Abstract
Amelanchier alnifolia is a plant known for its nutritional and bioactive properties. Its leaves contain a high concentration of active compounds with significant antioxidant and antidiabetic effects, including strong α-glucosidase inhibitory potential. The combination of these bioactive leaf extracts with prebiotic substances, such as fructooligosaccharides (FOS), galactooligosaccharides (GOS), and chitooligosaccharides (COS), enables the development of functional systems with enhanced beneficial properties. In this study, process optimization for leaves extraction was performed using a Plackett–Burman screening design, which identified key parameters for further optimization using the Box–Behnken design. The optimal extraction conditions were determined as follows: methanol content 58.06%, solid-to-solvent ratio 26.03 m/v, and extraction time 73.56 min. These conditions yielded the highest the total phenolic content (TPC). A comparative analysis of different cultivars revealed significant variations in polyphenol content among them. The formulated lyophilized systems with GOS, FOS and COS positively influenced the chlorogenic acid release profile, while maintaining the extract’s antidiabetic and antioxidant properties. FT-IR analysis confirmed the molecular interactions responsible for these effects. The prebiotic effectiveness of the systems was quantitatively evaluated using two key parameters: the prebiotic index (PI), and the prebiotic activity score (PAS). Microbiological analyses demonstrated the beneficial effects of prebiotic-enriched systems characterized by better prebiotic action on Bifidobacterium strains than the pure extract. These findings suggest that A. alnifolia leaf extracts, in combination with prebiotics, could serve as promising functional ingredients with potential applications in health-promoting and antidiabetic formulations.
1. Introduction
Amelanchier alnifolia, commonly referred to as the serviceberry or Saskatoon berry, is a deciduous shrub belonging to the Rosaceae family. This species is native to North America, particularly thriving in regions such as the southern Yukon, the Canadian Prairies, and parts of the northern United States. It has also been introduced in various parts of Europe due to its ornamental and edible qualities [1,2].
The leaves of Amelanchier species are known to contain a variety of bioactive compounds, particularly polyphenols from the group of flavonoids. These compounds are associated with antioxidant properties, which can help combat oxidative stress and inflammation in the body [3]. Studies have shown that the phytochemical composition A. alnifolia can be beneficial in promoting health, particularly in managing conditions related to metabolic syndrome and diabetes; however, most studies are focused on berries properties [4,5,6,7]. The antioxidant capacity of these leaves is attributed to the presence of flavonoids, which have been linked to various health-promoting effects, including anti-inflammatory and antidiabetic properties [3]. The genetic diversity within this genus allows for the selection of specific traits, such as fruit size and flavor, which can enhance both the esthetic and nutritional value of the plant [8,9]. Although the primary focus of A. alnifolia research has traditionally been on its fruits, our study emphasizes the leaves to explore their potential as a valuable source of bioactive compounds. Leaves often contain higher concentrations of certain phenolic compounds, such as flavonoids and chlorogenic acid, compared to fruits, making them a promising material for further investigation [10]. By analyzing the chemical composition of leaves, we aim to expand the understanding of their antioxidant and health-promoting properties. This approach not only complements fruit-based studies but also highlights the potential of utilizing leaves in functional food development or pharmaceutical applications.
Fructooligosaccharides (FOS), galactooligosaccharides (GOS), and chitooligosaccharides (COS) are functionally important oligosaccharides that have gained attention for their ability to modulate gut microbiota and support intestinal health. FOS and GOS are well-established and widely recognized prebiotics with documented effects on gut microbiota modulation and host health [11]. COS, while not yet officially classified as a prebiotic, demonstrates promising prebiotic-like properties and is increasingly studied as a functional oligosaccharide with both microbiota-stimulating and immunomodulatory effects [12,13,14,15]. These oligosaccharides are non-digestible carbohydrates that reach the colon intact, where they undergo fermentation by the gut microbiota, leading to the production of short-chain fatty acids (SCFAs) and other metabolites that confer health benefits [12,16,17].
FOS, which are composed of fructose units linked by β(2→1) glycosidic bonds, are primarily derived from plant sources such as chicory root and asparagus. Research has shown that FOS supplementation can significantly enhance the growth of beneficial bacteria, particularly Bifidobacteria and Lactobacilli, which are crucial for maintaining a healthy gut microbiome [18]. Similarly, GOS, which are derived from lactose and consist of galactose units linked by β(1→6) bonds, have been shown to exert prebiotic effects by promoting the growth of beneficial gut bacteria. GOS supplementation has been associated with improved gut barrier function, reduced intestinal permeability, and enhanced immune responses [19]. Studies indicate that GOS can effectively modulate gut microbiota composition, leading to favorable metabolic outcomes, including improved glycemic control and reduced inflammation [20]. COS also exhibit prebiotic properties. COS have been shown to stimulate the growth of beneficial gut bacteria and enhance SCFA production, similar to FOS and GOS [21]. Chitosan and chitooligosaccharides modulate the gut microbiome by promoting the growth of beneficial bacteria such as Bifidobacteria and Lactobacillus, improving gut health. Additionally, they regulate the microbial composition in obese and diabetic individuals by increasing bacteria associated with weight reduction and better glucose metabolism [22].
The health benefits of FOS, GOS, and COS extend beyond gut health. The SCFAs produced during the fermentation of these oligosaccharides play a crucial role in regulating various physiological processes, including appetite regulation, lipid metabolism, and immune function [23]. For instance, butyrate, one of the primary SCFAs, has been shown to have anti-inflammatory properties and may improve insulin sensitivity, making these oligosaccharides valuable components in dietary strategies aimed at preventing and managing metabolic diseases [24].
Moreover, the incorporation of FOS, GOS, and COS into functional foods and dietary supplements has gained traction in the food industry as a means to enhance gut health and provide additional health benefits. Their ability to improve the gut microbiome and metabolic health positions them as important ingredients in the development of health-promoting foods [25].
The combination of plant extracts, such as those derived from the leaves of A. alnifolia, with oligosaccharides like FOS, GOS, and COS, holds significant promise due to their dual-action potential. This synergy can enhance prebiotic effects by selectively fostering beneficial gut microbiota while simultaneously delivering bifunctional properties, such as prebiotic and antidiabetic effects. The integration of bioactive compounds from A. alnifolia leaves, rich in polyphenols, with oligosaccharides may amplify their individual health benefits, offering a comprehensive approach to improving gut health, modulating metabolic pathways, and managing conditions like diabetes.
The aim of this study was to develop bifunctional systems based on A. alnifolia leaf extracts combined with prebiotic oligosaccharides. The research included: optimization of extraction parameters using Plackett–Burman and Box–Behnken designs, HPLC profiling of phenolic compounds; assessment of antioxidant activity (CUPRAC, DPPH) and antidiabetic potential (α-glucosidase inhibition), principal component analysis (PCA) to correlate phenolic profiles with bioactivities, FT-IR analysis to identify molecular interactions with oligosaccharides, release studies of chlorogenic acid, and evaluation of prebiotic activity. These analyses allowed us to identify cultivars with the highest bioactive potential and to design stable, multifunctional systems with enhanced functional properties.
2. Results
2.1. Optimization of Extraction Conditions
2.1.1. Optimization of Extraction Conditions Using Plackett–Burman Design
The optimization of bioactive compound extraction from A. alnifolia leaves was conducted with total polyphenol content (TPC) as the response variable, determined using the Folin–Ciocalteu method. The results, presented in the Pareto chart (Figure 1), revealed that extraction time and methanol content were the most influential factors, with standardized effects of 5.27 and 4.62, respectively, surpassing the significance threshold (p = 0.05). These parameters had a substantial positive impact on TPC, emphasizing their critical role in maximizing polyphenol extraction. The model showed a good fit, with a coefficient of determination (R2 = 0.89754) and an adjusted R2 = 0.80788. For further optimization of the extraction process, the parameters identified as significant in the Plackett–Burman design—namely extraction time, methanol content, and ratio—were selected.
Figure 1.
Pareto chart showing the effects of factors on total polyphenol content (TPC) extraction from A. alnifolia leaves (p < 0.05).
2.1.2. Optimization of Extraction Conditions Using Box–Behnken Design
The optimization of the extraction process using the Box–Behnken design provided insights into the effects of key parameters—methanol content, extraction time, and liquid-to-solid ratio—on TPC. The Pareto chart (Figure 2a) identified methanol content as the most influential factor, with both its linear and quadratic effects significantly contributing to TPC. The liquid-to-solid ratio also showed a significant linear and quadratic effect, while extraction time exhibited a strong linear effect but no significant quadratic effect. The response surface plots (Figure 2b–d) illustrated the effects of these variables, showing that TPC increased with higher methanol content, longer extraction times, and moderate liquid-to-solid ratios.
Figure 2.
(a) Pareto chart showing the standardized effects of factors on total polyphenol content (TPC) in the Box–Behnken design (p < 0.05). Response surface plots illustrating the interactive effects of (b–d) methanol content, extraction time, and liquid-to-solid ratio on total polyphenol content (TPC) in the Box–Behnken design.
The model suggested critical values for the parameters: methanol content of 58.06%, liquid-to-solid ratio of 26.03, and extraction time of 73.56 min, which were predicted to maximize TPC. The quality of the model was validated by a high coefficient of determination (R2 = 0.93429) and an adjusted R2 = 0.88501, indicating a strong fit between the experimental data and the model predictions. Based on the results, the parameters suggested by the model were applied to the extraction process (Table 1).
Table 1.
Optimal parameters based on the model.
2.2. Cultivar Comparison
The leaf extracts from all cultivars were prepared under the optimized extraction conditions established in the earlier stage of the study. The eleven A. alnifolia cultivars exhibit distinct differences in their botanical traits, reflecting their diverse genetic and environmental adaptations. Northline, Pembina, and Sleyt demonstrate vigorous, spreading growth habits, whereas Obelisk, Thiessen, and Mandam exhibit upright or semi-upright growth forms. Fruit size varies from small to large, with morphologies ranging from round to oval and the consistent presence of a waxy bloom across all cultivars. Skin pigmentation includes hues from blue-black to purple-blue and occasionally red-purple. In terms of organoleptic properties, sweetness is most pronounced in Obelisk and Mandam, while higher acidity levels characterize Northline and Thiessen, with ripening phenology spanning from very early to late stages.
2.2.1. TPC Comparison
The analysis revealed significant differences in polyphenol content among the studied cultivars. Some cultivars (W2–W7) exhibited notably higher levels, indicating greater bioactive potential. Others (W1, W9, W10, W11) showed lower polyphenol concentrations, which may affect their functional properties (Figure 3). These variations highlight the influence of genetic factors on polyphenol accumulation. Previous studies have shown that genotype strongly affects the biosynthesis of phenolic and flavonoid compounds, mainly through the regulation of enzymes in the phenylpropanoid pathway, such as phenylalanine ammonia-lyase (PAL) and chalcone synthase (CHS) [26,27]. Higher PAL activity has been associated with increased accumulation of flavonoids and anthocyanins, confirming that genetic background plays a critical role in determining both the content and the bioactivity of phenolic compounds.
Figure 3.
Total polyphenol content in A. alnifolia leaves cultivars measured using the Folin–Ciocalteu assay, expressed as Gallic acid equivalent (mg GAE/g DW). Bars marked with different letters differ significantly according to one-way ANOVA followed by Tukey’s post hoc test (p < 0.05).
2.2.2. HPLC Analysis
The HPLC analysis allowed for the quantification of key polyphenolic compounds across various A. alnifolia cultivars, providing a comprehensive fingerprint of their bioactive profiles (Figure 4). The quantified compounds included chlorogenic acid, epicatechin, EGCG, rutin, hyperoside, and isoquercetin, which are known for their antioxidant and potential health-promoting properties (Table 2). Among the analyzed samples, significant variations were observed in the concentration of these compounds. Chlorogenic acid was consistently the most abundant compound, with the highest content detected in sample W9 (19.38 ± 0.38 mg/g DW), while rutin and hyperoside showed notable variability, reaching peak concentrations in samples W6 (3.43 ± 0.04 mg/g DW) and W11 (6.35 ± 6.59 mg/g DW), respectively. Similarly, isoquercetin levels varied, with the highest content found in W11 (3.65 ± 0.15 mg/g DW). The study indicates that the tested cultivars differ in the content of active compounds, and not always one cultivar has the highest content of active compounds. However, the profile of each cultivar is different.
Figure 4.
HPLC (λ = 270 nm) fingerprint of the one of A. alnifolia leaves extract. Peaks were identified as follows: 1—Chlorogenic acid, 2—Epicatechin, 3—Epigallocatechin gallate (EGCG), 4—Rutin, 5—Hyperoside, and 6—Isoquercetin.
Table 2.
Content of active compounds in different cultivars od A. alnifolia. Results are expressed in mg/g DW. The content of the same bioactive compounds was compared across different cultivars, and results marked with different letters indicate statistically significant differences (p < 0.05).
2.2.3. Antioxidant Activity
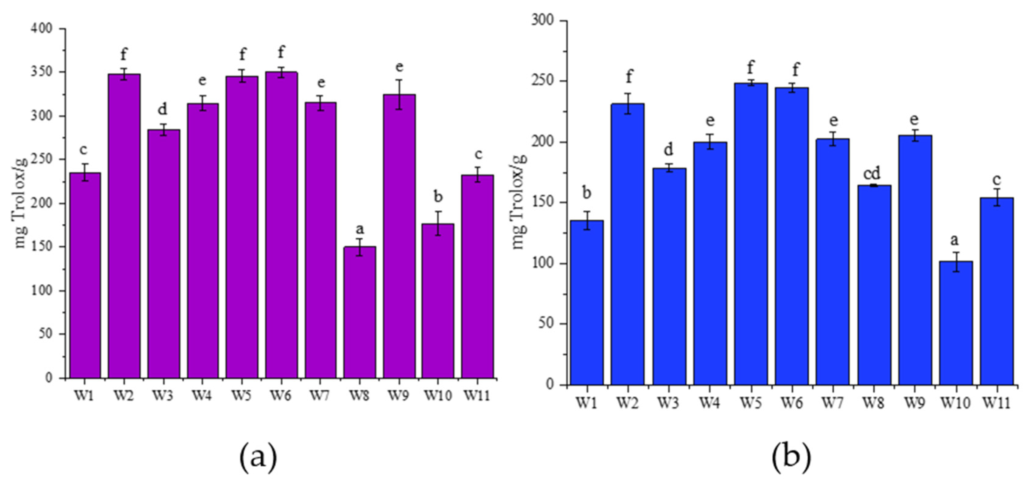
The antioxidant activity of A. alnifolia cultivars was assessed using the DPPH (Figure 5a) and CUPRAC (Figure 5b) methods. The results showed differences in antioxidant potential between the cultivars. In the CUPRAC assay, W9, W6, and W11 had the highest activity, reflecting their strong ability to reduce copper ions. In contrast, W10 and W1 showed the lowest activity. Similarly, in the DPPH assay, which measures free radical scavenging ability, W2, W5, and W6 again showed the highest activity, confirming their strong antioxidant potential. W8 and W10 had the lowest values, consistent with the CUPRAC results. These findings identify W2, W5, and W6 as cultivars with the strongest antioxidant activity and potential for further applications.
Figure 5.
Antioxidant activity of A. alnifolia leaves cultivars measured using (a) the DPPH and (b) CUPRAC assay, expressed as Trolox equivalents (mg Trolox/g DW). Bars marked with different letters differ significantly according to one-way ANOVA followed by Tukey’s post hoc test (p < 0.05).
2.2.4. Antidiabetic Activity
The antidiabetic activity of extracts from different A. alnifolia cultivars was assessed by their ability to inhibit the enzymes α-amylase and α-glucosidase (Figure 6). The results showed significant differences in the activity among the cultivars. The highest antidiabetic activity was observed in cultivar W1, W2, W4 and W11, which demonstrated significantly greater enzyme inhibition compared to the other cultivars. In contrast, the lowest activity was recorded for cultivar W10, suggesting a lower content of bioactive compounds responsible for enzyme inhibition.
Figure 6.
Antidiabetic activity of A. alnifolia leaves cultivars measured using the -glucosidase inhibition assay, expressed as acarbose equivalents (mg AE/g DW). Bars marked with different letters differ significantly according to one-way ANOVA followed by Tukey’s post hoc test (p < 0.05).
2.3. Principal Component Analysis
The PCA reveals distinct relationships between polyphenolic compounds, antioxidant activity, and antidiabetic potential across the studied A. alnifolia cultivars (Figure 7). Total polyphenol content (TPC), CUPRAC, and DPPH are closely grouped and strongly correlated, indicating that higher polyphenol content directly contributes to increased antioxidant activity. Chlorogenic acid aligns closely with these variables, confirming its significant role in driving antioxidant capacity. In contrast, α-glucosidase inhibition shows a weaker correlation with TPC and antioxidant-related variables. Instead, it is more closely associated with specific compounds, such as hyperoside and isoquercetin, which are positioned in a different quadrant of the PCA plot. This separation suggests that antidiabetic activity depends more on the presence and concentrations of specific polyphenols rather than the overall polyphenol content.
Figure 7.
PCA plot of data from antioxidant activity, antidiabetic activity and content of active compounds.
2.4. System Obtaining and Assessing Properties
Based on a comprehensive analysis of total polyphenol content, antioxidant activity (CUPRAC and DPPH), and α-glucosidase inhibitory potential, cultivar W2 (Obelisk) was selected for further system development. This cultivar exhibited one of the highest levels of chlorogenic acid and a favorable profile of flavonoids, including rutin and hyperoside, which are strongly associated with antioxidant and antidiabetic effects. Moreover, W2 demonstrated consistently strong performance across multiple biological assays, indicating its superior bioactive potential compared to other cultivars. Therefore, it was considered the most promising candidate for incorporation into oligosaccharide-based delivery systems. Systems containing the lyophilized A. alnifolia leaves extract (Obelisk cultivar) and oligosaccharides (FOS, GOS, COS) were successfully obtained and subsequently ground into fine powders.
2.4.1. FT-IR Analysis
FTIR analysis was performed to assess potential intermolecular interactions between Amelanchier leaves extract and oligosaccharides in the formulated systems. The FTIR spectrum of the freeze-dried A. alnifolia leaf extract displayed several characteristic absorption bands indicating the presence of polyphenols and glycosylated compounds (Figure 8). A strong and sharp peak at 1030 cm−1 corresponds to C–O stretching vibrations in alcohols, esters, and glycosidic bonds, indicative of flavonoid glycosides. The band at 1599 cm−1 is attributed to aromatic C=C stretching, typical for conjugated phenolic structures, while adjacent signals at 1520 cm−1 and 1445 cm−1 likely originate from skeletal vibrations of benzene rings and C–H bending modes, respectively [28]. In the lower wavenumber region, bands at 825 and 768 cm−1 can be assigned to out-of-plane C–H bending of substituted aromatic rings, supporting the presence of polyhydroxylated flavonoids [29]. The band at 560 cm−1 is associated with ring deformations, while 517 cm−1 likely results from skeletal vibrations in aromatic systems [30]. Collectively, these absorption features confirm the polyphenol-rich profile of the extract, consistent with the presence of chlorogenic acid, rutin, and isoquercetin as identified by HPLC. A broad and intense O–H stretching vibration was observed at 3325 cm−1, confirming extensive hydroxyl functionalities typical of phenolic acids and flavonoids [31].
Figure 8.
FT-IR spectra of Amelanchier alnifolia leaf extract (Pure extract, red) and systems with oligosaccharides: FOS, GOS, and COS. Spectra are shown for both physical mixtures (ph. mix.) and lyophilized formulations (system). Panels: (a,b) FOS-based systems; (c,d) GOS-based systems; (e,f) COS-based systems. Left panels (a,c,e) present the fingerprint region (400–1800 cm−1), while right panels (b,d,f) show the functional group region (2400–4000 cm−1).
The FTIR analysis revealed distinct spectral differences between the physical mixtures and lyophilized systems across all prebiotic carriers (FOS, GOS, and COS). The FT-IR spectra of the pure extract, FOS, physical mixture, and the lyophilized FOS system revealed characteristic features corresponding to both components, suggesting the formation of non-covalent interactions rather than chemical modifications (Figure 8a,b). In the fingerprint region (Figure 8a), FOS exhibited strong absorption bands at 932 cm−1 and 1000 cm−1, corresponding to C–O and C–C stretching vibrations typical of oligosaccharides [32]. These peaks were preserved in both the physical mixture and the lyophilized system, indicating the structural integrity of FOS. Additionally, a slight shift in the band at 1445 cm−1 in the pure extract to 1441 cm−1 in the FOS-containing systems was observed, suggesting possible hydrogen bonding or dipole–dipole interactions between the polyphenols and the saccharide matrix. Several bands in the extract spectrum, including, 560 cm−1, 768 cm−1, 825 cm−1, 1030 cm−1, 1520 cm−1, and 1599 cm−1, were associated with aromatic ring deformations, C–H bending, and C=C stretching of polyphenolic compounds. These peaks appeared to decrease in intensity or become overlapped in the formulation spectra. In the higher wavenumber region (Figure 8b), a broad absorption band centered at 3325 cm−1 was attributed to O–H stretching vibrations, typical for hydroxyl-rich compounds involved in hydrogen bonding [33]. This band was present in all samples but showed reduced intensity in the lyophilized system, suggesting altered hydrogen bond dynamics upon formulation. The bands at 2870 cm−1 and 2935 cm−1, corresponding to C–H stretching in aliphatic chains, remained visible in all spectra and confirmed the presence of saccharide structures [34]. Overall, the spectra indicate that the lyophilization process led to mild intermolecular interactions between FOS and extract components, mainly via hydrogen bonding, while preserving the main structural features of both constituents. The observed spectral features result from the superposition of signals from individual components with minor shifts indicative of non-covalent binding.
The FT-IR spectra of the pure extract, GOS, physical mixture, and GOS-based system (Figure 8c,d) demonstrate both additive and interactive spectral characteristics. In the GOS system, the 517 cm−1 band is diminished compared to the physical mixture, indicating a potential loss of structural freedom or masking due to matrix entrapment. The most intense peak at 1030 cm−1, corresponding to C–O–C stretching in both extract and GOS, is retained but shows slight broadening in the system, suggesting overlapping contributions [35]. Bands at 768 and 1357 cm−1 exhibit shape deformation or widening, which may be attributed to altered hydrogen bonding or conformational changes. Crucially, a shift in the 1595 cm−1 band is observed in the system, supporting the formation of intermolecular interactions, most likely hydrogen bonds, between GOS and active extract components. In the higher wavenumber region (Figure 8d), the broad O–H stretching band at 3325 cm−1 becomes wider and less intense in the GOS system, indicating more extensive hydrogen bonding. Additionally, the bands at 2870 cm−1 and 2940 cm−1 (C–H stretching) are slightly altered in intensity, which may also reflect matrix-related conformational effects.
The FT-IR spectra of the pure extract, COS, physical mixture, and COS-based system (Figure 8d–f) reveal characteristic changes indicating molecular-level interactions between extract components and the carrier matrix. In the COS-based system, significant modifications are observed: the 517 cm−1 peak undergoes shape broadening, suggesting overlapping or restricted vibrational freedom. The 1155 cm−1 and 1247 cm−1 bands are also deformed in the system, which may indicate interactions involving ether or glycosidic linkages [36]. A notable shift in the 1506 cm−1 band to 1518 cm−1 is observed in the system spectrum, suggesting the formation of specific hydrogen bonding or dipole interactions between extract polyphenols and COS [37]. The preservation but broadening of the intense 1030 cm−1 band reflects band superposition from both extract and COS. In the higher wavenumber region (Figure 8f), the broad O–H stretching band at 3325 cm−1 appears flattened and less intense in the COS system compared to the pure extract, consistent with stronger or more numerous hydrogen bonds. Additionally, bands in the ~2885–2935 cm−1 region (C–H stretching) show minor positional and intensity changes, likely reflecting matrix packing effects [38]. Overall, the FT-IR profile of the COS system reflects overlapping spectral features with clear band deformation and shifts, indicating interactions between COS and bioactive components of the extract, particularly via hydrogen bonding and physical entrapment within the matrix [34,39].
2.4.2. Content of Active Compounds
The content of active compounds was analyzed in the lyophilizate obtained from the W2 extract and in the systems with oligosaccharides (Table 3). It was found that the content of active compounds in the systems was twice as low as in the lyophilizate, indicating that the lyophilization process and formulation development did not affect the active compound content.
Table 3.
Content of active compounds in the pure extract and in the obtained systems. Values marked with different superscript letters within the same column indicate statistically significant differences (p < 0.05) according to one-way ANOVA followed by Tukey’s post hoc test.
2.4.3. Antioxidant Activity of Obtained Systems
As shown in Table 4, the antioxidant activity of the formulated systems was approximately two-fold lower than that of the pure extract (p < 0.05), which is consistent with the 1:1 dilution of bioactive compounds in the systems. All systems differed significantly from ascorbic acid and the pure extract, while no significant differences were observed between the FOS, GOS and COS systems. Despite the preserved proportional activity, the systems did not demonstrate additive or synergistic biological effects, indicating that the added oligosaccharides served more as carriers than enhancers of antioxidative function. These observations were confirmed using both the CUPRAC and DPPH methods, demonstrating consistency in the antioxidant activity results across different analytical techniques (Table 4). The activity of the obtained systems is comparable to that of ascorbic acid, highlighting the strong antioxidant activity of Amelanchier leaves and, consequently, the formulations derived from them.
Table 4.
Antioxidant activity of pure lyophilizate Amelanchier leaf extracts and of the obtained systems. Values with different superscript letters in the same column differ significantly (p < 0.05, one-way ANOVA followed by Tukey’s post hoc test).
2.4.4. Antidiabetic Activity of Obtained Systems
The study showed that in the case of FOS and GOS, the antidiabetic activity, assessed through α-glucosidase inhibition, was approximately two times lower than that of the lyophilizate, indicating that the activity remained unchanged, as the systems were prepared in a 1:1 ratio (Table 5). Although chitooligosaccharides (COS) are reported in the literature to have antidiabetic properties, no significant α-glucosidase inhibitory activity was observed at the tested concentrations [40]. This suggests that the observed activity in COS systems was entirely due to the plant extract. The observed differences resulted solely from the 1:1 ratio, confirming that the antidiabetic activity was preserved. Compared to acarbose, a reference antidiabetic drug with the same mechanism of action, the antidiabetic activity of the systems is approximately 10 times higher. This demonstrates the strong α-glucosidase inhibitory potential of Amelanchier leaves extracts and the effectiveness of the developed formulations in inhibiting carbohydrate digestion, which could be beneficial for blood sugar regulation.
Table 5.
Antidiabetic activity of pure lyophilizate of Amelanchier leaf extracts and of the obtained systems. Values with different superscript letters differ significantly (p < 0.05, one-way ANOVA followed by Tukey’s post hoc test).
2.4.5. PAMPA Assay
The permeability of the tested samples was evaluated using the PAMPA assay, with results expressed as apparent permeability coefficient (Papp). (Table 6) All analyzed samples, including the FOS system, GOS system, COS system, and lyophilizate, exhibited permeability values below 1 × 10−6 cm/s. These results indicate that the samples have low passive permeability across the artificial membrane, classifying them as poorly permeable compounds. This suggests limited absorption potential via passive diffusion under the tested conditions. This limited permeability may be advantageous, as it increases the likelihood that the compounds reach the intestinal lumen in an unabsorbed form, where they can exert local effects such as α-glucosidase inhibition at the epithelial surface and modulation of gut microbiota, thereby contributing to both antidiabetic and prebiotic activities.
Table 6.
Results of the experimental in vitro permeability test (PAMPA) for systems and pure lyophilizate of Amelanchier leaf extracts.
2.4.6. Dissolution Study
The release profiles of bioactive compounds from the lyophilized extract, FOS system, GOS system, and COS system show clear differences (Figure 9). All systems demonstrated a rapid initial release, followed by a plateau phase. The lyophilized extract showed the slowest release in the initial phase, indicating a more gradual release compared to the other systems. The COS system had the fastest initial release, reaching a plateau earlier. The GOS and FOS systems displayed intermediate release rates, with similar patterns over time. These results suggest that the type of system affects the release behavior, with the COS system providing faster release, while the lyophilized extract offers a more sustained release profile.
Figure 9.
Chlorogenic acid release profile from freeze-dried Amelanchier leaf extract and systems obtained with FOS, GOS, and COS at pH 1.2 (a) and pH 6.8 (b).
2.4.7. Microbiological Study
The data in Figure 10 show that, the tested plant extract significantly promoted the growth of most analyzed probiotic strains, especially those belonging to the genus Bifidobacterium, as reflected by a prebiotic index (PI > 1). Such an effect was not found only in the case of the L. acidophilus. The most pronounced growth stimulation was observed for B. longum and B. animalis, suggesting that Bifidobacterium species are more responsive by the extract. Moreover, the extract exhibited effects comparable to established prebiotics such as FOS, GOS, and COS. The highest prebiotic index (PI) values were recorded for the formulated multi-component systems (FOS system, GOS system, COS system), indicating a synergistic effect of their components. For B. longum, the PI of these systems was 1.5 to 2 times higher than that of the individual components, highlighting the value of combining oligosaccharides to enhance their prebiotic properties. Furthermore, the prebiotic activity scores (Figure 11) confirmed the selective action of the tested compounds. All analyzed prebiotics and the extract promoted the growth of probiotic strains and at the same time did not affect the growth of pathogenic E. coli, which is a domain true prebiotic activity. The highest PAS values were again observed for B. longum, reinforcing its susceptibility to the prebiotic systems. However, it is worth noting that the FOS-based system (FOS system) showed a lower prebiotic index than FOS alone, which may indicate that this combination could also support the growth of non-beneficial bacteria such as E. coli. Therefore, despite its stimulatory effect on probiotics, the prebiotic suitability of this system should be verified in further in vivo studies.
Figure 10.
Prebiotic index values of probiotic strains of Lactobacillus and Bifidobacterium grown in different prebiotic systems and pure extract. Error bars are ± SD. Bars marked with different superscript letters differ significantly (p < 0.05, one-way ANOVA followed by Tukey’s post hoc test).
Figure 11.
Prebiotic activity scores of different prebiotic systems and pure extract. Error bars are ± SD. Bars marked with different superscript letters differ significantly (p < 0.05, one-way ANOVA followed by Tukey’s post hoc test).
3. Discussion
Optimization methods, such as the Plackett–Burman and Box–Behnken designs, are extensively utilized in the field of natural product research to determine the most effective extraction parameters for bioactive compounds. These methodologies enable systematic evaluation of various factors, allowing researchers to develop efficient, reproducible, and scalable extraction protocols. In this study, these approaches were employed to optimize the extraction of polyphenols from A. alnifolia leaves—a relatively unexplored matrix in terms of bioactive compound recovery. The optimized extraction parameters—methanol content of 58.06%, solvent-to-solid ratio of 26.03 mL/g, and extraction time of 73.56 min—align with conditions reported for other polyphenol-rich plant matrices. Research on Vaccinium myrtillus leaves highlighted the efficacy of ethanol solutions (30%) and specific extraction durations of 5 min in the sonotrode extraction method [41]. Similarly, a study on Moringa oleifera leaves demonstrated the effectiveness of 80% ethanol and moderate extraction conditions (50 °C, 60 min), using a solvent-to-solid ratio of 60:1 (v/w), leading to high phenolic yields and significant antioxidant activity [42]. Optimization using ultrasound-assisted extraction of olive leaves revealed that solvent composition, extraction time, and liquid-to-solid ratio are critical parameters for polyphenol recovery. These optimized conditions (120 min, 25 °C, 70% ethanol) utilized a solvent-to-solid ratio of 5:1 (v/w), resulting in extracts with enhanced antioxidant properties [43]. While the fruits of A. alnifolia have been extensively studied for their polyphenol content and associated health benefits, the leaves represent an underutilized resource with significant potential. An optimization technique was applied to the drying process of Saskatoon berries. In the study by Mitra and Meda [44], the authors optimized the microwave–vacuum drying process for A. alnifolia berries. The study employed response surface methodology to determine optimal drying parameters, such as microwave power, drying time, and sample load, to achieve the highest product quality.
The observed differences in botanical traits among the A. alnifolia cultivars, including growth habit, fruit size, shape, and chemical composition, highlight the genetic diversity within the species. These differences may play a crucial role in determining their adaptability to specific environmental conditions and their suitability for commercial cultivation, particularly for producing fruits with valuable health-promoting nutritional properties that can benefit human health. In our study, leaves of various cultivars were compared in terms of their antioxidant activity, antidiabetic potential, and the content of bioactive compounds. The analysis revealed statistically significant differences between cultivars; however, it is important to note that the study was limited to samples collected from a single growing season. The results highlighted variability in the levels of active compounds across cultivars, consistent with findings from other species. For instance, Zhang et al. [45] compared the phytochemical profiles and antioxidant capacities of olive leaves (Olea europaea L.) from 32 cultivars grown in China, finding significant differences. Amelanchier research often focuses on the differences between species in the genus. Anatomical studies on Amelanchier species, both in vitro and ex vitro, indicated no differences in the stomatal apparatus of plantlets, with hypostomatic leaf characteristics observed in both ‘Krasnoyarskaya’ (A. alnifolia) and ‘Prince William’ (A. canadensis). Didur et al. [46] reported variability in secondary metabolite accumulation and antioxidant properties among Amelanchier species, with A. humilis exhibiting the highest antioxidant potential. But the differences between varieties of A. alnifolia were also studied. Research by Szpadzik and Krupa, conducted under the climatic and soil conditions of eastern Poland, evaluated three Canadian Saskatoon berry cultivars (‘Honeywood’, ‘Martin’, and ‘Pembina’), revealing significant differences in yield, fruit physicochemical properties (mass, diameter, firmness, soluble solids content), and health-promoting compounds (anthocyanins, flavonoids, polyphenols) [47].
In this study, the content of selected bioactive compounds in the leaves of A. alnifolia was analyzed. The results demonstrated the high content of chlorogenic acid, epicatechin, EGCG, rutin, hyperoside, and isoquercetin across the samples (W1–W11). Lavola et al. [48] reported that the leaves of various Amelanchier cultivars contained high amounts of quercetin- and kaempferol-derived glycosides (41% of total phenolics), hydroxycinnamic acids (36%), catechins, and some neolignans, with quercetin 3-galactoside, quercetin 3-glucoside, (−)-epicatechin, and chlorogenic acid as the dominant phenolics. These findings confirm the richness of Amelanchier species in phenolic compounds. Furthermore, Meczarska et al. [49] determined the polyphenolic composition and biological activity of extracts from both fruits and leaves of A. alnifolia. Their results showed that the tested extracts are rich sources of polyphenols, primarily flavonoids, with flavonols and anthocyanins dominating in leaves and fruits, respectively. Their study also confirmed high levels of chlorogenic acid and glycosidic derivatives of quercetin, which are consistent with the findings in this study. Lachowicz et al. [50] investigated the composition of bioactive compounds and antioxidant activity in the fruits of different genotypes of A. alnifolia cultivated in central Poland. They confirmed thirty-eight bioactive compounds, including polyphenolic compounds (four anthocyanins, nine phenolic acids, nine flavonols, and seven flavan-3-ols), carotenoids, chlorophylls, and triterpenoids, confirming that the variety has a significant effect on the content of active compounds.
The antioxidant activity of plant materials is closely linked to their polyphenolic content, as polyphenols are well-known for their ability to neutralize free radicals and reduce oxidative stress. The antioxidant activity demonstrated in our study indicates a high antioxidant potential of the examined cultivars. So far, the antioxidant activity of berries has been quantified in various studies, revealing a range of antioxidant capacities. For instance, Asyakina et al. [51] reported that the antioxidant activity of different Saskatoon berry varieties ranged from 8.68 to 35.66 mmol/100 g in Trolox equivalents, with an average of 23.9 mmol/100 g against DPPH radicals Similarly, Lachowicz et al. [50] found that the antioxidant capacity of Saskatoon berries correlated positively with their phenolic content, including flavanols and procyanidins, suggesting that the chemical composition significantly influences their antioxidant potential Lachowicz et al. reported that the antioxidant activity of Saskatoon berry extracts reached values of 13.09, 3.04, and 21.00 µmol Trolox/g d.s ABTS, DPPH, and FRAP tests, respectively. Antioxidant activity is critical because it plays a key role in protecting cells from oxidative damage, which is associated with chronic diseases such as cardiovascular disease, diabetes, and cancer [52]. By mitigating oxidative stress, antioxidants contribute to overall cellular health and help maintain physiological balance, emphasizing the potential of these cultivars as sources of natural antioxidants for use in functional foods, dietary supplements, and pharmaceuticals [53].
Our study demonstrated that the A. alnifolia cultivars exhibit antidiabetic activity through their ability to inhibit α-glucosidase in vitro. Significant differences in the inhibitory activity were observed among the cultivars, reflecting variability in their bioactive compound profiles. Previous studies have primarily focused on the antidiabetic properties of A. alnifolia fruits, demonstrating their potential in modulating glucose metabolism. Our findings expand this knowledge by confirming that different cultivars vary significantly in their inhibitory effects, highlighting their potential for functional food applications. In a study examining the metabolic effects of Saskatoon berries, it was found that they regulate glucose metabolism and improve cardiovascular health in models of diet-induced metabolic syndrome [54]. The non-polar extracts of Saskatoon berries have been shown to inhibit aldose reductase, an enzyme implicated in diabetic complications, with an inhibition rate of 82% [3]. This suggests that Saskatoon berries may play a role in preventing diabetic microvascular complications by modulating enzyme activity related to glucose metabolism. In vitro studies have indicated that extracts from Saskatoon berries also can significantly inhibit α-glucosidase activity [5,55]. This effect is attributed to the presence of various bioactive compounds, including anthocyanins and other polyphenolic compounds, which have been recognized for their potential to modulate carbohydrate metabolism [56].
Principal component analysis (PCA) showed a strong association between antioxidant and antidiabetic activity and polyphenol content. The results show that parameters such as DPPH, CUPRAC, and total polyphenol content (TPC) are strongly correlated, suggesting that the higher the content of these compounds, the greater the antioxidant potential of the extracts tested. In particular, chlorogenic acid and epicatechin show a positive correlation with antioxidant activity, which is in line with previous studies on their role as effective free radical scavengers [57,58,59]. Higher concentrations of phenolic compounds are often correlated with greater antioxidant potential, highlighting the importance of these compounds in evaluating the health-promoting properties of plants. Furthermore, PCA indicates that antidiabetic activity, as measured by α-glucosidase inhibition, is correlated with the presence of flavonoids such as rutin, hyperoside, and isoquercetin. This is consistent with studies on flavonoids, which showed the ability to inhibit the enzymes responsible for breaking down carbohydrates and reducing blood glucose spikes [60,61,62].
Our study aimed to obtain systems of extract and oligosaccharides through lyophilization. Lyophilization is a technique that enables the formation of stable systems by removing water through sublimation, preserving the structural and functional properties of the components. FT-IR spectroscopy revealed notable spectral modifications upon formulation of Amelanchier leaves extract with oligosaccharide carriers (FOS, GOS, COS). All systems showed overlapping contributions from both the extract and the polysaccharide matrix; however, subtle shifts and band distortions were evident, indicating weak intermolecular interactions. Among the formulations, the GOS and COS systems exhibited more pronounced spectral changes compared to FOS. Specifically, the COS system showed a visible broadening or deformation of bands at 517, 1155, and 1247 cm−1, as well as a shift in the aromatic skeletal vibration from 1506 to 1518 cm−1. These changes suggest hydrogen bonding between phenolic hydroxyl groups and the chito-oligosaccharide network. The O–H stretching region (~3325 cm−1) also became broader and less intense in the COS and GOS systems, reflecting alterations in hydrogen bond dynamics or increased network complexity. The FOS system, in contrast, showed relatively minor modifications, such as a small shift in the 1445 cm−1 band to 1441 cm−1, implying weaker interactions. These findings indicate that the strength and extent of interaction between extract constituents and carrier matrices vary depending on oligosaccharide type, with COS showing the strongest evidence of matrix–polyphenol interaction. Comparable FT-IR results have been reported in the literature for phenolic compound encapsulation. For example, Peng et al. [63] described shifts in the aromatic C=C and C–O stretching regions upon the interaction of flavonoids with polysaccharides, confirming that non-covalent interactions such as hydrogen bonding play a key role in system stability and compound retention.
The study demonstrated that the content of bioactive compounds, as well as the antioxidant and antidiabetic activities, remained unchanged after the incorporation of oligosaccharides FOS, GOS, or COS into the system. In the case of COS, the antioxidant activity did not increase; however, COS exhibits its intrinsic antioxidant properties, which have also been reported in other studies [64,65]. Nevertheless, its activity is significantly lower than required to be noticeable at the studied concentrations. Despite literature reports on the antidiabetic effects of COS through glycosidase inhibition, no increase in antidiabetic activity was observed in the systems containing these oligosaccharides. This is likely due to the low concentrations of the system used in the test as a result of the strong activity of the A. alnifolia leaf extract. It is worth mentioning that the antidiabetic activity of COS is widely documented in the literature. For instance, Makalani et al. reported that COS improved serum biochemical markers and histological changes in the pancreas of streptozotocin (STZ)-induced diabetic rats, suggesting a long-term antidiabetic effect through enhanced glucose metabolism and pancreatic secretory capacity [66]. This aligns with findings from Liu et al., who noted that low molecular weight chitosan could stimulate glucagon-like peptide-1 (GLP-1) secretion in human intestinal endocrine cells, a hormone crucial for glucose regulation [67]. Additionally, numerous studies on oligosaccharides (OS) highlight their prebiotic activity and their associated role in diabetes regulation [68,69,70,71].
In the conducted study, it was observed that compounds present in A. alnifolia leaves did not permeate through the membrane in the PAMPA assay, indicating limited passive permeability across biological membranes. This limited permeability may be attributed to their chemical properties, such as high polarity and the presence of multiple hydroxyl groups, which hinder diffusion through the hydrophobic lipid layers of membranes. This low permeability was also confirmed in the study by Petit et al. [72]. Low permeability of compounds in the small intestine may not necessarily be detrimental to α-glucosidase inhibition. For instance, certain polyphenolic compounds, such as chlorogenic acid, have been shown to possess inhibitory effects on α-glucosidase despite their varying permeability profiles. Chlorogenic acid, in particular, has demonstrated significant inhibitory activity against α-glucosidase, with studies indicating that it can reduce enzyme activity by forming complexes with the enzyme [73,74]. Once ingested, many of these compounds are not absorbed in the small intestine due to their high molecular weight and low solubility in water. Instead, they reach the large intestine, where the intestinal microflora metabolizes them. In the large intestine, polyphenols are fermented by different strains of bacteria, leading to the formation of various metabolites such as organic acids, phenols and other bioactive compounds. These metabolites may have beneficial health effects, including anti-inflammatory, antioxidant, and gut health-promoting effects [75,76].
Dissolution studies have demonstrated that the incorporation of oligosaccharides significantly enhances the solubility of chlorogenic acid in extracts from Saskatoon leaves. This improvement suggests that oligosaccharides may facilitate the bioavailability of chlorogenic acid in aqueous systems, which could be particularly advantageous for the development of functional formulations. Such a beneficial effect was also achieved in Stasilowicz-Krzemień et al., where rosmarinic acid was combined with cyclodextrins, and a release profile with a faster release in the first minutes was obtained [77]. The results of the release study correlate with the FT-IR data. The system with COS, which showed the strongest changes in the spectrum suggesting the appearance of new bonds, showed the greatest improvements in solubility, while the system with FOS showed the least. The observed increase in solubility may be attributed to molecular interactions, such as hydrogen bonding or encapsulation mechanisms, which enhance the dispersion of chlorogenic acid in the extraction medium.
The results of the prebiotic activity study showed that Amelanchier leaves extract effectively improves the growth of prebiotic bacteria, especially for Bifidobacterium animali and Bifidobacterium longum. Particularly noteworthy are the findings related to the formulated multi-component systems (FOS, GOS, and COS systems), which showed the highest values for both the prebiotic index and the prebiotic activity score. The observed synergy between the system components may result from complementary metabolic pathways or differential affinities to bacterial transport systems. Research indicates that the polyphenolic compounds in these berries may influence gut microbiota composition, promoting beneficial bacteria. For instance, a study found that Amelanchier berry powder supplementation in high-fat, high-sucrose diet-induced obese mice improved insulin resistance and modulated gut microbiota, suggesting a prebiotic-like effect [4]. Zhao et al. [2] concluded that Amelanchier berry powder supplementation in high fat-high sucrose diet-induced insulin-resistant mice dose-dependently attenuated metabolic and inflammatory disorders, which was associated with the amelioration of gut dysbiosis in the mice. Although numerous studies have documented the bioactive and health-promoting properties of Amelanchier alnifolia fruits, there is a noticeable lack of data regarding the prebiotic potential of its leaves.
Recent studies have successfully developed delivery systems for plant extracts in combination with prebiotic substances, demonstrating potential benefits for gut microbiota modulation. One notable example is the Cornus mas L. lyophilized extract, where the addition of inulin enhances its prebiotic potential by positively influencing the intestinal microbiome [78]. Another study explored Cannabis sativa L. extracts combined with dextran, inulin, and trehalose as carriers [79]. These formulations not only supported the growth of beneficial gut bacteria but also preserved antioxidant and neuroprotective properties. Additionally, zein has been investigated as an effective carrier in hesperidin delivery systems, showing improved prebiotic potential [80]. In a system incorporating leaf extracts, the evaluation of dextran-based carriers for Haskap berry leaf extract demonstrated a significant increase in beneficial bacterial strains, particularly Bifidobacterium longum (from 9.54 × 107 to 1.57 × 1010 CFU/mL) and Ligilactobacillus salivarius (from 1.36 × 109 to 1.62 × 1010 CFU/mL) [81]. These findings highlight the potential of such delivery systems in shaping gut microbiota composition and promoting overall gut health. However, most studies focus on the activity of the prebiotic substance, and in the case of our study, the extract has a key role in the prebiotic activity of the system and increases it.
The key outcomes of this study, together with their mechanistic explanations, are summarized in Table 7. The table integrates the optimized extraction conditions, the variability of phenolic content and biological activities among cultivars, the results of PCA, FT-IR analysis, release behavior, and prebiotic effects.
Table 7.
Summary of the main results and mechanistic insights of the developed A. alnifolia-based systems.
4. Materials and Methods
4.1. Optimization of Extraction
4.1.1. Plackett–Burman Design
Statistical analysis of the experimental data was conducted using Statistica 13.3 software (TIBCO Software Inc., Palo Alto, CA, USA). The Plackett–Burman design was applied to identify the most significant factors influencing the extraction efficiency. The following seven factors were included in the experimental design, each tested at two levels (lower and upper), as in Table 8. A plan of the experiment is illustrated in Table 9.
Table 8.
Minimum and maximum levels of tested parameters in Plackett–Burman design.
Table 9.
Placket–Burman design including seven variables and minimum (−1) and maximum (1) coded values assayed for each.
Dried and powdered leaves of A. alnifolia were subjected to extraction under the conditions determined by the Plackett–Burman experimental matrix. The extraction solvent consisted of methanol in varying concentrations, and the process was conducted at different temperatures and pH levels, as defined in the experimental design. Sonication was employed to enhance the extraction efficiency, with varying intensities, to explore its effect on compound recovery. The solvent-to-leaf ratio and extraction time were adjusted according to the design matrix. After the extraction process, the resulting solutions were centrifuged at 4000 rpm for 4 min to ensure complete separation of fine particles. The supernatant was collected and analyzed to determine the total polyphenol content (TPC) using the Folin–Ciocalteu method, with results expressed as mg of gallic acid equivalents per gram of dry weight (mg GAE/g DW).
4.1.2. Box–Behnken Design
The extraction process was optimized using the Box–Behnken design based on factors selected through the Plackett–Burman screening method Statistica 13.3 software (TIBCO Software Inc., Palo Alto, CA, USA). The key variables chosen were methanol concentration in the extraction mixture, the ratio of raw material mass to solvent volume, and extraction time. These factors were tested at three levels to develop a quadratic model describing their influence on extraction efficiency (Table 10). Response surface plots were prepared to visualize the interactions between variables, and the most favorable extraction parameters were determined based on the model (Table 11).
Table 10.
Minimum and maximum levels of tested parameters in Box–Behnken design.
Table 11.
Box–Behnken design including fifteen variables and minimum (−1), medium (0) and maximum (1) coded values assayed for each.
4.2. Cultivars Comparision
In the study, 11 different genotypes of Saskatoon serviceberry (Amelanchier alnifolia) registered in the National Register of Varieties were tested. Most of the varieties included in the collection of the Central Research Center for Cultivated Plant Variety Testing—Variety Testing Station in Sulechów and the Experimental Variety Assessment Station in Masłowice (φ = 51°15′, λ = 18°38′, H = 174 m above sea level) were analyzed. The plant material for the phytochemical composition analysis came from the fourth year of plantation use, conducted as part of the Post-registration Variety Testing system. The shrubs of the studied A. alnifolia species were planted with a row spacing of 300 cm and 150 cm between plants within the row. The experimental field soil belonged to the “good rye complex” of agricultural soil utility, soil quality class IV. The soil type was classified as leached or acidic brown soil with a light loamy sand texture. Soil phosphorus content was at a very high level, magnesium was at a medium level, and potassium was at a low level. The average annual daily air temperature was 8.7 °C, and the total yearly precipitation was 542 mm. In terms of agrotechnical evaluation, the testing of 11 A. alnifolia varieties should be considered as an assessment of the biological progress of the studied species, providing objective information on the utility value of the tested varieties and helping farmers make an informed choice of the most valuable genotypes adapted to local cultivation conditions. Table 12 presents a comparative overview of the morphological and organoleptic characteristics of the eleven tested A. alnifolia cultivars, including growth vigor, plant habit, root sucker formation, fruit size and shape, wax bloom presence, skin color, sweetness, acidity, and ripening time.
Table 12.
Comparison of the characteristics of the cultivars.
4.3. HPLC (High-Performance Liquid Chromatography) Analysis
In order to identify and quantify the major phenolic constituents present in the A. alnifolia leaves extracts, high-performance liquid chromatography (HPLC-DAD, LC-2050C, Shimadzu Corp., Kyoto, Japan) analysis was conducted. Separations were performed on a LiChrospher RP-18 column, 5 μm particle size, 250 mm × 4 mm (Merck, Darmstadt, Germany). The detection was performed with a diode array detector at a wavelength maxima (λmax) of 270 and 330 nm, depending on active compounds. The mobile phase was composed of formic acid 0.1% in water (A) and acetonitrile (B) with a gradient elution: 0–35 min; 2–20% B; 35–55 min. 20–70% B; 55 min. 2% B; 55–60 min. 2% B, with mobile phase flow set at 1.0 mL/min. The column temperature was kept at 30 °C.
4.4. Antioxidant Activity
4.4.1. DPPH Assay
The antioxidant activity of the samples was determined using the DPPH (2,2-diphenyl-1-picrylhydrazyl) radical scavenging method on 96-well plate. A solution of DPPH (0.1 mM) in methanol was prepared, and 175 µL of this solution was mixed with 25 µL of the sample at various concentrations. The mixture was incubated in the dark at room temperature for 30 min. Absorbance was measured at 517 nm (Multiskan GO, Thermo Scientific, Vantaa, Finland). The percentage of DPPH scavenging was calculated, and IC50 values were determined using regression analysis. All measurements were performed in triplicate (n = 3).
4.4.2. CUPRAC Assay
The cupric reducing antioxidant capacity (CUPRAC) was assessed by mixing 150 µL CUPRAC reagent (same amount of copper (II) chloride solution (10 mM), ammonium acetate buffer (pH 7.0), and neocuproine solution (7.5 mM)) with 50 µL of the sample. The mixture was incubated for 30 min at room temperature, and absorbance was measured at 450 nm (Multiskan GO, Thermo Scientific, Vantaa, Finland). IC0.5 values were determined using regression analysis. All measurements were performed in triplicate (n = 3).
4.5. Antidiabetic Activity
The α-glucosidase inhibitory activity was assessed using p-nitrophenyl-α-D-glucopyranoside (pNPG) as a substrate. Extracts were prepared in various concentrations and mixed with the enzyme solution in a 96-well plate. After incubation at 37 °C, the substrate was added to initiate the reaction, which was stopped with sodium carbonate. Absorbance at 405 nm was measured to evaluate enzyme activity (Multiskan GO, Thermo Scientific, Vantaa, Finland). The percentage inhibition was calculated by comparing the extract-treated samples to controls, and the IC50 value was determined through regression analysis, identifying the concentration required to inhibit 50% of the enzyme activity. All measurements were performed in triplicate (n = 3).
4.6. Statistical Analysis
Statistical analysis was conducted using Statistica 13.3 (TIBCO Software Inc., Palo Alto, CA, USA). The Shapiro–Wilk test was applied to assess the normality of the data. Differences between mean values were evaluated using ANOVA, followed by Tukey’s post hoc test for multiple comparisons. Statistical significance was set at p < 0.05. Correlation analysis was performed using principal component analysis (PCA) and PQStat Software version 1.8.4.142 (2022) (PQStat Software, Poznań, Poland).
4.7. System Preparation
The extract from the variety exhibiting the most favorable properties and the highest content of active compounds was obtained under conditions determined by the extraction optimization process. The extract was lyophilized and subsequently dissolved in water together with oligosaccharides—FOS (Sigma-Aldrich, St. Louis, MO, USA), GOS (Chemat, Gdańsk, Poland), and COS (Polaura, Warsaw, Poland)—at a 1:1 (w/w) ratio. The mixture was stirred for 24 h. The resulting solution was poured onto trays and frozen at −30 °C overnight. Lyophilisation was performed using a freeze-dryer (Telstar, Eden Prairie, MN, USA) for 5 days at −85 °C and a constant pressure of 0.2 MPa. The resulting lyophilizates were then milled using an IKA analytical mill (IKA-Werke GmbH and Co. KG, Staufen, Germany) to obtain homogeneous, free-flowing powders. All systems were stored in tightly sealed Falcon tubes at 8 °C until analysis.
4.8. FT-IR Analysis
The (ATR-FTIR) spectra were recorded on an IRTracer-100 spectrophotometer (Shimadzu Corp., Kyoto, Japan). The spectra were measured within the frequency range of 4000 and 400 cm−1 in the absorbance mode. The spectral region between 1800 and 2400 cm−1 was not included in the main figures, as it does not contain characteristic absorption bands of the analyzed polyphenols and oligosaccharides and is dominated by background signals from atmospheric CO2, which could obscure the interpretation of relevant peaks. The parameters of the apparatus were as follows: resolution, 4 cm−1; number of scans, 100; apodization, Happ-Genzel. The samples were placed on the ATR crystal and pressed against it whilst the ATR-FT-IR spectrum was scanned. The spectra of pure lyophilizate and oligosaccharides and the physical mixtures of the systems were also analyzed. The spectra were analyzed using the OriginPro 8 software (OriginLab Corporation, Northampton, MA, USA).
4.9. PAMPA Assay
Gastrointestinal permeability through passive diffusion was evaluated using a parallel artificial membrane permeability assay (PAMPA) (Pion Inc. Billerica, MA, USA). Samples of GOS, COS, and FOS systems with extract were prepared as described in Section 4.7. Each well of the donor plate was filled with a sample mixed with a donor solution adjusted to pH 6.8. An Acceptor Sink Buffer was added to the wells of the acceptor plate. The microfilter disks separating the donor and acceptor plates were impregnated with GIT lipid to simulate gastrointestinal conditions. The donor and acceptor plates were assembled into a PAMPA sandwich and incubated for 3 h at 37 °C. After incubation, concentrations of active compounds in the donor and acceptor wells were analyzed using a validated HPLC method. The apparent permeability coefficient was calculated using the following equations:
where Papp is the effective permeability coefficient (cm/s), VD—donor volume, VA—acceptor volume, Cequilibrium—equilibrium concentration, S—membrane area, and t—incubation time (in seconds). Compounds with Papp < 1 × 10−6 cm/s are classified as having low permeability, and those with Papp > 1 × 10−6 cm/s as highly permeable compounds. Samples were analyzed in triplicate.
4.10. Dissolution Study
Dissolution-rate studies were conducted using a paddle-equipped apparatus (Agilent, Santa Clara, CA, USA). Samples, including 50 mg of the formulated system or pure extract, were placed in gelatin capsules and secured with a sinker to prevent floating. The dissolution media consisted of 0.1 mol/L hydrochloric acid (pH ~1.2) and a solution of phosphate buffer (pH 6.8). The paddles rotated at 50 rpm, maintaining a temperature of 37 °C. At designated time intervals, a 2 mL sample was withdrawn and immediately replaced with a preheated dissolution medium to maintain consistent conditions. The samples were then filtered through a 0.22 μm nylon syringe filter. The dissolved amount of chlorogenic acid, identified as the most abundant compound, was quantified using a validated HPLC method.
4.11. Prebiotic Activity
The prebiotic effect of pure lyophilisate Amelanchier leaf extracts, FOS, GOS, COS, and the obtained systems was estimated by measuring the growth of probiotic strains of Lacticaseibacillus rhamnosus GG ATCC 53103, Lactiplantibacillus plantarum 299v, Lacticaseibacillus acidophilus LA-5, Bifidobacterium longum DSM 20219 and Bifidobacterium animalis DCM 10140 and then calculating the probiotic index value (Ipreb). The effects on pathogenic Escherichia coli serotype O157:H7 strain ATCC 43888 were also determined by quantifying the prebiotic activity scores (PAS).
Lactobacillus, Bifidobacterium, and E. coli strains were cultured in MRS broth (Oxoid), MRS broth (Oxoid) with 0.5% (w/v) cysteine hydrochloride monohydrate (Merck), and Nutrient Broth (Oxoid), respectively. In the above-mentioned media (controls), the carbon source was glucose. To determine the prebiotic effect, 0.1% (w/v) test materials, i.e., pure extract, prebiotics such as GOS, FOS, and COS, and developed systems were added to these media. All media were inoculated with about 106 CFU/mL with 18–24 h cultures (cultures in the logarithmic phase of growth) and incubated under anaerobic conditions at 37 °C for 24 h. Before (0 h) and after incubation (24 h), the viable cell count was determined using the Koch’s plate method. The solvent for dilutions was physiological saline. Diluted samples were plated on Petri dishes with MRS agar for Lactobacillus, MRS agar with cysteine hydrochloride monohydrate for Bifidobacterium and Nutrient agar for E. coli, and incubated at 37 °C for 48–72 h. After incubation, the grown colonies were counted using an automatic colony counter (Easy Count 2). Based on these, the number of viable cells was determined and given as colony-forming units (CFU/mL).
The results of CFU determinations were used to calculate the prebiotic index from the below equation:
In this study the prebiotic carbohydrate were pure extract, FOS, GOS, COS and their systems. While the control carbohydrate was glucose. Prebiotic index higher than 1 is an indication that the carbohydrate has a positive effect on probiotic microbial growth. The prebiotic index is close to 1 shows a poor prebiotic effect of the carbohydrate under study.
Prebiotic activity scores (PAS) were also determined using the equation:
where Log P are the log of growth (CFU/mL) of the probiotic bacteria at 24 h (P24) and 0 h (P0) in media with prebiotics and glucose; Log E are the log of growth (CFU/mL) of pathogenic E. coli 24 h (E24) and 0 h (E0) in media with prebiotic and glucose. Positive values PAS indicate a the selective action of prebiotic and its beneficial effect on probiotic growth.
5. Conclusions
This study aimed to develop bifunctional systems from Amelanchier alnifolia leaves combined with prebiotic oligosaccharides to enhance antidiabetic and prebiotic effects. Extraction parameters were optimized using Plackett–Burman and Box–Behnken designs, establishing methanol content of 58.06%, ratio of 26.03 m/v, and extraction time of 73.56 min as optimal conditions. Among eleven cultivars, W2 (Obelisk) exhibited the highest polyphenol content and strong antioxidant and α-glucosidase inhibitory activity. Lyophilized systems with FOS, GOS, and COS preserved the bioactive profile, with COS particularly improving chlorogenic acid solubility and modifying its release. FT-IR confirmed intermolecular interactions between polyphenols and oligosaccharides. Prebiotic assays showed a marked stimulation of B. longum and B. animalis, with multi-component systems achieving prebiotic index values up to twice those of the pure extract. These findings demonstrate that A. alnifolia leaf–oligosaccharide systems have significant potential as functional ingredients with dual prebiotic and antidiabetic benefits, warranting further in vivo validation.
Author Contributions
Conceptualization, J.C.-P. and A.G.; methodology, A.G. and A.S.; software, A.G.; validation, A.G. and A.S.; formal analysis, A.G.; investigation, A.G. and A.S.; resources, J.C.-P. and P.S.; data curation, A.G.; writing—original draft preparation, A.G., A.S. and P.S.; writing—review and editing, J.C.-P. and A.S.; visualization, A.G.; supervision, J.C.-P.; project administration, J.C.-P.; funding acquisition, J.C.-P. All authors have read and agreed to the published version of the manuscript.
Funding
This research was funded by the National Science Center, Poland, under the Preludium BIS grant (number 2020/39/O/NZ7/03441).
Institutional Review Board Statement
Not applicable.
Informed Consent Statement
Not applicable.
Data Availability Statement
The data supporting the findings of this study will be made available on the Zenodo repository under the title of the publication.
Acknowledgments
The graphical abstract was created using BioRender.com (available online: https://biorender.com/, accessed on 14 July 2025).
Conflicts of Interest
The funders had no role in the design of the study; in the collection, analyses, or interpretation of data; in the writing of the manuscript; or in the decision to publish the results.
Abbreviations
The following abbreviations are used in this manuscript:
| COS | Chitooligosaccharides |
| CUPRAC | Cupric Ion Reducing Antioxidant Capacity |
| DPPH | 2,2-Diphenyl-1-picrylhydrazyl |
| FOS | Fructo-oligosaccharides |
| FT-IR | Fourier-Transform Infrared Spectroscopy |
| GOS | Galactooligosaccharides |
| HPLC | High-Performance Liquid Chromatography |
| PAMPA | Parallel Artificial Membrane Permeability Assay |
| PAS | Prebiotic Activity Score |
| PI | Prebiotic Index |
| TPC | Total Phenolic Content |
References
- Huang, F.; Zhao, R.; Xia, M.; Shen, G.X. Impact of Cyanidin-3-Glucoside on Gut Microbiota and Relationship with Metabolism and Inflammation in High Fat-High Sucrose Diet-Induced Insulin Resistant Mice. Microorganisms 2020, 8, 1238. [Google Scholar] [CrossRef]
- Zhao, R.; Huang, F.; Shen, G.X. Dose-Responses Relationship in Glucose Lowering and Gut Dysbiosis to Saskatoon Berry Powder Supplementation in High Fat-High Sucrose Diet-Induced Insulin Resistant Mice. Microorganisms 2021, 9, 1553. [Google Scholar] [CrossRef]
- Jurí ková, T.; Balla, Š.; Sochor, J.; Pohanka, M.; Mlček, J.; Baroň, M. Flavonoid Profile of Saskatoon Berries (Amelanchier Alnifolia Nutt.) and Their Health Promoting Effects. Molecules 2013, 18, 12571–12586. [Google Scholar] [CrossRef]
- Huang, F. Impact of Saskatoon Berry Powder on Metabolism and Gut Microbiota in Diet-Induced Insulin Resistant Mice; University of Manitoba: Winnipeg, MB, Canada, 2021. [Google Scholar]
- Zhao, L.; Huang, F.; Hui, A.L.; Shen, G.X. Bioactive Components and Health Benefits of Saskatoon Berry. J. Diabetes Res. 2020, 2020, 3901636. [Google Scholar] [CrossRef]
- Moghadasian, M.H.; Masisi, K.; Le, K.; Beta, T.; Shen, G.X.; Fischer, G. The Potential Anti-Diabetic Effects of Saskatoon Berry in Experimental Mouse Models. Austin J. Nutr. Food Sci. 2019, 7, 10–26420. [Google Scholar] [CrossRef]
- Zhao, R.; Shen, G.X. Impact of Anthocyanin Component and Metabolite of Saskatoon Berry on Gut Microbiome and Relationship with Fecal Short Chain Fatty Acids in Diet-Induced Insulin Resistant Mice. J. Nutr. Biochem. 2023, 111, 109201. [Google Scholar] [CrossRef]
- Catling, P.M.; Mitrow, G. Regional Variation in Amelanchier in the Whitewood Area of Southeastern Saskatchewan and the First Saskatchewan Records of Amelanchier sanguinea. Can. Field-Nat. 2006, 120, 428. [Google Scholar] [CrossRef]
- Kuklina, A.G.; Sorokopudov, B.H.; Stepanova, A.B. Amelanchier Medik. (Rosaceae) Fruits—A Nutrition Dietary Product and a Source Material for Phytopharmacology. Agrobiodiversity Improv. Nutr. Health Life Qual. 2017, 1, 268–272. [Google Scholar] [CrossRef]
- Teleszko, M.; Wojdyło, A. Comparison of Phenolic Compounds and Antioxidant Potential Between Selected Edible Fruits and Their Leaves. J. Funct. Foods 2015, 14, 736–746. [Google Scholar] [CrossRef]
- Wang, S.; Xiao, Y.; Tian, F.; Zhao, J.; Zhang, H.; Zhai, Q.; Chen, W. Rational Use of Prebiotics for Gut Microbiota Alterations: Specific Bacterial Phylotypes and Related Mechanisms. J. Funct. Foods 2020, 66, 103838. [Google Scholar] [CrossRef]
- Wei, X.; Yu, L.; Zhang, C.; Ni, Y.; Zhao, J.; Zhang, H.; Chen, W.; Zhai, Q.; Tian, F. Prebiotic Activity of Chitooligosaccharides and Their Ability to Alleviate Necrotizing Enterocolitis in Newborn Rats. Carbohydr. Polym. 2023, 299, 120156. [Google Scholar] [CrossRef]
- Guan, Z.; Feng, Q. Chitosan and Chitooligosaccharide: The Promising Non-Plant-Derived Prebiotics with Multiple Biological Activities. Int. J. Mol. Sci. 2022, 23, 6761. [Google Scholar] [CrossRef]
- Nurmalasari; Liu, C.-H.; Maftuch, I.M.; Hu, S.-Y. Dietary Supplementation with Prebiotic Chitooligosaccharides Enhances the Growth Performance, Innate Immunity and Disease Resistance of Nile Tilapia (Oreochromis niloticus). Fishes 2022, 7, 313. [Google Scholar] [CrossRef]
- Kim, H.; Cheon, G.Y.; Kim, J.H.; Choi, R.-Y.; Kim, I.-W.; Suh, H.J.; Hong, K.-B.; Han, S.H. Preparation of Chitosan Oligosaccharides from Chitosan of Tenebrio Molitor and Its Prebiotic Activity. Appl. Biol. Chem. 2024, 67, 84. [Google Scholar] [CrossRef]
- Singh, P.; Gupta, S.K.; Kundu, A.; Grover, M.; Saha, S. Role of Fructooligosaccharides in Promoting Beneficial Gut Bacteria: A Prebiotic Perspective. Food Biosci. 2025, 63, 105726. [Google Scholar] [CrossRef]
- Mei, Z.; Yuan, J.; Li, D. Biological Activity of Galacto-Oligosaccharides: A Review. Front. Microbiol. 2022, 13, 993052. [Google Scholar] [CrossRef]
- Kaur, A.P.; Bhardwaj, S.; Dhanjal, D.S.; Nepovimova, E.; Cruz-Martins, N.; Kuča, K.; Chopra, C.; Singh, R.; Kumar, H.; Șen, F.; et al. Plant Prebiotics and Their Role in the Amelioration of Diseases. Biomolecules 2021, 11, 440. [Google Scholar] [CrossRef]
- Arnold, J.W.; Roach, J.; Fabela, S.; Moorfield, E.; Ding, S.; Blue, E.; Dagher, S.; Magness, S.; Tamayo, R.; Bruno-Barcena, J.M.; et al. The Pleiotropic Effects of Prebiotic Galacto-Oligosaccharides on the Aging Gut. Microbiome 2021, 9, 31. [Google Scholar] [CrossRef]
- Hu, Y.; Aljumaah, M.R.; Azcarate-Peril, M.A. Galacto-Oligosaccharides and the Elderly Gut: Implications for Immune Restoration and Health. Adv. Nutr. 2024, 15, 100263. [Google Scholar] [CrossRef]
- Ji, X.-G.; Chang, K.-L.; Chen, M.; Zhu, L.-L.; Osman, A.; Yin, H.; Zhao, L.-M. In Vitro Fermentation of Chitooligosaccharides and Their Effects on Human Fecal Microbial Community Structure and Metabolites. LWT 2021, 144, 111224. [Google Scholar] [CrossRef]
- Chen, Y.; Ling, Z.; Wang, X.; Zong, S.; Yang, J.; Zhang, Q.; Zhang, J.; Li, X. The Beneficial Mechanism of Chitosan and Chitooligosaccharides in the Intestine on Different Health Status. J. Funct. Foods 2022, 97, 105232. [Google Scholar] [CrossRef]
- Yuan, M.; Zhang, Z.; Liu, T.; Feng, H.; Liu, Y.; Chen, K. The Role of Nondigestible Oligosaccharides in Alleviating Human Chronic Diseases by Regulating the Gut Microbiota: A Review. Foods 2024, 13, 2157. [Google Scholar] [CrossRef]
- den Besten, G.; van Eunen, K.; Groen, A.K.; Venema, K.; Reijngoud, D.-J.; Bakker, B.M. The Role of Short-Chain Fatty Acids in the Interplay Between Diet, Gut Microbiota, and Host Energy Metabolism. J. Lipid Res. 2013, 54, 2325–2340. [Google Scholar] [CrossRef]
- Koumpouli, D.; Koumpouli, V.; Koutelidakis, A.E. Functional Foods, Gut Microbiome and Association with Obesity and Metabolic Syndrome: A Literature Review. Appl. Sci. 2024, 14, 5578. [Google Scholar] [CrossRef]
- Medda, S.; Dessena, L.; Mulas, M. Monitoring of the PAL Enzymatic Activity and Polyphenolic Compounds in Leaves and Fruits of Two Myrtle Cultivars during Maturation. Agriculture 2020, 10, 389. [Google Scholar] [CrossRef]
- Dehghan, S.; Sadeghi, M.; Pöppel, A.; Fischer, R.; Lakes-Harlan, R.; Kavousi, H.R.; Vilcinskas, A.; Rahnamaeian, M. Differential Inductions of Phenylalanine Ammonia-Lyase and Chalcone Synthase During Wounding, Salicylic Acid Treatment, and Salinity Stress in Safflower, Carthamus Tinctorius. Biosci. Rep. 2014, 34, e00114. [Google Scholar] [CrossRef]
- Hong, T.; Yin, J.-Y.; Nie, S.-P.; Xie, M.-Y. Applications of Infrared Spectroscopy in Polysaccharide Structural Analysis: Progress, Challenge and Perspective. Food Chem. X 2021, 12, 100168. [Google Scholar] [CrossRef]
- Baranović, G.; Šegota, S. Infrared Spectroscopy of Flavones and Flavonols. Reexamination of the Hydroxyl and Carbonyl Vibrations in Relation to the Interactions of Flavonoids with Membrane Lipids. Spectrochim. Acta Part A Mol. Biomol. Spectrosc. 2018, 192, 473–486. [Google Scholar] [CrossRef]
- Espina, A.; Sanchez-Cortes, S.; Jurašeková, Z. Vibrational Study (Raman, SERS, and IR) of Plant Gallnut Polyphenols Related to the Fabrication of Iron Gall Inks. Molecules 2022, 27, 279. [Google Scholar] [CrossRef]
- Wongsa, P.; Phatikulrungsun, P.; Prathumthong, S. FT-IR Characteristics, Phenolic Profiles and Inhibitory Potential against Digestive Enzymes of 25 Herbal Infusions. Sci. Rep. 2022, 12, 6631. [Google Scholar] [CrossRef]
- Nikonenko, N.A.; Buslov, D.K.; Sushko, N.I.; Zhbankov, R.G. Spectroscopic Manifestation of Stretching Vibrations of Glycosidic Linkage in Polysaccharides. J. Mol. Struct. 2005, 752, 20–24. [Google Scholar] [CrossRef]
- Kim, Y.-M.; Lubinska-Szczygeł, M.; Park, Y.-S.; Deutsch, J.; Ezra, A.; Luksrikul, P.; Beema Shafreen, R.M.; Gorinstein, S. Characterization of Bioactivity of Selective Molecules in Fruit Wines by FTIR and NMR Spectroscopies, Fluorescence and Docking Calculations. Molecules 2023, 28, 6036. [Google Scholar] [CrossRef]
- Gieroba, B.; Kalisz, G.; Krysa, M.; Khalavka, M.; Przekora, A. Application of Vibrational Spectroscopic Techniques in the Study of the Natural Polysaccharides and Their Cross-Linking Process. Int. J. Mol. Sci. 2023, 24, 2630. [Google Scholar] [CrossRef]
- Md Salim, R.; Asik, J.; Sarjadi, M.S. Chemical Functional Groups of Extractives, Cellulose and Lignin Extracted from Native Leucaena Leucocephala Bark. Wood Sci. Technol. 2021, 55, 295–313. [Google Scholar] [CrossRef]
- Nikonenko, N.A.; Buslov, D.K.; Sushko, N.I.; Zhbankov, R.G. Investigation of Stretching Vibrations of Glycosidic Linkages in Disaccharides and Polysaccharides with Use of IR Spectra Deconvolution. Biopolymers 2000, 57, 257–262. [Google Scholar] [CrossRef]
- Renard, C.M.G.C.; Watrelot, A.A.; Le Bourvellec, C. Interactions between Polyphenols and Polysaccharides: Mechanisms and Consequences in Food Processing and Digestion. Trends Food Sci. Technol. 2017, 60, 43–51. [Google Scholar] [CrossRef]
- Invernizzi, C.; Rovetta, T.; Licchelli, M.; Malagodi, M. Mid and Near-Infrared Reflection Spectral Database of Natural Organic Materials in the Cultural Heritage Field. Int. J. Anal. Chem. 2018, 2018, 7823248. [Google Scholar] [CrossRef]
- Shurvell, H.F. Spectra–Structure Correlations in the Mid- and Far-Infrared. In Handbook of Vibrational Spectroscopy; John Wiley & Sons, Ltd.: Hoboken, NJ, USA, 2006; ISBN 978-0-470-02732-5. [Google Scholar]
- Tzeng, H.-P.; Liu, S.-H.; Chiang, M.-T. Antidiabetic Properties of Chitosan and Its Derivatives. Mar. Drugs 2022, 20, 784. [Google Scholar] [CrossRef]
- Gil-Martínez, L.; Aznar-Ramos, M.J.; del Carmen Razola-Diaz, M.; Mut-Salud, N.; Falcón-Piñeiro, A.; Baños, A.; Guillamón, E.; Gómez-Caravaca, A.M.; Verardo, V. Establishment of a Sonotrode Extraction Method and Evaluation of the Antioxidant, Antimicrobial and Anticancer Potential of an Optimized Vaccinium myrtillus L. Leaves Extract as Functional Ingredient. Foods 2023, 12, 1688. [Google Scholar] [CrossRef]
- Pollini, L.; Tringaniello, C.; Ianni, F.; Blasi, F.; Manes, J.; Cossignani, L. Impact of Ultrasound Extraction Parameters on the Antioxidant Properties of Moringa Oleifera Leaves. Antioxidants 2020, 9, 277. [Google Scholar] [CrossRef]
- Cifá, D.; Skrt, M.; Pittia, P.; Di Mattia, C.; Poklar Ulrih, N. Enhanced Yield of Oleuropein from Olive Leaves Using Ultrasound-assisted Extraction. Food Sci. Nutr. 2018, 6, 1128–1137. [Google Scholar] [CrossRef]
- Mitra, P.; Meda, V. Optimization of Microwave-Vacuum Drying Parameters of Saskatoon Berries Using Response Surface Methodology. Dry. Technol. 2009, 27, 1089–1096. [Google Scholar] [CrossRef]
- Zhang, C.; Xin, X.; Zhang, J.; Zhu, S.; Niu, E.; Zhou, Z.; Liu, D. Comparative Evaluation of the Phytochemical Profiles and Antioxidant Potentials of Olive Leaves from 32 Cultivars Grown in China. Molecules 2022, 27, 1292. [Google Scholar] [CrossRef]
- Didur, O.O.; Khromykh, N.O.; Lykholat, T.Y.; Alexeyeva, A.A.; Liashenko, O.V.; Lykholat, Y.V. Comparative Analysis of the Polyphenolic Compounds Accumulation and the Antioxidant Capacity of Fruits of Different Species of the Genus Amelanchier. Agrology 2022, 5, 3–7. [Google Scholar] [CrossRef]
- Szpadzik, E.; Krupa, T. The Yield, Fruit Quality and Some of Nutraceutical Characteristics of Saskatoon Berries (Amelanchier alnifolia Nutt.) in the Conditions of Eastern Poland. Agriculture 2021, 11, 824. [Google Scholar] [CrossRef]
- Lavola, A.; Karjalainen, R.; Julkunen-Tiitto, R. Bioactive Polyphenols in Leaves, Stems, and Berries of Saskatoon (Amelanchier alnifolia Nutt.) Cultivars. J. Agric. Food Chem. 2012, 60, 1020–1027. [Google Scholar] [CrossRef]
- Meczarska, K.; Cyboran-Mikolajczyk, S.; Wloch, A.; Bonarska-Kujawa, D.; Oszmianski, J.; Kleszczynska, H. Polyphenol Content and Bioactivity of Saskatoon (Amelanchier alnifolia Nutt.) Leaves and Berries. Acta Pol. Pharm 2017, 74, 660–669. [Google Scholar]
- Lachowicz, S.; Oszmiański, J.; Seliga, Ł.; Pluta, S. Phytochemical Composition and Antioxidant Capacity of Seven Saskatoon Berry (Amelanchier alnifolia Nutt.) Genotypes Grown in Poland. Molecules 2017, 22, 853. [Google Scholar] [CrossRef]
- Asyakina, L.; Atuchin, V.V.; Drozdova, M.; Kozlova, O.; Prosekov, A. Ex Vivo and in Vitro Antiaging and Antioxidant Extract Activity of the Amelanchier Ovalis From Siberia. Int. J. Mol. Sci. 2022, 23, 15156. [Google Scholar] [CrossRef]
- Sharifi-Rad, M.; Anil Kumar, N.V.; Zucca, P.; Varoni, E.M.; Dini, L.; Panzarini, E.; Rajkovic, J.; Tsouh Fokou, P.V.; Azzini, E.; Peluso, I.; et al. Lifestyle, Oxidative Stress, and Antioxidants: Back and Forth in the Pathophysiology of Chronic Diseases. Front. Physiol. 2020, 11, 694. [Google Scholar] [CrossRef]
- Muscolo, A.; Mariateresa, O.; Giulio, T.; Mariateresa, R. Oxidative Stress: The Role of Antioxidant Phytochemicals in the Prevention and Treatment of Diseases. Int. J. Mol. Sci. 2024, 25, 3264. [Google Scholar] [CrossRef]
- du Preez, R.; Wanyonyi, S.; Mouatt, P.; Panchal, S.K.; Brown, L. Saskatoon Berry Amelanchier Alnifolia Regulates Glucose Metabolism and Improves Cardiovascular and Liver Signs of Diet-Induced Metabolic Syndrome in Rats. Nutrients 2020, 12, 931. [Google Scholar] [CrossRef] [PubMed]
- Zhang, A.J.; Rimando, A.M.; Fish, W.; Mentreddy, S.R.; Mathews, S.T. Serviceberry [Amelanchier Alnifolia (Nutt.) Nutt. Ex. M. Roem (Rosaceae)] Leaf Extract Inhibits Mammalian α-Glucosidase Activity and Suppresses Postprandial Glycemic Response in a Mouse Model of Diet-Induced Obesity and Hyperglycemia. J. Ethnopharmacol. 2012, 143, 481–487. [Google Scholar] [CrossRef] [PubMed]
- Lin, D.; Xiao, M.; Zhao, J.; Li, Z.; Xing, B.; Li, X.; Kong, M.; Li, L.; Zhang, Q.; Liu, Y.; et al. An Overview of Plant Phenolic Compounds and Their Importance in Human Nutrition and Management of Type 2 Diabetes. Molecules 2016, 21, 1374. [Google Scholar] [CrossRef]
- Tajik, N.; Tajik, M.; Mack, I.; Enck, P. The Potential Effects of Chlorogenic Acid, the Main Phenolic Components in Coffee, on Health: A Comprehensive Review of the Literature. Eur. J. Nutr. 2017, 56, 2215–2244. [Google Scholar] [CrossRef]
- Liang, N.; Kitts, D.D. Role of Chlorogenic Acids in Controlling Oxidative and Inflammatory Stress Conditions. Nutrients 2015, 8, 16. [Google Scholar] [CrossRef]
- Nguyen, V.; Taine, E.G.; Meng, D.; Cui, T.; Tan, W. Chlorogenic Acid: A Systematic Review on the Biological Functions, Mechanistic Actions, and Therapeutic Potentials. Nutrients 2024, 16, 924. [Google Scholar] [CrossRef]
- Dubey, S.; Ganeshpurkar, A.; Ganeshpurkar, A.; Bansal, D.; Dubey, N. Glycolytic Enzyme Inhibitory and Antiglycation Potential of Rutin. Future J. Pharm. Sci. 2017, 3, 158–162. [Google Scholar] [CrossRef]
- Borges, P.H.O.; Pedreiro, S.; Baptista, S.J.; Geraldes, C.F.G.C.; Batista, M.T.; Silva, M.M.C.; Figueirinha, A. Inhibition of α-Glucosidase by Flavonoids of Cymbopogon Citratus (DC) Stapf. J. Ethnopharmacol. 2021, 280, 114470. [Google Scholar] [CrossRef]
- Zhu, J.; Chen, C.; Zhang, B.; Huang, Q. The Inhibitory Effects of Flavonoids on α-Amylase and α-Glucosidase. Crit. Rev. Food Sci. Nutr. 2020, 60, 695–708. [Google Scholar] [CrossRef] [PubMed]
- Peng, K.; Li, Y.; Sun, Y.; Xu, W.; Wang, H.; Zhang, R.; Yi, Y. Lotus Root Polysaccharide-Phenol Complexes: Interaction, Structure, Antioxidant, and Anti-Inflammatory Activities. Foods 2023, 12, 577. [Google Scholar] [CrossRef]
- Yuan, W.-P.; Liu, B.; Liu, C.-H.; Wang, X.-J.; Zhang, M.-S.; Meng, X.-M.; Xia, X.-K. Antioxidant Activity of Chito-Oligosaccharides on Pancreatic Islet Cells in Streptozotocin-Induced Diabetes in Rats. World J. Gastroenterol. 2009, 15, 1339–1345. [Google Scholar] [CrossRef]
- Fernandes, P.A.R.; Coimbra, M.A. The Antioxidant Activity of Polysaccharides: A Structure-Function Relationship Overview. Carbohydr. Polym. 2023, 314, 120965. [Google Scholar] [CrossRef]
- Makalani, F.; Khazaei, M.R.; Ghanbari, E.; Khazaei, M.; Makalani, F.; Khazaei, M.R.; Ghanbari, E.; Khazaei, M. Crab Shell Extract Improves Serum Biochemical Markers and Histological Changes of Pancreas in Diabetic Rats. Int. J. Morphol. 2017, 35, 1437–1443. [Google Scholar] [CrossRef]
- Liu, S.H.; Huang, Y.W.; Wu, C.T.; Chiu, C.Y.; Chiang, M.T. Low Molecular Weight Chitosan Accelerates Glucagon-like Peptide-1 Secretion in Human Intestinal Endocrine Cells via a P38-Dependent Pathway. J. Agric. Food Chem. 2013, 61, 4855–4861. [Google Scholar] [CrossRef]
- Zhu, D.; Yan, Q.; Liu, J.; Wu, X.; Jiang, Z. Can Functional Oligosaccharides Reduce the Risk of Diabetes Mellitus? FASEB J. 2019, 33, 11655–11667. [Google Scholar] [CrossRef]
- Gonai, M.; Shigehisa, A.; Kigawa, I.; Kurasaki, K.; Chonan, O.; Matsuki, T.; Yoshida, Y.; Aida, M.; Hamano, K.; Terauchi, Y. Galacto-Oligosaccharides Ameliorate Dysbiotic Bifidobacteriaceae Decline in Japanese Patients with Type 2 Diabetes. Benef. Microbes 2017, 8, 705–716. [Google Scholar] [CrossRef]
- Boyanov, K.O.; Choneva, M.A.; Dimov, I.; Dimitrov, I.V.; Vlaykova, T.I.; Gerginska, F.D.; Delchev, S.D.; Hrischev, P.I.; Georgieva, K.N.; Bivolarska, A.V. Effect of Oligosaccharides on the Antioxidant, Lipid and Inflammatory Profiles of Rats with Streptozotocin-Induced Diabetes Mellitus. Z. Naturforschung C 2022, 77, 379–386. [Google Scholar] [CrossRef]
- Liu, H.; Zhang, Z.; Li, J.; Liu, W.; Warda, M.; Cui, B.; Abd El-Aty, A.M. Oligosaccharides Derived from Lycium Barbarum Ameliorate Glycolipid Metabolism and Modulate the Gut Microbiota Community and the Faecal Metabolites in a Type 2 Diabetes Mouse Model: Metabolomic Bioinformatic Analysis. Food Funct. 2022, 13, 5416–5429. [Google Scholar] [CrossRef] [PubMed]
- Petit, C.; Bujard, A.; Skalicka-Woźniak, K.; Cretton, S.; Houriet, J.; Christen, P.; Carrupt, P.-A.; Wolfender, J.-L. Prediction of the Passive Intestinal Absorption of Medicinal Plant Extract Constituents with the Parallel Artificial Membrane Permeability Assay (PAMPA). Planta Medica 2016, 82, 424–431. [Google Scholar] [CrossRef]
- Abioye, R.O.; Nwamba, O.C.; Okagu, O.D.; Udenigwe, C.C. Synergistic Effect of Acarbose–Chlorogenic Acid on α-Glucosidase Inhibition: Kinetics and Interaction Studies Reveal Mixed-Type Inhibition and Denaturant Effect of Chlorogenic Acid. ACS Food Sci. Technol. 2023, 3, 1255–1268. [Google Scholar] [CrossRef]
- Oboh, G.; Agunloye, O.M.; Adefegha, S.A.; Akinyemi, A.J.; Ademiluyi, A.O. Caffeic and Chlorogenic Acids Inhibit Key Enzymes Linked to Type 2 Diabetes (In Vitro): A Comparative Study. J. Basic Clin. Physiol. Pharmacol. 2015, 26, 165–170. [Google Scholar] [CrossRef] [PubMed]
- Kasprzak-Drozd, K.; Oniszczuk, T.; Stasiak, M.; Oniszczuk, A. Beneficial Effects of Phenolic Compounds on Gut Microbiota and Metabolic Syndrome. Int. J. Mol. Sci. 2021, 22, 3715. [Google Scholar] [CrossRef]
- Sejbuk, M.; Mirończuk-Chodakowska, I.; Karav, S.; Witkowska, A.M. Dietary Polyphenols, Food Processing and Gut Microbiome: Recent Findings on Bioavailability, Bioactivity, and Gut Microbiome Interplay. Antioxidants 2024, 13, 1220. [Google Scholar] [CrossRef]
- Stasiłowicz-Krzemień, A.; Rosiak, N.; Płazińska, A.; Płaziński, W.; Miklaszewski, A.; Tykarska, E.; Cielecka-Piontek, J. Cyclodextrin Derivatives as Promising Solubilizers to Enhance the Biological Activity of Rosmarinic Acid. Pharmaceutics 2022, 14, 2098. [Google Scholar] [CrossRef]
- Sip, S.; Szymanowska, D.; Chanaj-Kaczmarek, J.; Skalicka-Woźniak, K.; Budzyńska, B.; Wronikowska-Denysiuk, O.; Słowik, T.; Szulc, P.; Cielecka-Piontek, J. Potential for Prebiotic Stabilized Cornus mas L. Lyophilized Extract in the Prophylaxis of Diabetes Mellitus in Streptozotocin Diabetic Rats. Antioxidants 2022, 11, 380. [Google Scholar] [CrossRef]
- Sip, S.; Stasiłowicz-Krzemień, A.; Sip, A.; Szulc, P.; Neumann, M.; Kryszak, A.; Cielecka-Piontek, J. Development of Delivery Systems with Prebiotic and Neuroprotective Potential of Industrial-Grade Cannabis sativa L. Molecules 2024, 29, 3574. [Google Scholar] [CrossRef]
- Sip, S.; Sip, A.; Miklaszewski, A.; Żarowski, M.; Cielecka-Piontek, J. Zein as an Effective Carrier for Hesperidin Delivery Systems with Improved Prebiotic Potential. Molecules 2023, 28, 5209. [Google Scholar] [CrossRef] [PubMed]
- Sip, S.; Sip, A.; Szulc, P.; Selwet, M.; Żarowski, M.; Czerny, B.; Cielecka-Piontek, J. Exploring Beneficial Properties of Haskap Berry Leaf Compounds for Gut Health Enhancement. Antioxidants 2024, 13, 357. [Google Scholar] [CrossRef] [PubMed]
Disclaimer/Publisher’s Note: The statements, opinions and data contained in all publications are solely those of the individual author(s) and contributor(s) and not of MDPI and/or the editor(s). MDPI and/or the editor(s) disclaim responsibility for any injury to people or property resulting from any ideas, methods, instructions or products referred to in the content. |
© 2025 by the authors. Licensee MDPI, Basel, Switzerland. This article is an open access article distributed under the terms and conditions of the Creative Commons Attribution (CC BY) license (https://creativecommons.org/licenses/by/4.0/).










