Isolation and Bioassay of Linear Veraguamides from a Marine Cyanobacterium (Okeania sp.)
Abstract
1. Introduction
2. Results and Discussion
2.1. Compound Isolation and Identification from Cyanobacterial Collection
2.2. Morphological and Phylogenetic Analysis of DUQ0008
2.3. Analysis of Veraguamides O, P, and C in Breast Cancer and HEK-293 Cells
2.4. Receptor Binding Affinity
2.5. Analysis of Overt Toxicity Due to Veraguamide C in Mice
3. Materials and Methods
3.1. General Experimental Procedures
3.2. Collection and Microscopy
3.3. 16S rRNA Gene Sequencing and Phylogenetic Analysis
3.4. Compound Extraction and Isolation
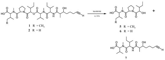
3.5. Methanolysis/Partial Hydrolysis of 1 and 2
3.6. Cell Culture
3.7. Cytotoxicity Assays
3.8. Psychoactive Drug Screening Program (PDSP) Receptor Screening
3.9. In Vivo Testing
4. Conclusions
Supplementary Materials
Author Contributions
Funding
Institutional Review Board Statement
Data Availability Statement
Acknowledgments
Conflicts of Interest
References
- Medina, R.A.; Goeger, D.E.; Hills, P.; Mooberry, S.L.; Huang, N.; Romero, L.I.; Ortega-Barria, E.; Gerwick, W.H.; McPhail, K.L. Coibamide A, a potent antiproliferative cyclic depsipeptide from the Panamanian marine cyanobacterium Leptolyngbya sp. J. Am. Chem. Soc. 2008, 130, 6324–6325. [Google Scholar] [CrossRef] [PubMed]
- Luesch, H.; Ellis, E.K.; Chen, Q.Y.; Ratnayake, R. Progress in the discovery and development of anticancer agents from marine cyanobacteria. Nat. Prod. Rep. 2025. [Google Scholar] [CrossRef] [PubMed]
- Gutierrez, M.; Tidgewell, K.; Capson, T.L.; Engene, N.; Almanza, A.; Schemies, J.; Jung, M.; Gerwick, W.H. Malyngolide dimer, a bioactive symmetric cyclodepside from the panamanian marine cyanobacterium Lyngbya majuscula. J. Nat. Prod. 2010, 73, 709–711. [Google Scholar] [CrossRef] [PubMed]
- Tripathi, A.; Puddick, J.; Prinsep, M.R.; Rottmann, M.; Tan, L.T. Lagunamides A and B: Cytotoxic and antimalarial cyclodepsipeptides from the marine cyanobacterium Lyngbya majuscula. J. Nat. Prod. 2010, 73, 1810–1814. [Google Scholar] [CrossRef]
- Alvarez-Sanchez, M.E.; Arreola, R.; Quintero-Fabian, S.; Perez-Sanchez, G. Modified peptides and organic metabolites of cyanobacterial origin with antiplasmodial properties. Int. J. Parasitol. Drugs Drug Resist. 2024, 24, 100530. [Google Scholar] [CrossRef]
- Malloy, K.L.; Villa, F.A.; Engene, N.; Matainaho, T.; Gerwick, L.; Gerwick, W.H. Malyngamide 2, an oxidized lipopeptide with nitric oxide inhibiting activity from a Papua New Guinea marine cyanobacterium. J. Nat. Prod. 2011, 74, 95–98. [Google Scholar] [CrossRef]
- Rodrigues, F.; Reis, M.; Ferreira, L.; Grosso, C.; Ferraz, R.; Vieira, M.; Vasconcelos, V.; Martins, R. The Neuroprotective Role of Cyanobacteria with Focus on the Anti-Inflammatory and Antioxidant Potential: Current Status and Perspectives. Molecules 2024, 29, 4799. [Google Scholar] [CrossRef]
- Lax, N.C.; Ahmed, K.T.; Ignatz, C.M.; Spadafora, C.; Kolber, B.J.; Tidgewell, K.J. Marine cyanobacteria-derived serotonin receptor 2C active fraction induces psychoactive behavioral effects in mice. Pharm. Biol. 2016, 54, 2723–2731. [Google Scholar] [CrossRef]
- Lax, N.C.; Parker, S.J.; Hilton, E.J.; Seliman, Y.; Tidgewell, K.J.; Kolber, B.J. Cyanobacterial extract with serotonin receptor subtype 7 (5-HT(7) R) affinity modulates depression and anxiety-like behavior in mice. Synapse 2018, 72, e22059. [Google Scholar] [CrossRef]
- Hough, A.; Criswell, C.; Faruk, A.; Cavanaugh, J.E.; Kolber, B.J.; Tidgewell, K.J. Barbamide Displays Affinity for Membrane-Bound Receptors and Impacts Store-Operated Calcium Entry in Mouse Sensory Neurons. Mar. Drugs 2023, 21, 110. [Google Scholar] [CrossRef]
- Mevers, E.; Liu, W.T.; Engene, N.; Mohimani, H.; Byrum, T.; Pevzner, P.A.; Dorrestein, P.C.; Spadafora, C.; Gerwick, W.H. Cytotoxic veraguamides, alkynyl bromide-containing cyclic depsipeptides from the marine cyanobacterium cf. Oscillatoria margaritifera. J. Nat. Prod. 2011, 74, 928–936. [Google Scholar] [CrossRef] [PubMed]
- Mi, Y.; Zhang, J.; He, S.; Yan, X. New Peptides Isolated from Marine Cyanobacteria, an Overview over the Past Decade. Mar. Drugs 2017, 15, 132. [Google Scholar] [CrossRef] [PubMed]
- Thornburg, C.C.; Cowley, E.S.; Sikorska, J.; Shaala, L.A.; Ishmael, J.E.; Youssef, D.T.; McPhail, K.L. Apratoxin H and apratoxin A sulfoxide from the Red Sea cyanobacterium Moorea producens. J. Nat. Prod. 2013, 76, 1781–1788. [Google Scholar] [CrossRef] [PubMed]
- Boudreau, P.D.; Byrum, T.; Liu, W.T.; Dorrestein, P.C.; Gerwick, W.H. Viequeamide A, a cytotoxic member of the kulolide superfamily of cyclic depsipeptides from a marine button cyanobacterium. J. Nat. Prod. 2012, 75, 1560–1570. [Google Scholar] [CrossRef]
- Simmons, T.L.; Nogle, L.M.; Media, J.; Valeriote, F.A.; Mooberry, S.L.; Gerwick, W.H. Desmethoxymajusculamide C, a cyanobacterial depsipeptide with potent cytotoxicity in both cyclic and ring-opened forms. J. Nat. Prod. 2009, 72, 1011–1016. [Google Scholar] [CrossRef]
- Zeng, M.; Tao, J.; Xu, S.; Bai, X.; Zhang, H. Marine Organisms as a Prolific Source of Bioactive Depsipeptides. Mar. Drugs 2023, 21, 120. [Google Scholar] [CrossRef]
- Salvador, L.A.; Biggs, J.S.; Paul, V.J.; Luesch, H. Veraguamides A-G, cyclic hexadepsipeptides from a dolastatin 16-producing cyanobacterium Symploca cf. hydnoides from Guam. J. Nat. Prod. 2011, 74, 917–927. [Google Scholar] [CrossRef]
- Iwasaki, A.; Ohno, O.; Sumimoto, S.; Suda, S.; Suenaga, K. Maedamide, a novel chymotrypsin inhibitor from a marine cyanobacterial assemblage of Lyngbya sp. Tetrahedron Lett. 2014, 55, 4126–4128. [Google Scholar] [CrossRef]
- Kurebayashi, J. Possible treatment strategies for triple-negative breast cancer on the basis of molecular characteristics. Breast Cancer 2009, 16, 275–280. [Google Scholar] [CrossRef]
- Anders, C.K.; Carey, L.A. Biology, metastatic patterns, and treatment of patients with triple-negative breast cancer. Clin. Breast Cancer 2009, 9 (Suppl. S2), S73–S81. [Google Scholar] [CrossRef]
- Fernandez, Y.; Cueva, J.; Palomo, A.G.; Ramos, M.; de Juan, A.; Calvo, L.; Garcia-Mata, J.; Garcia-Teijido, P.; Pelaez, I.; Garcia-Estevez, L. Novel therapeutic approaches to the treatment of metastatic breast cancer. Cancer Treat. Rev. 2010, 36, 33–42. [Google Scholar] [CrossRef] [PubMed]
- Altschul, S.F.; Gish, W.; Miller, W.; Myers, E.W.; Lipman, D.J. Basic local alignment search tool. J. Mol. Biol. 1990, 215, 403–410. [Google Scholar] [CrossRef] [PubMed]
- Engene, N.; Paul, V.J.; Byrum, T.; Gerwick, W.H.; Thor, A.; Ellisman, M.H. Five chemically rich species of tropical marine cyanobacteria of the genus Okeania gen. nov. (Oscillatoriales, Cyanoprokaryota). J. Phycol. 2013, 49, 1095–1106. [Google Scholar] [CrossRef] [PubMed]
- Sueyoshi, K.; Kaneda, M.; Sumimoto, S.; Oishi, S.; Fujii, N.; Suenaga, K.; Teruya, T. Odoamide, a cytotoxic cyclodepsipeptide from the marine cyanobacterium Okeania sp. Tetrahedron 2016, 72, 5472–5478. [Google Scholar] [CrossRef]
- Engene, N.; Gunasekera, S.P.; Gerwick, W.H.; Paul, V.J. Phylogenetic inferences reveal a large extent of novel biodiversity in chemically rich tropical marine cyanobacteria. Appl. Environ. Microbiol. 2013, 79, 1882–1888. [Google Scholar] [CrossRef]
- Besnard, J.; Ruda, G.F.; Setola, V.; Abecassis, K.; Rodriguiz, R.M.; Huang, X.P.; Norval, S.; Sassano, M.F.; Shin, A.I.; Webster, L.A.; et al. Automated design of ligands to polypharmacological profiles. Nature 2012, 492, 215–220. [Google Scholar] [CrossRef]
- Cantonero, C.; Camello, P.J.; Abate, C.; Berardi, F.; Salido, G.M.; Rosado, J.A.; Redondo, P.C. NO1, a New Sigma 2 Receptor/TMEM97 Fluorescent Ligand, Downregulates SOCE and Promotes Apoptosis in the Triple Negative Breast Cancer Cell Lines. Cancers 2020, 12, 257. [Google Scholar] [CrossRef]
- Cantonero, C.; Camello, P.J.; Salido, G.M.; Rosado, J.A.; Redondo, P.C. TMEM97 facilitates the activation of SOCE by downregulating the association of cholesterol to Orai1 in MDA-MB-231 cells. Biochim. Biophys. Acta Mol. Cell Biol. Lipids 2021, 1866, 158906. [Google Scholar] [CrossRef]
- Yousuf, M.S.; Sahn, J.J.; Yang, H.; David, E.T.; Shiers, S.; Mancilla Moreno, M.; Iketem, J.; Royer, D.M.; Garcia, C.D.; Zhang, J.; et al. Highly specific sigma(2)R/TMEM97 ligand FEM-1689 alleviates neuropathic pain and inhibits the integrated stress response. Proc. Natl. Acad. Sci. USA 2023, 120, e2306090120. [Google Scholar] [CrossRef]
- Colom-Cadena, M.; Toombs, J.; Simzer, E.; Holt, K.; McGeachan, R.; Tulloch, J.; Jackson, R.J.; Catterson, J.H.; Spires-Jones, M.P.; Rose, J.; et al. Transmembrane protein 97 is a potential synaptic amyloid beta receptor in human Alzheimer’s disease. Acta Neuropathol. 2024, 147, 32. [Google Scholar] [CrossRef]
- Hong, V.M.; Rade, A.D.; Yan, M.; Bhaskara, A.; Yousuf, M.S.; Chen, M.; Martin, S.F.; Liebl, D.J.; Price, T.J.; Kolber, B.J. Loss of sigma-2 receptor/TMEM97 is associated with neuropathic injury-induced depression-like behaviors in female mice. eNeuro 2024, 11, 0488-23. [Google Scholar] [CrossRef] [PubMed]
- Scott, L.L.; Sahn, J.J.; Ferragud, A.; Yen, R.C.; Satarasinghe, P.N.; Wood, M.D.; Hodges, T.R.; Shi, T.; Prakash, B.A.; Friese, K.M.; et al. Small molecule modulators of sigma2R/Tmem97 reduce alcohol withdrawal-induced behaviors. Neuropsychopharmacology 2018, 43, 1867–1875. [Google Scholar] [CrossRef] [PubMed]
- Engene, N.; Cameron Coates, R.; Gerwick, W.H. 16S rRNA Gene Heterogeneity in the Filamentous Marine Cyanobacterial Genus Lyngbya1. J. Phycol. 2010, 46, 591–601. [Google Scholar] [CrossRef]
- Nubel, U.; Garcia-Pichel, F.; Muyzer, G. PCR primers to amplify 16S rRNA genes from cyanobacteria. Appl. Environ. Microbiol. 1997, 63, 3327–3332. [Google Scholar] [CrossRef]
- Hall, B.G. Building phylogenetic trees from molecular data with MEGA. Mol. Biol. Evol. 2013, 30, 1229–1235. [Google Scholar] [CrossRef]
- Glascock, J.J.; Osman, E.Y.; Coady, T.H.; Rose, F.F.; Shababi, M.; Lorson, C.L. Delivery of therapeutic agents through intracerebroventricular (ICV) and intravenous (IV) injection in mice. J. Vis. Exp. 2011, 56, 2968. [Google Scholar] [CrossRef]
- Lewter, L.A.; Johnson, M.C.; Treat, A.C.; Kassick, A.J.; Averick, S.; Kolber, B.J. Slow-sustained delivery of naloxone reduces typical naloxone-induced precipitated opioid withdrawal effects in male morphine-dependent mice. J. Neurosci. Res. 2022, 100, 339–352. [Google Scholar] [CrossRef]





| 1 | 2 | ||||||
|---|---|---|---|---|---|---|---|
| Residue | Pos. | δC, Type | δH (J in Hz) | HMBC a | δC | δH (J in Hz) | HMBC a |
| N-Me-Ile d/ | 1. | 170.3, C | 170.3 | ||||
| N-Me-Val e-1 | 2. | 61.5, CH | 4.67, d (10.7) | 7 | 61.5 | 4.70 | |
| 3. | 32.6, CH | 2.01, m | 27.1 | 2.23 | |||
| 4. | 24.6, CH2 | 1.15 | - | - | |||
| 5. | 15.1, CH3 | 0.97 | 2, 3, 4 | 19.0 | 0.90 | 2, 3, 6 | |
| 6. | 9.9, CH3 | 0.87 | 3, 4 | 18.1 | 0.80 | 2, 3, 5 | |
| 7. | 31.7, CH3, | 3.06, s | 2, 8 | 31.6 | 3.06, s | 8 | |
| Pro | 8. | 173.1, C | 172.9 | ||||
| 9. | 56.8, CH | 4.79, q (8.1, 5.2) | 56.7 | 4.80 | |||
| 10. | 28.2, CH2 | 1.76, m | 28.2 | 1.79, m | |||
| 11. | 24.5, CH2 | 2.23, 2.09 | 24.5 | 2.22, 2.08 | |||
| 12. | 47.2, CH2 | 3.83, m 3.60 c | 47.0 | 3.82, m 3.61 c | |||
| Hmpa | 13. | 170.3, C | 170.3 | ||||
| 14. | 76.5, CH | 4.95 | 13, 15, 16, 18 | 76.2 | 4.90 | ||
| 15. | 36.2, CH | 1.93 b | 36.0 | 1.93 b | |||
| 16. | 24.1, CH2 | 1.67, s | 23.8 | 1.67 | |||
| 17. | 10.4, CH3 | 0.89 | 15, 16 | 10.3 | 0.89 | 15, 16 | |
| 18. | 14.0, CH3 | 1.00 | 14, 15, 16 | 13.8 | 0.99 | 14, 15, 16 | |
| N-Me-Val-2 | 19. | 170.1, C | 170.3 | ||||
| 20. | 61.7, CH | 4.87, d (10.7) | 19, 21, 23, 24 | 61.6 | 4.86, d (10.6) | 19, 21 | |
| 21. | 27.1, CH | 2.23 | 27.1 | 2.26 | |||
| 22. | 19.1, CH3 | 0.99 | 20, 21, 23 | 19.0 | 0.99 | 20, 21, 23 | |
| 23. | 17.9, CH3 | 0.79, d (6.7) | 20, 21, 22 | 18.1 | 0.79 | 20, 21, 23 | |
| 24. | 31.3, CH3 | 3.11, s | 20, 25 | 31.4 | 3.12 | 20 | |
| Ile | 25. | 173.1, C | 173.0 | ||||
| 26. | 52.9, CH | 4.70 c | 25, 27, 31 | 52.8 | 4.70, m | ||
| 27. | 36.9, CH | 1.81, m | 36.8 | 1.83, m | |||
| 28. | 24.5, CH2 | 1.57, 1.15 | 24.5 | 1.59, 1.17 | |||
| 29. | 10.4, CH3 | 0.90 | 10.3 | 0.90 | 27, 28 | ||
| 30. | 14.9, CH3 | 0.90 | 26 | 14.9 | 0.91 | 26, 27, 28 | |
| Hmoya | 31. | 175.6, C | 175.5 | ||||
| 32. | 45.4, CH | 2.35, m | 31, 33 | 45.1 | 2.34, m | 31, 39 | |
| 33. | 71.7, CH | 3.60, m | 71.6 | 3.61, m | |||
| 34. | 32.8, CH2 | 1.42 | 32.7 | 1.41 | |||
| 35. | 24.6, CH2 | 1.67, 1.48 | 24.9 | 1.67, 1.47 | |||
| 36. | 17.9, CH2 | 2.19 | 34, 35, 37 | 17.7 | 2.18 | 34, 35, 37, 38 | |
| 37. | 84.4, C | 84.5 | |||||
| 38. | 68.7, CH | 2.16 b | 37 | 68.7 | 2.16 b | ||
| 39. | 12.1, CH3 | 1.09, d (6.6) | 31, 32, 33 | 11.9 | 1.10, d (6.6) | 31, 32, 33 | |
| NH | 6.82, d (9.0) | 6.81, d (8.6) | |||||
| OH | 3.43 | 34 | |||||
| Primary: Percent Inhibition of Binding | Secondary: IC50 | |
|---|---|---|
| Fraction G | 60% | 1085 ng/mL |
| Fraction H | 54% | 1874 ng/mL |
| Fraction I | 68% | 424 ng/mL |
| Veraguamide C (3) | 65% | 316 nM |
| Veraguamide O (1) | 87% | 721 nM |
Disclaimer/Publisher’s Note: The statements, opinions and data contained in all publications are solely those of the individual author(s) and contributor(s) and not of MDPI and/or the editor(s). MDPI and/or the editor(s) disclaim responsibility for any injury to people or property resulting from any ideas, methods, instructions or products referred to in the content. |
© 2025 by the authors. Licensee MDPI, Basel, Switzerland. This article is an open access article distributed under the terms and conditions of the Creative Commons Attribution (CC BY) license (https://creativecommons.org/licenses/by/4.0/).
Share and Cite
Parker, S.-A.J.; Hough, A.; Wright, T.; Lax, N.; Faruk, A.; Fofie, C.K.; Simcik, R.D.; Cavanaugh, J.E.; Kolber, B.J.; Tidgewell, K.J. Isolation and Bioassay of Linear Veraguamides from a Marine Cyanobacterium (Okeania sp.). Molecules 2025, 30, 680. https://doi.org/10.3390/molecules30030680
Parker S-AJ, Hough A, Wright T, Lax N, Faruk A, Fofie CK, Simcik RD, Cavanaugh JE, Kolber BJ, Tidgewell KJ. Isolation and Bioassay of Linear Veraguamides from a Marine Cyanobacterium (Okeania sp.). Molecules. 2025; 30(3):680. https://doi.org/10.3390/molecules30030680
Chicago/Turabian StyleParker, Stacy-Ann J., Andrea Hough, Thomas Wright, Neil Lax, Asef Faruk, Christian K. Fofie, Rebekah D. Simcik, Jane E. Cavanaugh, Benedict J. Kolber, and Kevin J. Tidgewell. 2025. "Isolation and Bioassay of Linear Veraguamides from a Marine Cyanobacterium (Okeania sp.)" Molecules 30, no. 3: 680. https://doi.org/10.3390/molecules30030680
APA StyleParker, S.-A. J., Hough, A., Wright, T., Lax, N., Faruk, A., Fofie, C. K., Simcik, R. D., Cavanaugh, J. E., Kolber, B. J., & Tidgewell, K. J. (2025). Isolation and Bioassay of Linear Veraguamides from a Marine Cyanobacterium (Okeania sp.). Molecules, 30(3), 680. https://doi.org/10.3390/molecules30030680

