
Bacterial strains tested in antibacterial assays.
4.3. Biofilm Formation Inhibition Assay and Disruption of Preformed Biofilm
In order to detect antibiofilm activities of the compounds against the target strains, bacteria were incubated with 10-fold serially diluted purified compounds according to Ulrey et al. [22]. Bacterial suspensions (105 CFU in TSB) were incubated with increasing concentrations of each compound, (24 h, 30 °C). Wells with bacterial suspensions and TSB medium were run in parallel as positive controls for biofilm formation. All wells were washed with tap water, and the biofilms fixed with methanol. The plate was stained with 0.3% crystal violet and read on an iMarkMicroplate Reader (Bio-Rad, Madrid, Spain) OD595.
The ability of the analogs in disrupting previously formed biofilms by food pathogens may also be of great interest for food industries, so cells were then allowed to form biofilms during 24 h in a subsequent assay, and once the bacteria had formed these structures, diluted compounds were added to the plates in order to detect the remaining biofilm after a second incubation (24 h, 30 °C) by the crystal violet stain method.
4.4. Statistical Analysis
The average data and standard deviations from absorbances of antibiofilm assays were determined with the Excel program version 18.0 (Microsoft Corp., Redmond, WA, USA). The statistical significance of the data was evaluated by a t-test that was performed at the 95% confidence level with Statgraphics Plus version 5.1 (Statistical Graphics Corp., Rockville, MD, USA).
5. Conclusions
S. aureus CECT 976, S. aureus CECT 828 and B. cereus UJA27q were the most susceptible strains with regard to both antibacterial and antibiofilm activities when faced with most of the analyzed compounds. Regarding the structure–activity relationships observed, the coumarin nucleophilic unit seems to favor the antibacterial activity against both S. aureus strains, while a naphthoquinone moiety enhances antibacterial effects against B. cereus UJA27q. Moreover, the replacement of OH groups in the B-ring by methoxy groups (compounds 4, 5, 6, 13, 14, 15 and 19a to 24b) impairs the antibacterial activity of the compounds against target bacteria, while the presence of Cl or OH groups in the molecules seems to enhance the inhibition of biofilm formation as well as the disruption of preformed biofilms.
Supplementary Materials
The following supporting information can be downloaded at https://www.mdpi.com/article/10.3390/molecules30040944/s1: Table S1: Systematic names of synthesized compounds (1–24).
Author Contributions
Conceptualization, J.A., S.S. and E.O.-M.; methodology, A.C., A.A.-A. (Alfonso Alejo-Armijo) and A.A.-A. (Alejandra Alejo-Armijo).; formal analysis, J.A., S.S., A.A.-A. (Alejandra Alejo-Armijo) and E.O.-M.; investigation, A.C., A.A.-A. (Alfonso Alejo-Armijo) and A.A-A. (Alejandra Alejo-Armijo); resources, A.C. and A.A.-A. (Alfonso Alejo-Armijo); writing—original draft preparation, A.C. and A.A.-A. (Alfonso Alejo-Armijo); writing—review and editing, J.A., S.S. and E.O.-M.; supervision, J.A., S.S. and E.O.-M.; project administration, J.A. and E.O.-M.; funding acquisition, J.A. and E.O.-M. All authors have read and agreed to the published version of the manuscript.
Funding
This research was funded by the Andalusian Consejería de Economía y Conocimiento (FEDER program 2014–2020: grant number 1380669), Spain.
Institutional Review Board Statement
Not applicable.
Informed Consent Statement
Not applicable.
Data Availability Statement
Data are contained within the article and Supplementary Materials.
Conflicts of Interest
The authors declare no conflicts of interest.
References
- Engström, M.T.; Pälijärvi, M.; Fryganas, C.; Grabber, J.H.; Mueller-Harvey, I.; Salminen, J. Rapid qualitative and quantitative analyses of proanthocyanidin oligomers and polymers by UPLC-MS/MS. J. Agric. Food Chem. 2014, 62, 3390–3399. [Google Scholar] [CrossRef] [PubMed]
- Constabel, C.P. Molecular controls of proanthocyanidin synthesis and structure: Prospects for genetic engineering in crop plants. J. Agric. Food Chem. 2018, 66, 9882–9888. [Google Scholar] [CrossRef]
- Zhong, H.; Xue, Y.; Lu, X.; Shao, Q.; Cao, Y.; Wu, Z.; Chen, G. The effects of different degrees of procyanidin polymerization on the nutrient absorption and digestive enzyme activity in mice. Molecules 2018, 23, 2916. [Google Scholar] [CrossRef]
- Jing, S.; Zeller, W.E.; Ferreira, D.; Zhou, B.; Nam, J.; Bedran-Russo, A.; Chen, S.; Pauli, G.F. Proanthocyanidin Block Arrays (PACBAR) for comprehensive capture and delineation of proanthocyanidin structures. J. Agric. Food Chem. 2020, 68, 13541–13549. [Google Scholar] [CrossRef] [PubMed]
- Biharee, A.; Sharma, A.; Kumar, A.; Jaitak, V. Antimicrobial flavonoids as a potential substitute for overcoming antimicrobial resistance. Fitoterapia 2020, 146, 104720. [Google Scholar] [CrossRef] [PubMed]
- Górniak, I.; Bartoszewski, R.; Króliczewski, J. Comprehensive review of antimicrobial activities of plant flavonoids. Phytochem. Rev. 2019, 18, 241–272. [Google Scholar] [CrossRef]
- Babar, A.; Moore, L.; Leblanc, V.; Dudonné, S.; Desjardins, Y.; Lemieux, S.; Bochard, V.; Guyonnet, D.; Dodin, S. High dose versus low dose standardized cranberry proanthocyanidin extract for the prevention of recurrent urinary tract infection in healthy women: A double-blind randomized controlled trial. BMC Urol. 2021, 21, 44. [Google Scholar] [CrossRef]
- Zeng, Y.; Zhao, L.; Wang, K.; Renard, C.M.G.C.; Le Bourvellec, C.; Hu, Z.; Liu, X. A-type proanthocyanidins: Sources, structure, bioactivity, processing, nutrition, and potential applications. Compr. Rev. Food Sci. Food Saf. 2024, 23, e13352. [Google Scholar] [CrossRef]
- Mattos, M.M.G.; Filho, S.A.; Martins, G.R.; Venturi, L.S.; Canetti, V.B.; Ferreira, F.A.; Foguel, D.; da Silva, A.S. Antimicrobial and antibiofilm properties of procyanidins: Potential for clinical and biotechnological applications. Crit. Rev. Microbiol. 2024, 1–24. [Google Scholar] [CrossRef]
- Gallique, M.; Wei, K.; Maisuria, V.B.; Okshevsky, M.; McKay, G.; Nguyen, D.; Tufenkji, N. Cranberry-derived proanthocyanidins potentiate β-lactam antibiotics against resistant bacteria. Appl. Environ. Microbiol. 2021, 87, e00127-21. [Google Scholar] [CrossRef] [PubMed]
- Li, M.; Andrew, M.A.; Wang, J.; Salinger, D.H.; Vicini, P.; Grady, R.W.; Phillips, B.; Shen, D.D.; Anderson, G.D. Effects of cranberry juice on pharmacokinetics of β-lactam antibiotics following oral administration. Antimicrob. Agents Chemother. 2009, 53, 2725–2732. [Google Scholar] [CrossRef]
- Alejo-Armijo, A.; Glibota, N.; Frías, M.P.; Altarejos, J.; Galvez, A.; Ortega-Morente, E.; Salido, S. Antimicrobial and antibiofilm activities of procyanidins extracted from laurel wood against a selection of foodborne microorganisms. Int. J. Food Sci.Technol. 2017, 52, 679–686. [Google Scholar] [CrossRef]
- Alejo-Armijo, A.; Glibota, N.; Frías, M.P.; Altarejos, J.; Galvez, A.; Salido, S.; Ortega-Morente, E. Synthesis and evaluation of antimicrobial and antibiofilm properties of A-type procyanidin analogues against resistant bacteria in food. J. Agric. Food Chem. 2018, 66, 2151–2158. [Google Scholar] [CrossRef] [PubMed]
- Cobo, A.; Alejo-Armijo, A.; Cruz, D.; Altarejos, J.; Salido, S.; Ortega-Morente, E. Synthesis of analogs to A-type proanthocyanidin natural products with enhanced antimicrobial properties against foodborne microorganisms. Molecules 2023, 28, 4844. [Google Scholar] [CrossRef]
- Cobo, A.; Alejo-Armijo, A.; Cruz, D.; Altarejos, J.; Salido, S.; Ortega-Morente, E. Halogenated analogs to natural A-type proanthocyanidins: Evaluation of their antioxidant and antimicrobial properties and possible application in food industries. Molecules 2024, 29, 3622. [Google Scholar] [CrossRef]
- Salido, S.; Alejo-Armijo, A.; Altarejos, J. Synthesis and hLDH inhibitory activity of analogues to natural products with 2,8-dioxabicyclo[3.3.1]nonane scaffold. Int. J. Mol. Sci. 2023, 24, 9925. [Google Scholar] [CrossRef] [PubMed]
- Alejo-Armijo, A.; Cuadrado, C.; Altarejos, J.; Fernandes, M.X.; Salido, E.; Diaz-Gavilan, M.; Salido, S. Lactate dehydrogenase A inhibitors with a 2,8-dioxabicyclo[3.3.1]nonane scaffold: A contribution to molecular therapies for primary hyperoxalurias. Bioorg. Chem. 2022, 129, 106127–106139. [Google Scholar] [CrossRef] [PubMed]
- Pinheiro, P.F.; Menini, L.A.P.; Bernardes, P.C.; Saraiva, S.H.; Carneiro, J.W.M.; Costa, A.V.; Arruda, T.R.; Lage, M.R.; Gonçalves, P.M.; Bernardes, C.O.; et al. Semisynthetic phenol derivatives obtained from natural phenols: Antimicrobial activity and molecular properties. J. Agric. Food Chem. 2018, 66, 323–330. [Google Scholar] [CrossRef]
- Xiao, X.-N.; Wang, F.; Yuan, Y.-T.; Liu, J.; Liu, Y.-Z.; Yi, X. Antibacterial activity and mode of action of dihydromyricetin from Ampelopsis grossedentata leaves against food-borne bacteria. Molecules 2019, 24, 2831. [Google Scholar] [CrossRef] [PubMed]
- Farha, A.K.; Yang, Q.-Q.; Kim, G.; Li, H.-B.; Zhu, F.; Liu, H.-Y.; Gan, R.-Y.; Corke, H. Tannins as an alternative to antibiotics. Food Biosci. 2020, 38, 100751. [Google Scholar] [CrossRef]
- Trentin, D.S.; Silva, D.B.; Amaral, M.W.; Zimmer, K.R.; Silva, M.V.; Lopes, N.P.; Giordani, R.B.; Macedo, A.J. Tannins possessing bacteriostatic effect impair Pseudomonas aeruginosa adhesion and biofilm formation. PLoS ONE 2013, 8, e66257. [Google Scholar] [CrossRef] [PubMed]
- Ulrey, R.K.; Barksdale, S.M.; Zhou, W.; van Hoek, M.L. Cranberry proanthocyanidins have anti-biofilm properties against Pseudomonas aeruginosa. BMC Complement. Altern. Med. 2014, 14, 499–511. [Google Scholar] [CrossRef]
- Tomiyama, K.; Mukai, Y.; Saito, M.; Watanabe, K.; Kumada, H.; Nihei, T.; Hamada, N.; Teranaka, T. Antibacterial action of a condensed tannin extracted from astringent persimmon as a component of food addictive pancil PS-M on oral polymicrobial biofilms. BioMed Res. Int. 2016, 2016, 5730748. [Google Scholar] [CrossRef]
- Lagha, A.B.; LeBel, G.; Grenier, D. Dual action of highbush blueberry proanthocyanidins on Aggregatibacter actinomycetemcomitans and the host inflammatory response. BMC Complement. Altern. Med. 2018, 18, 10. [Google Scholar]
- Ortega Vidal, J.; Cobo, A.; Ortega-Morente, E.; Gálvez, A.; Martínez-Bailén, M.; Salido, S.; Altarejos, J. Antimicrobial activity of phenolics isolated from the pruning wood residue of European plum (Prunus domestica L.). Ind. Crops Prod. 2022, 176, 114296. [Google Scholar] [CrossRef]
- Rane, H.S.; Bernardo, S.M.; Howell, A.B.; Lee, S.A. Cranberry-derived proanthocyanidins prevent formation of Candida albicans biofilms in artificial urine through biofilm- and adherence specific mechanisms. J. Antimicrob. Chemother. 2014, 69, 428–436. [Google Scholar] [CrossRef] [PubMed]
- Goto, T.; Yoshida, K.; Yoshikane, M.; Kondo, T. Chiral stacking of a natural flavone, flavocommelin, in aqueous solutions. Tetrahedron Lett. 1990, 31, 713–716. [Google Scholar] [CrossRef]
- Charlton, A.J.; Baxter, N.J.; Khan, M.L.; Moir, A.J.G.; Haslam, E.; Davies, A.P.; Williamson, M.P. Polyphenol/peptide binding and precipitation. J. Agric. Food Chem. 2002, 50, 1593–1601. [Google Scholar] [CrossRef] [PubMed]
- Roy, R.; Tiwari, M.; Donelli, G.; Tiwari, V. Strategies for combating bacterial biofilms: A focus on anti-biofilm agents and their mechanisms of action. Virulence 2018, 9, 522–554. [Google Scholar] [CrossRef]
- Tintino, S.R.; Morais-Tintino, C.D.; Campina, F.F.; Costa, M.D.S.; Menezes, I.R.; de Matos, Y.M.L.; Calixto-Júnior, J.T.; Pereira, P.S.; Siqueira-Junior, J.P.; Leal-Balbino, T.C.; et al. Tannic acid affects the phenotype of Staphylococcus aureus resistant to tetracycline and erythromycin by inhibition of efflux pumps. Bio. Chem. 2017, 74, 197–200. [Google Scholar] [CrossRef] [PubMed]
- Olchowik-Grabarek, E.; Sękowski, S.; Kwiatek, A.; Płaczkiewicz, J.; Abdulladjanova, N.; Shlyonsky, V.; Swiecicka, I.; Zamaraeva, M. The structural changes in the membranes of Staphylococcus aureus caused by hydrolysable tannins witness their antibacterial activity. Membranes 2022, 12, 1124. [Google Scholar] [CrossRef] [PubMed]
- Lobiuc, A.; Pavăl, N.-E.; Mangalagiu, I.I.; Gheorghiță, R.; Teliban, G.-C.; Amăriucăi-Mantu, D.; Stoleru, V. Future antimicrobials: Natural and functionalized phenolics. Molecules 2023, 28, 1114. [Google Scholar] [CrossRef] [PubMed]
- Kannappan, A.; Jothi, R.; Tian, X.; Pandian, S.K.; Gowrishankar, S.; Chunlei, S. Antibacterial activity of 2-hydroxy-4-methoxybenzaldehyde and its possible mechanism against Staphylococcus aureus. J. Appl. Microbiol. 2023, 134, lxad144. [Google Scholar] [CrossRef]
- Clinical and Laboratory Standards Institute (CLSI). Performance Standards for Antimicrobial Susceptibility Testing: Twenty-Fourth Informationals Supplement; Document M100eS24, No. 3; CLSI: Wayne, PA, USA, 2015; Volume 34. [Google Scholar]
- Fernández-Fuentes, M.A.; Ortega-Morente, E.; Abriouel, H.; Pérez-Pulido, R.; Gálvez, A. Isolation and identification of bacteria from organic foods: Sensitivity to biocides and antibiotics. Food Control 2012, 26, 73–78. [Google Scholar] [CrossRef]
Disclaimer/Publisher’s Note: The statements, opinions and data contained in all publications are solely those of the individual author(s) and contributor(s) and not of MDPI and/or the editor(s). MDPI and/or the editor(s) disclaim responsibility for any injury to people or property resulting from any ideas, methods, instructions or products referred to in the content. |
© 2025 by the authors. Licensee MDPI, Basel, Switzerland. This article is an open access article distributed under the terms and conditions of the Creative Commons Attribution (CC BY) license (https://creativecommons.org/licenses/by/4.0/).




