Stereoselective Cytotoxicity of Enantiopure 3,3-Dichloro-γ-lactams: Correlating In Vitro Activity with In Vivo Tolerability
Abstract
1. Introduction
2. Results and Discussion
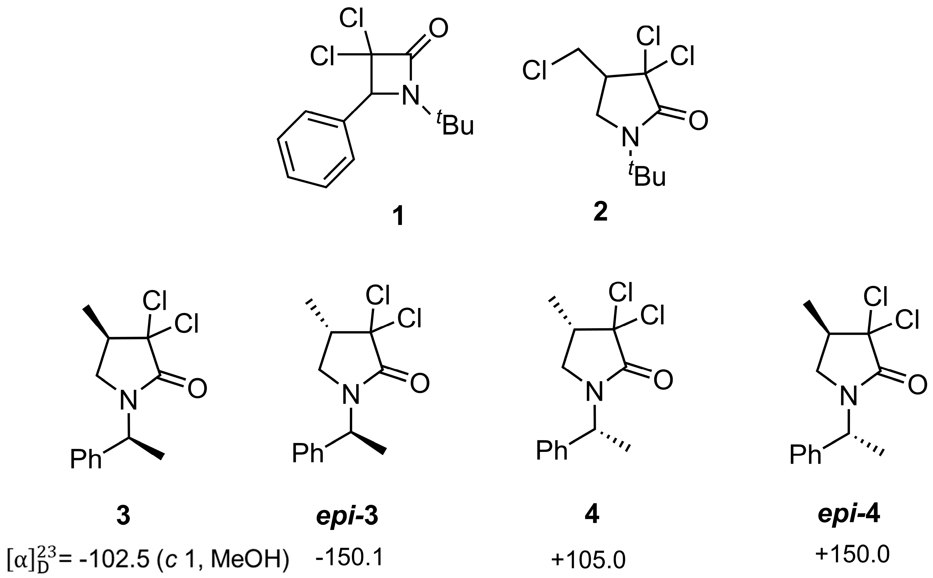
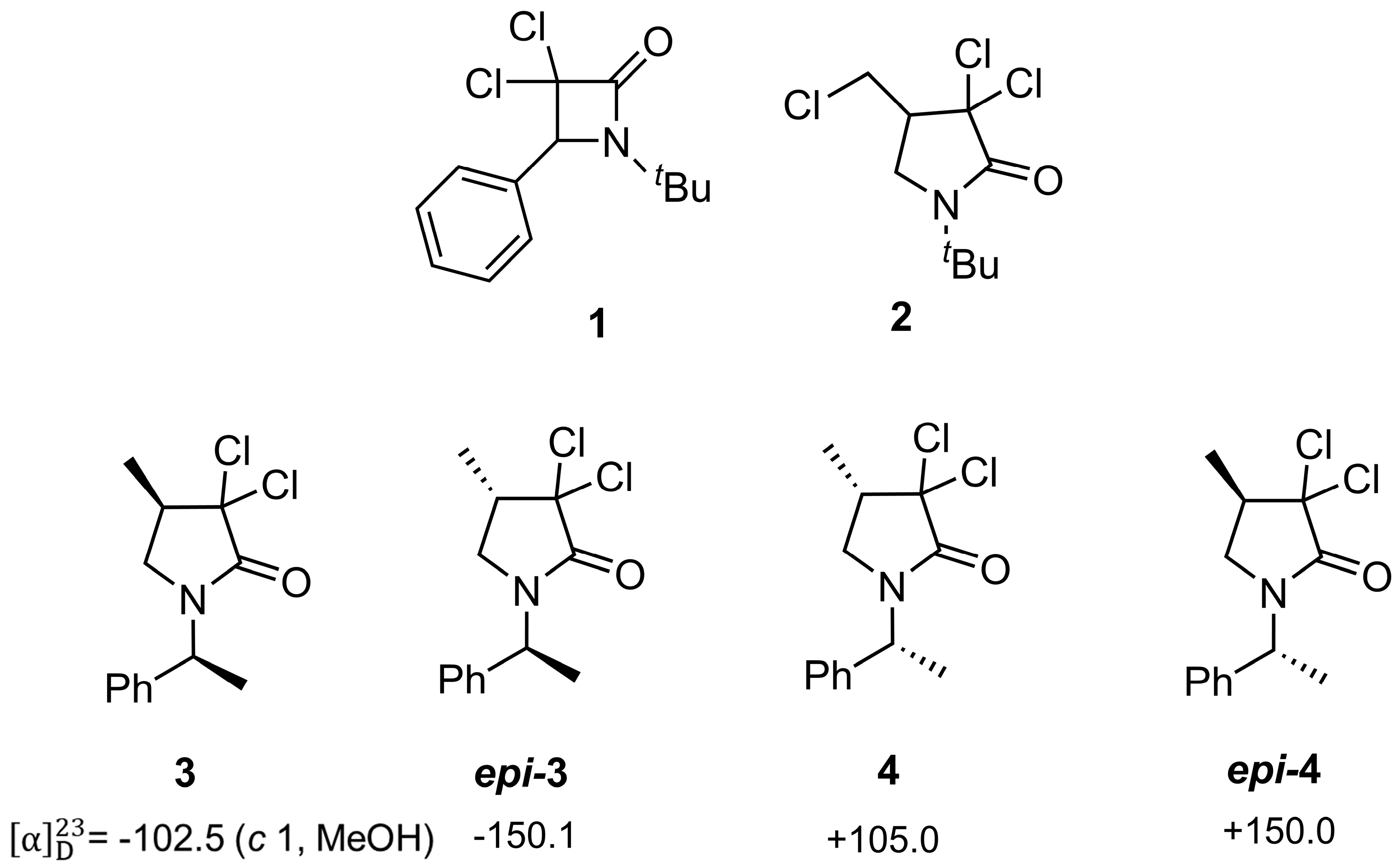
2.1. Synthesis of Lactams 4 and epi-4
2.2. Hemocompatibility Studies
2.3. Cell Viability Assays
2.4. The In Vivo Zebrafish Experiments
3. Materials and Methods
3.1. Experimental Procedure for the Synthesis of Lactams 4 and epi-4
3.2. Materials and Methods for In Vitro Assays
3.2.1. Materials
3.2.2. Methods
In Vitro Assay Using Human Erythrocytes
- Acquisition and Extraction of the Erythrocytes
Hemolysis Assay
In Vitro Assay Using Cell Cultures
Cell Viability Assays
NRU Assay
MTT Assay
Selectivity Towards Cancer Cells
3.3. Materials and Methods for In Vivo Assays
3.3.1. Zebrafish Egg Production and Exposure
3.3.2. Evaluation of Lethality and Dysmorphogenesis
3.3.3. Touch-Evoked Response (TER) Test
3.3.4. Statistical Analysis
4. Conclusions
Supplementary Materials
Author Contributions
Funding
Institutional Review Board Statement
Informed Consent Statement
Data Availability Statement
Acknowledgments
Conflicts of Interest
References
- Liew, S.K.; Malagobadan, S.; Arshad, N.M.; Nagoor, N.H. A Review of the Structure-Activity Relationship of Natural and Synthetic Antimetastatic Compounds. Biomolecules 2020, 10, 138. [Google Scholar] [CrossRef] [PubMed]
- Solea, A.B.; Demirci, G.; Harvey, F.M.; Crochet, A.; Zobi, F.; Mamula Steiner, O. The role of stereochemistry in the anticancer activity of Re(I) tricarbonyl complexes. Dalton Trans. 2024, 53, 13743–13755. [Google Scholar] [CrossRef] [PubMed]
- Li, B.-B.; Jia, Y.-X.; Zhu, P.-C.; Chew, R.J.; Li, Y.-X.; Tan, N.S.; Leung, P.-H. Highly Selective Anti-Cancer Properties of Ester Functionalized Enantiopure Dinuclear Gold(I)–Diphosphine. Eur. J. Med. Chem. 2015, 98, 250–255. [Google Scholar] [CrossRef] [PubMed]
- Somers, G.F. The pharmacological differences between the optical isomers of thalidomide. J. Med. Pharm. Chem. 1960, 2, 1–14. [Google Scholar]
- Pawlowska, R.; Banaszkiewicz, H.; Chworos, A.; Zurawinski, R. Anticancer Activity of Enantiomeric Neplanocins A: Exploring the Role of Chirality in Tumor Suppression. Int. J. Mol. Sci. 2025, 26, 1308. [Google Scholar] [CrossRef] [PubMed]
- Diaba, F.; Morán, M.d.C.; Teixidó, E. From In Vitro Cytotoxicity to In Vivo Zebrafish Assays: A Study on 3,3-Dichloro β-, γ- and δ-Lactams and Their Biological Activity Profiles. Pharmaceuticals 2025, 18, 488. [Google Scholar] [CrossRef] [PubMed]
- Diaba, F.; Sandor, A.G.; Morán, M.d.C. Microwave-Assisted Atom Transfer Radical Cyclization in the Synthesis of 3,3-Dichloro-γ- and δ-Lactams from N-Alkenyl-Tethered Trichloroacetamides Catalyzed by RuCl2(PPh3)3 and Their Cytotoxic Evaluation. Molecules 2024, 29, 2035. [Google Scholar] [CrossRef] [PubMed]
- Diaba, F.; Trenchs, G. Catalyst-free photo-induced aerobic radical synthesis of lactams from N-alkenyl trichloroacetamides in 2-methyltetrahydrofuran as the radical initiator under violet light. Org. Biomol. Chem. 2024, 22, 388–394. [Google Scholar] [CrossRef] [PubMed]
- ISO 10993-4:2017; Biological Evaluation of Medical Devices—Part 4: Selection of Tests for Interactions with Blood. ISO: Geneva, Switzerland, 2017.
- Dobrovolskaia, M.A.; Clogston, J.D.; Neun, B.W.; Hall, J.B.; Patri, A.K.; McNeil, S.E. Method for analysis of nanoparticle hemolytic properties in vitro. Nano Lett. 2008, 8, 2180–2187. [Google Scholar] [CrossRef] [PubMed]
- Berridge, M.V.; Herst, P.M.; Tan, A.S. Tetrazolium dyes as tools in cell biology: New insight into their cellular reduction. Biotechnol. Annu. Rev. 2005, 11, 127–152. [Google Scholar] [PubMed]
- Repetto, G.; del Peso, A.; Zurita, J.L. Neutral red uptake assay for the estimation of cell viability/cytotoxicity. Nat. Protoc. 2008, 3, 1125–1131. [Google Scholar] [CrossRef] [PubMed]
- Guo, D.; He, R.; Luo, L.; Zhang, W.; Fan, J. Enantioselective acute toxicity, oxidative stress effects, neurotoxicity, and thyroid disruption of uniconazole in zebrafish (Danio rerio). Environ. Sci. Pollut. Res. Int. 2022, 29, 40157–40168. [Google Scholar] [CrossRef] [PubMed]
- Fan, Y.; Feng, Q.; Lai, K.; Huang, W.; Zhang, C.; Li, Q.X. Toxic effects of indoxacarb enantiomers on the embryonic development and induction of apoptosis in zebrafish larvae (Danio rerio). Environ Toxicol. 2017, 32, 7–16. [Google Scholar] [CrossRef] [PubMed]
- Marin, M.L.; Zaragoza, R.J.; Miranda, M.A.; Diaba, F.; Bonjoch, J. Translocation versus cyclisation in radicals derived from N-3-alkenyl trichloroacetamides. Org. Biomol. Chem. 2011, 9, 3180–3187. [Google Scholar] [CrossRef] [PubMed]
- ISO 7346-1:1996; Water Quality—Determination of the Acute Lethal Toxicity of Substances to a Freshwater Fish [Brachydanio rerio Hamilton-Buchanan (Teleostei, Cyprinidae)]. ISO: Geneva, Switzerland, 1996.
- OECD. Test No. 236: Fish Embryo Acute Toxicity (FET) Test; OECD Guidelines for the Testing of Chemicals, Section 2; OECD: Paris, France, 2013. [Google Scholar]
- Was, H.; Borkowska, A.; Bagues, A.; Tu, L.; Liu, J.Y.H.; Lu, Z.; Rudd, J.A.; Nurgali, K.; Abalo, R. Mechanisms of chemotherapy-induced neurotoxicity. Front. Pharmacol. 2022, 13, 750507. [Google Scholar] [CrossRef] [PubMed]
- Guzman, L.; Besa, G.; Linares, D.; González, L.; Pont, C.; Bartolini, M.; Haigis, A.-C.; Legradi, J.; Muñoz-Torrero, D.; Gómez-Catalán, J.; et al. Evaluation of the effects of acetylcholinesterase inhibitors in the Zebrafish touch-evoked response: Quantitative vs. qualitative assessment. Environ. Sci. Eur. 2020, 32, 145. [Google Scholar] [CrossRef]








| Cells | 3 IC50 (μg/mL) | epi-3 IC50 (μg/mL) | 4 IC50 (μg/mL) | epi-4 IC50 (μg/mL) | ||||
|---|---|---|---|---|---|---|---|---|
| MTT | NRU | MTT | NRU | MTT | NRU | MTT | NRU | |
| 3T3 | 30.03 | 65.05 | 68.12 | 77.22 | 94.60 | 172.59 | 145.35 | 153.19 |
| HaCat | 122.48 | >250 | >250 | >250 | 57.27 | >250 | >250 | >250 |
| A431 | 56.01 | 60.16 | 169.71 | 122.96 | 164.4 | 107.70 | 177.12 | 61.68 |
| Hela | 183.66 | 160.04 | >250 | 213.96 | 94.30 | 77.46 | >250 | >250 |
| MCF-7 | 192.79 | 60.00 | >250 | >250 | 77.80 | >250 | >250 | >250 |
| Lactam | SI (3T3/A431) | SI (3T3/HeLa) | SI (3T3/MCF-7) | |||
|---|---|---|---|---|---|---|
| MTT | NRU | MTT | NRU | MTT | NRU | |
| 3 | 0.54 | 1.08 a | 0.16 epi-4 | 0.41 | 0.16 | 1.08 a,epi-3,4,epi-4 |
| epi-3 | 0.40 | 0.63 3,4 | <0.27 4 | 0.36 | <0.27 | <0.31 4,epi-4 |
| 4 | 0.58 | 1.60 a,3 | 1.01 3,epi-4 | 2.23 a,3,epi-4 | 1.22 a,3,epi-3,epi-4 | <0.69 |
| epi-4 | 0.82 epi-3 | 2.48 3,4,epi-3 | <0.58 | <0.61 | <0.58 3 | <0.61 |
| Lactam | SI (HaCaT/A431) | SI (HaCaT/HeLa) | SI (HaCaT/MCF-7) | |||
|---|---|---|---|---|---|---|
| MTT | NRU | MTT | NRU | MTT | NRU | |
| 3 | 2.19 epi-3,4,epi-4 | >4.15 a,epi-3,4 | 0.67 | >1.56 a,epi-3,4 | 0.64 | >4.17 a |
| epi-3 | >1.47 4 | >2.03 a,4,epi-4 | n.d. | >1.17 | n.d. | n.d. b |
| 4 | 0.35 | >2.32 a,epi-4 | 0.61 | >3.23 a,epi-3 | 0.74 | n.d. |
| epi-4 | >1.41 4 | >4.05 a | n.d. | n.d. | n.d. | n.d. |
Disclaimer/Publisher’s Note: The statements, opinions and data contained in all publications are solely those of the individual author(s) and contributor(s) and not of MDPI and/or the editor(s). MDPI and/or the editor(s) disclaim responsibility for any injury to people or property resulting from any ideas, methods, instructions or products referred to in the content. |
© 2025 by the authors. Licensee MDPI, Basel, Switzerland. This article is an open access article distributed under the terms and conditions of the Creative Commons Attribution (CC BY) license (https://creativecommons.org/licenses/by/4.0/).
Share and Cite
Diaba, F.; Teixidó, E.; Morán, M.d.C. Stereoselective Cytotoxicity of Enantiopure 3,3-Dichloro-γ-lactams: Correlating In Vitro Activity with In Vivo Tolerability. Molecules 2025, 30, 4778. https://doi.org/10.3390/molecules30244778
Diaba F, Teixidó E, Morán MdC. Stereoselective Cytotoxicity of Enantiopure 3,3-Dichloro-γ-lactams: Correlating In Vitro Activity with In Vivo Tolerability. Molecules. 2025; 30(24):4778. https://doi.org/10.3390/molecules30244778
Chicago/Turabian StyleDiaba, Faïza, Elisabet Teixidó, and María del Carmen Morán. 2025. "Stereoselective Cytotoxicity of Enantiopure 3,3-Dichloro-γ-lactams: Correlating In Vitro Activity with In Vivo Tolerability" Molecules 30, no. 24: 4778. https://doi.org/10.3390/molecules30244778
APA StyleDiaba, F., Teixidó, E., & Morán, M. d. C. (2025). Stereoselective Cytotoxicity of Enantiopure 3,3-Dichloro-γ-lactams: Correlating In Vitro Activity with In Vivo Tolerability. Molecules, 30(24), 4778. https://doi.org/10.3390/molecules30244778

