Dynamic Behavior of the Glassy and Supercooled Liquid States of Aceclofenac Assessed by Dielectric and Calorimetric Techniques
Abstract
1. Introduction
2. Results
2.1. Differential Scanning Calorimetry
2.2. FTIR Results
- (a)
- the C=C stretching modes (aromatic) located at 1589, 1508 and 1452 cm−1 did not shift significantly and remained well resolved;
- (b)
- at 1604 cm−1, the FTIR spectrum of crystalline ACF showed a small shift that can be associated with vibrational modes related to the vibrational modes of carbon-carbon involved in multiple bonds (νCC + νCCC) [35]. In contrast, for amorphous ACF, a distinct band appeared at 1615 cm−1, which may correspond to the same band shifted and with increased relative intensity. Notably, changes in this band were accompanied by variations in the OH stretching region. This correlation suggests the incorporation of water into the solid structure, consistent with the higher hydration capacity of the amorphous phase, which is thermodynamically less stable than its crystalline counterpart.
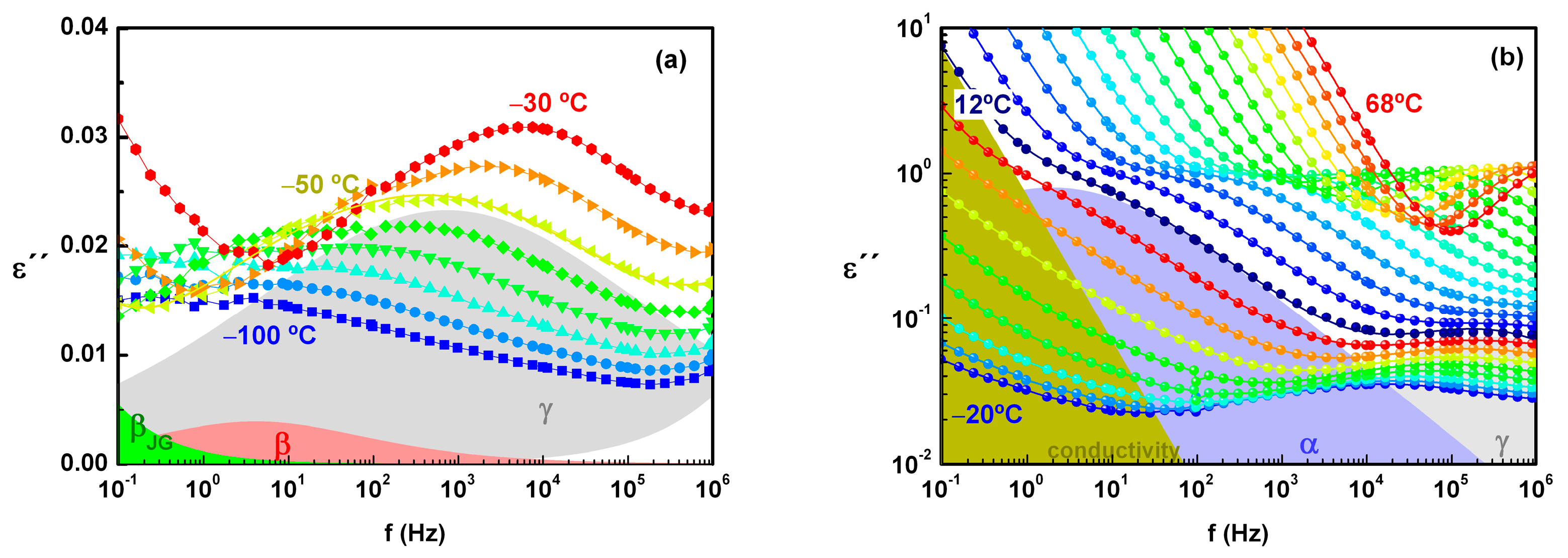
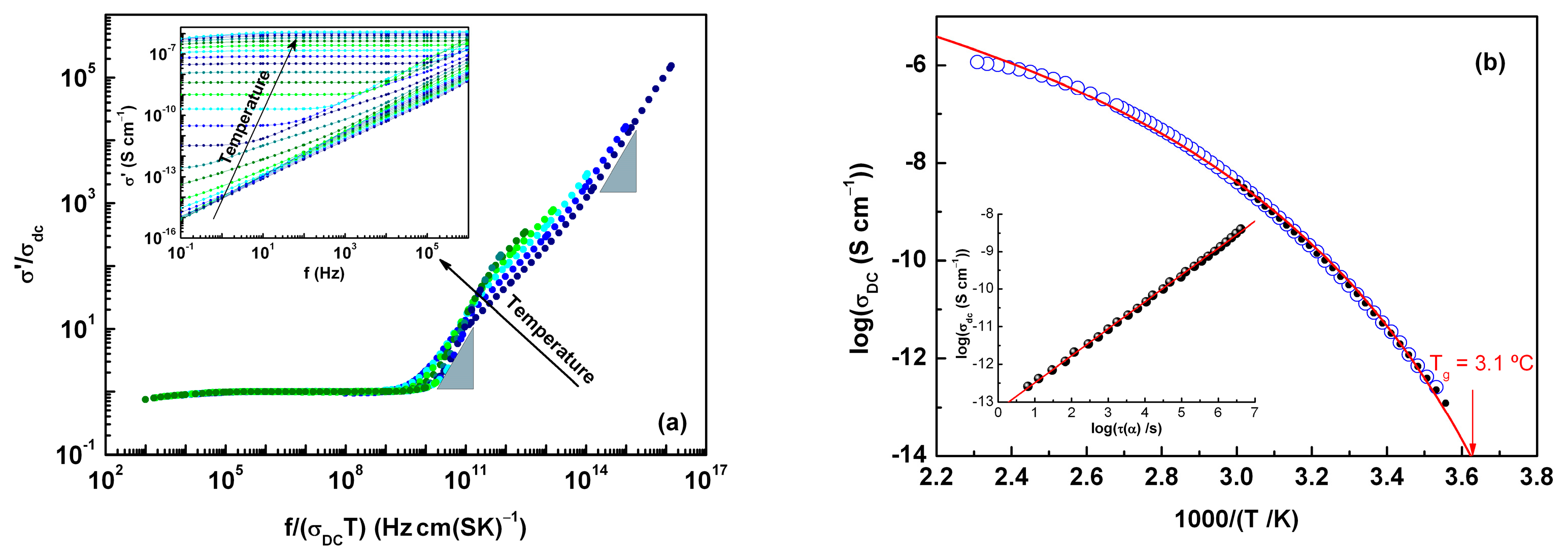
2.3. DRS Results
Conductivity
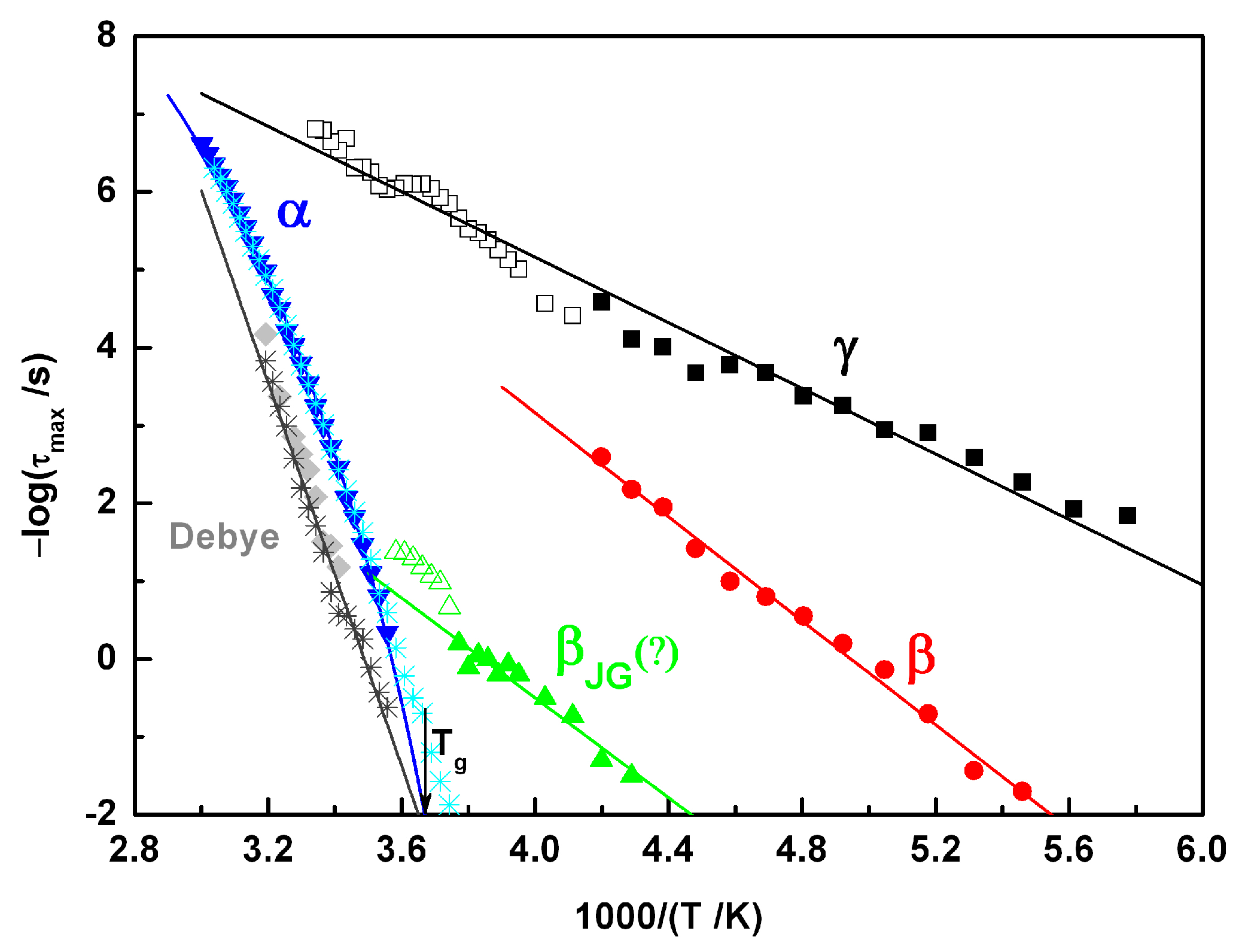
2.4. TSDC Results
2.4.1. The α-Relaxation and Mobility Above Tg
2.4.2. Relaxation in the Sub-Tg Region
3. Discussion
4. Experimental
4.1. Materials
4.2. Differential Scanning Calorimetry (DSC)
4.3. Fourier Transform Infrared Spectroscopy (FTIR)
4.4. Dielectric Relaxation Spectroscopy (DRS)
DRS Data Analysis
4.5. Thermostimulated Depolarization Currents (TSDC)
5. Conclusions
Supplementary Materials
Author Contributions
Funding
Data Availability Statement
Acknowledgments
Conflicts of Interest
References
- Sheelarani, B.; Raj, E.P.; Joshi, R.G.; Dash, S. Effect of drug aceclofenac on physico-chemical properties of mixed micellar systems. SN Appl. Sci. 2022, 4, 179. [Google Scholar] [CrossRef]
- Iolascon, G.; Giménez, S.; Mogyorósi, D. A Review of Aceclofenac: Analgesic and anti-inflammatory effects on musculoskeletal disorders. J. Pain Res. 2021, 14, 3651–3663. [Google Scholar] [CrossRef]
- Brogden, R.N.; Wiseman, L.R. Aceclofenac: A review of its pharmacodynamic properties and therapeutic potential in the treatment of rheumatic disorders and in pain management. Drugs 1996, 52, 113–124. [Google Scholar] [CrossRef]
- Polymorph I of ACF Was Approved in the EU by the EMA in 1990. Available online: https://www.ema.europa.eu/en/medicines/what-we-publish-medicines-and-when#human-medicines-38645 (accessed on 16 June 2024).
- Ranpise, N.S.; Kulkarni, N.S.; Mair, P.D.; Ranade, A.N. Improvement of water solubility and in vitro dissolution rate of aceclofenac by complexation with β-cyclodextrin and hydroxypropyl-β-cyclodextrin. Pharm. Develop. Technol. 2010, 15, 64–70. [Google Scholar] [CrossRef] [PubMed]
- Soni, T.; Nagda, C.; Gandhi, T.; Chotai, N.P. Development of discriminating method for dissolution of aceclofenac marketed formulations. Dissolution Technol. 2008, 15, 31–35. [Google Scholar] [CrossRef]
- Shete, A.S.; Yadav, A.V.; Doijad, R.C. Screening of aceclofenac for cocrystallization with nicotinamide: Theoretical and practical perspective. Indian J. Pharm. Sci. 2022, 84, 1389–1397. [Google Scholar] [CrossRef]
- Goud, N.R.; Suresh, K.; Nangia, A. Solubility and stability advantage of aceclofenac salts. Cryst. Growth Des. 2013, 13, 1590–1601. [Google Scholar] [CrossRef]
- Shakeel, F.; Baboota, S.; Ahuja, A.; Ali, J.; Aqil, M.; Shafiq, S. Nanoemulsions as vehicles for transdermal delivery of aceclofenac. AAPS PharmSciTech 2007, 8, 104. [Google Scholar] [CrossRef]
- SSakhare; Shinde, S.D.; Yadav, A.V.; Shete, A.S. Studies on formulation and evaluation of eudragit RS PO based nanoparticulate system of aceclofenac for ocular delivery. Indian J. Pharm. Educ. Res. 2021, 55, S87–S99. [Google Scholar] [CrossRef]
- Patnaik, S.; Aditha, S.K.; Rattan, T.; Kamisetti, V. Aceclofenac-Soluplus® nanocomposites for Increased Bioavailability. Soft Nanosci. Lett. 2015, 5, 13–20. [Google Scholar] [CrossRef]
- Katara, R.; Sachdeva, S.; Majumdar, D.K. Enhancement of ocular efficacy of aceclofenac using biodegradable PLGA nanoparticles: Formulation and characterization. Drug Deliv. Transl. Res. 2017, 7, 632–641. [Google Scholar] [CrossRef] [PubMed]
- Thamer, A.K.; Abood, A.N. Preparation and in vitro characterization of aceclofenac nanosuspension (ACNS) for enhancement of percutaneous absorption using hydrogel dosage form. Iraqi J. Pharm. Sci. 2021, 30, 86–98. [Google Scholar] [CrossRef]
- Patil, L.D.; Verma, U.; Patil, U.D.; Naik, J.B.; Narkhede, J.S. Inclusion of Aceclofenac in Mesoporous Silica Nanoparticles: Drug Release Study and Statistical Optimization of Encapsulation Efficiency by Response Surface Methodology. Mater. Technol. 2019, 34, 751–763. [Google Scholar] [CrossRef]
- Jani, R.; Jani, K.; Setty, C.M.; Patel, D. Preparation and Evaluation of Solid Dispersions of Aceclofenac. Int. J. Pharm. Sci. Drug Res. 2009, 1, 32–35. [Google Scholar] [CrossRef]
- Yu, L. Amorphous pharmaceutical solids: Preparation, characterization and stabilization. Adv. Drug Deliv. Rev. 2001, 48, 27–42. [Google Scholar] [CrossRef] [PubMed]
- Hancock, B.C.; Zografi, G. Characteristics and significance of the amorphous state in pharmaceutical systems. J. Pharm. Sci. 1997, 86, 1–12. [Google Scholar] [CrossRef] [PubMed]
- Chishti, N.A.H.; Pathan, I.B.; Dehghan, M.H.G.; Bairagi, S.M. Design and development of immediate release pellets formulation containing coamorphous mixture of aceclofenac: In-vitro and in-vivo Study. J. Pharm. Innov. 2024, 19, 13. [Google Scholar] [CrossRef]
- Natarajan, R.; Komala, G.; Ramcy, T.R.; Polineni, S.; Mohan, S. Dissolution enhancement of aceclofenac solid dispersion prepared with hydrophilic carriers by solvent evaporation method. Int. J. Res. Pharm. Chem. 2014, 4, 83–89. [Google Scholar]
- Maulvi, F.A.; Dalwadi, S.J.; Thakkar, V.T.; Soni, T.G.; Gohel, M.C.; Gandhi, T.R. Improvement of dissolution rate of aceclofenac by solid dispersion technique. Powder Technol. 2011, 207, 47–54. [Google Scholar] [CrossRef]
- Sipos, E.; Kósa, N.; Kazsoki, A.; Szabó, Z.-I.; Zelkó, R. Formulation and characterization of aceclofenac-loaded nanofiber based orally dissolving webs. Pharmaceutics 2019, 11, 417. [Google Scholar] [CrossRef] [PubMed]
- Baird, J.A.; Van Eerdenbrugh, B.; Taylor, L.S. A classification system to assess the crystallization tendency of organic molecules from undercooled melts. J. Pharm. Sci. 2010, 99, 3787–3806. [Google Scholar] [CrossRef]
- Moynihan, C.T.; Easteal, A.J.; Wilder, J.; Tucker, J. Dependence of the glass transition temperature on heating and cooling rate. J. Phys. Chem. 1974, 78, 2673–2677. [Google Scholar] [CrossRef]
- Sellarès, J.; Cañadas, J.C.; Diego, J.A.; Mudarra, M.; Belana, J. Application of the Tool–Narayanaswamy–Moynihan model to the study of the α relaxation by thermally stimulated depolarization currents. arXiv 2005. [Google Scholar] [CrossRef]
- Weyer, S.; Huth, H.; Schick, C. Application of an extended Tool–Narayanaswamy–Moynihan model. Part 2. Frequency and cooling rate dependence of glass transition from temperature modulated DSC. Polymer 2005, 46, 12240–12246. [Google Scholar] [CrossRef]
- Angell, C.A. Relaxation in liquids, polymers and plastic crystals: Strong/fragile patterns and problems. J. Non-Cryst. Solids 1991, 131, 13–31. [Google Scholar] [CrossRef]
- Böhmer, R.; Ngai, K.L.; Angell, C.A.; Plazek, D.J. Nonexponential relaxations in strong and fragile glass formers. J. Chem. Phys. 1993, 99, 4201–4209. [Google Scholar] [CrossRef]
- Drogón, A.; Skotnicki, M.; Skotnicka, A.; Pyda, M. Physical ageing of amorphous indapamide characterised by diferential scanning calorimetry. Pharmaceutics 2020, 12, 800. [Google Scholar] [CrossRef]
- Williams, G.; Watts, D.C. Non-symmetrical dielectric relaxation behaviour arising from a simple empirical decay function. Trans. Faraday Soc. 1970, 66, 80–85. [Google Scholar] [CrossRef]
- Jelsch, C.; Devi, R.N.; Noll, B.C.; Guillot, B.; Samuel, I.; Aubert, E. Aceclofenac and interactions analysis in the crystal and COX protein active site. J. Mol. Struct. 2020, 1205, 127600. [Google Scholar] [CrossRef]
- Bitay, E.; Gergely, A.L.; Szabó, Z.-I. Optimization and production of aceclofenac-loaded microfiber solid dispersion by centrifugal spinning. Pharmaceutics 2023, 15, 2256. [Google Scholar] [CrossRef] [PubMed]
- Zheng, Q.; Unruh, D.K.; Hutchins, K.M. Cocrystallization and thermal behaviors of the micropollutants gemfibrozil, aceclofenac, and bisphenol A. Cryst. Growth Des. 2022, 22, 2208–2217. [Google Scholar] [CrossRef]
- Socrates, G. Infrared and Raman Characteristic Group Frequencies, 3rd ed.; John Wiley & Sons Ltd.: Chichester, UK, 2004. [Google Scholar]
- Thakur, G.; Singh, A.; Singh, I. Chitosan-montmorillonite polymer composites: Formulation and evaluation of sustained release tablets of aceclofenac. Sci. Pharm. 2016, 84, 603–617. [Google Scholar] [CrossRef] [PubMed]
- Suresh, S.; Gunasekaran, S.; Srinivasan, S. Studies of the molecular geometry, vibrational spectra, Frontier molecular orbital, nonlinear optical and thermodynamics properties of Aceclofenac by quantum chemical calculations. Spectrochim. Acta Part A Mol. Biomol. Spectrosc. 2014, 125, 239–251. [Google Scholar] [CrossRef] [PubMed]
- Dias, C.J. Determination of a distribution of relaxation frequencies based on experimental relaxational data. Phys. Rev. B 1996, 53, 14212–14222. [Google Scholar] [CrossRef] [PubMed]
- Wübbenhorst, M.; van Turnhout, J. Analysis of complex dielectric spectra. I. One-dimensional derivative techniques and three-dimensional modelling. J. Non-Cryst. Solids 2002, 305, 40–49. [Google Scholar] [CrossRef]
- Vogel, H. Das Temperaturabhaengigkeitsgesetz der Viskositaet von Fluessigkeiten. Phys. Zeit. 1921, 22, 645–646. [Google Scholar]
- Fulcher, G.S. Analysis of Recent Measurements of the Viscosity of Glasses. J. Am. Ceram. Soc. 1925, 8, 339–355. [Google Scholar] [CrossRef]
- Tammann, G.; Hesse, G.Z. Die Abhängigkeit der Viscosität von der Temperatur bie unterkühlten Flüssigkeiten. Z Anorg. Allg. Chem. 1926, 156, 245–257. [Google Scholar] [CrossRef]
- Summerfield, S. Universal low-frequency behaviour in the a.c. hopping conductivity of disordered systems. Philos. Mag. B-Phys. Conden. Mat. Stat. Mech. Electr. Opt. Magn. Prop. 1985, 52, 9–22. [Google Scholar] [CrossRef]
- Johari, G.P.; Andersson, O. On the nonlinear variation of dc conductivity with dielectric relaxation time. J. Chem. Phys. 2006, 125, 124501. [Google Scholar] [CrossRef]
- Psurek, T.; Hensel-Bielowka, S.; Ziolo, J. Decoupling of the dc conductivity and (α-) structural relaxation time in a fragile glass-forming liquid under high pressure. J. Chem. Phys. 2002, 116, 9882–9888. [Google Scholar] [CrossRef]
- Rodrigues, A.; Viciosa, M.T.; Danède, F.; Affouard, F.; Correia, N.T. Molecular Mobility of Amorphous S-Flurbiprofen: A Dielectric Relaxation Spectroscopy Approach. Mol. Pharm. 2014, 11, 112–130. [Google Scholar] [CrossRef] [PubMed]
- Adrjanowicza, K.; Wojnarowska, Z.; Wlodarczyk, P.; Kaminskia, K.; Paluch, M.; Mazgalski, J. Molecular mobility in liquid and glassy states of Telmisartan (TEL) studied by Broadband Dielectric Spectroscopy. Eur. J. Pharm. Sci. 2009, 38, 395–404. [Google Scholar] [CrossRef] [PubMed]
- Ruiz, G.N.; Romanini, M.; Hauptmann, A.; Loerting, T.; Shalaev, E.; Tamarit, J.L.; Pardo, L.C.; Macovez, R. Genuine antiplasticizing effect of water on a glass-former drug. Sci. Rep. 2017, 7, 7470. [Google Scholar] [CrossRef]
- Diogo, H.P.; Ramos, J.J.M.; Viciosa, M.T. The slow molecular mobility in the amorphous solid and supercooled liquid phases of brucine, an anti-cancer drug. A study by differential scanning calorimetry (DSC), thermostimulated currents (TSC) and dielectric relaxation spectroscopy (DRS). J. Mol. Liq. 2023, 385, 122423. [Google Scholar] [CrossRef]
- Figari, G.; Gonçalves, J.L.M.; Diogo, H.P.; Dionísio, M.; Farinha, J.P.; Viciosa, M.T. Understanding Fenofibrate Release from Bare and Modified Mesoporous Silica Nanoparticles. Pharmaceutics 2023, 15, 1624. [Google Scholar] [CrossRef]
- Ramos, J.J.M.; Diogo, H.P. The determination of the glass transition temperature by thermally stimulated depolarization currents. Comparison with the performance of other techniques. Phase Trans. 2017, 90, 1061–1078. [Google Scholar] [CrossRef]
- Williams, G.; Landel, R.; Ferry, J.D. The temperature dependence of relaxation mechanisms in amorphous polymers and other glass forming liquids. J. Am. Chem. Soc. 1955, 77, 3701–3707. [Google Scholar] [CrossRef]
- Starkweather, H.W. Simple and complex relaxations. Macromolecules 1981, 14, 1277–1281. [Google Scholar] [CrossRef]
- Laredo, E.; Newman, D.; Pezzoli, R.; Müller, A.J.; Bello, A. A Complete TSDC Description of Molecular Mobilities in Polylactide/Starch Blends from Local to Normal Modes: Effect of Composition, Moisture, and Crystallinity. J. Polym. Sci. Part B Polym. Phys. 2016, 54, 680–691. [Google Scholar] [CrossRef]
- Gong, L.; Zhang, X.; Shi, Y.; Zhang, L. Polarization temperature effect on liquid–liquid transition and space charge detrapping behavior in atactic polystyrene by thermally stimulated depolarization current. Polym. Bull. 2012, 68, 847–857. [Google Scholar] [CrossRef]
- Mora, E.; Diogo, H.P.; Ramos, J.J.M. The features of the normal mode relaxation as studied by thermally stimulated currents. Eur. Polym. J. 2015, 64, 215–223. [Google Scholar] [CrossRef]
- Dudognon, E.; Bernès, A.; Lacabanne, C. Dielectric manifestation of the liquid–liquid transition in poly(n-alkyl methacrylates). J. Macromol. Sci. Part B—Phys. 2003, B42, 215–226. [Google Scholar] [CrossRef]
- Diogo, H.P.; Piedade, M.F.M.; Ramos, J.J.M. Structure, thermal properties and molecular mobility in cholesteryl hydrogen phthalate: Different approaches to the crystal, the glassy crystal and the mesophase. J. Mol. Struct. 2021, 1225, 129251. [Google Scholar] [CrossRef]
- Arrese-Igor, S.; Alegría, A.; Colmenero, J. Dielectric relaxation of 2-ethyl-1-hexanol around the glass transition by thermally stimulated depolarization currents. J. Chem. Phys. 2015, 142, 214504. [Google Scholar] [CrossRef] [PubMed]
- Böhmer, R.; Gainaru, C.; Richert, R. Structure and dynamics of monohydroxy alcohols—Milestones towards their microscopic understanding, 100 years after Debye. Phys. Rep. 2014, 545, 125–195. [Google Scholar] [CrossRef]
- Correia, N.T.; Ramos, J.J.M. On the cooperativity of the β-relaxation: A discussion based on dielectric relaxation and thermally stimulated depolarisation currents data. Phys. Chem. Chem. Phys. 2000, 2, 5712–5715. [Google Scholar] [CrossRef]
- Johari, G.P.; Goldstein, M. Viscous liquids and the glass transition. II. Secondary relaxations in glasses of rigid molecules. J. Chem. Phys. 1970, 53, 2372–2388. [Google Scholar] [CrossRef]
- Johari, G.P.; Goldstein, M. Viscous Liquids and the Glass Transition. III. Secondary relaxations in aliphatic alcohols and other nonrigid Molecules. J. Chem. Phys. 1971, 55, 4245–4252. [Google Scholar] [CrossRef]
- Ramos, J.J.M.; Diogo, H.P.; Pinto, S.S. Effect of physical aging on the Johari-Goldstein and relaxations of D-sorbitol: A study by thermally stimulated depolarization currents. J. Chem. Phys. 2007, 126, 144506. [Google Scholar] [CrossRef] [PubMed]
- Starzonek, S.; K-Ödzierska-Sar, A.; Drozd-Rzoska, A.; Szafran, M.; Rzoska, S.J. Unique dynamic crossover in supercooled x,3-dihydroxypropyl acrylate (x = 1, 2) isomers mixture, Eur. Polym. J. E 2018, 41, 108. [Google Scholar] [CrossRef]
- Viciosa, M.T.; Ramos, J.J.M.; Diogo, H.P. Thermal behavior and molecular mobility studies in the supercooled liquid and glassy states of carvedilol and loratadine. Int. J. Pharm. 2020, 584, 119410. [Google Scholar] [CrossRef] [PubMed]
- Ramos, J.J.M.; Correia, N.T.; Diogo, H.P.; Álvarez, C.; Ezquerra, T.A. Slow relaxations in salicylsalicylic acid studied by dielectric techniques. J. Non-Cryst. Solids 2005, 351, 3600–3606. [Google Scholar] [CrossRef]
- Kurita, R.; Tanaka, H. On the abundance and general nature of the liquid–liquid phase transition in molecular systems. J. Phys. Condens. Matter 2005, 17, L293–L302. [Google Scholar] [CrossRef]
- Cao, C.; Tang, W.; Perepezko, J.H. Liquid–liquid transition kinetics in D-mannitol. J. Chem. Phys. 2022, 157, 071101. [Google Scholar] [CrossRef] [PubMed]
- Brás, A.R.; Noronha, J.P.; Antunes, A.M.M.; Cardoso, M.M.; Schönhals, A.; Affouard, F.; Dionísio, M.; Correia, N.T. Molecular motions in amorphous ibuprofen as studied by broadband dielectric spectroscopy. J. Phys. Chem. B 2008, 112, 11087–11099. [Google Scholar] [CrossRef]
- Yardimci, H.; Leheny, R.L. Aging of the Johari-Goldstein relaxation in the glass-forming liquids sorbitol and xylitol, J. Chem. Phys. 2006, 124, 214503. [Google Scholar] [CrossRef]
- Vij, J.K.; Power, G. Physical ageing and the Johari–Goldstein relaxation in molecular glasses. J. Non-Cryst. Solids 2011, 357, 783–792. [Google Scholar] [CrossRef]
- Prevosto, D.; Capaccioli, S.; Lucchesi, M.; Rolla, P.A.; Ngai, K.L. Dynamics of supercooled and glassy dipropyleneglycol dibenzoate as functions of temperature and aging: Interpretation within the coupling model framework. J. Chem. Phys. 2004, 120, 4808–4815. [Google Scholar] [CrossRef]
- Power, G.; Vij, J.K.; Johari, G.P. Kinetics of spontaneous change in the localized motions of D-sorbitol glass. J. Chem. Phys. 2006, 124, 074509. [Google Scholar] [CrossRef]
- Ngai, K.; Paluch, M. Classification of secondary relaxation in glass-formers based on dynamic properties. J. Chem. Phys. 2004, 120, 857–873. [Google Scholar] [CrossRef] [PubMed]
- Kamińska, E.; Minecka, A.; Tarnacka, M.; Hachuła, B.; Kamiński, K.; Paluch, M. Influence of annealing in the close vicinity of Tg on the reorganization within dimers and its impact on the crystallization kinetics of gemfibrozil. Mol. Pharm. 2020, 17, 990–1000. [Google Scholar] [CrossRef] [PubMed]
- Havriliak, S.; Negami, S. A complex plane representation of dielectric and mechanical relaxation processes in some polymers. Polymer 1967, 8, 161–210. [Google Scholar] [CrossRef]
- Kremer, F.; Schönhals, A. Broadband Dielectric Spectroscopy; Springer: Berlin /Heidelberg, Germany, 2003. [Google Scholar]
- Chen, R.; Kirsh, Y. Analysis of Thermally Stimulated Processes; Pergamon Press: Oxford, UK, 1981. [Google Scholar]
- Teyssedre, G.; Lacabanne, C. Some considerations about the analysis of thermostimulated depolarization peaks. J. Phys. D Appl. Phys. 1995, 28, 1478–1487. [Google Scholar] [CrossRef]
- Ramos, J.J.M.; Viciosa, M.T.; Diogo, H.P. Thermal behaviour of two anti-inflammatory drugs (celecoxib and rofecoxib) and slow relaxation dynamics in their amorphous solid state. Comparison between the dynamic fragility obtained by dielectric spectroscopy and by thermostimulated currents. Mol. Phys. 2019, 117, 644–660. [Google Scholar] [CrossRef]













| Relaxation | αHN | βHN | T Range (°C) |
|---|---|---|---|
| γ | 0.27 ± 0.03 | 1 | [−100, 8] |
| β | 0.46 ± 0.06 | 1 | [−90, −35] |
| βJG | 0.50 ± 0.11 | 1 | [−50, 6] |
| α | 0.46 at 8 °C, to 0.77 at 70 °C | 1 | [8, 60] |
| Debye | 1 | 1 | [20, 40] |
| Relaxation | −log (τ0 (s)) | Ea (kJ∙mol−1) | |
|---|---|---|---|
| γ | 13.6 ± 0.2 | 40.3 | |
| β | 16.5 ± 0.5 | 63.9 | |
| βJG | 12.3 ± 1 | 61.4 | |
| Debye | 43.0 ± 1.4 | 236.1 | |
| −log (τ0 (s)) | B (K) | T0 (K) | |
| α * | 14.0 ± 0.5 | 1946 ± 189 | 219 ± 4 |
Disclaimer/Publisher’s Note: The statements, opinions and data contained in all publications are solely those of the individual author(s) and contributor(s) and not of MDPI and/or the editor(s). MDPI and/or the editor(s) disclaim responsibility for any injury to people or property resulting from any ideas, methods, instructions or products referred to in the content. |
© 2025 by the authors. Licensee MDPI, Basel, Switzerland. This article is an open access article distributed under the terms and conditions of the Creative Commons Attribution (CC BY) license (https://creativecommons.org/licenses/by/4.0/).
Share and Cite
Viciosa, M.T.; Moura Ramos, J.J.; Garcia, A.R.; Diogo, H.P. Dynamic Behavior of the Glassy and Supercooled Liquid States of Aceclofenac Assessed by Dielectric and Calorimetric Techniques. Molecules 2025, 30, 681. https://doi.org/10.3390/molecules30030681
Viciosa MT, Moura Ramos JJ, Garcia AR, Diogo HP. Dynamic Behavior of the Glassy and Supercooled Liquid States of Aceclofenac Assessed by Dielectric and Calorimetric Techniques. Molecules. 2025; 30(3):681. https://doi.org/10.3390/molecules30030681
Chicago/Turabian StyleViciosa, M. Teresa, Joaquim J. Moura Ramos, Ana Rosa Garcia, and Hermínio P. Diogo. 2025. "Dynamic Behavior of the Glassy and Supercooled Liquid States of Aceclofenac Assessed by Dielectric and Calorimetric Techniques" Molecules 30, no. 3: 681. https://doi.org/10.3390/molecules30030681
APA StyleViciosa, M. T., Moura Ramos, J. J., Garcia, A. R., & Diogo, H. P. (2025). Dynamic Behavior of the Glassy and Supercooled Liquid States of Aceclofenac Assessed by Dielectric and Calorimetric Techniques. Molecules, 30(3), 681. https://doi.org/10.3390/molecules30030681

