Rapid and Efficient Synthesis of Succinated Thiol Compounds via Maleic Anhydride Derivatization
Abstract
1. Introduction
2. Results and Discussion
2.1. Synthesis Strategy of Succinated Compounds
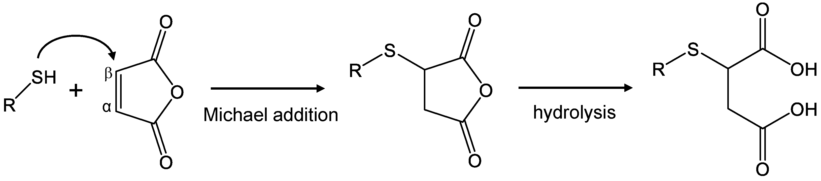
2.2. Succination Using Maleic Anhydride
2.3. Optimization and Characterization of Succination Using Maleic Anhydride
2.4. Scale-Up of Succinated Compound Synthesis
2.5. 2SC Synthesis
2.6. Succinated BSA Synthesis
3. Materials and Methods
3.1. Materials
3.2. Succination
3.3. 2SC Synthesis
3.4. Succinated BSA Synthesis
3.5. ELISA
3.6. Peptide Synthesis
3.7. Statistical Analysis
4. Conclusions
Supplementary Materials
Author Contributions
Funding
Institutional Review Board Statement
Informed Consent Statement
Data Availability Statement
Conflicts of Interest
References
- Percio, A.; Cicchinelli, M.; Masci, D.; Summo, M.; Urbani, A.; Greco, V. Oxidative cysteine post translational modifications drive the redox code underlying neurodegeneration and amyotrophic lateral sclerosis. Antioxidants 2024, 13, 883. [Google Scholar] [CrossRef]
- Dard, A.; Van Breusegem, F.; Mhamdi, A. Redox regulation of gene expression: Proteomics reveals multiple previously undescribed redox-sensitive cysteines in transcription complexes and chromatin modifiers. J. Exp. Bot. 2024, 75, 4476–4493. [Google Scholar] [CrossRef] [PubMed]
- Stykel, M.G.; Ryan, S.D. Network analysis of S-nitrosylated synaptic proteins demonstrates unique roles in health and disease. Biochim. Biophys. Acta Mol. Cell Res. 2024, 1871, 119720. [Google Scholar] [CrossRef]
- Burger, N.; Chouchani, E.T. A new era of cysteine proteomics—Technological advances in thiol biology. Curr. Opin. Chem. Biol. 2024, 79, 102435. [Google Scholar] [CrossRef]
- Liu, Y.; Chen, Y.N.; Cheng, J.; Yan, J.X.; Xue, C.Y.; Pan, H.Y.; Shen, X.Y.; Zhou, J.; Jiang, P.; Zhou, Y.L.; et al. Ultrasensitive HPLC-MS quantification of S-(2-succino) cysteine based on ethanol/acetyl chloride derivatization in fumarate accumulation cells. Anal. Chem. 2023, 95, 1817–1822. [Google Scholar] [CrossRef]
- Guberovic, I.; Frezza, C. Functional implications of fumarate-induced cysteine succination. Trends Biochem. Sci. 2024, 49, 775–790. [Google Scholar] [CrossRef]
- Alderson, N.L.; Wang, Y.; Blatnik, M.; Frizzell, N.; Walla, M.D.; Lyons, T.J.; Alt, N.; Carson, J.A.; Nagai, R.; Thorpe, S.R.; et al. S-(2-succinyl)cysteine: A novel chemical modification of tissue proteins by a Krebs cycle intermediate. Arch. Biochem. Biophys. 2006, 450, 1–8. [Google Scholar] [CrossRef]
- Merkley, E.D.; Metz, T.O.; Smith, R.D.; Baynes, J.W.; Frizzell, N. The succinated proteome. Mass Spectrom. Rev. 2014, 33, 98–109. [Google Scholar] [CrossRef] [PubMed]
- Miglio, G.; Sabatino, A.D.; Veglia, E.; Giraudo, M.T.; Beccuti, M.; Cordero, F. A computational analysis of S-(2-succino)cysteine sites in proteins. Biochim. Biophys. Acta. 2016, 1864, 211–218. [Google Scholar] [CrossRef]
- Blatnik, M.; Frizzell, N.; Thorpe, S.R.; Baynes, J.W. Inactivation of glyceraldehyde-3-phosphate dehydrogenase by fumarate in diabetes: Formation of S-(2-succinyl)cysteine, a novel chemical modification of protein and possible biomarker of mitochondrial stress. Diabetes 2008, 57, 41–49. [Google Scholar] [CrossRef] [PubMed]
- Frizzell, N.; Rajesh, M.; Jepson, M.J.; Nagai, R.; Carson, J.A.; Thorpe, S.R.; Baynes, J.W. Succination of thiol groups in adipose tissue proteins in diabetes: Succination inhibits polymerization and secretion of adiponectin. J. Biol. Chem. 2009, 284, 25772–25781. [Google Scholar] [CrossRef] [PubMed]
- Piroli, G.G.; Manuel, A.M.; Walla, M.D.; Jepson, M.J.; Brock, J.W.; Rajesh, M.P.; Tanis, R.M.; Cotham, W.E.; Frizzell, N. Identification of protein succination as a novel modification of tubulin. Biochem. J. 2014, 462, 231–245. [Google Scholar] [CrossRef]
- Thomas, S.A.; Storey, K.B.; Baynes, J.W.; Frizzell, N. Tissue distribution of S-(2-succino)cysteine (2SC), a biomarker of mitochondrial stress in obesity and diabetes. Obesity 2012, 20, 263–269. [Google Scholar] [CrossRef]
- Gunnoo, S.B.; Madder, A. Chemical protein modification through cysteine. Chembiochem 2016, 17, 529–553. [Google Scholar] [CrossRef]
- Bibi, I.; Mushtaq, S.; Lee, K.C.; Park, J.A.; Kim, J.Y. From molecules to medicine: Thiol selective bioconjugation in synthesis of diagnostic and therapeutic radiopharmaceuticals. Theranostics 2024, 14, 2396–2426. [Google Scholar] [CrossRef]
- Dudchak, R.; Podolak, M.; Holota, S.; Szewczyk-Roszczenko, O.; Roszczenko, P.; Bielawska, A.; Lesyk, R.; Bielawski, K. Click chemistry in the synthesis of antibody-drug conjugates. Bioorg. Chem. 2024, 143, 106982. [Google Scholar] [CrossRef] [PubMed]
- Ruecker, N.; Jansen, R.; Trujillo, C.; Puckett, S.; Jayachandran, P.; Piroli, G.G.; Frizzell, N.; Molina, H.; Rhee, K.Y.; Ehrt, S. Fumarase deficiency causes protein and metabolite succination and intoxicates Mycobacterium tuberculosis. Cell Chem. Biol. 2017, 24, 306–315. [Google Scholar] [CrossRef] [PubMed]
- Tian, S.; Zheng, S.; Han, Y.; Guo, Z.; Zhai, G.; Bai, X.; He, X.; Fan, E.; Zhang, Y.; Zhang, K. Maleic anhydride labeling-based approach for quantitative proteomics and successive derivatization of peptides. Anal. Chem. 2017, 89, 8259–8265. [Google Scholar] [CrossRef] [PubMed]
- Yamaguchi, H.; Nagai, M.; Sugawa, H.; Yasuda, H.; Nagai, R. Development of a conventional immunochemical detection system for determination of Nδ-(5-hydro-5-methyl-4-imidazolone-2-yl)-ornithine in methylglyoxal-modified proteins. Glycoconj J. 2021, 38, 293–301. [Google Scholar] [CrossRef] [PubMed]
- Nagai, R.; Brock, J.W.; Blatnik, M.; Baatz, J.E.; Bethard, J.; Walla, M.D.; Thorpe, S.R.; Baynes, J.W.; Frizzell, N. Succination of protein thiols during adipocyte maturation: A biomarker of mitochondrial stress. J. Biol. Chem. 2007, 282, 34219–34228. [Google Scholar] [CrossRef]
- Siman, P.; Brik, A. Chemical and semisynthesis of posttranslationally modified proteins. Org. Biomol. Chem. 2012, 10, 5684–5697. [Google Scholar] [CrossRef] [PubMed]
- Luo, Y.; Jiang, C.; Yu, L.; Yang, A. Chemical biology of autophagy-related proteins with posttranslational modifications: From chemical synthesis to biological applications. Front. Chem. 2020, 8, 233. [Google Scholar] [CrossRef] [PubMed]
- Dhall, A.; Chatterjee, C. Chemical approaches to understand the language of histone modifications. ACS Chem. Biol. 2011, 6, 987–999. [Google Scholar] [CrossRef]
- Dunphy, K.; Dowling, P.; Bazou, D.; O’Gorman, P. Current methods of post-translational modification analysis and their applications in blood cancers. Cancers 2021, 13, 1930. [Google Scholar] [CrossRef] [PubMed]
- Fuhs, S.R.; Hunter, T. pHisphorylation: The emergence of histidine phosphorylation as a reversible regulatory modification. Curr. Opin. Cell Biol. 2017, 45, 8–16. [Google Scholar] [CrossRef]
- Hao, B.; Chen, K.; Zhai, L.; Liu, M.; Liu, B.; Tan, M. Substrate and functional diversity of protein lysine post-translational modifications. Genomics Proteomics Bioinformatics 2024, 22, qzae019. [Google Scholar] [CrossRef] [PubMed]
- Brauer, B.L.; Wiredu, K.; Mitchell, S.; Moorhead, G.B.; Gerber, S.A.; Kettenbach, A.N. Affinity-based profiling of endogenous phosphoprotein phosphatases by mass spectrometry. Nat. Protoc. 2021, 16, 4919–4943. [Google Scholar] [CrossRef]
- Jové, M.; Pradas, I.; Mota-Martorell, N.; Cabré, R.; Ayala, V.; Ferrer, I.; Pamplona, R. Succination of protein thiols in human brain aging. Front. Aging Neurosci. 2020, 12, 52. [Google Scholar] [CrossRef]
- Hillmann, K.B.; Goethel, M.E.; Erickson, N.A.; Niehaus, T.D. Identification of a S-(2-succino)cysteine breakdown pathway that uses a novel S-(2-succino) lyase. J. Biol. Chem. 2022, 298, 102639. [Google Scholar] [CrossRef]




| Peptide No. | Sequence a | Theoretical Mass of the Unmodified Peptide b (m/z) | Observed Mass b (m/z) |
|---|---|---|---|
| 1 | Ac-C(Ahx)2K(Bio)Y | 510.7663 (+2) | 568.7720 (+2) |
| 2 | HHHHHHGYC | 582.7363 (+2) | 689.7424 (+2) |
| 3 | STDY | 485.1878 (+1) | 485.1875 (+1), 583.1865 (+1) |
| 4 | INSRW | 675.3573 (+1) | 675.3562 (+1), 773.3565 (+1) |
| 5 | KRHGMDGY | 482.2269 (+2) | 482.2274 (+2), 531.2278 (+2), 580.2286 (+2) |
Disclaimer/Publisher’s Note: The statements, opinions and data contained in all publications are solely those of the individual author(s) and contributor(s) and not of MDPI and/or the editor(s). MDPI and/or the editor(s) disclaim responsibility for any injury to people or property resulting from any ideas, methods, instructions or products referred to in the content. |
© 2025 by the authors. Licensee MDPI, Basel, Switzerland. This article is an open access article distributed under the terms and conditions of the Creative Commons Attribution (CC BY) license (https://creativecommons.org/licenses/by/4.0/).
Share and Cite
Yamaguchi, H.; Sugawa, H.; Takahashi, H.; Nagai, R. Rapid and Efficient Synthesis of Succinated Thiol Compounds via Maleic Anhydride Derivatization. Molecules 2025, 30, 571. https://doi.org/10.3390/molecules30030571
Yamaguchi H, Sugawa H, Takahashi H, Nagai R. Rapid and Efficient Synthesis of Succinated Thiol Compounds via Maleic Anhydride Derivatization. Molecules. 2025; 30(3):571. https://doi.org/10.3390/molecules30030571
Chicago/Turabian StyleYamaguchi, Hiroshi, Hikari Sugawa, Himeno Takahashi, and Ryoji Nagai. 2025. "Rapid and Efficient Synthesis of Succinated Thiol Compounds via Maleic Anhydride Derivatization" Molecules 30, no. 3: 571. https://doi.org/10.3390/molecules30030571
APA StyleYamaguchi, H., Sugawa, H., Takahashi, H., & Nagai, R. (2025). Rapid and Efficient Synthesis of Succinated Thiol Compounds via Maleic Anhydride Derivatization. Molecules, 30(3), 571. https://doi.org/10.3390/molecules30030571

