Theaflavins Are Improved by the Oxidation of Catechins in Tannase Treatment During Black Tea Fermentation
Abstract
1. Introduction
2. Results
2.1. Effects of Different Exogenous Enzyme Treatments on the Oxidation of Catechins to Form TFs During Black Tea Fermentation
2.1.1. The Variation of Catechins During Black Tea Fermentation
2.1.2. Conversion Pathways of Catechins During Black Tea Fermentation
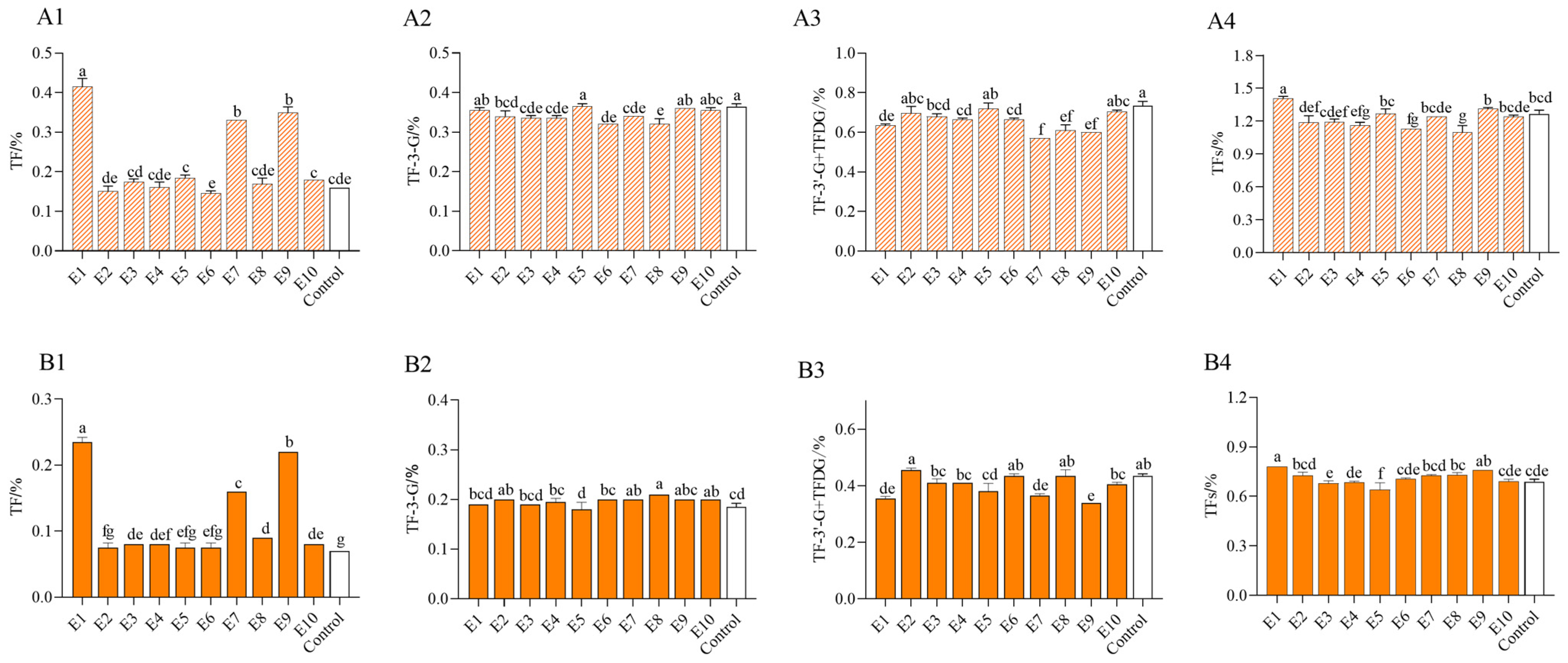
2.1.3. Effect of Different Exogenous Enzymes on the Content of Tea Theaflavins
2.2. Effect of Tannase on TFs from the Oxidation of Catechins During Black Tea Fermentation
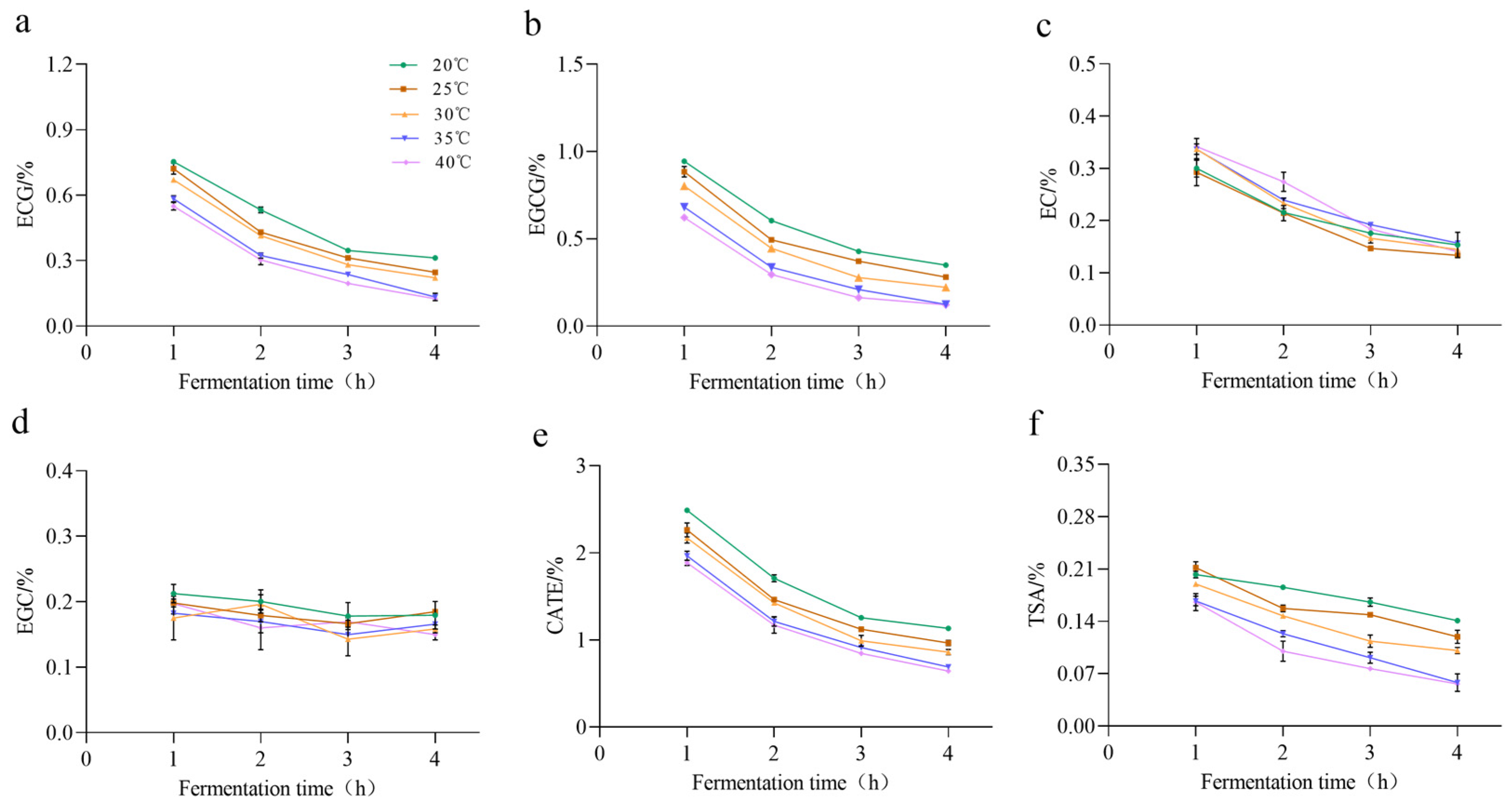
2.2.1. Effect of Temperature and Time on Catechins During Black Tea Fermentation
2.2.2. Effect of Temperature and Time on Theaflavins During Black Tea Fermentation
2.2.3. Effect of Tannase Amount on the Content of Catechins and Theaflavins
3. Discussion
4. Materials and Methods
4.1. Materials and Reagents
4.2. Instruments and Equipment
4.3. Experimental Methods
4.3.1. Enzyme Solution Preparation
Preparation of Single Enzyme
Preparation of Combined Enzyme Solution
4.3.2. Rolled Tea Leaves Preparation
Different Exogenous Enzyme Treatments
Optimization of Black Tea Fermentation Conditions
4.3.3. Determination of Moisture Content
4.3.4. Determination of Tea Polyphenols
4.3.5. Detection of Catechins, Theaflavins, Caffeine, and Theasinensin A
4.4. Data Processing and Analysis
5. Conclusions
Supplementary Materials
Author Contributions
Funding
Institutional Review Board Statement
Informed Consent Statement
Data Availability Statement
Acknowledgments
Conflicts of Interest
References
- Sarma, A.; Bania, R.; Das, M.K. Green tea: Current trends and prospects in nutraceutical and pharmaceutical aspects. J. Herb. Med. 2023, 41, 100694. [Google Scholar] [CrossRef]
- Zheng, F.L.; Gan, S.Y.; Zhao, X.Y.; Chen, Y.Q.; Zhang, Y.; Qiu, T.; Zheng, P.C.; Zhai, X.T.; Dai, Q.Y. Unraveling the chemosensory attributes of Chinese black teas from different regions using GC-IMS combined with sensory analysis. LWT 2023, 184, 114988. [Google Scholar] [CrossRef]
- Ren, G.X.; Zhang, X.H.; Wu, R.; Zhang, X.Y.; Xie, T.; Zhang, Z.Z. Digital depiction of the quality of Dianhong black tea based on pocket-sized near infrared spectroscopy. Infrared Phys. Technol. 2022, 127, 104418. [Google Scholar] [CrossRef]
- Zhang, S.W.; Li, Q.H.; Wen, S.; Sun, L.L.; Chen, R.H.; Zhang, Z.B.; Cao, J.X.; Lai, Z.X.; Li, Z.G.; Lai, X.F.; et al. Metabolomics reveals the effects of different storage times on the acidity quality and metabolites of large-leaf black tea. Food Chem. 2023, 426, 136601. [Google Scholar] [CrossRef] [PubMed]
- Auguste, S.; Yan, B.; Guo, M.L. Induction of mitophagy by green tea extracts and tea polyphenols: A potential anti-aging mechanism of tea. Food Biosci. 2023, 55, 102983. [Google Scholar] [CrossRef]
- Li, X.Y.; Zeng, J.J.; Chen, B.; Yan, Q.J.; Cui, Y.Z.; Xu, W.L.; Zhang, X.T.; Xu, S.Y. Daily higher tea consumption is associated with a reduced risk of type 2 diabetes: A cohort study and updated systematic review and meta-analysis. Nutr. Res. 2023, 118, 116–127. [Google Scholar] [CrossRef] [PubMed]
- Singh, N.; Sahjlan, P.; Yadav, S. Phytochemistry and anticancer therapeutics of Camellia sinensis (Green tea). Pharmacol. Res. Mod. Chin. Med. 2024, 12, 100484. [Google Scholar] [CrossRef]
- Yu, S.D.; Zhang, J.H. Reinventing a tradition: East Asian tea cultures in the contemporary world. Asian J. Soc. Sci. 2022, 50, 167–170. [Google Scholar] [CrossRef]
- Zhang, J.H. Hybridity with exclusion: Chinese tea rebrewed in Australia. Asian J. Soc. Sci. 2022, 50, 186–194. [Google Scholar] [CrossRef]
- Daniel, H.N.; Sergio, P.B.; Silvia, P.D.L.C.; José, R.H. Green and white teas as health-promoting foods. Food Funct. 2021, 12, 3799–3819. [Google Scholar]
- Li, S.M.; Lo, C.Y.; Pan, M.S.; Lai, C.S.; Ho, C.T. Black tea: Chemical analysis and stability. Food Funct. 2013, 4, 8–10. [Google Scholar] [CrossRef] [PubMed]
- Raj, K.R.D.; Silva, M.V.D.; Luisa, B.M.; Antonio, R.; Thomas, J.; Fernandes, B.D. Exploration of an impedimetric electronic tongue and chemometrics for characterization of black tea from different origins. J. Food Compos. Anal. 2023, 123, 105535. [Google Scholar]
- Li, Y.C.; He, C.; Yu, X.L.; Zhou, J.T.; Ntezimana, B.; Yu, Z.; Chen, Y.Q.; Ni, D.J. Study on improving aroma quality of summer-autumn black tea by red-light irradiation during withering. Food Sci. Technol. 2022, 154, 112597. [Google Scholar] [CrossRef]
- Chen, Z.M.; Sun, X.L.; Jin, S. Science innocation and sustainable development of tea industry. J. Tea Sci. 2011, 31, 463–472. [Google Scholar]
- Li, Y.C.; He, C.; Yu, X.Y.; Zhou, J.T.; Ran, W.; Chen, Y.Q.; Ni, D.J. Effects of red-light withering on the taste of black tea as revealed by non-targeted metabolomics and transcriptomics analysis. LWT 2021, 147, 111620. [Google Scholar] [CrossRef]
- Zhang, L.; Ho, C.T.; Zhou, J.; Santos, J.S.; Armstrong, L.; Granato, D. Chemistry and Biological Activities of Processed Camellia sinensis Teas: A Comprehensive Review. Compr. Rev. Food Sci. Food Saf. 2019, 18, 1474–1495. [Google Scholar] [CrossRef]
- Chen, J.M.; Ran, M.N.; Wang, M.X.; Liu, X.Y.; Liu, S.W.; Ruan, Z.P.; Jin, N. Evaluation of anti-tyrosinase activity and mechanism, anti-oxidation and UV filter properties of theaflavin. Biotechnol. Appl. Biochem. 2022, 69, 951–962. [Google Scholar] [CrossRef]
- Lui, Z.H. The development process and trend of Chinese tea comprehensive processing industry. J. Tea Sci. 2019, 39, 115–122. [Google Scholar]
- Shitandi, A.A.; Muigai, N.F.; Mahungu, S.M. Chapter 16—Tea Processing and Its Impact on Catechins, Theaflavin and Thearubigin Formation; Elsevier Inc.: Amsterdam, The Netherlands, 2013; pp. 193–205. [Google Scholar]
- Anandhan, A.; Essa, M.M.; Manivasagam, T. Therapeutic Attenuation of Neuroinflammation and Apoptosis by Black Tea Theaflavin in Chronic MPTP/Probenecid Model of Parkinson’s Disease. Neurotox. Res. 2013, 23, 166–173. [Google Scholar] [CrossRef] [PubMed]
- Bhattacharya, R.; Chatterjee, R.; Mandal, A.K.A.; Mukhopadhyay, A.; Basu, S.; Giri, A.K.; Chatterji, U.; Bhattacharjee, P. Theaflavin-Containing Black Tea Extract: A Potential DNA Methyltransferase Inhibitor in Human Colon Cancer Cells and Ehrlich Ascites Carcinoma-Induced Solid Tumors in Mice. Nutr. Cancer 2021, 73, 2447–2459. [Google Scholar] [CrossRef] [PubMed]
- Aneja, R.; Odoms, K.; Denenberg, A.G.; Wong, H.R. Theaflavin, a black tea extract, is a novel anti-inflammatory compound. Crit. Care Med. 2004, 32, 2097–2103. [Google Scholar] [CrossRef] [PubMed]
- Xu, X.X.; Zheng, G.; Tang, S.K.; Liu, H.X.; Hu, Y.Z.; Shang, P. Theaflavin protects chondrocytes against apoptosis and senescence via regulating Nrf2 and ameliorates murine osteoarthritis. Food Funct. 2021, 12, 1590–1602. [Google Scholar] [CrossRef]
- Fatima, M.; Rizvi, S.I. Anti Oxidative Effect of Black Tea Theaflavin on Erythrocytes Subjected to Oxidative Stress. Natl. Acad. Sci. Lett. 2015, 38, 25–28. [Google Scholar] [CrossRef]
- Liang, L.K.; Su, Y.; Chen, R.; Zhang, Z.; Huang, Y.; Chen, Z.Y. Theaflavins in Black Tea and Catechins in Green Tea Are Equally Effective Antioxidants. J. Nutr. 2001, 131, 2248–2251. [Google Scholar] [CrossRef] [PubMed]
- Mehmet, T.; Saadettin, G. The determination of optimum fermentation time in Turkish black tea manufacture. Food Chem. 1997, 60, 53–56. [Google Scholar]
- Wang, H.J.; Shen, S.; Wang, J.J.; Jiang, Y.W.; Li, J.; Yang, Y.Q.; Hua, J.J.; Yuan, H.B. Novel insight into the effect of fermentation time on quality of Yunnan Congou black tea. LWT 2021, 155, 112939. [Google Scholar] [CrossRef]
- Qu, F.F.; Zeng, W.C.; Tong, X.F.; Feng, W.; Chen, Y.Q.; Ni, D.J. The new insight into the influence of fermentation temperature on quality and bioactivities of black tea. LWT 2020, 117, 108646. [Google Scholar] [CrossRef]
- Chen, L.; Liu, F.; Yang, Y.F.; Tu, Z.; Lin, J.Z.; Ye, Y.; Xu, P. Oxygen-enriched fermentation improves the taste of black tea by reducing the bitter and astringent metabolites. Food Res. Int. 2021, 148, 110613. [Google Scholar] [CrossRef]
- Ito, A.; Yanase, E. Study into the chemical changes of tea leaf polyphenols during japanese black tea processing. Food Res. Int. 2022, 160, 111731. [Google Scholar] [CrossRef] [PubMed]
- Han, P.; Fereidoon, S. Oxidation and degradation of (epi)gallocatechin gallate (EGCG/GCG) and (epi)catechin gallate (ECG/CG) in alkali solution. Food Chem. 2023, 408, 134815. [Google Scholar]
- Hua, J.J.; Wang, H.J.; Jiang, Y.W.; Li, J.; Wang, J.J.; Yuan, H.B. Influence of enzyme source and catechins on theaflavins formation during in vitro liquid-state fermentation. LWT 2020, 139, 110291. [Google Scholar] [CrossRef]
- Lekshmi, R.; Arif Nisha, S.; Thirumalai Vasan, P.; Kaleeswaran, B. A comprehensive review on tannase: Microbes associated production of tannase exploiting tannin rich agro-industrial wastes with special reference to its potential environmental and industrial applications. Environ. Res. 2021, 201, 111625. [Google Scholar] [CrossRef] [PubMed]
- Cao, Q.Q.; Zou, C.; Zhang, Y.H.; Du, Q.Z.; Yin, J.F.; Shi, J.; Xue, S.; Xu, Y.Q. Improving the taste of autumn green tea with tannase. Food Chem. 2019, 277, 432–437. [Google Scholar] [CrossRef] [PubMed]
- Liang, S.; Wang, F.; Chen, J.X.; Granato, D.; Li, L.J.; Yin, J.F.; Xu, Y.Q. Optimization of a tannase-assisted process for obtaining teas rich in theaflavins from. Food Chem. X 2022, 13, 100203. [Google Scholar] [CrossRef] [PubMed]
- Owuor, P.O.; Obanda, M. Comparative responses in plain black tea quality parameters of different tea clones to fermentation temperature and duration. Food Chem. 2001, 72, 319–327. [Google Scholar] [CrossRef]
- Obanda, M.; Owuor, P.O.; Mang”Oka, R. Changes in the chemical and sensory quality parameters of black tea due to variations of fermentation time and temperature. Food Chem. 2002, 75, 395–404. [Google Scholar] [CrossRef]
- Tanaka, T.; Yasumatsu, M.; Hirotani, M.; Matsuo, Y.; Li, N.; Zhu, H.T.; Saito, Y. New degradation mechanism of black tea pigment theaflavin involving condensation with epigallocatechin-3-O-gallate. Food Chem. 2022, 370, 131326. [Google Scholar] [CrossRef] [PubMed]
- Fu, J.; Zhao, G.J.; Yan, F.; Su, W.; Jiang, H.Y. Effect of polyphenol oxidases from different sourceson the formation of dimers by enzymatic oxidation of catechin. J. Tea Commun. 2020, 47, 450–455. [Google Scholar]
- Yabuki, C.; Yagi, K.; Nanjo, F. Highly efficient synthesis of theaflavins by tyrosinase from mushroom and its application to theaflavin related compounds. Process Biochem. 2017, 55, 61–69. [Google Scholar] [CrossRef]
- Xia, C.Y.; Pu, L.L.; Wang, M.; Hu, Y.R.; Duan, X.Y.; Liu, Y.B. Research and development trend of fermentation on summer and autumn tea quality. J. Guizhou Tea. 2022, 4, 31–34. [Google Scholar]
- Ji, S.Y.; Chen, P.P.; Hu, R.W. Study on the Application of Shaking Green Technology in the Processing of Summer-Autumn Black tea. China Food Saf. Mag. 2023, 10, 125–127. [Google Scholar]
- Ni, H.; Chen, F.; Jiang, Z.D.; Cai, M.Y.; Yang, Y.F.; Xiao, A.F.; Cai, H.N. Biotransformation of tea catechins using Aspergillus niger tannase prepared by solid state fermentation on tea byproduct. LWT 2015, 60, 1206–1213. [Google Scholar] [CrossRef]
- GB 5009.3-2016; National Food Safety Standards, Determination of Moisture in Food. National Health and Family Planning Commission of the People’s Republic of China: Beijing, China, 2016.
- GB/T 8313-2018; Method for Detecting the Content of Tea Polyphenols and Catechins in Tea. Standardization Administration of PRC, State Administration for Market Regulation: Beijing, China, 2018.
- Xue, J.J.; Jiang, H.Y.; Long, D.; Wang, W.W.; Zhang, J.Y. Simultaneous multiresidue determination of theasinensins and theaflavins in tea using high performance liquid chromatography. J. Chin. Inst. Food Sci. Technol. 2014, 14, 237–243. [Google Scholar]
- Tanaka, T.; Watarumi, S.; Matsuo, Y.; Kamei, M.; Kouno, I. Production of theasinensins A and D, epigallocatechin gallate dimers of black tea, by oxidation-reduction dismutation of dehydrotheasinensin A. Tetrahedron 2003, 59, 7939–7947. [Google Scholar] [CrossRef]







| Treatments | EGCG | ECG | EGC | EC | Total Catechins | |||||
|---|---|---|---|---|---|---|---|---|---|---|
| Consumption | Decline Rate | Consumption | Decline Rate | Consumption | Decline Rate | Consumption | Decline Rate | Consumption | Decline Rate | |
| E1 | 4.00 ± 0.07 | 85.52 | 2.60 ± 0.03 | 83.59 | 0.24 ± 0.02 | 34.09 | 0.62 ± 0.03 | 68.89 | 7.46 ± 0.03 | 79.41 |
| E2 | 3.84 ± 0.08 | 82.18 | 2.38 ± 0.04 | 76.55 | 0.32 ± 0.01 | 45.75 | 0.84 ± 0.02 | 93.11 | 7.38 ± 0.03 | 78.62 |
| E3 | 3.62 ± 0.09 | 77.49 | 2.29 ± 0.03 | 73.59 | 0.29 ± 0.03 | 41.25 | 0.76 ± 0.01 | 84.64 | 6.96 ± 0.04 | 74.16 |
| E4 | 3.52 ± 0.02 | 75.39 | 2.16 ± 0.02 | 69.72 | 0.35 ± 0.01 | 49.19 | 0.76 ± 0.04 | 84.54 | 6.80 ± 0.02 | 72.42 |
| E5 | 3.52 ± 0.02 | 75.35 | 2.21 ± 0.02 | 71.31 | 0.25 ± 0.02 | 35.28 | 0.77 ± 0.02 | 85.22 | 6.75 ± 0.02 | 71.95 |
| E6 | 3.77 ± 0.01 | 80.66 | 2.38 ± 0.02 | 76.55 | 0.35 ± 0.01 | 49.00 | 0.78 ± 0.01 | 86.30 | 7.27 ± 0.03 | 77.46 |
| E7 | 3.85 ± 0.03 | 82.40 | 2.50 ± 0.04 | 80.40 | 0.22 ± 0.01 | 31.08 | 0.64 ± 0.03 | 71.22 | 7.21 ± 0.03 | 76.80 |
| E8 | 3.61 ± 0.07 | 77.30 | 2.20 ± 0.02 | 70.76 | 0.28 ± 0.01 | 39.70 | 0.77 ± 0.02 | 85.49 | 6.86 ± 0.03 | 73.09 |
| E9 | 3.95 ± 0.04 | 84.41 | 2.59 ± 0.04 | 83.30 | 0.26 ± 0.01 | 37.12 | 0.62 ± 0.02 | 69.18 | 7.42 ± 0.03 | 79.02 |
| E10 | 3.54 ± 0.07 | 75.80 | 2.14 ± 0.03 | 69.00 | 0.38 ± 0.02 | 53.55 | 0.80 ± 0.03 | 88.94 | 6.87 ± 0.02 | 73.13 |
| E11 | 3.83 ± 0.03 | 81.94 | 2.41 ± 0.01 | 77.51 | 0.33 ± 0.01 | 46.17 | 0.78 ± 0.02 | 86.59 | 7.34 ± 0.02 | 78.23 |
Disclaimer/Publisher’s Note: The statements, opinions and data contained in all publications are solely those of the individual author(s) and contributor(s) and not of MDPI and/or the editor(s). MDPI and/or the editor(s) disclaim responsibility for any injury to people or property resulting from any ideas, methods, instructions or products referred to in the content. |
© 2025 by the authors. Licensee MDPI, Basel, Switzerland. This article is an open access article distributed under the terms and conditions of the Creative Commons Attribution (CC BY) license (https://creativecommons.org/licenses/by/4.0/).
Share and Cite
Yang, L.; Zhang, M.; Jiang, H.; Wang, W.; Huang, J.; Ye, S.; Chen, Y.; Liu, S.; Liu, J. Theaflavins Are Improved by the Oxidation of Catechins in Tannase Treatment During Black Tea Fermentation. Molecules 2025, 30, 452. https://doi.org/10.3390/molecules30030452
Yang L, Zhang M, Jiang H, Wang W, Huang J, Ye S, Chen Y, Liu S, Liu J. Theaflavins Are Improved by the Oxidation of Catechins in Tannase Treatment During Black Tea Fermentation. Molecules. 2025; 30(3):452. https://doi.org/10.3390/molecules30030452
Chicago/Turabian StyleYang, Lijuan, Mengxue Zhang, Heyuan Jiang, Weiwei Wang, Jigang Huang, Shuixin Ye, Yan Chen, Shuang Liu, and Jiaxin Liu. 2025. "Theaflavins Are Improved by the Oxidation of Catechins in Tannase Treatment During Black Tea Fermentation" Molecules 30, no. 3: 452. https://doi.org/10.3390/molecules30030452
APA StyleYang, L., Zhang, M., Jiang, H., Wang, W., Huang, J., Ye, S., Chen, Y., Liu, S., & Liu, J. (2025). Theaflavins Are Improved by the Oxidation of Catechins in Tannase Treatment During Black Tea Fermentation. Molecules, 30(3), 452. https://doi.org/10.3390/molecules30030452

