Next Article in Journal
Liquid Metal–Polymer Hydrogel Composites for Sustainable Electronics: A Review
Previous Article in Journal
Design and Binding Affinity of Antisense Peptides for Snake Venom Neutralization
 
 
Font Type:
Arial Georgia Verdana
Font Size:
Aa Aa Aa
Line Spacing:
Column Width:
Background:
Article

Design, Synthesis and Biological Activity Study of γ-Aminobutyric Acid (GABA) Derivatives Containing Bridged Bicyclic Skeletons as BCAT1 Inhibitors

1
School of Pharmaceutical Sciences, Southern Medical University, Guangzhou 510515, China
2
Zhongshan Institute for Drug Discovery, Shanghai Institute of Materia Medica, Chinese Academy of Sciences, Zhongshan 528400, China
3
Shanghai Institute of Materia Medica, Chinese Academy of Sciences, Shanghai 201203, China
4
University of Chinese Academy of Sciences, Beijing 100049, China
5
School of Pharmacy, China Pharmaceutical University, Nanjing 211198, China
6
School of Life Science and Technology, ShanghaiTech University, Shanghai 201210, China
*
Authors to whom correspondence should be addressed.
These authors contributed equally to this work.
Molecules 2025, 30(4), 904; https://doi.org/10.3390/molecules30040904
Submission received: 15 January 2025 / Revised: 31 January 2025 / Accepted: 12 February 2025 / Published: 15 February 2025
(This article belongs to the Section Medicinal Chemistry)

Abstract

Branched-chain amino acid aminotransferases (BCATs), existing as the two isoforms BCAT1 and BCAT2, are responsible for the catabolism of branched-chain amino acids (BCAAs) and are highly upregulated and implicated in a diverse range of cancers. BCAT1 inhibitors represent a potential class of therapeutic agents for cancers; however, none have yet progressed to clinical development. Our earlier research identified WQQ-345 as a novel BCAT1 inhibitor featuring a unique bridged bicyclic skeleton and demonstrating both in vitro and in vivo antitumor activity against tyrosine kinase inhibitor (TKI)-resistant lung cancer with high BCAT1 expression. In the present study, we proceeded to modify the structure of WQQ-345 by two-round structure–activity relationship (SAR) exploration, leading to the discovery of a bicyclo[3.2.1]octene-bearing GABA derivative 7. Compound 7 exhibited a 6-fold enhancement in BCAT1 enzymatic inhibitory activity compared to the parent compound WQQ-345 and could effectively suppress the growth of 67R cells that highly expressed BCAT1 and was resistant to third-generation TKIs. GABA derivatives are an important chemical class of BCAT1 inhibitors, and therefore, the findings in the present study represent great progress both in the discovery of potent BCAT1 inhibitors with new chemical structures and in the treatment of cancer resistance.

Graphical Abstract

1. Introduction

Branched-chain amino acids (BCAAs) (leucine (Leu), isoleucine (Ile), and valine (Val)) are essential amino acids for humans and other mammalians and play significant roles in many physiological and pathological processes [1]. The catabolism of BCAAs is catalyzed by branched-chain amino acid aminotransferase (BCAT), which exists as two isoforms, cytosolic BCAT1 (or BCATc) and mitochondrial BCAT2 (or BCATm) [2]. BCATs are highly upregulated and implicated in the occurrence, progress and metastasis of a wide range of cancers and are involved with some other diseases, such as metabolic and neurological diseases [3,4,5,6,7]. Therefore, targeting BCAT is supposed to be a potential therapeutic approach for these diseases, in particular cancers. During the past three decades, substantial efforts have been made in the discovery of BCAT1 inhibitors for the therapeutic purposes; however, none have yet advanced to clinical trials [8]. Representative selective BCAT1 and BCAT2 inhibitors are shown in Figure 1 [8]. Currently, the most advanced BCAT1 inhibitor is BAY-069, which exhibited very potent enzymatic inhibitory activity against BCAT1 as well as a decent in vitro and in vivo pharmacokinetic profile, but, unfortunately, it displayed weaker cellular inhibitory activity against BCAT1 and almost no anti-proliferative activity due to unknown reasons [9]. Therefore, further efforts are greatly needed to discover BCAT inhibitors with a more druggable profile to validate the therapeutic value in proof-of-concept clinical trials.
Resistance to cancer therapies has been a long-standing challenge in cancer treatment [10], and resistance to epidermal growth factor receptor tyrosine kinase inhibitors (EGFR TKIs) has been the primary cause of cancer recurrence and treatment failure in patients with EGFR-mutant non-small-cell lung cancer (NSCLC) [11]. Our earlier research identified BCAT1 as a potential therapeutic target via high-throughput proteomics followed by genetic depletion and pharmacological inhibition [12], and furthermore, a novel BCAT1 inhibitor with a unique bridged bicyclic skeleton, namely WQQ-345 (Figure 2), was identified by the screening of an in-house compound library of γ-aminobutyric acid (GABA) derivatives. WQQ-345 was further demonstrated to exhibit both in vitro and in vivo antitumor activity against TKI-resistant lung cancer with high BCAT1 expression [12]. Based on the earlier promising findings, we proceeded to modify the structure of WQQ-345 with the aim of discovering more potent BCAT1 inhibitors. Thus, in the present study, two rounds of structure–activity relationship (SAR) explorations around WQQ-345 were conducted and a bicyclo[3.2.1]octene-bearing GABA derivative 7 was discovered (Figure 2), which was markedly more potent than the parent compound WQQ-345 as indicated by the 6-fold improvement of BCAT1 enzymatic inhibitory activity (IC50, 0.78 mM for 7 versus 4.87 mM for WQQ-345) and could effectively suppress the growth of ASK 120067-resistent cells with high BCAT1 expression.

2. Results and Discussion

2.1. Chemistry

The synthetic route to target compound 1 was shown in Scheme 1. The Henry reaction of norcamphor (9) and CH3NO2 in refluxing benzene gave a tertiary β-nitro alcohol 10, which underwent spontaneous dehydration in situ to afford α,β-unsaturated nitro compound 11 as a mixture of E/Z geometric isomers [13]. The Michael addition of carbanion generated from deprotonation of tert-butyl acetate by lithium diisopropylamide (LDA) to 11 gave 12. Cleavage of tert-butyl group in 12 by trifluoroacetic acid (TFA) in CH2Cl2 at room temperature afforded 13, which was subjected to standard Pd(OH)2-catalyzed hydrogenolysis to reduce the nitro group to produce the desired target compound 1.
The synthetic routes to target compounds 2 and 3 are shown in Scheme 2. Diels–Alder cycloaddition of freshly distilled 1,3-cyclopentadiene (14) [14] and 2-chloroacrylonitrile in refluxing benzene afforded α-chloronitrile 15 [15], which was subsequently hydrolyzed with KOH in refluxing ethanol to give ketone 16. Compound 16 was converted to 18 by a method identical to that for the synthesis of 12 from 9. The nitro group in 18 was reduced to the corresponding amino group by iron powder in the presence of NH4Cl in refluxing ethanol to afford 19, which was then converted to its crystalline p-toluenesulfonic acid (p-tosylic acid, p-TsOH) salt in EtOAc for purification via crystallization. Free 19 was liberated from its p-TsOH salt by treatment with aqueous NaHCO3, and its tert-butyl group was subsequently cleaved with TFA at room temperature in CH2Cl2 to give 2 as TFA salt, which was transformed to its crystalline p-tosylic acid salt, 2p-TsOH, by treatment with p-TsOH•H2O in EtOAc at room temperature. On the other hand, Witting reaction of ketone 16 and triethyl phosphonoacetate in dried THF at 0 °C afforded α,β-unsaturated ester 20 as a mixture of E/Z geometric isomers, which in turn underwent Michael addition with CH3NO2 to give 21. The ethyl ester 21 was hydrolyzed to corresponding acid 22 with LiOH in EtOH at room temperature, and the latter was converted to the corresponding tert-butyl ester 23 by treatment with isobutene in the presence of concentrated H2SO4 as catalyst at −15 °C to 0 °C [16]. Following the procedure for the synthesis of 2p-TsOH from 18, 23 was converted to the target compound 3p-TsOH. It should be noted that compounds 18, 19 and 2 are epimers at position 3 of GABA backbone of 23, 24 and 3, respectively.
The synthetic route to 4 is shown in Scheme 3, part of which has been reported in an earlier work [17]. Thus, free-radical bromination of cyclohexene (25) with N-bromosuccinimide (NBS) in the presence of 2,2′-azodiisobutyronitrile (AIBN) as a catalyst in refluxing CCl4 afforded 3-bromocyclohexene (26). Base-mediated elimination of HBr from 26 was achieved by heating a mixture of 26 and quinoline at reflux and the produced low-boiling-point 1,3-cyclohexadiene (27) was distilled out from the reaction mixture and purified by fractional distillation. 27 was converted to target compound 4 as hydrobromic acid salt following a procedure reported earlier by our laboratory.
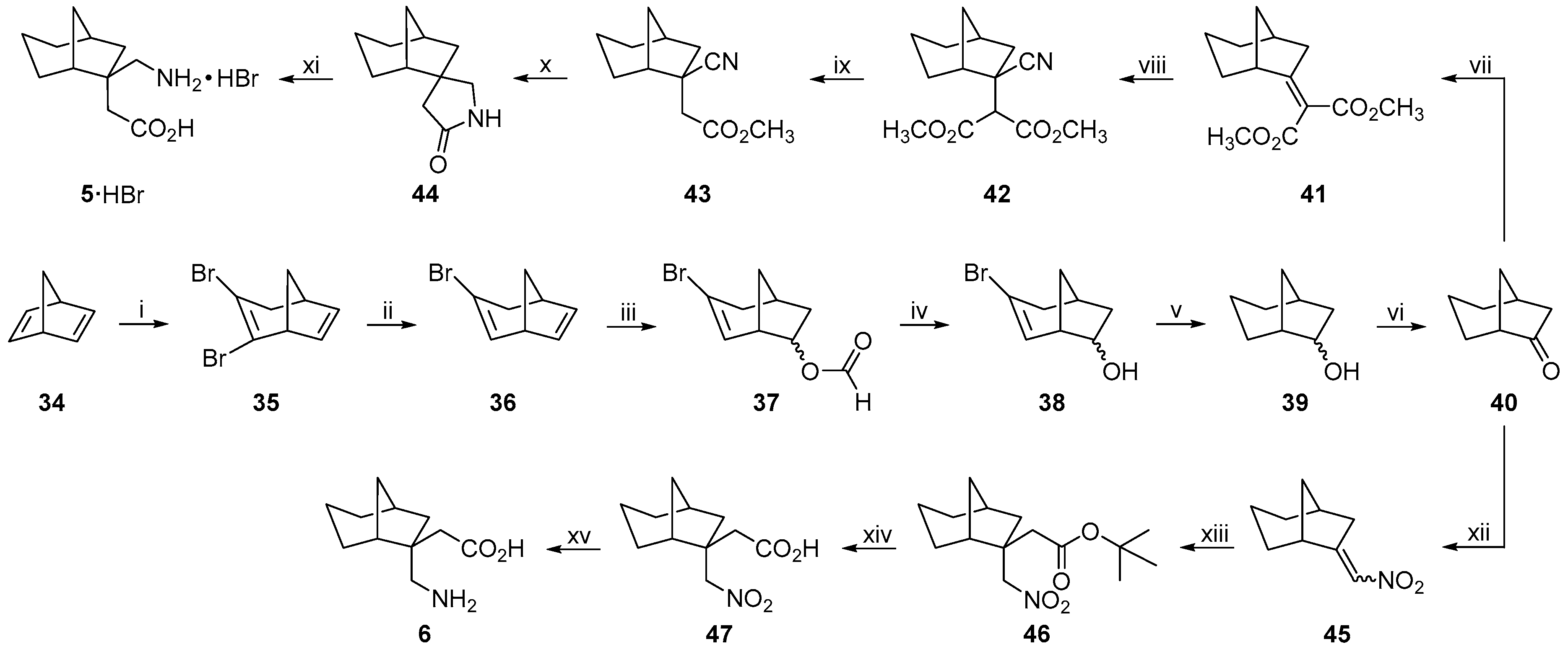
The synthetic routes to 5 and 6 are shown in Scheme 4. Treatment of norbornadiene (34) with CHBr3 in the presence of t-BuOK in dried n-hexane at −35 °C to room temperature produced dibromoolefin 35 via ring expansion involving dibromocarbene generated in situ, which was subsequently reduced by LiAlH4 in dried THF at room temperature to give monobromoolefin 36 [18]. The addition of HCO2H to one C=C double bond that was not substituted by a Br atom led to the formation of formate 37, which was in turn hydrolyzed with NaOH in aqueous EtOH to afford alcohol 38 at room temperature. Concomitant reductions of the C-Br bond and C=C double bond in 38 to 39 were achieved with hydrogenation over 10% Pd/C in the presence of Et3N at high pressure (1.5 MPa) at room temperature. Oxidation of the secondary alcohol 39 with Jones reagent [19] in acetone at 0 °C afforded ketone 40. Ketone 40 was in turn subjected to TiCl4/pyridine-mediated Knoevenagel condensation with dimethyl malonate to afford α,β-unsaturated malonate 41. 41 underwent Michael addition with TMSCN in the presence of K2CO3 in refluxing MeOH to give adduct 42, which was then subjected to decarboxylation in the presence of NaCl and H2O in refluxing DMF to give 43. NiCl2-mediated reduction of the cyano group in 43 with NaBH4 gave corresponding amino group, which attacked the intramolecular ester functionality to give lactam 44. The configuration of 44 was confirmed by single-crystal X-ray diffraction (Figure S2, Table S1). Hydrolytic ring-opening of the lactam moiety in 44 was achieved in refluxing 40% hydrobromic acid to afford target compound 5 as HBr salt. Following the procedure for the synthesis of 1 from 9, ketone 40 was converted to target compound 6. Like the interrelationship of compounds 2 with respect to 3, compounds 5 and 6 are epimers with respect to each other at position 3 of GABA backbone.
The synthetic route to target compound 7 was shown in Scheme 5. Thus, alcohol 38 was oxidized to ketone 48 with Jones reagent in acetone at 0 °C. Reductive removal of the Br atom in 48 to give corresponding 51 was achieved by a sequential steps involving protection of carbonyl group to cyclic ketel 49 with ethylene glycol in the presence of p-TsOH as catalyst in refluxing benzene with azeotropic removal of water, Br-Li exchange by treatment of 49 with n-BiLi followed by quenching with water to give 50, and deprotection of cyclic ketel in 50 to 51 with p-TsOH in refluxing acetone/water. Following the procedure for the synthesis of 2p-TsOH from 16, ketone 51 was converted to target compound 7p-TsOH.
The synthetic route to 8 is shown in Scheme 6. Cycloheptanone (55) was reduced to cycloheptanol (56) with NaBH4 in MeOH/H2O at 0 °C to room temperature, and the latter was dehydrated to cycloheptene (57) by heating at 160 °C in the presence of p-TsOH as catalyst [20]. Cycloheptene (57) was converted to 1,3-cycloheptadiene (59) by a procedure used for the synthesis of 27 from 25 described above involving α-bromination of the C=C double bond and subsequent base-mediated elimination of HBr to form the second C=C double bond. Diel–Alder cycloaddition of 59 and maleic anhydride in refluxing toluene gave 60 [21]. The C=C double bond in 60 was saturated by hydrogenation over Pd/C at atmospheric pressure at room temperature to give 61, which was then hydrolyzed with NaOH to biscarboxylic acid 62. Pb(OAc)4-mediated bisdecarboxylation of 62 in pyridine at 75 °C led to formation of olefin 63 [22]. Hydroboration-oxidation of 63 with BH3•Me2S and subsequent H2O2 gave alcohol 64 [23], which was oxidized with Jones reagent in acetone at 0 °C to give ketone 65. Following the procedure for the synthesis of 5•HBr from 40, 65 was converted to target compound 8 as HBr salt. Like the conversion of 41 to 43, the conversion of 66 to 67 included two steps, the first one being Michael addition and the second one being decarboxylation at elevated temperature; however, unlike the decarboxylation for 42 to give 43 that needed very high temperature (refluxing DMF), the decarboxylation of the adduct produced from addition of TMSCN 66 occurred at comparatively low temperature (refluxing MeOH). The configuration of 68 was also confirmed by single-crystal X-ray diffraction (Figure S3, Table S1).
The sample of WQQ-345 used in the present study was its HBr salt instead of its original free base [12], because the former had a more favorable physicochemical property and could be synthesized by a more convenient procedure as shown in supporting information (Scheme S1). The configuration of the key intermediate S4 was confirmed by single-crystal X-ray diffraction (Figure S1, Table S1).

2.2. BCAT1 Enzyme Inhibition

The inhibitory activity of the synthesized compounds against BCAT1 enzyme was screened by a known method, where leucine dehydrogenase (LeuDH) was utilized to catalyze the nicotinamide adenine dinucleotide (NADH)-dependent reduction of the BCAA α-ketoisocaproate (α-KIC) to leucine and NADH consumption was measured through fluorescence and luminescence readouts to assess BCAT1 activity [9]. The half-maximal inhibitory concentration (IC50) values of all compounds are listed in Table 1.
Thus, WQQ-345 and gabapentin showed robust dose-dependent BCAT1 inhibition, with IC50 values of 4.86 mM and 5.07 mM, respectively, which were consistent with those reported in [12,24,25]. In the first-round SAR exploration, four compounds were designed based on the structure of WQQ-345, i.e., compounds 14. These new structures represent a variety of structural variations, such as chiral inversion at position 3 of the GABA backbone (1), the incorporation of a C=C double bond in the bridged bicycle (3), the combination of chiral inversion and the C=C double bond (2), and ring expansion of the bridged bicycle (4). Examination of the IC50 values of 14 revealed that chiral inversion at position 3 of the GABA backbone (1 vs. WQQ-345) or the incorporation of the C=C double bond in the bridged bicycle (3 vs. WQQ-345) slightly increased the BCAT1 inhibitory activity, while a combination of these two variations were ineffective in further improving the activity (2 vs. WQQ-345). Ring expansion of the bridged bicycle (4 vs. WQQ-345) resulted in the most potent activity in this round, indicating that it was likely that the bulkier bridged bicycle further enhanced the BCAT1 inhibitory activity, which inspired us to design new second-round structures, i.e., compounds 58, by further increasing the size of the bridged bicycle. Examination of compounds 58 revealed that 7 had the most potent activity in the second round and exhibited improved activity compared to 4; however, 8, with the biggest bridged bicycle, was the least potent compound, indicating that the trend of increasing activity as the size of the bridged bicycle increases, as observed in the first round, stopped at compound 7. Another SAR rule should be noted that when the aminomethyl moiety adapted the endo orientation with respect to the bridged bicycle, the activity was always better than the corresponding epimer, as demonstrated by the comparison of WQQ-345 vs. 1, 2 vs. 3, and 5 vs. 6.

2.3. Effect on Inhibition of BCAT1-Driven Cell Proliferation In Vitro

The third-generation EGFR tyrosine kinase inhibitor, ASK120067, has been shown to selectively inhibit the proliferation of NCI-H1975 cells by targeting the EGFR T790M mutation [26]. In our earlier study, we demonstrated that BCAT1 was highly expressed in ASK120067-resistant cells (designated as 67R) compared to parental NCI-H1975 cells, where it contributed to cell survival and conferred resistance to ASK120067 [12], and BCAT1 inhibitors could effectively suppress the growth of 67R cells [12]. Subsequently, we evaluated the in vitro anti-proliferative activity of compounds 1, 2, 4 and 7 on the proliferation of both 67R and NCI-H1975 cells, using gabapentin as positive controls (Figure 3 and Table 2). These four compounds represented the potent BCAT1 inhibitors in the above enzymatic assay. Notably, all of these BCAT1 inhibitors displayed potent inhibition specifically against 67R cells compared to NCI-H1975 cells. Among tested compounds, 2 and 7 showed the most significant inhibitory effects on 67R cells, with IC50 values below 2 mM, which was in good agreement with the trend observed in enzymatic assays described above.
As shown in Figure 1, GABA derivatives, as exemplified by gabapentin, are an important class of chemical structures of BCAT1 inhibitors, and therefore, the findings in the present study represent great progress both in the discovery of potent BCAT1 inhibitors with new chemical structures and in the treatment of cancer resistance to current third-generation EGFR tyrosine kinase inhibitors.

3. Materials and Methods

3.1. Chemistry

Unless stated otherwise, all the chemicals were obtained commercially (Bide Pharmatech Co., Ltd., Shanghai, China) and used without further purification. All the dried solvents were prepared by standard methods. Reaction progress was monitored by thin-layer chromatography (TLC) on commercially available precoated TLC silica gel plate (Xinnuo Chemical Co., Ltd., Yantai, China). Purifications on flash column chromatography were performed on silica gel column (200–300 mesh, Xinnuo Chemical Co., Ltd., Yantai, China) eluting with EtOAc/n-hexane (ratio was expressed as v/v). Melting points were measured in open capillaries with an SGW X-4A microscopic melting point apparatus (Shanghai INESA Physico-Optical Instrument Co., Ltd., Shanghai, China) and are uncorrected. All 1H and 13C NMR spectra were recorded on a Bruker Ascend 500 spectrometer (Bruker Switzerland AG, Fällanden, Switzerland) with CDCl3, DMSO-d6, CD3OD or D2O as solvent and TMS (for 1H NMR) or known chemical shifts of carbon signals of deuterated solvents (for 13C NMR) as internal standard. High-resolution mass spectra (HR-MS) were determined with a Thermo Scientific Exactive Plus mass spectrometer (Thermo Fisher Scientific, Bremen, Germany) using electrospray ionization (ESI) and Orbitrap techniques. Hydrogenolysis/hydrogenation requiring pressures higher than atmospheric pressure were conducted on an AE250 hydrogenator (Labe Instrument Co., Ltd., Shanghai, China) equipped with a TH-5300H high-pressure hydrogen generator (Oushisheng Technology, Co., Ltd., Beijing, China), and the reaction temperature and H2 pressure could be controlled automatically and continuously. Single-crystal X-ray diffractions were performed on a Bruker APEX-II CCD four-circle diffractometer (Bruker AXS Inc., Madison, WI, USA) equipped with graphite-monochromatic Mo Kα radiation (λ = 0.71073 Å) at 150.00/100.00 K. Reflections were collected by using a φ-ω scan mode. Data reduction and cell refinement were carried out using the SAINT V8.40B (Bruker, 2016) or SAINT 8.38A (Bruker, 2018) software. The structures were solved by the direct method and refined with SHELXL 2018 [27]. The crystallographic data have been deposited at Cambridge Crystallographic Data Centre (CCDC).
(E/Z)-(1R*,4S*)-2-(Nitromethylene)bicyclo[2.2.1]heptane (11). To a stirred solution of compound 9 (5.00 g, 45.4 mmol) in benzene (60 mL) were added CH3NO2 (30 mL) and piperidine (1.90 g, 22.3 mmol) successively. The reaction mixture was refluxed for 3 h, when TLC analysis indicated the completion of the reaction. On cooling to room temperature, the reaction mixture was poured into ice water (150 mL), and the obtained mixture was adjusted to pH 6 with 1 M HCl. The resulting mixture was extracted with CH2Cl2 (30 mL × 2), and the combined extracts were washed successively with aqueous NaHCO3 (30 mL × 2) and brine (30 mL), dried over anhydrous MgSO4, and evaporated on a rotary evaporator (Heqi Glass Co., Ltd., Shanghai, China) to afford a residue, which was purified by column chromatography (silica gel, EtOAc/n-hexane = 3/97) to give 11. Pale-yellow oil, 4.01 g (58%)). Compound 11 was a mixture of E/Z geometric isomers and was used directly in the next step without further purification and characterization.
tert-Butyl 2-((1R*,2R*,4S*)-2-(nitromethyl)bicyclo[2.2.1]heptan-2-yl)acetate (12). To a stirred solution of diisopropylamine (3.96 g, 39.1 mmol) in dried THF (20 mL) cooled at −78 °C under N2, n-BuLi (1.6 M solution in THF, 24.5 mL, 39.2 mmol) was added dropwise. After addition, the mixture thus obtained was stirred for 0.5 h at this temperature. A solution of CH3CO2But (4.55 g, 39.2 mmol) in dried THF (5 mL) was added dropwise to the reaction mixture, and after addition, the resulting mixture was stirred for another 0.5 h at this temperature. A solution of compound 11 (2.00 g, 13.1 mmol) in dried THF (5 mL) was added dropwise to the above mixture. After addition, the reaction mixture was stirred at −78 °C for 2 h, after which TLC analysis indicated the completion of the reaction. The reaction mixture was poured into ice water (150 mL) and the obtained mixture was adjusted to pH 6 with 1 M HCl. The resulting mixture was extracted with CH2Cl2 (30 mL × 3) and the combined extracts were washed successively with aqueous NaHCO3 (30 mL) and brine (30 mL), dried over anhydrous MgSO4 and evaporated on a rotary evaporator to afford a residue, which was purified by column chromatography (silica gel, EtOAc/n-hexane = 3/97) to give 12. Colorless oil, 2.05 g (58%). 1H NMR (500 MHz, CDCl3) δ 4.93 (d, J = 12.5 Hz, 1H), 4.54 (dd, J = 12.8 Hz and 1.2 Hz, 1H), 2.57 (d, J = 16.5 Hz, 1H), 2.36 (dd, J = 16.8 Hz and 1.2 Hz, 1H), 2.26–2.29 (m, 2H), 1.56–1.70 (m, 4H), 1.48–1.53 (m, 1H), 1.45 (s, 9H), 1.30–1.32 (m, 1H), 1.16 (dd, J = 13.2 Hz and 2.8 Hz, 1H), 1.08–1.14 (m, 1H); 13C NMR (126 MHz, CDCl3) δ 170.97, 81.13, 79.22, 44.74, 43.27, 42.72, 41.72, 37.66, 37.24, 28.25, 28.13, 24.61; ESI-HR-MS: (m/z) calcd. for C14H23NO4Na ([M+Na]+) 292.1519, found: 292.1519.
2-((1R*,2R*,4S*)-2-(Nitromethyl)bicyclo[2.2.1]heptan-2-yl)acetic acid (13). To a stirred solution of compound 12 (2.00 g, 7.43 mmol) in CH2Cl2 (12 mL) cooled at 0 °C was added dropwise TFA (12 mL). The reaction mixture was stirred for 3–4 h at room temperature, after which TLC analysis indicated the completion of the reaction. The reaction mixture was evaporated on a rotary evaporator to afford a white solid, which was triturated with n-hexane (10 mL) at room temperature to give 13. White solid, 1.20 g (76%). m.p. 132.4 °C–138.5 °C. 1H NMR (500 MHz, CDCl3) δ 4.96 (d, J = 12.5 Hz, 1H), 4.57 (dd, J = 12.8 Hz and 1.2 Hz, 1H), 2.76 (d, J = 17.5 Hz, 1H), 2.52 (dd, J = 17.5 Hz and 1.0 Hz, 1H), 2.27–2.31 (m, 2H), 1.48–1.72 (m, 5H), 1.32–1.35 (m, 1H), 1.20 (dd, J = 13.2 Hz and 2.8 Hz, 1H), 1.10–1.15 (m, 1H); 13C NMR (126 MHz, CDCl3) δ 175.69, 79.12, 44.70, 42.95, 42.80, 40.22, 37.70, 37.25, 28.06, 24.55; ESI-HR-MS: (m/z) calcd. for C10H15NO4Na ([M+Na]+) 236.0893, found: 236.0883.
2-((1R*,2R*,4S*)-2-(Aminomethyl)bicyclo[2.2.1]heptan-2-yl)acetic acid (1). A mixture of compound 13 (1.20 g, 5.63 mmol) and Pd(OH)2 (0.12 g) in MeOH (15 mL) was subjected to a procedure of standard hydrogenolysis at atmospheric pressure (balloon) at room temperature overnight, when TLC analysis indicated the completion of the reaction. The reaction mixture was filtered off through celite, and the filtrate was evaporated on a rotary evaporator to afford a solid, which was triturated with a mixed solvent (3 mL, MeOH/EtOAc = 1/3) to give 1. White solid, 0.25 g (24%). m.p. 158.9 °C–162.7 °C. 1H NMR (500 MHz, CD3OD) δ 3.03 (d, J = 13.0 Hz, 1H), 2.98 (d, J = 13.0 Hz, 1H), 2.50 (d, J = 15.0 Hz, 1H), 2.45 (d, J = 15.5 Hz, 1H), 2.25–2.28 (m, 2H), 1.79–1.83 (m, 1H), 1.44–1.64 (m, 4H), 1.30–1.33 (m, 1H), 1.14–1.19 (m, 1H), 1.08 (dd, J = 13.0 Hz and 2.5 Hz, 1H); 13C NMR (126 MHz, D2O) δ 180.68, 47.84, 46.75, 43.16, 42.75, 41.42, 37.30, 36.97, 27.67, 23.69; ESI-HR-MS: (m/z) calcd. for C10H18NO2 ([M+H]+) 184.1332, found: 184.1333.
(1S*,4S*)-2-Chlorobicyclo[2.2.1]hept-5-ene-2-carbonitrile (15). To a stirred solution of freshly distilled cyclopentadiene [14] (14, 32.90 g, 0.498 mol) in benzene (90 mL), CH2=C(Cl)CN (24.85 g, 0.398 mol) was added. The reaction mixture was refluxed for 36 h under N2, when TLC analysis indicated the completion of the reaction. On cooling to room temperature, the reaction mixture was evaporated on a rotary evaporator to give a yellow oil (crude 15, 74.00 g), which was used directly in the next step without further purification.
(1S*,4S*)-Bicyclo[2.2.1]hept-5-en-2-one (16). To a stirred solution of KOH (81.20 g, 1.45 mol) in EtOH (400 mL) cooled at 0 °C, solution of crude 15 prepared above in EtOH (80 mL). After addition, the reaction mixture was refluxed for 2 h, when TLC analysis indicated the completion of the reaction. On cooling to room temperature, the reaction mixture was evaporated on a rotary evaporator to afford a residue, which was poured into ice water (500 mL), and then the obtained mixture was adjusted to pH 6 with 10% H3PO4. The resulting mixture was extracted with CH2Cl2 (100 mL × 3), and the combined extracts were washed with brine (100 mL), dried over anhydrous MgSO4 and evaporated on a rotary evaporator to afford a residue, which was purified by column chromatography (silica gel, EtOAc/n-hexane = 1/10) to give 16. Waxy solid, 12.60 g (overall 23% for 14 to 16). 1H NMR (500 MHz, CDCl3) δ 6.57 (dd, J = 5.5 Hz and 3.0 Hz, 1H), 6.10–6.12 (m, 1H), 3.18–3.19 (m, 1H), 3.01–3.02 (m, 1H), 2.18–2.21 (m, 1H), 1.94–2.00 (m, 2H), 1.85 (dd, J = 16.5 Hz and 4.5 Hz, 1H). The 1H NMR data were consistent with those reported in [28].
(E/Z)-(1S*,4S*)-5-(Nitromethylene)bicyclo[2.2.1]hept-2-ene (17). Following the procedure for the synthesis of 11 from 9, 17 was prepared from 16 (3.00 g, 27.7 mmol) with CH3NO2 (18 mL) and piperidine (1.18 g, 13.9 mmol) in benzene (30 mL) at reflux. 17 was isolated and purified by column chromatography (silica gel, EtOAc/n-hexane = 3/97). Pale-yellow oil, 2.90 g (69%). Compound 17 was a mixture of E/Z geometric isomers and was used directly in the next step without further purification.
tert-Butyl 2-((1S*,2R*,4S*)-2-(nitromethyl)bicyclo[2.2.1]hept-5-en-2-yl)acetate (18). Following the procedure for the synthesis of compound 12 from compound 11, compound 18 was prepared from compound 17 (2.90 g, 19.2 mmol) with diisopropylamine (5.80 g, 57.3 mmol), n-BuLi (1.6 M solution in THF, 35.9 mL, 57.44 mmol) and CH3CO2But (6.70 g, 57.7 mmol) in dried THF (40 mL). Colorless oil, 3.80 g (74%). 1H NMR (500 MHz, CDCl3) δ 6.20–6.25 (m, 2H), 4.71 (d, J = 12.0 Hz, 1H), 4.34 (d, J = 11.8 Hz, 1H), 2.89 (s, 1H), 2.82 (s, 1H), 2.67 (d, J = 17.0 Hz, 1H), 2.55 (d, J = 16.8 Hz, 1H), 1.77 (dd, J = 13.0 Hz and 3.5 Hz, 1H), 1.56–1.60 (m, 2H), 1.47 (s, 9H), 1.07 (dd, J = 13.0 Hz and 2.5 Hz, 1H); 13C NMR (126 MHz, CDCl3) δ 171.14, 137.91, 134.84, 81.25, 80.52, 50.01, 47.49, 44.43, 42.85, 42.08, 36.72, 28.25; ESI-HR-MS: (m/z) calcd. for C14H22NO4 ([M+H]+) 268.1543, found: 268.1546.
tert-Butyl 2-((1S*,2R*,4S*)-2-(aminomethyl)bicyclo[2.2.1]hept-5-en-2-yl)acetate (19) p-tosylate. To a stirred solution of compound 18 (3.80 g, 14.2 mmol) in a mixed solvent of EtOH (40 mL) and H2O (20 mL), iron powder (3.97 g, 71.1 mmol) and NH4Cl (1.52 g, 28.4 mmol) were added. The reaction mixture was refluxed for 5 h under N2, when TLC analysis indicated the completion of the reaction. On cooling to room temperature, the reaction mixture was filtered off through celite, the filtrate was dissolved in EtOAc (50 mL). The mixture was washed successively with aqueous NaHCO3 (50 mL × 2) and brine (50 mL), dried over anhydrous MgSO4 and evaporated on a rotary evaporator to afford a residue (2.10 g), which was then dissolved in EtOAc (5 mL), followed by addition of p-TsOH•H2O (1.85 g, 9.73 mmol). The mixture was stirred at room temperature until a large amount of crystals precipitated, which were collected by suction filtration and dried in vacuo at room temperature to give 19p-TsOH. White solid, 1.10 g (19%). m.p. 151.2 °C–153.0 °C. 1H NMR (500 MHz, CD3OD) δ 7.71 (d, J = 8.5 Hz, 2H), 7.24 (d, J = 8.0 Hz, 2H), 6.29 (dd, J = 5.5 Hz and 3.0 Hz, 1H), 6.17 (dd, J = 6.0 Hz and 3.0 Hz, 1H), 3.03 (d, J = 13.0 Hz, 1H), 2.91 (s, 1H), 2.85 (d, J = 13.0 Hz, 1H), 2.68 (s, 1H), 2.64 (d, J = 15.5 Hz, 1H), 2.60 (d, J = 15.5 Hz, 1H), 2.37 (s, 3H), 1.72 (dd, J = 12.5 Hz and 4.0 Hz, 1H), 1.69 (d, J = 9.0 Hz, 1H), 1.55–1.57 (m, 1H), 1.49 (s, 9H), 1.01 (dd, J = 12.0 Hz and 2.5 Hz, 1H); 13C NMR (126 MHz, DMSO-d6) δ 170.82, 145.73, 137.92, 137.59, 133.90, 128.04, 125.48, 80.55, 48.25, 47.23, 44.74, 43.04, 42.42, 40.93, 36.14, 27.80, 20.78; ESI-HR-MS: (m/z) calcd. for C14H24NO2 ([M+H]+) 238.1802, found: 238.1801.
2-((1S*,2R*,4S*)-2-(Aminomethyl)bicyclo[2.2.1]hept-5-en-2-yl)acetic acid (2) p-tosylate. A stirred solution of compound 19p-TsOH (1.10 g, 2.69 mmol) in a mixed solvent of EtOAc (10 mL) and aqueous NaHCO3 (20 mL) was stirred for 1 h at room temperature. After separation of the organic phase, the aqueous phase was extracted with EtOAc (10 mL × 2), and the combined extracts were washed with aqueous NaHCO3 (20 mL), dried over anhydrous MgSO4 and evaporated on a rotary evaporator to afford a residue. To a stirred solution of this residue in CH2Cl2 (3 mL) cooled at 0 °C was added dropwise TFA (2 mL), and the stirring was continued for 5 h at room temperature, when TLC analysis indicated the completion of the reaction. The reaction mixture was evaporated on a rotary evaporator to afford a residue, which was dissolved in EtOAc (3 mL) followed by addition of p-TsOH•H2O (0.51 g, 2.68 mmol). The mixture thus obtained was stirred at room temperature until a large amount of crystals precipitated. The crystals were collected via suction filtration and dried in vacuo at room temperature to give 2p-TsOH. White solid, 0.60 g (63%). m.p. 176.8 °C–178.7 °C. 1H NMR (500 MHz, CD3OD) δ 7.71 (d, J = 7.5 Hz, 2H), 7.24 (d, J = 8.0 Hz, 2H), 6.29–6.30 (m, 1H), 6.17–6.18 (m, 1H), 3.06 (d, J = 13.0 Hz, 1H), 2.87–2.92 (m, 2H), 2.71–2.74 (m, 3H), 2.37 (s, 3H), 1.70–1.75 (m, 2H), 1.56 (d, J = 9.0 Hz, 1H), 1.05 (dd, J = 12.5 Hz and 3.0 Hz, 1H); 13C NMR (126 MHz, D2O) δ 176.23, 142.46, 139.36, 139,12, 133.17, 129.42, 125.33, 48.61, 47.26, 46.08, 42.79, 42.70, 41.33, 36.47, 20.44; ESI-HR-MS: (m/z) calcd. for C10H16NO2 ([M+H]+) 182.1176, found: 182.1177.
Ethyl (E/Z)-2-((1S*,4S*)-bicyclo[2.2.1]hept-5-en-2-ylidene)acetate (20). To a stirred solution of t-BuOK (5.60 g, 49.9 mmol) in dried THF (50 mL) cooled at 0 °C under N2, triethyl phosphonoacetate (9.70 g, 43.3 mmol) was added dropwise. After addition, the resulting mixture was stirred for 40 min at this temperature. Then, a solution of compound 16 (3.60 g, 33.3 mmol) in dried THF (36 mL) was added dropwise to the above mixture. After addition, the mixture thus obtained was stirred for 3 h at this temperature, when TLC analysis indicated the completion of the reaction. The reaction mixture was poured into water (150 mL) and the obtained mixture was extracted with EtOAc (50 mL × 3). The combined extracts were washed with brine (50 mL), dried over anhydrous MgSO4 and evaporated on a rotary evaporator to afford a residue, which was purified by column chromatography (silica gel, EtOAc/n-hexane = 1/20) to give 20 as a mixture of E/Z geometric isomers. Pale-yellow oil, 4.30 g (72%). The sample was used directly in the next step without characterization.
Ethyl 2-((1S*,2S*,4S*)-2-(nitromethyl)bicyclo[2.2.1]hept-5-en-2-yl)acetate (21). To a stirred solution of compound 20 (3.00 g, 16.8 mmol) in CH3NO2 (30 mL) cooled at 0 °C under N2, 1,8-diazabicyclo[5.4.0]undec-7-ene (DBU, 8.40 g, 67.6 mmol) was added dropwise. After addition, the reaction mixture was refluxed at 85 °C overnight, after which TLC analysis indicated the completion of the reaction. On cooling to room temperature, the reaction mixture was poured into ice water (100 mL) and the obtained mixture was adjusted to pH 6 with 1 M HCl. The resulting mixture was extracted with CH2Cl2 (30 mL × 3), and the combined extracts were washed with brine (50 mL), dried over anhydrous MgSO4 and evaporated on a rotary evaporator to afford a residue, which was purified by column chromatography (silica gel, EtOAc/n-hexane = 3/97) to give 21. Colorless oil, 1.25 g (31%). The sample of 21 was contaminated by a certain amount of an inseparable impurity and therefore used directly in the next step without collection of the structural characterization data.
2-((1S*,2S*,4S*)-2-(Nitromethyl)bicyclo[2.2.1]hept-5-en-2-yl)acetic acid (22). To a stirred solution of compound 21 (2.61 g, 10.9 mmol) in EtOH (25 mL) at room temperature was added dropwise a solution of LiOH•H2O (1.37 g, 32.7 mmol) in distilled water (5 mL). After addition, the reaction mixture was stirred for 5 h at this temperature, when TLC analysis indicated the completion of the reaction. The reaction mixture was adjusted to pH 1 with 1 M HCl, and the obtained mixture was extracted with CH2Cl2 (20 mL × 3). The combined extracts were washed with brine (20 mL), dried over anhydrous MgSO4 and evaporated on a rotary evaporator to afford a residue, which was purified by column chromatography (silica gel, EtOAc/n-hexane = 1/3) to give 22. Pale-yellow oil, 2.18 g (95%). The sample of 22 was contaminated by a certain amount of an inseparable impurity and therefore used directly in the next step without collection of the structural characterization data.
tert-Butyl 2-((1S*,2S*,4S*)-2-(nitromethyl)bicyclo[2.2.1]hept-5-en-2-yl)acetate (23). To a stirred mixture of compound 22 (2.18 g, 10.3 mmol) and 2-methylpropene (10% in i-Pr2O, 20 mL) cooled at −15 °C under N2 was added dropwise concentrated H2SO4 (1 mL). After addition, the reaction mixture was stirred at room temperature for 2 days and subsequently poured into aqueous NaHCO3 (50 mL). The resulting mixture was extracted with EtOAc (20 mL × 3), and combined extracts were dried over anhydrous MgSO4 and evaporated on a rotary evaporator to give 23. Colorless oil, 0.86 g (31%). The sample of 23 was contaminated by a certain amount of an inseparable impurity and therefore used directly in the next step without collection of the structural characterization data.
tert-Butyl 2-((1S*,2S*,4S*)-2-(aminomethyl)bicyclo[2.2.1]hept-5-en-2-yl)acetate (24) p-tosylate. To a stirred solution of compound 23 (1.05 g, 3.93 mmol) in a mixed solvent of EtOH (10 mL) and H2O (5 mL) were added iron powder (1.08 g, 19.3 mmol) and NH4Cl (0.42 g, 7.85 mmol). After addition, the reaction mixture was refluxed for 5 h under N2, when TLC analysis indicated the completion of the reaction. On cooling to room temperature, the reaction mixture was filtered off through celite, and the filtrate was extracted with EtOAc (20 mL × 3). The extract was washed with aqueous NaHCO3 (20 mL × 3), dried over anhydrous MgSO4 and evaporated on a rotary evaporator to afford a residue (0.79 g), which was dissolved in EtOAc (5 mL) followed by addition of p-TsOH•H2O (0.76 g, 4.00 mmol). The resulting mixture was stirred at room temperature until a large amount of crystals precipitated, which were collected via suction filtration and dried in vacuo at room temperature to give 24p-TsOH. White solid, 0.59 g (37%). m.p. 178.1 °C–179.3 °C. 1H NMR (500 MHz, DMSO-d6) δ 7.77 (bs, 2H), 7.47 (d, J = 8.0 Hz, 2H), 7.11 (d, J = 8.0 Hz, 2H), 6.24 (dd, J = 5.5 Hz and 3.0 Hz, 1H), 6.06 (dd, J = 5.5 Hz and 3.0 Hz, 1H), 3.04–3.19 (m, 2H), 2.82 (s, 1H), 2.75 (s, 1H), 2.29 (d, J = 16.0 Hz, 1H), 2.29 (s, 3H), 2.16 (d, J = 15.5 Hz, 1H), 1.63 (dd, J = 12.2 Hz and 3.8 Hz, 1H), 1.56 (d, J = 9.0 Hz, 1H), 1.41 (s, 9H), 1.34 (d, J = 9.0 Hz, 1H), 0.84 (dd, J = 12.2 Hz and 2.8 Hz, 1H); 13C NMR (126 MHz, DMSO-d6) δ 170.83, 145.68, 137.86, 137.66, 134.35, 128.08, 125.51, 80.40, 47.81, 46.65, 45.83, 42.97, 42.27, 40.17, 36.34, 27.74, 20.80; ESI-HR-MS: (m/z) calcd. for C14H24NO2 ([M+H]+) 238.1802, found: 238.1802.
2-((1S*,2S*,4S*)-2-(Aminomethyl)bicyclo[2.2.1]hept-5-en-2-yl)acetic acid (3) p-tosylate. Following the procedure for the synthesis of 2p-TsOH from 19p-TsOH, 3p-TsOH was prepared from 24p-TsOH (0.58 g, 1.42 mmol) with TFA (2 mL) in CH2Cl2 (3 mL) at room temperature. White solid, 0.29 g (58%). m.p. 172.8 °C–173.2 °C. 1H NMR (500 MHz, CD3OD) δ 7.70 (d, J = 8.0 Hz, 2H), 7.23 (d, J = 8.0 Hz, 2H), 6.26–6.28 (m, 1H), 6.12–6.13 (m, 1H), 3.31 (d, J = 14.0 Hz, 1H), 3.24 (d, J = 13.5 Hz, 1H), 2.89 (s, 1H), 2.84–2.85 (m, 1H), 2.44 (d, J = 17.0 Hz, 1H), 2.37 (d, J = 16.0 Hz, 1H), 2.37 (s, 3H), 1.67 (dd, J = 12.2 Hz and 3.8 Hz, 1H), 1.61 (d, J = 9.5 Hz, 1H), 1.48–1.51 (m, 1H), 1.02 (dd, J = 12.2 Hz and 2.8 Hz, 1H); 13C NMR (126 MHz, D2O) δ 176.51, 142.46, 139.36, 138.60, 134.00, 129.42, 125.33, 47.84, 47.22, 46.49, 42.67, 42.49, 40.53, 37.00, 20.44; ESI-HR-MS: (m/z) calcd. for C10H16NO2 ([M+H]+) 182.1176, found: 182.1176.
3-Bromocyclohex-1-ene (26). To a stirred solution of cyclohexene (25, 80.00 g, 0.974 mol) in CCl4 (600 mL) at room temperature, NBS (173.34 g, 0.974 mol) was added under N2. The resulting mixture was heated to 65 °C and AIBN (1.58 g, 9.62 mmol) was added in portions. After addition, the reaction mixture was heated slowly to 75 °C and the heating was stopped immediately once the solution began to boil to avoid violent boiling. Approximately 10 min later, the boiling subsided and the external temperature was raised to about 80 °C (gentle boiling) for 1 h, when TLC analysis indicated the completion of the reaction. On cooling to room temperature, the reaction mixture was filtered off through celite, the filtrate was evaporated on a rotary evaporator to afford a residue, which was purified by distillation under reduced pressure (ca 40 mmHg) to give crude 26 as a colorless oil (108.00 g). The sample of 26 was used directly in the next step without further purification and characterization.
Cyclohexa-1,3-diene (27). Crude 26 (108.00 g) prepared above and quinoline (200 mL) were placed into a round-bottomed flask equipped with fractional column. The reaction mixture was heated to 120 °C and the produced 27 was distilled out of the reaction mixture and subsequently purified by fractional distillation at atmospheric pressure. Colorless oil, 33.00 g (overall 42% for 25 to 27). b.p. 78 °C–80 °C (literature value [29], 80 °C). 1H NMR (CDCl3, 500 MHz) δ 5.88–5.90 (m, 2H), 5.78–5.81 (m, 2H), 2.14–2.15 (m, 4H). The 1H NMR data were consistent with those reported in [30].
2-((1R*,2S*,4R*)-2-(aminomethyl)bicyclo[2.2.2]octan-2-yl)acetic acid (4) hydrobromide. The synthesis of compound 4•HBr from compound 27 followed a procedure reported by our laboratory [17]. White solid, 0.20 g. m.p. 188.9 °C–190.5 °C. The 1H NMR and 13C NMR data were consistent with those reported in [17].
(1R*,5R*)-2,3-Dibromobicyclo[3.2.1]octa-2,6-diene (35). To a stirred solution of bicyclo[2.2.1]hepta-2,5-diene (34, 30.00 g, 0.326 mol) in dried n-hexane (300 mL) cooled at −35 °C was added t-BuOK (43.80 g, 0.390 mol) in portions, and then a solution of CHBr3 (98.70 g, 0.391 mol) in dried n-hexane (80 mL) was added dropwise at this temperature under N2. After addition, the reaction mixture was stirred at this temperature for 2 h, when TLC analysis indicated the completion of the reaction. The reaction mixture was poured into ice water (600 mL), and after the separation of the organic phase, the aqueous phase was extracted with EtOAc (300 mL × 3). The combined organic phases were washed with brine (200 mL), dried over anhydrous MgSO4 and evaporated on a rotary evaporator to give a brown oil (crude 35, 84.10 g), which was used directly in the next step without further purification and characterization.
(1R*,5R*)-3-Bromobicyclo[3.2.1]octa-2,6-diene (36). To stirred dried THF (100 mL) cooled at 0 °C, LiAlH4 (9.60 g, 0.253 mol) and a solution of crude 35 (84.10 g, 0.319 mol) prepared above in dried THF (200 mL) were successively added. The resulting mixture was stirred at 35 °C for 24 h, at which point TLC analysis indicated the completion of the reaction. The reaction was cooled to room temperature and then cooled in an ice-water bath, and quenched by the addition of MeOH (20 mL) in a dropwise manner. The mixture thus obtained was filtered off through celite. The filtrate was adjusted to pH 7 with 1 M HCl and extracted with EtOAc (100 mL × 3). The combined extracts were washed with brine (100 mL), dried over anhydrous MgSO4 and evaporated on a rotary evaporator to afford a residue, which was purified by column chromatography (silica gel, n-hexane) to give 36. Pale-yellow oil, 35.00 g (overall 58% for 34 to 36). The sample was used directly in the next step without characterization.
(1S*,5S*)-3-Bromobicyclo[3.2.1]oct-3-en-6-yl formate (37). A solution of compound 36 (35.00 g, 0.189 mol) in HCO2H (230 mL) was stirred at room temperature for 2 days, when TLC analysis indicated the completion of the reaction. The reaction mixture was poured into ice water (600 mL), and the obtained mixture was adjusted to pH 7 with aqueous NaHCO3. The resulting mixture was extracted with EtOAc (200 mL × 3), and the combined extracts were washed with brine (200 mL), dried over anhydrous MgSO4 and evaporated on a rotary evaporator to give a pale-yellow oil (crude 37, 29.10 g), which was a mixture of diastereomers (with a ratio of 25/75 as determined by 1H NMR) and used directly in the next step without further purification.
(1S*,5S*)-3-Bromobicyclo[3.2.1]oct-3-en-6-ol (38). To a stirred solution of crude 37 (29.10 g) in EtOH (300 mL) cooled at 0 °C was added dropwise a solution of NaOH (15.10 g, 0.378 mol) in water (40 mL). After addition, the reaction mixture was stirred at room temperature for 1 h, when TLC analysis indicated the completion of the reaction. The reaction mixture was evaporated on a rotary evaporator to afford a residue, which was then poured into water (150 mL). The mixture thus obtained was adjusted to pH 6 with 1 M HCl and extracted with EtOAc (100 mL × 3). The combined extracts were washed with brine (100 mL), dried over anhydrous MgSO4 and evaporated on a rotary evaporator to afford a residue, which was purified by column chromatography (silica gel, EtOAc/n-hexane = 1/10) to give 38. Pale-yellow oil, 29.50 g (overall 77% for 36 to 38). Compound 38 was supposed to be a diastereomeric mixture at α carbon of the OH group and was used directly in the next step without further purification and characterization.
(1S,5R)-Bicyclo[3.2.1]octan-6-ol (39). A mixture of compound 38 (20.00 g, 98.5 mol), Et3N (27.5 mL) and 10% Pd/C (1.50 g) in MeOH (320 mL) was subjected to a procedure of standard hydrogenation at 1.5 MPa at room temperature overnight, when TLC analysis indicated the completion of the reaction. The reaction mixture was filtered off through celite and the filtrate was evaporated on a rotary evaporator to afford a residue, which was dissolved in water (200 mL). The mixture thus obtained was adjusted to pH 6 with 1 M HCl and was then extracted with EtOAc (100 mL × 3). The combined extracts were washed with brine (100 mL), dried over anhydrous MgSO4 and evaporated on a rotary evaporator to give crude 39. Colorless solid, 10.70 g (86%). Compound 39 was a diastereomeric mixture at α carbon of the OH group (with a ratio of 23/77 as determined by 1H NMR) and was used directly in the next step without further purification and characterization.
(1S*,5R*)-Bicyclo[3.2.1]octan-6-one (40). Preparation of Jones reagent: To a stirred distilled water (56 mL) cooled at 0 °C, CrO3 (17.80 g, 0.178 mol) was added in portions, and after addition, concentrated H2SO4 (16.1 mL) was added dropwise at this temperature. To a stirred solution of compound 39 (15.00 g, 0.119 mol) in acetone (80 mL) cooled at 0 °C, the freshly prepared Jones reagent described above was added dropwise. After addition, the reaction mixture was stirred at room temperature for 4 h, ta which point TLC analysis indicated the completion of the reaction. The reaction mixture was cooled in an ice-water bath and the excessive Jones reagent was quenched by slowly adding i-PrOH until the brown color turned green completely. The mixture was adjusted to pH 7 with aqueous NaHCO3 and then extracted with EtOAc (100 mL × 3). The combined extracts were washed with brine (100 mL), dried over anhydrous MgSO4 and evaporated on a rotary evaporator to afford a residue, which was purified by column chromatography (silica gel, EtOAc/n-hexane = 1/10) to give 40. Colorless oil, 8.30 g (56%). 1H NMR (500 MHz, CDCl3) δ 2.59–2.60 (m, 1H), 2.33 (t, J = 5.5 Hz, 1H), 2.26 (dd, J = 18.5 Hz and 7.0 Hz, 1H), 2.07 (dd, J = 18.5 Hz and 3.5 Hz, 1H), 1.96–2.01 (m, 1H), 1.82–1.86 (m, 1H), 1.57–1.76 (m, 6H); 13C NMR (126 MHz, CDCl3) δ 222.53, 46.36, 43.76, 37.38, 32.33, 30.81, 30.68, 19.00; ESI-HR-MS: (m/z) calcd. for C8H13O ([M+H]+) 125.0961, found: 125.0963.
Dimethyl 2-((1S*,5R*)-bicyclo[3.2.1]octan-6-ylidene)malonate (41). To a stirred mixed solvent of dried THF (5 mL) and dried CH2Cl2 (20 mL) cooled at −15 °C under N2 were added successively TiCl4 (2.30 g, 12.1 mmol) and dimethyl malonate (1.60 g, 12.1 mol) both in a dropwise manner. After addition, a solution of 40 (0.50 g, 4.03 mmol) in dried CH2Cl2 (5 mL) was added dropwise to the reaction mixture, followed by dropwise addition of pyridine (1.90 g, 24.0 mmol). The reaction mixture was then stirred at room temperature overnight, when TLC analysis indicated the completion of the reaction. The reaction mixture was poured into ice water (20 mL), and after separation of the organic phase, the aqueous phase was extracted with CH2Cl2 (20 mL × 3). The combined extracts were washed with brine (50 mL), dried over anhydrous MgSO4 and evaporated on a rotary evaporator to afford a residue, which was purified by column chromatography (silica gel, EtOAc/n-hexane = 1/10) to give 41. Colorless oil, 0.36 g. The sample of 41 contained a certain amount of inseparable unreacted 40 and therefore was not pure enough for the collection of structural characterization. It was used directly in the next step without further purification and characterization.
Dimethyl 2-((1S*,5R*,6R*)-6-cyanobicyclo[3.2.1]octan-6-yl)malonate (42). To a stirred solution of crude 41 (0.36 g, deemed to be 1.51 mmol) and K2CO3 (0.24 g, 1.82 mmol) in MeOH (10 mL) cooled at 0 °C under N2 was added dropwise TMSCN (0.67 g, 6.75 mmol). After addition, the reaction mixture was refluxed for 24 h, when TLC analysis indicated the completion of the reaction. On cooling to room temperature, the reaction mixture was poured into ice water (20 mL) and the obtained mixture was extracted with EtOAc (10 mL × 3). The combined extracts were washed with aqueous NaHCO3 (10 mL), dried over anhydrous MgSO4 and evaporated on a rotary evaporator to afford a residue, which was purified by column chromatography (silica gel, EtOAc/n-hexane = 1/10) to give 42. Colorless oil, 0.29 g (overall 27% for 40 to 42). 1H NMR (500 MHz, CDCl3) δ 3.84 (s, 3H), 3.82 (s, 3H), 3.79 (s, 1H), 2.61–2.64 (m, 1H), 2.52 (dd, J = 14.5 Hz and 7.5 Hz, 1H), 2.40–2.43 (m, 1H), 2.20–2.25 (m, 1H), 1.71 (dd, J = 14.5 Hz and 1.5 Hz, 1H), 1.58–1.65 (m, 3H), 1.54–1.57 (m, 2H), 1.49–1.52 (m, 1H), 1.33–1.44 (m, 1H); 13C NMR (126 MHz, CDCl3) δ 167.47, 167.12, 124.12, 53.52, 53.23, 53.15, 45.33, 43.79, 40.82, 38.78, 34.06, 31.51, 26.96, 18.86; ESI-HR-MS: (m/z) calcd. for C14H19NO4Na ([M+Na]+) 288.1206, found: 288.1206.
Methyl 2-((1S*,5R*,6S*)-6-cyanobicyclo[3.2.1]octan-6-yl)acetate (43). To a stirred solution of compound 42 (2.30 g, 8.67 mmol) in DMF (20 mL) at room temperature, NaCl (1.00 g, 17.1 mmol) and H2O (0.30 g, 16.6 mmol) were added. The reaction mixture was refluxed for 5 h under N2, after which TLC analysis indicated the completion of the reaction. On cooling to room temperature, the reaction mixture was poured into ice water (50 mL) and the obtained mixture was extracted with EtOAc (10 mL × 4). The combined extracts were washed with brine (20 mL × 3), dried over anhydrous MgSO4 and evaporated on a rotary evaporator to afford a residue, which was purified by column chromatography (silica gel, EtOAc/n-hexane = 4/96) to give 43. Colorless oil, 0.90 g (50%). 1H NMR (500 MHz, CDCl3) δ 3.76 (s, 3H), 2.86 (d, J = 16.5 Hz, 1H), 2.80 (d, J = 16.5 Hz, 1H), 2.49–2.54 (m, 2H), 2.38–2.42 (m, 1H), 2.14–2.18 (m, 1H), 1.60–1.65 (m, 3H), 1.52–1.58 (m, 3H), 1.48–1.52 (m, 1H), 1.33–1.44 (m, 1H); 13C NMR (126 MHz, CDCl3) δ 170.63, 125.97, 52.21, 43.80, 42.25, 40.97, 39.10, 37.41, 34.33, 31.59, 27.05, 18.80; ESI-HR-MS: (m/z) calcd. for C12H18NO2 ([M+H]+) 208.1332, found: 208.1334.
(1S*,5R*,6S*)-Spiro[bicyclo[3.2.1]octane-6,3′-pyrrolidin]-5′-one (44). To a stirred solution of compound 43 (0.30 g, 1.45 mmol) and NiCl2•6H2O (0.80 g, 3.37 mmol) in MeOH (10 mL) cooled at 0 °C under N2 was added NaBH4 (0.60 g, 15.9 mmol) in portions. After addition, the reaction mixture was stirred at room temperature overnight, when TLC analysis indicated the completion of the reaction. The reaction mixture was filtered off through celite, and the filtrate was diluted with water (30 mL) and extracted with EtOAc (10 mL × 3). The combined extracts were washed with brine (30 mL), dried over anhydrous MgSO4 and evaporated on a rotary evaporator to afford a white solid, which was triturated with n-hexane (3 mL) at room temperature to give 44. White solid, 0.15 g (58%). m.p. 126.1 °C–127.2 °C. 1H NMR (500 MHz, CDCl3) δ 5.58 (bs, 1H), 3.21 (d, J = 9.5 Hz, 1H), 3.17 (d, J = 9.0 Hz, 1H), 2.53 (d, J = 17.0 Hz, 1H), 2.40 (d, J = 16.5 Hz, 1H), 2.26 (s, 1H), 1.87–1.94 (m, 2H), 1.62–1.70 (m, 2H), 1.59 (dd, J = 14.0 Hz and 2.0 Hz, 1H), 1.46–1.53 (m, 4H), 1.42–1.46 (m, 2H); 13C NMR (126 MHz, CDCl3) δ 178.57, 58.86, 48.64, 43.71, 39.03, 38.93, 34.97, 32.36, 28.99, 18.95; ESI-HR-MS: (m/z) calcd. for C11H18NO ([M+H]+) 180.1383, found: 180.1384.
2-((1S*,5R*,6S*)-6-(Aminomethyl)bicyclo[3.2.1]octan-6-yl)acetic acid (5) hydrobromide. A solution of compound 44 (0.45 g, 2.51 mmol) in 40% HBr (10 mL) was refluxed overnight under N2; TLC analysis indicated the completion of the reaction. On cooling to room temperature, the reaction mixture was evaporated on a rotary evaporator to afford a residue, which was dissolved in distilled water (50 mL). The obtained mixture was extracted with EtOAc (50 mL × 3) to remove any unreacted starting material, and the aqueous layer was evaporated on a rotary evaporator to give a solid, which was triturated at room temperature with EtOAc (5 mL) to give 5•HBr. White solid, 0.31 g (44%). m.p. 184.5 °C–186.0 °C. 1H NMR (500 MHz, CD3OD) δ 3.10 (d, J = 13.5 Hz, 1H), 3.02 (d, J = 13.5 Hz, 1H), 2.80 (d, J = 16.5 Hz, 1H), 2.76 (d, J = 17.0 Hz, 1H), 2.26–2.30 (m, 1H), 1.92–1.99 (m, 2H), 1.72 (dd, J = 14.0 Hz and 7.5 Hz, 1H), 1.51–1.67 (m, 6H), 1.40–1.48 (m, 2H); 13C NMR (126 MHz, CD3OD) δ 176.62, 48.26, 45.68, 41.36, 40.49, 38.79, 37.42, 35.80, 33.45, 28.93, 20.04; ESI-HR-MS: (m/z) calcd. for C11H20NO2 ([M+H]+) 198.1489, found: 198.1489.
(1S*,5R*)-6-(Nitromethylene)bicyclo[3.2.1]octane (45). Following the procedure for the synthesis of 11 from 9, 45 was prepared from 40 (1.00 g, 8.05 mmol) with CH3NO2 (7.5 mL) and piperidine (0.34 g, 3.99 mmol) in refluxing benzene (20 mL). Pale-yellow oil, 0.40 g (30%). Compound 50 was a mixture of E/Z geometric isomers and was used directly in the next step without further purification and characterization.
tert-Butyl 2-((1S*,5R*,6R*)-6-(nitromethyl)bicyclo[3.2.1]octan-6-yl)acetate (46). Following the procedure for the synthesis of 12 from 11, 46 was prepared from 45 (0.40 g, 2.39 mmol) with diisopropylamine (0.72 g, 7.12 mmol), n-BuLi (1.6 M solution in THF, 4.5 mL, 7.20 mmol) and CH3CO2But (0.83 g, 7.15 mmol) in dried THF (9 mL). Colorless oil, 0.40 g (59%). 1H NMR (500 MHz, CDCl3) δ 4.97 (d, J = 12.5 Hz, 1H), 4.91 (d, J = 12.5 Hz, 1H), 2.44 (d, J = 3.0 Hz, 2H), 2.26–2.30 (m, 1H), 2.11–2.13 (m, 1H), 1.94–1.97 (m, 1H), 1.77 (dd, J = 14.5 Hz and 7.5 Hz, 1H), 1.68–1.73 (m, 1H), 1.57–1.60 (m, 2H), 1.50–1.55 (m, 3H), 1.47 (d, J = 4.5 Hz, 1H), 1.45 (s, 9H), 1.37 (d, J = 12.0 Hz, 1H). ESI-HR-MS: (m/z) calcd. for C15H25NO4Na ([M+Na]+) 306.1676, found: 306.1678.
2-((1S*,5R*,6R*)-6-(Nitromethyl)bicyclo[3.2.1]octan-6-yl)acetic acid (47). Following the procedure for the synthesis of 13 from 12, 47 was prepared from 46 (0.84 g, 2.96 mmol) with TFA (10 mL) in CH2Cl2 (10 mL). White solid, 0.50 g (74%). m.p. 100.7 °C–102.6 °C. 1H NMR (500 MHz, CDCl3) δ 5.00 (d, J = 12.5 Hz, 1H), 4.93 (d, J = 12.5 Hz, 1H), 3.75 (bs, 1H), 2.66 (d, J = 17.5 Hz, 1H), 2.62 (d, J = 17.5 Hz, 1H), 2.31 (s, 1H), 2.12–2.14 (m, 1H), 1.94–1.98 (m, 1H), 1.76 (dd, J = 14.5 Hz and 7.5 Hz, 1H), 1.68–1.72 (m, 1H), 1.49–1.66 (m, 6H), 1.40 (d, J = 12.0 Hz, 1H); 13C NMR (126 MHz, CDCl3) δ 176.43, 77.57, 45.62, 42.19, 40.93, 39.50, 38.31, 34.49, 32.40, 27.72, 19.10; ESI-HR-MS: (m/z) calcd. for C11H16NO4 ([M-H]) 226.1085, found: 226.1082.
2-((1S*,5R*,6R*)-6-(Aminomethyl)bicyclo[3.2.1]octan-6-yl)acetic acid (6). Following the procedure for the synthesis of 1 from 13, 6 was prepared from 47 (0.50 g, 2.20 mmol) with Pd(OH)2 (50 mg) in MeOH (10 mL). White solid, 60 mg (14%). m.p. 149.3 °C–154.0 °C. 1H NMR (500 MHz, CD3OD) δ 3.25 (d, J = 13.0 Hz, 1H), 3.16 (d, J = 13.0 Hz, 1H), 2.50 (d, J = 15.0 Hz, 1H), 2.46 (d, J = 15.0 Hz, 1H), 2.27–2.31 (m, 1H), 2.07–2.12 (m, 1H), 1.88 (s, 1H), 1.77 (dd, J = 14.0 Hz and 7.5 Hz, 1H), 1.51–1.68 (m, 6H), 1.48 (d, J = 14.0 Hz, 1H), 1.36 (d, J = 11.5 Hz, 1H); 13C NMR (126 MHz, CD3OD) δ 180.00, 51.70, 46.16, 46.08, 43.89, 39.61, 39.45, 36.20, 33.57, 28.81, 19.93; ESI-HR-MS: (m/z) calcd. for C11H20NO2 ([M+H]+) 198.1489, found: 198.1490.
(1S*,5S*)-3-Bromobicyclo[3.2.1]oct-3-en-6-one (48). Following the procedure for the synthesis of 40 from 39, 48 was prepared from 38 (19.00 g, 93.6 mmol) with a Jones reagent prepared from CrO3 (14.00 g, 0.140 mol), H2O (42 mL) and concentrated sulfuric acid (12.7 mL) in acetone (120 mL) at 0 °C. Pale-yellow oil, 5.00 g (27%). 1H NMR (500 MHz, CDCl3) δ 6.06 (dt, J = 8.0 Hz and 1.0 Hz, 1H), 2.94–2.99 (m, 1H), 2.88–2.91 (m, 1H), 2.63–2.67 (m, 1H), 2.36–2.44 (m, 2H), 2.28 (dd, J = 18.8 Hz and 3.2 Hz, 1H), 1.94–1.98 (m, 1H), 1.84 (dd, J = 12.0 Hz and 3.5 Hz, 1H). The 1H NMR data were consistent with those reported in [31].
(1S*,5S*)-3-Bromospiro[bicyclo[3.2.1]octane-6,2′-[1,3]dioxolan]-3-ene (49). To a stirred solution of compound 48 (5.00 g, 24.9 mmol) in toluene (50 mL) were added p-TsOH•H2O (0.95 g, 4.99 mmol) and ethylene glycol (3.10, 49.9 mmol). The reaction mixture was refluxed and produced water was removed by a Dean–Stark apparatus. The reaction was complete within the typical 12 h, as indicated by TLC analysis. On cooling to room temperature, the reaction mixture was poured into ice water (100 mL) and the obtained mixture was adjusted to pH 7 with aqueous NaHCO3. The resulting mixture was extracted with EtOAc (50 mL × 3), and the combined extracts were washed with brine (50 mL), dried over anhydrous MgSO4 and evaporated on a rotary evaporator to afford a residue, which was purified by column chromatography (silica gel, EtOAc/n-hexane = 1/10) to give 49. Pale-yellow oil, 5.10 g (84%). 1H NMR (500 MHz, CDCl3) δ 6.09 (dt, J = 7.0 Hz and 1.0 Hz, 1H), 3.84–3.97 (m, 4H), 2.77–2.82 (m, 1H), 2.35–2.38 (m, 2H), 2.28–2.32 (m, 1H), 2.14–2.19 (m, 1H), 1.89–1.94 (m, 2H), 1.63 (dd, J = 11.2 Hz and 2.8 Hz, 1H). The 1H NMR data were consistent with those reported in [31].
(1S*,5S*)-Spiro[bicyclo[3.2.1]octane-6,2′-[1,3]dioxolan]-3-ene (50). To a stirred solution of compound 49 (1.70 g, 6.94 mmol) in dried THF (20 mL) cooled at −78°C under N2, n-BuLi (1.6 M solution in THF, 13 mL, 20.8 mmol) was added dropwise. After addition, the reaction mixture was stirred at −78°C for 2 h, after which TLC analysis indicated the completion of the reaction. The reaction mixture was then quenched by the dropwise addition of water (5 mL) at this temperature, and the resulting mixture was poured into saturated aqueous NH4Cl (50 mL). The obtained mixture was extracted with EtOAc (20 mL × 3), and the combined extracts were dried over anhydrous MgSO4 and evaporated on a rotary evaporator to afford a residue, which was purified by column chromatography (silica gel, EtOAc/n-hexane = 1/20) to give 50. Colorless oil, 0.65 g (56%). 1H NMR (500 MHz, CDCl3) δ 5.77–5.81 (m, 1H), 5.58–5.61 (m, 1H), 3.87–3.99 (m, 4H), 2.40–2.46 (m, 1H), 2.29–2.36 (m, 2H), 2.12–2.17 (m, 1H), 1.93–1.98 (m, 1H), 1.88–1.91 (m, 1H), 1.85 (dd, J = 14.5 Hz and 2.5 Hz, 1H), 1.59–1.61 (m, 1H).
(1S*,5S*)-Bicyclo[3.2.1]oct-3-en-6-one (51). To a stirred solution of compound 50 (0.65 g, 3.91 mmol) in acetone (7 mL), p-TsOH (0.80 g, 4.65 mmol) and H2O (0.35 mL) were added. The reaction mixture was refluxed for 24 h, after which TLC analysis indicated the completion of the reaction. On cooling to room temperature, the reaction mixture was poured into aqueous NaHCO3 (20 mL) and the obtained mixture was extracted with EtOAc (10 mL × 3). The combined extracts were washed with brine (10 mL), dried over anhydrous MgSO4 and evaporated on a rotary evaporator to afford a residue, which was purified by column chromatography (silica gel, EtOAc/n-hexane = 1/20) to give 51. Yellow oil, 0.27 g (57%). 1H NMR (500 MHz, CDCl3) δ 5.74 (d, J = 4.5 Hz, 2H), 2.83–2.85 (m, 1H), 2.57–2.64 (m, 2H), 2.38 (dd, J = 18.5 Hz and 7.5 Hz, 1H), 2.19 (dd, J = 18.5 Hz and 3.5 Hz, 1H), 2.02 (d, J = 17.5 Hz, 1H), 1.90–1.95 (m, 1H), 1.76 (dd, J = 11.5 Hz and 3.5 Hz, 1H); 13C NMR (126 MHz, CDCl3) δ 213.08, 128.52, 126.13, 46.98, 43.88, 34.51, 32.13, 30.43; ESI-HR-MS: (m/z) calcd. for C8H11O ([M+H]+) 123.0804, found: 123.0807. The 1H NMR [31] and 13C NMR [32] data were in consistent with those reported.
(1S*,5S*)-7-(Nitromethylene)bicyclo[3.2.1]oct-2-ene (52). Following the procedure for the synthesis of 11 from 9, 52 was prepared from 51 (1.18 g, 9.66 mmol) with CH3NO2 (5 mL) and piperidine (0.47 g, 5.52 mmol) in refluxing benzene (10 mL). Yellow oil, 0.80 g (50%). Compound 57 was a mixture of E/Z geometric isomer and was used directly in the next step without further purification and characterization.
tert-Butyl 2-((1S*,5S*,6R*)-6-(nitromethyl)bicyclo[3.2.1]oct-3-en-6-yl)acetate (53). Following the procedure for the synthesis of 12 from 11, 53 was prepared from 52 (0.80 g, 4.84 mmol) with diisopropylamine (1.50 g, 14.8 mmol), n-BuLi (1.6 M solution in THF, 9 mL, 14.4 mmol) and CH3CO2But (1.69 g, 14.5 mmol) in dried THF (14 mL). Colorless oil, 0.50 g (37%). 1H NMR (500 MHz, CDCl3) δ 5.90–5.93 (m, 1H), 5.63–5.66 (m, 1H), 4.90 (d, J = 12.5 Hz, 1H), 4.82 (d, J = 12.5 Hz, 1H), 2.47 (d, J = 1.5 Hz, 2H), 2.38–2.44 (m, 3H), 1.97–2.02 (m, 1H), 1.90–1.94 (m, 1H), 1.84–1.89 (m, 1H), 1.67 (d, J = 11.0 Hz, 1H), 1.46 (s, 9H), 1.37 (d, J = 14.0 Hz, 1H); 13C NMR (126 MHz, CDCl3) δ 170.84, 131.35, 127.78, 81.26, 79.80, 52.40, 42.65, 42.55, 41.50, 37.83, 33.51, 33.41, 28.24; ESI-HR-MS: (m/z) calcd. for C15H23NNaO4 ([M+Na]+) 304.1519, found: 304.1521.
tert-Butyl 2-((1S*,5S*,6R*)-6-(aminomethyl)bicyclo[3.2.1]oct-3-en-6-yl)acetate (54) p-tosylate. Following the procedure for the synthesis of 19p-TsOH from 18, 54p-TsOH was prepared from 53 (0.50 g, 1.78 mmol) with iron powder (0.50 g, 8.95 mmol) and NH4Cl (0.20 g, 3.74 mmol) in a mixed solvent of EtOH (5 mL) and H2O (2.5 mL). White solid, 178 mg (24%). m.p. 176.3 °C–177.7 °C. 1H NMR (500 MHz, DMSO-d6) δ 7.68 (bs, 3H), 7.48 (d, J = 8.0 Hz, 2H), 7.11 (d, J = 8.0 Hz, 2H), 5.87–5.90 (m, 1H), 5.59–5.62 (m, 1H), 3.11–3.18 (m, 1H), 3.02–3.08 (m, 1H), 2.42 (s, 2H), 2.31–2.34 (m, 2H), 2.29 (s, 3H), 2.13–2.15 (m, 1H), 1.89–1.93 (m, 1H), 1.75–1.84 (m, 2H), 1.50 (d, J = 11.5 Hz, 1H), 1.42 (s, 9H), 1.23 (d, J = 13.5 Hz, 1H); 13C NMR (126 MHz, DMSO-d6) δ 170.44, 145.76, 137.58, 130.61, 128.04, 127.32, 125.48, 80.59, 51.40, 44.00, 41.79, 40.98, 40.44, 37.12, 33.08, 32.91, 27.79, 20.77; ESI-HR-MS: (m/z) calcd. for C15H26NO2 ([M+H]+) 252.1958, found: 252.1959.
2-((1S*,5S*,6R*)-6-(Aminomethyl)bicyclo[3.2.1]oct-3-en-6-yl)acetic acid (7) p-tosylate. Following the procedure for the synthesis of 2p-TsOH from 19p-TsOH, 7p-TsOH was prepared from 54p-TsOH (0.17 g, 0.401 mmol) with TFA (2 mL) in CH2Cl2 (3 mL). White solid, 90 mg (61%). m.p. 188.5 °C–189.6 °C. 1H NMR (500 MHz, D2O) δ 7.70 (d, J = 8.5 Hz, 2H), 7.38 (d, J = 8.5 Hz, 2H), 5.86–5.89 (m, 1H), 5.70–5.73 (m, 1H), 3.36 (s, 2H), 2.61 (s, 2H) 2.38–2.43 (m, 5H), 2.27–2.29 (m, 1H), 1.98–2.03 (m, 1H), 1.86–1.93 (m, 2H), 1.67 (d, J = 11.5 Hz, 1H), 1.36 (d, J = 14.0 Hz, 1H); 13C NMR (126 MHz, D2O) δ 175.95, 142.47, 139.35, 129.73, 129.41, 128.64, 125.32, 50.86, 45.45, 42.32, 41.34, 41.09, 37.05, 33.22, 33.03, 20.44; ESI-HR-MS: (m/z) calcd. for C11H18NO2 ([M+H]+) 196.1332, found: 196.1334.
Cycloheptanol (56). To a solution of cycloheptanone (55, 69.00 g, 0.615 mol) in a mixed solvent of methanol (450 mL) and water (45 mL) cooled at 0 °C was added NaBH4 (11.63 g, 0.307 mol) in a portionwise manner. After addition, the reaction mixture was stirred for another 2 h at room temperature, after which TLC analysis indicated the completion of the reaction. The reaction mixture was evaporated on a rotary evaporator to afford a residue, which was diluted in aqueous NaOH (1 M, 300 mL), and the resulting mixture was extracted with EtOAc (200 mL × 3). The combined extracts were washed successively with aqueous NaOH (1 M, 100 mL) and brine (100 mL), dried over anhydrous MgSO4 and evaporated on a rotary evaporator to give 56. Colorless oil, 64.77 g (92%). 1H NMR (500 MHz, CDCl3) δ 3.82–3.87 (m, 1H), 1.89–1.94 (m, 2H), 1.62–1.68 (m, 2H), 1.57–1.59 (m, 1H), 1.52–1.56 (m, 5H), 1.37–1.44 (m, 2H). The 1H NMR data were consistent with those reported in [33].
Cycloheptene (57). Compound 56 (64.77 g, 0.567 mol) was mixed with p-TsOH•H2O (0.70 g, 3.68 mmol), and the mixture was then stirred at 160 °C for 11 h with the removal of produced water by a Dean–Stark apparatus. On cooling to room temperature, the reaction mixture was washed successively with aqueous NaHCO3 (100 mL) and brine (100 mL) and dried over anhydrous MgSO4 to give 57. Colorless oil, 57.42 g (100%). 1H NMR (500 MHz, CDCl3) δ 5.78–5.80 (m, 2H), 2.10–2.14 (m, 4H), 1.70–1.75 (m, 2H), 1.48–1.53 (m, 4H). The 1H NMR data were consistent with those reported in [34].
3-Bromocyclohept-1-ene (58). To a stirred solution of compound 57 (58.30 g, 0.606 mol) in CCl4 (400 mL), NBS (107.89 g, 0.606 mol) was added. The reaction mixture was heated to 65 °C followed by the addition of AIBN (0.99 g, 6.03 mmol) in portions. After addition, the reaction mixture was heated slowly to 75 °C and the heating was stopped immediately once the reaction mixture began to boil. Approximately 10 min later, the boiling subsided and the reaction mixture was refluxed for another 1 h, after which TLC analysis indicated the completion of the reaction. The reaction mixture was cooled to room temperature and filtered off through celite. The filtrate was washed successively with aqueous Na2S2O3 (100 mL × 4) and brine (100 mL), dried over anhydrous MgSO4 and evaporated on a rotary evaporator to give a pale-yellow oil (crude 58, 133.23 g), which was used directly in the next step without further purification and characterization.
Cyclohepta-1,3-diene (59). Crude 58 (133.23 g) and quinoline (225 mL) were placed into a round-bottomed flask equipped with a fractional column. The reaction mixture was heated to 165 °C and the produced 59 was distilled out of the reaction mixture and purified by fractional distillation at atmospheric pressure. Colorless oil, 40.03 g. Crude 59 was used directly in the next step without further purification and characterization.
(3aR*,4S*,8R*,8aS*)-4,5,6,7,8,8a-Hexahydro-1H-4,8-ethenocyclohepta[c]furan-1,3(3aH)-dione (60). A stirred solution of compound 59 (15.00 g, 0.159 mol) and maleic anhydride (15.62 g, 0.159 mol) in toluene (80 mL) was refluxed under N2 overnight, after which TLC analysis indicated the completion of the reaction. On cooling to room temperature, the reaction mixture was evaporated on a rotary evaporator to afford a residue, which was purified by column chromatography (silica gel, EtOAc/n-hexane = 1/5) to give 60. White solid, 14.24 g (overall 33% for 57 to 60). 1H NMR (500 MHz, DMSO-d6) δ 6.17 (dd, J = 5.0 Hz and 3.5 Hz, 2H), 3.59 (s, 2H), 2.80–2.83 (m, 2H), 1.62–1.68 (m, 4H), 1.46–1.49 (m, 2H). The 1H NMR data were consistent with those [35].
(3aR*,4S*,8R*,8aS*)-Hexahydro-1H-4,8-ethanocyclohepta[c]furan-1,3(3aH)-dione (61). A mixture of compound 60 (14.24 g, 73.3 mmol) and 10% Pd/C (1.42 g) in MeOH (100 mL) was subjected to a procedure of standard hydrogenation at atmospheric pressure (balloon) at room temperature overnight, after which TLC analysis indicated the completion of the reaction. The reaction mixture was filtered off through celite, and the filtrate was evaporated on a rotary evaporator to give 61. White solid, 14.18 g (99%). Compound 61 was used directly in the next step without characterization.
(1R*,5S*,6R*,7S*)-Bicyclo[3.2.2]nonane-6,7-dicarboxylic acid (62). A solution of compound 61 (14.18 g, 73.0 mmol) in 10% aqueous NaOH (150 mL) was stirred at room temperature until the solid was completely dissolved. The mixture was acidified by aqueous 20% H3PO4 to pH 1 and a large amount of precipitates formed. The precipitates were collected via suction filtration, washed with water and dried in vacuo at room temperature to give 62. White solid, 12.98 g (84%). 1H NMR (500 MHz, DMSO-d6) δ 11.88 (bs, 2H), 2.85 (s, 2H), 2.35 (s, 2H), 1.74–1.78 (m, 2H), 1.59–1.69 (m, 3H), 1.48–1.57 (m, 3H), 1.42–1.46 (m, 2H). The 1H NMR data were consistent with those reported in [36].
(1S*)-Bicyclo[3.2.2]non-6-ene (63). Compound 62 (5.00 g, 23.6 mmol) was added to a stirred mixture of Pb(OAc)4 (15.67 g, 35.3 mmol) in pyridine (100 mL) under N2. The reaction mixture was stirred at 75 °C for 30 min, after which TLC analysis indicated the completion of the reaction. On cooling to room temperature, the reaction mixture was poured into water (300 mL) and the obtained mixture was extracted with pentane (100 mL × 4). The combined extracts were washed successively with 1 M HCl (200 mL × 3) and brine (200 mL), dried over anhydrous MgSO4 and evaporated on a rotary evaporator at 20 °C to give 63. Pale-yellow oil, 2.90 g (100%). Compound 63 was used directly in the next step without characterization.
(1S*,6R*)-Bicyclo[3.2.2]nonan-6-ol (64). To a stirred solution of compound 63 (3.52 g, 28.8 mmol) in dried THF (25 mL) cooled at 0 °C, BH3•Me2S (2.0 M solution in THF, 6.0 mL, 12.0 mmol) was added dropwise under N2. After addition, the reaction mixture was stirred for 2 h at room temperature, after which TLC analysis indicated the completion of the reaction. EtOH (25 mL) was added to the reaction mixture. The resulting mixture was cooled to 0 °C, followed by dropwise addition of aqueous NaOH (3 M, 4 mL) and 30% H2O2 (3.6 mL) successively. After addition, the reaction mixture was stirred at room temperature for 6 h, when TLC analysis indicated the completion of the reaction. The reaction mixture was poured into ice water (50 mL) and the obtained mixture was extracted with EtOAc (20 mL × 3). The combined extracts were washed with 1 M HCl (50 mL) and brine (50 mL), dried over anhydrous MgSO4 and evaporated on a rotary evaporator to give a residue, which was purified by column chromatography (silica gel, EtOAc/n-hexane = 1/10) to give 64. White solid, 3.92 g (97%). 1H NMR (500 MHz, CDCl3) δ 4.05–4.08 (m, 1H), 2.13–2.18 (m, 1H), 1.92–1.99 (m, 2H), 1.85–1.88 (m, 1H), 1.69–1.76 (m, 1H), 1.58–1.65 (m, 5H), 1.50–1.56 (m, 2H), 1.43–1.48 (m, 2H), 1.33 (bs, 1H). The 1H NMR data were consistent with those reported in [37].
(1S*)-Bicyclo[3.2.2]nonan-6-one (65). Following the procedure for the synthesis of 40 from 39, 65 was prepared from 64 (3.92 g, 28.0 mmol) with CrO3 (4.19 g, 41.9 mmol), H2O (15 mL) and concentrated H2SO4 (3.8 mL) in acetone (25 mL). White solid, 1.91 g (49%). 1H NMR (500 MHz, CDCl3) δ 2.51–2.54 (m, 1H), 2.31–2.34 (m, 3H), 1.88–1.92 (m, 2H), 1.75–1.82 (m, 4H), 1.70–1.73 (m, 1H), 1.64–1.68 (m, 2H), 1.47–1.53 (m, 1H); 13C NMR (126 MHz, CDCl3) δ 217.32, 47.01, 44.41, 34.21, 30.96, 28.52, 24.40, 23.25, 21.65; ESI-HR-MS: (m/z) calcd. for C9H15O ([M+H]+) 139.1117, found: 139.1118.
Dimethyl 2-((1S*)-bicyclo[3.2.2]nonan-6-ylidene)malonate (66). Following the procedure for the synthesis of 41 from 40, crude 66 was prepared from 65 (1.91 g, 13.8 mmol) with TiCl4 (7.86 g, 41.4 mmol), CH2(CO2CH3)2 (5.48 g, 41.5 mmol) and pyridine (6.56 g, 82.9 mol) in a mixed solvent of dried THF (12 mL) and dried CH2Cl2 (60 mL). Colorless oil, 3.34 g. The crude sample of 66 was used in the next step without further purification and characterization.
Methyl 2-((1S*,6S*)-6-cyanobicyclo[3.2.2]nonan-6-yl)acetate (67). To a stirred mixture of crude 66 (3.69 g, deemed to be 14.6 mmol) and K2CO3 (2.43 g, 17.6 mmol) in MeOH (40 mL) cooled at 0 °C under N2 TMSCN (6.53 g, 65.8 mmol) was added dropwise. After addition, the reaction mixture was refluxed for 24 h, when TLC analysis indicated the completion of the reaction. On cooling to room temperature, the reaction mixture was poured into ice water (100 mL) and the obtained mixture was extracted with EtOAc (30 mL × 3). The combined extracts were washed with aqueous NaHCO3 (50 mL) and brine (50 mL), dried over anhydrous MgSO4 and evaporated on a rotary evaporator to afford a residue, which was purified by column chromatography (silica gel, EtOAc/n-hexane = 1/10) to give 67. White solid, 0.99 g (overall 29% for 65 to 67). m.p. 58 °C–59 °C; 1H NMR (500 MHz, CDCl3) δ 3.75 (s, 3H), 2.75 (d, J = 15.5 Hz, 1H), 2.64 (d, J = 16.0 Hz, 1H), 2.43 (dd, J = 15.0 Hz and 7.5 Hz, 1H), 2.19–2.28 (m, 2H), 2.12–2.15 (m, 1H), 1.83–1.91 (m, 1H), 1.71–1.80 (m, 2H), 1.55–1.70 (m, 6H), 1.45–1.52 (m, 1H); 13C NMR (126 MHz, CDCl3) δ 170.03, 125.23, 52.12, 42.86, 38.89, 36.19, 36.04, 34.57, 29.64, 28.83, 24.12, 23.51, 21.20; ESI-HR-MS: (m/z) calcd. for C13H20NO2 ([M+H]+) 222.1489, found: 222.1489.
(1S*,6S*)-Spiro[bicyclo[3.2.2]nonane-6,3′-pyrrolidin]-5′-one (68). Following the procedure for the synthesis of 44 from 43, 68 was prepared from 67 (1.30 g, 5.87 mmol) with NiCl2•6H2O (2.79 g, 11.7 mmol) and NaBH4 (2.22 g, 58.7 mmol) in MeOH (30 mL) at 0 °C to room temperature. White solid, 0.60 g (53%). m.p. 127.8 °C–129.4 °C. 1H NMR (500 MHz, CDCl3) δ 5.84 (bs, 1H), 3.29 (d, J = 9.0 Hz, 1H), 3.18 (d, J = 9.0 Hz, 1H), 2.33 (d, J = 16.0 Hz, 1H), 2.16 (d, J = 16.0 Hz, 1H), 2.04–2.07 (m, 1H), 1.94 (dd, J = 14.5 Hz and 2.0 Hz, 1H), 1.88 (s, 2H), 1.77–1.81 (m, 1H), 1.69–1.76 (m, 2H), 1.59–1.66 (m, 6H), 1.48–1.54 (m, 1H); 13C NMR (126 MHz, CDCl3) δ 178.52, 57.86, 46.56, 42.40, 41.98, 38.88, 35.53, 31.84, 29.62, 23.78, 23.03, 21.75; ESI-HR-MS: (m/z) calcd. for C12H20NO ([M+H]+) 194.1539, found: 194.1541.
2-((1S*,6S*)-6-(Aminomethyl)bicyclo[3.2.2]nonan-6-yl)acetic acid (8) hydrobromide. Following the procedure for the synthesis of 5•HBr from 44, 8•HBr was prepared from 68 (0.48 g, 2.48 mmol) in refluxing 40% HBr (10 mL) under N2. White solid, 81 mg (11%). m.p. 175.8 °C–179.8 °C. 1H NMR (500 MHz, CD3OD) δ 3.14 (d, J = 13.5 Hz, 1H), 3.11 (d, J = 13.5 Hz, 1H), 2.63 (d, J = 15.5 Hz, 1H), 2.59 (d, J = 15.5 Hz, 1H), 2.06–2.08 (m, 1H), 1.95–2.00 (m, 1H), 1.82–1.91 (m, 2H), 1.57–1.74 (m, 9H), 1.52 (dd, J = 15.0 Hz and 6.5 Hz, 1H); 13C NMR (126 MHz, CD3OD) δ 175.61, 48.60, 42.41, 38.36, 38.11, 35.15, 34.87, 32.40, 30.67, 25.00, 23.80, 22.32; ESI-HR-MS: (m/z) calcd. for C12H22NO2 ([M+H]+) 212.1645, found: 212.1647.

3.2. BCAT1 Enzyme Inhibition Assay

The compounds to be tested or PBS was added to a 384-well plate, followed by the addition of assay buffer (50 mM ammonium sulfate, 1 mM EDTA, 2 mM DTT, 0.01% BSA, 0.5 μM PLP, 50 mM HEPES buffer (pH 7.4)), 0.01 U LeuDH enzyme (#E0217, Nanjing Duly Biotechnology Co., Ltd., Nanjing, China) and 15 ng BCAT1 enzyme (#ME17NO0265, Sino Biological, Beijing, China). Subsequently, 40 μM α-KG, 100 μM Leucine and 10 μM NADH substrate mixture were added to initiate the reaction. Fluorescence changes in NADH were dynamically monitored using the Spark cyto (Tecan, Männedorf, Switzerland). The rate of NADH fluorescence decay was calculated to assess enzyme activity.

3.3. Cell Proliferation Assay

Cell culture and chemical reagents: Human NSCLC NCI-H1975 cells were purchased from American Type Culture Collection (ATCC, Manassas, VA, USA) and cultured in RPMI 1640 medium with 10% FBS in a cell incubator (37 °C, 5% CO2). ASK120067-resistant cells (67R) were constructed, cultured, and authenticated as described previously [26]. Gabapentin (#T0702) was purchased from TargetMol (Boston, MA, USA).
A sulforodamine B (SRB) colorimetric assay was employed to detect the inhibitory effect of compounds on cell proliferation. Cells in the logarithmic growth phase were seeded into 96-well plates and cultured overnight. After incubation with the indicated compounds for 120 h, the culture medium was discarded. Then, 100 μL of 10% pre-cooled trichloroacetic acid (TCA) was added to each well to fix the cells at 4 °C for 1 h. The wells were then washed five times with distilled water. After drying, 100 μL of SRB dye (4 mg/mL SRB dissolved in 1% glacial acetic acid) was added to each well, and the cells were stained for 15 min at room temperature. After washing with 1% glacial acetic acid for five times, the plate was dried again. To dissolve the dye, 150 μL of 10 mM Tris solution was added to each well. The optical density (OD) was measured at 560 nm using a multi-well VersaMax spectrophotometer (Molecular Devices, Sunnyvale, CA, USA). The relative inhibition rate of the compounds on cell proliferation was calculated using the following formula: Inhibition rate (%) = [1 − (A560treated/A560control)] × 100%. The IC50 values were determined from the dose–response curves using the logit method.

4. Conclusions

In summary, inspired by the unique chemical structure of WQQ-345 discovered in our earlier study, we proceeded to carry out two rounds of SAR study to further explore the optimal structure based on WQQ-345, and a bicyclo[3.2.1]octene-bearing GABA derivative 7 was discovered, which was 6-fold more potent than the parent compound WQQ-345 in the BCAT1 enzymatic inhibitory activity assay, effectively suppressed the growth of 67R cells that highly expressed BCAT1, and was resistant to third-generation TKI.

Supplementary Materials

The following supporting information can be downloaded at: https://www.mdpi.com/article/10.3390/molecules30040904/s1. The synthetic procedure of WQQ-345 hydrobromide; single-crystal X-ray diffraction results of compounds 44, 68 and S4; and copies of all the 1H NMR, 13C NMR and HR-MS spectra for synthesized compounds.

Author Contributions

Conceptualization, J.D., H.X. and G.Z.; methodology, W.L., Z.P., H.X. and G.Z.; formal analysis, W.L., Z.P., X.Z., Y.L. (Yan Li), G.Z. and H.X.; investigation, W.L., Z.P., X.Z., Y.L. (Yan Li), Y.L. (Yong Li), Y.Z. and J.P.; resources, H.X. and G.Z.; data curation, W.L., Z.P., X.Z. and Y.L. (Yan Li); writing—original draft preparation, W.L., Z.P. and X.Z.; writing—review and editing, W.L., Z.P., G.Z. and H.X.; supervision, H.X. and G.Z.; project administration, H.X. and G.Z.; funding acquisition, J.D., H.X. and G.Z. All authors have read and agreed to the published version of the manuscript.

Funding

This research was funded by the Special Funds of the National Natural Science Foundation of China, grant number 82441046; National Natural Science Foundation of China, grant number 82273948; Guangdong Basic and Applied Basic Research Foundation, grant number 2023A1515012259; Zhongshan Municipal Natural Science Foundation, grant number 2023B2019; Creative Research Group of Zhongshan City (Lingnan Pharmaceutical Research and Innovation team), grant number CXTD2022011; the Project of Shanghai Institute of Materia Medica, Chinese Academy of Sciences, grant number SIMM0120231001; Opening Foundation from State Key Laboratory of Drug Research, grant number SKLDR-2023-TT-01; High-level Innovative Research Institute, Department of Science and Technology of Guangdong Province, grant number 2021B0909050003. The APC was funded by the Zhongshan Institute for Drug Discovery, Shanghai Institute of Materia Medica, Chinese Academy of Sciences, Zhongshan 528400, China.

Institutional Review Board Statement

Not applicable.

Informed Consent Statement

Not applicable.

Data Availability Statement

The data presented in this study are available on request from the corresponding authors.

Acknowledgments

The authors are grateful to the assistance from Xiaotong Lin for the collection of NMR data.

Conflicts of Interest

The authors declare no conflicts of interest.

Abbreviations

The following abbreviations are used in this manuscript:
AIBN2,2′-azodiisobutyronitrile
BCAAbranched-chain amino acid
BCATbranched-chain amino acid aminotransferase
BCAT1branched-chain amino acid aminotransferase 1
BCAT2branched-chain amino acid aminotransferase 2
CCDCCambridge Crystallographic Data Centre
EGFRepidermal growth factor receptor
ESIelectrospray ionization
GABAγ-aminobutyric acid
HR-MShigh-resolution mass spectrometry
α-KICα-ketoisocaproate
LDAlithium diisopropylamide
LeuDHleucine dehydrogenase
NADHnicotinamide adenine dinucleotide
NBSN-bromosuccinimide
NSCLCnon-small-cell lung cancer
SARstructure–activity relationship
TFAtrifluoroacetic acid
TLCthin-layer chromatography
TKItyrosine kinase inhibitor

References

  1. Reifenberg, P.; Zimmer, A. Branched-chain amino acids: Physico-chemical properties, industrial synthesis and role in signaling, metabolism and energy production. Amino. Acids. 2024, 56, 51. [Google Scholar] [CrossRef] [PubMed]
  2. Dimou, A.; Tsimihodimos, V.; Bairaktari, E. The critical role of the branched chain amino acids (BCAAs) catabolism-regulating enzymes, branched-chain aminotransferase (BCAT) and branched-chain-keto acid dehydrogenase (BCKD), in human pathophysiology. Int. J. Mol. Sci. 2022, 23, 4022. [Google Scholar] [CrossRef] [PubMed]
  3. Cao, Q.; Fan, J.; Zou, J.; Wang, W. Multi-omics analysis identifies BCAT2 as a potential pan-cancer biomarker for tumor progression and immune microenvironment modulation. Sci. Rep. 2024, 14, 23371. [Google Scholar] [CrossRef] [PubMed]
  4. Qian, L.; Li, N.; Lu, X.-C.; Xu, M.; Liu, Y.; Li, K.; Zhang, Y.; Hu, K.; Qi, Y.-T.; Yao, J.; et al. Enhanced BCAT1 activity and BCAA metabolism promotes RhoC activity in cancer progression. Nat. Metab. 2023, 5, 1159–1173. [Google Scholar] [CrossRef] [PubMed]
  5. Ding, Y.; Wang, X.; Lu, S.; Lai, A.; Xie, B.; He, X.; Liu, Q. BCAT1, as a prognostic factor for HCC, can promote the development of liver cancer through activation of the AKT signaling pathway and EMT. J. Mol. Histol. 2023, 54, 25–39. [Google Scholar] [CrossRef]
  6. Li, G.-S.; Huang, H.-Q.; Liang, Y.; Pang, Q.-Y.; Sun, H.-J.; Huang, Z.-G.; Dang, Y.-W.; Yang, L.-J.; Chen, G. BCAT1: A risk factor in multiple cancers based on a pan-cancer analysis. Cancer Med. 2022, 11, 1396–1412. [Google Scholar] [CrossRef]
  7. Mao, L.; Chen, J.; Lu, X.; Yang, C.; Ding, Y.; Wang, M.; Zhang, Y.; Tian, Y.; Li, X.; Fu, Y.; et al. Proteomic analysis of lung cancer cells reveals a critical role of BCAT1 in cancer cell metastasis. Theranostics 2021, 11, 9705–9720. [Google Scholar] [CrossRef]
  8. Zhang, X.; Zhu, X.; Li, Y.; Li, Y.; Luo, W.; Khan, M.; Pan, J.; Pan, H.; Xie, H.; Zhao, G. A review on branched-chain amino acid aminotransferase (BCAT) inhibitors: Current status, challenges and perspectives. Curr. Med. Chem. 2025; in press. [Google Scholar] [CrossRef]
  9. Günther, J.; Hillig, R.C.; Zimmermann, K.; Kaulfuss, S.; Lemos, C.; Nguyen, D.; Rehwinkel, H.; Habgood, M.; Lechner, C.; Neuhaus, R.; et al. BAY-069, a novel (trifluoromethyl)pyrimidinedione-based BCAT1/2 inhibitor and chemical probe. J. Med. Chem. 2022, 65, 14366–14390. [Google Scholar] [CrossRef]
  10. Roszkowska, M. Multilevel mechanisms of cancer drug resistance. Int. J. Mol. Sci. 2024, 25, 12402. [Google Scholar] [CrossRef]
  11. Blaquier, J.B.; Ortiz-Cuaran, S.; Ricciuti, B.; Mezquita, L.; Cardona, A.F.; Recondo, G. Tackling osimertinib resistance in EGFR-mutant non-small cell lung cancer. Clin. Cancer Res. 2023, 29, 3579–3591. [Google Scholar] [CrossRef]
  12. Zhang, T.; Pan, Z.; Gao, J.; Wu, Q.; Bai, G.; Li, Y.; Tong, L.; Feng, F.; Lai, M.; Liu, Y.; et al. Branched-chain amino acid transaminase 1 confers EGFR TKI resistance through epigenetic glycolytic activation. Sig. Transduct. Target. Ther. 2024, 9, 216. [Google Scholar] [CrossRef] [PubMed]
  13. Jang, Y.-J.; Lin, W.-W.; Shih, Y.-K.; Liu, J.-T.; Hwang, M.-H.; Yao, C.-F. A one-pot, two step synthesis of 2,2-disubstituted 1-nitroalkenes. Tetrahedron 2003, 59, 4979–4992. [Google Scholar] [CrossRef]
  14. Zhang, Y.; Zheng, Y.; Wu, Q.; Tian, F.; Ma, C.; Xu, H.; Zhan, L.; Gao, Z.; Zhao, G.; Ti, H. Study on structure-activity relationship (SAR) of simplified mirogabalin derivatives as voltage-gated calcium channel α2δ ligands for the treatment of chronic neuropathic pain. Med. Chem. Res. 2023, 32, 288–313. [Google Scholar] [CrossRef]
  15. Nadany, A.E.; McKendrick, J.E. Ring-rearrangement metathesis of substituted 2-aminonorbornenes. Synlett 2007, 2007, 1663–1666. [Google Scholar] [CrossRef]
  16. Bavetsias, V.; Jackman, A.L.; Marriott, J.H.; Kimbell, R.; Gibson, W.; Boyle, F.T.; Bisset, G.M.F. Folate-based inhibitors of thymidylate synthase: Synthesis and antitumor activity of γ-linked sterically hindered dipeptide analogues of 2-desamino-2-methyl-N10-propargyl-5,8-dideazafolic acid (ICI 198583). J. Med. Chem. 1997, 40, 1495–1510. [Google Scholar] [CrossRef]
  17. Luo, W.; Cheng, X.; Zhu, X.; Li, Y.; Liu, Y.; Huang, W.; Li, Y.; Zhao, G. An efficient, concise synthetic approach to γ-aminobutyric acid (GABA) derivatives bearing bicyclo[2.2.2]octane and bicyclo[2.2.1]heptane rings. Synth. Commun. 2024, 54, 77–86. [Google Scholar] [CrossRef]
  18. Bridges, A.J.; Raman, P.S.; Ng, G.S.Y.; Jones, J.B. Enzymes in organic synthesis. 31. Preparations of enantiomerically pure bicyclic [3.2.1] and [3.3.1] chiral lactones via stereospecific horse liver alcohol dehydrogenase catalyzed oxidations of meso diols. J. Am. Chem. Soc. 1984, 106, 1461–1467. [Google Scholar] [CrossRef]
  19. Bowden, K.; Heilbron, I.M.; Jones, E.R.H.; Weedon, B.C.L. 13. Researches on acetylenic compounds. Part I. The preparation of acetylenic ketones by oxidation of acetylenic carbinols and glycols. J. Chem. Soc. 1946, 39–45. [Google Scholar] [CrossRef]
  20. Sonoda, T.; Kobayashi, S.; Tanaka, M. Periodically functionalized linear polyethylene with tertiary amino groups via regioselective ring-opening metathesis polymerization. Macromolecules 2021, 54, 2862–2872. [Google Scholar] [CrossRef]
  21. Murray, W.V.; Lalan, P.; Gill, A.; Addo, M.F.; Lewis, J.M.; Lee, D.K.H.; Wachter, M.P.; Rampulla, R.; Underwood, D.C. Substituted pyrrolidin-2-one biphenyltetrazoles as angiotensin II antagonists. Bioorg. Med. Chem. Lett. 1993, 3, 369–374. [Google Scholar] [CrossRef]
  22. Russell, G.A.; Keske, R.G.; Holland, G.; Mattox, J.; Givens, R.S.; Stanley, K. Application of electron spin resonance spectroscopy to problems of structure and conformation. XXIX. Aliphatic semidiones. XXIX. Cycloheptane-1,2-semidione. J. Am. Chem. Soc. 1975, 97, 1892–1900. [Google Scholar] [CrossRef]
  23. Brown, H.C.; Prasad, J.V.N.V.; Zee, S.H. Hydroboration. 71. Hydroboration of representative heterocyclic olefins with borane-methyl sulfide, 9-borabicyclo[3.3.1]nonane, dicyclohexylborane, and disiamylborane. Synthesis of heterocyclic alcohols. J. Org. Chem. 1985, 50, 1582–1589. [Google Scholar] [CrossRef]
  24. Hutson, S.M.; Berkich, D.; Drown, P.; Xu, B.; Aschner, M.; LaNoue, K.F. Role of branched-chain aminotransferase isoenzymes and gabapentin in neurotransmitter metabolism. J. Neurochem. 1998, 71, 863–874. [Google Scholar] [CrossRef] [PubMed]
  25. Goto, M.; Miyahara, I.; Hirotsu, K.; Conway, M.; Yennawa, N.; Islam, M.M.; Hutson, S.M. Structural determinants for branched-chain aminotransferase isozyme-specific inhibition by the anticonvulsant drug gabapentin. J. Biol. Chem. 2005, 280, 37246–37256. [Google Scholar] [CrossRef]
  26. Zhang, T.; Qu, R.; Chan, S.; Lai, M.; Tong, L.; Feng, F.; Chen, H.; Song, T.; Song, P.; Bai, G.; et al. Discovery of a novel third-generation EGFR inhibitor and identification of a potential combination strategy to overcome resistance. Mol. Cancer 2020, 19, 90. [Google Scholar] [CrossRef]
  27. Sheldrick, G.M. Crystal structure refinement with SHELXL. Acta Crystallogr. C 2015, 71, 3–8. [Google Scholar] [CrossRef]
  28. Wang, G.T.; Wang, S.; Chen, Y.; Gentles, R.; Sowin, T. Synthesis of 2-substituted (±)-(2R,3R,5R)-tetrahydrofuran-3,5-dicarboxylic acid derivatives. J. Org. Chem. 2001, 66, 2052–2056. [Google Scholar] [CrossRef]
  29. Adkins, H.; Watkins, S.H. Investigation of the properties of alumina ex-Aluminum isopropoxide as a catalyst for dehydrations. J. Am. Chem. Soc. 1951, 73, 2184–2188. [Google Scholar] [CrossRef]
  30. Hudlicky, M. Dehydrohalogenations of cis- and trans-1-bromo-2-flourocyclohexanes. J. Fluor. Chem. 1986, 32, 441–452. [Google Scholar] [CrossRef]
  31. Givens, R.S.; Chae, W.K.; Matuszewski, B. Singlet-triplet reactivity of a β,γ-unsaturated ketone: Mechanistic studies in photochemistry. J. Am. Chem. Soc. 1982, 104, 2456–2466. [Google Scholar] [CrossRef]
  32. Hudyma, D.M.; Stothers, J.B.; Tan, C.T. 13C NMR studies: XLVI—Rearrangements and deuterium exchange via homoenolization in bicyclooctanones. A convenient preparation of bicyclic β,γ- and γ,δ-unsaturated ketones. Org. Magn. Reson. 1974, 6, 614–616. [Google Scholar] [CrossRef]
  33. Nişancı, B.; Dağalan, Z. A facile and highly efficient transfer hydrogenation of ketones and aldehydes catalyzed by palladium nanoparticles supported on mesoporous graphitic carbon nitride. J. Chem. Res. 2020, 44, 14–19. [Google Scholar] [CrossRef]
  34. Bond, C.W.; Cresswell, A.J.; Davies, S.G.; Fletcher, A.M.; Kurosawa, W.; Lee, J.A.; Roberts, P.M.; Russell, A.J.; Smith, A.D.; Thomson, J.E. Ammonium-directed oxidation of cyclic allylic and homoallylic amines. J. Org. Chem. 2009, 74, 6735–6748. [Google Scholar] [CrossRef] [PubMed]
  35. Charifson, P.S.; Clark, M.P.; Bandarage, U.K.; Davies, I.; Duffy, J.P.; Gao, H.; Feng, J.; Liang, J.; Kennedy, J.M.; Ledeboer, M.W.; et al. Inhibitors of influenza viruses replication. WO2012083117, 21 June 2012. [Google Scholar]
  36. Hendrickson, J.B.; Boeckman, R.K., Jr. Stereospecific syntheses of the seven dimethylcycloheptanes. J. Org. Chem. 1971, 36, 2315–2319. [Google Scholar] [CrossRef]
  37. Zschunke, A.; Braband, J.; Mann, G. Zuordnung exo-endo-isomerer bicyclo-[3.2.2]-Nonanderivate. Tetrahedron 1970, 26, 3679–3684. [Google Scholar] [CrossRef]
Figure 1. Structures of representative BCAT1 and BCAT2 inhibitors.
Figure 1. Structures of representative BCAT1 and BCAT2 inhibitors.
Molecules 30 00904 g001
Figure 2. The design strategy of GABA derivatives containing bridged bicyclic skeleton as BCAT1 inhibitors.
Figure 2. The design strategy of GABA derivatives containing bridged bicyclic skeleton as BCAT1 inhibitors.
Molecules 30 00904 g002
Scheme 1. Synthetic route to compound 1. Reagents and conditions: (i) CH3NO2, piperidine, PhH, reflux, 58%; (ii) (a) LDA, CH3CO2But, dried THF, −78 °C, N2, (b) add 11 to the resulting mixture in (a), −78 °C-rt, N2, 58%; (iii) TFA, CH2Cl2, 0 °C-rt, 76%; (iv) H2 (balloon), Pd(OH)2, MeOH, rt, 24%.
Scheme 1. Synthetic route to compound 1. Reagents and conditions: (i) CH3NO2, piperidine, PhH, reflux, 58%; (ii) (a) LDA, CH3CO2But, dried THF, −78 °C, N2, (b) add 11 to the resulting mixture in (a), −78 °C-rt, N2, 58%; (iii) TFA, CH2Cl2, 0 °C-rt, 76%; (iv) H2 (balloon), Pd(OH)2, MeOH, rt, 24%.
Molecules 30 00904 sch001
Scheme 2. Synthetic route to compound 2 p-tosylate and 3 p-tosylate. Reagents and conditions: (i) CH2=C(Cl)CN, PhH, reflux, 36 h; (ii) KOH, EtOH, reflux, 23% (overall for 14 to 16); (iii) CH3NO2, piperidine, PhH, reflux, 69%; (iv) (a) LDA, CH3CO2But, dried THF, −78 °C, N2, (b) add 17 to the resulting mixture in (a), −78 °C-rt, 74%; (v) (a) Fe/NH4Cl, EtOH/H2O, reflux, N2; (b) p-TsOH·H2O, EtOAc, rt, 19% (for 18 to 19·p-TsOH) and 37% (for 23 to 24·p-TsOH); (vi) (a) aqNaHCO3/EtOAc; (b) TFA, CH2Cl2, rt; (c) p-TsOH·H2O, EtOAc, rt, 63% (for 19·p-TsOH to 2·p-TsOH) and 58% (for 24·p-TsOH to 3·p-TsOH); (vii) (EtO)2P(=O)CH2CO2Et/t-BuOK, dried THF, 0 °C, N2, 72%; (viii) CH3NO2, DBU, 85 °C, 31%; (ix) aqLiOH, EtOH, rt, 95%; (x) CH2=C(CH3)2, concentrated H2SO4, −15 °C-rt, 31%.
Scheme 2. Synthetic route to compound 2 p-tosylate and 3 p-tosylate. Reagents and conditions: (i) CH2=C(Cl)CN, PhH, reflux, 36 h; (ii) KOH, EtOH, reflux, 23% (overall for 14 to 16); (iii) CH3NO2, piperidine, PhH, reflux, 69%; (iv) (a) LDA, CH3CO2But, dried THF, −78 °C, N2, (b) add 17 to the resulting mixture in (a), −78 °C-rt, 74%; (v) (a) Fe/NH4Cl, EtOH/H2O, reflux, N2; (b) p-TsOH·H2O, EtOAc, rt, 19% (for 18 to 19·p-TsOH) and 37% (for 23 to 24·p-TsOH); (vi) (a) aqNaHCO3/EtOAc; (b) TFA, CH2Cl2, rt; (c) p-TsOH·H2O, EtOAc, rt, 63% (for 19·p-TsOH to 2·p-TsOH) and 58% (for 24·p-TsOH to 3·p-TsOH); (vii) (EtO)2P(=O)CH2CO2Et/t-BuOK, dried THF, 0 °C, N2, 72%; (viii) CH3NO2, DBU, 85 °C, 31%; (ix) aqLiOH, EtOH, rt, 95%; (x) CH2=C(CH3)2, concentrated H2SO4, −15 °C-rt, 31%.
Molecules 30 00904 sch002
Scheme 3. Synthetic route to compound 4 hydrobromide. Reagents and conditions: (i) NBS/AIBN, CCl4, reflux; (ii) Quinoline, reflux, 42% (overall for 25 to 27); (iii) CH2=C(Cl)CN, hydroquinone, PhCH3, 80 °C (autoclave), N2; (iv) KOH, EtOH, reflux, 12% (overall for 27 to 29); (v) H2, Pd/C, MeOH, rt, 80%; (vi) CH2(CO2CH3)2, TiCl4/pyridine, dried THF/CH2Cl2, −15 °C-rt, N2, 60%; (vii) TMSCN/K2CO3, MeOH, reflux, N2, 50%; (viii) NiCl2•6H2O/NaBH4, MeOH, 0 °C-rt, N2, 62%; (ix) 40% HBr, reflux, N2, 24%.
Scheme 3. Synthetic route to compound 4 hydrobromide. Reagents and conditions: (i) NBS/AIBN, CCl4, reflux; (ii) Quinoline, reflux, 42% (overall for 25 to 27); (iii) CH2=C(Cl)CN, hydroquinone, PhCH3, 80 °C (autoclave), N2; (iv) KOH, EtOH, reflux, 12% (overall for 27 to 29); (v) H2, Pd/C, MeOH, rt, 80%; (vi) CH2(CO2CH3)2, TiCl4/pyridine, dried THF/CH2Cl2, −15 °C-rt, N2, 60%; (vii) TMSCN/K2CO3, MeOH, reflux, N2, 50%; (viii) NiCl2•6H2O/NaBH4, MeOH, 0 °C-rt, N2, 62%; (ix) 40% HBr, reflux, N2, 24%.
Molecules 30 00904 sch003
Scheme 4. Synthetic route to compound 5 hydrobromide and 6. Reagents and conditions: (i) CHBr3/t-BuOK, dried n-hexane, −35 °C, N2; (ii) LiAlH4, dried THF, rt, N2, 58% (overall for 34 to 36); (iii) HCO2H, rt, 36 h; (iv) NaOH, EtOH/H2O, 0 °C-rt, 77% (overall for 36 to 38); (v) H2 (1.5 MPa), 10% Pd/C, Et3N, MeOH, rt, 86%; (vi) CrO3/concentrated H2SO4, acetone/H2O, 0 °C, 56%; (vii) CH2(CO2CH3)2, TiCl4/pyridine, dried THF/CH2Cl2, −15 °C-rt, N2; (viii) TMSCN/K2CO3, MeOH, reflux, N2, 27% (overall for 40 to 42); (ix) NaCl/H2O, DMF, reflux, 50%; (x) NiCl2•6H2O/NaBH4, MeOH, 0 °C-rt, N2, 58%; (xi) 40% HBr, reflux, N2, 44%; (xii) CH3NO2, piperidine, PhH, reflux, 30%; (xiii) (a) LDA, CH3CO2But, dried THF, −78 °C, N2, (b) add 45 to the resulting mixture in (a), −78 °C-rt, 59%; (xiv) TFA, CH2Cl2, rt, 74%; (xv) H2, Pd(OH)2, MeOH, rt, 14%.
Scheme 4. Synthetic route to compound 5 hydrobromide and 6. Reagents and conditions: (i) CHBr3/t-BuOK, dried n-hexane, −35 °C, N2; (ii) LiAlH4, dried THF, rt, N2, 58% (overall for 34 to 36); (iii) HCO2H, rt, 36 h; (iv) NaOH, EtOH/H2O, 0 °C-rt, 77% (overall for 36 to 38); (v) H2 (1.5 MPa), 10% Pd/C, Et3N, MeOH, rt, 86%; (vi) CrO3/concentrated H2SO4, acetone/H2O, 0 °C, 56%; (vii) CH2(CO2CH3)2, TiCl4/pyridine, dried THF/CH2Cl2, −15 °C-rt, N2; (viii) TMSCN/K2CO3, MeOH, reflux, N2, 27% (overall for 40 to 42); (ix) NaCl/H2O, DMF, reflux, 50%; (x) NiCl2•6H2O/NaBH4, MeOH, 0 °C-rt, N2, 58%; (xi) 40% HBr, reflux, N2, 44%; (xii) CH3NO2, piperidine, PhH, reflux, 30%; (xiii) (a) LDA, CH3CO2But, dried THF, −78 °C, N2, (b) add 45 to the resulting mixture in (a), −78 °C-rt, 59%; (xiv) TFA, CH2Cl2, rt, 74%; (xv) H2, Pd(OH)2, MeOH, rt, 14%.
Molecules 30 00904 sch004
Scheme 5. Synthetic route to compound 7 p-tosylate. Reagents and conditions: (i) CrO3/concentrated H2SO4, acetone/H2O, 0 °C, 27%; (ii) (CH2OH)2, p-TsOH•H2O, PhCH3, reflux, 84%; (iii) n-BuLi, dried THF, −78 °C, N2, and then H2O, 56%; (iv) p-TsOH, acetone/H2O, reflux, 57%; (v) CH3NO2, piperidine, PhH, 50%; (vi) (a) LDA, CH3CO2But, dried THF, −78 °C, N2, (b) add 52 to the resulting mixture in (a), −78 °C-rt, 37%; (vii) (a) Fe/NH4Cl, EtOH/H2O, reflux, N2; (b) p-TsOH•H2O, EtOAc, rt, 24%; (viii) (a) aqNaHCO3/EtOAc, rt; (b) TFA, CH2Cl2, rt; (c) p-TsOH•H2O, EtOAc, rt, 61%.
Scheme 5. Synthetic route to compound 7 p-tosylate. Reagents and conditions: (i) CrO3/concentrated H2SO4, acetone/H2O, 0 °C, 27%; (ii) (CH2OH)2, p-TsOH•H2O, PhCH3, reflux, 84%; (iii) n-BuLi, dried THF, −78 °C, N2, and then H2O, 56%; (iv) p-TsOH, acetone/H2O, reflux, 57%; (v) CH3NO2, piperidine, PhH, 50%; (vi) (a) LDA, CH3CO2But, dried THF, −78 °C, N2, (b) add 52 to the resulting mixture in (a), −78 °C-rt, 37%; (vii) (a) Fe/NH4Cl, EtOH/H2O, reflux, N2; (b) p-TsOH•H2O, EtOAc, rt, 24%; (viii) (a) aqNaHCO3/EtOAc, rt; (b) TFA, CH2Cl2, rt; (c) p-TsOH•H2O, EtOAc, rt, 61%.
Molecules 30 00904 sch005
Scheme 6. Synthetic route to compound 8 hydrobromide. Reagents and conditions: (i) NaBH4, MeOH/H2O, 0 °C-rt, 92%; (ii) p-TsOH•H2O, 160 °C, 100%; (iii) NBS/AIBN, CCl4, reflux; (iv) Quinoline, 165 °C, followed by fractional distillation to collect 59; (v) Maleic anhydride, PhCH3, reflux, N2, 33% (overall for 57 to 60); (vi) H2 (balloon), 10% Pd/C, MeOH, rt, 99%; (vii) (a) aqNaOH, rt; (b) H3PO4, 0 °C-rt, 84%; (viii) Pb(OAc)4, pyridine, 75 °C, 100%; (ix) (a) BH3·Me2S, dried THF, 0 °C-rt, N2; (b) 30%H2O2, aqNaOH, EtOH, 0 °C-rt, 97%; (x) CrO3/concentrated H2SO4, acetone/H2O, 0 °C, 49%; (xi) CH2(CO2CH3)2, TiCl4/pyridine, dried THF/CH2Cl2, -15 °C-rt, N2; (xii) TMSCN/K2CO3, MeOH, reflux, 29% (overall for 65 to 67); (xiii) NiCl2•6H2O/NaBH4, MeOH, 0 °C-rt, N2, 53%; (xiv) 40% HBr, reflux, N2, 11%.
Scheme 6. Synthetic route to compound 8 hydrobromide. Reagents and conditions: (i) NaBH4, MeOH/H2O, 0 °C-rt, 92%; (ii) p-TsOH•H2O, 160 °C, 100%; (iii) NBS/AIBN, CCl4, reflux; (iv) Quinoline, 165 °C, followed by fractional distillation to collect 59; (v) Maleic anhydride, PhCH3, reflux, N2, 33% (overall for 57 to 60); (vi) H2 (balloon), 10% Pd/C, MeOH, rt, 99%; (vii) (a) aqNaOH, rt; (b) H3PO4, 0 °C-rt, 84%; (viii) Pb(OAc)4, pyridine, 75 °C, 100%; (ix) (a) BH3·Me2S, dried THF, 0 °C-rt, N2; (b) 30%H2O2, aqNaOH, EtOH, 0 °C-rt, 97%; (x) CrO3/concentrated H2SO4, acetone/H2O, 0 °C, 49%; (xi) CH2(CO2CH3)2, TiCl4/pyridine, dried THF/CH2Cl2, -15 °C-rt, N2; (xii) TMSCN/K2CO3, MeOH, reflux, 29% (overall for 65 to 67); (xiii) NiCl2•6H2O/NaBH4, MeOH, 0 °C-rt, N2, 53%; (xiv) 40% HBr, reflux, N2, 11%.
Molecules 30 00904 sch006
Figure 3. Dose–inhibition curves of proliferation inhibition of BCAT1 inhibitors 1, 2, 4, 7 and gabapentin in 67R cells and NCI-H1975 cells for 120 h (n = 3; data are expressed as mean ± SD).
Figure 3. Dose–inhibition curves of proliferation inhibition of BCAT1 inhibitors 1, 2, 4, 7 and gabapentin in 67R cells and NCI-H1975 cells for 120 h (n = 3; data are expressed as mean ± SD).
Molecules 30 00904 g003
Table 1. BCAT1 inhibitory activity of synthesized compounds 18, WQQ-345 and gabapentin.
Table 1. BCAT1 inhibitory activity of synthesized compounds 18, WQQ-345 and gabapentin.
CompoundBCAT1 Inhibitory Activity (IC50, mM) 1
WQQ-345•HBr4.86 ± 1.98
12.04 ± 0.59
2p-TsOH2.04 ± 0.98
3p-TsOH3.96 ± 2.83
4•HBr1.71 ± 1.00
5•HBr4.20 ± 1.84
61.54 ± 0.47
7p-TsOH0.78 ± 0.19
8•HBr14.52 ± 6.39
gabapentin5.07 ± 1.06
1 IC50 values are expressed as mean ± SD (n = 3).
Table 2. Summary of IC50 values of proliferation inhibition of BCAT1 inhibitors 1, 2, 4, 7 and gabapentin in 67R cells and NCI-H1975 cells for 120 h (n = 3).
Table 2. Summary of IC50 values of proliferation inhibition of BCAT1 inhibitors 1, 2, 4, 7 and gabapentin in 67R cells and NCI-H1975 cells for 120 h (n = 3).
CompoundNCI-H1975 IC50 (mM) 167R IC50 (mM) 1
17.82 ± 0.482.60 ± 0.93
2p-TsOH8.99 ± 0.672.71 ± 0.33
4•HBr8.08 ± 0.961.38 ± 0.37
7p-TsOH7.26 ± 0.731.64 ± 0.49
gabapentin>103.53 ± 0.22
1 IC50 values are expressed as mean ± SD (n = 3).
Disclaimer/Publisher’s Note: The statements, opinions and data contained in all publications are solely those of the individual author(s) and contributor(s) and not of MDPI and/or the editor(s). MDPI and/or the editor(s) disclaim responsibility for any injury to people or property resulting from any ideas, methods, instructions or products referred to in the content.

Share and Cite

MDPI and ACS Style

Luo, W.; Pan, Z.; Zhu, X.; Li, Y.; Li, Y.; Zhang, Y.; Pan, J.; Ding, J.; Xie, H.; Zhao, G. Design, Synthesis and Biological Activity Study of γ-Aminobutyric Acid (GABA) Derivatives Containing Bridged Bicyclic Skeletons as BCAT1 Inhibitors. Molecules 2025, 30, 904. https://doi.org/10.3390/molecules30040904

AMA Style

Luo W, Pan Z, Zhu X, Li Y, Li Y, Zhang Y, Pan J, Ding J, Xie H, Zhao G. Design, Synthesis and Biological Activity Study of γ-Aminobutyric Acid (GABA) Derivatives Containing Bridged Bicyclic Skeletons as BCAT1 Inhibitors. Molecules. 2025; 30(4):904. https://doi.org/10.3390/molecules30040904

Chicago/Turabian Style

Luo, Wen, Zilu Pan, Xinyuan Zhu, Yan Li, Yong Li, Yudi Zhang, Jiamin Pan, Jian Ding, Hua Xie, and Guilong Zhao. 2025. "Design, Synthesis and Biological Activity Study of γ-Aminobutyric Acid (GABA) Derivatives Containing Bridged Bicyclic Skeletons as BCAT1 Inhibitors" Molecules 30, no. 4: 904. https://doi.org/10.3390/molecules30040904

APA Style

Luo, W., Pan, Z., Zhu, X., Li, Y., Li, Y., Zhang, Y., Pan, J., Ding, J., Xie, H., & Zhao, G. (2025). Design, Synthesis and Biological Activity Study of γ-Aminobutyric Acid (GABA) Derivatives Containing Bridged Bicyclic Skeletons as BCAT1 Inhibitors. Molecules, 30(4), 904. https://doi.org/10.3390/molecules30040904

Article Metrics

Back to TopTop