Next Article in Journal
Gamma-Tocopherol: A Comprehensive Review of Its Antioxidant, Anti-Inflammatory, and Anticancer Properties
Next Article in Special Issue
Bifunctional Systems of Amelanchier alnifolia Leaves Extract-Oligosaccharides with Prebiotic and Antidiabetic Benefits
Previous Article in Journal
Towards Improved Bioavailability of Cereal Inositol Phosphates, Myo-Inositol and Phenolic Acids
Previous Article in Special Issue
Stress-Relieving Effects of Green Tea Depend on the Ratio of Its Special Ingredients and the Infusion Conditions
 
 
Font Type:
Arial Georgia Verdana
Font Size:
Aa Aa Aa
Line Spacing:
Column Width:
Background:
Review

Epigallocatechin Gallate (EGCG): Pharmacological Properties, Biological Activities and Therapeutic Potential

1
Department of Precision Medicine, University of Campania Luigi Vanvitelli, Via L. De Crecchio 7, 80138 Naples, Italy
2
National Research Council (CNR), Institute of Biosciences and BioResources (IBBR), Via Università 133, 80055 Portici, Italy
3
Department of Pharmacy, School of Medicine and Surgery, University of Naples Federico II, Via Domenico Montesano 49, 80131 Naples, Italy
4
Department of Life Science, Health, and Health Professions, Link Campus University, 00165 Rome, Italy
5
Department of Biology, University of Naples Federico II, 80126 Naples, Italy
*
Authors to whom correspondence should be addressed.
Molecules 2025, 30(3), 654; https://doi.org/10.3390/molecules30030654
Submission received: 19 December 2024 / Revised: 26 January 2025 / Accepted: 29 January 2025 / Published: 1 February 2025

Abstract

Epigallocatechin gallate (EGCG), the predominant catechin in green tea, comprises approximately 50% of its total polyphenol content and has garnered widespread recognition for its significant therapeutic potential. As the principal bioactive component of Camellia sinensis, EGCG is celebrated for its potent antioxidant, anti-inflammatory, cardioprotective, and antitumor properties. The bioavailability and metabolism of EGCG within the gut microbiota underscore its systemic effects, as it is absorbed in the intestine, metabolized into bioactive compounds, and transported to target organs. This compound has been shown to influence key physiological pathways, particularly those related to lipid metabolism and inflammation, offering protective effects against a variety of diseases. EGCG’s ability to modulate cell signaling pathways associated with oxidative stress, apoptosis, and immune regulation highlights its multifaceted role in health promotion. Emerging evidence underscores EGCG’s therapeutic potential in preventing and managing a range of chronic conditions, including cancer, cardiovascular diseases, neurodegenerative disorders, and metabolic syndromes. Given the growing prevalence of lifestyle-related diseases and the increasing interest in natural compounds, EGCG presents a promising avenue for novel therapeutic strategies. This review aims to summarize current knowledge on EGCG, emphasizing its critical role as a versatile natural bioactive agent with diverse clinical applications. Further exploration in both experimental and clinical settings is essential to fully unlock its therapeutic potential.

1. Introduction

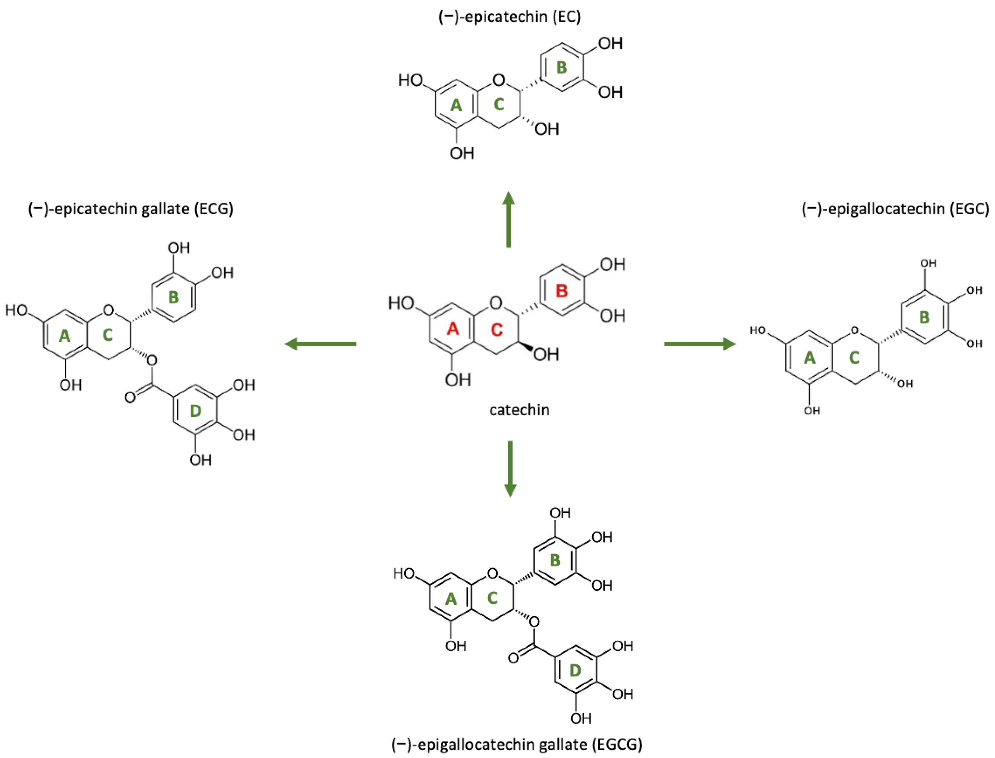
Tea is one of the most popular non-alcoholic beverages consumed worldwide, known not only for its refreshing taste and aromatic qualities, but also for its numerous health benefits. Green tea, particularly favored in Chinese and Japanese cultures, belongs to the Theaceae family and is derived from two main varieties of Camellia sinensis: var. sinensis and var. assamica [1]. It is rich in bioactive compounds, including antioxidants, vitamins, carbohydrates, proteins, minerals, chlorophyll, and polyphenols, which collectively contribute to its well-documented health-promoting effects [2]. The primary bioactive compounds found in green tea leaves are catechins, which make up 25% to 35% of the dry weight of the leaves. These catechins include eight flavonoid-type polyphenolic compounds: (+)-catechin (C), (−)-epicatechin (EC), (+)-gallocatechin (GC), (−)-epigallocatechin (EGC), (+)-catechin gallate (CG), (−)-epicatechin gallate (ECG), (+)-gallocatechin gallate (GCG), and (−)-epigallocatechin gallate (EGCG) [3,4]. Among these, EGCG, a flavonoid-3-ol polyphenol, is the most abundant and is believed to account for approximately 50% of the total polyphenol content in green tea [5].
It is widely regarded as the primary compound responsible for most of green tea’s biological effects [6,7,8,9], owing to its strong antioxidant, anti-inflammatory, and prebiotic properties [10,11]. EGCG is mainly absorbed in the intestine, where the gut microbiota has a fundamental role in its metabolism prior to absorption. The microbiota can break down the large polyphenolic molecules into smaller bioactive metabolites, which in turn enhance EGCG’s systemic effects [12]. Research has indicated that EGCG has favorable bioavailability, as evidenced by its detectable plasma concentrations in fasting individuals after oral consumption [13]. Notably, very little EGCG is excreted in urine, suggesting that it is efficiently transported to the liver or metabolized by the gut microbiota into other bioactive compounds detectable in plasma, bile, and urine [14]. Numerous studies have linked the diverse health benefits of green tea, especially those of EGCG, to its antioxidant and anti-inflammatory abilities [15,16]. EGCG has been shown to influence various physiological pathways, including lipid metabolism and immune function, and may even modulate microbial balance in the gut [17,18,19,20,21]. Given its ability to protect tissues and organs, EGCG has attracted attention for its potential to prevent and treat a wide range of chronic diseases, including cancer, cardiovascular conditions, neurodegenerative disorders, and metabolic diseases [17,22,23,24]. Consequently, the study of EGCG’s therapeutic applications remains of significant scientific interest, with promising implications for improving public health and disease prevention.
This review was systematically prepared by searching for articles and documents from various sources. The research strategy was based on the combination of several keywords, including EGCG, biological activity, pharmacological activity, and preventive activity. By focusing on these terms, we aimed to identify and analyze the multiple roles of EGCG in some of the most common human pathologies. The selected studies highlighted the biological and pharmacological potential of EGCG, particularly its preventive effects through mechanisms such as oxidative stress reduction, lipid metabolism regulation, and epigenetic modulation. This work indicates that EGCG is involved in the regulation of a wide range of cellular signaling pathways through which it can exert its multiple biological activities potentially useful for preventing, mitigating, or slowing the progression of chronic disorders related to the onset and progression of several pathologies, including cardiovascular and neurodegenerative diseases, diabetes, and cancer.

2. Chemical–Physical and Pharmacological Properties

EGCG consists of three aromatic rings (A, B, and D) interconnected by a pyran ring (C), as depicted in Figure 1. In its pure form, it appears as a white or pale pink odorless powder or crystalline substance. EGCG is soluble in solvents such as water, ethanol, methanol, acetone, tetrahydrofuran, and pyridine, with a melting point of 218 °C (Alexis Corporation, Hangzhou, China; Enzo Life Sciences, Farmingdale, NY, USA; Sigma-Aldrich, St. Louis, MO, USA). Its unique, easily modifiable chemical structure is primarily responsible for its biological activities and health benefits.
Catechins, including EGCG, exhibit antiradical properties through the oxidation of phenolic groups in the B and D rings via atomic or single-electron transfer, producing quinones and semiquinones [4,25]. Structural modifications to these rings influence proteasome inhibition, as demonstrated by Landis-Piwowar et al., who reported that dehydroxylation of the B and/or D rings reduces proteasome inhibitory activity in vitro. Interestingly, this activity is retained by peracetate-protected analogs, which also induce apoptosis in tumor cells. These findings highlight the potential of B-ring/D-ring peracetate-protected EGCG analogs as promising candidates for anticancer drug development [26]. Further structure–activity relationship studies have revealed that phenolic groups on ring A enhance the inhibition of heat shock protein 90, whereas those on ring D are less favorable for this activity [27]. Additionally, the presence of a 5′ hydroxyl group on ring B significantly increases urease inhibition (35–104 times higher) compared to catechins lacking this group and has shown efficacy against Helicobacter pylori growth in the stomach [28].

2.1. Main Pharmacokinetic Properties

The pharmacokinetics of EGCG and green tea polyphenols have been thoroughly investigated in both animal models [29,30,31,32] and human studies [33,34,35]. EGCG is absorbed quickly in the gastrointestinal tract, then distributed throughout the body, metabolized primarily in the liver and colon, and undergoes enterohepatic recirculation, enabling partial reabsorption. Its metabolites are eliminated through bile and urine, with only trace amounts of unchanged EGCG detectable in the urine after oral intake [14]. Despite extensive research, pharmacokinetic parameters show significant variability between experiments and among individuals. Factors such as fasting, storage conditions, albumin levels, vitamin C, fish oil, and piperine have been shown to affect plasma concentrations and the overall bioavailability of EGCG. Conversely, bioavailability is reduced by processes such as air oxidation, sulfation, glucuronidation, gastrointestinal degradation, and interactions with Ca2+, Mg2+, and trace metals, as well as by genetic variations like COMT polymorphisms [8]. EGCG’s oral bioavailability is generally low, with marked differences observed across species, for example, bioavailability rates of 26.5% in CF-1 mice and just 1.6% in Sprague Dawley rats [36].
Following oral administration, EGCG is rapidly absorbed, reaching peak plasma concentrations approximately one hour post-intake [34]. The limited bioavailability of catechins may be attributed to significant gastrointestinal metabolism and hepatic extraction shortly after absorption [31]. A pharmacokinetic study in healthy individuals receiving single doses of EGCG (ranging from 50 mg to 1600 mg) revealed that plasma concentrations exceeded 1 μM only when doses of 1 g or higher were administered. Specifically, a dose of 1600 mg yielded a Cmax of 3392 ng/mL (range: 130–3392 ng/mL), with peak levels observed between 1.3 and 2.2 h, AUC (0–∞) values ranging from 442 to 10,368 ng·h/mL, and a half-life (t1/2z) of 1.9 to 4.6 h. Further evaluations of EGCG plasma and safety parameters over four weeks using once-daily and twice-daily regimens demonstrated variable serum levels, with an oral bioavailability of 20.3% relative to intravenous administration. Doses between 800 and 1600 mg were deemed safe and well-tolerated [30,34].
Studies on the distribution of EGCG have revealed that, despite its limited absorption, it is rapidly disseminated throughout the body or quickly converted into metabolites. The concentrations of EGCG detected in tissues represent only 0.0003–0.45% of the total ingested amount [37]. EGCG and its metabolites have been identified in biological fluids such as serum, plasma, saliva, feces, and urine, as well as in various organs and tissues, including the liver, kidneys, intestinal mucosa (small intestine and colon), prostate, tumor tissues, fetuses, and placenta. Additionally, EGCG can cross the blood–brain barrier, allowing it to reach the brain [30,31,35].
EGCG and other catechins undergo enzymatic metabolism in the human body, producing various biologically active metabolites (Figure 2).
The primary metabolic pathways for tea catechins include methylation, glucuronidation, sulfation, and ring fission biotransformation. Catechol-O-methyltransferase (COMT) is a key enzyme that breaks down catechol-like structures, including dietary phytochemicals, to remove potentially toxic or active compounds [3]. Methylated catechin derivatives have been identified in rat liver homogenates. Glucuronidation, catalyzed by UDP-glucuronosyltransferases (UGT), enhances water solubility and facilitates the excretion of both endogenous and exogenous compounds through urine or feces. The main glucuronidated metabolite of EGCG is EGCG-4″-O-glucuronide [38]. Sulfation, mediated by sulfotransferase (SULT) enzymes, involves transferring a sulfate group to alcohol or amine substrates [3]. LC/MS analyses have identified sulfated forms of EC, EGC, and EGCG in human and rodent samples [3,38]. Additionally, glucosidation at the 7-position of ring A and the 4′ position of ring B results in the formation of a novel metabolite, 7-O-beta-d-glucopyranosyl-EGCG-4″-O-beta-d-glucopyranoside, detected using the LC/ESI-MS2 method. Thiol conjugation processes lead to mono-, bi-, and triglutathione conjugates of catechin dimers, formed via reactions with glutathione and quinone derivatives. Furthermore, microbial catabolism by gut microbiota plays a crucial role in transforming polyphenols into bioactive metabolites, contributing to the health benefits associated with tea consumption [3]. EGCG is excreted mainly through bile, while EGC and EC are excreted through both bile and urine [29,35].

2.2. Toxicity

Toxicity studies in rats have shown no significant changes in body weight, hematological, or biochemical parameters following oral administration of 15 or 75 mg/kg of green tea extract (GTE) for 28 days. Similarly, when EGCG was administered via gastric tube at daily doses of 0, 45, 150, or 500 mg/kg body weight over consecutive days, no adverse effects were observed [39]. Other studies have reported no toxicity following the dietary administration of EGCG up to 500 mg/kg/day, establishing a no-observed-adverse-effect level (NOAEL) for EGCG at 500 mg/kg/day [40].
No teratogenic or reproductive toxic effects were observed in rats after administering EGCG during organogenesis at doses of 1000 mg EGCG/kg/day or when plasma concentrations reached 191 μg/mL [41].
Isbrucher et al. found no evidence of genotoxicity in rats following oral administration of EGCG at doses of 500, 1000, or 2000 mg/kg, or intravenous injections of 10, 25, or 50 mg/kg/day. These doses, resulting in significantly higher plasma concentrations, did not induce genotoxic effects [42].
There are no epidemiological studies or case reports linking EGCG exposure to an increased cancer risk in humans [43]. EGCG is not classified as a carcinogen. On the contrary, due to its widespread presence in nature and its low toxicity, EGCG is considered a promising candidate for anticancer therapy [43]. It has been shown to exert antitumor effects against several human carcinomas and tumor cell lines, with its antiproliferative, pro-differentiating, and apoptosis-inducing properties suggesting it could be a valuable therapeutic agent in cancer treatment [44,45,46,47].
There is evidence in the literature describing specific target organ toxicity, particularly liver toxicity, which is associated with altered liver enzyme function. Several studies have documented liver damage linked to green tea consumption [48,49,50,51,52,53]. Mazzanti et al. examined the causal relationship between green tea and liver injury. Laboratory tests revealed elevated levels of transaminases, gamma-glutamyl transpeptidase, alkaline phosphatase, and bilirubin. Liver damage was classified as predominantly hepatocellular (62.50%), cholestatic (18.75%), or mixed (18.75%) [54]. High doses of EGCG (500 and 1000 mg/kg/day) have also been shown to induce cardiac fibrosis in mice, an effect likely related to the inhibition of AMPK-dependent signaling pathways. It is important to note that these toxic effects occur at doses much higher than those typically achieved through regular tea consumption, though they may be easily reached when consuming concentrated tea-based food supplements [55].
Numerous studies highlight the potential benefits of EGCG in combating various human diseases, including cancer, diabetes, obesity, cardiovascular conditions, and neurodegenerative disorders [22,56].
Despite its promising therapeutic and preventive properties, EGCG’s clinical application is limited by its poor intestinal absorption and inherent instability. To address these limitations, the encapsulation of EGCG in nanocarriers has significantly improved its stability and therapeutic efficacy [57]. Importantly, EGCG’s non-toxic nature and lack of reported side effects make it an appealing candidate for disease prevention and treatment research. Research has demonstrated that nanocarriers, particularly lipid-based and polymeric systems, enhance the bioavailability and stability of EGCG due to their biocompatibility [58]. Other nanocarrier systems, including liposomes, gold nanoparticles, inorganic materials, proteins, and peptides, have also been explored [59,60]. However, concerns remain about the safety of gold and inorganic nanocarriers. Promising results have been observed when nanocarriers were modified with mucoadhesive ligands, such as chitosan, which facilitate intestinal absorption by opening tight junctions in the intestinal barrier [61,62]. Additionally, functionalizing the surface of nanocarriers with targeting ligands can enhance the selective delivery of EGCG to abnormal or tumor cells, improving therapeutic outcomes. Overall, the literature suggests that nanoformulations hold great potential for enhancing EGCG’s therapeutic activity and overcoming its current limitations [61].

2.3. Interactions, and Synergistic Adverse Effects

The bioactive compounds in tea can interfere with the absorption of various molecules. For instance, an interaction with the folate transporter has been reported, leading to reduced bioavailability of folic acid [63]. Therefore, it is advised that pregnant women, individuals with megaloblastic anemia, or those for whom folic acid reduction may have clinical consequences avoid the concurrent consumption of green tea and folic acid. EGCG has also been shown to inhibit the intestinal absorption of non-heme iron in a dose-dependent manner in a controlled clinical trial. Several epidemiological studies have suggested that tea consumption may adversely affect iron status, though the results are inconsistent. Published studies indicate that black tea reduces iron absorption more significantly than green tea [39].
The use of EGCG has the potential to enhance the effects of conventional cancer therapies through additive or synergistic actions, as well as by ameliorating the harmful side effects of these treatments [64,65].
After treatment with green tea, no significant changes in hematological or biochemical parameters have been observed. The most commonly reported side effects are mild, including nausea, stomach discomfort, abdominal pain, and headaches [34].

3. Biological and Therapeutic Potential of EGCG

Numerous preclinical studies, including both in vitro and in vivo experiments, as well as clinical trials, have highlighted the broad spectrum of biological and pharmacological properties exhibited by polyphenolic compounds, particularly EGCG. These properties include antimicrobial activity [66], anti-carcinogenic (anti-tumorigenic) effects [67], antioxidant activity, anti-allergic effects [68], anti-inflammatory properties [69], anti-diabetic effects [70], anti-hypercholesterolemic (lipid clearance) effects [71], anti-atherosclerosis, anti-hypertensive properties [71], anti-aging effects [72], a reduced risk of osteoporotic fractures [73], neuroprotective effects [74], cardioprotective benefit [68], and immunomodulatory activity (Figure 3) [75]. The biological activity of green tea polyphenols, and EGCG in particular, is closely linked to their pharmacokinetic properties and bioavailability [76]. The effects of EGCG result from a variety of mechanisms. EGCG can interact directly with proteins and phospholipids of membrane, stimulating intracellular signaling pathways [77]. Additionally, once transported to intracellular compartments such as the cytosol, mitochondria, lysosomes, and nuclei, EGCG can mediate further biological actions. The specific biological effects of EGCG can vary based on several factors, including cell type, stress conditions, and the concentration of EGCG [78].

3.1. Antibacterial Activity of EGCG

The antimicrobial properties of EGCG have been well documented in numerous studies [66]. EGCG demonstrates significant antibacterial activity against various bacterial strains, including methicillin-resistant Staphylococcus aureus (MRSA), Stenotrophomonas maltophilia, Mycobacterium tuberculosis, Helicobacter pylori, and Streptococci spp. Additionally, EGCG enhances the effectiveness of beta-lactam antibiotics, such as methicillin. An in vitro study evaluating the antibacterial potential of EGCG against clinical isolates of S. aureus showed that EGCG, due to its negative charge, binds to positively charged lipids in the bacterial cell membrane. This binding causes structural damage to the membrane, leading to the intramembranous leakage and fragmentation of the lipid bilayer. Furthermore, EGCG has been shown to inhibit the activity of bacterial-cell-membrane peptidoglycan penicillinase, either directly or indirectly, resulting in the reduction or inhibition of biofilm production by S. aureus [9]. Catechins, including EGCG, inhibit bacterial DNA gyrase, a crucial enzyme for bacterial survival, by binding to the ATP-binding site of the gyrase B subunit [79]. In addition, EGCG has anti-folate activity, inhibiting dihydrofolate reductase, an enzyme that converts 7,8-dihydrofolate to 5,6,7,8-tetrahydrofolate, leading to the termination of DNA synthesis [9]. Steinmann et al. demonstrated that EGCG induces cell death in S. pyogenes and inhibits bacterial attachment to human cells [66]. Moreover, EGCG has shown cytoprotective effects against H. pylori-induced gastric cytotoxicity by interfering with Toll-like receptor 4 (TLR-4) signaling, which is triggered by H. pylori infection [80].

3.2. Antiviral Activity of EGCG

EGCG has demonstrated inhibitory activity against a wide range of viral families, including Retroviridae, Orthomyxoviridae, Flaviviridae, and Retroviridae, which encompass several important human pathogens, such as influenza viruses, enteroviruses, adenoviruses, human immunodeficiency virus (HIV), Epstein–Barr virus (EBV), herpes simplex virus (HSV), hepatitis B virus (HBV), and hepatitis C virus (HCV) [66,81]. Unlike its antibacterial effects, which require high concentrations, EGCG has shown significant antiviral activity at physiological concentrations in many of these studies [66]. GTE inhibits the infectivity of influenza viruses, and EGCG specifically inhibits Influenza A (IAV) and B (IBV) viruses by preventing their adsorption to host cells [81,82]. EGCG and epicatechin gallate (ECG) have been identified as potent inhibitors of influenza virus replication in MDCK cell cultures, with effects observed across all tested subtypes of influenza, including A/H1N1, A/H3N2, and B. EGCG, in particular, demonstrated superior hemagglutination inhibition activity compared to other catechins [83]. EGCG also exerts antiviral effects against adenoviruses of the Adenoviridae family by directly inactivating viral particles, inhibiting viral growth, and preventing the activity of viral protease [84]. Furthermore, a single-dose administration of EGCG (ranging from 50 to 1600 mg) has been shown to inhibit HCV replication, with no reported adverse effects in human volunteers [85]. EGCG effectively inhibited the secretion of HBV-specific antigens (HBsAg, HBeAg) and demonstrated stronger antiviral activity than lamivudine in a dose- and time-dependent manner [86]. At concentrations above 50 μM, EGCG also suppressed the expression of EBV lytic proteins, thereby blocking the virus’s lytic cycle [87]. Furthermore, EGCG interferes with the HIV life cycle by preventing the attachment of HIV-1 virions to host cells [88], inhibiting an early stage of viral entry by preventing the virus from anchoring to the cell surface [89], and blocking reverse transcriptase, the enzyme responsible for converting RNA into DNA, thereby inhibiting viral replication [90]. For HBV, a hepatotropic DNA virus that contributes to cirrhosis and hepatocellular carcinoma (HCC) [91], EGCG inhibits HBV-DNA replication and reduces the levels of hepatitis B surface antigen (HBsAg) mRNA in HBV-infected hepatocytes [92]. This effect is mediated through the downregulation of hepatocyte nuclear factor 4α (HNF4α) via extracellular signal-regulated kinase (ERK) signaling [93,94]. Additionally, EGCG prevents HBV entry into hepatocytes by modulating the endocytosis and degradation of the sodium taurocholate co-transporter polypeptide (NTCP), a key receptor for HBV infection. By regulating NTCP, EGCG effectively blocks a significant portion of HBV infection [95]. Previous studies have also demonstrated that EGCG can mediate lysosome acidification in hepatocytes, disrupting the formation of incomplete autophagosomes required for HBV replication [96]. Beyond HBV, EGCG exhibits notable activity against HCV, another major pathogen responsible for HCC [97]. In particular, EGCG boosts antiviral innate immunity in hepatocytes by promoting the expression of toll-like receptor 3 (TLR3), retinoic acid-inducible gene I (RIG-I), and interferon lambda 1 (IFN-λ1) [98,99]. EGCG has been shown to modify the structure of HCV viral particles, decreasing their ability to adhere to hepatocytes [100,101], and may involve HCV envelope or capsid proteins in this process [102,103]. Moreover, EGCG inhibits CD81 receptors, which are critical for HCV entry into hepatocytes, by upregulating specific miRNAs such as miR-548m and miR-194, which reduce HCV infectivity in Huh7 cells [104,105]. EGCG is also more effective than embelin, a known inhibitor of HCV NS3/4A protease, an enzyme essential for viral replication and maturation [106]. In summary, EGCG shows great potential as a natural antiviral agent, particularly against liver-associated viruses, and its combination with existing antiviral therapies could offer a novel therapeutic approach for treating viral hepatitis and liver cancer, as well as other viral infections.

3.3. Antifungal Activity of EGCG

The antifungal potential of EGCG has been primarily investigated against yeast strains such as Candida spp. (C. albicans, C. glabrata) and dermatophytes (Trichophyton mentagrophytes, T. rubrum). Studies have revealed several key mechanisms underlying its antifungal activity. These include the disruption of osmotic integrity [107] and anti-folate activity through the inhibition of dihydrofolate reductase (DHFR), an enzyme critical for the synthesis of purines, pyrimidines, and amino acids, which consequently impairs fungal cell growth [108]. EGCG has also been shown to hinder biofilm formation, both structurally and metabolically. Further supporting these findings, in vitro studies have demonstrated morphological changes in T. mentagrophytes isolates upon treatment with EGCG, including deformation, swelling, granular accumulation, and inhibition of hyphal growth [109,110]. Additionally, EGCG has shown synergistic antifungal effects when combined with traditional antifungal drugs, particularly against C. albicans [111]. These results highlight EGCG’s potential as an effective antifungal agent, especially when used in combination with other therapeutic agents.

3.4. Antioxidant Effects

Antioxidation plays a crucial role in maintaining human health by protecting cells from oxidative stress. The antioxidant properties of tea catechins, particularly EGCG, have been widely recognized in both in vitro and in vivo studies. Due to its chemical structure, EGCG is classified as an effective antioxidant compound. The phenolic rings in EGCG act as electron traps and free radical scavengers [112,113], inhibiting the formation of reactive oxygen species (ROS) and mitigating oxidative damage. EGCG has been shown to scavenge a wide range of radicals, including superoxide, hydroxyl [78,114,115,116,117], and peroxyl radicals [118], as well as other reactive species such as nitrogen oxide (NO) [119], lipid free radicals, carbon-centered radicals, and singlet oxygen [116,120]. In addition, EGCG is capable of scavenging peroxynitrite, a highly reactive molecule that can cause tyrosine nitration in blood platelets, thus reducing oxidative stress-related damage [121,122]. Its antioxidant properties also extend to mitochondrial protection, where it helps improve mitochondrial function [123]. Beyond radical scavenging, EGCG also exhibits metal-chelating properties. These are attributed to specific structural elements in EGCG, such as the ortho-3′,4′-dihydroxy moiety and the 4-keto, 3-hydroxyl or 4-keto, 5-hydroxyl moieties, which prevent the generation of free radicals through metal ion catalysis [124,125]. Like other flavonoids, EGCG can bind to and inactivate transition metal ions, thereby inhibiting the Fenton reaction, which is a major pathway for ROS formation [126]. Other mechanisms by which EGCG exerts its antioxidant effects include electron transfer to ROS-induced radical sites on DNA and the formation of stable semiquinone free radicals. Studies have shown that the antioxidant effects of catechins, including EGCG, are more pronounced than those of vitamins C and E [120,127,128,129,130]. Moreover, EGCG has been shown to protect cells from ROS-induced damage caused by various agents, including hydrogen peroxide [114,125], primaquine [125], and iron [125,126]. However, at high concentrations, EGCG can exhibit pro-oxidant activity by inducing autoxidation, which generates hydroxyl radicals, hydrogen peroxide, and quinone intermediates, leading to cytotoxicity [131,132,133,134]. For instance, the autoxidation of EGCG can produce catecholquinone, which binds to erythrocyte membrane proteins, leading to protein aggregation and membrane damage [135]. This instability is particularly pronounced at alkaline pH and can be influenced by factors such as pH, temperature, metal ions, and EGCG concentration [136]. At physiological concentrations (from 1–2 μM to 10 μM), EGCG generates low levels of ROS, which can activate cellular protective pathways, thereby promoting its antioxidant effects while maintaining cellular homeostasis [134,137].

3.5. Anti-Inflammatory, Immunomodulatory, and Antifibrotic Effects

The inflammatory response is a complex process involving the recruitment and activation of immune and inflammatory cells, the release of pro-inflammatory cytokines, and the generation of reactive oxygen and nitrogen species (ROS/RNS). These events are largely driven by the activation of transcription factors like NF-κB and AP-1, which translocate to the nucleus and upregulate genes involved in inflammation and tissue damage. NF-κB, in particular, plays a pivotal role in regulating cellular processes, including inflammation, immune responses, cell growth, and oxidative stress responses. EGCG has been widely recognized for its anti-inflammatory effects, primarily through its regulation of key signaling pathways. In multiple in vitro and in vivo studies, EGCG has been shown to suppress NF-κB activation, inhibit its nuclear translocation, and block AP-1 activity [138,139]. This leads to the downregulation of pro-inflammatory enzymes like iNOS and COX-2 and scavenging of ROS/RNS, including nitric oxide and peroxynitrite [140]. Notably, EGCG also reduces the release of inflammatory mediators, demonstrating its potential to mitigate inflammatory responses [141]. For instance, studies on normal human epidermal keratinocytes revealed that EGCG modulates NF-κB activity and protects cells from UV-induced damage, suggesting its role as a photoprotective agent [142]. Furthermore, in animal models of intestinal inflammation, EGCG alleviated mucosal injury by modulating NF-κB and other related genes. In a rat model of ulcerative colitis, EGCG administration reduced disease severity by targeting the TLR4/MyD88/NF-κB pathway [141,143]. Similarly, EGCG has been shown to suppress airway inflammation by reducing IL-8 release, a cytokine involved in neutrophil aggregation and ROS production. Additionally, EGCG blocks the JAK1/2 signaling pathway, thereby reducing pro-inflammatory gene expression mediated by P2X4 receptors in endothelial cells [144]. Interestingly, while EGCG is primarily known for its anti-inflammatory effects, conflicting evidence exists regarding its immunomodulatory properties. Some studies indicate EGCG reduces the release of tumor necrosis factor (TNF), decreases leukocyte infiltration, and alleviates UV-induced inflammation, while others suggest pro-inflammatory effects, such as enhanced interleukin-1 production and B-cell mitogenic activity. This duality may be context-dependent and warrants further investigation [145]. Beyond its anti-inflammatory properties, EGCG also exhibits antifibrotic effects, particularly through its regulation of NF-κB signaling. Fibrosis, a pathological outcome of chronic inflammation, involves excessive extracellular matrix deposition that can lead to organ dysfunction, such as liver cirrhosis, myocardial fibrosis, or peritoneal fibrosis [146,147,148]. EGCG has demonstrated the ability to inhibit hepatic stellate cell activation and proliferation, reduce collagen synthesis, and downregulate PDGFR and IGF-1R gene expression—both critical factors in liver fibrosis progression [146,149,150]. It has also been shown to reduce MMP-2 mRNA expression, thereby limiting matrix remodeling and further fibrosis development [146]. In cardiac fibroblasts stimulated with AngII, EGCG suppressed collagen synthesis and fibronectin expression by inhibiting NF-κB translocation and downregulating CTGF gene expression [151]. Similar antifibrotic effects have been reported in peritoneal fibrosis, where EGCG reversed fibrotic changes by suppressing NF-κB activity [152]. In addition to preventing fibrosis, EGCG exhibits anti-collagenase properties. Collagenase, an enzyme that hydrolyzes collagen’s helical structure, compromises collagen integrity and function. EGCG has been shown to stabilize collagen and protect it from enzymatic degradation [153,154]. Madhan et al. hypothesized that hydrogen bonding and hydrophobic interactions between EGCG and collagenase inhibit its activity, making collagen resistant to breakdown [155]. Overall, EGCG exerts multifaceted biological effects through its ability to regulate signaling pathways, suppress inflammatory mediators, and protect extracellular matrix components. Its anti-inflammatory, antifibrotic, and collagen-stabilizing properties make it a promising therapeutic agent for various chronic inflammatory and fibrotic diseases, further underscoring its importance in human health.

3.6. Anti-Senescence Activity

Senescence is a critical biological process involved in embryogenesis, tissue regeneration, aging, and the progression of various diseases, including cardiovascular, renal, and hepatic conditions, as well as cancer [156,157]. Recent research has highlighted the potential of EGCG to modulate cellular senescence, demonstrating its protective effects against oxidative stress and age-associated cellular changes [158,159]. For instance, Shin et al. reported that EGCG can mitigate oxidative stress-induced senescence in human mesenchymal stem cells (hMSCs) exposed to H2O2. This effect was attributed to the downregulation of the p53-p21 signaling pathway and the enhanced expression of Nrf2, a key regulator of antioxidant defense mechanisms [159]. Comparable results were observed in primary cells such as rat vascular smooth muscle cells (RVSMCs), human dermal fibroblasts (HDFs), and human articular chondrocytes (HACs). EGCG, administered at concentrations of 50 and 100 μM, effectively delayed cellular senescence and restored cell-cycle progression, protecting cells from oxidative damage [160]. In addition, studies conducted on 3T3-L1 preadipocytes revealed that EGCG prevented senescence induced by oxidative stress through the regulation of PI3K/Akt/mTOR and AMPK pathways. This resulted in reduced ROS production, decreased activity of iNOS and COX-2, inhibition of NF-κB and p53 signaling, and the suppression of cell-cycle arrest. EGCG also promoted apoptosis by downregulating the anti-apoptotic protein Bcl-2 [161]. Similarly, in WI-38 fibroblasts, EGCG concentrations ranging from 25 to 100 μM reduced the levels of TNF-α, IL-6, and ROS while enhancing the expression of E2F2 and superoxide dismutases (SOD1 and SOD2), enzymes vital for cellular antioxidant defense. EGCG’s ability to modulate the retinoblastoma protein pathway further highlights its role in delaying senescence and improving cellular resilience against oxidative damage [162]. Collectively, these studies underscore EGCG’s potential to counteract cellular senescence through various mechanisms, including oxidative stress reduction, DNA damage repair, and cell-cycle regulation. Despite the promising preclinical data, further investigation is essential to fully elucidate its therapeutic potential in age-associated disorders. In particular, the senolytic properties of EGCG, which may alleviate aging-related conditions, warrant additional clinical studies to confirm its efficacy and long-term safety.

3.7. Anticancer Activity

EGCG has garnered significant attention for its potential anticancer properties, with extensive research demonstrating its ability to prevent and treat various forms of cancer. Its effects are multifaceted, involving complex interactions with multiple signaling pathways and biological mechanisms critical to cancer development and progression [163,164]. Studies have shown that EGCG exhibits antitumor effects across a range of cancers, including breast, prostate, lung, colorectal, melanoma, as well as hematological cancers like acute myeloid leukemia, chronic myeloid leukemia, and multiple myeloma [67,164,165,166,167,168,169,170,171]. In prostate cancer cells, EGCG induced dose-dependent apoptosis, and in breast cancer cells, it inhibited cyclin-dependent kinases, blocking cell-cycle progression; in human breast cancer cells, the inhibition of cyclin-dependent kinases by EGCG blocked cell-cycle progression [67,172,173,174]. More recent findings have supported these results, showing EGCG’s ability to induce apoptosis in breast cancer cells in a time- and dose-dependent manner without significant toxicity to normal cells [171]. Furthermore, EGCG has been shown to activate key apoptotic pathways, such as caspase-3 activation, cytochrome c release, and PARP cleavage, in various cell models, including PC12 cells exposed to oxidative stress [175]. Additionally, EGCG influences several molecular pathways involved in cancer progression and prevention. Granja et al. identified key mechanisms through which EGCG exerts its anticancer effects: (1) the inhibition of DNA hypermethylation by blocking DNA methyltransferase (DNMT); (2) the repression of telomerase activity; (3) the suppression of angiogenesis via the inhibition of HIF-1α and NF-κB; (4) the prevention of cellular metastasis by inhibiting matrix metalloproteinases (MMPs); (5) the promotion of apoptosis through the activation of pro-apoptotic proteins like BAX and BAK while downregulating anti-apoptotic proteins like BCL-2 and BCL-XL; (6) the upregulation of tumor suppressor genes such as p53 and PTEN; (7) the inhibition of inflammation and proliferation via NF-κB suppression; and (8) anti-proliferative activity through the modulation of MAPK and IGF1R pathways (Figure 4) [163].
EGCG has also been demonstrated to prevent cancer-cell invasion and migration via a number of routes, including autophagy, lysosomal membrane permeabilization-mediated cell death, and caspase-dependent and caspase-independent apoptosis. JAK/STAT, MAPK, PI3K/AKT, Wnt, and Notch are among the signaling pathways that predominantly mediate the actions of EGCG (Figure 5) [146]. For example, EGCG has been shown to prevent liver tumorigenesis induced by diethylnitrosamine by inhibiting the IGF/IGF-1R axis, reducing chronic inflammation, and improving hyperinsulinemia [176]. Moreover, EGCG inhibits hepatocyte growth factor (HGF), which is involved in tumor migration and invasion [177,178]. EGCG’s antitumor effects are further facilitated by its interaction with the 67 kDa laminin receptor (67LR), a receptor overexpressed in various cancers, including breast, pancreatic, and gastric cancers, as well as melanoma and multiple myeloma. EGCG’s ability to modulate 67LR activity correlates with its ability to inhibit tumor progression and enhance the prognosis in these cancers [179]. Additionally, EGCG has shown potential in modulating epigenetic changes, particularly through DNA methylation and histone modifications. It inhibits DNMT activity, leading to the reactivation of tumor suppressor genes such as p16 (INK4a), RAR, MGMT, and hMLH1 [67,180,181]. EGCG’s role in DNA hypomethylation has been observed in both in vitro and in vivo models, where it enhances the expression of genes like PTEN and CDKN1A, thereby promoting apoptosis and inhibiting cell proliferation. EGCG has also been shown to influence the expression of tissue inhibitors of metalloproteinases (TIMPs) and MMPs, which are involved in tumorigenesis [182]. EGCG has demonstrated potential in clinical applications as well, with studies showing its ability to modulate TIMP-3 levels in prostate cancer patients, suggesting a role in therapeutic cancer treatment [182]. Furthermore, EGCG’s topical application in a mouse model of photocarcinogenesis reduced tumor incidence and size, likely through its inhibition of UVB-induced DNA hypomethylation and modulation of DNMT and histone deacetylase (HDAC) activities [183]. Beyond its direct effects on cancer cells, EGCG also regulates the expression of microRNAs (miRNAs), small non-coding RNA molecules that play key roles in cellular processes such as apoptosis, growth, and metabolism, all of which are central to cancer biology. EGCG has been shown to inhibit androgen receptor activity in prostate cancer cells by modulating androgen-regulated miRNAs, such as miRNA-21 and miRNA-330, which suppress tumorigenesis [184]. Moreover, EGCG upregulates miRNAs such as miR-210, miR-29a, miR-203, and miR-125b in cervical cancer cells, further supporting its role in inhibiting cancer-cell proliferation and enhancing apoptosis [185]. EGCG also limits tumor invasion and metastasis by inhibiting MMPs such as MMP-2 and MMP-9, which are critical for prostate cancer progression [186]. Furthermore, EGCG may block urokinase-like plasminogen activator (uPA), a protease involved in cancer progression [186]. Research has also indicated that EGCG can exert antitumor effects by inhibiting glycolytic enzymes, reducing glucose metabolism, and further suppressing cancer-cell growth [187]. Additionally, EGCG’s combination with standard chemotherapy drugs may enhance their efficacy through additive or synergistic effects, while also mitigating chemotherapy-related side effects [64]. In conclusion, EGCG demonstrates significant potential not only for cancer chemoprevention but also as a therapeutic agent in cancer treatment. Its broad spectrum of biological actions, including antioxidant, antiangiogenic, and antitumor effects, underscores its therapeutic promise in cancer care, along with its broader applicability in treating various diseases [77,188].

3.8. EGCG in Metabolic Syndrome

Elevated blood glucose, insulin resistance, excessive body fat, especially visceral obesity, high cholesterol, hyperlipidemia, and hypertension are all risk factors that are included in the metabolic syndrome. Cardiovascular illnesses, type 2 diabetes, obesity, and renal problems are all considerably more likely to develop in people with these symptoms [189,190]. Moreover, prothrombotic states, sleep apnea, non-alcoholic fatty liver disease (NAFLD), and chronic inflammation are additional problems linked to metabolic syndrome [191]. Elevated serum uric acid (hyperuricemia) is also a known marker of metabolic syndrome and a contributor to the progression of related diseases [192,193]. With modern lifestyles characterized by diets high in processed foods, sugars, and fats, coupled with low physical activity, there has been a dramatic increase in the prevalence of metabolic disorders worldwide. This rising burden has made metabolic syndrome and its comorbidities a focal point of global research. EGCG has been studied for its potential to alleviate various aspects of metabolic syndrome. One of EGCG’s beneficial effects is its ability to lower uric acid levels in individuals with metabolic disorders by either reducing its production or enhancing its excretion. This is primarily achieved through EGCG’s inhibition of xanthine oxidase (XOD), an enzyme responsible for converting purines like hypoxanthine to xanthine, and ultimately to uric acid [194]. Additionally, EGCG may act as a preventive measure against obesity and oxidative stress by boosting energy expenditure, enhancing fat oxidation, and lowering the respiratory quotient, which in turn helps reduce body mass index (BMI) and abdominal fat [195]. These effects can be attributed to EGCG’s capacity to interact with various biological molecules, thereby influencing enzymatic activities and cellular signaling pathways that regulate metabolism. Chronic inflammation is a key feature of metabolic syndrome, driven by elevated levels of inflammatory mediators, such as cytokines and adipokines [196,197,198]. Notably, pro-inflammatory cytokines like IL-1 and IL-18 play a significant role in the formation of atherosclerotic plaques, a major complication of metabolic syndrome [199,200]. In addition, the presence of high blood glucose levels increases the amount of glucose within endothelial cells, facilitating the oxidative breakdown of glucose byproducts and triggering oxidative stress. As a result, dietary changes are considered a vital strategy in mitigating the rising prevalence of metabolic syndrome. Green tea, and especially EGCG, offers a promising approach for both preventing and managing metabolic syndrome and associated age-related diseases, either through direct dietary intake or supplementation. Clinical research has consistently shown that EGCG can help reduce body weight, BMI, and abdominal fat [201]. The antioxidant properties of EGCG also contribute to its effects on metabolic health. By modulating the expression of genes and proteins, EGCG suppresses key enzymes and transcription factors involved in fat storage and adipogenesis, such as adenosine monophosphate-activated protein kinase (AMPK) [202]. Recent studies have further revealed that EGCG’s impact extends to mitochondrial function, influencing processes like mitochondrial biogenesis, ATP production, and cell-cycle regulation, as well as promoting apoptosis in mitochondria [203,204]. Furthermore, EGCG benefits the gut microbiota, increasing the abundance of beneficial Bifidobacterium species, which improves overall energy metabolism. EGCG also stimulates enzymes involved in lipolysis and helps regulate serum urate levels, solidifying its role as a promising agent for weight management and improved lipid metabolism.

3.8.1. EGCG in Insulin Resistance and Hypertension

Insulin resistance is a pathological condition characterized by the reduced responsiveness of target tissues—such as muscle, liver, and adipose tissue—to insulin. This dysfunction disrupts glucose homeostasis, impairing the body’s ability to effectively clear glucose from the bloodstream. To compensate, pancreatic β-cells increase insulin secretion, maintaining normoglycemia in the early stages, but this compensation may eventually fail, contributing to the progression of metabolic disorders. Insulin resistance is associated with a cluster of metabolic abnormalities, including hyperinsulinemia, hyperglycemia, dyslipidemia, visceral fat accumulation, obesity, hypertension, hyperuricemia, endothelial dysfunction, and heightened inflammatory responses [205,206]. One key feature of insulin resistance is the impaired ability of insulin to suppress lipolysis in adipose tissue. This leads to elevated circulating free fatty acids (FFAs), which further disrupt metabolic homeostasis by activating protein kinases in the liver, stimulating gluconeogenesis, and promoting lipid synthesis and breakdown. At the same time, these FFAs inhibit protein kinase activity in muscle tissue, reducing glucose uptake. This dysregulation exacerbates the cycle of insulin resistance by impairing lipid and glucose metabolism [207]. Recent research has identified EGCG as a promising compound for alleviating insulin resistance and improving glucose metabolism. Animal studies have demonstrated that green tea catechins can lower blood glucose levels and improve glucose tolerance, highlighting their potential in restoring metabolic balance. EGCG exerts its beneficial effects through multiple mechanisms. It reduces oxidative stress in adipocytes, enhancing insulin sensitivity and promoting glucose uptake [208]. Clinical trials have confirmed these findings; for instance, Lee et al. observed that GTE significantly reduced fasting blood glucose, insulin levels, and insulin resistance in obese patients with hypertension. Similarly, Liu et al. reported that GTE improved metabolic markers, including increased HDL cholesterol, reduced triglycerides, and elevated GLP-1 levels, which play a critical role in regulating blood glucose [209]. At a molecular level, EGCG improves insulin signaling by upregulating insulin receptor substrate-1 (IRS-1) and enhancing its phosphorylation, a critical step for efficient glucose uptake. Animal studies have also shown that EGCG improves glucose tolerance and reduces postprandial glucose spikes by delaying glucose absorption in the intestine [210,211]. A study by Lee and colleagues further demonstrated that GTE, including EGCG, exhibit hypoglycemic effects in humans, while other research confirmed reductions in plasma glucose concentrations in overweight or obese postmenopausal women when combined with regular physical exercise [211,212,213]. Collectively, these findings suggest that EGCG improves glucose homeostasis through various mechanisms, including reducing oxidative stress, enhancing insulin signaling, improving lipid profiles, and modulating glucose absorption. Given these promising results, EGCG has emerged as a potential therapeutic agent for managing insulin resistance and associated metabolic disorders. Continued research is necessary to explore its long-term efficacy and establish standardized treatment protocols.

3.8.2. EGCG in Regulation of Adipose Mass and Lipid Metabolism

EGCG has attracted significant attention for its potential effects on energy regulation, appetite suppression, and lipid metabolism. Studies indicate that EGCG can reduce food intake, inhibit lipogenesis, and prevent the differentiation of preadipocytes, simultaneously promoting fat oxidation and lipolysis. These effects are largely mediated through the activation of the AMP-activated protein kinase (AMPK) pathway, a critical regulator of energy homeostasis. AMPK activation by EGCG stimulates FFA oxidation, mitigating lipid accumulation in tissues such as the liver. For example, in hepatic cells like the HepG2 cell line, EGCG has been shown to counteract lipid buildup caused by FFAs. By enhancing AMPK activity, EGCG also suppresses hepatic gluconeogenesis and promotes fat oxidation, contributing to reductions in adipose tissue mass and overall body weight [214]. Clinical evidence and systematic reviews consistently support the beneficial effects of EGCG on lipid metabolism. Asbaghi et al. reviewed studies showing that daily supplementation of GTE in doses exceeding 800 mg over at least eight weeks significantly improved lipid profiles in patients with type 2 diabetes. The review reported reductions in serum triglycerides and total cholesterol levels [215]. Similar findings have been observed in both normal-weight and obese populations, where EGCG supplementation has been linked to decreased levels of LDL cholesterol and total cholesterol [216]. A study involving healthy Japanese women further highlighted EGCG’s role in lipid regulation, demonstrating that increased plasma and urinary concentrations of green tea catechins were associated with improved plasma lipid profiles. Randomized, placebo-controlled trials in obese Taiwanese women provided additional clinical evidence, showing that 12 weeks of GTE supplementation led to significant decreases in total cholesterol, LDL cholesterol, and triglyceride levels, alongside increases in HDL and adiponectin levels [217,218]. Moreover, EGCG’s combination with caffeine has shown synergistic benefits on metabolic health. This combination influenced gut microbiota composition, increasing populations of beneficial bacteria such as Bifidobacterium and enhancing the production of short-chain fatty acids (SCFAs) in feces, as observed in animal models. These changes further underscore the role of EGCG in promoting metabolic balance [219]. Choi et al. provided additional insights into EGCG’s mechanisms, showing that it stimulates lipolysis and suppresses lipogenesis in adipocytes through AMPK activation. EGCG also facilitates visceral fat reduction by inducing autophagy and promoting lipolysis in white adipose tissue, again mediated by the AMPK pathway. These findings collectively highlight EGCG’s potential as a therapeutic agent for managing obesity and dyslipidemia. Its ability to modulate lipid metabolism, reduce adipose tissue mass, and improve cholesterol and triglyceride levels underscores its promise in addressing metabolic disorders. EGCG emerges as a potent candidate for combating obesity and improving lipid profiles, offering a multifaceted approach to metabolic disease management.

3.8.3. EGCG in Hyperuricemia and Uric Acid Metabolism

Uric acid, the end product of purine metabolism, is generated through the breakdown of both endogenous and dietary purines [220,221]. Elevated levels of uric acid in the blood, known as hyperuricemia, are linked to various metabolic disorders, including insulin resistance, type 2 diabetes, coronary heart disease, chronic kidney disease, gout, and NAFLD [222]. Maintaining serum urate levels below 7 mg/dL in men and 6 mg/dL in women is critical for preventing the development of hyperuricemia and associated conditions, such as cardiovascular diseases and gout [223,224]. Current treatments for hyperuricemia, including xanthine oxidase inhibitors (such as allopurinol, febuxostat) and uricosuric agents, have limitations, including side effects like kidney stones, liver damage, and hypersensitivity reactions, which make them unsuitable for all patients [224,225]. As a result, there is growing interest in alternative or complementary therapies, such as EGCG, which may help manage hyperuricemia and related metabolic conditions. Several studies have demonstrated that EGCG plays a significant role in promoting the excretion of uric acid. This effect is achieved by regulating uric acid transporters in the kidneys, including those involved in uric acid secretion and reabsorption. Specifically, EGCG has been shown to enhance the expression of organic anion transporters (OAT1 and OAT3) and organic cation transporter 1 (OCT1), which are involved in uric acid secretion, while downregulating the expression of reabsorption transporters such as urate transporter 1 (URAT1) and glucose transporter 9 (GLUT9) [226,227]. In animal models of hyperuricemia, EGCG promoted the activity of OAT1 and reduced the expression of GLUT9 in kidney tissues, leading to enhanced uric acid excretion [194]. Furthermore, EGCG has been reported to reduce serum uric acid levels by inhibiting enzymes involved in purine metabolism, particularly xanthine oxidase (XOD) and adenosine deaminase (ADA) [228]. EGCG inhibits up to 80% of XOD activity by binding to the flavin adenine dinucleotide (FAD) site of the enzyme, thereby preventing it from catalyzing the conversion of hypoxanthine to xanthine and ultimately to uric acid [229]. Both in vitro and in vivo studies have confirmed that EGCG significantly reduces serum uric acid levels, decreases XOD activity, and promotes the excretion of purine metabolites such as xanthine and hypoxanthine via urine. This evidence highlights EGCG as a potential natural agent for managing hyperuricemia and its related diseases. The ability of EGCG to modulate uric acid metabolism through multiple mechanisms, including the inhibition of XOD activity and the regulation of uric acid transporters, positions it as a promising therapeutic option for the prevention and management of hyperuricemia and its associated conditions. These findings suggest that EGCG may offer a safe and effective alternative or adjunct to conventional pharmacological treatments for hyperuricemia.

4. EGCG in Human Diseases

4.1. Effect of EGCG on Type 2 Diabetes Mellitus

Diabetes mellitus is a group of metabolic disorders marked by chronic hyperglycemia, which results from abnormalities in insulin secretion, insulin action, or both [230]. In type 2 diabetes, insulin resistance—where target tissues, including skeletal muscle, adipose tissue, and liver, become less responsive to insulin—plays a central role in disrupting glucose homeostasis [231]. This form of diabetes is often associated with complications such as cardiovascular disease, chronic kidney disease, and diabetic retinopathy [205,231]. While several medications, including insulin and non-insulin treatments (e.g., β-glucosidase inhibitors, GLP-1 receptor agonists, and insulin-sensitizing agents), are commonly used to manage type 2 diabetes, they can lead to adverse effects, such as hypoglycemia, weight gain, gastrointestinal issues, and cardiovascular risks [232,233]. Additionally, the management of diabetes requires personalized treatment plans to address comorbidities and individual responses, adding complexity to care. As a result, there is growing interest in exploring natural compounds like EGCG as potential alternatives or adjuncts to conventional therapies for diabetes prevention and management. EGCG has gained attention for its potential to improve metabolic control in individuals with diabetes. A randomized, double-blind, placebo-controlled clinical trial revealed that EGCG supplementation improved insulin sensitivity, glycemic control, and lipid profiles in individuals with type 2 diabetes. Notably, it reduced serum triglycerides and total cholesterol while increasing HDL cholesterol and glucagon-like peptide-1 (GLP-1) levels, suggesting a favorable effect on both glucose and lipid metabolism [209]. EGCG has also been shown to protect pancreatic β-cells from oxidative damage and apoptosis, thereby enhancing insulin secretion and sensitivity. This effect is believed to be partly due to the suppression of microRNA (miR-16-5p), which regulates pancreatic β-cell function [234]. Additionally, EGCG-derived autoxidation products help improve insulin sensitivity by reducing liver-derived secretory selenoprotein P (SELENOP), a protein involved in insulin resistance [235]. The antioxidant and anti-inflammatory properties of EGCG further support its role in managing type 2 diabetes. EGCG decreases oxidative stress by lowering the production of ROS and reducing the expression of iNOS, which contributes to vascular dysfunction in diabetic individuals. In a clinical study involving 50 diabetic patients, daily EGCG supplementation (300 mg for eight weeks) resulted in significant improvements in fasting blood glucose, body weight, and high-sensitivity C-reactive protein (hs-CRP) levels, suggesting reductions in both hyperglycemia and inflammation. Additionally, EGCG has been found to target NLRP3 inflammasomes, which are activated in response to high-fat diets and contribute to chronic inflammation and insulin resistance. By suppressing NLRP3 activation, EGCG may improve insulin signaling and glucose tolerance, providing further evidence of its potential to alleviate diabetes symptoms [236]. EGCG’s multifaceted effects on type 2 diabetes can be summarized in several key actions. It enhances insulin synthesis, with supplementation shown to significantly increase insulin production compared to control groups [70]. EGCG also acts on various steps of the insulin signaling pathway, improving β-cell function and protecting these cells from apoptosis induced by inflammatory cytokines, thus supporting sustained insulin production [237]. Another important action is EGCG’s ability to reduce insulin resistance, particularly in skeletal muscle, where excess fatty acids impair glucose uptake. By alleviating this resistance, EGCG facilitates better glucose metabolism and utilization [152]. Its potent antioxidant activity further enhances insulin sensitivity by reducing oxidative stress, a key contributor to insulin resistance [238]. In addition, EGCG suppresses lipid accumulation in tissues, primarily through the activation of the AMPK/ACC pathway, which helps prevent the storage of excess fat and the resulting metabolic dysfunction [238,239]. EGCG also promotes glucose uptake in response to insulin, which enhances glucose homeostasis and supports better blood sugar control [155,156]. Finally, EGCG helps reduce markers of stress and inflammation, which are involved in the development of insulin resistance. This reduction in metabolic and inflammatory stress supports better insulin function and improves the body’s ability to manage glucose effectively [240]. These comprehensive effects position EGCG as a promising natural agent for managing type 2 diabetes and enhancing metabolic health, offering a potential alternative or adjunct to conventional pharmaceutical treatments.

4.2. Effect of EGCG on Obesity

Obesity is a complex global health issue marked by metabolic imbalances, chronic inflammation, and oxidative stress, all of which contribute to severe health complications. It arises primarily from an energy imbalance between caloric intake and expenditure, resulting in excessive fat accumulation, adipocyte hypertrophy, and dysfunction in adipose tissue [241]. Obesity is closely linked to a wide range of conditions, including type 2 diabetes, cardiovascular diseases, hypertension, insulin resistance, dyslipidemia, and cognitive decline. Furthermore, it exacerbates systemic inflammation and impairs immune function, increasing susceptibility to viral infections [219,241]. Emerging research in human and animal models highlights the potential role of compounds found in green tea, particularly EGCG, in mitigating obesity and its associated metabolic disturbances. Studies suggest that EGCG enhances thermogenesis and fat oxidation, contributing to reductions in body fat and improvements in metabolic health. These findings position EGCG as a promising intervention for preventing and managing obesity. EGCG supplementation has demonstrated several benefits in addressing obesity-related biomarkers. In one clinical trial, eight weeks of EGCG supplementation led to significant reductions in fasting plasma triglyceride levels, blood pressure, and serum kisspeptin concentrations [242]. A meta-analysis of randomized controlled trials further revealed that daily consumption of green tea, in doses of less than 500 mg, significantly reduced body weight, BMI, and waist circumference over 12 weeks [243]. Additional studies have reported decreases in triglyceride levels, visceral fat percentages, and the LDL/HDL cholesterol ratio following EGCG intake, reinforcing its role in improving metabolic health and reducing body fat [244]. The anti-obesity effects of EGCG are mediated through several mechanisms. For instance, EGCG enhances insulin sensitivity by modulating key pathways, such as the IRS-1 and ERK/cAMP response element-binding protein (CREB)/brain-derived neurotrophic factor (BDNF) signaling cascades, which are essential for maintaining glucose homeostasis and supporting cognitive function [210]. Moreover, EGCG has been shown to suppress the JAK2/STAT3 pathway, thereby reducing the release of pro-inflammatory cytokines such as TNF-α, IL-1, and IL-6 in response to inflammatory stimuli like palmitic acid [245]. In addition to its anti-inflammatory properties, EGCG also inhibits pancreatic lipase, a critical enzyme involved in dietary fat digestion, thereby reducing fat absorption and promoting fat breakdown [246]. This combination of enhanced fat oxidation, decreased fat absorption, and improved insulin sensitivity underscores EGCG’s potential as a natural and effective agent in combating obesity. In summary, EGCG and GTE represent promising additions to weight management strategies. Their ability to regulate lipid metabolism, suppress inflammation, and improve metabolic markers supports their use in promoting long-term metabolic health and preventing obesity-related disorders. Incorporating EGCG into dietary or therapeutic approaches may provide significant benefits in the global effort to manage and prevent obesity.

4.3. Cardioprotective Effects of EGCG

Cardiovascular diseases (CVDs) encompass a wide range of conditions affecting the heart and blood vessels, including coronary artery disease, peripheral arterial disease, heart failure, cerebrovascular disease, and congenital heart defects. A key factor in the progression of CVDs is endothelial dysfunction, which impairs the endothelium’s ability to regulate vascular tone, coagulation, blood flow, and permeability. This dysfunction significantly contributes to the development of atherosclerosis, a condition characterized by lipid accumulation and inflammation within arterial walls, leading to arterial narrowing and stiffness. Atherosclerosis is a major cause of cardiovascular events such as heart attacks and strokes and is often associated with metabolic disorders like type 2 diabetes [247]. CVDs remain a leading cause of global mortality, accounting for nearly one-third of all deaths worldwide [137,138]. Emerging evidence indicates that the regular consumption of tea, particularly green tea, is associated with a reduced risk of CVDs. Numerous studies have reported an inverse relationship between tea intake and cardiovascular events, with green tea polyphenols such as EGCG playing a central role in these protective effects [248]. EGCG exerts multiple cardioprotective effects (Table 1). It reduces LDL cholesterol, decreases oxidative stress by neutralizing ROS, and lowers inflammatory markers such as TNF-α [249]. EGCG also improves endothelial function, promotes arterial dilation, and inhibits myeloperoxidase, an enzyme linked to oxidative damage and inflammation. In clinical studies, EGCG has demonstrated its ability to lower both systolic and diastolic blood pressure in individuals with prehypertension or type 2 diabetes, further supporting its cardiovascular benefits. Additionally, regular green tea consumption has been shown to enhance serum antioxidant capacity, reduce oxidative stress, and improve blood pressure regulation, all of which contribute to cardiovascular health [250]. Animal studies have found that EGCG mitigates salt-induced hypertension and prevents renal damage, highlighting its potential for managing hypertension and related complications. In obese hypertensive patients, three months of GTE supplementation resulted in significant reductions in insulin resistance, inflammation, and oxidative stress—key contributors to CVD progression. The cardiovascular benefits of EGCG are attributed to its ability to improve insulin sensitivity, reduce leukocyte adhesion to the endothelium, and suppress inflammatory signaling pathways such as NF-κB, which regulates the production of inflammatory cytokines and adhesion molecules [250,251]. Furthermore, EGCG prevents LDL cholesterol oxidation, inhibits cholesterol absorption in the intestine, suppresses cholesterol synthesis, and reduces vascular smooth-muscle-cell proliferation. These effects collectively decrease the risk of atherosclerosis and plaque formation [252]. Emerging research in the field of epigenetics has unveiled additional mechanisms by which EGCG may influence cardiovascular health. EGCG acts as an epigenetic modulator, impacting the activity of enzymes involved in gene expression regulation, such as DNMT and histone acetyltransferase (HAT). These enzymes play key roles in DNA methylation and histone acetylation, which influence inflammatory and metabolic gene expression. EGCG has been shown to enhance autophagy, improve endothelial function, and regulate inflammatory responses through the activation of AMPK and mTOR signaling pathways. Furthermore, it induces histone H3 hypoacetylation, reduces the expression of HDAC1 in endothelial cells, and downregulates pro-inflammatory mediators [253,254]. In summary, EGCG offers a multifaceted approach to cardiovascular protection, targeting traditional cardiovascular risk factors like LDL cholesterol, oxidative stress, and blood pressure, while also modulating epigenetic processes that influence endothelial function and inflammation. These findings highlight the potential of EGCG as a promising therapeutic agent for preventing and managing CVDs through its broad-spectrum effects on vascular health, lipid metabolism, and gene regulation. Table 1 reports on the main effects of EGCG in CVDs.

4.4. Neuroprotective Effects of EGCG

Neural tissue is particularly vulnerable to oxidative damage due to its high metabolic activity, substantial lipid content, and relatively low antioxidant defenses. The brain’s structure, coupled with its significant oxygen consumption, predisposes it to damage caused by ROS and RNS. These reactive molecules contribute to cellular dysfunction and neurodegeneration. In this context, catechins, especially EGCG from green tea, have gained attention for their neuroprotective properties. EGCG can cross the blood–brain barrier and exert strong antioxidant effects within the central nervous system (CNS). By scavenging ROS and RNS, EGCG neutralizes these harmful molecules and prevents oxidative injury. In addition to its antioxidant capabilities, EGCG chelates transition metal ions such as Cu2+, Zn2+, and Fe2+, which are involved in generating free radicals through Fenton chemistry. By reducing the availability of these metal ions, EGCG minimizes oxidative damage and protects neural tissues. For instance, studies have shown that EGCG effectively prevents iron-induced DNA damage and lipid peroxidation in brain mitochondria, which are highly susceptible to oxidative stress [30,255]. Furthermore, EGCG enhances the activity and expression of crucial antioxidant enzymes, including superoxide dismutase (SOD), catalase, glutathione peroxidase, and glutathione reductase. These enzymes maintain cellular redox balance and safeguard neurons against oxidative damage. EGCG also inhibits pro-oxidative enzymes such as monoamine oxidase (MAO)-B and nitric oxide synthase (NOS), reducing ROS generation and curbing processes that drive neurodegeneration [256]. Neurodegenerative diseases like Alzheimer’s, Parkinson’s, and Huntington’s disease are characterized by the accumulation of misfolded proteins, including amyloid beta (Aβ) and α-synuclein, which aggregate into toxic forms and disrupt cellular function. EGCG has demonstrated the ability to interact with these misfolded proteins, preventing the formation of toxic aggregates and promoting the development of non-toxic oligomers. This mechanism is particularly significant in mitigating the accumulation of amyloid plaques in Alzheimer’s disease and Lewy bodies in Parkinson’s disease, hallmark features of these conditions [257,258,259,260]. Oxidative stress further exacerbates protein misfolding and aggregation by destabilizing proteins and impairing cellular antioxidant defenses, thereby accelerating neurodegenerative processes. EGCG counters these effects through its potent antioxidant activity, reducing the probability of protein misfolding and limiting the damaging impact of protein aggregates [261]. Additionally, EGCG inhibits the conversion of nitrates and peroxynitrite to NO, thereby protecting neurons from ischemic damage and neurodegenerative changes [262]. EGCG also exhibits strong anti-inflammatory properties, further enhancing its neuroprotective role. Microglia, the CNS’s resident immune cells, play a central role in neuroinflammation, which is implicated in the progression of neurodegenerative diseases. EGCG suppresses microglial activation and decreases the production of pro-inflammatory cytokines, reducing neuroinflammation and shielding neurons from inflammatory damage. Moreover, EGCG protects against CNS injury caused by environmental factors like infrasound, which can aggravate neuroinflammation and lead to neurological dysfunction [256]. In summary, EGCG provides robust neuroprotection through its diverse mechanisms: neutralizing oxidative stress, chelating metal ions, inhibiting protein aggregation, and modulating neuroinflammation (Table 2). These comprehensive effects underscore EGCG’s potential as a therapeutic agent for neurodegenerative diseases where oxidative stress, protein misfolding, and inflammation are key drivers of disease progression. Further research into the molecular pathways influenced by EGCG may pave the way for novel interventions targeting these debilitating conditions.

5. Conclusions

Green tea has long been associated with a range of health benefits, largely due to its richness in polyphenols. Of these, EGCG stands out as the most abundant and bioactive, accounting for roughly 80% of the catechins. EGCG is of particular interest in medicinal chemistry due to its powerful biological activities and therapeutic potential.
Extensive research over the past few decades has highlighted the numerous health-promoting properties of green tea and its polyphenolic compounds. EGCG, in particular, has been the focus of a wide array of basic and clinical studies, demonstrating its potential as a therapeutic agent for various conditions. However, challenges such as its poor intestinal absorption and chemical instability continue to hinder its broader application for therapeutic or preventive purposes. Advances in nanotechnology, particularly the encapsulation of EGCG in nanocarriers, have significantly improved its stability and enhanced its bioactivity, making it a more viable option for medical use.
EGCG is non-toxic and has no reported side effects, which further enhances its appeal as a natural compound for research in disease prevention and treatment. The findings from this review suggest that EGCG regulates a wide array of cellular pathways, which could be beneficial for preventing, managing, or even reversing the progression of chronic diseases such as cardiovascular diseases, neurodegenerative disorders, diabetes, and cancer. Additionally, there is promising evidence that combining EGCG with other antioxidants may further amplify its therapeutic effects, as these compounds work synergistically to enhance their bioactivity.
Natural compounds like EGCG represent a vast, largely untapped reservoir of biologically active molecules with huge potential for medical applications. As research continues to unravel the molecular mechanisms behind EGCG’s diverse beneficial effects, it will become increasingly important to explore and understand these pathways. This knowledge will facilitate the development of novel nutraceuticals and therapeutic strategies, positioning EGCG as a promising candidate in the prevention and treatment of different human diseases.

Author Contributions

Conceptualization, L.C., L.D.M., P.B. and D.R.; resources, L.D.M., C.S., V.M., A.B. and A.N.; writing—original draft preparation, L.C., P.B. and D.R.; writing—review and editing, L.C., L.D.M., C.S., V.M., A.N., P.B. and D.R.; supervision, L.D.M., A.B., A.N., P.B. and D.R. All authors have read and agreed to the published version of the manuscript.

Funding

This research received no external funding.

Conflicts of Interest

The authors declare no conflicts of interest.

Abbreviations

The following abbreviation are used in this manuscript:
ADAAdenosine deaminase
AMPKAMP-activated protein kinase
BMIBody mass index
CNSCentral nervous system
COMTCatechol-O-methyltransferase
EC(–)-Epicatechin
ECG(–)-Epicatechin gallate
EGC(–)-Epigallocatechin
EGCG(–)-Epigallocatechin gallate
FADFlavin adenine dinucleotide
FFAsFree fatty acids
GC(+)-Gallocatechin
GLUT9Glucose transporter 9
HDACHistone deacetylase
HGFHepatocyte growth factor
HNF4αHepatocyte nuclear factor 4α
HSVHerpes simplex virus
IAVInfluenza A
IFN-λ1Interferon lambda 1
IRS-1Insulin receptor substrate-1
LDLLow-density lipoprotein
MAO-BMonoamine oxidase-B
MRSAMethicillin-resistant Staphylococcus aureus
NAFLDNon-alcoholic fatty liver disease
NONitric oxide
NOAELNo-observed-adverse-effect level
NOSNitric oxide synthase
OAT1Organic anion transporter 1
OAT3Organic anion transporter 3
OCT1Organic cation transporter 1
RIG-IRetinoic acid-inducible gene I
ROSReactive oxygen species
RNSReactive nitrogen species
SULTSulfotransferase
TLA3Toll-like receptor 3
uPAUrokinase plasminogen activator
VSMCsVascular smooth muscle cells
XODXanthine oxidase

References

  1. Yang, H.; Wei, C.L.; Liu, H.W.; Wu, J.L.; Li, Z.G.; Zhang, L.; Jian, J.B.; Li, Y.Y.; Tai, Y.L.; Zhang, J.; et al. Genetic divergence between camellia sinensis and its wild relatives revealed via genome-wide snps from rad sequencing. PLoS ONE 2016, 11, e0151424. [Google Scholar] [CrossRef] [PubMed]
  2. Narotzki, B.; Reznick, A.Z.; Aizenbud, D.; Levy, Y. Green tea: A promising natural product in oral health. Arch. Oral. Biol. 2012, 57, 429–435. [Google Scholar] [CrossRef] [PubMed]
  3. Sang, S.; Lambert, J.D.; Ho, C.T.; Yang, C.S. The chemistry and biotransformation of tea constituents. Pharmacol. Res. 2011, 64, 87–99. [Google Scholar] [CrossRef]
  4. Min, K.J.; Kwon, T.K. Anticancer effects and molecular mechanisms of epigallocatechin-3-gallate. Integr. Med. Res. 2014, 3, 16–24. [Google Scholar] [CrossRef]
  5. Oliveira, M.R.; Nabavi, S.F.; Daglia, M.; Rastrelli, L.; Nabavi, S.M. Epigallocatechin gallate and mitochondria—A story of life and death. Pharmacol. Res. 2016, 104, 70–85. [Google Scholar] [CrossRef]
  6. Nagle, D.G.; Ferreira, D.; Zhou, Y.D. Epigallocatechin-3-gallate (EGCG): Chemical and biomedical perspectives. Phytochemistry 2006, 67, 1849–1855. [Google Scholar] [CrossRef]
  7. Sutherland, B.A.; Rahman, R.M.; Appleton, I. Mechanisms of action of green tea catechins, with a focus on ischemia-induced neurodegeneration. J. Nutr. Biochem. 2006, 17, 291–306. [Google Scholar] [CrossRef]
  8. Mereles, D.; Hunstein, W. Epigallocatechin-3-gallate (EGCG) for clinical trials: More pitfalls than promises? Int. J. Mol. Sci. 2011, 12, 5592–5603. [Google Scholar] [CrossRef]
  9. Siriphap, A.; Kiddee, A.; Duangjai, A.; Yosboonruang, A.; Pook-In, G.; Saokaew, S.; Sutheinkul, O.; Rawangkan, A. Antimicrobial activity of the green tea polyphenol (-)-epigallocatechin-3-gallate (egcg) against clinical isolates of multidrug-resistant vibrio cholerae. Antibiotics 2022, 11, 518. [Google Scholar] [CrossRef]
  10. Gan, R.Y.; Li, H.B.; Sui, Z.Q.; Corke, H. Absorption, metabolism, anti-cancer effect and molecular targets of epigallocatechin gallate (EGCG): An updated review. Crit. Rev. Food Sci. Nutr. 2018, 58, 924–941. [Google Scholar] [CrossRef]
  11. Roychoudhury, S.; Agarwal, A.; Virk, G.; Cho, C.L. Potential role of green tea catechins in the management of oxidative stress-associated infertility. Reprod. Biomed. Online 2017, 34, 487–498. [Google Scholar] [CrossRef] [PubMed]
  12. Westfall, S.; Pasinetti, G.M. The gut microbiota links dietary polyphenols with management of psychiatric mood disorders. Front. Neurosci. 2019, 13, 1196. [Google Scholar] [CrossRef] [PubMed]
  13. Andreu-Fernández, V.; Almeida Toledano, L.; Pizarro, N.; Navarro-Tapia, E.; Gómez-Roig, M.D.; de la Torre, R.; García-Algar, Ó. Bioavailability of epigallocatechin gallate administered with different nutritional strategies in healthy volunteers. Antioxidants 2020, 9, 440. [Google Scholar] [CrossRef] [PubMed]
  14. Van Amelsvoort, J.M.; Van Hof, K.H.; Mathot, J.N.; Mulder, T.P.; Wiersma, A.; Tijburg, L.B. Plasma concentrations of individual tea catechins after a single oral dose in humans. Xenobiotica 2001, 31, 891–901. [Google Scholar] [CrossRef]
  15. Afzal, M.; Safer, A.M.; Menon, M. Green tea polyphenols and their potential role in health and disease. Inflammopharmacology 2015, 23, 151–161. [Google Scholar] [CrossRef]
  16. Khan, N.; Mukhtar, H. Tea and health: Studies in humans. Curr. Pharm. Des. 2013, 19, 6141–6147. [Google Scholar] [CrossRef]
  17. Legeay, S.; Rodier, M.; Fillon, L.; Faure, S.; Clere, N. Epigallocatechin gallate: A review of its beneficial properties to prevent metabolic syndrome. Nutrients 2015, 7, 5443–5468. [Google Scholar] [CrossRef]
  18. Farzaei, M.H.; Rahimi, R.; Abdollahi, M. The role of dietary polyphenols in the management of inflammatory bowel disease. Curr. Pharm. Biotechnol. 2015, 16, 196–210. [Google Scholar] [CrossRef]
  19. Hsu, S. Compounds derived from epigallocatechin-3-gallate (egcg) as a novel approach to the prevention of viral infections. Inflamm. Allergy Drug Targets 2015, 14, 13–18. [Google Scholar] [CrossRef]
  20. Reygaert, W.C. The antimicrobial possibilities of green tea. Front. Microbiol. 2014, 5, 434. [Google Scholar] [CrossRef]
  21. Yang, C.S.; Zhang, J.; Zhang, L.; Huang, J.; Wang, Y. Mechanisms of body weight reduction and metabolic syndrome alleviation by tea. Mol. Nutr. Food Res. 2016, 60, 160–174. [Google Scholar] [CrossRef]
  22. Chowdhury, A.; Sarkar, J.; Chakraborti, T.; Pramanik, P.K.; Chakraborti, S. Protective role of epigallocatechin-3-gallate in health and disease: A perspective. Biomed. Pharmacother. 2016, 78, 50–59. [Google Scholar] [CrossRef] [PubMed]
  23. Xicota, L.; Rodriguez-Morato, J.; Dierssen, M.; de la Torre, R. Potential role of (-)-epigallocatechin-3-gallate (egcg) in the secondary prevention of alzheimer disease. Curr. Drug Targets 2017, 18, 174–195. [Google Scholar] [CrossRef]
  24. Keske, M.A.; Ng, H.L.; Premilovac, D.; Rattigan, S.; Kim, J.A.; Munir, K.; Yang, P.; Quon, M.J. Vascular and metabolic actions of the green tea polyphenol epigallocatechin gallate. Curr. Med. Chem. 2015, 22, 59–69. [Google Scholar] [CrossRef]
  25. Lambert, J.D.; Elias, R.J. The antioxidant and pro-oxidant activities of green tea polyphenols: A role in cancer prevention. Arch. Biochem. Biophys. 2010, 501, 65–72. [Google Scholar] [CrossRef] [PubMed]
  26. Landis-Piwowar, K.R.; Kuhn, D.J.; Wan, S.B.; Chen, D.; Chan, T.H.; Dou, Q.P. Evaluation of proteasome-inhibitory and apoptosis-inducing potencies of novel (-)-EGCG analogs and their prodrugs. Int. J. Mol. Med. 2005, 15, 735–742. [Google Scholar] [CrossRef]
  27. Khandelwal, A.; Hall, J.A.; Blagg, B.S. Synthesis and structure-activity relationships of egcg analogues, a recently identified hsp90 inhibitor. J. Org. Chem. 2013, 78, 7859–7884. [Google Scholar] [CrossRef]
  28. Matsubara, S.; Shibata, H.; Ishikawa, F.; Yokokura, T.; Takahashi, M.; Sugimura, T.; Wakabayashi, K. Suppression of Helicobacter pylori-induced gastritis by green tea extract in Mongolian gerbils. Biochem. Biophys. Res. Commun. 2003, 310, 715–719. [Google Scholar] [CrossRef]
  29. Chen, L.; Lee, M.J.; Li, H.; Yang, C.S. Absorption, distribution, elimination of tea polyphenols in rats. Drug Metab. Dispos. 1997, 25, 1045–1050. [Google Scholar]
  30. Nakagawa, K.; Miyazawa, T. Absorption and distribution of tea catechin, (-)-epigallocatechin-3-gallate, in the rat. J. Nutr. Sci. Vitaminol. 1997, 43, 679–684. [Google Scholar] [CrossRef]
  31. Zhu, M.; Chen, Y.; Li, R.C. Oral absorption and bioavailability of tea catechins. Planta Med. 2000, 66, 444–447. [Google Scholar] [CrossRef] [PubMed]
  32. Swezey, R.R.; Aldridge, D.E.; LeValley, S.E.; Crowell, J.A.; Hara, Y.; Green, C.E. Absorption, tissue distribution and elimination of 4-[(3)h]-epigallocatechin gallate in beagle dogs. Int. J. Toxicol. 2003, 22, 187–193. [Google Scholar] [CrossRef] [PubMed]
  33. Lee, M.J.; Maliakal, P.; Chen, L.; Meng, X.; Bondoc, F.Y.; Prabhu, S.; Lambert, G.; Mohr, S.; Yang, C.S. Pharmacokinetics of tea catechins after ingestion of green tea and (-)-epigallocatechin-3-gallate by humans: Formation of different metabolites and individual variability. Cancer Epidemiol. Biomarkers Prev. 2002, 11, 1025–1032. [Google Scholar] [PubMed]
  34. Chow, H.H.; Cai, Y.; Hakim, I.A.; Crowell, J.A.; Shahi, F.; Brooks, C.A.; Dorr, R.T.; Hara, Y.; Alberts, D.S. Pharmacokinetics and safety of green tea polyphenols after multiple-dose administration of epigallocatechin gallate and polyphenon E in healthy individuals. Clin. Cancer Res. 2003, 9, 3312–3319. [Google Scholar]
  35. Clifford, M.N.; van der Hooft, J.J.; Crozier, A. Human studies on the absorption, distribution, metabolism, and excretion of tea polyphenols. Am. J. Clin. Nutr. 2013, 98, 1619s–1630s. [Google Scholar] [CrossRef]
  36. Lambert, J.D.; Kwon, S.J.; Ju, J.; Bose, M.; Lee, M.J.; Hong, J.; Hao, X.; Yang, C.S. Effect of genistein on the bioavailability and intestinal cancer chemopreventive activity of (-)-epigallocatechin-3-gallate. Carcinogenesis 2008, 29, 2019–2024. [Google Scholar] [CrossRef]
  37. Marín, V.; Burgos, V.; Pérez, R.; Maria, D.A.; Pardi, P.; Paz, C. The potential role of epigallocatechin-3-gallate (egcg) in breast cancer treatment. Int. J. Mol. Sci. 2023, 24, 10737. [Google Scholar] [CrossRef]
  38. Lambert, J.D.; Sang, S.; Yang, C.S. Biotransformation of green tea polyphenols and the biological activities of those metabolites. Mol. Pharm. 2007, 4, 819–825. [Google Scholar] [CrossRef]
  39. Bartosikova, L.; Necas, J. Epigallocatechin gallate: A review. Vet. Med. 2018, 63, 443–467. [Google Scholar] [CrossRef]
  40. Isbrucker, R.A.; Edwards, J.A.; Wolz, E.; Davidovich, A.; Bausch, J. Safety studies on epigallocatechin gallate (EGCG) preparations. Part 2: Dermal, acute and short-term toxicity studies. Food Chem. Toxicol. 2006, 44, 636–650. [Google Scholar] [CrossRef]
  41. Isbrucker, R.A.; Edwards, J.A.; Wolz, E.; Davidovich, A.; Bausch, J. Safety studies on epigallocatechin gallate (EGCG) preparations. Part 3: Teratogenicity and reproductive toxicity studies in rats. Food Chem. Toxicol. 2006, 44, 651–661. [Google Scholar] [CrossRef] [PubMed]
  42. Isbrucker, R.A.; Bausch, J.; Edwards, J.A.; Wolz, E. Safety studies on epigallocatechin gallate (EGCG) preparations. Part 1: Genotoxicity. Food Chem. Toxicol. 2006, 44, 626–635. [Google Scholar] [CrossRef] [PubMed]
  43. Rao, S.D.; Pagidas, K. Epigallocatechin-3-gallate, a natural polyphenol, inhibits cell proliferation and induces apoptosis in human ovarian cancer cells. Anticancer. Res. 2010, 30, 2519–2523. [Google Scholar] [PubMed]
  44. Lambert, J.D.; Yang, C.S. Mechanisms of cancer prevention by tea constituents. J. Nutr. 2003, 133, 3262s–3267s. [Google Scholar] [CrossRef]
  45. Spinella, F.; Rosanò, L.; Di Castro, V.; Decandia, S.; Albini, A.; Nicotra, M.R.; Natali, P.G.; Bagnato, A. Green tea polyphenol epigallocatechin-3-gallate inhibits the endothelin axis and downstream signaling pathways in ovarian carcinoma. Mol. Cancer Ther. 2006, 5, 1483–1492. [Google Scholar] [CrossRef]
  46. Khan, N.; Afaq, F.; Saleem, M.; Ahmad, N.; Mukhtar, H. Targeting multiple signaling pathways by green tea polyphenol (-)-epigallocatechin-3-gallate. Cancer Res. 2006, 66, 2500–2505. [Google Scholar] [CrossRef]
  47. Khan, N.; Afaq, F.; Mukhtar, H. Cancer chemoprevention through dietary antioxidants: Progress and promise. Antioxid. Redox Signal 2008, 10, 475–510. [Google Scholar] [CrossRef]
  48. Dueñas Sadornil, C.; Fabregas Puigtió, S.; Durández, R. Hepatotoxicity due to Camelia sinensis. Med. Clin. 2004, 122, 677–678. [Google Scholar] [CrossRef]
  49. García-Morán, S.; Sáez-Royuela, F.; Gento, E.; López Morante, A.; Arias, L. Acute hepatitis associated with Camellia thea and Orthosiphon stamineus ingestion. Gastroenterol. Hepatol. 2004, 27, 559–560. [Google Scholar] [CrossRef]
  50. Bonkovsky, H.L. Hepatotoxicity associated with supplements containing Chinese green tea (Camellia sinensis). Ann. Intern. Med. 2006, 144, 68–71. [Google Scholar] [CrossRef]
  51. Galati, G.; Lin, A.; Sultan, A.M.; O’Brien, P.J. Cellular and in vivo hepatotoxicity caused by green tea phenolic acids and catechins. Free Radic. Biol. Med. 2006, 40, 570–580. [Google Scholar] [CrossRef] [PubMed]
  52. Jimenez-Saenz, M.; Martinez-Sanchez, C. Green tea extracts and acute liver failure: The need for caution in their use and diagnostic assessment. Liver Transpl. 2007, 13, 1067. [Google Scholar] [CrossRef] [PubMed]
  53. Rahmani, A.H.; Al Shabrmi, F.M.; Allemailem, K.S.; Aly, S.M.; Khan, M.A. Implications of green tea and its constituents in the prevention of cancer via the modulation of cell signalling pathway. Biomed. Res. Int. 2015, 2015, 925640. [Google Scholar] [CrossRef] [PubMed]
  54. Mazzanti, G.; Menniti-Ippolito, F.; Moro, P.A.; Cassetti, F.; Raschetti, R.; Santuccio, C.; Mastrangelo, S. Hepatotoxicity from green tea: A review of the literature and two unpublished cases. Eur. J. Clin. Pharmacol. 2009, 65, 331–341. [Google Scholar] [CrossRef]
  55. Cai, Y.; He, S.Q.; Hong, H.Q.; Cai, Y.P.; Zhao, L.; Zhang, M. High doses of (-)-epigallocatechin-3-gallate from green tea induces cardiac fibrosis in mice. Biotechnol. Lett. 2015, 37, 2371–2377. [Google Scholar] [CrossRef]
  56. da Silva Pinto, M. Tea: A new perspective on health benefits. Food Res. Int. 2013, 53, 558–567. [Google Scholar] [CrossRef]
  57. Wang, S.; Su, R.; Nie, S.; Sun, M.; Zhang, J.; Wu, D.; Moustaid-Moussa, N. Application of nanotechnology in improving bioavailability and bioactivity of diet-derived phytochemicals. J. Nutr. Biochem. 2014, 25, 363–376. [Google Scholar] [CrossRef]
  58. Delie, F.; Blanco-Príeto, M.J. Polymeric particulates to improve oral bioavailability of peptide drugs. Molecules 2005, 10, 65–80. [Google Scholar] [CrossRef]
  59. Voinea, M.; Simionescu, M. Designing of ‘intelligent’ liposomes for efficient delivery of drugs. J. Cell. Mol. Med. 2002, 6, 465–474. [Google Scholar] [CrossRef]
  60. Paluszkiewicz, P.; Martuszewski, A.; Zaręba, N.; Wala, K.; Banasik, M.; Kepinska, M. The application of nanoparticles in diagnosis and treatment of kidney diseases. Int. J. Mol. Sci. 2021, 23, 131. [Google Scholar] [CrossRef]
  61. Granja, A.; Frias, I.; Neves, A.R.; Pinheiro, M.; Reis, S. Therapeutic potential of epigallocatechin gallate nanodelivery systems. Biomed. Res. Int. 2017, 2017, 5813793. [Google Scholar] [CrossRef] [PubMed]
  62. Hu, B.; Ting, Y.; Yang, X.; Tang, W.; Zeng, X.; Huang, Q. Nanochemoprevention by encapsulation of (-)-epigallocatechin-3-gallate with bioactive peptides/chitosan nanoparticles for enhancement of its bioavailability. Chem. Commun. 2012, 48, 2421–2423. [Google Scholar] [CrossRef] [PubMed]
  63. Alemdaroglu, N.C.; Dietz, U.; Wolffram, S.; Spahn-Langguth, H.; Langguth, P. Influence of green and black tea on folic acid pharmacokinetics in healthy volunteers: Potential risk of diminished folic acid bioavailability. Biopharm. Drug Dispos. 2008, 29, 335–348. [Google Scholar] [CrossRef]
  64. Lecumberri, E.; Dupertuis, Y.M.; Miralbell, R.; Pichard, C. Green tea polyphenol epigallocatechin-3-gallate (EGCG) as adjuvant in cancer therapy. Clin. Nutr. 2013, 32, 894–903. [Google Scholar] [CrossRef]
  65. Fujiki, H.; Imai, K.; Nakachi, K.; Sueoka, E.; Watanabe, T.; Suganuma, M. Innovative strategy of cancer treatment with the combination of green tea catechins and anticancer compounds. Cancer Cell Microenviron. 2015, 2. [Google Scholar] [CrossRef]
  66. Steinmann, J.; Buer, J.; Pietschmann, T.; Steinmann, E. Anti-infective properties of epigallocatechin-3-gallate (EGCG), a component of green tea. Br. J. Pharmacol. 2013, 168, 1059–1073. [Google Scholar] [CrossRef]
  67. Sharifi-Rad, M.; Pezzani, R.; Redaelli, M.; Zorzan, M.; Imran, M.; Ahmed Khalil, A.; Salehi, B.; Sharopov, F.; Cho, W.C.; Sharifi-Rad, J. Preclinical pharmacological activities of epigallocatechin-3-gallate in signaling pathways: An update on cancer. Molecules 2020, 25, 467. [Google Scholar] [CrossRef]
  68. Tachibana, H. Green tea polyphenol sensing. Proc. Jpn. Acad. Ser. B Phys. Biol. Sci. 2011, 87, 66–80. [Google Scholar] [CrossRef]
  69. Gu, J.W.; Makey, K.L.; Tucker, K.B.; Chinchar, E.; Mao, X.; Pei, I.; Thomas, E.Y.; Miele, L. EGCG, a major green tea catechin suppresses breast tumor angiogenesis and growth via inhibiting the activation of HIF-1α and NFκB, and VEGF expression. Vasc. Cell 2013, 5, 9. [Google Scholar] [CrossRef]
  70. Babu, P.V.; Liu, D.; Gilbert, E.R. Recent advances in understanding the anti-diabetic actions of dietary flavonoids. J. Nutr. Biochem. 2013, 24, 1777–1789. [Google Scholar] [CrossRef]
  71. Zhou, J.; Farah, B.L.; Sinha, R.A.; Wu, Y.; Singh, B.K.; Bay, B.H.; Yang, C.S.; Yen, P.M. Epigallocatechin-3-gallate (EGCG), a green tea polyphenol, stimulates hepatic autophagy and lipid clearance. PLoS ONE 2014, 9, e87161. [Google Scholar] [CrossRef] [PubMed]
  72. Cooper, R.; Morré, D.J.; Morré, D.M. Medicinal benefits of green tea: Part I. Review of noncancer health benefits. J. Altern. Complement. Med. 2005, 11, 521–528. [Google Scholar] [CrossRef] [PubMed]
  73. Shen, C.L.; Yeh, J.K.; Cao, J.J.; Wang, J.S. Green tea and bone metabolism. Nutr. Res. 2009, 29, 437–456. [Google Scholar] [CrossRef] [PubMed]
  74. Zhao, T.; Li, C.; Wang, S.; Song, X. Green Tea (Camellia sinensis): A Review of Its Phytochemistry, Pharmacology, and Toxicology. Molecules 2022, 27, 3909. [Google Scholar] [CrossRef]
  75. Vickery, K.D.; Sauser, K.; Davis, M.M. Policy responses to demand for health care access: From the individual to the population. Jama 2013, 309, 665–666. [Google Scholar] [CrossRef]
  76. Yashin, A.Y.; Nemzer, B.; Yashin, Y.I. Bioavailability of tea components. J. Field Robot. 2012, 1, 281–290. [Google Scholar] [CrossRef]
  77. Singh, B.N.; Shankar, S.; Srivastava, R.K. Green tea catechin, epigallocatechin-3-gallate (EGCG): Mechanisms, perspectives and clinical applications. Biochem. Pharmacol. 2011, 82, 1807–1821. [Google Scholar] [CrossRef]
  78. Kim, H.S.; Quon, M.J.; Kim, J.A. New insights into the mechanisms of polyphenols beyond antioxidant properties; lessons from the green tea polyphenol, epigallocatechin 3-gallate. Redox Biol. 2014, 2, 187–195. [Google Scholar] [CrossRef]
  79. Gradisar, H.; Pristovsek, P.; Plaper, A.; Jerala, R. Green tea catechins inhibit bacterial DNA gyrase by interaction with its ATP binding site. J. Med. Chem. 2007, 50, 264–271. [Google Scholar] [CrossRef]
  80. Lee, K.M.; Yeo, M.; Choue, J.S.; Jin, J.H.; Park, S.J.; Cheong, J.Y.; Lee, K.J.; Kim, J.H.; Hahm, K.B. Protective mechanism of epigallocatechin-3-gallate against Helicobacter pylori-induced gastric epithelial cytotoxicity via the blockage of TLR-4 signaling. Helicobacter 2004, 9, 632–642. [Google Scholar] [CrossRef]
  81. Xu, J.; Xu, Z.; Zheng, W. A Review of the Antiviral Role of Green Tea Catechins. Molecules 2017, 22, 1337. [Google Scholar] [CrossRef] [PubMed]
  82. Imanishi, N.; Tuji, Y.; Katada, Y.; Maruhashi, M.; Konosu, S.; Mantani, N.; Terasawa, K.; Ochiai, H. Additional inhibitory effect of tea extract on the growth of influenza A and B viruses in MDCK cells. Microbiol. Immunol. 2002, 46, 491–494. [Google Scholar] [CrossRef] [PubMed]
  83. Song, J.M.; Lee, K.H.; Seong, B.L. Antiviral effect of catechins in green tea on influenza virus. Antivir. Res. 2005, 68, 66–74. [Google Scholar] [CrossRef] [PubMed]
  84. Weber, J.M.; Ruzindana-Umunyana, A.; Imbeault, L.; Sircar, S. Inhibition of adenovirus infection and adenain by green tea catechins. Antiviral Res. 2003, 58, 167–173. [Google Scholar] [CrossRef]
  85. Chen, C.; Qiu, H.; Gong, J.; Liu, Q.; Xiao, H.; Chen, X.W.; Sun, B.L.; Yang, R.G. (-)-Epigallocatechin-3-gallate inhibits the replication cycle of hepatitis C virus. Arch. Virol. 2012, 157, 1301–1312. [Google Scholar] [CrossRef]
  86. He, W.; Li, L.X.; Liao, Q.J.; Liu, C.L.; Chen, X.L. Epigallocatechin gallate inhibits HBV DNA synthesis in a viral replication—Inducible cell line. World J. Gastroenterol. 2011, 17, 1507–1514. [Google Scholar] [CrossRef]
  87. Pang, J.Y.; Zhao, K.J.; Wang, J.B.; Ma, Z.J.; Xiao, X.H. Green tea polyphenol, epigallocatechin-3-gallate, possesses the antiviral activity necessary to fight against the hepatitis B virus replication in vitro. J. Zhejiang Univ. Sci. B 2014, 15, 533–539. [Google Scholar] [CrossRef]
  88. Chang, L.K.; Wei, T.T.; Chiu, Y.F.; Tung, C.P.; Chuang, J.Y.; Hung, S.K.; Li, C.; Liu, S.T. Inhibition of Epstein-Barr virus lytic cycle by (-)-epigallocatechin gallate. Biochem. Biophys. Res. Commun. 2003, 301, 1062–1068. [Google Scholar] [CrossRef]
  89. Kawai, K.; Tsuno, N.H.; Kitayama, J.; Okaji, Y.; Yazawa, K.; Asakage, M.; Hori, N.; Watanabe, T.; Takahashi, K.; Nagawa, H. Epigallocatechin gallate, the main component of tea polyphenol, binds to CD4 and interferes with gp120 binding. J. Allergy Clin. Immunol. 2003, 112, 951–957. [Google Scholar] [CrossRef]
  90. Calland, N.; Albecka, A.; Belouzard, S.; Wychowski, C.; Duverlie, G.; Descamps, V.; Hober, D.; Dubuisson, J.; Rouillé, Y.; Séron, K. (-)-Epigallocatechin-3-gallate is a new inhibitor of hepatitis C virus entry. Hepatology 2012, 55, 720–729. [Google Scholar] [CrossRef]
  91. Fassina, G.; Buffa, A.; Benelli, R.; Varnier, O.E.; Noonan, D.M.; Albini, A. Polyphenolic antioxidant (-)-epigallocatechin-3-gallate from green tea as a candidate anti-HIV agent. Aids 2002, 16, 939–941. [Google Scholar] [CrossRef] [PubMed]
  92. McGlynn, K.A.; Petrick, J.L.; El-Serag, H.B. Epidemiology of Hepatocellular Carcinoma. Hepatology 2021, 73 (Suppl. S1), 4–13. [Google Scholar] [CrossRef] [PubMed]
  93. Yang, G.; Wan, P.; Zhang, Y.; Tan, Q.; Qudus, M.S.; Yue, Z.; Luo, W.; Zhang, W.; Ouyang, J.; Li, Y.; et al. Innate Immunity, Inflammation, and Intervention in HBV Infection. Viruses 2022, 14, 2275. [Google Scholar] [CrossRef] [PubMed]
  94. Fung, S.; Choi, H.S.J.; Gehring, A.; Janssen, H.L.A. Getting to HBV cure: The promising paths forward. Hepatology 2022, 76, 233–250. [Google Scholar] [CrossRef]
  95. Wang, Z.Y.; Li, Y.Q.; Guo, Z.W.; Zhou, X.H.; Lu, M.D.; Xue, T.C.; Gao, B. ERK1/2-HNF4α axis is involved in epigallocatechin-3-gallate inhibition of HBV replication. Acta Pharmacol. Sin. 2020, 41, 278–285. [Google Scholar] [CrossRef]
  96. Huang, H.C.; Tao, M.H.; Hung, T.M.; Chen, J.C.; Lin, Z.J.; Huang, C. (-)-Epigallocatechin-3-gallate inhibits entry of hepatitis B virus into hepatocytes. Antivir. Res. 2014, 111, 100–111. [Google Scholar] [CrossRef]
  97. Shen, C.; Jiang, X.; Li, M.; Luo, Y. Hepatitis Virus and Hepatocellular Carcinoma: Recent Advances. Cancers 2023, 15, 533. [Google Scholar] [CrossRef]
  98. Wang, Y.; Li, J.; Wang, X.; Peña, J.C.; Li, K.; Zhang, T.; Ho, W. (-)-epigallocatechin-3-gallate enhances hepatitis c virus double-stranded rna intermediates-triggered innate immune responses in hepatocytes. Sci. Rep. 2016, 6, 21595. [Google Scholar] [CrossRef]
  99. Wang, Y.Z.; Li, J.L.; Wang, X.; Zhang, T.; Ho, W.Z. (-)-Epigallocatechin-3-gallate enhances poly I:C-induced interferon-λ1 production and inhibits hepatitis C virus replication in hepatocytes. World J. Gastroenterol. 2017, 23, 5895–5903. [Google Scholar] [CrossRef]
  100. Ciesek, S.; von Hahn, T.; Colpitts, C.C.; Schang, L.M.; Friesland, M.; Steinmann, J.; Manns, M.P.; Ott, M.; Wedemeyer, H.; Meuleman, P.; et al. The green tea polyphenol, epigallocatechin-3-gallate, inhibits hepatitis C virus entry. Hepatology 2011, 54, 1947–1955. [Google Scholar] [CrossRef]
  101. Calland, N.; Sahuc, M.E.; Belouzard, S.; Pène, V.; Bonnafous, P.; Mesalam, A.A.; Deloison, G.; Descamps, V.; Sahpaz, S.; Wychowski, C.; et al. Polyphenols inhibit hepatitis c virus entry by a new mechanism of action. J. Virol. 2015, 89, 10053–10063. [Google Scholar] [CrossRef] [PubMed]
  102. Mathew, S.; Faheem, M.; Archunan, G.; Ilyas, M.; Begum, N.; Jahangir, S.; Qadri, I.; Qahtani, M.A.; Mathew, S. In silico studies of medicinal compounds against hepatitis C capsid protein from north India. Bioinform. Biol. Insights 2014, 8, 159–168. [Google Scholar] [CrossRef] [PubMed]
  103. Shahid, F.; Noreen; Ali, R.; Badshah, S.L.; Jamal, S.B.; Ullah, R.; Bari, A.; Majid Mahmood, H.; Sohaib, M.; Akber Ansari, S. Identification of potential hcv inhibitors based on the interaction of epigallocatechin-3-gallate with viral envelope proteins. Molecules 2021, 26, 1257. [Google Scholar] [CrossRef]
  104. Mekky, R.Y.; El-Ekiaby, N.M.; Hamza, M.T.; Elemam, N.M.; El-Sayed, M.; Esmat, G.; Abdelaziz, A.I. Mir-194 is a hepatocyte gate keeper hindering HCV entry through targeting CD81 receptor. J. Infect. 2015, 70, 78–87. [Google Scholar] [CrossRef]
  105. Mekky, R.Y.; El-Ekiaby, N.; El Sobky, S.A.; Elemam, N.M.; Youness, R.A.; El-Sayed, M.; Hamza, M.T.; Esmat, G.; Abdelaziz, A.I. Epigallocatechin gallate (egcg) and mir-548m reduce hcv entry through repression of cd81 receptor in hcv cell models. Arch. Virol. 2019, 164, 1587–1595. [Google Scholar] [CrossRef]
  106. Zhong, Y.; Ma, C.M.; Shahidi, F. Antioxidant and antiviral activities of lipophilic epigallocatechin gallate (EGCG) derivatives. J. Funct. Foods 2012, 4, 87–93. [Google Scholar] [CrossRef]
  107. Ellis, D. Amphotericin B: Spectrum and resistance. J. Antimicrob. Chemother. 2002, 49 (Suppl. S1), 7–10. [Google Scholar] [CrossRef]
  108. Navarro-Martínez, M.D.; García-Cánovas, F.; Rodríguez-López, J.N. Tea polyphenol epigallocatechin-3-gallate inhibits ergosterol synthesis by disturbing folic acid metabolism in Candida albicans. J. Antimicrob. Chemother. 2006, 57, 1083–1092. [Google Scholar] [CrossRef]
  109. Toyoshima, Y.; Okubo, S.; Toda, M.; Hara, Y.; Shimamura, T. Effect of catechin on the ultrastructure of Trichophyton mentagrophytes. Kansenshogaku Zasshi 1994, 68, 295–303. [Google Scholar] [CrossRef]
  110. Park, B.J.; Taguchi, H.; Kamei, K.; Matsuzawa, T.; Hyon, S.H.; Park, J.C. In vitro antifungal activity of epigallocatechin 3-O-gallate against clinical isolates of dermatophytes. Yonsei Med. J. 2011, 52, 535–538. [Google Scholar] [CrossRef]
  111. Hirasawa, M.; Takada, K. Multiple effects of green tea catechin on the antifungal activity of antimycotics against Candida albicans. J. Antimicrob. Chemother. 2004, 53, 225–229. [Google Scholar] [CrossRef] [PubMed]
  112. Rice-Evans, C.A.; Miller, N.J.; Paganga, G. Structure-antioxidant activity relationships of flavonoids and phenolic acids. Free Radic. Biol. Med. 1996, 20, 933–956. [Google Scholar] [CrossRef] [PubMed]
  113. Escudero, A.; Bueno-Aventín, E.; Ontañón, I.; Fernádez-Zurbano, P.; Ferreira, V. The role of polyphenols in oxygen consumption and in the accumulation of acetaldehyde and Strecker aldehydes during wine oxidation. Food Chem. 2025, 466, 142242. [Google Scholar] [CrossRef] [PubMed]
  114. Ruch, R.J.; Cheng, S.J.; Klaunig, J.E. Prevention of cytotoxicity and inhibition of intercellular communication by antioxidant catechins isolated from Chinese green tea. Carcinogenesis 1989, 10, 1003–1008. [Google Scholar] [CrossRef]
  115. Kashima, M. Effects of catechins on superoxide and hydroxyl radical. Chem. Pharm. Bull. 1999, 47, 279–283. [Google Scholar] [CrossRef]
  116. Zhao, B.; Guo, Q.; Xin, W. Free radical scavenging by green tea polyphenols. Methods Enzymol. 2001, 335, 217–231. [Google Scholar] [CrossRef]
  117. Forester, S.C.; Lambert, J.D. The role of antioxidant versus pro-oxidant effects of green tea polyphenols in cancer prevention. Mol. Nutr. Food Res. 2011, 55, 844–854. [Google Scholar] [CrossRef]
  118. Sang, S.; Tian, S.; Wang, H.; Stark, R.E.; Rosen, R.T.; Yang, C.S.; Ho, C.T. Chemical studies of the antioxidant mechanism of tea catechins: Radical reaction products of epicatechin with peroxyl radicals. Bioorg. Med. Chem. 2003, 11, 3371–3378. [Google Scholar] [CrossRef]
  119. Kelly, M.R.; Geigerman, C.M.; Loo, G. Epigallocatechin gallate protects U937 cells against nitric oxide-induced cell cycle arrest and apoptosis. J. Cell Biochem. 2001, 81, 647–658. [Google Scholar] [CrossRef]
  120. Guo, Q.; Zhao, B.; Li, M.; Shen, S.; Xin, W. Studies on protective mechanisms of four components of green tea polyphenols against lipid peroxidation in synaptosomes. Biochim. Biophys. Acta 1996, 1304, 210–222. [Google Scholar] [CrossRef]
  121. Pannala, A.S.; Rice-Evans, C.A.; Halliwell, B.; Singh, S. Inhibition of peroxynitrite-mediated tyrosine nitration by catechin polyphenols. Biochem. Biophys. Res. Commun. 1997, 232, 164–168. [Google Scholar] [CrossRef] [PubMed]
  122. Sabetkar, M.; Low, S.Y.; Bradley, N.J.; Jacobs, M.; Naseem, K.M.; Richard Bruckdorfer, K. The nitration of platelet vasodilator stimulated phosphoprotein following exposure to low concentrations of hydrogen peroxide. Platelets 2008, 19, 282–292. [Google Scholar] [CrossRef] [PubMed]
  123. Meng, Q.; Velalar, C.N.; Ruan, R. Regulating the age-related oxidative damage, mitochondrial integrity, and antioxidative enzyme activity in Fischer 344 rats by supplementation of the antioxidant epigallocatechin-3-gallate. Rejuvenation Res. 2008, 11, 649–660. [Google Scholar] [CrossRef]
  124. Singh, N.A.; Mandal, A.K.; Khan, Z.A. Potential neuroprotective properties of epigallocatechin-3-gallate (EGCG). Nutr. J. 2016, 15, 60. [Google Scholar] [CrossRef]
  125. Grinberg, L.N.; Newmark, H.; Kitrossky, N.; Rahamim, E.; Chevion, M.; Rachmilewitz, E.A. Protective effects of tea polyphenols against oxidative damage to red blood cells. Biochem. Pharmacol. 1997, 54, 973–978. [Google Scholar] [CrossRef]
  126. Seeram, N.P.; Nair, M.G. Inhibition of lipid peroxidation and structure-activity-related studies of the dietary constituents anthocyanins, anthocyanidins, and catechins. J. Agric. Food Chem. 2002, 50, 5308–5312. [Google Scholar] [CrossRef]
  127. Anderson, R.F.; Fisher, L.J.; Hara, Y.; Harris, T.; Mak, W.B.; Melton, L.D.; Packer, J.E. Green tea catechins partially protect DNA from (.)OH radical-induced strand breaks and base damage through fast chemical repair of DNA radicals. Carcinogenesis 2001, 22, 1189–1193. [Google Scholar] [CrossRef]
  128. Zhao, B.L.; Li, X.J.; He, R.G.; Cheng, S.J.; Xin, W.J. Scavenging effect of extracts of green tea and natural antioxidants on active oxygen radicals. Cell Biophys. 1989, 14, 175–185. [Google Scholar] [CrossRef]
  129. Terao, J.; Piskula, M.; Yao, Q. Protective effect of epicatechin, epicatechin gallate, and quercetin on lipid peroxidation in phospholipid bilayers. Arch. Biochem. Biophys. 1994, 308, 278–284. [Google Scholar] [CrossRef]
  130. Hashimoto, R.; Yaita, M.; Tanaka, K.; Hara, Y.; Kojo, S. Inhibition of radical reaction of apolipoprotein B-100 and alpha-tocopherol in human plasma by green tea catechins. J. Agric. Food Chem. 2000, 48, 6380–6383. [Google Scholar] [CrossRef]
  131. Elbling, L.; Weiss, R.M.; Teufelhofer, O.; Uhl, M.; Knasmueller, S.; Schulte-Hermann, R.; Berger, W.; Micksche, M. Green tea extract and (-)-epigallocatechin-3-gallate, the major tea catechin, exert oxidant but lack antioxidant activities. FASEB J. 2005, 19, 807–809. [Google Scholar] [CrossRef] [PubMed]
  132. Yeoh, B.S.; Aguilera Olvera, R.; Singh, V.; Xiao, X.; Kennett, M.J.; Joe, B.; Lambert, J.D.; Vijay-Kumar, M. Epigallocatechin-3-gallate inhibition of myeloperoxidase and its counter-regulation by dietary iron and lipocalin 2 in murine model of gut inflammation. Am. J. Pathol. 2016, 186, 912–926. [Google Scholar] [CrossRef] [PubMed]
  133. Yang, G.Y.; Liao, J.; Li, C.; Chung, J.; Yurkow, E.J.; Ho, C.T.; Yang, C.S. Effect of black and green tea polyphenols on c-jun phosphorylation and H2O2 production in transformed and non-transformed human bronchial cell lines: Possible mechanisms of cell growth inhibition and apoptosis induction. Carcinogenesis 2000, 21, 2035–2039. [Google Scholar] [CrossRef]
  134. Nakagawa, H.; Hasumi, K.; Woo, J.-T.; Nagai, K.; Wachi, M. Generation of hydrogen peroxide primarily contributes to the induction of Fe(II)-dependent apoptosis in Jurkat cells by (−)-epigallocatechin gallate. Carcinogenesis 2004, 25, 1567–1574. [Google Scholar] [CrossRef]
  135. Mori, T.; Ishii, T.; Akagawa, M.; Nakamura, Y.; Nakayama, T. Covalent binding of tea catechins to protein thiols: The relationship between stability and electrophilic reactivity. Biosci. Biotechnol. Biochem. 2010, 74, 2451–2456. [Google Scholar] [CrossRef]
  136. Sang, S.; Lee, M.J.; Hou, Z.; Ho, C.T.; Yang, C.S. Stability of tea polyphenol (-)-epigallocatechin-3-gallate and formation of dimers and epimers under common experimental conditions. J. Agric. Food Chem. 2005, 53, 9478–9484. [Google Scholar] [CrossRef]
  137. Elbling, L.; Herbacek, I.; Weiss, R.-M.; Jantschitsch, C.; Micksche, M.; Gerner, C.; Pangratz, H.; Grusch, M.; Knasmüller, S.; Berger, W. Hydrogen peroxide mediates EGCG-induced antioxidant protection in human keratinocytes. Free. Radic. Biol. Med. 2010, 49, 1444–1452. [Google Scholar] [CrossRef]
  138. Kamata, H.; Hirata, H. Redox regulation of cellular signalling. Cell Signal 1999, 11, 1–14. [Google Scholar] [CrossRef]
  139. Nihal, M.; Ahsan, H.; Siddiqui, I.A.; Mukhtar, H.; Ahmad, N.; Wood, G.S. (-)-Epigallocatechin-3-gallate (EGCG) sensitizes melanoma cells to interferon induced growth inhibition in a mouse model of human melanoma. Cell Cycle 2009, 8, 2057–2063. [Google Scholar] [CrossRef]
  140. Tedeschi, E.; Menegazzi, M.; Yao, Y.; Suzuki, H.; Förstermann, U.; Kleinert, H. Green tea inhibits human inducible nitric-oxide synthase expression by down-regulating signal transducer and activator of transcription-1alpha activation. Mol. Pharmacol. 2004, 65, 111–120. [Google Scholar] [CrossRef]
  141. Bing, X.; Xuelei, L.; Wanwei, D.; Linlang, L.; Keyan, C. Egcg maintains th1/th2 balance and mitigates ulcerative colitis induced by dextran sulfate sodium through tlr4/myd88/nf-κb signaling pathway in rats. Can. J. Gastroenterol. Hepatol. 2017, 2017, 3057268. [Google Scholar] [CrossRef] [PubMed]
  142. Afaq, F.; Adhami, V.M.; Ahmad, N.; Mukhtar, H. Inhibition of ultraviolet B-mediated activation of nuclear factor kappaB in normal human epidermal keratinocytes by green tea Constituent (-)-epigallocatechin-3-gallate. Oncogene 2003, 22, 1035–1044. [Google Scholar] [CrossRef] [PubMed]
  143. Kim, I.B.; Kim, D.Y.; Lee, S.J.; Sun, M.J.; Lee, M.S.; Li, H.; Cho, J.J.; Park, C.S. Inhibition of IL-8 production by green tea polyphenols in human nasal fibroblasts and A549 epithelial cells. Biol. Pharm. Bull. 2006, 29, 1120–1125. [Google Scholar] [CrossRef] [PubMed]
  144. Tang, Y.; Matsuoka, I.; Ono, T.; Inoue, K.; Kimura, J. Selective up-regulation of P2X4-receptor gene expression by interferon-gamma in vascular endothelial cells. J. Pharmacol. Sci. 2008, 107, 419–427. [Google Scholar] [CrossRef] [PubMed]
  145. Mokra, D.; Joskova, M.; Mokry, J. Therapeutic effects of green tea polyphenol (−)-epigallocatechin-3-gallate (egcg) in relation to molecular pathways controlling inflammation, oxidative stress, and apoptosis. Int. J. Mol. Sci. 2022, 24, 340. [Google Scholar] [CrossRef]
  146. Chu, C.; Deng, J.; Man, Y.; Qu, Y. Green tea extracts epigallocatechin-3-gallate for different treatments. Biomed. Res. Int. 2017, 2017, 5615647. [Google Scholar] [CrossRef]
  147. Schuppan, D.; Kim, Y.O. Evolving therapies for liver fibrosis. J. Clin. Invest. 2013, 123, 1887–1901. [Google Scholar] [CrossRef]
  148. Friedman, S.L. Molecular mechanisms of hepatic fibrosis and principles of therapy. J. Gastroenterol. 1997, 32, 424–430. [Google Scholar] [CrossRef]
  149. Zhen, M.-C.; Huang, X.-H.; Wang, Q.; Sun, K.; Liu, Y.-J.; Li, W.; Zhang, L.-J.; Cao, L.-Q.; Chen, X.-L. Green tea polyphenol epigallocatechin-3-gallate suppresses rat hepatic stellate cell invasion by inhibition of MMP-2 expression and its activation. Acta Pharmacol. Sin. 2006, 27, 1600–1607. [Google Scholar] [CrossRef]
  150. Yasuda, Y.; Shimizu, M.; Sakai, H.; Iwasa, J.; Kubota, M.; Adachi, S.; Osawa, Y.; Tsurumi, H.; Hara, Y.; Moriwaki, H. (-)-Epigallocatechin gallate prevents carbon tetrachloride-induced rat hepatic fibrosis by inhibiting the expression of the PDGFRbeta and IGF-1R. Chem. Biol. Interact. 2009, 182, 159–164. [Google Scholar] [CrossRef]
  151. Weber, K.T.; Sun, Y.; Tyagi, S.C.; Cleutjens, J.P.M. Collagen network of the myocardium: Function, structural remodeling and regulatory mechanisms. J. Mol. Cell. Cardiol. 1994, 26, 279–292. [Google Scholar] [CrossRef] [PubMed]
  152. Kitamura, M.; Nishino, T.; Obata, Y.; Furusu, A.; Hishikawa, Y.; Koji, T.; Kohno, S. Epigallocatechin gallate suppresses peritoneal fibrosis in mice. Chem.-Biol. Interact. 2012, 195, 95–104. [Google Scholar] [CrossRef] [PubMed]
  153. Goo, H.C.; Hwang, Y.S.; Choi, Y.R.; Cho, H.N.; Suh, H. Development of collagenase-resistant collagen and its interaction with adult human dermal fibroblasts. Biomaterials 2003, 24, 5099–5113. [Google Scholar] [CrossRef]
  154. Jackson, J.K.; Zhao, J.; Wong, W.; Burt, H.M. The inhibition of collagenase induced degradation of collagen by the galloyl-containing polyphenols tannic acid, epigallocatechin gallate and epicatechin gallate. J. Mater. Sci. Mater. Med. 2010, 21, 1435–1443. [Google Scholar] [CrossRef]
  155. Madhan, B.; Krishnamoorthy, G.; Rao, J.R.; Nair, B.U. Role of green tea polyphenols in the inhibition of collagenolytic activity by collagenase. Int. J. Biol. Macromol. 2007, 41, 16–22. [Google Scholar] [CrossRef]
  156. Capasso, S.; Alessio, N.; Squillaro, T.; Di Bernardo, G.; Melone, M.A.; Cipollaro, M.; Peluso, G.; Galderisi, U. Changes in autophagy, proteasome activity and metabolism to determine a specific signature for acute and chronic senescent mesenchymal stromal cells. Oncotarget 2015, 6, 39457–39468. [Google Scholar] [CrossRef]
  157. Calcinotto, A.; Kohli, J.; Zagato, E.; Pellegrini, L.; Demaria, M.; Alimonti, A. Cellular Senescence: Aging, Cancer, and Injury. Physiol. Rev. 2019, 99, 1047–1078. [Google Scholar] [CrossRef]
  158. McDermott, M.; McDevitt, H. The immunogenetics of rheumatic diseases. Bull. Rheum. Dis. 1988, 38, 1–10. [Google Scholar]
  159. Shin, J.H.; Jeon, H.J.; Park, J.; Chang, M.S. Epigallocatechin-3-gallate prevents oxidative stress-induced cellular senescence in human mesenchymal stem cells via Nrf2. Int. J. Mol. Med. 2016, 38, 1075–1082. [Google Scholar] [CrossRef]
  160. Han, D.W.; Lee, M.H.; Kim, B.; Lee, J.J.; Hyon, S.H.; Park, J.C. Preventive effects of epigallocatechin-3-O-gallate against replicative senescence associated with p53 acetylation in human dermal fibroblasts. Oxid. Med. Cell Longev. 2012, 2012, 850684. [Google Scholar] [CrossRef]
  161. Kumar, R.; Sharma, A.; Kumari, A.; Gulati, A.; Padwad, Y.; Sharma, R. Epigallocatechin gallate suppresses premature senescence of preadipocytes by inhibition of pi3k/akt/mtor pathway and induces senescent cell death by regulation of bax/bcl-2 pathway. Biogerontology 2019, 20, 171–189. [Google Scholar] [CrossRef] [PubMed]
  162. Zhang, Q.; Wu, Y.; Guan, Y.; Ling, F.; Li, Y.; Niu, Y. Epigallocatechin gallate prevents senescence by alleviating oxidative stress and inflammation in WI-38 human embryonic fibroblasts. RSC Adv. 2019, 9, 26787–26798. [Google Scholar] [CrossRef] [PubMed]
  163. Granja, A.; Pinheiro, M.; Reis, S. Epigallocatechin gallate nanodelivery systems for cancer therapy. Nutrients 2016, 8, 307. [Google Scholar] [CrossRef] [PubMed]
  164. Du, G.J.; Zhang, Z.; Wen, X.D.; Yu, C.; Calway, T.; Yuan, C.S.; Wang, C.Z. Epigallocatechin Gallate (EGCG) is the most effective cancer chemopreventive polyphenol in green tea. Nutrients 2012, 4, 1679–1691. [Google Scholar] [CrossRef]
  165. Kim, S.J.; Amankwah, E.; Connors, S.; Park, H.Y.; Rincon, M.; Cornnell, H.; Chornokur, G.; Hashim, A.I.; Choi, J.; Tsai, Y.Y.; et al. Safety and chemopreventive effect of Polyphenon E in preventing early and metastatic progression of prostate cancer in TRAMP mice. Cancer Prev. Res. 2014, 7, 435–444. [Google Scholar] [CrossRef]
  166. Tsukamoto, S.; Huang, Y.; Umeda, D.; Yamada, S.; Yamashita, S.; Kumazoe, M.; Kim, Y.; Murata, M.; Yamada, K.; Tachibana, H. 67-kDa laminin receptor-dependent protein phosphatase 2A (PP2A) activation elicits melanoma-specific antitumor activity overcoming drug resistance. J. Biol. Chem. 2014, 289, 32671–32681. [Google Scholar] [CrossRef]
  167. Kumazoe, M.; Kim, Y.; Bae, J.; Takai, M.; Murata, M.; Suemasu, Y.; Sugihara, K.; Yamashita, S.; Tsukamoto, S.; Huang, Y.; et al. Phosphodiesterase 5 inhibitor acts as a potent agent sensitizing acute myeloid leukemia cells to 67-kDa laminin receptor-dependent apoptosis. FEBS Lett. 2013, 587, 3052–3057. [Google Scholar] [CrossRef]
  168. Huang, Y.; Kumazoe, M.; Bae, J.; Yamada, S.; Takai, M.; Hidaka, S.; Yamashita, S.; Kim, Y.; Won, Y.; Murata, M.; et al. Green tea polyphenol epigallocatechin-O-gallate induces cell death by acid sphingomyelinase activation in chronic myeloid leukemia cells. Oncol. Rep. 2015, 34, 1162–1168. [Google Scholar] [CrossRef]
  169. Shammas, M.A.; Neri, P.; Koley, H.; Batchu, R.B.; Bertheau, R.C.; Munshi, V.; Prabhala, R.; Fulciniti, M.; Tai, Y.T.; Treon, S.P.; et al. Specific killing of multiple myeloma cells by (-)-epigallocatechin-3-gallate extracted from green tea: Biologic activity and therapeutic implications. Blood 2006, 108, 2804–2810. [Google Scholar] [CrossRef]
  170. Tsukamoto, S.; Hirotsu, K.; Kumazoe, M.; Goto, Y.; Sugihara, K.; Suda, T.; Tsurudome, Y.; Suzuki, T.; Yamashita, S.; Kim, Y.; et al. Green tea polyphenol EGCG induces lipid-raft clustering and apoptotic cell death by activating protein kinase Cδ and acid sphingomyelinase through a 67 kDa laminin receptor in multiple myeloma cells. Biochem. J. 2012, 443, 525–534. [Google Scholar] [CrossRef]
  171. Moradzadeh, M.; Hosseini, A.; Erfanian, S.; Rezaei, H. Epigallocatechin-3-gallate promotes apoptosis in human breast cancer t47d cells through down-regulation of pi3k/akt and telomerase. Pharmacol. Rep. 2017, 69, 924–928. [Google Scholar] [CrossRef] [PubMed]
  172. Gupta, S.; Ahmad, N.; Nieminen, A.L.; Mukhtar, H. Growth inhibition, cell-cycle dysregulation, and induction of apoptosis by green tea constituent (-)-epigallocatechin-3-gallate in androgen-sensitive and androgen-insensitive human prostate carcinoma cells. Toxicol. Appl. Pharmacol. 2000, 164, 82–90. [Google Scholar] [CrossRef] [PubMed]
  173. Zhang, Y.; Duan, W.; Owusu, L.; Wu, D.; Xin, Y. Epigallocatechin-3-gallate induces the apoptosis of hepatocellular carcinoma lm6 cells but not non-cancerous liver cells. Int. J. Mol. Med. 2015, 35, 117–124. [Google Scholar] [CrossRef]
  174. Liang, Y.C.; Lin-Shiau, S.Y.; Chen, C.F.; Lin, J.K. Inhibition of cyclin-dependent kinases 2 and 4 activities as well as induction of Cdk inhibitors p21 and p27 during growth arrest of human breast carcinoma cells by (-)-epigallocatechin-3-gallate. J. Cell Biochem. 1999, 75, 1–12. [Google Scholar] [CrossRef]
  175. Koh, S.H.; Kim, S.H.; Kwon, H.; Park, Y.; Kim, K.S.; Song, C.W.; Kim, J.; Kim, M.H.; Yu, H.J.; Henkel, J.S.; et al. Epigallocatechin gallate protects nerve growth factor differentiated PC12 cells from oxidative-radical-stress-induced apoptosis through its effect on phosphoinositide 3-kinase/Akt and glycogen synthase kinase-3. Brain Res. Mol. Brain Res. 2003, 118, 72–81. [Google Scholar] [CrossRef]
  176. Shimizu, M.; Sakai, H.; Shirakami, Y.; Yasuda, Y.; Kubota, M.; Terakura, D.; Baba, A.; Ohno, T.; Hara, Y.; Tanaka, T.; et al. Preventive effects of (-)-epigallocatechin gallate on diethylnitrosamine-induced liver tumorigenesis in obese and diabetic C57BL/KsJ-db/db Mice. Cancer Prev. Res. 2011, 4, 396–403. [Google Scholar] [CrossRef]
  177. Lim, Y.C.; Park, H.Y.; Hwang, H.S.; Kang, S.U.; Pyun, J.H.; Lee, M.H.; Choi, E.C.; Kim, C.H. (-)-Epigallocatechin-3-gallate (EGCG) inhibits HGF-induced invasion and metastasis in hypopharyngeal carcinoma cells. Cancer Lett. 2008, 271, 140–152. [Google Scholar] [CrossRef]
  178. Kwak, I.H.; Shin, Y.H.; Kim, M.; Cha, H.Y.; Nam, H.J.; Lee, B.S.; Chaudhary, S.C.; Pai, K.S.; Lee, J.H. Epigallocatechin-3-gallate inhibits paracrine and autocrine hepatocyte growth factor/scatter factor-induced tumor cell migration and invasion. Exp. Mol. Med. 2011, 43, 111–120. [Google Scholar] [CrossRef]
  179. Viacava, P.; Naccarato, A.G.; Collecchi, P.; Ménard, S.; Castronovo, V.; Bevilacqua, G. The spectrum of 67-kD laminin receptor expression in breast carcinoma progression. J. Pathol. 1997, 182, 36–44. [Google Scholar] [CrossRef]
  180. Fang, M.Z.; Wang, Y.; Ai, N.; Hou, Z.; Sun, Y.; Lu, H.; Welsh, W.; Yang, C.S. Tea polyphenol (-)-epigallocatechin-3-gallate inhibits DNA methyltransferase and reactivates methylation-silenced genes in cancer cell lines. Cancer Res. 2003, 63, 7563–7570. [Google Scholar]
  181. Lee, W.J.; Shim, J.Y.; Zhu, B.T. Mechanisms for the inhibition of DNA methyltransferases by tea catechins and bioflavonoids. Mol. Pharmacol. 2005, 68, 1018–1030. [Google Scholar] [CrossRef] [PubMed]
  182. Deb, G.; Shankar, E.; Thakur, V.S.; Ponsky, L.E.; Bodner, D.R.; Fu, P.; Gupta, S. Green tea-induced epigenetic reactivation of tissue inhibitor of matrix metalloproteinase-3 suppresses prostate cancer progression through histone-modifying enzymes. Mol. Carcinog. 2019, 58, 1194–1207. [Google Scholar] [CrossRef] [PubMed]
  183. Nandakumar, V.; Vaid, M.; Katiyar, S.K. (-)-epigallocatechin-3-gallate reactivates silenced tumor suppressor genes, cip1/p21 and p16ink4a, by reducing DNA methylation and increasing histones acetylation in human skin cancer cells. Carcinogenesis 2011, 32, 537–544. [Google Scholar] [CrossRef] [PubMed]
  184. Siddiqui, I.A.; Asim, M.; Hafeez, B.B.; Adhami, V.M.; Tarapore, R.S.; Mukhtar, H. Green tea polyphenol EGCG blunts androgen receptor function in prostate cancer. FASEB J. 2011, 25, 1198–1207. [Google Scholar] [CrossRef] [PubMed]
  185. Zhu, Y.; Huang, Y.; Liu, M.; Yan, Q.; Zhao, W.; Yang, P.; Gao, Q.; Wei, J.; Zhao, W.; Ma, L. Epigallocatechin gallate inhibits cell growth and regulates mirna expression in cervical carcinoma cell lines infected with different high-risk human papillomavirus subtypes. Exp. Ther. Med. 2019, 17, 1742–1748. [Google Scholar] [CrossRef]
  186. Neuhaus, T.; Pabst, S.; Stier, S.; Weber, A.A.; Schrör, K.; Sachinidis, A.; Vetter, H.; Ko, Y.D. Inhibition of the vascular-endothelial growth factor-induced intracellular signaling and mitogenesis of human endothelial cells by epigallocatechin-3 gallate. Eur. J. Pharmacol. 2004, 483, 223–227. [Google Scholar] [CrossRef]
  187. Jankun, J.; Selman, S.H.; Swiercz, R.; Skrzypczak-Jankun, E. Why drinking green tea could prevent cancer. Nature 1997, 387, 561. [Google Scholar] [CrossRef]
  188. Hu, G.; Zhang, L.; Rong, Y.; Ni, X.; Sun, Y. Downstream carcinogenesis signaling pathways by green tea polyphenols: A translational perspective of chemoprevention and treatment for cancers. Curr. Drug Metab. 2014, 15, 14–22. [Google Scholar] [CrossRef]
  189. Saklayen, M.G. The Global Epidemic of the Metabolic Syndrome. Curr. Hypertens. Rep. 2018, 20, 12. [Google Scholar] [CrossRef]
  190. Eckel, R.H.; Grundy, S.M.; Zimmet, P.Z. The metabolic syndrome. Lancet 2005, 365, 1415–1428. [Google Scholar] [CrossRef]
  191. Kassi, E.; Pervanidou, P.; Kaltsas, G.; Chrousos, G. Metabolic syndrome: Definitions and controversies. BMC Med. 2011, 9, 48. [Google Scholar] [CrossRef] [PubMed]
  192. Haueisen Sander Diniz, M.F.; Beleigoli, A.M.R.; Isabel Rodrigues Galvão, A.; Weiss Telles, R.; Inês Schmidt, M.; Duncan, B.B.; Benseñor, I.M.; Luiz, P.R.A.; Vidigal, P.G.; Maria Barreto, S. Serum uric acid is a predictive biomarker of incident metabolic syndrome at the Brazilian longitudinal study of adult Health (ELSA—Brasil). Diabetes Res. Clin. Pract. 2022, 191, 110046. [Google Scholar] [CrossRef] [PubMed]
  193. Cicero, A.F.G.; Fogacci, F.; Giovannini, M.; Grandi, E.; Rosticci, M.; D’Addato, S.; Borghi, C. Serum uric acid predicts incident metabolic syndrome in the elderly in an analysis of the brisighella heart study. Sci. Rep. 2018, 8, 11529. [Google Scholar] [CrossRef]
  194. Li, F.; Liu, Y.; Xie, Y.; Liu, Z.; Zou, G. Epigallocatechin gallate reduces uric acid levels by regulating xanthine oxidase activity and uric acid excretion in vitro and in vivo. Ann. Palliat. Med. 2020, 9, 331–338. [Google Scholar] [CrossRef]
  195. Xu, X.Y.; Zhao, C.N.; Li, B.Y.; Tang, G.Y.; Shang, A.; Gan, R.Y.; Feng, Y.B.; Li, H.B. Effects and mechanisms of tea on obesity. Crit. Rev. Food Sci. Nutr. 2023, 63, 3716–3733. [Google Scholar] [CrossRef]
  196. Al-Mansoori, L.; Al-Jaber, H.; Prince, M.S.; Elrayess, M.A. Role of inflammatory cytokines, growth factors and adipokines in adipogenesis and insulin resistance. Inflammation 2022, 45, 31–44. [Google Scholar] [CrossRef]
  197. Reddy, P.; Lent-Schochet, D.; Ramakrishnan, N.; McLaughlin, M.; Jialal, I. Metabolic syndrome is an inflammatory disorder: A conspiracy between adipose tissue and phagocytes. Clin. Chim. Acta 2019, 496, 35–44. [Google Scholar] [CrossRef]
  198. Alexopoulos, N.; Katritsis, D.; Raggi, P. Visceral adipose tissue as a source of inflammation and promoter of atherosclerosis. Atherosclerosis 2014, 233, 104–112. [Google Scholar] [CrossRef]
  199. Noce, A.; Canale, M.P.; Capria, A.; Rovella, V.; Tesauro, M.; Splendiani, G.; Annicchiarico-Petruzzelli, M.; Manzuoli, M.; Simonetti, G.; Di Daniele, N. Coronary artery calcifications predict long term cardiovascular events in non diabetic Caucasian hemodialysis patients. Aging 2015, 7, 269–279. [Google Scholar] [CrossRef]
  200. Wang, J.; Sun, C.; Gerdes, N.; Liu, C.; Liao, M.; Liu, J.; Shi, M.A.; He, A.; Zhou, Y.; Sukhova, G.K.; et al. Interleukin 18 function in atherosclerosis is mediated by the interleukin 18 receptor and the Na-Cl co-transporter. Nat. Med. 2015, 21, 820–826. [Google Scholar] [CrossRef]
  201. Noce, A.; Di Lauro, M.; Di Daniele, F.; Pietroboni Zaitseva, A.; Marrone, G.; Borboni, P.; Di Daniele, N. Natural bioactive compounds useful in clinical management of metabolic syndrome. Nutrients 2021, 13, 630. [Google Scholar] [CrossRef] [PubMed]
  202. Suzuki, T.; Pervin, M.; Goto, S.; Isemura, M.; Nakamura, Y. Beneficial effects of tea and the green tea catechin epigallocatechin-3-gallate on obesity. Molecules 2016, 21, 1305. [Google Scholar] [CrossRef] [PubMed]
  203. Hang, L.; Basil, A.H.; Lim, K.L. Nutraceuticals in Parkinson’s Disease. Neuromolecular Med. 2016, 18, 306–321. [Google Scholar] [CrossRef]
  204. Peter, B.; Bosze, S.; Horvath, R. Biophysical characteristics of proteins and living cells exposed to the green tea polyphenol epigallocatechin-3-gallate (EGCg): Review of recent advances from molecular mechanisms to nanomedicine and clinical trials. Eur. Biophys. J. 2017, 46, 1–24. [Google Scholar] [CrossRef]
  205. Petersen, M.C.; Shulman, G.I. Mechanisms of Insulin Action and Insulin Resistance. Physiol. Rev. 2018, 98, 2133–2223. [Google Scholar] [CrossRef]
  206. Reaven, G. The metabolic syndrome or the insulin resistance syndrome? Different names, different concepts, and different goals. Endocrinol. Metab. Clin. N. Am. 2004, 33, 283–303. [Google Scholar] [CrossRef]
  207. Fryk, E.; Olausson, J.; Mossberg, K.; Strindberg, L.; Schmelz, M.; Brogren, H.; Gan, L.M.; Piazza, S.; Provenzani, A.; Becattini, B.; et al. Hyperinsulinemia and insulin resistance in the obese may develop as part of a homeostatic response to elevated free fatty acids: A mechanistic case-control and a population-based cohort study. EBioMedicine 2021, 65, 103264. [Google Scholar] [CrossRef]
  208. Yan, J.; Zhao, Y.; Suo, S.; Liu, Y.; Zhao, B. Green tea catechins ameliorate adipose insulin resistance by improving oxidative stress. Free Radic. Biol. Med. 2012, 52, 1648–1657. [Google Scholar] [CrossRef]
  209. Liu, C.Y.; Huang, C.J.; Huang, L.H.; Chen, I.J.; Chiu, J.P.; Hsu, C.H. Effects of green tea extract on insulin resistance and glucagon-like peptide 1 in patients with type 2 diabetes and lipid abnormalities: A randomized, double-blinded, and placebo-controlled trial. PLoS ONE 2014, 9, e91163. [Google Scholar] [CrossRef]
  210. Mi, Y.; Qi, G.; Fan, R.; Qiao, Q.; Sun, Y.; Gao, Y.; Liu, X. Egcg ameliorates high-fat- and high-fructose-induced cognitive defects by regulating the irs/akt and erk/creb/bdnf signaling pathways in the cns. FASEB J. 2017, 31, 4998–5011. [Google Scholar] [CrossRef]
  211. Choi, C.; Song, H.D.; Son, Y.; Cho, Y.K.; Ahn, S.Y.; Jung, Y.S.; Yoon, Y.C.; Kwon, S.W.; Lee, Y.H. Epigallocatechin-3-gallate reduces visceral adiposity partly through the regulation of beclin1-dependent autophagy in white adipose tissues. Nutrients 2020, 12, 3072. [Google Scholar] [CrossRef] [PubMed]
  212. Xu, L.; Li, W.; Chen, Z.; Guo, Q.; Wang, C.; Santhanam, R.K.; Chen, H. Inhibitory effect of epigallocatechin-3-O-gallate on α-glucosidase and its hypoglycemic effect via targeting PI3K/AKT signaling pathway in L6 skeletal muscle cells. Int. J. Biol. Macromol. 2019, 125, 605–611. [Google Scholar] [CrossRef] [PubMed]
  213. Lee, Y.E.; Yoo, S.H.; Chung, J.O.; Park, M.Y.; Hong, Y.D.; Park, S.H.; Park, T.S.; Shim, S.M. Hypoglycemic effect of soluble polysaccharide and catechins from green tea on inhibiting intestinal transport of glucose. J. Sci. Food Agric. 2020, 100, 3979–3986. [Google Scholar] [CrossRef] [PubMed]
  214. Liu, Z.; Li, Q.; Huang, J.; Liang, Q.; Yan, Y.; Lin, H.; Xiao, W.; Lin, Y.; Zhang, S.; Tan, B.; et al. Proteomic analysis of the inhibitory effect of epigallocatechin gallate on lipid accumulation in human HepG2 cells. Proteome Sci. 2013, 11, 32. [Google Scholar] [CrossRef]
  215. Asbaghi, O.; Fouladvand, F.; Moradi, S.; Ashtary-Larky, D.; Choghakhori, R.; Abbasnezhad, A. Effect of green tea extract on lipid profile in patients with type 2 diabetes mellitus: A systematic review and meta-analysis. Diabetes Metab. Syndr. 2020, 14, 293–301. [Google Scholar] [CrossRef]
  216. Momose, Y.; Maeda-Yamamoto, M.; Nabetani, H. Systematic review of green tea epigallocatechin gallate in reducing low-density lipoprotein cholesterol levels of humans. Int. J. Food Sci. Nutr. 2016, 67, 606–613. [Google Scholar] [CrossRef]
  217. Chen, I.J.; Liu, C.Y.; Chiu, J.P.; Hsu, C.H. Therapeutic effect of high-dose green tea extract on weight reduction: A randomized, double-blind, placebo-controlled clinical trial. Clin. Nutr. 2016, 35, 592–599. [Google Scholar] [CrossRef]
  218. Hsu, C.H.; Tsai, T.H.; Kao, Y.H.; Hwang, K.C.; Tseng, T.Y.; Chou, P. Effect of green tea extract on obese women: A randomized, double-blind, placebo-controlled clinical trial. Clin. Nutr. 2008, 27, 363–370. [Google Scholar] [CrossRef]
  219. Zhu, M.Z.; Zhou, F.; Ouyang, J.; Wang, Q.Y.; Li, Y.L.; Wu, J.L.; Huang, J.A.; Liu, Z.H. Combined use of epigallocatechin-3-gallate (EGCG) and caffeine in low doses exhibits marked anti-obesity synergy through regulation of gut microbiota and bile acid metabolism. Food Funct. 2021, 12, 4105–4116. [Google Scholar] [CrossRef]
  220. Li, C.; Hsieh, M.C.; Chang, S.J. Metabolic syndrome, diabetes, and hyperuricemia. Curr. Opin. Rheumatol. 2013, 25, 210–216. [Google Scholar] [CrossRef]
  221. James, A.; Ke, H.; Yao, T.; Wang, Y. The role of probiotics in purine metabolism, hyperuricemia and gout: Mechanisms and interventions. Food Rev. Int. 2023, 39, 261–277. [Google Scholar] [CrossRef]
  222. Lytvyn, Y.; Perkins, B.A.; Cherney, D.Z. Uric acid as a biomarker and a therapeutic target in diabetes. Can. J. Diabetes 2015, 39, 239–246. [Google Scholar] [CrossRef] [PubMed]
  223. Burns, C.M.; Wortmann, R.L. Gout therapeutics: New drugs for an old disease. Lancet 2011, 377, 165–177. [Google Scholar] [CrossRef]
  224. Strilchuk, L.; Fogacci, F.; Cicero, A.F. Safety and tolerability of available urate-lowering drugs: A critical review. Expert. Opin. Drug Saf. 2019, 18, 261–271. [Google Scholar] [CrossRef]
  225. Gliozzi, M.; Malara, N.; Muscoli, S.; Mollace, V. The treatment of hyperuricemia. Int. J. Cardiol. 2016, 213, 23–27. [Google Scholar] [CrossRef]
  226. Chen, Y.; You, R.; Wang, K.; Wang, Y. Recent updates of natural and synthetic urat1 inhibitors and novel screening methods. Evid. Based Complement. Altern. Med. 2021, 2021, 5738900. [Google Scholar] [CrossRef]
  227. Sang, S.; Wang, L.; Liang, T.; Su, M.; Li, H. Potential role of tea drinking in preventing hyperuricaemia in rats: Biochemical and molecular evidence. Chin. Med. 2022, 17, 108. [Google Scholar] [CrossRef]
  228. Yuan, D.; Lin, L.; Peng, Y.; Zhou, Y.; Li, L.; Xiao, W.; Gong, Z. Effects of black tea and black brick tea with fungal growth on lowering uric acid levels in hyperuricemic mice. J. Food Biochem. 2022, 46, e14140. [Google Scholar] [CrossRef]
  229. Kawakami, Y.; Yasuda, A.; Hayashi, M.; Akiyama, M.; Asai, T.; Hosaka, T.; Arai, H. Acute effect of green tea catechins on uric acid metabolism after alcohol ingestion in Japanese men. Clin. Rheumatol. 2021, 40, 2881–2888. [Google Scholar] [CrossRef]
  230. Targher, G.; Corey, K.E.; Byrne, C.D.; Roden, M. The complex link between NAFLD and type 2 diabetes mellitus—Mechanisms and treatments. Nat. Rev. Gastroenterol. Hepatol. 2021, 18, 599–612. [Google Scholar] [CrossRef]
  231. Kharroubi, A.T.; Darwish, H.M. Diabetes mellitus: The epidemic of the century. World J. Diabetes 2015, 6, 850–867. [Google Scholar] [CrossRef] [PubMed]
  232. Tahrani, A.A.; Barnett, A.H.; Bailey, C.J. Pharmacology and therapeutic implications of current drugs for type 2 diabetes mellitus. Nat. Rev. Endocrinol. 2016, 12, 566–592. [Google Scholar] [CrossRef] [PubMed]
  233. Artasensi, A.; Pedretti, A.; Vistoli, G.; Fumagalli, L. Type 2 diabetes mellitus: A review of multi-target drugs. Molecules 2020, 25, 1987. [Google Scholar] [CrossRef] [PubMed]
  234. Liu, H.; Wang, L.; Li, F.; Jiang, Y.; Guan, H.; Wang, D.; Sun-Waterhouse, D.; Wu, M.; Li, D. The synergistic protection of EGCG and quercetin against streptozotocin (STZ)-induced NIT-1 pancreatic β cell damage via upregulation of BCL-2 expression by miR-16-5p. J. Nutr. Biochem. 2021, 96, 108748. [Google Scholar] [CrossRef]
  235. Wu, X.; Yang, M.; He, Y.; Wang, F.; Kong, Y.; Ling, T.J.; Zhang, J. EGCG-derived polymeric oxidation products enhance insulin sensitivity in db/db mice. Redox Biol. 2022, 51, 102259. [Google Scholar] [CrossRef]
  236. Dinarello, C.A. Immunological and inflammatory functions of the interleukin-1 family. Annu. Rev. Immunol. 2009, 27, 519–550. [Google Scholar] [CrossRef]
  237. Pournourmohammadi, S.; Grimaldi, M.; Stridh, M.H.; Lavallard, V.; Waagepetersen, H.S.; Wollheim, C.B.; Maechler, P. Epigallocatechin-3-gallate (EGCG) activates AMPK through the inhibition of glutamate dehydrogenase in muscle and pancreatic ß-cells: A potential beneficial effect in the pre-diabetic state? Int. J. Biochem. Cell Biol. 2017, 88, 220–225. [Google Scholar] [CrossRef]
  238. Deng, Y.T.; Chang, T.W.; Lee, M.S.; Lin, J.K. Suppression of free fatty acid-induced insulin resistance by phytopolyphenols in C2C12 mouse skeletal muscle cells. J. Agric. Food Chem. 2012, 60, 1059–1066. [Google Scholar] [CrossRef]
  239. Dong, Z. Effects of food factors on signal transduction pathways. Biofactors 2000, 12, 17–28. [Google Scholar] [CrossRef]
  240. Ortsäter, H.; Grankvist, N.; Wolfram, S.; Kuehn, N.; Sjöholm, A. Diet supplementation with green tea extract epigallocatechin gallate prevents progression to glucose intolerance in db/db mice. Nutr. Metab. 2012, 9, 11. [Google Scholar] [CrossRef]
  241. Carrasco-Pozo, C.; Cires, M.J.; Gotteland, M. Quercetin and epigallocatechin gallate in the prevention and treatment of obesity: From molecular to clinical studies. J. Med. Food 2019, 22, 753–770. [Google Scholar] [CrossRef] [PubMed]
  242. Chatree, S.; Sitticharoon, C.; Maikaew, P.; Pongwattanapakin, K.; Keadkraichaiwat, I.; Churintaraphan, M.; Sripong, C.; Sririwichitchai, R.; Tapechum, S. Epigallocatechin gallate decreases plasma triglyceride, blood pressure, and serum kisspeptin in obese human subjects. Exp. Biol. Med. 2021, 246, 163–176. [Google Scholar] [CrossRef] [PubMed]
  243. Lin, Y.; Shi, D.; Su, B.; Wei, J.; Găman, M.A.; Sedanur Macit, M.; Borges do Nascimento, I.J.; Guimaraes, N.S. The effect of green tea supplementation on obesity: A systematic review and dose-response meta-analysis of randomized controlled trials. Phytother. Res. 2020, 34, 2459–2470. [Google Scholar] [CrossRef] [PubMed]
  244. Yoshitomi, R.; Yamamoto, M.; Kumazoe, M.; Fujimura, Y.; Yonekura, M.; Shimamoto, Y.; Nakasone, A.; Kondo, S.; Hattori, H.; Haseda, A.; et al. The combined effect of green tea and α-glucosyl hesperidin in preventing obesity: A randomized placebo-controlled clinical trial. Sci. Rep. 2021, 11, 19067. [Google Scholar] [CrossRef]
  245. Zhou, J.; Lin, H.; Xu, P.; Yao, L.; Xie, Q.; Mao, L.; Wang, Y. Matcha green tea prevents obesity-induced hypothalamic inflammation via suppressing the JAK2/STAT3 signaling pathway. Food Funct. 2020, 11, 8987–8995. [Google Scholar] [CrossRef]
  246. Rocha, A.; Bolin, A.P.; Cardoso, C.A.; Otton, R. Green tea extract activates AMPK and ameliorates white adipose tissue metabolic dysfunction induced by obesity. Eur. J. Nutr. 2016, 55, 2231–2244. [Google Scholar] [CrossRef]
  247. Sands, M.S.; Bogenhagen, D.F. TFIIIA binds to different domains of 5S RNA and the Xenopus borealis 5S RNA gene. Mol. Cell Biol. 1987, 7, 3985–3993. [Google Scholar] [CrossRef]
  248. Reygaert, W.C. An update on the health benefits of green tea. Beverages 2017, 3, 6. [Google Scholar] [CrossRef]
  249. Szulińska, M.; Stępień, M.; Kręgielska-Narożna, M.; Suliburska, J.; Skrypnik, D.; Bąk-Sosnowska, M.; Kujawska-Łuczak, M.; Grzymisławska, M.; Bogdański, P. Effects of green tea supplementation on inflammation markers, antioxidant status and blood pressure in NaCl-induced hypertensive rat model. Food Nutr. Res. 2017, 61, 1295525. [Google Scholar] [CrossRef]
  250. Bogdanski, P.; Suliburska, J.; Szulinska, M.; Stepien, M.; Pupek-Musialik, D.; Jablecka, A. Green tea extract reduces blood pressure, inflammatory biomarkers, and oxidative stress and improves parameters associated with insulin resistance in obese, hypertensive patients. Nutr. Res. 2012, 32, 421–427. [Google Scholar] [CrossRef]
  251. Ntamo, Y.; Jack, B.; Ziqubu, K.; Mazibuko-Mbeje, S.E.; Nkambule, B.B.; Nyambuya, T.M.; Mabhida, S.E.; Hanser, S.; Orlando, P.; Tiano, L.; et al. Epigallocatechin gallate as a nutraceutical to potentially target the metabolic syndrome: Novel insights into therapeutic effects beyond its antioxidant and anti-inflammatory properties. Crit. Rev. Food Sci. Nutr. 2024, 64, 87–109. [Google Scholar] [CrossRef] [PubMed]
  252. Hirsova, P.; Kolouchova, G.; Dolezelova, E.; Cermanova, J.; Hyspler, R.; Kadova, Z.; Micuda, S. Epigallocatechin gallate enhances biliary cholesterol secretion in healthy rats and lowers plasma and liver cholesterol in ethinylestradiol-treated rats. Eur. J. Pharmacol. 2012, 691, 38–45. [Google Scholar] [CrossRef] [PubMed]
  253. Bontempo, P.; Capasso, L.; De Masi, L.; Nebbioso, A.; Rigano, D. Therapeutic potential of natural compounds acting through epigenetic mechanisms in cardiovascular diseases: Current findings and future directions. Nutrients 2024, 16, 2399. [Google Scholar] [CrossRef] [PubMed]
  254. Vahid, F.; Zand, H.; Nosrat-Mirshekarlou, E.; Najafi, R.; Hekmatdoost, A. The role dietary of bioactive compounds on the regulation of histone acetylases and deacetylases: A review. Gene 2015, 562, 8–15. [Google Scholar] [CrossRef]
  255. Fahn, S.; Cohen, G. The oxidant stress hypothesis in Parkinson’s disease: Evidence supporting it. Ann. Neurol. 1992, 32, 804–812. [Google Scholar] [CrossRef]
  256. Mähler, A.; Mandel, S.; Lorenz, M.; Ruegg, U.; Wanker, E.E.; Boschmann, M.; Paul, F. Epigallocatechin-3-gallate: A useful, effective and safe clinical approach for targeted prevention and individualised treatment of neurological diseases? EPMA J. 2013, 4, 5. [Google Scholar] [CrossRef]
  257. Taylor, J.P.; Hardy, J.; Fischbeck, K.H. Toxic proteins in neurodegenerative disease. Science 2002, 296, 1991–1995. [Google Scholar] [CrossRef]
  258. Sacchettini, J.C.; Kelly, J.W. Therapeutic strategies for human amyloid diseases. Nat. Rev. Drug Discov. 2002, 1, 267–275. [Google Scholar] [CrossRef]
  259. Dobson, C.M. Protein folding and misfolding. Nature 2003, 426, 884–890. [Google Scholar] [CrossRef]
  260. Rochet, J.C.; Lansbury, P.T., Jr. Amyloid fibrillogenesis: Themes and variations. Curr. Opin. Struct. Biol. 2000, 10, 60–68. [Google Scholar] [CrossRef]
  261. Gerlach, M.; Ben-Shachar, D.; Riederer, P.; Youdim, M.B. Altered brain metabolism of iron as a cause of neurodegenerative diseases? J. Neurochem. 1994, 63, 793–807. [Google Scholar] [CrossRef]
  262. Nagai, K.; Jiang, M.H.; Hada, J.; Nagata, T.; Yajima, Y.; Yamamoto, S.; Nishizaki, T. (-)-Epigallocatechin gallate protects against NO stress-induced neuronal damage after ischemia by acting as an anti-oxidant. Brain Res. 2002, 956, 319–322. [Google Scholar] [CrossRef]
Figure 1. The chemical structures of the four main catechins found in tea and their precursor.
Figure 1. The chemical structures of the four main catechins found in tea and their precursor.
Molecules 30 00654 g001
Figure 2. Absorption and metabolism of EGCG.
Figure 2. Absorption and metabolism of EGCG.
Molecules 30 00654 g002
Figure 3. Biological and therapeutic potential of EGCG.
Figure 3. Biological and therapeutic potential of EGCG.
Molecules 30 00654 g003
Figure 4. EGCG in cancer: potential for chemoprevention and therapy.
Figure 4. EGCG in cancer: potential for chemoprevention and therapy.
Molecules 30 00654 g004
Figure 5. Role of EGCG in signaling pathways involved in cancer.
Figure 5. Role of EGCG in signaling pathways involved in cancer.
Molecules 30 00654 g005
Table 1. Cardioprotective effects of EGCG.
Table 1. Cardioprotective effects of EGCG.
Effect of EGCGDescriptionMechanismReferences
Reduction in LDL cholesterolLowers LDL levels, preventing the formation of atherosclerotic plaquesInhibits LDL oxidation, reduces intestinal cholesterol absorption, and suppresses cholesterol synthesis[248]
Improvement of endothelial functionPromotes arterial dilation and improves blood flow regulationNeutralizes ROS, reduces oxidative stress, lowers inflammatory markers like TNF-α, and inhibits myeloperoxidase[251]
Reduction in oxidative stressIncreases serum antioxidant capacity and reduces oxidative damageNeutralizes reactive oxygen species (ROS) and enhances antioxidant defense[250]
Blood pressure reductionLowers systolic and diastolic blood pressure, improving cardiovascular controlMitigates hypertension through antioxidant and anti-inflammatory effects[250,251]
Reduction in inflammationDecreases inflammatory markers (e.g., TNF-α) and suppresses inflammatory pathwaysRegulates NF-κB pathways, reducing cytokine and adhesion molecule production[249,251]
Improvement of insulin sensitivityEnhances glucose management and reduces insulin resistance in obese or diabetic patientsModulates endothelial function, improves lipid metabolism, and reduces inflammation[250,251]
Inhibition of cellular proliferationReduces vascular smooth muscle cell proliferation, preventing arterial narrowingSuppresses processes related to pathological cell growth[252]
Epigenetic effectsModulates gene expression and inflammatory responses through epigenetic modificationsInfluences DNMT, HAT, activates AMPK and mTOR pathways, regulates DNA methylation and histone acetylation[253,254]
Promotion of autophagyEnhances cellular turnover and protects endothelial cells from chronic stressActivates signaling pathways such as AMPK and mTOR[253,254]
Table 2. Neuroprotective effects of EGCG.
Table 2. Neuroprotective effects of EGCG.
Effect of EGCGDescriptionMechanismReferences
Antioxidant activityNeutralization of ROS/RNS-Scavenging of reactive oxygen and nitrogen species.
-Chelation of metal ions (Cu2+, Zn2+, Fe2+) to reduce free radical formation.
-Protection against iron-induced oxidative damage.
-Enhancement of antioxidant enzyme activity (SOD, catalase, glutathione peroxidase, glutathione reductase).
-Inhibition of pro-oxidative enzymes (MAO-B, NOS).
[255,256]
Inhibition of protein aggregationPrevention of toxic aggregate formation-Interaction with misfolded proteins (amyloid beta, α-synuclein).
-Inhibition of toxic aggregation and facilitation of non-toxic oligomer formation.
-Prevention of amyloid plaque and Lewy body accumulation.
[257,258]
Reduction in oxidative stress related to protein misfoldingMitigation of damage associated with ROS/RNS-Reduction in the oxidative stress promoting protein misfolding.
-Inhibition of the conversion of nitrates and peroxynitrite into nitric oxide, preventing ischemic neuronal damage.
[259,262]
Modulation of neuroinflammationReduction in microglial activation and inflammation-Inhibition of microglial activation and production of pro-inflammatory cytokines.
-Protection against neuroinflammatory damage induced by environmental factors (e.g., infrasound).
[256]
Disclaimer/Publisher’s Note: The statements, opinions and data contained in all publications are solely those of the individual author(s) and contributor(s) and not of MDPI and/or the editor(s). MDPI and/or the editor(s) disclaim responsibility for any injury to people or property resulting from any ideas, methods, instructions or products referred to in the content.

Share and Cite

MDPI and ACS Style

Capasso, L.; De Masi, L.; Sirignano, C.; Maresca, V.; Basile, A.; Nebbioso, A.; Rigano, D.; Bontempo, P. Epigallocatechin Gallate (EGCG): Pharmacological Properties, Biological Activities and Therapeutic Potential. Molecules 2025, 30, 654. https://doi.org/10.3390/molecules30030654

AMA Style

Capasso L, De Masi L, Sirignano C, Maresca V, Basile A, Nebbioso A, Rigano D, Bontempo P. Epigallocatechin Gallate (EGCG): Pharmacological Properties, Biological Activities and Therapeutic Potential. Molecules. 2025; 30(3):654. https://doi.org/10.3390/molecules30030654

Chicago/Turabian Style

Capasso, Lucia, Luigi De Masi, Carmina Sirignano, Viviana Maresca, Adriana Basile, Angela Nebbioso, Daniela Rigano, and Paola Bontempo. 2025. "Epigallocatechin Gallate (EGCG): Pharmacological Properties, Biological Activities and Therapeutic Potential" Molecules 30, no. 3: 654. https://doi.org/10.3390/molecules30030654

APA Style

Capasso, L., De Masi, L., Sirignano, C., Maresca, V., Basile, A., Nebbioso, A., Rigano, D., & Bontempo, P. (2025). Epigallocatechin Gallate (EGCG): Pharmacological Properties, Biological Activities and Therapeutic Potential. Molecules, 30(3), 654. https://doi.org/10.3390/molecules30030654

Article Metrics

Back to TopTop