Photobiota of the Tropical Red Sea: Fatty Acid Profile Analysis and Nutritional Quality Assessments
Abstract
1. Introduction
2. Results
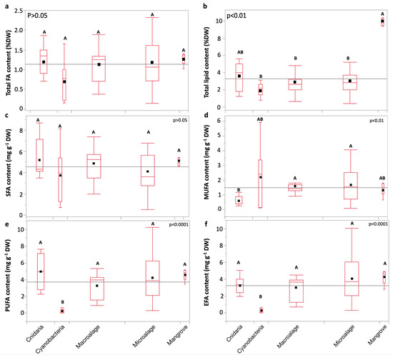
2.1. Interspecific Variations in Fatty Acid Content and Total Lipid Content
2.2. Fatty Acid Profiles
2.3. Nutritional Quality Assessment
2.4. Polyunsaturated Fatty Acid Content and Composition
2.5. Monounsaturated Fatty Acid Content and Composition
2.6. Saturated Fatty Acid Content and Composition
2.7. Comprehensive Intergroup Comparison
3. Discussion
4. Materials and Methods
4.1. Sample Collection and Identfication
4.2. Harvesting and Processing
4.3. Extraction of Total Lipids and FAs Methyl Esters
4.4. Analysis and Quantification of FAME
4.5. Nutraceutical and Pharmaceutical Indexes
4.6. Software and Statistical Analysis
Supplementary Materials
Author Contributions
Funding
Data Availability Statement
Acknowledgments
Conflicts of Interest
Appendix A. Table A1: FA Content and Profiles of Red Sea Organisms
| Ac. hemprichii | Cs. andromeda | Xenia sp. | Av. marina | Halimeda sp. | Padina sp. 1 | Padina sp. 2 | Saragassum sp. | Turbinaria sp. | Polycladia sp. | Amphidinium sp. | ||
| C12:0 | 0.003 ± 0.0 | 0.003 ± 0.0 | n.d. | 0.008 ± 0.0 | 0.087 ± 0.0 | n.d. | 0.001 ± 0.0 | n.d. | n.d. | n.d. | n.d. | |
| C13:0 | 0.066 ± 0.0 | n.d. | 0.019 ± 0.0 | 0.039 ± 0.0 | 0.024 ± 0.0 | n.d. | n.d. | n.d. | n.d. | 0.030 ± 0.0 | 0.040 ± 0.0 | |
| C14:0 | 0.217 ± 0.0 | 0.099 ± 0.0 | 0.054 ± 0.0 | 0.186 ± 0.0 | 0.626 ± 0.1 | 0.999 ± 0.0 | 0.254 ± 0.0 | 0.611 ± 0.0 | 0.432 ± 0.0 | 0.554 ± 0.0 | n.d. | |
| C15:0 | 0.062 ± 0.0 | 0.066 ± 0.0 | 0.046 ± 0.0 | 0.087 ± 0.0 | 0.057 ± 0.0 | 0.163 ± 0.0 | 0.097 ± 0.0 | 0.102 ± 0.0 | 0.116 ± 0.0 | 0.088 ± 0.0 | 0.113 ± 0.0 | |
| C16:0 | 4.081 ± 0.4 | 2.695 ± 0.3 | 1.112 ± 0.0 | 2.780 ± 0.1 | 0.988 ± 0.1 | 5.034 ± 0.0 | 2.130 ± 0.2 | 4.022 ± 0.1 | 3.900 ± 0.1 | 3.637 ± 0.1 | 1.522 ± 0.2 | |
| C17:0 | n.d. | 0.090 ± 0.0 | 0.055 ± 0.0 | 0.301 ± 0.0 | 0.043 ± 0.0 | n.d. | 0.040 ± 0.0 | 0.043 ± 0.0 | 0.057 ± 0.0 | 0.053 ± 0.0 | n.d. | |
| C18:0 | 2.138 ± 0.3 | 1.298 ± 0.1 | 1.802 ± 0.0 | 0.811 ± 0.1 | 0.452 ± 0.1 | 0.659 ± 0.1 | 0.555 ± 0.1 | 0.375 ± 0.1 | 0.462 ± 0.1 | 0.338 ± 0.0 | 0.823 ± 0.2 | |
| C20:0 | 0.252 ± 0.0 | 0.139 ± 0.0 | 0.855 ± 0.0 | 0.305 ± 0.0 | 0.094 ± 0.0 | 0.167 ± 0.0 | 0.129 ± 0.0 | 0.126 ± 0.0 | 0.111 ± 0.0 | 0.109 ± 0.0 | 0.436 ± 0.1 | |
| C21:0 | 0.080 ± 0.0 | n.d. | 0.073 ± 0.0 | 0.068 ± 0.0 | n.d. | n.d. | n.d. | n.d. | n.d. | n.d. | n.d. | |
| C22:0 | 0.227 ± 0.0 | 0.116 ± 0.0 | 0.163 ± 0.0 | 0.213 ± 0.0 | 0.127 ± 0.0 | n.d. | n.d. | 0.178 ± 0.0 | 0.156 ± 0.0 | 0.164 ± 0.0 | 0.267 ± 0.0 | |
| C23:0 | n.d. | n.d. | n.d. | 0.110 ± 0.0 | n.d. | n.d. | n.d. | n.d. | n.d. | n.d. | n.d. | |
| C24:0 | 0.174 ± 0.0 | 0.150 ± 0.0 | n.d. | 0.260 ± 0.0 | 0.325 ± 0.1 | 0.154 ± 0.0 | n.d. | 0.181 ± 0.0 | 0.169 ± 0.0 | 0.175 ± 0.0 | 0.382 ± 0.0 | |
| C14:1 | 0.061 ± 0.0 | n.d. | 0.052 ± 0.0 | 0.048 ± 0.0 | n.d. | n.d. | n.d. | n.d. | n.d. | n.d. | n.d. | |
| C16:1ω7 | 0.224 ± 0.0 | 0.117 ± 0.0 | 0.101 ± 0.0 | 0.080 ± 0.0 | 0.076 ± 0.0 | 0.569 ± 0.0 | 0.171 ± 0.0 | 0.341 ± 0.0 | 0.280 ± 0.0 | 0.315 ± 0.0 | 0.083 ± 0.0 | |
| C18:1ω9 | 0.286 ± 0.0 | 0.187 ± 0.0 | 0.149 ± 0.0 | 1.206 ± 0.3 | 0.153 ± 0.0 | 2.684 ± 0.1 | 0.950 ± 0.1 | 1.224 ± 0.0 | 1.130 ± 0.0 | 0.962 ± 0.0 | 0.314 ± 0.1 | |
| C20:1ω9 | n.d. | n.d. | n.d. | n.d. | 0.082 ± 0.0 | n.d. | n.d. | n.d. | n.d. | n.d. | n.d. | |
| C22:1ω9 | 0.395 ± 0.0 | 0.082 ± 0.0 | 0.093 ± 0.0 | 0.255 ± 0.0 | 0.090 ± 0.0 | 0.087 ± 0.0 | 0.093 ± 0.0 | 0.091 ± 0.0 | 0.099 ± 0.0 | 0.092 ± 0.0 | 0.180 ± 0.0 | |
| C24:1ω9 | n.d. | n.d. | n.d. | n.d. | n.d. | n.d. | n.d. | n.d. | n.d. | n.d. | n.d. | |
| C18:2ω6 | 0.129 ± 0.0 | 0.378 ± 0.0 | 0.508 ± 0.0 | 1.099 ± 0.3 | 0.089 ± 0.0 | 1.437 ± 0.0 | 0.202 ± 0.0 | 0.833 ± 0.0 | 0.692 ± 0.0 | 0.816 ± 0.0 | n.d. | |
| C18:3ω6 | 0.510 ± 0.1 | 0.264 ± 0.0 | 3.282 ± 0.1 | 0.073 ± 0.1 | 0.106 ± 0.0 | 0.501 ± 0.0 | 0.133 ± 0.0 | 0.133 ± 0.0 | 0.154 ± 0.0 | 0.175 ± 0.0 | 0.163 ± 0.0 | |
| C20:2ω6 | 0.151 ± 0.0 | n.d. | 0.220 ± 0.0 | 0.127 ± 0.0 | 0.088 ± 0.0 | n.d. | n.d. | n.d. | n.d. | n.d. | n.d. | |
| C20:3ω6 | 0.136 ± 0.0 | 0.128 ± 0.0 | 0.261 ± 0.0 | 0.107 ± 0.0 | 0.155 ± 0.0 | 0.279 ± 0.0 | 0.172 ± 0.0 | 0.138 ± 0.0 | 0.169 ± 0.0 | 0.138 ± 0.0 | n.d. | |
| C20:4ω6 | 1.491 ± 0.1 | 0.982 ± 0.1 | 1.486 ± 0.0 | 0.941 ± 0.0 | 0.604 ± 0.1 | 1.457 ± 0.0 | 0.436 ± 0.0 | 1.383 ± 0.0 | 1.285 ± 0.0 | 1.075 ± 0.0 | 0.183 ± 0.0 | |
| C22:2ω6 | 0.077 ± 0.0 | n.d. | 0.125 ± 0.0 | 0.123 ± 0.0 | n.d. | n.d. | n.d. | n.d. | n.d. | 0.207 ± 0.0 | n.d. | |
| C18:3ω3 | 0.077 ± 0.0 | 0.146 ± 0.0 | 0.063 ± 0.0 | 2.572 ± 0.6 | 0.077 ± 0.0 | 1.003 ± 0.0 | 0.299 ± 0.0 | 0.980 ± 0.0 | 1.323 ± 0.0 | 1.030 ± 0.0 | 0.138 ± 0.0 | |
| C20:3ω3 | n.d. | n.d. | n.d. | n.d. | n.d. | n.d. | n.d. | n.d. | n.d. | n.d. | n.d. | |
| C20:5ω3 | 1.371 ± 0.1 | 0.170 ± 0.0 | 0.880 ± 0.0 | 0.850 ± 0.0 | 0.095 ± 0.0 | 0.309 ± 0.0 | 0.269 ± 0.0 | 0.364 ± 0.0 | 0.478 ± 0.0 | 0.679 ± 0.0 | 0.704 ± 0.2 | |
| C22:6ω3 | 1.074 ± 0.1 | 0.578 ± 0.1 | 0.486 ± 0.0 | 0.250 ± 0.2 | n.d. | 0.104 ± 0.0 | n.d. | 0.081 ± 0.0 | 0.105 ± 0.0 | 0.130 ± 0.0 | 2.750 ± 0.8 | |
| FA | Prorocentrum sp. | Ch. tenuissimus | Cl.closterium | Leyanella sp. | Minutocellus sp. | Synedra sp. | Thalassiosira sp. | Proteomonas sp. | Tetraselmis sp. | Synechococcus sp. 1 | Synechococcus sp. 2 | Trichodesmium sp. |
| C12:0 | n.d. | n.d. | n.d. | n.d. | n.d. | n.d. | n.d. | 0.081 ± 0.0 | n.d. | n.d. | n.d. | 0.002 ± 0.0 |
| C13:0 | n.d. | 0.043 ± 0.0 | 0.047 ± 0.0 | 0.051 ± 0.0 | 0.048 ± 0.0 | 0.042 ± 0.0 | n.d. | 0.045 ± 0.0 | 0.046 ± 0.0 | 0.049 ± 0.0 | 0.026 ± 0.0 | n.d. |
| C14:0 | 0.017 ± 0.0 | 1.462 ± 0.2 | 2.229 ± 0.1 | 1.874 ± 0.2 | 3.530 ± 0.1 | 3.092 ± 1.0 | 0.553 ± 0.1 | 0.309 ± 0.0 | n.d. | 3.486 ± 1.2 | 2.394 ± 0.2 | 0.121 ± 0.0 |
| C15:0 | 0.091 ± 0.0 | 0.156 ± 0.0 | 0.193 ± 0.0 | 0.200 ± 0.0 | 0.270 ± 0.0 | 0.166 ± 0.0 | 0.164 ± 0.0 | 0.107 ± 0.0 | 0.076 ± 0.0 | 0.088 ± 0.0 | 0.093 ± 0.0 | 0.048 ± 0.0 |
| C16:0 | 0.761 ± 0.0 | 0.913 ± 0.2 | 3.448 ± 0.3 | 2.726 ± 0.4 | 1.513 ± 0.1 | 0.817 ± 0.3 | 1.857 ± 0.2 | 3.132 ± 0.4 | 2.524 ± 0.2 | 2.306 ± 0.7 | 2.047 ± 0.2 | 0.460 ± 0.1 |
| C17:0 | n.d. | n.d. | n.d. | n.d. | n.d. | n.d. | n.d. | 0.092 ± 0.0 | n.d. | n.d. | n.d. | 0.041 ± 0.0 |
| C18:0 | 0.453 ± 0.2 | 0.347 ± 0.1 | 0.314 ± 0.0 | 0.260 ± 0.0 | 0.333 ± 0.0 | 0.466 ± 0.3 | 0.384 ± 0.1 | 0.427 ± 0.0 | 0.208 ± 0.0 | 0.176 ± 0.0 | 0.296 ± 0.1 | 0.438 ± 0.2 |
| C20:0 | 0.166 ± 0.0 | n.d. | n.d. | n.d. | n.d. | n.d. | 0.096 ± 0.0 | 0.182 ± 0.0 | n.d. | n.d. | n.d. | 0.090 ± 0.0 |
| C21:0 | n.d. | n.d. | n.d. | n.d. | n.d. | n.d. | n.d. | n.d. | n.d. | n.d. | n.d. | n.d. |
| C22:0 | 0.228 ± 0.0 | n.d. | n.d. | n.d. | n.d. | n.d. | n.d. | n.d. | n.d. | n.d. | n.d. | n.d. |
| C23:0 | n.d. | n.d. | n.d. | n.d. | n.d. | n.d. | n.d. | n.d. | n.d. | n.d. | n.d. | n.d. |
| C24:0 | n.d. | n.d. | n.d. | 0.875 ± 0.1 | n.d. | n.d. | n.d. | n.d. | n.d. | n.d. | n.d. | n.d. |
| C14:1 | n.d. | n.d. | n.d. | n.d. | 0.088 ± 0.0 | n.d. | n.d. | n.d. | n.d. | 0.140 ± 0.0 | 0.106 ± 0.0 | n.d. |
| C16:1ω7 | 0.083 ± 0.0 | 0.860 ± 0.1 | 2.169 ± 0.1 | 1.994 ± 0.2 | 2.825 ± 0.1 | 1.414 ± 0.5 | 1.203 ± 0.1 | 0.196 ± 0.0 | 0.107 ± 0.0 | 4.423 ± 1.3 | 2.612 ± 0.3 | 0.061 ± 0.0 |
| C18:1ω9 | 0.004 ± 0.0 | 0.729 ± 0.1 | 0.223 ± 0.0 | 0.740 ± 0.1 | 0.971 ± 0.0 | 0.260 ± 0.0 | 0.345 ± 0.0 | 0.522 ± 0.1 | 0.432 ± 0.0 | n.d. | n.d. | 0.027 ± 0.0 |
| C20:1ω9 | n.d. | n.d. | n.d. | n.d. | n.d. | n.d. | n.d. | n.d. | 0.237 ± 0.0 | n.d. | n.d. | n.d. |
| C22:1ω9 | 0.156 ± 0.0 | 0.178 ± 0.0 | 0.167 ± 0.0 | 0.168 ± 0.0 | 0.178 ± 0.0 | 0.170 ± 0.0 | 0.095 ± 0.0 | 0.163 ± 0.0 | n.d. | n.d. | n.d. | 0.082 ± 0.0 |
| C24:1ω9 | n.d. | 0.224 ± 0.0 | n.d. | n.d. | n.d. | n.d. | n.d. | n.d. | n.d. | n.d. | n.d. | n.d. |
| C18:2ω6 | n.d. | 0.677 ± 0.1 | 0.839 ± 0.0 | 1.855 ± 0.2 | 0.335 ± 0.0 | 0.991 ± 0.3 | 0.351 ± 0.1 | 0.322 ± 0.0 | 0.158 ± 0.0 | n.d. | n.d. | 0.083 ± 0.0 |
| C18:3ω6 | n.d. | 0.161 ± 0.0 | 0.196 ± 0.0 | 0.220 ± 0.0 | 0.178 ± 0.0 | 0.183 ± 0.0 | n.d. | 0.197 ± 0.0 | n.d. | n.d. | n.d. | n.d. |
| C20:2ω6 | n.d. | n.d. | n.d. | n.d. | n.d. | n.d. | n.d. | n.d. | n.d. | n.d. | n.d. | n.d. |
| C20:3ω6 | n.d. | n.d. | 0.164 ± 0.0 | n.d. | 0.184 ± 0.0 | n.d. | n.d. | n.d. | n.d. | n.d. | n.d. | n.d. |
| C20:4ω6 | n.d. | 0.155 ± 0.0 | 0.276 ± 0.0 | 0.161 ± 0.0 | 0.200 ± 0.0 | 0.163 ± 0.0 | 0.101 ± 0.0 | 0.158 ± 0.0 | n.d. | n.d. | n.d. | 0.084 ± 0.0 |
| C22:2ω6 | n.d. | n.d. | n.d. | n.d. | n.d. | n.d. | n.d. | n.d. | n.d. | n.d. | n.d. | n.d. |
| C18:3ω3 | 0.133 ± 0.0 | 0.153 ± 0.0 | 0.134 ± 0.0 | 0.143 ± 0.0 | 0.137 ± 0.0 | 0.138 ± 0.0 | 0.109 ± 0.0 | 2.117 ± 0.2 | 1.355 ± 0.1 | 0.133 ± 0.0 | 0.091 ± 0.0 | 0.115 ± 0.0 |
| C20:3ω3 | n.d. | n.d. | n.d. | n.d. | n.d. | n.d. | n.d. | n.d. | 0.164 ± 0.0 | n.d. | n.d. | n.d. |
| C20:5ω3 | 0.179 ± 0.0 | 2.086 ± 0.3 | 1.930 ± 0.1 | 6.695 ± 0.8 | 5.904 ± 0.0 | 2.808 ± 1.1 | 0.887 ± 0.1 | 1.278 ± 0.2 | 1.439 ± 0.1 | n.d. | n.d. | 0.130 ± 0.0 |
| C22:6ω3 | 0.167 ± 0.0 | 0.222 ± 0.0 | 0.618 ± 0.0 | n.d. | 0.673 ± 0.0 | 0.554 ± 0.2 | 0.255 ± 0.0 | 1.312 ± 0.2 | n.d. | n.d. | n.d. | 0.145 ± 0.0 |
References
- Twining, C.W.; Bernhardt, J.R.; Derry, A.M.; Hudson, C.M.; Ishikawa, A.; Kabeya, N.; Kainz, M.J.; Kitano, J.; Kowarik, C.; Ladd, S.N.; et al. The evolutionary ecology of fatty-acid variation: Implications for consumer adaptation and diversification. Ecol. Lett. 2021, 24, 1709–1731. [Google Scholar] [CrossRef] [PubMed]
- Galloway, A.W.E.; Budge, S.M. The critical importance of experimentation in biomarker-based trophic ecology. Philos. Trans. R. Soc. B Biol. Sci. 2020, 375, 20190638. [Google Scholar] [CrossRef] [PubMed]
- Cañavate, J.P. Advancing assessment of marine phytoplankton community structure and nutritional value from fatty acid profiles of cultured microalgae. Rev. Aquac. 2019, 11, 527–549. [Google Scholar] [CrossRef]
- Chen, J.; Liu, H. Nutritional Indices for Assessing Fatty Acids: A Mini-Review. Int. J. Mol. Sci. 2020, 21, 5695. [Google Scholar] [CrossRef]
- Rincon-Cervera, M.A.; Gonzalez-Barriga, V.; Romero, J.; Rojas, R.; Lopez-Arana, S. Quantification and Distribution of Omega-3 Fatty Acids in South Pacific Fish and Shellfish Species. Foods 2020, 9, 233. [Google Scholar] [CrossRef]
- Zisis, F.; Kyriakaki, P.; Satolias, F.F.; Mavrommatis, A.; Simitzis, P.E.; Pappas, A.C.; Surai, P.F.; Tsiplakou, E. The Effect of Dietary Inclusion of Microalgae Schizochytrium spp. on Ewes’ Milk Quality and Oxidative Status. Foods 2022, 11, 2950. [Google Scholar] [CrossRef]
- Waehler, R. Fatty acids: Facts vs. fiction. Int. J. Vitam. Nutr. Res. 2021, 93, 268–288. [Google Scholar] [CrossRef]
- Khan, I.; Hussain, M.; Jiang, B.; Zheng, L.; Pan, Y.; Hu, J.; Khan, A.; Ashraf, A.; Zou, X. Omega-3 long-chain polyunsaturated fatty acids: Metabolism and health implications. Prog. Lipid Res. 2023, 92, 101255. [Google Scholar] [CrossRef]
- Djuricic, I.; Calder, P.C. Beneficial Outcomes of Omega-6 and Omega-3 Polyunsaturated Fatty Acids on Human Health: An Update for 2021. Nutrients 2021, 13, 2421. [Google Scholar] [CrossRef]
- Moltu, S.J.; Nordvik, T.; Rossholt, M.E.; Wendel, K.; Chawla, M.; Server, A.; Gunnarsdottir, G.; Pripp, A.H.; Domellof, M.; Bratlie, M.; et al. Arachidonic and docosahexaenoic acid supplementation and brain maturation in preterm infants; a double blind RCT. Clin. Nutr. 2024, 43, 176–186. [Google Scholar] [CrossRef]
- Kelaiditis, C.F.; Gibson, E.L.; Dyall, S.C. Effects of long-chain omega-3 polyunsaturated fatty acids on reducing anxiety and/or depression in adults; A systematic review and meta-analysis of randomised controlled trials. Prostaglandins Leukot. Essent. Fat. Acids 2023, 192, 102572. [Google Scholar] [CrossRef] [PubMed]
- Shanab, S.M.M.; Hafez, R.M.; Fouad, A.S. A review on algae and plants as potential source of arachidonic acid. J. Adv. Res. 2018, 11, 3–13. [Google Scholar] [CrossRef] [PubMed]
- Jonasdottir, S.H. Fatty Acid Profiles and Production in Marine Phytoplankton. Mar. Drugs 2019, 17, 151. [Google Scholar] [CrossRef] [PubMed]
- Guo, F.; Lee, S.Y.; Kainz, M.J.; Brett, M.T. Fatty acids as dietary biomarkers in mangrove ecosystems: Current status and future perspective. Sci. Total Environ. 2020, 739, 139907. [Google Scholar] [CrossRef]
- Simopoulos, A.P. An Increase in the Omega-6/Omega-3 Fatty Acid Ratio Increases the Risk for Obesity. Nutrients 2016, 8, 128. [Google Scholar] [CrossRef]
- Simopoulos, A.P. Human Requirement for N-3 Polyunsaturated Fatty Acids. Poult. Sci. 2000, 79, 961–970. [Google Scholar] [CrossRef]
- Gladyshev, M.I.; Sushchik, N.N.; Makhutova, O.N. Production of EPA and DHA in aquatic ecosystems and their transfer to the land. Prostaglandins Other Lipid Mediat. 2013, 107, 117–126. [Google Scholar] [CrossRef]
- Huang, C.B.; Ebersole, J.L. A novel bioactivity of omega-3 polyunsaturated fatty acids and their ester derivatives. Mol. Oral Microbiol. 2010, 25, 75–80. [Google Scholar] [CrossRef]
- Alsenani, F.; Tupally, K.R.; Chua, E.T.; Eltanahy, E.; Alsufyani, H.; Parekh, H.S.; Schenk, P.M. Evaluation of microalgae and cyanobacteria as potential sources of antimicrobial compounds. Saudi Pharm. J. 2020, 28, 1834–1841. [Google Scholar] [CrossRef]
- Peris-Martinez, C.; Pia-Ludena, J.V.; Rog-Revert, M.J.; Fernandez-Lopez, E.; Domingo, J.C. Antioxidant and Anti-Inflammatory Effects of Oral Supplementation with a Highly-Concentrated Docosahexaenoic Acid (DHA) Triglyceride in Patients with Keratoconus: A Randomized Controlled Preliminary Study. Nutrients 2023, 15, 1300. [Google Scholar] [CrossRef]
- Guo, C.H.; Hsia, S.M.; Chung, C.H.; Lin, Y.C.; Shih, M.Y.; Chen, P.C.; Peng, C.L.; Henning, S.M.; Hsu, G.S.W.; Li, Z.P. Nutritional supplements in combination with chemotherapy or targeted therapy reduces tumor progression in mice bearing triple-negative breast cancer. J. Nutr. Biochem. 2021, 87, 108504. [Google Scholar] [CrossRef]
- Kumari, P.; Kumar, M.; Gupta, V.; Reddy, C.R.K.; Jha, B. Tropical marine macroalgae as potential sources of nutritionally important PUFAs. Food Chem. 2010, 120, 749–757. [Google Scholar] [CrossRef]
- Shoubaky, G.A.E.; Salem, E.A.E.R. Active ingredients fatty acids as antibacterial agent from the brown algae Padina pavonica and Hormophysa triquetra. J. Coast. Life Med. 2014, 2, 535–542. [Google Scholar] [CrossRef]
- Al-Saif, S.; Abdel-Raouf, N.; El-Wazanani, H.A.; Aref, I.A. Antibacterial substances from marine algae isolated from Jeddah coast of Red sea, Saudi Arabia. Saudi J. Biol. Sci. 2014, 21, 57–64. [Google Scholar] [CrossRef] [PubMed]
- Hixson, S.M.; Arts, M.T. Climate warming is predicted to reduce omega-3, long-chain, polyunsaturated fatty acid production in phytoplankton. Glob. Chang. Biol. 2016, 22, 2744–2755. [Google Scholar] [CrossRef]
- Holm Henry, C.; Fredricks Helen, F.; Bent Shavonna, M.; Lowenstein Daniel, P.; Ossolinski Justin, E.; Becker Kevin, W.; Johnson Winifred, M.; Schrage, K.; Van Mooy Benjamin, A.S. Global ocean lipidomes show a universal relationship between temperature and lipid unsaturation. Science 2022, 376, 1487–1491. [Google Scholar] [CrossRef]
- Colombo, S.M.; Wacker, A.; Parrish, C.C.; Kainz, M.J.; Arts, M.T. A fundamental dichotomy in long-chain polyunsaturated fatty acid abundance between and within marine and terrestrial ecosystems. Environ. Rev. 2017, 25, 163–174. [Google Scholar] [CrossRef]
- Tittensor, D.P.; Mora, C.; Jetz, W.; Lotze, H.K.; Ricard, D.; Berghe, E.V.; Worm, B. Global patterns and predictors of marine biodiversity across taxa. Nature 2010, 466, 1098–1101. [Google Scholar] [CrossRef]
- Kerswell, A.P. Global biodiversity patterns of benthic marine algae. Ecology 2006, 87, 2479–2488. [Google Scholar] [CrossRef]
- Barton, A.D.; Dutkiewicz, S.; Flierl, G.; Bragg, J.; Follows, M.J. Patterns of Diversity in Marine Phytoplankton. Science 2010, 327, 1509–1511. [Google Scholar] [CrossRef]
- Righetti, D.; Vogt, M.; Gruber, N.; Psomas, A.; Zimmermann, N.E. Global pattern of phytoplankton diversity driven by temperature and environmental variability. Sci. Adv. 2019, 5, eaau6253. [Google Scholar] [CrossRef] [PubMed]
- Marzetz, V.; Koussoroplis, A.M.; Martin-Creuzburg, D.; Striebel, M.; Wacker, A. Linking primary producer diversity and food quality effects on herbivores: A biochemical perspective. Sci. Rep. 2017, 7, 11035. [Google Scholar] [CrossRef] [PubMed]
- Young, R.N. Importance of biodiversity to the modern pharmaceutical industry. Pure Appl. Chem. 1999, 71, 1655–1661. [Google Scholar] [CrossRef][Green Version]
- Chandini, S.; Ponesakki, G.; Suresh, P.V.; Bhaskar, N. Seaweeds as a source of nutritionally beneficial compounds—A review. J. Food Sci. Technol. -Mysore- 2008, 45, 1–13. [Google Scholar]
- Sonnewald, M.; El-Sherbiny, M.M. Editorial: Red Sea biodiversity. Mar. Biodivers. 2017, 47, 991–993. [Google Scholar] [CrossRef]
- Roberts, C.M.; McClean, C.J.; Veron, J.E.N.; Hawkins, J.P.; Allen, G.R.; McAllister, D.E.; Mittermeier, C.G.; Schueler, F.W.; Spalding, M.; Wells, F.; et al. Marine Biodiversity Hotspots and Conservation Priorities for Tropical Reefs. Science 2002, 295, 1280–1284. [Google Scholar] [CrossRef]
- Berumen, M.L.; Voolstra, C.R.; Daffonchio, D.; Agusti, S.; Aranda, M.; Irigoien, X.; Jones, B.H.; Morán, X.A.G.; Duarte, C.M. The Red Sea: Environmental Gradients Shape a Natural Laboratory in a Nascent Ocean. In Coral Reefs of the Red Sea; Voolstra, C.R., Berumen, M.L., Eds.; Springer International Publishing: Cham, Switzerland, 2019; pp. 1–10. [Google Scholar] [CrossRef]
- Manzelat, S.; Mufarrah, A.; Hasan, A.; Ali, N. Macro algae of the Red Sea from Jizan, Saudi Arabia. Phykos 2018, 48, 88–108. [Google Scholar] [CrossRef]
- Galal El-Din Thabet Shams El-Din, N.; Rashedy, S.H. Biodiversity of Seaweeds in the Red Sea. In Biodiversity of Seaweeds in the Egyptian Marine Waters: The Mediterranean Sea, Red Sea and Suez Canal; Galal El-Din Thabet Shams El-Din, N., Rashedy, S.H., Eds.; Springer Nature: Cham, Switzerland, 2023; pp. 105–199. [Google Scholar] [CrossRef]
- Prabowo, D.A.; Agusti, S. Free-living dinoflagellates of the central Red Sea, Saudi Arabia: Variability, new records and potentially harmful species. Mar. Pollut. Bull. 2019, 141, 629–648. [Google Scholar] [CrossRef]
- Nassar, M.Z.; Khairy, H.M. Checklist of phytoplankton species in the Egyptian waters of the Red Sea and some surrounding habitats (1990–2010). Ann. Res. Rev. Biol. 2014, 4, 3566–3585. [Google Scholar] [CrossRef]
- Angulo-Preckler, C.; Hempel, C.; Frappi, S.; Lim, K.K.; Terraneo, T.; Steinke, D.; Rabaoui, L.J.; Benzoni, F.; Duarte, C.M. Unveiling biodiversity: The current status of marine species barcoding in Red Sea Metazoans. Glob. Ecol. Conserv. 2024, 56, e03339. [Google Scholar] [CrossRef]
- Chaidez, V.; Dreano, D.; Agusti, S.; Duarte, C.M.; Hoteit, I. Decadal trends in Red Sea maximum surface temperature. Sci. Rep. 2017, 7, 8144. [Google Scholar] [CrossRef] [PubMed]
- Regaudie-de-Gioux, A.; Duarte, C.M. Temperature dependence of planktonic metabolism in the ocean. Glob. Biogeochem. Cycles 2012, 26, 1015. [Google Scholar] [CrossRef]
- Jin, P.; Gonzàlez, G.; Agustí, S. Long-term exposure to increasing temperature can offset predicted losses in marine food quality (fatty acids) caused by ocean warming. Evol. Appl. 2020, 13, 2497–2506. [Google Scholar] [CrossRef] [PubMed]
- Papina, M.; Meziane, T.; van Woesik, R. Symbiotic zooxanthellae provide the host-coral Montipora digitata with polyunsaturated fatty acids. Comp. Biochem. Physiol. Part B Biochem. Mol. Biol. 2003, 135, 533–537. [Google Scholar] [CrossRef]
- Allakhverdiev, S.I.; Nishiyama, Y.; Suzuki, I.; Tasaka, Y.; Murata, N. Genetic engineering of the unsaturation of fatty acids in membrane lipids alters the tolerance of Synechocystis to salt stress. Proc. Natl. Acad. Sci. USA 1999, 96, 5862–5867. [Google Scholar] [CrossRef]
- Al-Adali, K.; Ahmed, E.; Kumar, P.; Ayaril, N. Effect of Salinity, Temperature, Nutrients and CO2 on Growth of Two Species of Microalgae from Red Sea, Saudi Arabia. J. King Abdulaziz Univ.-Mar. Sci. 2012, 23, 57. [Google Scholar] [CrossRef]
- Malibari, R.; Sayegh, F.; Elazzazy, A.M.; Baeshen, M.N.; Dourou, M.; Aggelis, G. Reuse of shrimp farm wastewater as growth medium for marine microalgae isolated from Red Sea—Jeddah. J. Clean. Prod. 2018, 198, 160–169. [Google Scholar] [CrossRef]
- Almutairi, A.W. Evaluation of halophilic microalgae isolated from Rabigh Red Sea coastal area for biodiesel production: Screening and biochemical studies. Saudi J. Biol. Sci. 2022, 29, 103339. [Google Scholar] [CrossRef]
- Abomohra, A.E.; El-Naggar, A.H.; Alaswad, S.O.; Elsayed, M.; Li, M.; Li, W. Enhancement of biodiesel yield from a halophilic green microalga isolated under extreme hypersaline conditions through stepwise salinity adaptation strategy. Bioresour. Technol. 2020, 310, 123462. [Google Scholar] [CrossRef]
- Pereira, H.; Barreira, L.; Custodio, L.; Alrokayan, S.; Mouffouk, F.; Varela, J.; Abu-Salah, K.M.; Ben-Hamadou, R. Isolation and Fatty Acid Profile of Selected Microalgae Strains from the Red Sea for Biofuel Production. Energies 2013, 6, 2773–2783. [Google Scholar] [CrossRef]
- Hagar Kamal, A.; Samia, H.; Abdel-Hamied Mohammed, R.; Gihan Ahmed El, S. Fatty acids composition and profiling of nine abundant marine Macroalgae, Egypt. GSC Biol. Pharm. Sci. 2023, 24, 99–109. [Google Scholar] [CrossRef]
- EL-Shafay, S.M. Biochemical Composition of Some Seaweed From Hurghada Coastal Along Red Sea Coastal, Egypt. Int. J. Basic Appl. Sci. 2014, 14, 29–35. [Google Scholar]
- Omar, H.H.; Abdullatif, B.M.; El-Kazan, M.M.; El-Gendy, A.M. Red Sea Water and Biochemical Composition of Seaweeds at Southern Coast of Jeddah, Saudi Arabia. Life Sci. J. 2013, 13, 1073–1080. [Google Scholar]
- Kamal, M.; Abdel-Raouf, N.; Alwutayd, K.; AbdElgawad, H.; Abdelhameed, M.S.; Hammouda, O.; Elsayed, K.N.M. Seasonal Changes in the Biochemical Composition of Dominant Macroalgal Species along the Egyptian Red Sea Shore. Biology 2023, 12, 411. [Google Scholar] [CrossRef]
- Al-Sofyani, A.A.; Niaz, G.R. A comparative study of the components of the hard coral Seriatopora hystrix and the soft coral Xenia umbellata along the Jeddah coast, Saudi Arabia. Rev. De Biol. Mar. Y Oceanogr. 2007, 42, 207–219. [Google Scholar] [CrossRef]
- Naggar, M.E.E.E.; El-Shora, H.M.; Shaaban-Dessouki, S.A.; Zaid, A.M. Fatty acid composition of sargassum denticulatum and s. latifouum as in- fluenced by the time of collection and the plant organ. Qatar Univ. Sci. J. 1995, 15, 95–100. [Google Scholar]
- De Domenico, S.; De Rinaldis, G.; Mammone, M.; Bosch-Belmar, M.; Piraino, S.; Leone, A. The Zooxanthellate Jellyfish Holobiont Cassiopea andromeda, a Source of Soluble Bioactive Compounds. Mar. Drugs 2023, 21, 272. [Google Scholar] [CrossRef]
- Imbs, A.B.; Yakovleva, I.M.; Pham, L.Q. Distribution of lipids and fatty acids in the zooxanthellae and host of the soft coral Sinularia sp. Fish. Sci. 2010, 76, 375–380. [Google Scholar] [CrossRef]
- Mortillaro, J.M.; Pitt, K.A.; Lee, S.Y.; Meziane, T. Light intensity influences the production and translocation of fatty acids by zooxanthellae in the jellyfish Cassiopea sp. J. Exp. Mar. Biol. Ecol. 2009, 378, 22–30. [Google Scholar] [CrossRef]
- Awai, K.; Matsuoka, R.; Shioi, Y. Lipid and fatty acid compositions of Symbiodinium strains. In Proceedings of the 12th International Coral Reef Symposium, Cairns, Australia, 9–13 July 2012. [Google Scholar]
- Al-Mur, B.A. Biological Activities of Avicennia marina Roots and Leaves Regarding Their Chemical Constituents. Arab. J. Sci. Eng. 2021, 46, 5407–5419. [Google Scholar] [CrossRef]
- Sbrizzi, S.; Mitchell, N.; Campbell, L.G.; Arts, M.T.; Morris, E.; Borsato, N.; Colombo, S.M. A phylogenetic approach for identifying new sources of economically important fatty acids in plants and algae. Plants People Planet 2024, 6, 1358–1371. [Google Scholar] [CrossRef]
- Bergé, J.P.; Barnathan, G. Fatty acids from lipids of marine organisms: Molecular biodiversity, roles as biomarkers, biologically active compounds, and economical aspects. Adv. Biochem. Eng. Biotechnol. 2005, 96, 49–125. [Google Scholar] [CrossRef] [PubMed]
- Montone, C.M.; Aita, S.E.; Catani, M.; Cavaliere, C.; Cerrato, A.; Piovesana, S.; Laganà, A.; Capriotti, A.L. Profiling and quantitative analysis of underivatized fatty acids in Chlorella vulgaris microalgae by liquid chromatography-high resolution mass spectrometry. J. Sep. Sci. 2021, 44, 3041–3051. [Google Scholar] [CrossRef] [PubMed]
- Hon, G.M.; Abel, S.; Smuts, C.M.; Jaarsveld, P.v.; Hassan, M.S.; Rensburg, S.J.v.; Erasmus, R.T.; Matsha, T. Gas Chromatography Results Interpretation: Absolute Amounts Versus Relative Percentages. In Gas Chromatography; Bekir, S., Elikb, A.K., Eds.; IntechOpen: Rijeka, Croatia, 2012. [Google Scholar] [CrossRef]
- Meziane, T.; Lee, S.Y.; Mfilinge, P.L.; Shin, P.K.S.; Lam, M.H.W.; Tsuchiya, M. Inter-specific and geographical variations in the fatty acid composition of mangrove leaves: Implications for using fatty acids as a taxonomic tool and tracers of organic matter. Mar. Biol. 2006, 150, 1103–1113. [Google Scholar] [CrossRef]
- Shilla, D.; Routh, J. Using biochemical and isotopic tracers to characterise organic matter sources and their incorporation into estuarine food webs (Rufiji delta, Tanzania). Chem. Ecol. 2017, 33, 893–917. [Google Scholar] [CrossRef]
- Alfaro, A.C.; Thomas, F.; Sergent, L.; Duxbury, M. Identification of trophic interactions within an estuarine food web (northern New Zealand) using fatty acid biomarkers and stable isotopes. Estuar. Coast. Shelf Sci. 2006, 70, 271–286. [Google Scholar] [CrossRef]
- Jiang, Y.; Fan, K.-W.; Tsz-Yeung Wong, R.; Chen, F. Fatty Acid Composition and Squalene Content of the Marine Microalga Schizochytrium mangrovei. J. Agric. Food Chem. 2004, 52, 1196–1200. [Google Scholar] [CrossRef]
- Fan, K.W.; Jiang, Y.; Faan, Y.W.; Chen, F. Lipid characterization of mangrove thraustochytrid--Schizochytrium mangrovei. J. Agric. Food Chem. 2007, 55, 2906–2910. [Google Scholar] [CrossRef]
- Beca-Carretero, P.; Guihéneuf, F.; Marín-Guirao, L.; Bernardeau-Esteller, J.; García-Muñoz, R.; Stengel, D.B.; Ruiz, J.M. Effects of an experimental heat wave on fatty acid composition in two Mediterranean seagrass species. Mar. Pollut. Bull. 2018, 134, 27–37. [Google Scholar] [CrossRef]
- Duarte, B.; Matos, A.R.; Pedro, S.; Marques, J.C.; Adão, H.; Caçador, I. Dwarf eelgrass (Zostera noltii) leaf fatty acid profile during a natural restoration process: Physiological and ecological implications. Ecol. Indic. 2019, 106, 105452. [Google Scholar] [CrossRef]
- Abdel-Wahab, M.A.; El-Samawaty, A.E.-R.M.A.; Elgorban, A.M.; Bahkali, A.H. Utilization of low-cost substrates for the production of high biomass, lipid and docosahexaenoic acid (DHA) using local native strain Aurantiochytrium sp. YB-05. J. King Saud Univ.—Sci. 2022, 34, 102224. [Google Scholar] [CrossRef]
- Waleed, T.A.; Abdel-Maksoud, Y.K.; Kanwar, R.S.; Sewilam, H. Mangroves in Egypt and the Middle East: Current status, threats, and opportunities. Int. J. Environ. Sci. Technol. 2024, 22, 1225–1262. [Google Scholar] [CrossRef]
- Bandaranayake, W.M. Traditional and medicinal uses of mangroves. Mangroves Salt Marshes 1998, 2, 133–148. [Google Scholar] [CrossRef]
- Thatoi, H.; Samantaray, D.; Das, S.K. The genus Avicennia, a pioneer group of dominant mangrove plant species with potential medicinal values: A review. Front. Life Sci. 2016, 9, 267–291. [Google Scholar] [CrossRef]
- Ibrahim, H.A.H.; Abdel-Latif, H.H.; Zaghloul, E.H. Phytochemical composition of Avicennia marina leaf extract, its antioxidant, antimicrobial potentials and inhibitory properties on Pseudomonas fluorescens biofilm. Egypt. J. Aquat. Res. 2022, 48, 29–35. [Google Scholar] [CrossRef]
- Los, D.A.; Mironov, K.S. Modes of Fatty Acid desaturation in cyanobacteria: An update. Life 2015, 5, 554–567. [Google Scholar] [CrossRef]
- Post, A.F.; Dedej, Z.; Gottlieb, R.; Li, H.; Thomas, D.N. Spatial and temporal distribution of Trichodesmium spp. in the stratified Gulf of Aqaba, Red Sea. Mar. Ecol. Prog. Ser. 2002, 239, 241–250. [Google Scholar] [CrossRef]
- Tocher, D.; Leaver, M.; Hodgson, P. Recent advances in the biochemistry and molecular biology of fatty acyl desaturases. Prog. Lipid Res. 1998, 37, 73–117. [Google Scholar] [CrossRef]
- Santos-Merino, M.; Gutiérrez-Lanza, R.; Nogales, J.; García, J.L.; de la Cruz, F. Synechococcus elongatus PCC 7942 as a Platform for Bioproduction of Omega-3 Fatty Acids. Life 2022, 12, 810. [Google Scholar] [CrossRef]
- Patil, V.; Källqvist, T.; Olsen, E.; Vogt, G.; Gislerød, H.R. Fatty acid composition of 12 microalgae for possible use in aquaculture feed. Aquac. Int. 2007, 15, 1–9. [Google Scholar] [CrossRef]
- Holton, R.W.; Blecker, H.H.; Stevens, T.S. Fatty Acids in Blue-Green Algae: Possible Relation to Phylogenetic Position. Science 1968, 160, 545–547. [Google Scholar] [CrossRef] [PubMed]
- Carpenter, E.J.; Harvey, H.R.; Fry, B.; Capone, D.G. Biogeochemical tracers of the marine cyanobacterium Trichodesmium. Deep Sea Res. Part I Oceanogr. Res. Pap. 1997, 44, 27–38. [Google Scholar] [CrossRef]
- Parker, P.L.; Van Baalen, C.; Maurer, L. Fatty Acids in Eleven Species of Blue-Green Algae: Geochemical Significance. Science 1967, 155, 707–708. [Google Scholar] [CrossRef] [PubMed]
- Leu, E.; Wängberg, S.-Å.; Wulff, A.; Falk-Petersen, S.; Børre Ørbæk, J.; Hessen, D.O. Effects of changes in ambient PAR and UV radiation on the nutritional quality of an Arctic diatom (Thalassiosira antarctica var. borealis). J. Exp. Mar. Biol. Ecol. 2006, 337, 65–81. [Google Scholar] [CrossRef]
- Shishlyannikov, S.M.; Klimenkov, I.V.; Bedoshvili, Y.D.; Mikhailov, I.S.; Gorshkov, A.G. Effect of mixotrophic growth on the ultrastructure and fatty acid composition of the diatom Synedra acus from Lake Baikal. J. Biol. Res. 2014, 21, 1–8. [Google Scholar] [CrossRef]
- Almeyda, M.D.; Scodelaro Bilbao, P.G.; Popovich, C.A.; Constenla, D.; Leonardi, P.I. Enhancement of polyunsaturated fatty acid production under low-temperature stress in Cylindrotheca closterium. J. Appl. Phycol. 2020, 32, 989–1001. [Google Scholar] [CrossRef]
- Salvador López, J.M.; Vandeputte, M.; Van Bogaert, I.N.A. Oleaginous yeasts: Time to rethink the definition? Yeast 2022, 39, 553–606. [Google Scholar] [CrossRef]
- De Rinaldis, G.; Leone, A.; De Domenico, S.; Bosch-Belmar, M.; Slizyte, R.; Milisenda, G.; Santucci, A.; Albano, C.; Piraino, S. Biochemical Characterization of Cassiopea andromeda (Forsskål, 1775), Another Red Sea Jellyfish in the Western Mediterranean Sea. Mar. Drugs 2021, 19, 498. [Google Scholar] [CrossRef]
- Jamarun, N.; Pazla, R.; Jayanegara, A.; Yanti, G. Chemical composition and rumen fermentation profile of mangrove leaves (Avicennia marina) from West Sumatra, Indonesia. Biodiversitas J. Biol. Divers. 2020, 21, 5–12. [Google Scholar] [CrossRef]
- Guschina, I.A.; Harwood, J.L. Algal lipids and effect of the environment on their biochemistry. In Lipids in Aquatic Ecosystems; Springer: New York, NY, USA, 2009; pp. 1–24. [Google Scholar] [CrossRef]
- Galloway, A.W.; Winder, M. Partitioning the Relative Importance of Phylogeny and Environmental Conditions on Phytoplankton Fatty Acids. PLoS ONE 2015, 10, e0130053. [Google Scholar] [CrossRef]
- Lowndes, A.G. Percentage of Water in Jelly-Fish. Nature 1942, 150, 234–235. [Google Scholar] [CrossRef]
- Oku, H.; Baba, S.; Koga, H.; Takara, K.; Iwasaki, H. Lipid composition of mangrove and its relevance to salt tolerance. J. Plant Res. 2003, 116, 37–45. [Google Scholar] [CrossRef] [PubMed]
- Brown, M.R.; Dunstan, G.A.; Norwood, S.J.; Miller, K.A. Effects of harvest stage and light on the biochemical composition of the diatom Thalassiosira pseudonana 1. J. Phycol. 1996, 32, 64–73. [Google Scholar] [CrossRef]
- Taipale, S.; Peltomaa, E.; Salmi, P. Variation in omega-3 and omega-6 Polyunsaturated Fatty Acids Produced by Different Phytoplankton Taxa at Early and Late Growth Phase. Biomolecules 2020, 10, 559. [Google Scholar] [CrossRef]
- Tsai, C.H.; Zienkiewicz, K.; Amstutz, C.L.; Brink, B.G.; Warakanont, J.; Roston, R.; Benning, C. Dynamics of protein and polar lipid recruitment during lipid droplet assembly in Chlamydomonas reinhardtii. Plant J. 2015, 83, 650–660. [Google Scholar] [CrossRef]
- Weng, L.-C.; Pasaribu, B.; Ping Lin, I.; Tsai, C.-H.; Chen, C.-S.; Jiang, P.-L. Nitrogen Deprivation Induces Lipid Droplet Accumulation and Alters Fatty Acid Metabolism in Symbiotic Dinoflagellates Isolated from Aiptasia pulchella. Sci. Rep. 2014, 4, 5777. [Google Scholar] [CrossRef]
- Hazel, J.R. Thermal Adaptation in Biological Membranes: Is Homeoviscous Adaptation the Explanation? Annu. Rev. Physiol. 1995, 57, 19–42. [Google Scholar] [CrossRef]
- Sinensky, M. Homeoviscous adaptation—A homeostatic process that regulates the viscosity of membrane lipids in Escherichia coli. Proc. Natl. Acad. Sci. USA 1974, 71, 522–525. [Google Scholar] [CrossRef]
- Crossland, C.J.; Barnes, D.J.; Borowitzka, M.A. Diurnal lipid and mucus production in the staghorn coral Acropora acuminata. Mar. Biol. 1980, 60, 81–90. [Google Scholar] [CrossRef]
- Liu, C.; Zhang, Y.; Huang, L.; Yu, X.; Luo, Y.; Jiang, L.; Sun, Y.; Liu, S.; Huang, H. Differences in Fatty Acids and Lipids of Massive and Branching Reef-Building Corals and Response to Environmental Changes. Front. Mar. Sci. 2022, 9, 882663. [Google Scholar] [CrossRef]
- Imbs, A.B.; Dembitsky, V.M. Coral Lipids. Mar. Drugs 2023, 21, 539. [Google Scholar] [CrossRef] [PubMed]
- Ward, S. Two patterns of energy allocation for growth, reproduction and lipid storage in the scleractinian coral Pocillopora damicornis. Coral Reefs 1995, 14, 87–90. [Google Scholar] [CrossRef]
- Osman, E.O.; Suggett, D.J.; Attalla, T.M.; Casartelli, M.; Cook, N.; El-Sadek, I.; Gallab, A.; Goergen, E.A.; Garcias-Bonet, N.; Glanz, J.S.; et al. Spatial variation in spawning timing for multi-species Acropora assemblages in the Red Sea. Front. Mar. Sci. 2024, 11, 1333621. [Google Scholar] [CrossRef]
- Parkes, R.; Archer, L.; Gee, D.M.; Smyth, T.J.; Gillespie, E.; Touzet, N. Differential responses in EPA and fucoxanthin production by the marine diatom Stauroneis sp. under varying cultivation conditions. Biotechnol. Prog. 2021, 37, e3197. [Google Scholar] [CrossRef] [PubMed]
- Thompson, P.A.; Guo, M.-x.; Harrison, P.J.; Whyte, J.N.C. Effects of variation in temperature. II. On the fatty acid composition of eight species of marine phytoplankton1. J. Phycol. 1992, 28, 488–497. [Google Scholar] [CrossRef]
- Peltomaa, E.; Hällfors, H.; Taipale, S.J. Comparison of Diatoms and Dinoflagellates from Different Habitats as Sources of PUFAs. Mar Drugs 2019, 17, 233. [Google Scholar] [CrossRef]
- Remize, M.; Planchon, F.; Loh, A.N.; Le Grand, F.; Bideau, A.; Goïc, N.; Fleury, E.; Miner, P.; Corvaisier, R.; Volety, A.; et al. Study of Synthesis Pathways of the Essential Polyunsaturated Fatty Acid 20:5n-3 in the Diatom Chaetoceros Muelleri Using 13C-Isotope Labeling. Biomolecules 2020, 10, 797. [Google Scholar] [CrossRef]
- Kelly, J.R.; Scheibling, R.E. Fatty acids as dietary tracers in benthic food webs. Mar. Ecol. Prog. Ser. 2012, 446, 1–22. [Google Scholar] [CrossRef]
- Budge, S.M.; Devred, E.; Forget, M.-H.; Stuart, V.; Trzcinski, M.K.; Sathyendranath, S.; Platt, T. Estimating concentrations of essential omega-3 fatty acids in the ocean: Supply and demand. ICES J. Mar. Sci. 2014, 71, 1885–1893. [Google Scholar] [CrossRef]
- Mai, T.D.; Lee-Chang, K.J.; Jameson, I.D.; Hoang, T.; Cai, N.B.A.; Pham, H.Q. Fatty Acid Profiles of Selected Microalgae Used as Live Feeds for Shrimp Postlarvae in Vietnam. Aquac. J. 2021, 1, 26–38. [Google Scholar] [CrossRef]
- Liu, F.; Wang, P.; Xiong, X.; Zeng, X.; Zhang, X.; Wu, G. A Review of Nervonic Acid Production in Plants: Prospects for the Genetic Engineering of High Nervonic Acid Cultivars Plants. Front. Plant Sci. 2021, 12, 626625. [Google Scholar] [CrossRef] [PubMed]
- Fan, Y.; Meng, H.-M.; Hu, G.-R.; Li, F.-L. Biosynthesis of nervonic acid and perspectives for its production by microalgae and other microorganisms. Appl. Microbiol. Biotechnol. 2018, 102, 3027–3035. [Google Scholar] [CrossRef] [PubMed]
- Al-Hammady, M.A.M. The effect of zooxanthellae availability on the rates of skeletal growth in the Red Sea coral Acropora hemprichii. Egypt. J. Aquat. Res. 2013, 39, 177–183. [Google Scholar] [CrossRef]
- Kabeya, N.; Fonseca Miguel, M.; Ferrier David, E.K.; Navarro Juan, C.; Bay Line, K.; Francis David, S.; Tocher Douglas, R.; Castro, L.F.C.; Monroig, Ó. Genes for de novo biosynthesis of omega-3 polyunsaturated fatty acids are widespread in animals. Sci. Adv. 2018, 4, eaar6849. [Google Scholar] [CrossRef]
- Monroig, Ó.; Kabeya, N. Desaturases and elongases involved in polyunsaturated fatty acid biosynthesis in aquatic invertebrates: A comprehensive review. Fish. Sci. 2018, 84, 911–928. [Google Scholar] [CrossRef]
- Steinberg, C.E.W. Biosynthesis of Polyunsaturated Fatty Acids—‘Many Can, Some Can’t’. In Aquatic Animal Nutrition: Organic Macro- and Micro-Nutrients; Steinberg, C.E.W., Ed.; Springer International Publishing: Cham, Switzerland, 2022; pp. 723–752. [Google Scholar] [CrossRef]
- Garrido, D.; Kabeya, N.; Hontoria, F.; Navarro, J.C.; Reis, D.B.; Martín, M.V.; Rodríguez, C.; Almansa, E.; Monroig, Ó. Methyl-end desaturases with ∆12 and ω3 regioselectivities enable the de novo PUFA biosynthesis in the cephalopod Octopus vulgaris. Biochim. Et Biophys. Acta (BBA)—Mol. Cell Biol. Lipids 2019, 1864, 1134–1144. [Google Scholar] [CrossRef]
- Safuan, C.D.M.; Tan, H.S.; Samshuri, M.A.; Afiq-Firdaus, A.M.; Bachok, Z. Chemotaxonomy of reef building corals (family: Acroporidae) via fatty acid biomarkers. Biochem. Syst. Ecol. 2023, 106, 104565. [Google Scholar] [CrossRef]
- Al-Adilah, H.; Al-Sharrah, T.K.; Al-Bader, D.; Ebel, R.; Küpper, F.C.; Kumari, P. Assessment of Arabian Gulf Seaweeds from Kuwait as Sources of Nutritionally Important Polyunsaturated Fatty Acids (PUFAs). Foods 2021, 10, 2442. [Google Scholar] [CrossRef]
- Silva, G.; Pereira, R.B.; Valentão, P.; Andrade, P.B.; Sousa, C. Distinct fatty acid profile of ten brown macroalgae. Rev. Bras. De Farmacogn. 2013, 23, 608–613. [Google Scholar] [CrossRef]
- Van Ginneken, V.J.; Helsper, J.P.; de Visser, W.; van Keulen, H.; Brandenburg, W.A. Polyunsaturated fatty acids in various macroalgal species from north Atlantic and tropical seas. Lipids Health Dis. 2011, 10, 104. [Google Scholar] [CrossRef]
- Susanto, E.; Fahmi, A.S.; Abe, M.; Hosokawa, M.; Miyashita, K. Lipids, Fatty Acids, and Fucoxanthin Content from Temperate and Tropical Brown Seaweeds. Aquat. Procedia 2016, 7, 66–75. [Google Scholar] [CrossRef]
- Matanjun, P.; Mohamed, S.; Mustapha, N.M.; Muhammad, K. Nutrient content of tropical edible seaweeds, Eucheuma cottonii, Caulerpa lentillifera and, Sargassum polycystum. J. Appl. Phycol. 2009, 21, 75–80. [Google Scholar] [CrossRef]
- Kumari, P.; Bijo, A.J.; Mantri, V.A.; Reddy, C.R.K.; Jha, B. Fatty acid profiling of tropical marine macroalgae: An analysis from chemotaxonomic and nutritional perspectives. Phytochemistry 2013, 86, 44–56. [Google Scholar] [CrossRef] [PubMed]
- Feijão, E.; Franzitta, M.; Cabrita, M.T.; Caçador, I.; Duarte, B.; Gameiro, C.; Matos, A.R. Marine heat waves alter gene expression of key enzymes of membrane and storage lipids metabolism in Phaeodactylum tricornutum. Plant Physiol. Biochem. 2020, 156, 357–368. [Google Scholar] [CrossRef] [PubMed]
- Hu, X.; Tang, X.; Bi, Z.; Zhao, Q.; Ren, L. Adaptive evolution of microalgae Schizochytrium sp. under high temperature for efficient production of docosahexaeonic acid. Algal Res. 2021, 54, 102212. [Google Scholar] [CrossRef]
- Burdock, G.A.; Carabin, I.G. Generally recognized as safe (GRAS): History and description. Toxicol. Lett. 2004, 150, 3–18. [Google Scholar] [CrossRef]
- Cole, J.J. Interactions Between Bacteria and Algae in Aquatic Ecosystems. Annu. Rev. Ecol. Evol. Syst. 1982, 13, 291–314. [Google Scholar] [CrossRef]
- Aljbour, S.M.; Agustí, S. Illuminating Cassiopea jellyfish: Biochemical revelations from metabolism to coloration under ultraviolet A and photosynthetically active radiation. Front. Mar. Sci. 2024, 11, 1348864. [Google Scholar] [CrossRef]
- Tomas, C.E. Identifying Marine Phytoplankton; Academic Press: San Diego, CA, USA, 1997. [Google Scholar]
- Sonnenberg, R.; Nolte, A.W.; Tautz, D. An evaluation of LSU rDNA D1-D2 sequences for their use in species identification. Front. Zool. 2007, 4, 6. [Google Scholar] [CrossRef]
- Guillard, R.R.L.; Ryther, J.H. Studies of marine planktonic diatoms: I. Cyclotella nana hustedt, and detonula confervacea (cleve) gran. Can. J. Microbiol. 1962, 8, 229–239. [Google Scholar] [CrossRef]
- Lewis, T.; Nichols, P.D.; McMeekin, T.A. Evaluation of extraction methods for recovery of fatty acids from lipid-producing microheterotrophs. J. Microbiol. Methods 2000, 43, 107–116. [Google Scholar] [CrossRef] [PubMed]
- Rey, F.; Melo, T.; Lopes, D.; Couto, D.; Marques, F.; Domingues, M.R. Applications of lipidomics in marine organisms: Progress, challenges and future perspectives. Mol. Omics 2022, 18, 357–386. [Google Scholar] [CrossRef] [PubMed]
- Couturier, L.I.E.; Michel, L.N.; Amaro, T.; Budge, S.M.; da Costa, E.; De Troch, M.; Di Dato, V.; Fink, P.; Giraldo, C.; Le Grand, F.; et al. State of art and best practices for fatty acid analysis in aquatic sciences. ICES J. Mar. Sci. 2020, 77, 2375–2395. [Google Scholar] [CrossRef]
- Simopoulos, A.P. The importance of the ratio of omega-6/omega-3 essential fatty acids. Biomed. Pharmacother. 2002, 56, 365–379. [Google Scholar] [CrossRef]
- Kainz, M.; Arts, M.T.; Mazumder, A. Essential fatty acids in the planktonic food web and their ecological role for higher trophic levels. Limnol. Oceanogr. 2004, 49, 1784–1793. [Google Scholar] [CrossRef]






Disclaimer/Publisher’s Note: The statements, opinions and data contained in all publications are solely those of the individual author(s) and contributor(s) and not of MDPI and/or the editor(s). MDPI and/or the editor(s) disclaim responsibility for any injury to people or property resulting from any ideas, methods, instructions or products referred to in the content. |
© 2025 by the authors. Licensee MDPI, Basel, Switzerland. This article is an open access article distributed under the terms and conditions of the Creative Commons Attribution (CC BY) license (https://creativecommons.org/licenses/by/4.0/).
Share and Cite
Gozai-Alghamdi, S.A.; Aljbour, S.M.; Amin, S.A.; Agustí, S. Photobiota of the Tropical Red Sea: Fatty Acid Profile Analysis and Nutritional Quality Assessments. Molecules 2025, 30, 621. https://doi.org/10.3390/molecules30030621
Gozai-Alghamdi SA, Aljbour SM, Amin SA, Agustí S. Photobiota of the Tropical Red Sea: Fatty Acid Profile Analysis and Nutritional Quality Assessments. Molecules. 2025; 30(3):621. https://doi.org/10.3390/molecules30030621
Chicago/Turabian StyleGozai-Alghamdi, Sarah A., Samir M. Aljbour, Saeed A. Amin, and Susana Agustí. 2025. "Photobiota of the Tropical Red Sea: Fatty Acid Profile Analysis and Nutritional Quality Assessments" Molecules 30, no. 3: 621. https://doi.org/10.3390/molecules30030621
APA StyleGozai-Alghamdi, S. A., Aljbour, S. M., Amin, S. A., & Agustí, S. (2025). Photobiota of the Tropical Red Sea: Fatty Acid Profile Analysis and Nutritional Quality Assessments. Molecules, 30(3), 621. https://doi.org/10.3390/molecules30030621

