Abstract
Carborane is considered a three-dimensional mimetic of phenyl rings in medicinal chemistry. BMS-202 is a potent PD-L1 inhibitor that can block the PD-L1/PD-1 interaction and restore the immune response to cancer cells. Herein, we replaced the terminal phenyl group of BMS-202 with carborane and prepared its carboranyl BMS-202 analogues. The results showed a loss of PD-L1 binding affinity due to the bulky size of carborane, suggesting that carborane cannot serve as a phenyl ring mimetic in certain cases. Docking study demonstrated that the narrow binding pocket of PD-L1 could not hold the bulky carborane, resulting in loss of its activity. Compounds 1a and 1b exhibited anti-proliferative activities on a broad scope of cancer cell lines. Further studies indicate that compound 1a can induce cell apoptosis and lead to G1 cell cycle phase arrest. The boron biodistribution study of compound 1a revealed that the brain/blood uptake ratio was 0.60 ± 0.08, exhibiting a good blood-brain penetration capability.
1. Introduction
Carboranes are icosahedral boron clusters containing ten BH and two CH vertices [1,2]. Due to their high boron content, they are widely applied as boron delivery agents in boron-neutron capture therapy (BNCT) [3,4,5,6,7,8]. Recently, carborane has gained increasingly attention as a pharmacophore for medicinal chemistry due to its unique features including high hydrophobicity, spherical shape with a volume comparable to a rotational phenyl ring, dihydrogen bond, and resistance toward conventional enzymatic degradation (Figure 1) [9,10,11,12,13,14,15,16,17].
Figure 1.
Representative carborane-containing compounds for BNCT or as biological active molecules.
The strategy of replacing a phenyl ring with carborane for drug design is attractive. Phenyl rings are versatile in pharmaceuticals, providing broad compound libraries for this strategy [18,19,20,21,22]. In addition, carborane is bigger and is more hydrophobic than a phenyl ring, which potentially increases the hydrophobic interaction between the ligand and its target. Carborane clusters also exhibit three-dimensional (3D) aromaticity which was proved by both experimental and theoretical studies [23]. Therefore, carborane is usually considered a mimic for aromatic rings in medicinal chemistry [24,25,26]. So far, several studies have used this strategy to modify drugs such as aspirin, flurbiprofen or indomethacin [27,28,29,30].
BMS-202 is the first nonpeptidic small-molecule PD-L1 inhibitor disclosed by Bristol-Myers Squibb [31]. X-ray structural study revealed that BMS-202 could bind to the dimeric PD-L1 at a hydrophobic pocket, induce PD-L1 internalization and block the PD-1/PD-L1 interaction [32,33,34]. These could eventually restore the anti-tumor activities of cytotoxic T cells and enhance their ability to kill cancer cells [35]. So far, a series of small-molecule PD-L1 inhibitors has been developed, most of which contain the diphenyl moiety [36,37,38].
Our group has developed a series of carborane-containing molecules as transcriptional enhanced associate domain (TEAD) inhibitors, carborane-modified natural product analogues, as well as for BNCT agents targeting prostate-specific membrane antigen (PSMA) [39,40,41]. Since BMS-202 contains a biphenyl core that fits into the hydrophobic groove on PD-L1, and carborane is well known for its high hydrophobicity, we hypothesized that replacing the terminal phenyl ring of BMS-202 with o-carborane can offer a better hydrophobic interaction and increase its PD-L1 inhibitory activity. Under this rationale, we synthesized carboranyl BMS-202 analogues and their biological activities were evaluated. The biodistribution of compound 1a was also measured by testing its boron content with ICP-MS.
2. Results and Discussion
2.1. Molecular Design
Studies have shown that the biphenyl ring of BMS-202 has a strong hydrophobic interaction with PD-L1. To increase this hydrophobic interaction and the metabolic stability, we replaced the terminal phenyl ring with a carborane group. The methoxyl pyridyl group was maintained to minimize the change for the whole scaffold. The amino ethyl acetamide moiety was either kept or changed to a hydroxyl group or carboxylic acid group to give compounds 1a, 1b and 1c (Figure 2).
Figure 2.
Molecular design of carboranyl BMS-202 analogues.
2.2. Chemistry
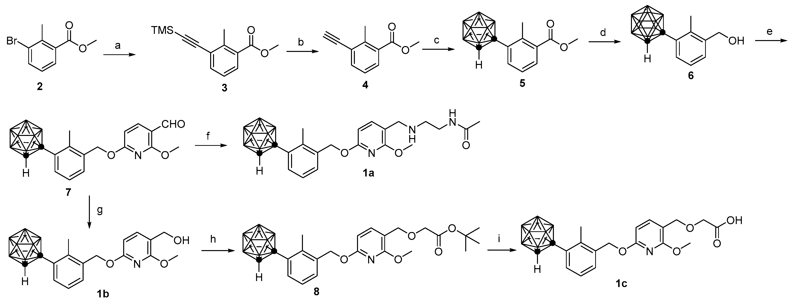
The synthesis route of carboranyl BMS-202 analogues is outlined in Scheme 1. Sonogashira coupling of commercially available compound 2 with trimethylsilyl acetylene followed by deprotection of the TMS group using K2CO3 formed intermediate 4. Heating intermediate 4 with B10H12(MeCN)2 converted the terminal alkyne to o-carborane and formed intermediate 5 [42,43,44]. Reducing intermediate 5 with LiAlH4 converted the ester group to a primary alcohol and produced compound 6. Coupling compound 6 with commercially available 6-bromo-2-methoxynicotinaldehyde generated aldehyde 7. Compound 7 was reacted with N-(2-aminoethyl)acetamide using a reductive amination reaction to generate our final product 1a. The structure of compound 1a was confirmed by X-ray crystal structure (Figure 3). Compound 1b was obtained by reducing aldehyde 7 with LiAlH4. Reacting compound 1b with tert-butyl bromoacetate gave intermediate 8. Compound 1c was obtained by deprotection of intermediate 8 with TFA.
Scheme 1.
Synthesis of compounds 1a–1c. Reagents and conditions: (a) Ethynyltrimethylsilane, PdCl2(PPh3)2, CuI, Et3N, 85 °C, 12 h; (b) K2CO3, MeOH, rt, 1 h; (c) B10H12(MeCN)2, AgNO3, toluene, 100 °C, 4 h; (d) LiAlH4, THF, rt, 4 h; (e) Pd(OAc)2, t-BuXphos, Cs2CO3, 6-bromo-2-methoxynicotinaldehyde, toluene, 80 °C, 8 h; (f) N-(2-aminoethyl)acetamide, NaBH(OAc)3, THF, rt, 12 h; (g) LiAlH4, THF, rt, 4 h; (h) NaH, tert-butyl bromoacetate, THF, rt, 12 h; (i) TFA, DCM, rt, 12 h.
Figure 3.
X-ray crystal structure of compound 1a.
2.3. Biological Evaluation
2.3.1. PD-L1 Inhibition Studies
Compounds 1a–1c were tested in vitro for their inhibitory activities towards PD-1/PD-L1 interactions. The results suggested a loss of inhibitory activities of all three compounds (Figure 4A). Since the only difference between 1a and BMS-202 is the terminal carborane group, we speculated that the carborane group actually cannot fit into the hydrophobic pocket of PD-L1. Docking studies revealed that the pocket of the PD-L1 dimmer is a narrow crevice that can accommodate the terminal phenyl ring of BMS-202 (Figure 4B,D). In comparison, the spherical bulky carborane causes many collisions in the pocket, suggesting that compound 1a is not able to fit into the narrow crevice, which leads to the loss of its inhibitory activity towards PD-1/PD-L1 interactions (Figure 4C,E). Due to the lack of boron parameters in existing docking programs, our docking method used the dodecahedrane group to substitute carborane. It mimics the steric effect of carborane but does not account for its electronic features. Although these experiments did not reach the initial goal, they revealed that carborane is not always a mimetic of the phenyl ring. It may be able to increase the hydrophobic interaction with its target when the pocket is big enough to accommodate the spherical carborane group. But in the case of a narrow pocket, carborane can be hindered from entering the pocket due to its three-dimensional spherical shape, resulting in a total loss of biological activities. These results demonstrate that the “carborane replacing phenyl ring” strategy is not a universally effective approach and is dependent on the pocket size of its target protein.
Figure 4.
(A) PD-1/PD-L1 inhibitory activities of compounds 1a–1c. (B) docking of BMS-202 in the binding pocket of PD-L1 dimer (PDB ID: 5N2F) (C) docking of 1a in PD-L1 shows many collisions between the carborane in 1a and its surrounding residues. The red dashed line represents the collisions. (D) docking of BMS-202 and PD-L1 dimer shows that the biphenyl ring can be accommodated in the pocket crevice. (E) docking of 1a and PD-L1 dimer shows that the narrow crevice of PD-L1 dimer can not accommodate the bulky carborane.
2.3.2. Anti-Proliferation Study
To evaluate the anti-proliferative activities of compounds 1a–1c, six human cancer cell lines were applied for this test: Ramos and Raji, lymphoma; DU145, prostate cancer; HepG2, hepatocellular carcinoma; A549, non-small cell lung cancer; MDA-MB-468, triple-negative breast cancer. Cells were incubated with the tested compounds at various concentrations for 48 h and then their viability was measured through a CCK8 assay [45]. The results are shown in Table 1. Compounds 1a and 1b can effectively inhibit cell proliferation with IC50 value at a micromolar level. It has a better anti-proliferation effect on Ramos, Raji, DU145 and HepG2, but less active toward A549 and MDA-MB-468. In comparison, compound 1c showed weak anti-proliferative activities with IC50 greater than 50 μM for all the tested cell lines (Table 1, Figure S1). Since compounds 1a and 1b showed no PD-L1 inhibition activities, the anti-proliferative activities could arise from other mechanisms such as cell cycle arrest or apoptosis.
Table 1.
In vitro antiproliferative activities of carboranyl BMS-202 analogues.
2.3.3. Compounds 1a and 1b Induce G1 Cell Cycle Phase Arrest
To explore the mechanism of compounds 1a and 1b’s inhibition on cell proliferation, their effect on the cell cycle was examined using flow cytometry. The experimental data demonstrated that HepG2 incubated with 15 μM of compound 1a induced significant G0/G1 phase cell cycle arrest. A time-dependent response was observed, with a lower concentration of 5 μM compound 1a exhibiting significant G0/G1 phase blockade only following a prolonged incubation time of 48 h. Notably, treatment with 15 μM compound 1a for 48 h generated a distinct sub-G1 apoptotic peak, accounting for approximately 10% of the total cell population. This result correlated well with the previously determined IC50 values (Figure 5A). The cell cycle arrest was not observed when compound 1b was incubated with HepG2 for 24 h. When the incubation time was extended to 48 h, compound 1b at 5 μM or 15 μM demonstrated comparable G0/G1 phase arrest efficacy. However, their potency remained significantly reduced compared to compound 1a at equivalent concentrations and exposure durations (Figure 5B).
Figure 5.
(A) cell cycle distribution of compound 1a (B) cell cycle distribution of compound 1b. The flow cytometry analysis graph shows the result after 24 h of dosing. Statistical analysis is shown on the bar graphs. Data are presented as the mean ± SD of at least three independent experiments. ** p < 0.01, *** p < 0.001, **** p < 0.0001.
2.3.4. Apoptosis Study
Apoptosis response was evaluated using HepG2 cells treated with compound 1a. A small number of apoptotic HepG2 cells were observed when cells were treated at sub-therapeutic concentration (10% of the IC50 value). At near-IC50 concentration, the apoptotic cells accounted for approximately 45% of the total population. Overdosing 1a at threefold of its IC50 value for 24 h resulted in a strong apoptotic response and a dramatic cytotoxic effect, with apoptotic cells increasing to 77% of the total population (Figure 6). These results demonstrated that compound 1a could induce apoptosis in a dose-dependent manner.
Figure 6.
(A) The apoptosis analysis of HepG2 cells treated with various concentrations of compound 1a. Cells that went through early apoptosis were marked with Annexin V-PE+/7-AAD−, cells that went through late apoptosis were marked with Annexin V-PE+/7-AAD+. (B) The apoptosis rate shown as bar graphs. Data are presented as mean ± SD of three independent experiments. * p < 0.05, ** p < 0.01, *** p < 0.001.
2.3.5. Biodistribution Study
Since these compounds contained boron element, we measured the biodistribution of compound 1a in HepG2 xenograft mice using boron ICP-MS at 1 h, 3 h and 5 h post-injection. The results were normalized to μg boron per gram tissue and were shown in Figure 7A and Table S1. The boron contents in blood, brain, heart and kidney were slightly increased from 1 h to 3 h post-injection and were dramatically decreased from 3 h to 5 h post-injection. The liver uptake was high up to 48.02 ± 15.3 μg/g at 1 h post-injection and was then decreased to 13.49 ± 4.15 μg/g at 5 h post-injection. Pancreas exhibited a steady and highest boron uptake (79.89 ± 35.39 μg/g at 1 h, 99.06 ± 13.57 μg/g at 3 h and 70.21 ± 44.51 μg/g at 5 h, respectively), which was also observed in our previous boron biodistribution studies when the drug was administered through intraperitoneal injection [40,41]. The boron contents in small intestine, large intestine and spleen were steady around 10 μg/g from 1 h to 5 h. We observed that the brain/blood uptake ratio was 0.60 ± 0.08 at 5 h post-injection, indicating a good penetration capability of compound 1a through the blood–brain barrier (Figure 7B). We need to point out that absolute boron uptake in brain was 0.13 ± 0.04 μg/g at 5 h post-injection, and the boron uptake in the tumor was below 1 μg/g at all time points, which were all lower than the required 20–35 μg/g for BNCT. In our opinion, this is a reasonable result because the carborane was incorporated as a pharmacophore instead of a boron source for BNCT.
Figure 7.
(A) In vivo boron biodistribution analysis of compound 1a at 1 h, 3 h and 5 h post-injection. (B) the brain/blood uptake ratio of compound 1a.
3. Materials and Methods
3.1. Chemistry
Unless otherwise noted, reagents and solvents were obtained from commercial suppliers and were used without further purification. 1H NMR spectra and 13C NMR spectra with 1H decoupling were recorded on a Bruker 500 MHz spectrometer (Billerica, MA, USA), and chemical shifts were reported in parts per million (ppm) downfield from tetramethylsilane (TMS). Coupling constants (J values) were reported in Hertz (Hz). Spin multiplicities are described as s (singlet), br (broad singlet), d (doublet), t (triplet), q (quartet), and m (multiplet). Column chromatography was performed on silica gel (200–300 mesh).
Methyl 2-methyl-3-((trimethylsilyl)ethynyl)benzoate (3)
Compound 2 (10.0 g, 43.9 mmol) was dissolved in anhydrous Et3N (100 mL) followed by the addition of PdCl2(PPh3)2 (1.5 g, 2.1 mmol), CuI (0.4 g, 2.1 mmol) and ethynyltrimethylsilane (9.3 mL, 65.8 mmol). The reaction mixture was heated to 85 °C and stirred for 12 h. After TLC showed the starting materials were consumed, the solvent was removed under reduced pressure. The mixture was purified by column chromatography (PE/EA = 100:1) to give compound 3 as brown oil (10.5 g, 98% yield). 1H NMR (500 MHz, CDCl3) δ 7.62 (d, J = 8.0 Hz, 1H), 7.42 (d, J = 8.0 Hz, 1H), 7.01(t, J = 8.0 Hz, 1H), 3.73 (s, 3H), 2.54 (s, 3H), 0.11 (s, 9H). 13C{1H} NMR (126 MHz, CDCl3) δ 168.0, 142.0, 135.8, 130.4, 129.2, 126.8, 125.3, 103.4, 99.4, 52.1, 18.8, 0.0.
Methyl 3-ethynyl-2-methylbenzoate (4)
Compound 3 (10.0 g, 40.6 mmol) was dissolved in MeOH (50 mL). K2CO3 (11.2 g, 81.1 mmol) was added to the solution. The reaction mixture was stirred for 1 h at room temperature. After TLC showed the starting materials were consumed, the solvent was removed under reduced pressure and the residue was purified by column chromatography (PE/EA = 80:1) to obtain compound 4 as yellow oil (6.8 g, 96% yield). 1H NMR (500 MHz, CDCl3) δ 7.81 (d, J = 7.5 Hz, 1H), 7.61 (d, J = 7.5 Hz, 1H), 7.19 (t, J = 7.5 Hz, 1H), 3.89 (s, 3H), 3.32 (s, 1H), 2.71 (s, 3H). 13C{1H} NMR (126 MHz, CDCl3) δ 168.0, 142.2, 136.1, 130.7, 129.2, 125.5, 124.1, 84.5, 82.0, 52.2, 18.8.
Methyl 2-methyl-3-(1,2-dicarba-closo-dodecarboranyl)benzoate (5)
Compound 4 (5.0 g, 28.7 mmol) was dissolved in anhydrous toluene (50 mL). B10H12(CH3CN)2 (8.8 g, 43.5 mmol) and AgNO3 (244 mg, 1.4 mmol) were added to the solution. The reaction mixture was heated to 100 °C and stirred for 6 h. After TLC showed that the starting materials were consumed, the reaction was concentrated under reduced pressure and the residue was purified by column chromatography (PE/EA = 50:1) to give compound 5 as a white solid (4.6 g, 54% yield). 1H NMR (500 MHz, CDCl3) δ 7.70 (d, J = 8.5 Hz, 1H), 7.59 (d, J = 8.5 Hz, 1H), 7.23 (t, J = 8.0 Hz, 1H), 4.61 (s, 1H), 3.90 (s, 3H), 2.62 (s, 3H), 3.32–2.04 (br, 10H); 13C{1H} NMR (126 MHz, CDCl3) δ 168.9, 135.7, 134.8, 133.8, 133.1, 130.2, 126.2, 77.7, 60.3, 52.6, 19.1. 11B NMR (162 MHz, CDCl3) δ −1.86, −4.78, −9.19, −10.68, −11.65, −12.71.
(2-Methyl-3-(1,2-dicarba-closo-dodecarboranyl)phenyl)methanol (6)
Compound 5 (4.0 g, 13.6 mmol) was dissolved in anhydrous THF (50 mL) and the reaction was cooled to 0 °C in an ice bath. LiAlH4 (2.5 M in THF, 22.0 mL) was added dropwise over 10 min. The reaction mixture was warmed to 50 °C and stirred for 4 h. The reaction was cooled to 0 °C in an ice bath. Water was added slowly until no bubbles were generated. 1M HCl (5 mL) was added to the solution, dried over anhydrous Na2SO4, filtered, and concentrated. Compound 6 was obtained as a white solid (3.4 g, 94% yield). 1H NMR (500 MHz, CDCl3) δ 7.51 (d, J = 8.5 Hz, 1H), 7.42 (d, J = 7.5 Hz, 1H), 7.19 (t, J = 8.0 Hz, 1H), 4.71 (s, 2H), 4.57 (s, 1H), 2.54 (s, 3H), 2.82–1.78 (br, 10H); 13C{1H} NMR (126 MHz, CDCl3) δ 141.2, 134.3, 132.4, 130.4, 129.3, 126.3, 78.2, 64.3, 60.6, 16.8. 11B NMR (162 MHz, CDCl3) δ −1.93, −4.71, −9.13, −10.67, −11.51, −12.72.
2-Methoxy-6-((2-methyl-3-(1,2-dicarba-closo-dodecarboranyl)benzyl)oxy) nicotinaldehyde (7)
Compound 6 (3.0 g, 11.3 mmol) was dissolved in anhydrous toluene (30 mL). 6-bromo-2-methoxynicotinaldehyde (2.7 g, 12.5 mmol). Pd(OAc)2 (130 mg, 0.58 mmol), Cs2CO3 (5.6 g, 17.2 mmol), t-BuXphos (724 mg, 1.7 mmol) were added to the solution. The reaction mixture was heated to 100 °C and stirred for 6 h. After TLC showed that the starting materials were consumed, the reaction mixture was filtered and the filter cake was washed by DCM. The filtrate was concentrated under reduced pressure. The residue was washed with petroleum ether three times to give compound 7 as a yellow solid (4.2 g, 93% yield). 1H NMR (500 MHz, CDCl3) δ 10.21 (s, 1H), 8.07 (d, J = 8.0 Hz, 1H), 7.56 (d, J = 8.0 Hz, 1H), 7.46 (d, J = 7.5 Hz, 1H), 7.21 (t, J = 8.0 Hz, 1H), 6.44 (d, J = 8.5 Hz, 1H), 5.44 (s, 2H), 4.56 (s, 1H), 4.05 (s, 3H), 2.59 (s, 3H), 2.84–1.58 (br, 10H); 13C{1H} NMR (126 MHz, CDCl3) δ 187.6, 165.9, 164.9, 140.6, 137.2, 135.2, 132.6, 131.1, 131.0, 126.3, 112.6, 103.7, 78.0, 67.6, 60.7, 54.0, 17.3. 11B NMR (162 MHz, CDCl3) δ −2.85, −8.80, −9.61, −11.08, −13.38.
N-(2-(((6-((3-(1,2-Dicarba-closo-dodecarboranyl)-2-methylbenzyl)oxy)-2-methoxypyridin-3-yl)methyl)amino)ethyl)acetamide (1a)
Compound 7 (200 mg, 0.5 mmol) was dissolved in anhydrous THF (5 mL). N-(2-aminoethyl)acetamide (76.6 mg, 0.75 mmol) and NaBH(OAc)3 (420.5 mg, 2.0 mmol) were added to the solution. The reaction was stirred at room temperature for 4 h. After TLC showed that the starting materials were consumed, the mixture was filtered and the filtrate was concentrated under reduced pressure. The residue was purified by column chromatography (DCM/MeOH = 20:1) to give compound 1a as a white solid. (132.2 mg, 55% yield). 1H NMR (500 MHz, CDCl3) δ 7.55–7.52 (m, 2H), 7.45 (d, J = 7.0 Hz, 1H), 7.19 (m, 1H), 6.66 (t, J = 5.0 Hz, 1H), 6.37 (d, J = 8.0 Hz, 1H), 5.35 (s, 2H), 4.57 (s, 1H), 3.99 (s, 3H), 3.92 (s, 2H), 3.48–3.47 (m, 2H), 3.03–3.01 (m, 2H), 2.57 (s, 3H), 2.01 (s, 3H), 2.81–1.64 (br, 10H); 13C{1H} NMR (126 MHz, CDCl3): δ 171.8, 163.1, 161.0, 143.5, 137.5, 135.2, 132.4, 131.0, 131.0, 126.2, 104.4, 102.3, 78.1, 67.1, 60.7, 53.9, 50.3, 46.9, 45.6, 36.1, 23.0, 17.2. 11B NMR (162 MHz, CDCl3) δ −2.91, −8.69, −10.13, −11.10, −13.08. HRMS (ESI positive mode, m/z) calcd for C21H36B10N3O3 [M + H]+: 487.3718, found: 487.3724.
(6-((3-(1,2-Dicarba-closo-dodecarboranyl)-2-methylbenzyl)oxy)-2-methoxypyridin-3-yl)methanol (1b)
Compound 7 (1.0 g, 2.5 mmol) was dissolved in anhydrous THF (10 mL) and the reaction was cooled to 0 °C in an ice bath. LiAlH4 (2.5M in THF, 4 mL) was added dropwise over three minutes. The reaction mixture was stirred for 1 h at room temperature. Water was added slowly until no bubbles were generated. 1M HCl (3 mL) was added to the solution. The mixture was dried over anhydrous Na2SO4, filtered, and concentrated to give compound 1b as a white solid (950 mg, 95% yield). 1H NMR (500 MHz, CDCl3) δ 7.54–7.45 (m, 3H), 7.19–7.16 (m, 1H), 6.34 (d, J = 8.0 Hz, 1H), 5.35 (s, 2H), 4.57 (s, 3H), 3.96 (s, 3H), 2.58 (s, 3H), 3.17–1.91 (br, 10H); 13C{1H} NMR (126 MHz, CDCl3) δ 161.6, 160.3, 140.6, 138.1, 135.1, 132.4, 130.9, 130.8, 126.2, 114.7, 101.3, 78.2, 66.9, 60.7, 60.6, 53.5, 17.2. 11B NMR (162 MHz, CDCl3) δ −2.78, −8.76, −9.43, −10.93, −13.26. HRMS (ESI positive mode, m/z) calcd for C17H28B10NO3 [M + H]+: 403.3031, found: 403.3030.
tert-Butyl 2-((6-((3-(1,2-dicarba-closo-dodecarboranyl)-2-methylbenzyl)oxy)-2-methoxypyridin-3-yl)methoxy)acetate (8)
Compound 1b (200 mg, 0.50 mmol) was dissolved in anhydrous THF (5 mL), and 60% NaH (80 mg, 2.00 mmol) was added to the solution. Then tert-butyl 2-iodoacetate (181.5 mg, 0.75 mmol) was added and the reaction was stirred at room temperature for 12 h. After TLC showed that the starting materials were consumed, the reaction was quenched with water, extracted with ethyl acetate three times. The combined organic layer was washed with brine. The organic layer was dried over Na2SO4, concentrated under reduced pressure, and the residue was purified by column chromatography (DCM/MeOH = 100:1) to give compound 8 as a white solid. (159.3 mg, 62% yield). 1H NMR (500 MHz, CDCl3) δ 7.61 (d, J = 8.0 Hz, 1H), 7.53 (d, J = 8.5 Hz, 1H), 7.46 (d, J = 7.5 Hz, 1H), 7.18 (t, J = 8.0 Hz, 1H), 6.35 (d, J = 8.0 Hz, 1H), 5.34 (s, 2H), 4.57 (s, 1H), 4.54 (s, 2H), 4.00 (s, 2H), 3.92 (s, 3H), 2.98–1.94 (br, 10H), 2.57 (s, 3H), 1.48 (s, 9H); 13C{1H} NMR (126 MHz, CDCl3): δ 169.7, 161.7, 160.3, 141.8, 138.1, 135.1, 132.4, 130.9, 130.8, 126.1, 111.4, 101.5, 81.6, 78.2, 68.1, 67.2, 66.8, 60.6, 53.5, 28.2, 17.2. 11B NMR (162 MHz, CDCl3) δ −2.84, −8.77, −9.45, −11.11, −13.35.
2-((6-((3-(1,2-Dicarba-closo-dodecarboranyl)-2-methylbenzyl)oxy)-2-methoxypyridin-3-yl)methoxy)acetic acid (1c)
Compound 8 (100 mg, 0.19 mmol) was dissolved in DCM (5 mL), and TFA (3 mL) was added to the solution. The reaction was stirred at room temperature for 12 h. After TLC showed that the starting materials were consumed, saturated NaHCO3 solution was added dropwise to adjust the pH to neutral. The product was extracted with DCM, concentrated under reduced pressure, and the residue was purified by column chromatography (DCM/MeOH = 50:1). Compound 1c was obtained as a white solid (84.7 mg, 97% yield). 1H NMR (500 MHz, CDCl3) δ 7.54 (t, J = 8.0 Hz, 2H), 7.46 (d, J = 7.5 Hz, 1H), 7.19 (t, J = 8.0 Hz, 1H), 6.34 (d, J = 8.0 Hz, 1H), 5.35 (s, 2H), 5.04 (s, 2H), 4.58 (s, 1H), 3.95 (s, 3H), 2.57 (s, 2H), 2.07 (s, 3H), 2.97–1.64 (br, 10H); 13C{1H} NMR (126 MHz, CDCl3): δ 171.1, 162.1, 160.8, 142.3, 138.0, 135.2, 132.4, 131.0, 130.9, 126.2, 109.8, 101.4, 78.2, 66.9, 61.0, 60.6, 53.6, 21.1, 17.2. 11B NMR (162 MHz, CDCl3) δ −2.81, −8.77, −9.46, −10.96, −13.31. HRMS (ESI negative mode, m/z) calcd for C19H28B10NO5 [M–H]−: 459.2940, found: 459.2945.
3.2. Biological Evaluation
3.2.1. PD1/PD-L1 Blockade Bioassay
The HTRF PD1/PD-L1 binding assay was performed using PD1/PD-L1 binding kits (CisbioBioassays SAS, Codolet, France, part no. 64PD1PEG) according to the manufacturer’s instructions. The interaction between PD1 and PD-L1 is detected by anti-Tag1 Eu Cryptate reagent (HTRF donor) and anti-Tag2 XL665 antibody (HTRF acceptor). Synthesized compounds blocking the PD1/PD-L1 interaction cause a reduction in the HTRF signal. Briefly, 2 µL of compounds, 4 µL of Tag1-PD-L1 and 4 µL of Tag2-PD1 were added sequentially to a 384-well plate for a total volume of 10 µL and incubated for 15 min at room temperature. Subsequently 10 µL of pre-mixed anti-Tag1-EuK and anti-Tag2-XL665 reagent was added into the assay well and then incubated for 1 h at room temperature. The signals were measured at 665 nm/620 nm and HTRF ratio was calculated with (OD665 nm/OD620 nm) × 104. Inhibition rate (%) = (Ratiomax − Ratiosample)/(Ratiomax − Ratiomin) × 100.
3.2.2. Docking Studies
All the ligands were drawn and optimized using Chem3D software (version 22.2.0). Energy minimization calculations were performed using the MM2 calculation in Chem3D. Existing docking programs generally lack parameters for boron. Therefore, we replaced the carborane group with a structurally similar adamantane group for docking. These new ligands, incorporating adamantane groups, were then redrawn and subjected to another MM2 energy minimization. The protein structure was downloaded from the RCSB Protein Data Bank in PDB format (PDB ID: 5N2F). For docking studies, protein preparation was performed using the Protein Preparation Workflow in Schrödinger’s Maestro suite (version 22-3). The docking site was defined using the Receptor Grid Generation function of Maestro by selecting amino acids near the original ligand. Subsequently, docking was performed using the Ligand Docking function. This docking incorporated core constraints, defined by a core pattern comparison with the original protein ligand’s core atoms, specifically utilizing a Maximum Common Substructure approach. Finally, the carborane-containing ligand was aligned to the adamantane ligand docking result using the Ligand Alignment function [46,47].
3.2.3. Cell Culture
The cell lines Raji, Ramos, HepG2, MDA-MB-468, DU145 and A549 were obtained from the American Type Culture Collection (ATCC, Manassas, VA, USA). Raji and Ramos were cultured in RPMI-1640 supplemented with 10% fetal bovine serum (FBS), 100 U penicillin, and 100 mg/mL streptomycin. HepG2 and MDA-MB-468 were maintained in DMEM supplemented with 10% FBS, 100 U penicillin, and 100 mg/mL streptomycin. DU145 cells were routinely cultured in MEM supplemented with 10% FBS, 100 U penicillin, and 100 mg/mL streptomycin. A549 cells were cultured in Ham’s F-12K supplemented with 10% FBS, 100 U penicillin, and 100 mg/mL streptomycin. Cultures were incubated in a humidified incubator at 37 °C and 5% CO2. Cells were subcultured every 3–4 days. For HepG2, DU145, A549 and MDA-MB-468 cell lines, cells were removed from flasks for passage or for transfer to assay plates by incubating them with 0.25% trypsin.
3.2.4. Anti-Proliferation Assay
Cell proliferation was determined by a CCK8 assay (CCK-8 cell counting kit, catalog number A311-02, Vazyme, Nanjing, China) using 2-(2-methoxy-4-nitrophenyl)-3-(4-nitrophenyl)-5-(2,4-disulfophenyl)-2H-tetrazolium, monosodium salt (WST-8) to measure cell viability. Briefly, Raji, Ramos, HepG2, DU145, A549 and MDA-MB-468 were seeded into 96-well transparent plates at a density of 4000 cells per well. Various concentrations of the tested compounds or solvent control were added to the wells in triplicate. The cells were incubated at 37 °C with 5% CO2 for 48 h. 10 μL of WST-8 was added to each well and the cells were incubated at 37 °C with 5% CO2 for 4 h. The absorbance value of each well was measured by a microplate reader (SpectraMax i3x, Molecular Devices, San Jose, CA, USA) at a wavelength of 450 nm. The IC50 values were calculated using nonlinear regression analysis with GraphPad Prism 9 software.
3.2.5. Cell Cycle Analysis by Flow Cytometry
HepG2 cells were seeded on a 24-well plate at a density of 50,000 cells per well and cultured overnight. Then cells were treated in triplicate with either 0.1% DMSO as a control group, compound 1a (5 μM and 15 μM) or compound 1b (5 μM and 15 μM). Following 24 h or 48 h treatment, cells were harvested by trypsin (no EDTA), washed with cold PBS, and mixed with pre-cooled 70% ethanol and fixed at 4 °C for 4 h. After washing with cold PBS, cells were treated with RNase A and stained with propidium iodide (cell cycle and apoptosis analysis kit, catalog No. 40301ES60, Yeasen, Shanghai, China). The samples were analyzed using a flow cytometer (LSRFortessa, BD Biosciences, Franklin Lakes, NJ, USA), with the data acquired from 20,000 cells in general. The results were analyzed using FlowJo v10.10 software.
3.2.6. Apoptosis Analysis Assay
HepG2 cells were seeded on a 6-well plate at a density of 200,000 cells per well and cultured overnight. Cells were then exposed in triplicate to either 0.1% DMSO as a control group or compound 1a (1.6 μM, 8 μM and 40 μM) and incubated for 24 h. Annexin V-PE/7-AAD apoptosis detection kit (catalog No. A213-02, Vazyme) was used based on the manufacturer’s instructions to detect the apoptosis rates. In brief, cells were washed twice in ice-cold PBS and incubated with 100 μL 1 × binding buffer supplemented with 5 μL Annexin V-PE and 5 μL 7-AAD staining solution. 30 min later, another 400 μL 1 × binding buffer was added. Apoptotic rate was measured by flow cytometry, and the data were analyzed by FlowJo v10.10 software. Live cells were defined as Annexin V−/7-AAD−, early apoptosis as Annexin V+/7-AAD− and late apoptosis as Annexin V+/7-AAD+.
3.2.7. Xenograft Models
All animal studies were conducted in compliance with Institutional Animal Care and Use Committee guidelines at ShanghaiTech University (Approval number: 20240407002). Male BALB/c nu/nu nude mice (4–6 weeks old) were purchased from Shanghai Jihui Laboratory Animal Care Co., Ltd. (Shanghai, China). The mice were maintained in air-conditioned rooms and fed with standard laboratory food and water. For tumor inoculation, HepG2 cells were trypsinized, washed, centrifuged, and resuspended in PBS, followed by mixing with matrigel (Xiamen Mogengel, Xiamen, China) at a 1:1 ratio. A total amount of 5 × 106 cells was subcutaneously injected into the flank region of each mouse. Mice were enrolled in experiments when the average tumor volume reached 300–500 mm3.
3.2.8. Biodistribution Study of Compound 1a Using ICP-MS
1 mg of compound 1a was administered in a mixture of saline and DMSO through a single intraperitoneal injection. Mice were sacrificed at 1 h, 3 h and 5 h post-injection (n = 3 per time point). Blood was collected by cardiac puncture. Major organs (bone, brain, heart, kidney, large intestine, liver, lung, muscle, pancreas, small intestine, spleen, stomach, and subcutaneous tumor) were harvested and weighed. Tissue digestion was performed for 2 days at room temperature in 1 mL of a 1:1 mixture of concentrated sulfuric and nitric acids. After vortexing and thorough mixing, 100 μL of the digestion solution was taken out and diluted 100-fold in 9.9 mL of DI water followed by filtering through a 0.22 μm membrane. Boron content was then quantified using ICP-Mass (NexION 2000, PerkinElmer, Waltham, MA, USA).
3.2.9. Statistical Analysis
Data were analyzed using the unpaired two-tailed Student’s t test for comparisons between two groups and one-way ANOVA for comparisons involving more than two groups. Differences at the 95% confidence level (p < 0.05) were considered statistically significant. The results are presented as mean ± SD and plotted using GraphPad Prism 9 software.
4. Conclusions
In this study, we applied the “carborane replacing phenyl ring” strategy to the PD-L1 small molecule inhibitor BMS-202 and made its carboranyl derivatives. Unfortunately, the carboranyl derivatives of BMS-202 lost the binding affinity to PD-L1. The docking study revealed that PD-L1 holds the biphenyl ring of BMS-202 in a narrow crevice, which was not big enough to hold the spherical bulky carborane. These results remind medicinal chemists that they need to consider the pocket size of the target protein when using the “carborane replacing phenyl ring” strategy to design molecules. To our delight, compounds 1a and 1b exhibited anti-proliferative activities to a variety of cancer cell lines. The mechanism studies revealed that compound 1a can induce cell apoptosis and lead to G1 cell cycle phase arrest. In the biodistribution study, we found that compound 1a was accumulated in the liver and pancreas at a high uptake value when it was administered through intraperitoneal injection. The brain/blood uptake ratio was 0.60 ± 0.08, indicating a good blood-brain penetration capability.
Supplementary Materials
The following supporting information can be downloaded at: https://www.mdpi.com/article/10.3390/molecules30244789/s1, Accession Codes: Crystallographic data are available free of charge from the Cambridge Crystallographic Data Centre via www.ccdc.cam.ac.uk/data_request/cif (accessed on 9 October 2025). The CCDC number for compound 1a is assigned as 2482386. Figure S1: IC50 of compounds 1a, 1b and 1c towards various cancer cell lines; Table S1: In vivo boron biodistribution analysis of compound 1a. 1H and 13C NMR Spectra Data. X-ray crystallographic structure of compound 1a (Tables S2–S9).
Author Contributions
Conceptualization, S.W.; methodology, C.Y. and C.L.; software, Y.L. (Yuzhe Lin) and T.C.; validation, G.H., Y.Z. (Yirong Zhang) and H.L.; formal analysis, L.W. and Y.L. (Yuan Li); investigation, C.Y., C.L., C.M. and Y.Z. (Yu Zhao); resources, Z.Z. and D.C.; data curation, N.S.; writing—original draft preparation, C.Y. and C.L.; writing—review and editing, S.W.; project administration, S.W.; funding acquisition, S.W. All authors have read and agreed to the published version of the manuscript.
Funding
This research was funded by ShanghaiTech Startup funding.
Institutional Review Board Statement
The animal study protocol was approved by the Institutional Animal Care and Use Committee at ShanghaiTech University (Approval number: 20240407002).
Informed Consent Statement
Not applicable.
Data Availability Statement
Data are contained within the article and Supplementary Materials.
Acknowledgments
We would like to thank Chengying Xie (Lingang Laboratory) for the biological evaluation of our compounds.
Conflicts of Interest
The authors declare no conflicts of interest.
References
- Valliant, J.F.; Guenther, K.J.; King, A.S.; Morel, P.; Schaffer, P.; Sogbein, O.O.; Stephenson, K.A. The medicinal chemistry of carboranes. Coord. Chem. Rev. 2002, 232, 173–230. [Google Scholar] [CrossRef]
- Qiu, Z.; Xie, Z. Functionalization of o-carboranes via carboryne intermediates. Chem. Soc. Rev. 2022, 51, 3164–3180. [Google Scholar] [CrossRef] [PubMed]
- Xu, H.; Liu, J.; Li, R.; Lin, J.; Gui, L.; Wang, Y.; Jin, Z.; Xia, W.; Liu, Y.; Cheng, S.; et al. Novel promising boron agents for boron neutron capture therapy: Current status and outlook on the future. Coord. Chem. Rev. 2024, 511, 215795. [Google Scholar] [CrossRef]
- Seneviratne, D.S.; Saifi, O.; Mackeyev, Y.; Malouff, T.; Krishnan, S. Next-generation boron drugs and rational translational studies driving the revival of BNCT. Cells 2023, 12, 1398. [Google Scholar] [CrossRef] [PubMed]
- Järvinen, J.; Pulkkinen, H.; Rautio, J.; Timonen, J.M. Amino acid-based boron carriers in boron neutron capture therapy (BNCT). Pharmaceutics 2023, 15, 2663. [Google Scholar] [CrossRef]
- Hu, K.; Yang, Z.; Zhang, L.; Xie, L.; Wang, L.; Xu, H.; Josephson, L.; Liang, S.H.; Zhang, M.R. Boron agents for neutron capture therapy. Coord. Chem. Rev. 2020, 405, 213139. [Google Scholar] [CrossRef]
- Couto, M.; Alamón, C.; Nievas, S.; Perona, M.; Dagrosa, M.A.; Teixidor, F.; Cabral, P.; Viñas, C.; Cerecetto, H. Bimodal therapeutic agents against glioblastoma, one of the most lethal forms of cancer. Chem. Eur. J. 2020, 26, 14335–14340. [Google Scholar] [CrossRef]
- Alamón, C.; Dávila, B.; García, M.F.; Nievas, S.; Dagrosa, M.A.; Thorp, S.; Kovacs, M.; Trias, E.; Faccio, R.; Gabay, M.; et al. A potential boron neutron capture therapy agent selectively suppresses high-grade glioma: In vitro and in vivo exploration. Mol. Pharm. 2023, 20, 2702–2713. [Google Scholar] [CrossRef]
- Stockmann, P.; Gozzi, M.; Kuhnert, R.; Sárosi, M.B.; Hey-Hawkins, E. New keys for old locks: Carborane-containing drugs as platforms for mechanism-based therapies. Chem. Soc. Rev. 2019, 48, 3497–3512. [Google Scholar] [CrossRef] [PubMed]
- Fauchère, J.L.; Do, K.Q.; Jow, P.Y.; Hansch, C. Unusually strong lipophilicity of ‘fat’ or ‘super’ amino-acids, including a new reference value for glycine. Experientia 1980, 36, 1203–1204. [Google Scholar] [CrossRef]
- Fanfrlík, J.; Lepšík, M.; Horinek, D.; Havlas, Z.; Hobza, P. Interaction of carboranes with biomolecules: Formation of dihydrogen bonds. ChemPhysChem 2006, 7, 1100–1105. [Google Scholar] [CrossRef]
- Lunato, A.J.; Wang, J.; Woollard, J.E.; Anisuzzaman, A.K.M.; Ji, W.; Rong, F.; Ikeda, S.; Soloway, A.H.; Eriksson, S.; Ives, D.H.; et al. Synthesis of 5-(carboranylalkylmercapto)-2′-deoxyuridines and 3-(carboranylalkyl)thymidines and their evaluation as substrates for human thymidine kinases 1 and 2. J. Med. Chem. 1999, 42, 3378–3389. [Google Scholar] [CrossRef]
- Marfavi, A.; Kavianpour, P.; Rendina, L.M. Carboranes in drug discovery, chemical biology and molecular imaging. Nat. Rev. Chem. 2022, 6, 486–504. [Google Scholar] [CrossRef] [PubMed]
- Scholz, M.; Hey-Hawkins, E. Carbaboranes as pharmacophores: Properties, synthesis, and application strategies. Chem. Rev. 2011, 111, 7035–7062. [Google Scholar] [CrossRef] [PubMed]
- Alamón, C.; Dávila, B.; García, M.F.; Sánchez, C.; Kovacs, M.; Trias, E.; Barbeito, L.; Gabay, M.; Zeineh, N.; Gavish, M.; et al. Sunitinib-containing carborane pharmacophore with the ability to inhibit tyrosine kinases receptors FLT3, KIT and PDGFR-β, exhibits powerful in Vivo anti-glioblastoma activity. Cancers 2020, 12, 3423. [Google Scholar] [CrossRef]
- Couto, M.; Alamón, C.; García, M.F.; Kovacs, M.; Trias, E.; Nievas, S.; Pozzi, E.; Curotto, P.; Thorp, S.; Dagrosa, M.A.; et al. Closo-Carboranyl- and Metallacarboranyl [1,2,3]triazolyl-decorated lapatinib-scaffold for cancer therapy combining tyrosine kinase inhibition and boron neutron capture therapy. Cells 2020, 9, 1408. [Google Scholar] [CrossRef] [PubMed]
- Couto, M.; García, M.F.; Alamón, C.; Cabrera, M.; Cabral, P.; Merlino, A.; Teixidor, F.; Cerecetto, H.; Viñas, C. Discovery of potent EGFR inhibitors through the incorporation of a 3D-aromatic-boron-rich-cluster into the 4-anilinoquinazoline scaffold: Potential drugs for glioma treatment. Chem. Eur. J. 2018, 24, 3122–3126. [Google Scholar] [CrossRef] [PubMed]
- Subbaiah, M.A.M.; Meanwell, N.A. Bioisosteres of the phenyl ring: Recent strategic applications in lead optimization and drug design. J. Med. Chem. 2021, 64, 14046–14128. [Google Scholar] [CrossRef]
- Xia, K. Recent advances in bridged structures as 3D bioisosteres of ortho-phenyl rings in medicinal chemistry applications. Chem. Commun. 2025, 61, 6417–6425. [Google Scholar] [CrossRef]
- Ertl, P.; Altmann, E.; Racine, S.; Lewis, R. Ring replacement recommender: Ring modifications for improving biological activity. Eur. J. Med. Chem. 2022, 238, 114483. [Google Scholar] [CrossRef]
- Ogawa, T.; Ohta, K.; Yoshimi, T.; Yamazaki, H.; Suzuki, T.; Ohta, S.; Endo, Y. m-Carborane bisphenol structure as a pharmacophore for selective estrogen receptor modulators. Bioorg. Med. Chem. Lett. 2006, 16, 3943–3946. [Google Scholar] [CrossRef]
- Fujii, S.; Masuno, H.; Taoda, Y.; Kano, A.; Wongmayura, A.; Nakabayashi, M.; Ito, N.; Shimizu, M.; Kawachi, E.; Hirano, T.; et al. Boron cluster-based development of potent nonsecosteroidal vitamin D receptor ligands: Direct observation of hydrophobic interaction between protein surface and carborane. J. Am. Chem. Soc. 2011, 133, 20933–20941. [Google Scholar] [CrossRef]
- Poater, J.; Viñas, C.; Bennour, I.; Escayola, S.; Solà, M.; Teixidor, F. Too persistent to give up: Aromaticity in boron clusters survives radical structural changes. J. Am. Chem. Soc. 2020, 142, 9396–9407. [Google Scholar] [CrossRef] [PubMed]
- Stepan, A.F.; Subramanyam, C.; Efremov, I.V.; Dutra, J.K.; O’Sullivan, T.J.; DiRico, K.J.; McDonald, W.S.; Won, A.; Dorff, P.H.; Nolan, C.E.; et al. Application of the bicyclo [1.1.1]pentane motif as a nonclassical phenyl ring bioisostere in the design of a potent and orally active γ-secretase inhibitor. J. Med. Chem. 2012, 55, 3414–3424. [Google Scholar] [CrossRef] [PubMed]
- Chen, Y.; Du, F.; Tang, L.; Xu, J.; Zhao, Y.; Wu, X.; Li, M.; Shen, J.; Wen, Q.; Cho, C.H.; et al. Carboranes as unique pharmacophores in antitumor medicinal chemistry. Mol. Ther. Oncolytics 2022, 24, 400–416. [Google Scholar] [CrossRef] [PubMed]
- Selg, C.; Neumann, W.; Lönnecke, P.; Hey-Hawkins, E.; Zeitler, K. Carboranes as aryl mimetics in catalysis: A highly active zwitterionic NHC-precatalyst. Chem. Eur. J. 2017, 23, 7932–7937. [Google Scholar] [CrossRef]
- Scholz, M.; Bensdorf, K.; Gust, R.; Hey-Hawkins, E. Asborin: The carbaborane analogue of aspirin. ChemMedChem 2009, 4, 746–748. [Google Scholar] [CrossRef]
- Scholz, M.; Kaluđerović, G.N.; Kommera, H.; Paschke, R.; Will, J.; Sheldrick, W.S.; Hey-Hawkins, E. Carbaboranes as pharmacophores: Similarities and differences between aspirin and asborin. Eur. J. Med. Chem. 2011, 46, 1131–1139. [Google Scholar] [CrossRef]
- Saretz, S.; Basset, G.; Useini, L.; Laube, M.; Pietzsch, J.; Drača, D.; Maksimović-Ivanić, D.; Trambauer, J.; Steiner, H.; Hey-Hawkins, E. Modulation of γ-secretase activity by a carborane-based flurbiprofen analogue. Molecules 2021, 26, 2843. [Google Scholar] [CrossRef]
- Neumann, W.; Xu, S.; Sárosi, M.B.; Scholz, M.S.; Crews, B.C.; Ghebreselasie, K.; Banerjee, S.; Marnett, L.J.; Hey-Hawkins, E. nido-Dicarbaborate induces potent and selective inhibition of cyclooxygenase-2. ChemMedChem 2015, 11, 175–178. [Google Scholar] [CrossRef]
- WO 2015/034820 A1; Compounds Useful as Immunomodulators. World Intellectual Property Organization: Geneva, Switzerland, 2015.
- Zak, K.M.; Grudnik, P.; Magiera, K.; Dömling, A.; Dubin, G.; Holak, T.A. Structural biology of the immune checkpoint receptor PD-1 and its ligands PD-L1/PD-L2. Structure 2017, 25, 1163–1174. [Google Scholar] [CrossRef]
- Zak, K.M.; Grudnik, P.; Guzik, K.; Zieba, B.J.; Musielak, B.; Dömling, A.; Dubin, G.; Holak, T.A. Structural basis for small molecule targeting of the programmed death ligand 1 (PD-L1). Oncotarget 2016, 7, 30323–30335. [Google Scholar] [CrossRef]
- Park, J.J.; Thi, E.P.; Carpio, V.H.; Bi, Y.; Cole, A.G.; Dorsey, B.D.; Fan, K.; Harasym, T.; Iott, C.L.; Kadhim, S.; et al. Checkpoint inhibition through small molecule-induced internalization of programmed death-ligand 1. Nat. Commun. 2021, 12, 1222–1232. [Google Scholar] [CrossRef]
- Sun, C.; Yin, M.; Cheng, Y.; Kuang, Z.; Liu, X.; Wang, G.; Wang, X.; Yuan, K.; Min, W.; Dong, J.; et al. Novel small-molecule PD-L1 inhibitor induces PD-L1 internalization and optimizes the immune microenvironment. J. Med. Chem. 2022, 66, 2064–2083. [Google Scholar] [CrossRef]
- Guzik, K.; Zak, K.M.; Grudnik, P.; Magiera, K.; Musielak, B.; Törner, R.; Skalniak, L.; Dömling, A.; Dubin, G.; Holak, T.A. Small-molecule inhibitors of the programmed cell death-1/programmed death-ligand 1 (PD-1/PD-L1) interaction via transiently induced protein states and dimerization of PD-L1. J. Med. Chem. 2017, 60, 5857–5867. [Google Scholar] [CrossRef]
- Basu, S.; Yang, J.; Xu, B.; Magiera-Mularz, K.; Skalniak, L.; Musielak, B.; Kholodovych, V.; Holak, T.A.; Hu, L. Design, synthesis, evaluation, and structural studies of C2-symmetric small molecule inhibitors of programmed cell death-1/programmed death-ligand 1 protein–protein interaction. J. Med. Chem. 2019, 62, 7250–7263. [Google Scholar] [CrossRef] [PubMed]
- Wang, T.; Cai, S.; Cheng, Y.; Zhang, W.; Wang, M.; Sun, H.; Guo, B.; Li, Z.; Xiao, Y.; Jiang, S. Discovery of small-molecule inhibitors of the PD-1/PD-L1 axis that promote PD-L1 internalization and degradation. J. Med. Chem. 2022, 65, 3879–3893. [Google Scholar] [CrossRef] [PubMed]
- Li, C.; Zhang, Y.; Zhang, Z.; Zhang, Y.; Song, Y.; Wang, L.; Yuan, C.; Hao, G.; Sun, N.; Li, H.; et al. Discovery and biological evaluation of carborane-containing derivatives as TEAD auto palmitoylation inhibitors. Bioorg. Med. Chem. Lett. 2025, 121, 130155–130163. [Google Scholar] [CrossRef] [PubMed]
- Zhang, Y.; Yu, C.; Wang, L.; Zhou, L.; Li, C.; Yuan, C.; Sun, N.; Hao, G.; Ma, C.; Lin, Y.; et al. Synthesis and anticancer activity evaluation of novel carborane-containing isoflavonoid analogues. ACS Omega 2025, 10, 18720–18732. [Google Scholar] [CrossRef]
- Wang, S.; Blaha, C.; Santos, R.; Huynh, T.; Hayes, T.R.; Beckford-Vera, D.R.; Blecha, J.E.; Hong, A.S.; Fogarty, M.; Hope, T.A.; et al. Synthesis and initial biological evaluation of boron-containing prostate-specific membrane antigen ligands for treatment of prostate cancer using boron neutron capture therapy. Mol. Pharm. 2019, 16, 3831–3841. [Google Scholar] [CrossRef]
- Toppino, A.; Genady, A.R.; El-Zaria, M.E.; Reeve, J.; Mostofian, F.; Kent, J.; Valliant, J.F. High yielding preparation of dicarba-closo-dodecaboranes using a silver(I) mediated dehydrogenative alkyne-insertion reaction. Inorg. Chem. 2013, 52, 8743–8749. [Google Scholar] [CrossRef]
- Vonnemann, C.J.; Engelage, E.; Ward, J.S.; Rissanen, K.; Keller, S.; Huber, S.M. Ortho-carborane-derived halogen bonding organocatalysts. Angew. Chem. Int. Ed. 2025, 64, e202424072. [Google Scholar] [CrossRef] [PubMed]
- El-Zaria, M.E.; Keskar, K.; Genady, A.R.; Ioppolo, J.A.; McNulty, J.; Valliant, J.F. High yielding synthesis of carboranes under mild reaction conditions using a homogeneous silver(I) catalyst: Direct evidence of a bimetallic intermediate. Angew. Chem. Int. Ed. 2014, 53, 5156–5160. [Google Scholar] [CrossRef] [PubMed]
- Cai, L.; Qin, X.; Xu, Z.; Song, Y.; Jiang, H.; Wu, Y.; Ruan, H.; Chen, J. Comparison of cytotoxicity evaluation of anticancer drugs between real-time cell analysis and CCK-8 method. ACS Omega 2019, 4, 12036–12042. [Google Scholar] [CrossRef] [PubMed]
- Ok, K.; Jung, Y.W.; Jee, J.; Byun, Y. Facile docking and scoring studies of carborane ligands with estrogen receptor. Bull. Korean Chem. Soc. 2013, 34, 1051–1054. [Google Scholar] [CrossRef]
- Donarska, B.; Cytarska, J.; Kołodziej-Sobczak, D.; Studzinska, R.; Kupczyk, D.; Baranowska-Łaczkowska, A.; Jaroch, K.; Szeliska, P.; Bojko, B.; Rózycka, D.; et al. Synthesis of carborane–thiazole conjugates as tyrosinase and 11β-hydroxysteroid dehydrogenase inhibitors: Antiproliferative activity and molecular docking studies. Molecules 2024, 29, 4716. [Google Scholar] [CrossRef]
Disclaimer/Publisher’s Note: The statements, opinions and data contained in all publications are solely those of the individual author(s) and contributor(s) and not of MDPI and/or the editor(s). MDPI and/or the editor(s) disclaim responsibility for any injury to people or property resulting from any ideas, methods, instructions or products referred to in the content. |
© 2025 by the authors. Licensee MDPI, Basel, Switzerland. This article is an open access article distributed under the terms and conditions of the Creative Commons Attribution (CC BY) license (https://creativecommons.org/licenses/by/4.0/).







