Next Article in Journal
Melatonin Pre-Treatment Protects Erythrocytes Against Subsequent Oxidative Damage
Next Article in Special Issue
HOF•CH3CN—The Most Potent Oxygen Transfer Agent for a Large Variety of Organic Molecules
Previous Article in Journal
Phytochemical Profile and Biological Activities of the Endemic Thymbra nabateorum Occurring in AlUla County, NW Saudi Arabia
Previous Article in Special Issue
The Current State-of-the-Art of the Processes Involved in the Chemical Recycling of Textile Waste
 
 
Font Type:
Arial Georgia Verdana
Font Size:
Aa Aa Aa
Line Spacing:
Column Width:
Background:
Review

Recent Developments in Stereoselective Reactions of Sulfoxonium Ylides

by
Ciarán O’Shaughnessy
1,
Mukulesh Mondal
2 and
Nessan J. Kerrigan
1,*
1
School of Chemical Sciences, Dublin City University, Glasnevin, D09 V209 Dublin, Ireland
2
Department of Chemistry, Oakland University, Rochester, MI 40309, USA
*
Author to whom correspondence should be addressed.
Molecules 2025, 30(3), 655; https://doi.org/10.3390/molecules30030655
Submission received: 12 December 2024 / Revised: 21 January 2025 / Accepted: 28 January 2025 / Published: 1 February 2025
(This article belongs to the Special Issue Featured Reviews in Organic Chemistry 2025)

Abstract

This review probes the recent developments in stereoselective reactions within the area of sulfoxonium ylide chemistry since the early 2000s. An abundance of research has been applied to sulfoxonium ylide chemistry since its emergence in the early 1960s. There has been a continued effort since then with work in traditional areas, such as epoxidation, aziridination and cyclopropanation. Efforts have also been applied in novel areas, such as olefination and insertion reactions, to develop stereoselective methodologies using organocatalysis and transition metal catalysis. The growing research area of interrupted Johnson–Corey–Chaykovsky reactions is also described, whereby unexpected stereoselective cyclopropanation and epoxidation methodologies have been developed. In general, the most observed mechanistic pathway of sulfoxonium ylides is the formal cycloaddition: (2 + 1) (e.g., epoxides, cyclopropanes, aziridines), (3 + 1) (e.g., oxetanes, azetidines), (4 + 1) (e.g., indanones, indolines). This pathway involves the formation of a zwitterionic intermediate through nucleophilic addition of the carbanion to an electrophilic site. An intramolecular cyclization occurs, constructing the cyclic product. Insertion reactions of sulfoxonium ylides to X–H bonds (e.g., X = S, N or P) are also observed, whereby protonation of the carbanion is followed by a nucleophilic addition of X, to form the inserted product.

1. Introduction

Sulfur ylides were first discovered in the 1930s by Jessop and Ingold, and the further use and exploration of sulfur ylides through the synthesis of epoxides was initially observed by A.W. Johnson, discovering the interesting methylene transfer properties of sulfonium ylides to aldehydes [1,2]. This was further probed by Corey and Chaykovsky in the 1960s through the use of both sulfonium and sulfoxonium ylides in reaction with aldehydes and ketones [3,4,5]. Sulfur ylides can be divided into two categories, depending on the oxidation number of the sulfur: sulfonium ylides and sulfoxonium ylides. The neighboring carbanion of a sulfonium ylide is a better nucleophile due to the instability of the ylide in comparison to its sulfoxonium ylide counterpart, which is more stable due to stabilization by delocalization in addition to electrostatic interactions. However, sulfoxonium ylides have more efficient leaving group ability through the sulfoxide group’s propensity to leave. In terms of structural properties contributing to stability, sulfur ylides with electron-withdrawing groups adjacent to the carbanion are described as ‘stabilized sulfur ylides’. The most common sulfoxonium ylide used in synthesis, dimethylsulfoxonium methylide, 2, is unstabilized, as there are no deactivating groups adjacent to the carbanion in addition to the sulfoxonium group. When comparing unstabilized sulfoxonium ylides and unstabilized sulfonium ylides, Corey and Chaykovsky discovered the former to be stable at room temperature in THF for several days, while the latter decomposed under the same conditions after a few minutes [5].
The Johnson–Corey–Chaykovsky reaction pioneered an effective reaction pathway to synthesize three-membered heterocycles and carbocycles (Scheme 1). A sulfur ylide is prepared by deprotonation from the α-position of the sulfonium/sulfoxonium salt. Due to the potential of the positively charged sulfonium/sulfoxonium group to stabilize an adjacent carbanion, this increases the acidity of α-protons. In general, sulfur ylides react via formal cycloadditions, initially through nucleophilic addition to an electrophile forming a betaine intermediate which intramolecularly cyclizes to form a desired 3-membered heterocycle or carbocycle, with concomitant cleavage of dimethylsulfide or dimethylsulfoxide (DMSO). Therefore, the Johnson–Corey–Chaykovsky reaction transforms aldehydes, ketones, imines and alkenes into epoxides, aziridines and cyclopropanes, respectively, via a methylene transfer from sulfur ylides [6,7,8].
Corey and Chaykovsky observed a notable reactivity difference when comparing the methylene transfer pathways of sulfoxonium ylides and sulfonium ylides in reaction with α,β-unsaturated carbonyl compounds [4,5]. Methylene transfer to a carbon–carbon double bond resulting in a cyclopropane appeared to be favored over the formation of an epoxide. This chemoselectivity switch to favor reaction at the β-site (1,4-addition) over the carbonyl site (1,2-addition) initially came as a surprise. However, when probing dimethylsulfonium methylide and dimethylsulfoxonium methylide individually against chalcone, 3, and against carvone, 4, it was found that sulfonium ylides favored the epoxidation reaction and sulfoxonium ylides favored cyclopropanation (Scheme 2). Unstable sulfonium ylides prefer methylene transfer to the carbonyl, whereas the more stabilized sulfoxonium ylides enable methylene transfer to the activated alkene (β-position). It was also determined that stabilized sulfonium ylides can enable cyclopropanation to occur [5,8,9]. Sulfoxonium ylides are softer nucleophiles than unstabilized sulfonium ylides. As a result, the α,β-unsaturated carbonyl more readily undergoes 1,4-addition at the alkene double bond (softer electrophilic site), than 1,2-addition at the carbonyl group. In contrast, unstabilized sulfonium ylides are harder nucleophiles than sulfoxonium ylides and will form an epoxide when reacting with a carbonyl group of an α,β-unsaturated carbonyl.
In addition to carbon-substituted sulfoxonium ylides, C.R. Johnson and colleagues explored the reactivity of α-aminosulfoxonium ylides in reaction with aldehydes, α,β-unsaturated esters, acyl chlorides and isocyanates [10]. In analogous fashion to the preparation of dimethylsulfoxonium methylide, α-aminosulfoxonium ylides can be prepared by deprotonation of the corresponding aminosulfoxonium salts using sodium hydride in DMSO and, in turn, they can be utilized to synthesize desired products, such as epoxides, cyclopropanes and aziridines (Scheme 3). Apart from offering an alternative methodology to synthesize these desired products, α-aminosulfoxonium ylides 6 formed from their parent salt 5 are more stable, can be prepared under milder conditions than their carbon-based sulfoxonium and sulfonium ylide analogues, and provide a better leaving group in the sulfinamide (compared to DMSO from sulfoxonium salts). Johnson showed that the epoxidation of p-chlorobenzaldehyde proceeded in a reasonable yield (60%) and that the chemoselective cyclopropanation of chalcone 3 went with full conversion (100%). The carbon–hydrogen bond functionalization of α-aminosulfoxonium ylides was also exhibited in reaction with benzoyl chloride.
The described review focuses on stereoselective advances in the area of sulfoxonium ylide chemistry over the last decade, elaborating and broadening discussions made in previous reviews and documenting recent progressions [6,7,8].

2. Special Characteristics of Sulfoxonium Ylides

Sulfoxonium ylides are typically drawn in one of two canonical forms: ylide and ylene. The resonance hybrid structures are represented in Scheme 4. The true form of the sulfoxonium ylide exists somewhere between the two [6,7].
The synthetic capabilities of sulfur ylides have been extensively explored over the years due to the excellent leaving group ability of sulfides/sulfoxides allowing for a prompt synthesis of epoxides, aziridines or cyclopropanes as the carbon–sulfur bond is comparatively weak [11,12,13,14,15]. In addition to this desired attribute, sulfur ylides have a relatively high degree of stability when compared to their ammonium ylide or oxonium ylide analogues and hold a comparable stability to phosphorus ylides. Organic chemists have held a strong interest in the chemistry of sulfur and the element’s innate ability to stabilize a neighboring carbanion. The initial theory proposed to explain this stabilizing ability was the potential of the filled lone pair orbital (n) of the carbanion to delocalize into vacant d-orbitals [11,12,13,14,15,16]. However, since computational studies were carried out, the most accepted theory behind the element’s ability to stabilize a neighboring carbanion has been attributed to two factors. The first factor is the electrostatic attraction of the positively charged sulfur atom and the negatively charged carbanion. The second factor that is proposed to create stabilization is the negative hyperconjugation through overlapping orbitals, between the filled lone pair orbital (n) and the σ* orbital of the carbon–sulfur bond [11,12,13,14,15,17,18,19].
Therefore, the ability to stabilize an adjacent carbanion along with the DMSO/sulfinamide functioning as an effective leaving group has allowed sulfoxonium ylides to attract a great deal of attention. Along with stabilizing ability and good leaving group ability, sulfoxonium ylides possess an effective blend of good nucleophilicity coupled with lower basicity when compared to the extreme case of unstabilized carbanions, such as organolithium reagents (e.g., RLi), which are better nucleophiles but also possess a much higher degree of basicity. High basicity frequently leads to unwanted side reactions (e.g., elimination reactions). The pKa values of methyl-substituted sulfonium and sulfoxonium salts are 16–18 in DMSO, whereas for methyl-substituted phosphonium and ammonium salts, the pKa is >20 in DMSO [20,21,22,23]. 3-Exo-tet cyclization reactions involving sulfur ylides, such as epoxidation or cyclopropanation, are made possible as a result of sulfides’ and sulfoxides’ general stability/good leaving group ability, in contrast to phosphine and amine leaving groups where these transformations do not readily occur [24].

3. Synthesis of Sulfoxonium Ylides

The most common and recognizable sulfoxonium ylide used in organic synthesis is dimethylsulfoxonium methylide 2, which is formed by base deprotonation of an acidic α-hydrogen of trimethylsulfoxonium iodide 1 [3,4,5]. Through the work of Kuhn and Trischmann, the formation of trimethylsulfoxonium iodide 1 was observed in an insertion reaction (SN2) between DMSO 7 and methyl iodide (Scheme 5) [25,26]. The follow-up reaction to prepare the ylide involves the deprotonation of a methyl group to form a carbanion, which is stabilized by the neighboring positively charged sulfoxonium group. This can alternatively be represented as a methylide (ylene form) as discussed earlier (Scheme 4). Dimethylsulfoxonium methylide 2 is considered an ‘unstabilized’ sulfoxonium ylide; however, there have been many methods developed to prepare ‘stabilized’ sulfoxonium ylides. In effect, stabilizing an ylide requires the addition of another deactivating functional group β to the sulfoxonium group.
In 2017, Vaitla and colleagues developed a methodology to prepare sulfoxonium ylides with keto and ester groups, which are substituted at the α-position from sulfoxides and bis-substituted methanes through rhodium catalysis (Scheme 6) [27]. The reaction proceeds through the in situ formation of an iodonium ylide 9 from iodosobenzene diacetate 8 and the β-dicarbonyl substrate under basic conditions. Following this, the iodonium ylide reacts with rhodium(II) acetate to form a rhodium-carbene complex 10, which reacts with DMSO 7 or a differentially substituted sulfoxide to form a sulfoxonium ylide disubstituted at the α-position 11. The most effective reaction conditions were when the reaction was carried out in a microwave at 100 °C for 5 min, using magnesium oxide in 1,2-dichloroethane. This reaction provided 27 examples with yields of up to 81%, with reasonable substrate scope tolerance [27].
Burtoloso and colleagues provided a new synthetic pathway to form pro-chiral α-aryl-α-carbonyl sulfoxonium ylides 14 using the cross-coupling of arenes 12 and sulfoxonium ylides 13, with keto, ester or amide groups substituted at the α-position of the methylide (Scheme 7) [28]. The optimal conditions to carry out this cross-coupling reaction were found to utilize CsF to aid the formation of benzyne in CH3CN using molecular sieves (4 Å) at 65 °C for 3 h, with a molar ratio of 1:1 of arene 12 to sulfoxonium ylide 13. The mechanism is proposed to proceed via the formation of an aryne through the use of fluoride displacing the trimethylsilyl group and hence promoting triple-bond formation by elimination of the triflate group. Following this, benzyne reacts with the sulfoxonium ylide to form pro-chiral α-aryl-α-carbonyl sulfoxonium ylides 14. These new sulfoxonium ylides hold the potential to engage in stereoselective reactions due to this prochirality. This methodology was observed to have a broad substrate scope, displaying 40 examples with reaction yields of up to 85% [28].
In 2020, Zou and colleagues reported a new methodology to synthesize α,α,β-tricarbonyl sulfoxonium ylides 11a through a copper-catalyzed homocoupling of α-ketosulfoxonium ylides 13 [29]. The proposed reaction mechanism starts with an initial oxidation of the copper catalyst, followed by the formation of a copper carbene intermediate through reaction with an α-ketosulfoxonium ylide 13, with cleavage of DMSO 7. The carbene intermediate inserts into a second molecule of α-ketosulfoxonium ylide, releasing the copper catalyst. The sulfoxonium ylide intermediate undergoes oxidation in the presence of molecular oxygen to form a hydroperoxide group α to the ylidic carbon. Following a dehydration step, an α,α,β-tricarbonyl sulfoxonium ylide 11a is formed (Scheme 8).
The methodology functioned most effectively in dioxane at 90 °C for 12 h under an oxygen atmosphere, using 10 mol% of copper(II) acetate and 10 mol% of silver(I) trifluoroacetate. The novel prochiral sulfoxonium ylides prepared in this methodology hold excellent potential for stereoselective reactions. This paper reported 25 examples with yields of up to 82% and displayed moderate tolerance of aryl electronic variation [29].
Szostak and Rahman introduced a methodology to synthesize α-ketosulfoxonium ylides 13 from trimethylsulfoxonium iodides 1 and protected amides 15 under basic conditions (Scheme 9) [30]. The reaction proceeds through a selective N–C(O) cleavage by nucleophilic addition of dimethylsulfoxonium methylide 2 to the protected amide (methylide:amide in a 3:1 molar ratio). The optimal reaction conditions were observed to involve THF as solvent, with an initial ylide preparation step at 65 °C for 2 h, followed by 15 h at 23 °C to prepare the α-ketosulfoxonium ylide product 13. The methodology displayed broad scope for the preparation of aryl, heteroaryl and alkyl ketosulfoxonium ylides, with 28 examples in reaction yields of up to 98%.
In 2023, Pandey and colleagues showed through the reaction of α-ketosulfoxonium ylides 13 and isocyanates that α-keto-α-amide sulfoxonium ylides 16 could be prepared under mild conditions (Scheme 10) [31]. The reaction proceeds through an initial nucleophilic addition of the sulfoxonium ylide to the electrophilic carbon-center of the isocyanate, followed by a proton transfer, which results in amide substitution at the α-position. The desired bis-substituted sulfoxonium ylide product 16 holds potential to construct further promising chiral centers. The reaction was found to perform most effectively in THF for 8 h at room temperature under inert conditions. The optimal molar ratio was observed to be a 1.5:1 ratio of isocyanate to sulfoxonium ylide for the most desirable results. The synthesized α-keto-α-amide sulfoxonium ylides 16 held a wide range of keto and amide functionalization, where alkyl, aryl and heteroaryl groups were found to be tolerated. The reaction showed a broad substrate scope with 32 examples and reaction yields of up to 95% [31].
In recent years, chemists have looked to palladium catalysis as a tool to prepare sulfoxonium ylides. Wu and Yuan developed a method to prepare α,α-dicarbonylsulfoxonium ylides from aryl halides (or aryl triflates) and α-ketosulfoxonium ylides (or α-estersulfoxonium ylides) (Scheme 11) [32]. The methodology utilizes carbon monoxide (10 bar) as a C1 source for carbonylation. For the palladium-catalyzed carbonylation of α-estersulfoxonium ylides, the optimal reaction conditions were reported as employing 5 mol% of palladium(II) acetate, 10 mol% of bis[(2-phenylphosphino)phenyl] ether (DPEphos) and 1.1 equivalents of caesium carbonate in CH3CN at 100 °C for 20 h with carbon monoxide. The reaction performed optimally with 2.5 mol% of the palladium catalyst, 5.0 mol% of ligand and at 80 °C when a series of α-ketosulfoxonium ylides were probed. This methodology was observed to have a broad substrate scope, displaying 50 examples of 11b with reaction yields of up to 97%. It, in particular, displayed a wide tolerance for aryl halides and aryl triflates, where both electron-withdrawing and electron-donating groups (EWG/EDG) performed successfully against a wide range of α-ester sulfoxonium ylides and α-keto sulfoxonium ylides. In 2020, Wu and colleagues developed another palladium-catalyzed carbonylation to synthesize α-carbonyl-α-amidesulfoxonium ylides from aryl azides and α-keto or α-estersulfoxonium ylides, showing 39 examples of 16 with reaction yields of up to 98% [33]. In the case, the ligand utilized was dicyclohexyl [2′,4′,6′-tris(propan-2-yl)[1,1′-biphenyl]-2-yl]phosphane (XPhos). The reaction displayed tolerance of activated and deactivated aryl azides with reaction yields in the range of 68–98%.
A methodology to synthesize cyclic sulfoxonium ylides 17 was reported in 2023 by Aïssa and colleagues through the intramolecular arylation of sulfoxonium ylides 13a (Scheme 12) [34,35,36]. The reaction mechanism was expected to proceed via a palladium-catalyzed coupling of the aryl halide and ylide moieties in the sulfoxonium ylide 13. The palladium catalyst oxidatively adds or inserts into the Ar–Br bond initially. The cyclic sulfoxonium ylide 17 forms through reductive elimination of a Pd(Ar)(sulfoxonium ylide) intermediate. The best reaction result was observed using 5 mol% of tris(dibenzylideneacetone)dipalladium(0), 10 mol% of XPhos and 1.1 equivalents of caesium carbonate in CH3CN in 80 °C for 16 h. The methodology performed successfully for 12 examples with reaction yields of up to 99%, permitting the synthesis of new compounds of substituted benzene fused to γ-lactones, δ-lactones, ω-lactones, cyclopentanones and cyclohexanones [34,35,36].
In recent times, the use of visible light in the formation of α-estersulfoxonium ylides and β-ketosulfoxonium ylides from α-diazoesters and α-diazoketones, respectively, has been explored with great success. Jurberg and colleagues developed a methodology to synthesize α-aryl-α-estersulfoxonium ylides 14a from DMSO 7 and an α-estercarbene 19 derived from α-diazoester 18 using blue LED light, reporting 24 examples with reaction yields of up to 66% (Scheme 13) [37]. The blue light-induced formation of α-aryl-α-estersulfoxonium ylides 14a was observed to perform most optimally in CH2Cl2 at room temperature under air for 12 h.
In 2021, Bhat and colleagues developed a similar methodology to synthesize α-aryl-α-estersulfoxonium ylides 14a with the use of 1,4-diazabicyclo[2.2.2]octane (DABCO) under Ar using blue light (15W) for 14–24 h depending upon the substrate (Scheme 14) [38]. Indeed, 47 examples were reported with reaction yields of up to 87%.
In 2022, Burtoloso and colleagues reported a violet light-induced C-H functionalization of α-ketosulfoxonium ylides 13 by α-diazoketones 21 to form to α,α-diketosulfoxonium ylides 11b (Scheme 15) [39]. This method demonstrated a broad substrate scope with 33 examples and reaction yields of up to 90%. The synthesis was developed to perform under both continuous flow (28 min) and batch (16 h) conditions. Both modes functioned using a 15W violet LED (400 nm) in EtOAc. The mechanism proceeds through an initial Wolff rearrangement of α-diazoketone 21 to a ketene, which undergoes nucleophilic attack by the α-ketosulfoxonium ylide 13. Subsequently, an acidic α-hydrogen undergoes a proton transfer to form the α,α-diketosulfoxonium ylide 11b.

4. Reactions of Sulfoxonium Ylides

4.1. Epoxidation

A recent development in stereoselective epoxidation reactions came from an unexpected area of sulfoxonium ylide chemistry. The quickly developing area of interrupted Johnson–Corey–Chaykovsky reactions has seen recent successes in mostly stereoselective cyclopropanation reactions [40,41,42]. However, success has also been observed in stereoselective epoxidation reactions [43]. In 2024, Ramasastry and colleagues developed an interrupted Johnson–Corey–Chaykovsky reaction methodology involving the unexpected formation of 2,3-epoxyhexahydrofluoren-9-ones 23 from tethered bis-enones 22 (Scheme 16) [43]. In the majority of reactions of dimethylsulfoxonium methylide and tethered bis-enone, the expected cyclopropanation of either α,β-unsaturated ketone group is not observed. The reaction proceeds through the expected 1,4-addition of ylide 2 to the methylene of 22, as opposed to the competing methine. Another, and unexpected, conjugate addition occurs to the methine resulting in an arene-fused cyclopentanone A. The ketone group reforms through a 1,5-H+-transfer, resulting in another sulfoxonium ylide B. A hexahydrofluorenone C is formed through a nucleophilic addition reaction whereby the α-carbanion adjacent to the sulfoxonium group acts as a nucleophile to attack the carbonyl group of the ketone. Epoxidation occurs through the quick cleavage of DMSO 7, resulting in 2,3-epoxyhexahydrofluoren-9-one 23.
The initial investigation started with optimization of the reaction. They probed the reaction of 22 and dimethylsulfoxonium methylide 2 using different bases and solvent systems at room temperature for 5–10 min. The reaction proceeded best in terms of yield and diastereoselectivity (dr) in DMF using 1.2 equivalents of a base. Bases included NaH (84%, dr 2:1), potassium t-butoxide (63%, dr 1.7:1), caesium carbonate (76%, dr 1.7:1) and lithium bis(trimethylsilyl)amide (65%, dr 3.5:1). The reaction proceeded moderately in CH3CN using NaH (66%, dr 1.3:1). Poor yield and diastereoselectivity was observed when NaH was tested in THF (19%, dr 1:1) and 1,4-dioxane (22%, dr 1:1) and no reaction was observed when Et3N and 1,1,3,3-tetramethylguanidine were explored in DMF. Despite lithium bis(trimethylsilyl)amide enabling the best diastereoselectivity, the combination of NaH in DMF at room temperature was found to be the most effective overall.
The scope of the reaction was examined, resulting in 23 examples with reaction yields of up to 84% and diastereoselectivity of up to 3:1 (Scheme 17, Table 1). The R1 substituent responded well when substituted with alkyl groups and sterically large alkyl groups bonded to phenyl rings. The arene backbone was investigated, the R2 substituent was found to be tolerant of naphthalene, activated aryls and deactivated aryls bearing fluorine. The R4 substituent performed well where aliphatic ketones and aryl ketones were probed. Both activated and deactivated aryl ketones were tolerated. In most cases, the R3 substituent remained a hydrogen atom, however, a methyl group was tolerated in one example, resulting in two contiguous chiral quaternary carbon centres being formed.

4.2. Aziridination

An aziridine is a three-membered nitrogen-containing heterocycle of considerable interest in terms of organic synthesis due to its potential role in performing as a precursor to complex bioactive molecules. Considering ring strain exists within the atoms of the heterocycle, this can provide a way to interesting synthetic pathways which could potentially formulate structurally important pharmaceuticals. The chemistry pertaining to the field of aziridine synthesis has followed many avenues since the first synthesis by Gabriel in 1888 [44,45,46,47,48,49,50,51]. Aziridines are susceptible to ring opening reactions due to the ring strain and the polarized nature of the carbon–nitrogen bond. Aziridines have the capability of partaking in stereoselective ring-opening reactions and cycloadditions, similar to their epoxide analogues, resulting in structurally interesting heterocycles [46,47,48,49,50,51]. Due to the fact that stereoselective aziridination methodologies are sparse and lacking in efficacy, aziridines are less commonly used in synthetic applications compared to their epoxide counterparts [52,53,54]. The utility of sulfonium ylides and sulfoxonium ylides in facilitating asymmetric aziridinations has been described in several reviews in previous years [8,55,56,57,58,59,60,61,62,63]. In analogous fashion to epoxidation, the reaction proceeds through a zwitterionic intermediate formed through nucleophilic addition of the ylidic carbanion to an electrophilic imine site. An intramolecular cyclization occurs, constructing the aziridine.
In 2013, Huang and colleagues developed a convenient and practical method for the asymmetric synthesis of trifluoromethylated aziridines by employing reactions of sulfoxonium ylide 2 with (S)-N-tert-butanesulfinyl ketimines 24 (Scheme 18) [64]. The reaction of ylide generated from trimethylsulfoxonium iodide 1 in the presence of base with chiral tert-butanesulfinyl ketimines 24 furnished trifluoromethylated aziridines 25 in moderate to excellent yields and with very good diastereoselectivities (Table 2). Aromatic as well as aliphatic ketimines underwent the reaction smoothly to afford the corresponding aziridines in good yields (61–93%). In general, electron-withdrawing groups were beneficial to the construction of trifluoromethylated aziridines with good diastereoselectivities but lower yields (45%, 54% and 61%), whereas ketimines bearing an aryl group with an electron-donating group gave the highest yield but with lower diastereoselectivity. The highest diastereoselectivity of de >98% was reached in the cases of the formation of acetylenic trifluoromethylated aziridines, which were afforded in moderate to good yields.
In 2015, Marsini and colleagues, building on work from Huang, developed a highly diastereoselective aza-Johnson–Corey–Chaykovsky reaction of chiral N-tert-butanesulfinyl ketimino esters 26 with dimethylsulfoxonium methylide, to form α-quaternary aziridine-2-carboxylates 27 (Scheme 19) [65]. The reaction displayed moderate to excellent yields, exhibiting a broad scope with respect to substrates, and was tolerant of alkyl, alkenyl, aryl and heteroaryl groups substituted at the R1 position. The reaction mechanistic pathway is expected to proceed through the conventional route whereby a methylene group undergoes transfer to the imine, forming an aziridine, in <10 min reaction time at 0 °C. They observed, through mechanistic studies, that the reaction proceeds to only form a single diastereomer (S,S). In terms of which substrates performed most predominantly, the results suggested bulky or aryl-based substituents produced the best yields and diastereoselectivities [65] (Table 3), with smaller substituents showing poorer yields and diastereoselectivities. This methodology provided an avenue to synthesize unnatural heterocyclic amino esters and α-quaternary conjugated peptides through follow-up reactions.
In 2023, Li and colleagues reported a catalyst-free one-pot synthesis of chiral diketo aziridines 30 and alkenes 31 [66]. A three-component reaction of α-ketosulfoxonium ylides 13, nitrosoarenes 28 and terminal alkynes 29 was observed to facilitate access to diketo aziridines 30 with moderate to good trans-diastereoselectivities and with moderate to good yields (41–89%) (Scheme 20). They initially investigated the effect of solvent variation in the reaction, and it was clear that CH3CN resulted in the best yields (up to 89%) and diastereoselectivity (dr up to >99:1). In contrast, toluene, CH2Cl2 and THF resulted in yields of 31%, 42% and 50%, respectively, and as a stereorandom mixture of cis- and trans-diastereomers. Following this, the R3 substituent scope of the α-ketosulfoxonium ylide was investigated, with the reaction demonstrating tolerance for alkyl, heteroaryl and aryl (with EDG/EWG) groups (Table 4). Activated and deactivated aryl-substituted nitroso substrates were tolerated. However, when 4-nitrosopyridine was investigated under the optimal reaction conditions, no aziridine was formed.
The proposed mechanism proceeds via an initial nitrone formation step involving reaction of the α-ketosulfoxonium ylide 13 and the nitrosoarene 28 (Scheme 21). The nitrone intermediate A reacts with a terminal alkyne 29 in a (3 + 2)-cycloaddition step to form an isoxazoline intermediate 32. At this point, the reaction pathway can take three possible routes. In the case of terminal alkynes 29 (R3 = H) in the reaction, the formation of diketo aziridines has been reported. The isoxazoline intermediate 32 can exist in two different conformations (B1 and B2), and the selectivity for either a trans- or cis-diastereomer is believed to be due to N-O bond Baldwin rearrangement of the preferred isoxazoline conformation B1 [66,67]. The preferred trans-diastereomer 30a forms as a result of the two keto carbonyl groups avoiding steric interactions in intermediate C1, whereas the formation of the lesser observed cis-diastereomer 30b is due to the slight tolerance of steric repulsion of these groups. In the case of an internal alkyne with an electron-withdrawing group (R2) on 29, the formation of α,β-substituted ketones 31 was observed. The rationale for this transformation over aziridine formation is due to the stabilizing effect of the electron-withdrawing group during the Baldwin rearrangement step.

4.3. Cyclopropanation

Shibasaki and colleagues introduced La-Li3-(biphenyldiolate)3/NaI complex (33) as the chiral Lewis acid catalyst for catalytic asymmetric cyclopropanation reaction of enones or α,β-unsaturated pyrrole amides 34 (Scheme 22) [68]. This methodology furnished diverse functionalized cyclopropane derivatives 35 in high yields and with excellent enantioselectivities. In this methodology, the solution of dimethylsulfoxonium methylide 2 was prepared from trimethylsulfoxonium chloride analogue of 1 by treatment with NaH in THF, followed by filtration (× 2). This procedure helped to avoid undesired salt effects for the Lewis acid-catalyzed asymmetric cyclization reaction.
In 2014, Hou and colleagues reported the diastereoselective synthesis of cyclopropanes through the anti-addition of dimethylsulfoxonium methylide 2 to α,β-unsaturated ketones 36 as part of the first formal synthesis of (−)-brevipolide H 43 [69]. The reaction was shown to operate most effectively using a solvent system of THF and DMF (20:1) at −78 °C for 6–8 h. After deprotection, 38a was afforded with high diastereoselectivity (Scheme 23). In addition to the work carried out in 2014, they reported a diastereoselective anti-addition of dimethylsulfoxonium methylide 2 to an α,β-unsaturated ketone 39 in the formal synthesis of an eicosanoid 42 [70]. A number of enones were probed, and three different sets of reaction conditions were developed to suit substrates, substituted with a particular protecting group (Scheme 24).
The diastereoselectivity observed in the formal synthesis of both (−)-brevipolide H 43 and an eicosanoid 42 is understood to be as a result of anti-addition of dimethylsulfoxonium ylide 2 to the α,β-unsaturated carbonyl starting material (36 and 39) (Scheme 25). This occurs due to the bulky alkoxy group being perpendicular to the alkene, which sterically hinders the methylene transfer trajectory occurring in syn-addition and promotes anti-addition from the less sterically hindered side. The favored spatial arrangement of the alkoxy group to the alkene maximizes the overlap of the C-O σ-bond and alkene π*-orbital.
In 2018, Feng and colleagues reported the catalytic asymmetric synthesis of chiral spiro-cyclopropyl oxindoles 45 in good yields of up to 99%, with good diastereoselectivity and high enantioselectivity (Scheme 26) [71]. This methodology uses a chiral N,N-dioxide/Mg(OTf)2 complex. Nickel(II) and zinc(II) catalysts were probed when the reaction was initially optimized, both of which provided moderate yields (66% and 69%, respectively) and good diastereoselectivity (dr 93:7 and dr 95:5, respectively). L-PiPr2 was determined to be the best chiral ligand when utilized with Mg(OTf)2 in CH2Cl2 at 35 °C for 16 h, providing a yield of 99%, diastereoselectivity of 92:8 and enantioselectivity of 91% ee. They reported 25 substrate examples, exploring the scope of the sulfoxonium ylides 13 and 3-phenacylideneoxindoles 44 [71]. Both electron-donating and electron-withdrawing groups were tolerated when substituted on the oxindole backbone (R1). Alkyl, ester and aryls bearing electron-donating or electron-withdrawing groups were tolerated when probed as the R2 and R3 substituents.
As discussed in the Epoxidation section (Section 4.1), the developing area of interrupted Johnson–Corey–Chaykovsky reactions has seen success in the context of cyclopropanation reactions [40,41,42]. In 2019, Ramasastry and colleagues developed an interrupted Johnson–Corey–Chaykovsky reaction methodology in which they discovered the unexpected formation of cyclopropanoids through the reaction of dimethylsulfoxonium methylide 2 (1.2 equiv.) with α,β-unsaturated aryl ketones 34aa in DMSO for 30 min at room temperature (Scheme 27) [40]. It was reported that, depending upon the functional group in the ortho-position, an unexpected cyclopropanoid product would be formed. Three different α,β-unsaturated aryl ketones were probed in reaction with a sulfoxonium ylide. Cyclopropane-fused tetralones 46 were observed to form in the case where a formyl group was placed in the ortho-position of α,β-unsaturated ketone 34, contrary to the expected cyclopropanation of the α,β-unsaturated ketone, or indeed, epoxidation of the carbonyl group.
The plausible reaction mechanism starts with an initial 1,2-addition of dimethylsulfoxonium methylide 2 to the carbonyl group of the aldehyde 34a, which is followed by a 1,3-H+ transfer in A (Scheme 28). The ylidic carbanion of intermediate B carries out a 1,4-addition in intramolecular fashion. The resulting enolate of intermediate C nucleophilically attacks the carbon adjacent to the sulfoxonium group, which forms a fused cyclopropane ring 46, with concomitant loss of DMSO 7. Overall, 13 examples were reported with good to excellent yields (70-92%) and good diastereoselectivity (dr up to 5:1). When a ketone group was substituted in the ortho-position in 34b, an indene-type spirocyclopropane 47 was observed to form. The proposed reaction mechanism starts with a 1,4-addition by sulfoxonium ylide 2, and the resulting enolate of intermediate D carries out a 1,2-addition to the carbonyl of the ketone. A 1,5-H+ transfer of E occurs to afford F, followed by the nucleophilic addition of the carbanion to the carbon adjacent to the sulfoxonium group of F, resulting in a spiro-cyclopropane 47 (Scheme 28). In total, 10 examples were reported with good to excellent yields (76–93%) and moderate diastereoselectivity (up to dr 4:1). In the case of unsymmetrical dienones 34c, the reaction proceeds similarly through an initial 1,4-addition by dimethylsulfoxonium methylide 2. An intramolecular cyclization occurs through a second 1,4-addition by the enolate of intermediate G. Following this, a 1,5-H+ transfer of H occurs to afford I, which allows the resulting carbanion to nucleophilically attack the carbon adjacent to the sulfoxonium group of I, leading to the formation of an indene-type spirocyclopropane 48 (Scheme 28). Overall, 10 examples were reported with good to excellent yields (78–91%) and moderate to good diastereoselectivity (dr up to 6:1). The three reactions demonstrated tolerance for alkyl, heteroaryl and aryls bearing EWG/EDG groups substituted in the R1, R2 and R3 positions. The aryl backbone also showed tolerance for EDG/EWG-substituted aryls and heteroaryls.
In 2019, Ramasastry and colleagues further explored the reaction between dimethylsulfoxonium methylide 2 and symmetrical aryl dienones (Scheme 29) [41]. The paper described the unexpected synthesis of cyclopropanoids through desymmetrization by sulfoxonium ylides. The reaction proceeded optimally with 1.2 equivalents of sulfoxonium ylide in DMF at room temperature for 30 min. When the symmetrical dienone with terminal ketone groups 49 was treated with sulfoxonium ylide 2 under these conditions, 10 examples of cyclopropane-fuse indanes 51 were formed in good reaction yields (58−69%) and with moderate diastereoselectivity (dr up to 3:1). Symmetrical dienones with terminal vinyl groups 50 produced 11 examples of indeno-spirocyclopropane 52 in good to excellent reaction yields (72–92%) and with moderate diastereoselectivity (dr up to 3:1). The paper reported substrate tolerance for halogen-, alkyl- and methoxy-substituted aryls in the R1 and R2 positions.
The reaction mechanism for the unexpected synthesis of cyclopropane-fused indanes from symmetrical dienones with terminal ketone groups 49 proceeds with an initial 1,4-addition by the sulfoxonium ylide 2 (Scheme 30). The enolate of intermediate A intramolecularly cyclizes through another 1,4-addition. A 1,3-H+ transfer of B occurs, which allows the resulting carbanion of C to displace DMSO 7 and form a cyclopropane-fused indane 51 (Scheme 30). In the case of terminal vinyl groups 50, the reaction also starts through an initial 1,4-addition by a sulfoxonium ylide 2. A 1,2-addition occurs between the enolate of the resulting intermediate D to the opposite carbonyl group of the ketone. Following this, a 1,3-H+ transfer of E occurs and allows for the displacement of DMSO 7 by the carbanion of F to form an indene-type spirocyclopropane 52 (Scheme 30).
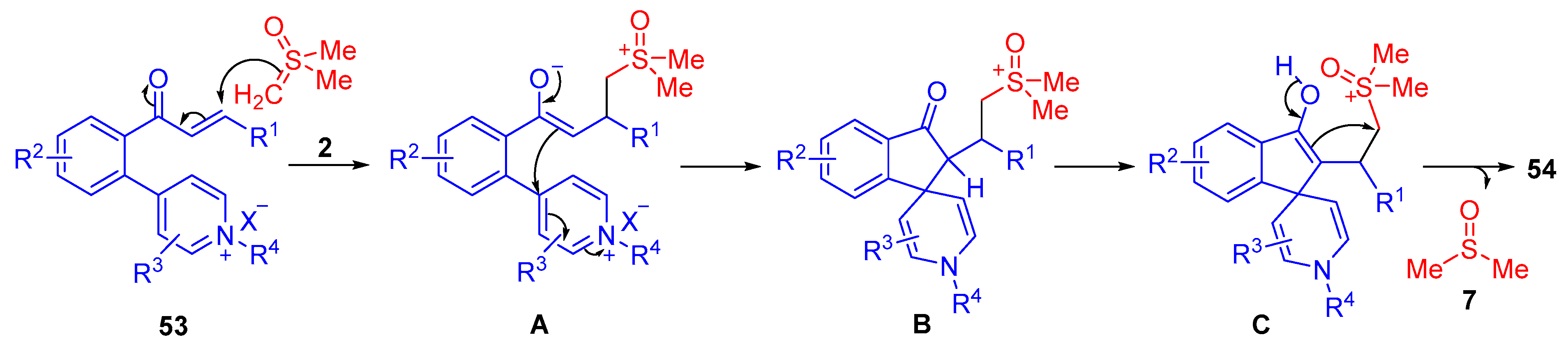
In 2023, Ramasastry and colleagues further explored the interrupted Johnson–Corey–Chaykovsky reactions of sulfoxonium ylides 2 with α,β-unsaturated aryl ketones bearing a pyridinium salt in the ortho-position of 53 (Scheme 31) [42]. The reaction functioned most optimally in DMF at room temperature for 3 h using 1 equivalent of trimethylsulfoxonium iodide 1 and 1.2 equivalents of NaH to form the sulfoxonium ylide 2. When the starting substrate 53 was placed under these conditions, an unexpected synthesis of vicinal bis-spirocyclic indanones 54, providing three contiguous quaternary carbons, was obtained. The group reported 23 examples of vicinal bis-spirocyclic indanones with moderate to good reaction yields (49–81%) and good diastereoselectivity (dr up to 9:1). The reaction demonstrated substrate tolerance for EDG/EWG substituted aryls and heteroaryls in the R1 and R2 positions, alkyl groups in the R3 position, as well as alkyl groups, EDG-substituted aryls and heteroaryls in the R4 position.
The proposed reaction mechanism starts with an initial 1,4-addition by dimethylsulfoxonium methylide 2, resulting in intermediate A (Scheme 32). The enolate of A derived from 53 intramolecularly cyclizes by nucleophilically attacking C4 of the pyridinium ring, which forms an indanone ring. The keto carbonyl group of B tautomerizes to form an enol C. The enol nucleophilically attacks the carbon adjacent to the sulfoxonium group, allowing the leaving group to cleave and form the desired vicinal bis-spirocyclic indanone 54.
In 2022, Bernardi and colleagues developed a methodology for the enantioselective synthesis of chiral-fused cyclopropane-chromane scaffolds 56, named 1,1a,2,7b-tetrahydrocyclopropa[c]chromenes, through aminocatalysis using sulfoxonium ylides 13 with 2-hydroxycinnamaldehydes 55 (Scheme 33) [72]. This method utilized the Jørgensen–Hayashi catalyst in a catalytic amount (20 mol%), along with NaOAc (20 mol%), in deuterated chloroform at room temperature for 12 h. NaOAc, as an additive, was found to facilitate the best combination of enantioselectivity and reaction yield. Benzoic acid and acetic acid were also trialed and performed well, giving good reaction yields and strong enantioselectivity. The cyclopropane ring was formed with perfect diastereoselectivity. The fused cyclopropane–chromane intermediate 56, formed through aminocatalysis, underwent a Wittig olefination at room temperature for 1 h to produce 1,2,3-trisubstituted cyclopropanes 57, exhibiting 15 examples with moderate to good yields (up to 70%), excellent enantioselectivity (up to 99% ee) and good E-selectivity (E/Z > 9:1). The reaction showed tolerance for alkyl and activating groups substituted in the meta- and para- positions, in addition to the ortho- hydroxyl group, for R1. Ester groups and ketone groups were investigated in the R2 position for the ylide 13, with α-estersulfoxonium ylides observed to perform better than α-ketosulfoxonium ylides.
In 2022, Li and colleagues carried out the asymmetric synthesis of cyclopropanes from α-ketosulfoxonium ylides 13 and β,γ-unsaturated ketoesters 58 using a chiral Rh(III) catalyst (Scheme 34) [73]. The synthesis of 20 examples of chiral 1,2,3-trisubstituted cyclopropanes 59 was reported to proceed with moderate to excellent yields (48–89%), high enantioselectivity (79–99% ee) and excellent diastereoselectivity (dr > 20:1). Following optimization studies, the most effective rhodium catalyst (Δ-Rh1 cat.) facilitated the best yield, diastereoselectivity and enantioselectivity when the reaction was carried out in 1,2-dichloroethane (75%, dr > 20:1, 97% ee) at 50 °C for 45 h under an argon atmosphere. Toluene facilitated high diastereoselectivity (dr > 20:1) and high enantioselectivity (91% ee), albeit with a moderate reaction yield of 58%. THF facilitated high diastereoselectivity (dr > 20:1) but moderate enantioselectivity (40% ee), and a poor product yield of 10% was obtained. Alkyl, electron-donating/electron-withdrawing group-substituted aryl and heteroaryl groups were tolerated when probed as the R1 and R2 substituents.
In 2023, Zhao and colleagues reported the synthesis of cyclopropanes 61 through an Au-catalyzed (2 + 1)-cycloaddition of allene-type tosylamide 60 with sulfoxonium ylides 13 (Scheme 35) [74]. A series of α-ketosulfoxonium ylides were probed in reaction with tosylamide 60, resulting in 20 examples with reaction yields of up to 94% and good diastereoselectivity (up to dr 25:1). The reaction was initially optimized to determine the most suitable Au-catalyst for the synthesis of 1-benzoyl-2-formylcyclopropane. A mixture of PhPAuCl (5 mol%) and AgNTf2 (5 mol%) in CH3CN provided the best results when refluxed for 5 h, whereas using Ph3PAuCl (5 mol%) or AgNTf2 (5 mol%) singularly resulted in no reaction. CH3CN was observed to afford the best reaction yield, with toluene, CH2Cl2, THF and EtOAc providing moderate yields (38–58%). The substrate scope was investigated through the exploration of 20 different α-ketosulfoxonium ylides 13, showing tolerance for the alkyl, heteroaryl and aryl groups (as R1). Both electron-donating and electron-withdrawing group-substituted aryls were tolerated.
The plausible reaction mechanism starts with an initial π-complexation of the cationic gold-catalyst to the allene 60 (Scheme 36). Following this, α-ketosulfoxonium ylide 13 nucleophilically attacks the terminal end of the Au-complexed allene A. The resulting Au-substituted enamide intermediate moiety intramolecularly attacks the carbon adjacent to the sulfoxonium group in B, eliminating DMSO 7 and forming C. An enamide D forms as a result of the cationic Au-catalyst being eliminated. Intermediate D then undergoes acid-catalyzed hydrolysis to form the formylated cyclopropane product 61.
Vaitla and colleagues developed the L-proline-catalyzed diastereoselective reaction sequence involving cyclopropanation using aryl aldehydes 64, indane-1,3-diones 63 and vinyl sulfoxonium ylides 62 (Scheme 37) [75]. They reported 38 examples of 1,2,3-trisubstituted cyclopropanes 65 obtained in excellent yields (83–92%) and with excellent diastereoselectivity (dr > 20:1). The cyclopropanation reaction functioned most effectively when carried out in MeOH at room temperature for 30 min using L-proline as catalyst (20 mol%), 1.4 equivalents of sulfoxonium ylide 62, 1.1 equivalents of aldehyde 64 and 1 equivalent of indane-1,3-dione 63. A series of different catalysts were trialed in place of L-proline, and all showed excellent diastereoselectivity (dr > 20:1). Indium(III) triflate, scandium(III) triflate and triethylamine resulted in poor reaction yields of 15%, 22% and 34%, respectively. Tetrafluoroboric acid diethyl ether complex performed effectively to give a reaction yield of 85%. DMSO, CH3CN and EtOAc were explored as solvents and gave good yields of 80%, 65% and 78%, respectively. In terms of substrate scope, the reaction was tolerant of EDG/EWG-substituted aryl, alkyl and heteroaryl aldehydes as well as EDG/EWG-substituted aryl at the β-position (R1) of vinyl sulfoxonium ylides.

4.4. Olefination

The C=C double bond is a central functional group in organic chemistry due to its importance and application in total synthesis [76]. Typical methodologies to construct C=C double bond include the Wittig reaction, Peterson, Julia, Tebbe olefinations and the Horner–Wadsworth–Emmons reaction by employing phosphonium ylides/phosphonate anions, silicon-stabilized carbanions, sulfones or metal alkylidenes as reagents [77,78,79,80,81]. All these reactions proceed through cyclic intermediates, either a four-membered ring or five-membered spirocyclic intermediate.
Very recently, Maulide and colleagues reported a three-membered ring approach to carbonyl olefination (Scheme 38) [82]. They applied a one-pot procedure to access the key intermediate, a three-membered N-iminyl aziridine 68, by addition of a sulfoxonium ylide 2 to an in situ-generated N-iminyl imine (azine) 67 from the corresponding aldehyde 66. Cheletropic cycloreversion or thermal decomposition of the N-iminyl aziridine 68 led to the desired alkene 69 in good to high yields. This methodology tolerated substrates ranging from aromatic aldehydes, aliphatic aldehydes and α,β-unsaturated aldehydes to sensitive α-chiral aldehydes. The E-isomer selectivity of the alkene products might be explained by involvement of the more stable trans-aziridine intermediate or non-concerted ring-opening pathways causing isomerization. The procedure was not successful for trisubstituted olefin synthesis because the required aziridine could not be obtained from either a branched sulfoxonium salt or from a ketone. However, the reaction provides a convenient alternative to Wittig-type methylenation in that it avoids the generation of difficult-to-separate triphenylphosphine oxide byproduct.
In addition to this, they reported a methodology for the stereoselective synthesis of 1,2-disubstituted alkenes 70 from α-diazoesters 18a and α-ketosulfoxonium ylides 13 through ruthenium catalysis (Scheme 39) [83]. It was reported that 22 examples were obtained in moderate to good reaction yields (40–78%), and very good Z-selectivity (Z/E up to >13:1) was also demonstrated (Table 5). The reaction showed tolerance for bulky alkyl ester groups substituted at the R1 position as well as neutral and EWG-substituted aryls at the R2 position. The stereoselective cross-olefination proceeds through initial formation of a carbene A, generated from the loss of nitrogen of an α-diazoester 18a. A metal carbenoid B was formed through the combination of the carbene and the [Ru(cymene)2Cl2]2 catalyst. The metal carbenoid coupled with the sulfoxonium ylide 13, allowing the formation of the Z-olefin product 70.
In 2024, Vaitla and colleagues reported a diastereoselective synthesis of conjugated dienoates 72 from α-diazoesters 18b and vinyl sulfoxonium ylides 62a using iridium-catalysis (Scheme 40) [84]. In addition, the paper described a diastereoselective synthesis of ylidene butenolides 71 from acetals 73 and vinyl sulfoxonium ylides 62a using ruthenium-catalysis aided by TMSOTf. The synthesis of conjugated dienoates 72 provided >20 examples with excellent diastereoselectivity (dr > 20:1) and in moderate to very good reaction yields (56–86%). The reaction was observed to function most efficiently in CHCl3 at room temperature for 5 h, using equimolar amount of sulfoxonium ylide 62a and α-diazoester 18b and 3.0 mol% of [Ir(COD)Cl]2. The conjugated dienoates 72 obtained were formed as the Z,E-isomer, which was congruent with cis,trans-muconic acid. The reaction was tolerant of EDG-substituted and EWG-substituted (R1, R5) aryls. This work reported >20 examples of ylidene butanolides 71 formed with excellent diastereoselectivity (dr > 20:1) and in favorable yields (54–83%). The optimal reaction conditions were determined to be DCE as solvent at 0 °C for 4 h, using 3.0 mol% of [Ru(p-cymene)Cl2]2 and 30 mol% of TMSOTf. The diastereoselectivity of the ylidene butenolide 71 synthesis favored the formation of the Z,Z-isomer, which is congruent with the structure of rubrolide analogues. This reaction was observed to be tolerant of heteroaryls and EWG- and EDG-substituted (R1, R4) aryls.
Jiang and colleagues reported a Pd-catalyzed stereoselective synthesis of α,β-unsaturated carbonyls from β-ketosulfoxonium ylides and 1-iodo-2-((methylallyl)oxy)benzene compounds 74, which proved to be favorable across a range of substrates for both starting materials (Scheme 41 and Scheme 42, Table 6) [85]. The initial reaction optimization study found that the cross-coupling reaction between β-ketosulfoxonium ylides and 1-iodo-2-((methylallyl)oxy)benzene compounds performed best at 110 °C for 48 h in CH3CN with the PdCl2(allyl)2 catalyst (15 mol%), 2,9-diphenyl-1,10-phenathroline ligand (60 mol%) and 3.0 equiv. of CsF, resulting in an 86% yield of benzofuran-type product 75. Other Pd-based catalysts were probed, including PdCl2 and PdBr2, and both resulted in lower yields of 18% and 10%, respectively. Several phosphine-based and chelating ligands were examined, with 2,9-diphenyl-1,10-phenathroline performing most effectively. CH3CN was determined to produce the best performance when compared to the other solvents investigated, such as DCE, THF and acetone. The reaction was found to perform effectively under an air atmosphere, with no beneficial effect when carried out under a N2 or O2 atmosphere. A number of Cs bases were examined, with 3.0 equiv. of CsF providing the best results. This work provides an effective stereoselective olefination methodology which favors the formation of E-isomers, with moderate to good yields (35–86%) and is tolerant of a wide scope of β-ketosulfoxonium ylide 13 and 1-iodo-2-((methylallyl)oxy)benzene 74 starting substrates.
The proposed mechanism proceeds via an initial reduction of the Pd(II)-catalyst using basic CsF and with 2,9-diphenyl-1,10-phenathroline and triphenylphosphine acting as ligands. The Pd(0)-catalyst inserts into the C–I bond of 1-iodo-2-((methylallyl)oxy)benzene 74 in an oxidative addition step. The Pd(II)-complex A undergoes intramolecular cyclization to form the 2,3-dihydrobenzofuranyl ring B. β-ketosulfoxonium ylide 13 associates to the Pd(II)-complex, DMSO 7 is eliminated, and a Pd-carbene D is formed. Following a 1,2-alkyl migration, an alkylpalladium complex E is formed, which undergoes β-hydride elimination to form the α,β-unsaturated carbonyl product 75 with reforming Pd(0)-catalyst.
Liao and colleagues reported an iridium-catalyzed olefination of sulfoxonium ylides 13, providing 80 examples with excellent E-isomer diastereoselectivity (E/Z up to >20:1) of disubstituted alkenes 77 in favorable yields of up to 88% (Scheme 43) [86]. They reported the reactions of α-ketosulfoxonium ylides or α-estersulfoxonium ylides with α-amidesulfoxonium ylides or N-heterocyclic α-amidesulfoxonium ylides. The most optimal conditions employed were α-amidosulfoxonium ylide 76 (1 equiv.) and α-carbonylsulfoxonium ylide 13 (1.5 equiv.) in CH2Cl2 at −10 °C for 24 h under an N2 atmosphere. The catalyst employed was [Ir(COD)Cl]2 (5 mol%). The proposed reaction mechanism starts with the initial formation of an Ir−carbene intermediate A through the reaction of Ir(I) catalyst with ylide 76, which eliminates DMSO 7 (Scheme 44). An α-amidosulfoxonium ylide was observed to form a carbene metalloid faster than an α-carbonylsulfoxonium ylide. Following this, an α-carbonylsulfoxonium ylide 13 adds to the carbon adjacent to the Ir catalyst to afford B. Elimination of DMSO 7 and the Ir catalyst provides C, and following catalyst dissociation, E-alkene 77 is obtained (Scheme 44). In terms of substrate scope, the reaction was shown to be tolerant of heterocyclic, aryl and alkyl groups in the R1 and R2 positions. EDG/EWG-substituted aryl, alkyl, vinyl and heteroaryl groups were tolerated in the R3 position (Scheme 44, Table 7).
Recently, in 2024, Burtoloso and colleagues reported a selective ring-opening of epoxide-fused indolines 78 by α-estersulfoxonium ylides 14b (Scheme 45) [87]. Epoxide-fused indolines were unstable and were prepared in situ from 2-hydroxyindoline-3-triethylammonium bromide 79 solution as developed by Abe and colleagues [88]. They detected the formation of an epoxide-fused indoline 78 in solution through NMR studies [87]. The reaction functioned most effectively using two equivalents of triethylamine in CH3CN at 100 °C for 30 min under microwave irradiation. When one equivalent of 2-hydroxyindoline-3-triethylammonium bromide 79 and two equivalents of sulfoxonium ylide 14b were treated under these reaction conditions, 14 olefin examples (80) were formed in favorable yields of up to 81% and with moderate to excellent Z-selectivity (Z/E 4:1 to exclusively Z-isomer formation). The reaction demonstrated tolerance for the activated and deactivated indolines (R1), as well as the alkyl, benzyl and allyl groups substituted at the R2 position.

4.5. Insertion Reactions

The most commonly observed mechanistic pathway of sulfoxonium ylides is the formal cycloaddition: (2 + 1) (e.g., epoxides, cyclopropanes, aziridines), (3 + 1) (e.g., oxetanes, azetidines), (4 + 1) (e.g., indanones, indolines). This pathway proceeds through the formation of a betaine intermediate occurring from the nucleophilic addition of the carbanion to an electrophilic site. A cyclic product forms as a result of an intramolecular cyclization. Insertion reactions of sulfoxonium ylides have also been observed to proceed with great success in recent years. This typically occurs as a result of protonation of the sulfoxonium ylide carbanion by X–H bonds (e.g., X = S, N or P), which is followed by a nucleophilic addition of X, to form an inserted product.
Mangion and colleagues reported that transition metal complexes, such as RuCl2(Cp)(PPh3)2, [Ir(COD)2Cl]2, Pt(COD)Cl2 and AuCl(SMe2), could be used to produce the corresponding metal carbenoids from sulfoxonium ylides at room temperature (Scheme 46) [89,90]. These metal carbenoids underwent facile reaction with anilines, Boc- or Cbz-protected aliphatic amines, thiophenols and aliphatic alcohols with good efficiency. This method has applications in both intra- and intermolecular reactions, including a practical ring-expansion strategy for lactams. The intramolecular N–H insertion reactions of the carbamate-containing sulfoxonium ylide 81 were developed to facilitate access to structurally complex aza-heterocyclic products 82 [89]. The authors also proposed a possible reaction pathway to explain these transformations: catalyst [Ir(COD)Cl]2 reacts with sulfoxonium ylide 81 to generate the metal carbenoid intermediate A, and then a subsequent intramolecular N–H insertion generates zwitterionic intermediates B and C, which, on autoprotolysis, yields the final aza-heterocyclic product 82.
In 2020, Burtoloso and colleagues reported an enantioselective organocatalytic insertion of α-aryl-α-carbonylsulfoxonium ylides 14c and aryl thiols 83 (Scheme 47) [91]. Due to the acidic nature of thiols, aryl thiols donate a proton to sulfoxonium ylides and the nucleophilic thiolate attacks the carbon adjacent to the sulfoxonium group, eliminating DMSO and resulting in an inserted product 85. The reported methodology utilizes a chiral thiourea organocatalyst 84 to induce enantiocontrolled addition and is proposed to function using hydrogen-bonding intermolecular interactions to the sulfoxonium ylide. The enantioselectivity of the reaction was explained by a re-face protonation of the sulfoxonium ylide. The S–H insertion was discovered to perform most efficiently in CHCl3 at −28 °C for 24–168 h, depending on the substrate, using a bulky thiourea 84. They reported 31 examples of S–H insertions with excellent enantioselectivity (up to 95% ee) and moderate to excellent reaction yields (up to 97%), demonstrating tolerance for electron-donating and electron-withdrawing aryl substituents on the thiol 83 and sulfoxonium ylide 14c [91].
Following this, Burtoloso and colleagues reported the enantioselective N–H insertion of sulfoxonium ylides 14c and anilines 86 using a copper–squaramide catalyst 87, observing 37 substrate examples of the inserted product 88 with reaction yields of up to 96% and good enantiomeric ratios of up to 92:8 (Scheme 48) [92]. Anilines and sulfoxonium ylides possessing both EDG and EWG performed equally well when probed, indicating a broad tolerance of substrate types. The reaction conditions which gave the best results were in toluene for 1 h at 60 °C. The most effective catalytic system employed was a copper–squaramide complex, giving a high enantiomeric ratio and reaction yield. A series of phosphoric acids and thiourea catalysts were trialed, and they returned excellent reaction yields (>90%); however, they did not grant desirable enantiocontrol. The plausible reaction mechanism starts with the formation of a copper carbene as a result of the displacement of DMSO. The nucleophilic aniline attacks the central carbon, displacing the copper catalyst. The intermediate tautomerizes to form an enol, which complexes with the squaramide bound to copper and asymmetrically protonates the central carbon, allowing for the synthesis of the inserted product.
Burtoloso and colleagues additionally reported the enantioselective C–H insertion of indoles 89 and α-aryl-α-estersulfoxonium ylides 14c was promoted by phosphoric acid catalysis in 2021 (Scheme 49) [93]. In this case, a chiral phosphoric acid 90 (5 mol%) was employed in CHCl3 at 5 °C for a reaction duration of 7 days. Overall, 29 substrate examples were reported, giving a return of low to high enantiocontrol (20–93% ee) with moderate reaction yields of up to 50%. The proposed reaction mechanism starts with the initial protonation of the sulfoxonium ylide by the chiral phosphoric acid. The cationic sulfoxonium forms an ion pair with the anionic phosphate catalyst. The enantiocontrol stems from the chiral nature of the catalyst, allowing the indole to nucleophilically attack the carbon adjacent to the sulfoxonium group from the less sterically hindered side, displacing DMSO. The phosphoric acid catalyst regenerates by the deprotonation of a β-hydrogen.
Similarly, Sun and colleagues introduced the asymmetric N–H insertion of amines 92 with sulfoxonium ylides 14c through chiral phosphoric acid catalysis (94) for the synthesis of α-amino esters 93 (Scheme 50) [94]. In terms of substrate scope, 35 examples were reported with excellent reaction yields of up to 99% and excellent enantioselectivity of up to 96% ee. The reaction allowed broad tolerance for both activated and deactivated α-aryl-α-estersulfoxonium ylides, as well as the aryl amines that were explored. The reaction functioned most effectively at colder temperatures (−10 °C or −15 °C depending on the substrate) for long reaction times. CH2Cl2 was observed to be the best solvent when compared to CHCl3, which offered good reaction yields but moderate enantioselectivity. CH3CN, EtOAc and THF offered high reaction yields (up to 99%) and high enantioselectivity (up to 80% ee) at 25 °C. Moreover, 10 mol% of the chiral phosphoric acid 94 was observed to provide the desired results.

4.6. Miscellaneous Stereoselective Reactions of Sulfoxonium Ylides

γ-Lactones are structural elements that are found as part of many natural products (in about 10% of all natural products), including paraconic acids and numerous bicyclic and tricyclic ring systems (e.g., xanthatin) [95]. γ-Lactones have a range of biological activities, including strong antifungal, antibiotic, antitumor, antiviral and anti-inflammatory activities, which underscores their potential for pharmaceutical development [95,96,97]. γ-Lactones have also been used as building blocks for the synthesis of complex molecules [98,99].
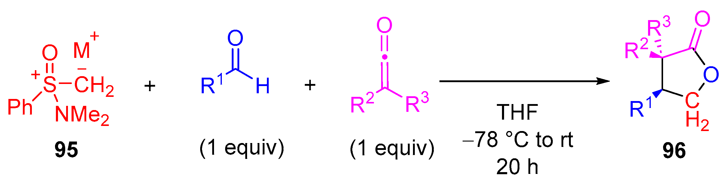
Kerrigan’s group reported direct access to trans-γ-lactones 96 via an unprecedented extension to the Johnson−Corey−Chaykovsky reaction, in good yields (up to 93%) and with good diastereoselectivity (up to 92:8) (Scheme 51) (Table 8) [15,100,101,102,103]. They determined that chiral aminosulfoxonium ylide 95, obtained through treatment of salt with base, was superior to all other onium ylides for γ-lactone formation. In all cases, tetrafluoroborate (BF4) was used as a non-nucleophilic counterion for sulfoxonium salt /ylide 95 in order to minimize side reactions with ketenes (e.g., with iodide as a counterion). This methodology was found to be versatile enough to tolerate ketenes of quite different reactivity, including dimethylketene, alkylarylketenes and even diphenylketene. Furthermore, the level of diastereoselectivity was found to be good for ortho-substituted aromatic aldehydes, heteroaromatic substituted aldehydes and the α-branched aliphatic aldehyde, isobutyraldehyde. Generally, the best yields of γ-lactone were obtained with aromatic aldehydes. The lower yields for the aliphatic aldehyde-derived lactones may be attributed to side reactions involving enolization of starting materials and intermediates. It is speculated that the additive MgCl2 has a number of roles in the reaction system. Primarily, it activates aliphatic aldehydes, such as isobutyraldehyde, to undergo reaction with the sulfoxonium ylide 95. A second possible effect is that, under certain conditions, it may enable greater organization (through chelation) in the transition state for [3,3]-sigmatropic rearrangement of F to G (Scheme 52).
In the proposed mechanism for the reaction (Scheme 52), ylide 95 is added to aldehyde to give betaine A, most likely in equilibrium with oxathietane A′ [104,105,106]. Reaction of betaine A with ketene gives rise to enolate B, which is formed stereoselectively as an E-enolate (for M = Li) at this point. Deprotonation of D by a base (e.g., ylide 95) gives sulfurane oxide anion E, which then undergoes E1cB elimination to give enolate F [107]. Enolate F then undergoes a [3,3]-sigmatropic rearrangement in stereoselective fashion, presumably via a chair transition state, to afford carboxylate G [108]. Protonation of G gives H, which undergoes intramolecular SN2 (5-exo-tet) cyclization to provide trans-γ-lactone 96.
They reasoned that γ-lactones could be formed in enantioselective fashion, provided a suitable enantioenriched aminosulfoxonium salt could be identified [109]. Chiral aminosulfoxonium salt was obtained through a four-step procedure from commercially available methylphenyl sulfoxide [110,111,112,113]. Enantioenriched aminosulfoxonium (S)-ylide 97 was subjected to reaction with a variety of aldehydes (both aromatic and aliphatic) and disubstituted ketenes, leading to the formation of α,β-substituted γ-lactones 96 in moderate to very good diastereoselectivity (dr up to 95:5) and with enantiomeric excesses of up to 79% ee (Table 9). The best levels of enantioselectivity were observed in the reactions using with isobutyraldehyde and various alkylarylketenes.
Diastereoselectivity in γ-lactone forming reaction may be rationalized by a [3,3]-sigmatropic rearrangement of sulfurane oxide E, involving a six-membered chair-like transition state, where the sterically bulkier substituents (R1 and R3) preferentially occupy pseudoequatorial positions (Scheme 53) [110,111,112,114]. They propose that the O-enolate and –NMe2 substituents occupy apical positions at sulfur (in a trigonal bipyramidal geometry), which is consistent with the reported arrangement of cyclic sulfurane oxides bearing electronegative substituents [105,107,115,116]. High enantioselectivity may be achieved through the rigid transition state depicted in Scheme 53, where the phenyl substituent blocks the approach by the enolate moiety to the re face of the α,β-unsaturated sulfurane oxide [117,118].
In 2021, Peng and colleagues reported the synthesis of 4,5-disubstituted γ-butyrolactones 99 from aldehydes 64, α-carbonylsulfoxonium ylides 13 and Meldrum’s acid 98 using N,N-diisopropylethylamine (DIPEA) (Scheme 54) [119]. The reaction displayed diastereoselectivity for trans-γ-butyrolactones 99, which were formed in moderate to excellent yields (30 examples, 46–98%). They discovered that the reaction provided trans-spirocyclopropanes 100 from electron-deficient benzaldehydes (or methyl-substituted benzaldehydes) with alkyl or aryl-substituted β-ketosulfoxonium ylides in moderate to excellent yields (47 examples, 56–98%). However, the formation of trans-γ-butyrolactones was realised through the reaction involving electron-rich benzaldehydes and alkyl- or aryl-substituted β-ketosulfoxonium ylides.
The reaction was optimized by focusing on the synthesis of 4-benzoyl-5-(4-methoxyphenyl)-γ-butyrolactone 99a from 4-methoxybenzaldehyde 64a, β-benzoyl-substituted dimethylsulfoxonium methylide 13a and Meldrum’s acid 98 (Scheme 55). The reaction proceeded well in CH2Cl2 (73%) and moderately well when attempted in CCl4 (32%). However, no reaction was observed when examined in EtOH. The most effective reaction conditions were noted as EtOAc (98%) employing 2 equivalents of DIPEA, 1.5 equivalents of aldehyde 64, 2 equivalents of Meldrum’s acid 98 and 1 equivalent of sulfoxonium ylide 13a. An excellent yield of 94% was observed when triisopropylamine (instead of DIPEA) was tested. Moderate to excellent yields were observed when using triethylamine (32–86%), while 4-dimethylaminopyridine provided a yield of 41%.
The proposed reaction mechanism for the synthesis of trans-γ-butyrolactones and trans-spirocyclopropane proceeds through a similar pathway (Scheme 56, Table 10). The proposed reaction mechanism starts with an initial Knoevenagel condensation of an aldehyde 64 with Meldrum’s acid 98, which forms an alkylidene/arylidene intermediate A. A sulfoxonium ylide 13 undergoes a 1,4-addition and the resulting enolate of intermediate B displaces DMSO 7, leading to the formation of cyclopropane product 100. In cases where electron-rich benzaldehydes are examined, the trans-spirocyclopropane undergoes a Cloke-Wilson rearrangement to form a dihydrofuran intermediate C [120,121,122]. Aided by water, C decarboxylates and liberates acetone to form trans-γ-butyrolactone 99 (Scheme 56).
Borhan and co-workers introduced a methodology for regioselective nucleophilic substitution reactions of enantiopure 2,3-epoxy alcohols 101 with dimethylsulfoxonium methylide 2 to yield diastereomerically and/or enantiomerically pure disubstituted tetrahydrofuran rings 102 (Scheme 57) [123]. In this methodology, the stereochemistry that is set by the asymmetric epoxidation is translated fully to the final product. This approach provided an efficient access to tetrahydrofuran rings with stereodefined substituents from chiral 2,3-epoxy-alcohols 101 which are relatively simpler than the method via the Sharpless asymmetric epoxidation reaction.
The same group further extended this methodology to the sulfoxonium ylide-based aza-Payne rearrangement of 2,3-aziridin-1-ols 103 for efficient diastereoselective synthesis of substituted pyrrolidines 104 (Scheme 58) [124]. The aza-Payne rearrangement under basic reaction conditions favors the formation of epoxy amides. Subsequent nucleophilic attack of the epoxide by the sulfoxonium ylide generates a dianion intermediate, which upon a 5-exo-tet ring-closure yields the desired pyrrolidine 104, thus completing the relay of the three-membered ring to the five-membered nitrogen-containing ring system. The stereochemistry present in the enantioenriched aziridinols is translated fully to the final products.
They also reported a sulfoxonium ylide-mediated facile tandem aza-Payne/hydroamination reaction of chiral syn-aziridinol 106 for diastereoselective synthesis of highly functionalised pyrrolidines 107 (Scheme 59) [125]. Addition of alkynyl Grignard reagents to chiral 2,3-aziridinals 105 predominantly yielded syn-aziridinols 106. Treatment of this chiral syn-aziridinol 106a with sulfoxonium ylide 2 led initially to an aza-Payne rearrangement, which juxtaposed the amine and the alkyne in a favorable orientation A1 to complete the hydroamination. The authors also reported that the anti-aziridinol 106b underwent the aza-Payne rearrangement but could not proceed further with the hydroamination.
In 2020, Wu and colleagues reported a diastereoselective synthesis of 2,3-dihydrofurans 109 from α-ketosulfoxonium ylides 13b and enynones 108 induced by Lewis acid-catalysis in ionic liquids (Scheme 60) [126]. The proposed mechanism proceeds through the Lewis acid activation of enynone 108, which allows the conjugate addition of α-ketosulfoxonium ylide 13b to form intermediate A (Scheme 61). Cyclization (5-exo-tet) of the enolate’s O-atom onto the carbon adjacent to the sulfoxonium group of B, results in the formation of the 2,3-dihydrofuran product 109. They reported 25 product examples with good to excellent yields of up to 92% and excellent diastereoselectivity (dr > 20:1) [126].
Huang and colleagues reported a metal-free diastereoselective synthesis of trisubstituted trans-oxazolines 111 from sulfoxonium ylides 13 and enamides 110 by Brønsted acid-catalysis (Scheme 62) [127]. The preferred catalyst was perchloric acid (0.2 equivalents) in CH3CN at 80 °C for 8 h. A broad substrate scope was explored and resulted in 50 examples with reaction yields of up 98% and excellent diastereoselectivity (dr >20:1). The reaction demonstrated tolerance for alkyl, heteroaryl and EWG/EDG-substituted aryl groups.
In 2021, Shi and colleagues reported a ruthenium-catalyzed enantioselective synthesis of stereogenic sulfur-containing sulfoximines 114 through the annulation of aryl sulfoximines 112 and α-ketosulfoxonium ylides 13 (Scheme 63) [128]. In total, 28 examples of stereogenic sulfur-containing sulfoximines 114 were presented in good to excellent yields (63–99%) and with excellent enantioselectivity (up to 99% ee). The reaction performed best in DCE, at 35 °C for 12 h when using 2.5 mol% of [(p-cymene)RuCl2]2, 20 mol% of AgSbF6 and 10 mol% of the chiral binaphthyl monocarboxylic acid ligand 113. The method exhibited substrate tolerance for activated and deactivated aryl sulfoximines 112 and a tolerance for alkyl, heteroaryl and EWG/EDG-substituted aryls in the R1 position.
In 2023, Sun and colleagues reported an iridium-catalyzed asymmetric [4 + 1] cycloaddition of α-carbonylsulfoxonium ylides 13 and hydroxyallylanilines 115 resulting in 3-vinylindolines 117 (Scheme 64) [129]. The reaction used 3 mol% of [Ir(cod)Cl]2, three equivalents of TFA and 12 mol% of Carreira’s ligand 116 [130,131]. The preferred reactions conditions reported the use of DCE as solvent at 45 °C for 8 h, utilizing molecular sieves (4 Å). A broad substrate scope was tolerated when probed under the optimal conditions, which returned 25 examples of moderate to very good yields (50–80%) with excellent enantio- and diastereoselectivity (up to 99% ee and dr > 19:1). Electron-rich and electron-deficient hydroxylallylanilines were tolerated when EWG/EDG were trialed in the R2 position, and vinyl, ester, alkyl, heteroaryl and EWG/EDG-substituted aryls returned favorable results when probed in the R1 position.

5. Conclusions

Sulfoxonium ylides are an intriguing and highly valuable class of zwitterionic intermediates, gaining significant attention in organic synthesis due to their ability to facilitate the formation of cyclic products as well as inserted products. Since their synthetic capabilities were discovered in the 1960s in the formation of monocyclic compounds (e.g., epoxides, cyclopropanes and aziridines), further studies have been conducted in exploring their potential to carry out stereoselective reactions. In recent times, through interrupted Johnson–Corey–Chaykovsky reaction strategies, sulfoxonium ylides have been shown to enable the stereoselective synthesis of polycyclic epoxide- and cyclopropane-based structures (e.g., 2,3-epoxyhexahydrofluoren-9-ones, cyclopropane-fused tetralones, cyclopropane-fused indanes and indeno spirocyclopropanes). However, the synthesis of aziridine-, cyclobutane-, oxetane- and azetidine-based polycyclic structures through stereoselective interrupted Johnson–Corey–Chaykovsky reaction strategies using sulfoxonium ylides remains unexplored. The rapidly developing area of olefination reactions has seen great success in recent years to synthesize both E- and Z-isomers selectively using a range of catalytic strategies, such as through the use of palladium-catalysis, iridium-catalysis or carbene-mediated transition metal catalysis. Sulfoxonium ylides’ ability to perform stereoselective insertion reactions has also been successfully explored through the insertion of N–H bonds, S–H bonds and C–H bonds. Indeed, chiral phosphoric acid-catalysis and thiourea-catalysis has been shown to be effective in inducing enantiocontrol. However, the stereoselective insertion of the related P–H bonds remains largely unexplored. In addition, the versatility of sulfoxonium ylides in synthesizing five-membered rings (e.g., γ-lactones, tetrahydrofurans, pyrrolidines, 2,3-dihydrofurans and oxazolines) and aryl-fused heterocycles (e.g., stereogenic sulfur-containing sulfoximines and indolines) has been successfully demonstrated. The development of enantioselective photocatalytic reactions involving sulfoxonium ylides remains a largely untapped area and is poised for future breakthroughs.

Funding

This research received no external funding.

Conflicts of Interest

The authors declare no conflict of interest.

References

  1. Ingold, C.K.; Jessop, J.A. XCV.—Influence of Poles and Polar Linkings on the Course Pursued by Elimination Reactions. Part IX. Isolation of a Substance Believed to Contain a Semipolar Double Linking with Participating Carbon. J. Chem. Soc. 1930, 713–714. [Google Scholar] [CrossRef]
  2. Johnson, A.W.; LaCount, R.B. The Chemistry of Ylids. VI. Dimethylsulfonium Fluorenylide—A Synthesis of Epoxides. J. Am. Chem. Soc. 1961, 83, 417–423. [Google Scholar] [CrossRef]
  3. Corey, E.J.; Chaykovsky, M. Dimethylsulfoxonium Methylide. J. Am. Chem. Soc. 1962, 84, 867–868. [Google Scholar] [CrossRef]
  4. Corey, E.J.; Chaykovsky, M. Dimethylsulfonium Methylide, A Reagent for Selective Oxirane Synthesis from Aldehydes and Ketones. J. Am. Chem. Soc. 1962, 84, 3782–3783. [Google Scholar] [CrossRef]
  5. Corey, E.J.; Chaykovsky, M. Dimethyloxosulfonium Methylide ((CH3)2SOCH2) and Dimethylsulfonium Methylide ((CH3)2SCH2). Formation and Application to Organic Synthesis. J. Am. Chem. Soc. 1965, 87, 1353–1364. [Google Scholar] [CrossRef]
  6. Caiuby, C.A.D.; Furniel, L.G.; Burtoloso, A.C.B. Asymmetric Transformations from Sulfoxonium Ylides. Chem. Sci. 2022, 13, 1192–1209. [Google Scholar] [CrossRef] [PubMed]
  7. Bisag, G.D.; Ruggieri, S.; Fochi, M.; Bernardi, L. Sulfoxonium Ylides: Simple Compounds with Chameleonic Reactivity. Org. Biomol. Chem. 2020, 18, 8793. [Google Scholar] [CrossRef]
  8. Li, A.H.; Dai, L.X.; Aggarwal, V.K. Asymmetic Ylide Reactions: Epoxidation, Cyclopropanation, Aziridination, Olefination and Rearrangment. Chem. Rev. 1997, 97, 2341–2372. [Google Scholar] [CrossRef] [PubMed]
  9. Hruby, V.J.; Johnson, A.W. The Decomposition of Sulfur Ylids to Carbenes. J. Am. Chem. Soc. 1962, 84, 3586–3587. [Google Scholar] [CrossRef]
  10. Johnson, C.R.; Janiga, E.R.; Haake, M. Chemistry of Sulfoxides and Related Compounds. X. Ylides from Salts of Sulfoximines. J. Am. Chem. Soc. 1968, 90, 3890–3891. [Google Scholar] [CrossRef]
  11. Block, E. Reactions of Organosulfur Compounds; Academic Press: New York, NY, USA, 1978; ISBN 0121070506. [Google Scholar]
  12. Trost, B.M.; Melvin, L.S., Jr. Sulfur Ylides: Emerging Synthetic Intermediates; Academic Press: New York, NY, USA, 1975; ISBN 0127010602. [Google Scholar]
  13. Von, E.; Doering, W.; Hoffmann, A.K. d-Orbital Resonance. III. Deuterium Exchange in Methyl “Onium” Salts and in Bicyclo [2.2.1]heptane-1-sulfonium Iodide. J. Am. Chem. Soc. 1955, 77, 521–526. [Google Scholar] [CrossRef]
  14. Von, E.; Doering, W.; Schreiber, K.C. d-Orbital Resonance. II. Comparative Reactivity of Vinyldimethylsulfonium and Vinyltrimethylammonium Ions. J. Am. Chem. Soc. 1955, 77, 514–520. [Google Scholar] [CrossRef]
  15. Mondal, M.; Chen, S.; Kerrigan, N.J. Recent Developments in Vinylsulfonium and Vinylsulfoxonium Salt Chemistry. Molecules 2018, 23, 738. [Google Scholar] [CrossRef] [PubMed]
  16. Mitchell, K.A.R. Use of Outer d Orbitals in Bonding. Chem. Rev. 1969, 69, 157–178. [Google Scholar] [CrossRef]
  17. Lehn, J.-M.; Wipff, G. Stereoelectronic Properties, Stereospecificity, and Stabilization of α-Oxa and α-Thia Carbanion. J. Am. Chem. Soc. 1976, 98, 7498–7505. [Google Scholar] [CrossRef]
  18. Bernardi, F.; Csizmadia, I.G.; Mangini, A.; Schlegel, H.B.; Whangbo, M.H.; Wolfe, S. The Irrelevance of d-Orbital Conjugation. I. The α-Thiocarbanion. A Comparative Quantum Chemical Study of the Static and Dynamic Properties and Proton Affinities of Carbanions Adjacent to Oxygen and to Sulfur. J. Am. Chem. Soc. 1975, 97, 2209–2218. [Google Scholar] [CrossRef]
  19. Streitwieser, A., Jr.; Williams, J.E., Jr. Ab initio SCF-MO calculations of thiomethyl anion. Polarization in stabilization of carbanions. J. Am. Chem. Soc. 1975, 97, 191–192. [Google Scholar] [CrossRef]
  20. Hoffmann, R.; Howell, J.M.; Muetterties, E.L. Molecular Orbital Theory of Pentacoordinate Phosphorus. J. Am. Chem. Soc. 1972, 94, 3047–3058. [Google Scholar] [CrossRef]
  21. Zbang, X.-M.; Bordwell, F.G. Equilibrium Acidities and Homolytic Bond Dissociation Energies of the Acidic C-H Bonds in P-Substituted Tri-phenylphosphonium Cations. J. Am. Chem. Soc. 1994, 116, 968–972. [Google Scholar] [CrossRef]
  22. Dobado, J.A.; Martınez-Garcıa, H.; Molina, J.M.; Sundberg, M.R. Chemical Bonding in Hypervalent Molecules Revised. 3. Application of the Atoms in Molecules Theory to Y3X-CH2 (X = N, P, or As; Y = H or F) and H2X-CH2 (X = O, S, or Se) Ylides. J. Am. Chem. Soc. 2000, 122, 1144–1149. [Google Scholar] [CrossRef]
  23. Ripin, D.H.; Evans, D.A. pKa Values Compilation. Available online: https://organicchemistrydata.org/hansreich/resources/pka/#pka_water_compilation_evans (accessed on 10 August 2024).
  24. Aggarwal, V.K.; Harvey, J.N.; Robiette, R. On the Importance of Leaving Group Ability in Reactions of Ammonium, oxonium, Phosphonium and Sulfonium Ylides. Angew. Chem. Int. Ed. 2005, 44, 5468–5471. [Google Scholar] [CrossRef]
  25. Kuhn, R. Chemische Gesellschaft Marburg/Lahn. Angew. Chem. 1957, 69, 570–571. [Google Scholar] [CrossRef]
  26. Kuhn, R.; Trischmann, H. Trimethyl-sulfoxonium-Ion. Justus Liebigs Ann. Chem. 1958, 611, 117–121. [Google Scholar] [CrossRef]
  27. Vaitla, J.; Hopmann, K.H.; Bayer, A. Rhodium-Catalyzed Synthesis of Sulfur Ylides via in Situ Generated Iodonium Ylides. Org. Lett. 2017, 19, 6688–6691. [Google Scholar] [CrossRef] [PubMed]
  28. Talero, A.G.; Martins, B.S.; Burtoloso, A.C.B. Coupling of Sulfoxonium Ylides with Arynes: A Direct Synthesis of Pro-Chiral Aryl Ketosulfoxonium Ylides and Its Application in the Preparation of α-Aryl Ketones. Org. Lett. 2018, 20, 7206–7211. [Google Scholar] [CrossRef] [PubMed]
  29. Zhu, S.; Shi, K.; Zhu, H.; Jia, Z.-K.; Xia, X.-F.; Wang, D.; Zou, L.-H. Copper-Catalyzed Annulation or Homocoupling of Sulfoxonium Ylides: Synthesis of 2,3-Diaroylquinolines or α,α,β-Tricarbonyl Sulfoxonium Ylides. Org. Lett. 2020, 22, 1504–1509. [Google Scholar] [CrossRef] [PubMed]
  30. Rahman, M.M.; Szostak, M. Synthesis of Sulfoxonium Ylides from Amides by Selective N–C(O) Activation. Org. Lett. 2021, 23, 4818–4822. [Google Scholar] [CrossRef] [PubMed]
  31. Gola, A.K.; Sharma, A.; Pandey, S.K. Synthesis of α-Carbonyl-α′-amide Sulfoxonium Ylides from Isocyanates with Complete Atom Economy. Org. Lett. 2023, 25, 1214–1217. [Google Scholar] [CrossRef]
  32. Yuan, Y.; Wu, X.-F. Direct Access to 1,1-Dicarbonyl Sulfoxonium Ylides from Aryl Halides or Triflates: Palladium-Catalyzed Carbonylation. Org. Lett. 2019, 21, 5310–5314. [Google Scholar] [CrossRef] [PubMed]
  33. Yuan, Y.; Chen, B.; Zhang, Y.; Wu, X.F. Pd/C-Catalyzed Carbonylative Synthesis of α-Carbonyl-α′-Amide Sulfoxonium Ylides from Azides. J. Org. Chem. 2020, 85, 5733–5740. [Google Scholar] [CrossRef] [PubMed]
  34. Caiuby, C.A.D.; Vidal, L.; Burtoloso, A.C.B.; Aïssa, C. Cyclic Sulfoxonium Ylides: Synthesis and Chemospecific Reactivity in the Catalytic Alkylation of Indoles. ChemCatChem. 2023, 15, e202201643. [Google Scholar] [CrossRef]
  35. Janot, C.; Palamini, P.; Dobson, B.C.; Muir, J.; Aïssa, C. Palladium-Catalyzed Synthesis of Bis-Substituted Sulfoxonium Ylides. Org. Lett. 2019, 21, 296–299. [Google Scholar] [CrossRef] [PubMed]
  36. Janot, C.; Chagnoleau, J.B.; Halcovitch, N.R.; Muir, J.; Aïssa, C. Palladium-Catalyzed Synthesis of α-Carbonyl-α′-(hetero)aryl Sulfoxonium Ylides: Scope and Insight into the Mechanism. J. Org. Chem. 2020, 85, 1126–1137. [Google Scholar] [CrossRef] [PubMed]
  37. Munaretto, L.S.; dos Santos, C.Y.; Gallo, R.D.C.; Okada, C.Y., Jr.; Delfon, V.M.; Jurberg, I.D. Visible-Light-Mediated Strategies to Assemble Alkyl 2-Carboxylate-2,3,3-Trisubstituted β-Lactams and 5-Alkoxy-2,2,4-Trisubstituted Furan-3(2H)-ones Using Aryldiazoacetates and Aryldiazoketones. Org. Lett. 2021, 23, 9292–9296. [Google Scholar] [CrossRef]
  38. Khade, V.V.; Thube, A.S.; Warghude, P.K.; Bhat, R.G. DABCO Mediated One Pot Synthesis of Sulfoxonium Ylides under Blue LED. Tetrahedron Lett. 2021, 77, 153258. [Google Scholar] [CrossRef]
  39. Echemendía, R.; de Oliviera, K.T.; Burtoloso, A.C.B. Visible-Light-Promoted Synthesis of 1,3-Dicarbonyl Sulfoxonium Ylides. Org. Lett. 2022, 24, 6386–6390. [Google Scholar] [CrossRef] [PubMed]
  40. Mishra, U.K.; Patel, K.; Ramasastry, S.S.V. Synthesis of Cyclopropanoids via Substrate-Based Cyclization Pathways. Org. Lett. 2019, 21, 175–179. [Google Scholar] [CrossRef]
  41. Patel, K.; Mishra, U.K.; Mukhopadhyay, D.; Ramasastry, S.S.V. Beyond the Corey–Chaykovsky Reaction: Synthesis of Unusual Cyclopropanoids via Desymmetrization and Thereof. Chem. Asian. J. 2019, 14, 4568–4571. [Google Scholar] [CrossRef] [PubMed]
  42. Singh, B.; Ansari, A.J.; Malik, N.; Ramasastry, S.S.V. An Interrupted Corey–Chaykovsky Reaction of Designed Azaarenium Salts: Synthesis of Complex Polycyclic Spiro- and Fused Cyclopropanoids. Chem. Sci. 2023, 14, 6963–6969. [Google Scholar] [CrossRef] [PubMed]
  43. Maurya, J.P.; Ramasastry, S.S.V. Interrupted Corey–Chaykovsky Reaction of Tethered Bis-Enones to Access 2,3-Epoxy-hexahydrofluoren-9-ones. Org. Lett. 2024, 26, 4571–4575. [Google Scholar] [CrossRef] [PubMed]
  44. Gabriel, S. Ueber vinylamine. Ber. dtsch. chem. Ges. 1888, 21, 1049–1057. [Google Scholar] [CrossRef]
  45. Gabriel, S. Ueber Vinylamin und Bromäthylamin.(II.). Ber. dtsch. chem. Ges. 1888, 21, 2664–2669. [Google Scholar] [CrossRef]
  46. Padwa, A. Comprehensive Heterocyclic Chemistry III; Ramsden, A., Scriven, E.F.V., Taylor, R.J.K., Eds.; Elsevier: Oxford, UK, 2008; Chapter 1; pp. 1–104. [Google Scholar]
  47. Singh, G.S.; D’hooghe, M.; Kimpe, N.D. Synthesis and Reactivity of C-Heteroatom-Substituted Aziridines. Chem. Rev. 2007, 107, 2080. [Google Scholar] [CrossRef]
  48. Sweeney, J.B. Chapter 4: Synthesis of Aziridines. In Aziridines and Epoxides in Organic Synthesis; Yudin, A., Ed.; Wiley-VCH: Weinheim, Germany, 2006; pp. 117–144. [Google Scholar]
  49. Aggarwal, V.K.; Badine, M.; Moorthie, V. Chapter 1: Asymmetric Synthesis of Epoxides and Aziridines from Aldehydes and Imines. In Aziridines and Epoxides in Organic Synthesis; Yudin, A., Ed.; Wiley-VCH: Weinheim, Germany, 2006; pp. 1–35. [Google Scholar]
  50. Zhou, P.; Chen, B.-C.; Davis, F.A. Chapter 3: Asymmetric Syntheses with Aziridinecarboxylate and Aziridinephosphonate Building Blocks. In Aziridines and Epoxides in Organic Synthesis; Yudin, A., Ed.; Wiley-VCH: Weinheim, Germany, 2006; pp. 73–115. [Google Scholar]
  51. Padwa, A.; Murphree, S. Chapter 4.1: Three-membered Ring Systems. In Progress in Heterocyclic Chemistry; Gribble, G.W., Gilchrist, T.L., Eds.; Elsevier Science: Oxford, UK, 2003; Volumes 12 and 15, pp. 57–99. [Google Scholar]
  52. Aggarwal, V.K.; Winn, C.L. Catalytic, Asymmetric Sulfur Ylide-Mediated Epoxidation of Carbonyl Compounds:  Scope, Selectivity, and Applications in Synthesis. Acc. Chem. Res. 2004, 37, 611–620. [Google Scholar] [CrossRef] [PubMed]
  53. McGarrigle, E.M.; Myers, E.L.; Illa, O.; Shaw, M.A.; Riches, S.L.; Aggarwal, V.K. Chalcogenides as Organocatalysts. Chem. Rev. 2007, 107, 5841–5883. [Google Scholar] [CrossRef] [PubMed]
  54. Davis, R.L.; Stiller, J.; Naicker, T.; Jiang, H.; Jørgensen, K.A. Asymmetric Organocatalytic Epoxidations: Reactions, Scope, Mechanisms, and Applications. Angew. Chem. Int. Ed. 2014, 53, 7406–7426. [Google Scholar] [CrossRef] [PubMed]
  55. Pellissier, H. Recent Developments in Asymmetric Aziridination. Tetrahedron 2010, 66, 1509–1555. [Google Scholar] [CrossRef]
  56. Osborn, H.M.I.; Sweeney, J.B. The Asymmetric Synthesis of Aziridines. Tetrahedron Asymmetry 1997, 8, 1693–1715. [Google Scholar] [CrossRef]
  57. Muller, P.; Fruit, C. Enantioselective Catalytic Aziridinations and Asymmetric Nitrene Insertions into CH Bonds. Chem. Rev. 2003, 103, 2905–2920. [Google Scholar] [CrossRef] [PubMed]
  58. Mçssner, C.; Bolm, C. Transition Metals for Organic Synthesis, 2nd ed.; Beller, M., Bolm, C., Eds.; Wiley-VCH: Weinheim, Germany, 2004; pp. 389–402. [Google Scholar]
  59. Aggarwal, V.K.; McGarrigle, E.M.; Shaw, M.A. Chapter 2.6.: Epoxidation and Aziridination of Carbonyl Groups and Imines. In Science of Synthesis: Stereoselective Synthesis; Georg Thieme Verlag: Stuttgart, Germany, 2011; Volume 37, pp. 311–347. [Google Scholar]
  60. Muchalski, H.; Johnston, J.N. Transformations of Alkenes: Aziridination. In Science of Synthesis; Georg Thieme Verlag: Stuttgart, Germany, 2011; Volume 1, pp. 155–184. [Google Scholar]
  61. Karila, D.; Dodd, R.H. Recent Progress in Iminoiodane-Mediated Aziridination of Olefins. Curr. Org. Chem. 2011, 15, 1509–1538. [Google Scholar] [CrossRef]
  62. Pellissier, H. Recent Developments in Asymmetric Aziridination. Adv. Synth. Catal. 2014, 356, 1899–1935. [Google Scholar] [CrossRef]
  63. Mondal, M.; Connolly, S.; Chen, S.; Mitra, S.; Kerrigan, N.J. Recent Developments in Stereoselective Reactions of Sulfonium Ylides. Organics 2022, 3, 320–363. [Google Scholar] [CrossRef]
  64. Yang, Y.; Huang, Y.; Qing, F.L. Asymmetric Synthesis of Trifluoromethylated Aziridines from CF3-Substituted N-tert-butanesulfinyl Ketimines. Tetrahedron Lett. 2013, 54, 3826–3830. [Google Scholar] [CrossRef]
  65. Marsini, M.A.; Reeves, J.T.; Desrosiers, J.-N.; Herbage, M.A.; Savoie, J.; Li, Z.; Fandrick, K.R.; Sader, C.A.; McKibben, B.; Gao, D.A.; et al. Diastereoselective Synthesis of α-Quaternary Aziridine-2-carboxylates via Aza-Corey–Chaykovsky Aziridination of N-tert-Butanesulfinyl Ketimino Esters. Org. Lett. 2015, 17, 5614–5617. [Google Scholar] [CrossRef] [PubMed]
  66. Zhai, P.; Fang, Y.; Li, W.; Lin, J.; Li, X. Three-Component Synthesis of Di-Keto Aziridines and Highly Functionalized Alkenes from Sulfoxonium Ylides, Nitrosoarenes, and Alkynes. J. Org. Chem. 2023, 88, 12194–12207. [Google Scholar] [CrossRef] [PubMed]
  67. Tangara, S.; Kanazawa, A.; Py, S. The Baldwin Rearrangement: Synthesis of 2-Acylaziridines. Eur. J. Org. Chem. 2017, 2017, 6357–6364. [Google Scholar] [CrossRef]
  68. Kakei, H.; Sone, T.; Sohtome, Y.; Matsunaga, S.; Shibasaki, M. Catalytic Asymmetric Cyclopropanation of Enones with Dimethyloxosulfonium Methylide Promoted by a La-Li3-(Biphenyldiolate)3 + NaI Complex. J. Am. Chem. Soc. 2007, 129, 13410–13411. [Google Scholar] [CrossRef]
  69. Lin, J.-W.; Kurniawan, Y.D.; Chang, W.-J.; Leu, W.-J.; Chan, S.-H.; Hou, D.-R. Asymmetric Synthesis of (–)-Brevipolide H through Cyclopropanation of the α,β-Unsaturated Ketone. Org. Lett. 2014, 16, 5328–5331. [Google Scholar] [CrossRef] [PubMed]
  70. Angamanthu, V.; Chang, W.-J.; Hou, D.-R. Anti-addition of Dimethylsulfoxonium Methylide to Acyclic α,β-Unsaturated Ketones and Its Application in Formal Synthesis of an Eicosanoid. ACS Omega 2017, 2, 4088–4099. [Google Scholar] [CrossRef] [PubMed]
  71. Wang, L.; Cao, W.; Mei, H.; Hu, L.; Feng, X. Catalytic Asymmetric Synthesis of Chiral Spiro-cyclopropyl Oxindoles from 3-Alkenyl-oxindoles and Sulfoxonium Ylides. Adv. Synth. Catal. 2018, 360, 4089–4093. [Google Scholar] [CrossRef]
  72. Bisag, G.B.; Pecchini, P.; Mancinelli, M.; Fochi, M.; Bernardi, L. Sulfoxonium Ylides in Aminocatalysis: An Enantioselective Entry to Cyclopropane-Fused Chromanol Structures. Org. Lett. 2022, 24, 5468–5473. [Google Scholar] [CrossRef] [PubMed]
  73. Pian, J.; Chen, Q.; Luo, Y.; Zhao, Z.; Liu, J.; He, L.; Li, W.-S. Asymmetric Synthesis of Chiral Cyclopropanes from Sulfoxonium Ylides Catalyzed by a Chiral-at-Metal Rh(III) Complex. Org. Lett. 2022, 24, 5641–5645. [Google Scholar] [CrossRef] [PubMed]
  74. Hong, T.; Liu, Y.; Zhao, K.; Cheng, S.; Liu, Q.; Zhang, S.; Zhong, Y.; Li, X.; Zhao, Z. Synthesis of Cyclopropanes through Gold-Catalyzed [2 + 1] Cycloaddition of Allenamides with Sulfoxonium Ylides. Org. Biomol. Chem. 2023, 21, 3684–3690. [Google Scholar] [CrossRef]
  75. Deshwal, S.; Gopalakrishnan, D.K.; Purohit, A.; Karmakar, T.; Vaitla, J. Diastereoselective Cyclopropanation of α,β-Unsaturated Carbonyl Compounds with Vinyl Sulfoxonium Ylides. Org. Biomol. Chem. 2024, 22, 6294–6307. [Google Scholar] [CrossRef] [PubMed]
  76. Heravi, M.M.; Zadsirjan, V.; Daraie, M.; Ghanbarian, M. Applications of Wittig Reaction in the Total Synthesis of Natural Macrolides. ChemistrySelect 2020, 5, 9654–9690. [Google Scholar] [CrossRef]
  77. Byrne, P.A.; Gilheany, D.G. Unequivocal Experimental Evidence for a Unified Lithium Salt-Free Wittig Reaction Mechanism for All Phosphonium Ylide Types: Reactions with β-Heteroatom-Substituted Aldehydes Are Consistently Selective for cis-Oxaphosphetane-Derived Products. J. Am. Chem. Soc. 2012, 134, 9225–9239. [Google Scholar] [CrossRef] [PubMed]
  78. Peterson, D.J. Carbonyl Olefination Reaction using Silyl-Substituted Organometallic Compounds. J. Org. Chem. 1968, 33, 780–784. [Google Scholar] [CrossRef]
  79. Baudin, J.B.; Hareau, G.; Julia, S.A.; Ruel, O. A Direct Synthesis of Olefins by Reaction of Carbonyl Compounds with Lithio Derivatives of 2-[alkyl- or (2′-alkenyl)- or benzyl-sulfonyl]-benzothiazoles. Tetrahedron Lett. 1991, 32, 1175–1178. [Google Scholar] [CrossRef]
  80. Tebbe, F.N.; Parshall, G.W.; Reddy, G.S. Olefin Homologation with Titanium Methylene Compounds. J. Am. Chem. Soc. 1978, 100, 3611–3613. [Google Scholar] [CrossRef]
  81. Horner, L.; Hoffmann, H.; Wippel, H.G. Phosphororganische Verbindungen, XII. Phosphinoxyde als olefinierungsreagenzien. Chem. Ber. 1958, 91, 61–63. [Google Scholar] [CrossRef]
  82. Niyomchon, S.; Oppedisano, A.; Aillard, P.; Maulide, N. A Three-Membered Ring Approach to Carbonyl Olefination. Nat. Commun. 2017, 8, 1091. [Google Scholar] [CrossRef] [PubMed]
  83. Neuhaus, J.D.; Bauer, A.; Pinto, A.; Maulide, N. A Catalytic Cross-Olefination of Diazo Compounds with Sulfoxonium Ylides. Angew. Chem. Int. Ed. 2018, 57, 16215–16218. [Google Scholar] [CrossRef]
  84. Gopalakrishnan, D.K.; Bhardwaj, S.; Kumar, S.; Karmakar, T.; Vaitla, J. Carbene-mediated Stereoselective Olefination of Vinyl Sulfoxonium Ylides with Diazo Compounds and Acetals. Chem. Commun. 2024, 60, 3846–3849. [Google Scholar] [CrossRef] [PubMed]
  85. Hu, M.; Wu, Z.; Yao, B.; Li, J.; Wu, Z.; Jiang, H. Pd-Catalyzed Sequential Formation of C–C Bonds: A New Strategy for the Synthesis of (E)-α,β-Unsaturated Carbonyl Compounds from Sulfoxonium Ylides and 1-Iodo-2-((2-methylallyl)oxy)benzene Compounds. J. Org. Chem. 2021, 86, 11545–11556. [Google Scholar] [CrossRef] [PubMed]
  86. Xu, Y.; Gao, Y.; Su, L.; Wu, H.; Tian, H.; Zeng, M.; Xu, C.; Zhu, X.; Liao, K. High-Throughput Experimentation and Machine Learning-Assisted Optimization of Iridium-Catalyzed Cross-Dimerization of Sulfoxonium Ylides. Angew. Chem. 2023, 135, e202313638. [Google Scholar] [CrossRef]
  87. Camara, V.S.; da Silva, A.L.; da Luz, L.C.; Rodembusch, F.S.; Santiago, P.H.O.; Ellena, J.; Burtoloso, A.C.B. Unveiling a Strategy for Ring Opening of Epoxides: Synthesis of 2-Hydroxyindolinylidenes Using α-Ester Sulfoxonium Ylides. Org. Lett. 2024, 26, 1034–1039. [Google Scholar] [CrossRef]
  88. Abe, T.; Suzuki, T.; Anada, M.; Matsunaga, S.; Yamada, K. 2-Hydroxyindoline-3-triethylammonium Bromide: A Reagent for Formal C3-Electrophilic Reactions of Indoles. Org. Lett. 2017, 19, 4275–4278. [Google Scholar] [CrossRef] [PubMed]
  89. Mangion, I.K.; Nwamba, I.K.; Shevlin, M.; Huffman, M.A. Iridium-Catalyzed X-H Insertions of Sulfoxonium Ylides. Org. Lett. 2009, 11, 3566–3569. [Google Scholar] [CrossRef]
  90. Mangion, I.K.; Weisel, M. Gold (I) catalysis of X–H bond insertions. Tetrahedron Lett. 2010, 51, 5490–5492. [Google Scholar] [CrossRef]
  91. Momo, P.B.; Levielle, A.N.; Farrar, E.H.E.; Grayson, M.N.; Mattson, A.E.; Burtoloso, A.C.B. Enantioselective S-H Insertion Reactions of α-Carbonyl Sulfoxonium Ylides. Angew. Chem. Int. Ed. 2020, 59, 15554–15559. [Google Scholar] [CrossRef] [PubMed]
  92. Furniel, L.G.; Echemendía, R.; Burtoloso, A.C.B. Cooperative Copper-squaramide Catalysis for the Enantioselective N–H Insertion Reaction with Sulfoxonium Ylides. Chem. Sci. 2021, 12, 7453–7459. [Google Scholar] [CrossRef] [PubMed]
  93. Leveille, A.N.; Echemendía, R.; Mattson, A.E.; Burtoloso, A.C.B. Enantioselective Indole Insertion Reactions of α-Carbonyl Sulfoxonium Ylides. Org. Lett. 2021, 23, 9446–9450. [Google Scholar] [CrossRef]
  94. Guo, W.; Wang, M.; Han, Z.; Huang, H.; Sun, J. Organocatalytic Asymmetric Synthesis of α-Amino Esters from Sulfoxonium Ylides. Chem. Sci. 2021, 12, 11191–11196. [Google Scholar] [CrossRef] [PubMed]
  95. Seitz, M.; Reiser, O. Synthetic Approaches Towards Structurally Diverse γ-Butyrolactone Natural-product-like Compounds. Curr. Opin. Chem. Biol. 2005, 9, 285–292. [Google Scholar] [CrossRef] [PubMed]
  96. Hoffman, H.M.R.; Rabe, J. Synthesis and Biological Activity of α-Methylene-γ-butyrolactones. Angew. Chem., Int. Ed. 1985, 24, 94–110. [Google Scholar] [CrossRef]
  97. Koch, S.S.C.; Chamberlain, A.R. Studies in Natural Products Chemistry; Atta-ur-Rahman, Ed.; Elsevier Science: New York, NY, USA, 1995; Volume 16, pp. 687–725. [Google Scholar]
  98. de March, P.; Figueredo, M.; Font, J.; Raya, J. Highly Efficient, Enantioselective Synthesis of (+)-Grandisol from a C2-Symmetric Bis(α,β-butenolide). Org. Lett. 2000, 2, 163–165. [Google Scholar] [CrossRef] [PubMed]
  99. Ghosh, A.K.; Swanson, L. Enantioselective Synthesis of (+)-Cryptophycin 52 (LY355703), a Potent Antimitotic Antitumor Agent. J. Org. Chem. 2003, 68, 9823–9826. [Google Scholar] [CrossRef] [PubMed]
  100. Mondal, M.; Ho, H.-J.; Peraino, N.J.; Gary, M.A.; Wheeler, K.A.; Kerrigan, N.J. Diastereoselective Reaction of Sulfoxonium Ylides, Aldehydes and Ketenes: An Approach to trans-γ-Lactones. J. Org. Chem. 2013, 78, 4587–4593. [Google Scholar] [CrossRef] [PubMed]
  101. Peraino, N.J.; Wheeler, K.A.; Kerrigan, N.J. Diastereoselective synthesis of γ-lactones through reaction of enediolates with α,β-unsaturated sulfoxonium salts. Org. Lett. 2015, 17, 1735–1737. [Google Scholar] [CrossRef]
  102. Peraino, N.J.; Kaster, S.H.; Wheeler, K.A.; Kerrigan, N.J. Asymmetric synthesis of γ-lactones through Koga amine-controlled addition of enediolates to α,β-unsaturated sulfoxonium salts. J. Org. Chem. 2017, 82, 606–615. [Google Scholar] [CrossRef] [PubMed]
  103. Peraino, N.J.; Mondal, M.; Ho, H.J.; Beuque, A.; Viola, E.; Gary, M.; Wheeler, K.A.; Kerrigan, N.J. Synthesis of γ-Lactones through Reaction of Sulfoxonium Ylides, Aldehydes, and Ketenes: Substrate Scope and Mechanistic Studies. Eur. J. Org. Chem. 2021, 2021, 151–160. [Google Scholar] [CrossRef]
  104. Okuma, K.; Tanaka, Y.; Ohta, H. Novel reaction course of oxosulfonium ylides to sulfurane oxides. J. Am. Chem. Soc. 1981, 103, 5976–5977. [Google Scholar] [CrossRef]
  105. Ohno, F.; Kawashima, T.; Okazaki, R. Synthesis, Crystal Structure, and Thermolysis of a Pentacoordinate 1,2λ6-Oxathietane:  An Intermediate of the Corey–Chaykovsky Reaction of Oxosulfonium Ylides? J. Am. Chem. Soc. 1996, 118, 697–698. [Google Scholar] [CrossRef]
  106. Kawashima, T.; Ohno, F.; Okazaki, R.; Ikeda, H.; Inagaki, S. Experimental and Theoretical Evidence for Oxirane Formation Reaction of Pentacoordinate 1,2λ6-Oxathietanes with Retention of Configuration. J. Am. Chem. Soc. 1996, 118, 12455–12456. [Google Scholar] [CrossRef]
  107. Lau, P.H.W.; Martin, J.C. Sulfuranes. 30. An Alkylaryldialkoxysulfurane Oxide with Labile α-Protons. A New Kind of Pentacoordinated Sulfur Ylide. J. Am. Chem. Soc. 1977, 99, 5490–5491. [Google Scholar] [CrossRef]
  108. Marino, J.P.; Neisser, M. Stereospecific Reactions of Dichloroketene with Vinyl Sulfoxides: A New Type of Polar Cycloaddition. J. Am. Chem. Soc. 1981, 103, 7687–7689. [Google Scholar] [CrossRef]
  109. Peraino, N.J.; Ho, H.-J.; Mondal, M.; Kerrigan, N.J. Asymmetric Synthesis of γ-Lactones Through Reaction of Sulfoxonium Ylides, Aldehydes, and Ketenes. Tetrahedron Lett. 2014, 55, 4260–4263. [Google Scholar] [CrossRef]
  110. Johnson, C.R.; Haake, M.; Schroeck, C.W. Chemistry of Sulfoxides and Related Compounds. XXVI. Preparation and Synthetic Applications of (Dimethylamino)phenyloxosulfonium Methylide. J. Am. Chem. Soc. 1970, 92, 6594–6598. [Google Scholar] [CrossRef]
  111. Johnson, C.R.; Schroeck, C.W. Chemistry of Sulfoxides and Related Compounds. XLV. Asymmetric Syntheses using Optically Active Oxosulfonium Alkylides. J. Am. Chem. Soc. 1973, 95, 7418–7423. [Google Scholar] [CrossRef]
  112. Johnson, C.R.; Shroeck, C.W.; Shanklin, J.R. Chemistry of Sulfoxides and Related Compounds. XLVIII. Mechanism of Nucleophilic Alkylidene Transfer by Sulfonium and Oxosulfonium Ylides. J. Am. Chem. Soc. 1973, 95, 7424–7431. [Google Scholar] [CrossRef]
  113. Brandt, J.; Gais, H.-J. An Efficient Resolution of (±)-S-methyl-S-phenylsulfoximine with (+)-10-Camphorsulfonic acid By the Method of Half-quantities. Tetrahedron Asymmetry 1997, 8, 909–912. [Google Scholar] [CrossRef]
  114. Chai, Y.; Hong, S.-P.; Lindsay, H.A.; McFarland, C.; McIntosh, M.C. New Aspects of the Ireland and Related Claisen Rearrangements. Tetrahedron 2002, 58, 2905–2928. [Google Scholar] [CrossRef]
  115. Martin, J.C.; Perozzi, E.F. Sulfuranes. XII. Relative Reactivities of Acyclic, Cyclic and Spirobicyclic Sulfuranes and Sulfurane Oxides. J. Am. Chem. Soc. 1974, 96, 3155–3168. [Google Scholar] [CrossRef]
  116. Rongione, J.C.; Martin, J.C. Replacing Apical-Substituent Methyl Groups By Trifluoromethyl Groups in 10-S-5 Hypervalent Sulfur Species Provides Less Acidic Carbon-Hydrogen Bonds on Equatorial Methyls. J. Am. Chem. Soc. 1990, 112, 1637–1638. [Google Scholar] [CrossRef]
  117. Drabowicz, J.; Martin, J.C. Stereochemistry of Spirosulfuranes and Their Oxides: Static and Synamic Aspects. Pure Appl. Chem. 1996, 68, 951–956. [Google Scholar] [CrossRef]
  118. Drabowicz, J.; Martin, J.C. The First Optically Active Spirosulfurane Oxides: Stereoselective Syntheses and Racemization Processes. Phosphorus Sulfur Silicon Relat. Elem. 1993, 74, 439–440. [Google Scholar] [CrossRef]
  119. Li, S.-S.L.; Qin, Q.; Qi, Z.; Yang, L.-M.; Kang, Y.; Zhang, X.-Z.; Ma, A.-J.; Peng, J.B. Synthesis of Disubstituted γ-Butyrolactones and Spirocyclopropanes via a Multicomponent Reaction of Aldehydes, Meldrum’s acid and Sulfoxonium Ylides. Org. Chem. Front. 2021, 8, 3069–3075. [Google Scholar] [CrossRef]
  120. Wilson, C.L. Reactions of Furan Compounds. VII. Thermal Interconversion of 2,3-Dihydrofuran and Cyclopropane Aldehyde. J. Am. Chem. Soc. 1947, 69, 3002–3004. [Google Scholar] [CrossRef]
  121. Cloke, J.B. The Formation of Pyrrolines From γ-Chloropropyl and Cyclopropyl Ketimines. J. Am. Chem. Soc. 1929, 51, 1174–1187. [Google Scholar] [CrossRef]
  122. Ortega, A.; Manzano, R.; Uria, U.; Carrillo, L.; Reyes, E.; Tejero, T.; Merino, P.; Vicario, J.L. Catalytic Enantioselective Cloke-Wilson Rearrangement. Angew. Chem., Int. Ed. 2018, 57, 8225–8229. [Google Scholar] [CrossRef]
  123. Schomaker, J.M.; Pulgam, V.R.; Borhan, B. Synthesis of Diastereomerically and Enantiomerically Pure 2,3-Disubstituted Tetrahydrofurans Using a Sulfoxonium Ylide. J. Am. Chem. Soc. 2004, 126, 13600–13601. [Google Scholar] [CrossRef]
  124. Schomaker, J.M.; Bhattacharjee, S.; Yan, J.; Borhan, B. Diastereomerically and Enantiomerically Pure 2,3-Disubstituted Pyrrolidines from 2,3-Aziridin-1-ols Using a Sulfoxonium Ylide: A One-Carbon Homologative Relay Ring Expansion. J. Am. Chem. Soc. 2007, 129, 1996–2003. [Google Scholar] [CrossRef]
  125. Schomaker, J.M.; Geiser, A.R.; Huang, R.; Borhan, B. Tetrasubstituted Pyrrolidines via a Tandem Aza-Payne/Hydroamination Reaction. J. Am. Chem. Soc. 2007, 129, 3794–3795. [Google Scholar] [CrossRef] [PubMed]
  126. Ding, H.; Lv, G.; Chen, Y.; Luo, Y.; Li, J.; Guo, L.; Wu, Y. Synthesis of 2,3-dihydrofurans via Lewis acid-Catalyzed [4+1] Cycloaddition of Enynones with Sulfoxonium Ylides in Ionic Liquids: A Mild and Green Platform. ChemistrySelect 2020, 5, 8562–8565. [Google Scholar] [CrossRef]
  127. Luo, N.; Zhan, Z.; Ban, Z.; Lu, G.; He, J.; Hu, F.; Huang, G. Brønsted Acid-Promoted Diastereoselective [4+1] Cyclization Reaction of Enamides and Sulfoxonium Ylides. Adv. Synth. Catal. 2020, 362, 3126–3130. [Google Scholar] [CrossRef]
  128. Zhou, T.; Qian, P.-F.; Li, J.-Y.; Zhou, Y.-B.; Li, H.-C.; Chen, H.-Y.; Shi, B.-F. Efficient Synthesis of Sulfur-Stereogenic Sulfoximines via Ru(II)-Catalyzed Enantioselective C-H Functionalization Enabled By Chiral Carboxylic Acid. J. Am. Chem. Soc. 2021, 143, 6810–6816. [Google Scholar] [CrossRef] [PubMed]
  129. He, C.; Tang, Y.; Tang, S.; Sun, J. Iridium-Catalyzed Diasteo- and Enantioselective [4+1] Cycloaddition Hydroxyallyl Anilines with Sulfoxonium Ylides. Org. Lett. 2023, 25, 4621–4626. [Google Scholar] [CrossRef] [PubMed]
  130. Hamilton, J.Y.; Sarlah, D.; Carreira, E.M. Iridium-Catalyzed Enantioselective Allyl—Alkene Coupling. J. Am. Chem. Soc. 2014, 136, 3006–3009. [Google Scholar] [CrossRef] [PubMed]
  131. Rossler, S.L.; Krautwald, S.; Carreira, E.M. Study of Intermediates in Iridium-(Phosphoramidite, Olefin)-Catalyzed Enantioselective Allylic Substitution. J. Am. Chem. Soc. 2017, 139, 3603–3606. [Google Scholar] [CrossRef]
Scheme 1. Epoxidation, aziridination and cyclopropanation reactions are the most common applications of the Johnson–Corey–Chaykovsky reaction.
Scheme 1. Epoxidation, aziridination and cyclopropanation reactions are the most common applications of the Johnson–Corey–Chaykovsky reaction.
Molecules 30 00655 sch001
Scheme 2. Chemoselectivity comparison of sulfoxonium and sulfonium ylides in reaction with α,β-unsaturated carbonyl compounds.
Scheme 2. Chemoselectivity comparison of sulfoxonium and sulfonium ylides in reaction with α,β-unsaturated carbonyl compounds.
Molecules 30 00655 sch002
Scheme 3. Applications of α-aminosulfoxonium ylides carried out by Johnson and colleagues.
Scheme 3. Applications of α-aminosulfoxonium ylides carried out by Johnson and colleagues.
Molecules 30 00655 sch003
Scheme 4. Canonical forms of sulfoxonium ylides: ylide and ylene.
Scheme 4. Canonical forms of sulfoxonium ylides: ylide and ylene.
Molecules 30 00655 sch004
Scheme 5. Most common pathway to prepare dimethylsulfoxonium methylide from DMSO.
Scheme 5. Most common pathway to prepare dimethylsulfoxonium methylide from DMSO.
Molecules 30 00655 sch005
Scheme 6. Vaitla’s rhodium-catalyzed synthesis of sulfoxonium ylides via in situ formed iodonium ylides and sulfoxides.
Scheme 6. Vaitla’s rhodium-catalyzed synthesis of sulfoxonium ylides via in situ formed iodonium ylides and sulfoxides.
Molecules 30 00655 sch006
Scheme 7. Burtoloso’s synthesis of pro-chiral α-aryl-α-carbonyl sulfoxonium ylides from the cross-coupling of arenes and sulfoxonium ylides.
Scheme 7. Burtoloso’s synthesis of pro-chiral α-aryl-α-carbonyl sulfoxonium ylides from the cross-coupling of arenes and sulfoxonium ylides.
Molecules 30 00655 sch007
Scheme 8. Proposed reaction mechanism of the copper-catalyzed homocoupling of α-ketosulfoxonium ylides.
Scheme 8. Proposed reaction mechanism of the copper-catalyzed homocoupling of α-ketosulfoxonium ylides.
Molecules 30 00655 sch008
Scheme 9. Szostak and Rahman’s synthesis of α-ketosulfoxonium ylides from amides and dimethylsulfoxonium methylide.
Scheme 9. Szostak and Rahman’s synthesis of α-ketosulfoxonium ylides from amides and dimethylsulfoxonium methylide.
Molecules 30 00655 sch009
Scheme 10. Pandey’s synthesis of α-keto-α-amide sulfoxonium ylides from isocyanates and sulfoxonium ylides.
Scheme 10. Pandey’s synthesis of α-keto-α-amide sulfoxonium ylides from isocyanates and sulfoxonium ylides.
Molecules 30 00655 sch010
Scheme 11. Wu’s palladium-catalyzed synthesis of α,α-dicarbonylsulfoxonium ylides and α-carbonyl-α-amidesulfoxonium ylides.
Scheme 11. Wu’s palladium-catalyzed synthesis of α,α-dicarbonylsulfoxonium ylides and α-carbonyl-α-amidesulfoxonium ylides.
Molecules 30 00655 sch011
Scheme 12. Aïssa’s synthesis of cyclic sulfoxonium ylides using palladium-catalysis.
Scheme 12. Aïssa’s synthesis of cyclic sulfoxonium ylides using palladium-catalysis.
Molecules 30 00655 sch012
Scheme 13. Jurberg’s synthesis of α-aryl-α-estersulfoxonium ylides using blue-light.
Scheme 13. Jurberg’s synthesis of α-aryl-α-estersulfoxonium ylides using blue-light.
Molecules 30 00655 sch013
Scheme 14. Bhat’s blue-light induced synthesis of α-aryl-α-estersulfoxonium ylides using DABCO.
Scheme 14. Bhat’s blue-light induced synthesis of α-aryl-α-estersulfoxonium ylides using DABCO.
Molecules 30 00655 sch014
Scheme 15. Burtoloso’s violet light-induced synthesis of α,α-diketosulfoxonium ylides.
Scheme 15. Burtoloso’s violet light-induced synthesis of α,α-diketosulfoxonium ylides.
Molecules 30 00655 sch015
Scheme 16. Proposed reaction mechanism of Ramasastry’s interrupted Johnson–Corey–Chaykovsky reaction of dimethylsulfoxonium methylide and tethered bis-enones.
Scheme 16. Proposed reaction mechanism of Ramasastry’s interrupted Johnson–Corey–Chaykovsky reaction of dimethylsulfoxonium methylide and tethered bis-enones.
Molecules 30 00655 sch016
Scheme 17. Ramasastry’s diastereoselective epoxidation of bis-enone with dimethylsulfoxonium methylide.
Scheme 17. Ramasastry’s diastereoselective epoxidation of bis-enone with dimethylsulfoxonium methylide.
Molecules 30 00655 sch017
Scheme 18. Huang’s asymmetric synthesis of trifluoromethylated aziridines from sulfoxonium ylides and (S)-N-tert-butanesulfinyl ketimines.
Scheme 18. Huang’s asymmetric synthesis of trifluoromethylated aziridines from sulfoxonium ylides and (S)-N-tert-butanesulfinyl ketimines.
Molecules 30 00655 sch018
Scheme 19. Marsini’s diastereoselective aza-Johnson–Corey–Chaykovsky aziridination.
Scheme 19. Marsini’s diastereoselective aza-Johnson–Corey–Chaykovsky aziridination.
Molecules 30 00655 sch019
Scheme 20. Li’s diastereoselective synthesis of chiral diketo aziridines.
Scheme 20. Li’s diastereoselective synthesis of chiral diketo aziridines.
Molecules 30 00655 sch020
Scheme 21. Li’s synthesis of chiral diketo aziridines from nitrosoarenes and terminal alkynes.
Scheme 21. Li’s synthesis of chiral diketo aziridines from nitrosoarenes and terminal alkynes.
Molecules 30 00655 sch021
Scheme 22. Shibasaki’s catalytic asymmetric synthesis of cyclopropanes.
Scheme 22. Shibasaki’s catalytic asymmetric synthesis of cyclopropanes.
Molecules 30 00655 sch022
Scheme 23. Hou’s diastereoselective synthesis of cyclopropanes leading to the formal synthesis of (−)-brevipolide H.
Scheme 23. Hou’s diastereoselective synthesis of cyclopropanes leading to the formal synthesis of (−)-brevipolide H.
Molecules 30 00655 sch023
Scheme 24. Hou’s diastereoselective synthesis of cyclopropanes leading to the formal synthesis of an eicosanoid.
Scheme 24. Hou’s diastereoselective synthesis of cyclopropanes leading to the formal synthesis of an eicosanoid.
Molecules 30 00655 sch024
Scheme 25. Diastereoselective anti-addition of dimethylsulfoxonium ylide to α,β-unsaturated ketone leading to the synthesis of eicosanoid and (−)-brevipolide H.
Scheme 25. Diastereoselective anti-addition of dimethylsulfoxonium ylide to α,β-unsaturated ketone leading to the synthesis of eicosanoid and (−)-brevipolide H.
Molecules 30 00655 sch025
Scheme 26. Feng’s catalytic asymmetric synthesis of spiro-cyclopropyl oxindoles.
Scheme 26. Feng’s catalytic asymmetric synthesis of spiro-cyclopropyl oxindoles.
Molecules 30 00655 sch026
Scheme 27. Ramasastry’s diastereoselective synthesis of cyclopropane-fused tetralones and indeno spirocyclopropanes from interrupted Corey–Chaykovsky reactions.
Scheme 27. Ramasastry’s diastereoselective synthesis of cyclopropane-fused tetralones and indeno spirocyclopropanes from interrupted Corey–Chaykovsky reactions.
Molecules 30 00655 sch027
Scheme 28. Proposed mechanisms for Ramasastry’s interrupted Johnson–Corey–Chaykovsky reactions.
Scheme 28. Proposed mechanisms for Ramasastry’s interrupted Johnson–Corey–Chaykovsky reactions.
Molecules 30 00655 sch028
Scheme 29. Ramasastry’s interrupted Johnson–Corey–Chaykovsky reaction of symmetrical dienones.
Scheme 29. Ramasastry’s interrupted Johnson–Corey–Chaykovsky reaction of symmetrical dienones.
Molecules 30 00655 sch029
Scheme 30. Proposed mechanisms of Ramasastry’s interrupted Johnson–Corey–Chaykovsky reactions of symmetrical dienones.
Scheme 30. Proposed mechanisms of Ramasastry’s interrupted Johnson–Corey–Chaykovsky reactions of symmetrical dienones.
Molecules 30 00655 sch030
Scheme 31. Ramasastry’s unexpected synthesis of vicinal bis-spirocyclic indanones.
Scheme 31. Ramasastry’s unexpected synthesis of vicinal bis-spirocyclic indanones.
Molecules 30 00655 sch031
Scheme 32. Proposed mechanism for Ramasastry’s interrupted Johnson–Corey–Chaykovsky reactions of sulfoxonium ylides and pyridinium salts.
Scheme 32. Proposed mechanism for Ramasastry’s interrupted Johnson–Corey–Chaykovsky reactions of sulfoxonium ylides and pyridinium salts.
Molecules 30 00655 sch032
Scheme 33. Bernardi’s asymmetric aminocatalyzed synthesis of cyclopropane-fused chromanol.
Scheme 33. Bernardi’s asymmetric aminocatalyzed synthesis of cyclopropane-fused chromanol.
Molecules 30 00655 sch033
Scheme 34. Li’s asymmetric catalytic synthesis of 1,2,3-trisubstituted cyclopropanes.
Scheme 34. Li’s asymmetric catalytic synthesis of 1,2,3-trisubstituted cyclopropanes.
Molecules 30 00655 sch034
Scheme 35. Zhao’s diastereoselective cyclopropanation of allenamides with sulfoxonium ylides through Au-catalysis.
Scheme 35. Zhao’s diastereoselective cyclopropanation of allenamides with sulfoxonium ylides through Au-catalysis.
Molecules 30 00655 sch035
Scheme 36. Proposed reaction mechanism of Zhao’s diastereoselective cyclopropanation.
Scheme 36. Proposed reaction mechanism of Zhao’s diastereoselective cyclopropanation.
Molecules 30 00655 sch036
Scheme 37. Vaitla’s diastereoselective cyclopropanation of aryl aldehydes, indane-1,3-dinones and vinyl sulfoxonium ylides using aminocatalysis.
Scheme 37. Vaitla’s diastereoselective cyclopropanation of aryl aldehydes, indane-1,3-dinones and vinyl sulfoxonium ylides using aminocatalysis.
Molecules 30 00655 sch037
Scheme 38. Synthesis of alkenes using sulfoxonium ylides.
Scheme 38. Synthesis of alkenes using sulfoxonium ylides.
Molecules 30 00655 sch038
Scheme 39. Maulide’s ruthenium-catalyzed cross-olefination of sulfoxonium ylides and α-diazoesters.
Scheme 39. Maulide’s ruthenium-catalyzed cross-olefination of sulfoxonium ylides and α-diazoesters.
Molecules 30 00655 sch039
Scheme 40. Vaitla’s stereoselective olefination of vinyl sulfoxonium ylides with diazo compounds and acetals.
Scheme 40. Vaitla’s stereoselective olefination of vinyl sulfoxonium ylides with diazo compounds and acetals.
Molecules 30 00655 sch040
Scheme 41. Jiang’s stereoselective olefination through reaction of β-ketosulfoxonium ylides and 1-iodo-2-((methylallyl)oxy)benzenes using palladium catalysis.
Scheme 41. Jiang’s stereoselective olefination through reaction of β-ketosulfoxonium ylides and 1-iodo-2-((methylallyl)oxy)benzenes using palladium catalysis.
Molecules 30 00655 sch041
Scheme 42. Proposed catalytic cycle of Jiang’s stereoselective olefination.
Scheme 42. Proposed catalytic cycle of Jiang’s stereoselective olefination.
Molecules 30 00655 sch042
Scheme 43. Liao’s diastereoselective synthesis of disubstituted alkenes using iridium-catalysis.
Scheme 43. Liao’s diastereoselective synthesis of disubstituted alkenes using iridium-catalysis.
Molecules 30 00655 sch043
Scheme 44. Reaction mechanism of Liao’s iridium-catalyzed cross-dimerization.
Scheme 44. Reaction mechanism of Liao’s iridium-catalyzed cross-dimerization.
Molecules 30 00655 sch044
Scheme 45. Burtoloso’s diastereoselective synthesis of 2-hydroxyindolin-3-ylidenes 80 from in situ generated epoxide-fused indolines and sulfoxonium ylides.
Scheme 45. Burtoloso’s diastereoselective synthesis of 2-hydroxyindolin-3-ylidenes 80 from in situ generated epoxide-fused indolines and sulfoxonium ylides.
Molecules 30 00655 sch045
Scheme 46. Mangion’s iridium-catalyzed synthesis of aza-heterocyclic products.
Scheme 46. Mangion’s iridium-catalyzed synthesis of aza-heterocyclic products.
Molecules 30 00655 sch046
Scheme 47. Burtoloso’s enantioselective organocatalytic insertion of α-carbonylsulfoxonium ylides and aryl thiols.
Scheme 47. Burtoloso’s enantioselective organocatalytic insertion of α-carbonylsulfoxonium ylides and aryl thiols.
Molecules 30 00655 sch047
Scheme 48. Burtoloso’s enantioselective N–H insertion of anilines by sulfoxonium ylides using cooperative copper–squaramide catalysis.
Scheme 48. Burtoloso’s enantioselective N–H insertion of anilines by sulfoxonium ylides using cooperative copper–squaramide catalysis.
Molecules 30 00655 sch048
Scheme 49. Burtoloso’s enantioselective indole insertion by sulfoxonium ylide using phosphoric acid catalysis.
Scheme 49. Burtoloso’s enantioselective indole insertion by sulfoxonium ylide using phosphoric acid catalysis.
Molecules 30 00655 sch049
Scheme 50. Sun’s chiral phosphoric acid-catalyzed asymmetric N–H insertion of amines and sulfoxonium ylides.
Scheme 50. Sun’s chiral phosphoric acid-catalyzed asymmetric N–H insertion of amines and sulfoxonium ylides.
Molecules 30 00655 sch050
Scheme 51. Kerrigan’s diastereoselective synthesis of trans-γ-lactones.
Scheme 51. Kerrigan’s diastereoselective synthesis of trans-γ-lactones.
Molecules 30 00655 sch051
Scheme 52. Proposed mechanism of Kerrigan’s diastereoselective synthesis of trans-γ-lactones.
Scheme 52. Proposed mechanism of Kerrigan’s diastereoselective synthesis of trans-γ-lactones.
Molecules 30 00655 sch052
Scheme 53. Proposed transition state for [3,3]-rearrangement of intermediate sulfurane oxide.
Scheme 53. Proposed transition state for [3,3]-rearrangement of intermediate sulfurane oxide.
Molecules 30 00655 sch053
Scheme 54. Peng’s diastereoselective synthesis of trans-4,5-disubstituted γ-butyrolactones from aldehydes, sulfoxonium ylides and Meldrum’s acid, using DIPEA.
Scheme 54. Peng’s diastereoselective synthesis of trans-4,5-disubstituted γ-butyrolactones from aldehydes, sulfoxonium ylides and Meldrum’s acid, using DIPEA.
Molecules 30 00655 sch054
Scheme 55. Synthesis of 4-benzoyl-5-(4-methoxyphenyl)-γ-butyrolactone.
Scheme 55. Synthesis of 4-benzoyl-5-(4-methoxyphenyl)-γ-butyrolactone.
Molecules 30 00655 sch055
Scheme 56. Proposed reaction mechanism for Peng’s diastereoselective synthesis of trans-4,5-disubstituted γ-butyrolactones.
Scheme 56. Proposed reaction mechanism for Peng’s diastereoselective synthesis of trans-4,5-disubstituted γ-butyrolactones.
Molecules 30 00655 sch056
Scheme 57. Borhan’s synthesis of diastereomerically and enantiomerically pure 2,3-disubstituted tetrahydrofurans.
Scheme 57. Borhan’s synthesis of diastereomerically and enantiomerically pure 2,3-disubstituted tetrahydrofurans.
Molecules 30 00655 sch057
Scheme 58. Borhan’s diastereoselective synthesis of substituted pyrrolidines 104 from 2,3-aziridin-1-ols 103.
Scheme 58. Borhan’s diastereoselective synthesis of substituted pyrrolidines 104 from 2,3-aziridin-1-ols 103.
Molecules 30 00655 sch058
Scheme 59. Borhan’s diastereoselective aza-Payne/hydroamination of chiral aziridinol.
Scheme 59. Borhan’s diastereoselective aza-Payne/hydroamination of chiral aziridinol.
Molecules 30 00655 sch059
Scheme 60. Wu’s diastereoselective synthesis of 2,3-dihydrofurans from α-ketosulfoxonium ylides and enynones.
Scheme 60. Wu’s diastereoselective synthesis of 2,3-dihydrofurans from α-ketosulfoxonium ylides and enynones.
Molecules 30 00655 sch060
Scheme 61. Proposed reaction mechanism of Wu’s Lewis acid-catalyzed synthesis of 2,3-dihydrofurans.
Scheme 61. Proposed reaction mechanism of Wu’s Lewis acid-catalyzed synthesis of 2,3-dihydrofurans.
Molecules 30 00655 sch061
Scheme 62. Huang’s diastereoselective synthesis of trans-oxazolines using Brønsted acid-catalysis.
Scheme 62. Huang’s diastereoselective synthesis of trans-oxazolines using Brønsted acid-catalysis.
Molecules 30 00655 sch062
Scheme 63. Shi’s enantioselective synthesis of stereogenic sulfur-containing sulfoximines through carboxylic acid-catalysis.
Scheme 63. Shi’s enantioselective synthesis of stereogenic sulfur-containing sulfoximines through carboxylic acid-catalysis.
Molecules 30 00655 sch063
Scheme 64. Sun’s diastereo- and enantioselective synthesis of 3-vinyl indolines from sulfoxonium ylides and hydroxyallyl anilines.
Scheme 64. Sun’s diastereo- and enantioselective synthesis of 3-vinyl indolines from sulfoxonium ylides and hydroxyallyl anilines.
Molecules 30 00655 sch064
Table 1. Selection of results from Ramasastry’s diastereoselective epoxidation.
Table 1. Selection of results from Ramasastry’s diastereoselective epoxidation.
Molecules 30 00655 i001
Table 2. Selected results from Huang’s asymmetric synthesis of trifluoromethylated aziridines.
Table 2. Selected results from Huang’s asymmetric synthesis of trifluoromethylated aziridines.
Molecules 30 00655 i002
Table 3. Diastereoselective synthesis of aziridines from chiral N-tert-butanesulfinyl ketimino esters and sulfoxonium ylides.
Table 3. Diastereoselective synthesis of aziridines from chiral N-tert-butanesulfinyl ketimino esters and sulfoxonium ylides.
Molecules 30 00655 i003
Table 4. Selection of results from Li’s diastereoselective synthesis of chiral diketo aziridines.
Table 4. Selection of results from Li’s diastereoselective synthesis of chiral diketo aziridines.
Molecules 30 00655 i004
Table 5. Selection of Z-olefins formed from Maulide’s cross-olefination.
Table 5. Selection of Z-olefins formed from Maulide’s cross-olefination.
Molecules 30 00655 i005
Table 6. Selection of Jiang’s stereoselective olefination reaction results.
Table 6. Selection of Jiang’s stereoselective olefination reaction results.
Molecules 30 00655 i006
Table 7. Reaction results of Liao’s diastereoselective synthesis of disubstituted alkenes using iridium-catalysis.
Table 7. Reaction results of Liao’s diastereoselective synthesis of disubstituted alkenes using iridium-catalysis.
Molecules 30 00655 i007
Table 8. Selection of trans-γ-lactones from Kerrigan’s diastereoselective synthesis.
Table 8. Selection of trans-γ-lactones from Kerrigan’s diastereoselective synthesis.
Molecules 30 00655 i008
Table 9. Kerrigan’s asymmetric synthesis of γ-lactones.
Table 9. Kerrigan’s asymmetric synthesis of γ-lactones.
Molecules 30 00655 i009
Table 10. Representative reaction results.
Table 10. Representative reaction results.
Molecules 30 00655 i010
Disclaimer/Publisher’s Note: The statements, opinions and data contained in all publications are solely those of the individual author(s) and contributor(s) and not of MDPI and/or the editor(s). MDPI and/or the editor(s) disclaim responsibility for any injury to people or property resulting from any ideas, methods, instructions or products referred to in the content.

Share and Cite

MDPI and ACS Style

O’Shaughnessy, C.; Mondal, M.; Kerrigan, N.J. Recent Developments in Stereoselective Reactions of Sulfoxonium Ylides. Molecules 2025, 30, 655. https://doi.org/10.3390/molecules30030655

AMA Style

O’Shaughnessy C, Mondal M, Kerrigan NJ. Recent Developments in Stereoselective Reactions of Sulfoxonium Ylides. Molecules. 2025; 30(3):655. https://doi.org/10.3390/molecules30030655

Chicago/Turabian Style

O’Shaughnessy, Ciarán, Mukulesh Mondal, and Nessan J. Kerrigan. 2025. "Recent Developments in Stereoselective Reactions of Sulfoxonium Ylides" Molecules 30, no. 3: 655. https://doi.org/10.3390/molecules30030655

APA Style

O’Shaughnessy, C., Mondal, M., & Kerrigan, N. J. (2025). Recent Developments in Stereoselective Reactions of Sulfoxonium Ylides. Molecules, 30(3), 655. https://doi.org/10.3390/molecules30030655

Article Metrics

Back to TopTop