Comparative Study of Wild and Cultivated Lavandula dentata: Differences in Essential Oil Composition, Biological Activities, and Associated Microbial Communities
Abstract
1. Introduction
2. Results
2.1. Essential Oil Composition
2.2. Soil Physicochemical Properties
2.3. Microbial Diversity in Soil and Roots
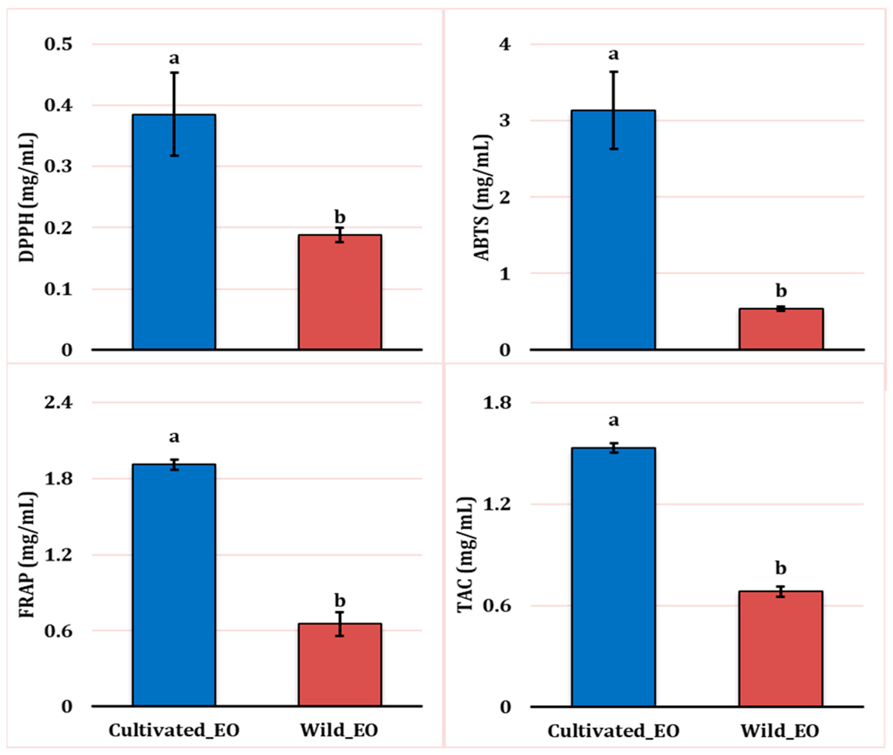
2.4. Biological Activities
2.4.1. Nematicidal Activity
2.4.2. Anti-Fusarium Activity
2.4.3. Antibacterial Activity
2.4.4. Antioxidant Activity
2.5. Essential Oil Yield (%) of Cultivated and Wild Lavandula dentata
2.6. Heatmap Correlation Analysis
3. Discussion
4. Materials and Methods
4.1. Study Site and Sampling
4.2. Soil Physicochemical Properties Analysis
4.3. Essential Oils Extraction and GC-MS Analysis
4.3.1. Hydrodistillation Process
4.3.2. Essential Oils Chemical Composition
4.4. Analysis of Soil Fatty Acids
4.5. Biological Activity Assessment
4.5.1. Microbial Strains
4.5.2. Antibacterial Activity
4.5.3. Nematicidal Activity
4.5.4. Antioxidant Activity
4.5.5. ABTS Radical Cation-Scavenging Activity
4.5.6. Statistical Analysis
5. Conclusions
Author Contributions
Funding
Institutional Review Board Statement
Informed Consent Statement
Data Availability Statement
Acknowledgments
Conflicts of Interest
References
- Chaytor, D.A. A taxonomic study of the genus Lavandula. Bot. J. Linn. Soc. 1937, 51, 153–204. [Google Scholar] [CrossRef]
- Lamrani-Alaoui, M.; Hassikou, R. Rapid risk assessment to harvesting of wild medicinal and aromatic plant species in Morocco for conservation and sustainable management purposes. Biodivers. Conserv. 2018, 27, 2729–2745. [Google Scholar] [CrossRef]
- González-Coloma, A.; Delgado, F.; Rodilla, J.M.; Silva, L.; Sanz, J.; Burillo, J. Chemical and biological profiles of Lavandula luisieri essential oils from western Iberia Peninsula populations. Biochem. Syst. Ecol. 2011, 39, 1–8. [Google Scholar] [CrossRef]
- Touati, B.; Chograni, H.; Hassen, I.; Boussaïd, M.; Toumi, L.; Brahim, N.B. Chemical composition of the leaf and flower essential oils of Tunisian Lavandula dentata L.(Lamiaceae). Chem. Biodivers. 2011, 8, 1560–1569. [Google Scholar] [CrossRef]
- Gallotte, P.; Fremondière, G.; Gallois, P.; Bernier, J.-P.B.; Buchwalder, A.; Walton, A.; Piasentin, J.; Fopa-Fomeju, B. Lavandula angustifolia mill. And Lavandula x intermedia emeric ex loisel: Lavender and lavandin. In Medicinal, Aromatic and Stimulant Plants; Springer International Publishing: Cham, Switzerland, 2020; pp. 303–311. [Google Scholar]
- Rezaei, M.N.; Dornez, E.; Jacobs, P.; Parsi, A.; Verstrepen, K.J.; Courtin, C.M. Harvesting yeast (Saccharomyces cerevisiae) at different physiological phases significantly affects its functionality in bread dough fermentation. Food Microbiol. 2014, 39, 108–115. [Google Scholar] [CrossRef]
- Algieri, F.; Rodriguez-Nogales, A.; Vezza, T.; Garrido-Mesa, J.; Garrido-Mesa, N.; Utrilla, M.P.; González-Tejero, M.R.; Casares-Porcel, M.; Molero-Mesa, J.; del Mar Contreras, M.; et al. Anti-inflammatory activity of hydroalcoholic extracts of Lavandula dentata L. and Lavandula stoechas L. J. Ethnopharmacol. 2016, 190, 142–158. [Google Scholar] [CrossRef] [PubMed]
- Wagner, L.S.; Sequin, C.J.; Foti, N.; Campos-Soldini, M.P. Insecticidal, fungicidal, phytotoxic activity and chemical composition of Lavandula dentata essential oil. Biocatal. Agric. Biotechnol. 2021, 35, 102092. [Google Scholar] [CrossRef]
- Zuzarte, M.; Vale-Silva, L.; Gonçalves, M.J.; Cavaleiro, C.; Vaz, S.; Canhoto, J.; Pinto, E.; Salgueiro, L. Antifungal activity of phenolic-rich Lavandula multifida L. essential oil. Eur. J. Clin. Microbiol. Infect. Dis. 2012, 31, 1359–1366. [Google Scholar] [CrossRef]
- Toda, M.; Matsuse, R. Endocrinological effect of Lavender aromatherapy on stressful visual stimuli. Contemp. Clin. Trials Commun. 2020, 17, 100547. [Google Scholar] [CrossRef]
- Zhang, S.; Zhang, L.; Zou, H.; Qiu, L.; Zheng, Y.; Yang, D.; Wang, Y. Effects of light on secondary metabolite biosynthesis in medicinal plants. Front. Plant Sci. 2021, 12, 781236. [Google Scholar] [CrossRef]
- Selwal, N.; Rahayu, F.; Herwati, A.; Latifah, E.; Supriyono; Suhara, C.; Suastika, I.B.K.; Mahayu, W.M.; Wani, A.K. Enhancing secondary metabolite production in plants: Exploring traditional and modern strategies. J. Agric. Food Res. 2023, 14, 100702. [Google Scholar] [CrossRef]
- Akachoud, O.; Bouamama, H.; Laruelle, F.; Facon, N.; Broudi, S.E.L.; Houssayni, S.; Zoubi, B.; Benkebboura, A.; Ghoulam, C.; Sahraoui, A.L.-H.; et al. The developmental stage and arbuscular mycorrhizal symbiosis influence the essential oil yield, chemical profile, and biological activities in Thymus pallidus, T. satureioides, and Lavandula dentata. Ind. Crops Prod. 2024, 220, 119188. [Google Scholar] [CrossRef]
- Hamilton, A.C. Medicinal plants, conservation and livelihoods. Biodivers. Conserv. 2004, 13, 1477–1517. [Google Scholar] [CrossRef]
- Abbad, A.; Belaqziz, R.; Bekkouche, K.; Markouk, M. Influence of temperature and water potential on laboratory germination of two Moroccan endemic thymes: Thymus maroccanus Ball. and Thymus broussonetii Boiss. Afr. J. Agric. Res. 2011, 6, 4740–4745. [Google Scholar]
- El-Bakkal, S.E.; Zeroual, S.; Elouazkiti, M.; Mansori, M.; Bouamama, H.; Zehhar, N.; El-Kaoua, M. Comparison of yield chemical composition and biological activities of essential oils obtained from Thymus pallidus and Thymus satureioides Coss. grown in wild and cultivated conditions in Morocco. J. Essent. Oil Bear. Plants 2020, 23, 1–14. [Google Scholar]
- Lubbe, A.; Verpoorte, R. Cultivation of medicinal and aromatic plants for specialty industrial materials. Ind. Crops Prod. 2011, 34, 785–801. [Google Scholar] [CrossRef]
- Carrión, V.J.; Perez-Jaramillo, J.; Cordovez, V.; Tracanna, V.; de Hollander, M.; Ruiz-Buck, D.; Mendes, L.W.; van Ijcken, W.F.J.; Gomez-Exposito, R.; Elsayed, S.S.; et al. Pathogen-induced activation of disease-suppressive functions in the endophytic root microbiome. Science 2019, 366, 606–612. [Google Scholar] [CrossRef] [PubMed]
- De Vries, F.T.; Griffiths, R.I.; Knight, C.G.; Nicolitch, O.; Williams, A. Harnessing rhizosphere microbiomes for drought-resilient crop production. Science 2020, 368, 270–274. [Google Scholar] [CrossRef]
- Liu, H.; Brettell, L.E.; Qiu, Z.; Singh, B.K. Microbiome-mediated stress resistance in plants. Trends Plant Sci. 2020, 25, 733–743. [Google Scholar] [CrossRef]
- Zhang, S.; Li, M.; Cui, X.; Pan, Y. Effect of different straw retention techniques on soil microbial community structure in wheat–maize rotation system. Front. Microbiol. 2023, 13, 1069458. [Google Scholar] [CrossRef]
- Akachoud, O.; Bouamama, H.; Facon, N.; Laruelle, F.; Zoubi, B.; Benkebboura, A.; Ghoulam, C.; Qaddoury, A.; Lounès-Hadj Sahraoui, A. Mycorrhizal inoculation improves the quality and productivity of essential oil distilled from three aromatic and medicinal plants: Thymus satureioides, Thymus pallidus, and Lavandula dentata. Agronomy 2022, 12, 2223. [Google Scholar] [CrossRef]
- Khmelevtsova, L.E.; Sazykin, I.S.; Azhogina, T.N.; Sazykina, M.A. Influence of agricultural practices on bacterial community of cultivated soils. Agriculture 2022, 12, 371. [Google Scholar] [CrossRef]
- Pandey, A.; Singh, S. Aloe vera: A systematic review of its industrial and ethno-medicinal efficacy. Int. J. Pharm. Res. Allied Sci. 2016, 5, 21–33. [Google Scholar]
- Lerotholi, L.; Chaudhary, S.K.; Combrinck, S.; Viljoen, A. Bush tea (Athrixia phylicoides): A review of the traditional uses, bioactivity and phytochemistry. S. Afr. J. Bot. 2017, 110, 4–17. [Google Scholar] [CrossRef]
- Thakur, M.; Bhattacharya, S.; Khosla, P.K.; Puri, S. Improving production of plant secondary metabolites through biotic and abiotic elicitation. J. Appl. Res. Med. Aromat. Plants 2019, 12, 1–12. [Google Scholar] [CrossRef]
- Martins, R.D.P.; Gomes, R.A.D.S.; Malpass, A.C.G.; Okura, M.H. Chemical characterization of Lavandula dentata L. essential oils grown in Uberaba-MG. Ciênc. Rural 2019, 49, e20180964. [Google Scholar] [CrossRef]
- El Abdali, Y.; Agour, A.; Allali, A.; Bourhia, M.; El Moussaoui, A.; Eloutassi, N.; Salamatullah, A.M.; Alzahrani, A.; Ouahmane, L.; Aboul-Soud, M.A.M.; et al. Lavandula dentata L.: Phytochemical analysis, antioxidant, antifungal and insecticidal activities of its essential oil. Plants 2022, 11, 311. [Google Scholar] [CrossRef] [PubMed]
- Belcadi, H.; Aknouch, A.; Chraka, A.; Kassout, J.; Lachkar, M.; Mouhib, M.; Mansour, A.I. Moroccan Lavandula dentata L. essential oil: γ-Irradiation effect on the chemical composition and antibacterial activity. Sci. Afr. 2024, 23, e02087. [Google Scholar] [CrossRef]
- Sile, I.; Krizhanovska, V.; Nakurte, I.; Mezaka, I.; Kalane, L.; Filipovs, J.; Vecvanags, A.; Pugovics, O.; Grinberga, S.; Dambrova, M.; et al. Wild-grown and cultivated Glechoma hederacea L.: Chemical composition and potential for cultivation in organic farming conditions. Plants 2022, 11, 819. [Google Scholar] [CrossRef]
- Abdellaoui, M.; Derouich, M.; El-Rhaffari, L. Essential oil and chemical composition of wild and cultivated fennel (Foeniculum vulgare Mill.): A comparative study. S. Afr. J. Bot. 2020, 135, 93–100. [Google Scholar] [CrossRef]
- Atyane, L.H.; Lagram, K.; Ben El Caid, M.; Lachheb, M.; Salaka, L.; Serghini, M.A.; Elmaimouni, L. Study of the influence of geographical origin and environment conditions on the three secondary metabolites of Moroccan saffron by UV-visible spectrometry. In Proceedings of the V International Symposium on Saffron Biology and Technology: Advances in Biology, Technologies, Uses and Market, Agadir, Morocco, 23–26 November 2016; pp. 267–272. [Google Scholar]
- Kumar, S.; Saini, R.; Suthar, P.; Kumar, V.; Sharma, R. Plant secondary metabolites: Their food and therapeutic importance. In Plant Secondary Metabolites: Physico-Chemical Properties and Therapeutic Applications; Springer Nature: Singapore, 2022; pp. 371–413. [Google Scholar]
- Chrysargyris, A.; Tzortzakis, N. Nitrogen, Phosphorus, and Potassium Requirements to Improve Portulaca oleracea L. Growth, Nutrient and Water Use Efficiency in Hydroponics. Agronomy 2025, 15, 111. [Google Scholar] [CrossRef]
- Villette, J.; Cuéllar, T.; Verdeil, J.L.; Delrot, S.; Gaillard, I. Grapevine potassium nutrition and fruit quality in the context of climate change. Front. Plant Sci. 2020, 11, 123. [Google Scholar] [CrossRef]
- Willy, D.K.; Muyanga, M.; Mbuvi, J.; Jayne, T. The effect of land use change on soil fertility parameters in densely populated areas of Kenya. Geoderma 2019, 343, 254–262. [Google Scholar] [CrossRef]
- Niinemets, Ü.; Seufert, G.; Steinbrecher, R.; Tenhunen, J.D. A model coupling foliar monoterpene emissions to leaf photosynthetic characteristics in Mediterranean evergreen Quercus species. New Phytol. 2002, 153, 257–275. [Google Scholar] [CrossRef]
- Erbaş, S.; Kucukyumuk, Z.; Baydar, H.; Erdal, İ.; Sanlı, A. Effects of different phosphorus doses on nutrient concentrations as well as yield and quality characteristics of lavandin (Lavandula × intermedia Emeric ex Loisel. var. Super). Turk. J. Field Crops 2017, 22, 32–38. [Google Scholar] [CrossRef][Green Version]
- Amanuel, W.; Yimer, F.; Karltun, E. Soil organic carbon variation in relation to land use changes: The case of Birr watershed, upper Blue Nile River Basin, Ethiopia. J. Ecol. Environ. 2018, 42, 16. [Google Scholar] [CrossRef]
- Murindangabo, Y.T.; Kopecký, M.; Hoang, T.N.; Bernas, J.; Parajuli, T.; Dhakal, S.; Konvalina, P.; de Dieu Marcel Ufitikirezi, J.; Kaneza, G.; Khanal, B.R.; et al. Comparative analysis of soil organic matter fractions, lability, stability ratios, and carbon management index in various land use types within bharatpur catchment, Chitwan District, Nepal. Carbon Balance Manag. 2023, 18, 21. [Google Scholar] [CrossRef] [PubMed]
- Gerke, J. The central role of soil organic matter in soil fertility and carbon storage. Soil Syst. 2022, 6, 33. [Google Scholar] [CrossRef]
- Hoffland, E.; Kuyper, T.W.; Comans, R.N.; Creamer, R.E. Eco-functionality of organic matter in soils. Plant Soil. 2020, 455, 1–22. [Google Scholar] [CrossRef]
- Chaouqi, S.; Moratalla-López, N.; Alonso, G.L.; Lorenzo, C.; Zouahri, A.; Asserar, N.; Haidar, E.M.; Guedira, T. Effect of soil composition on secondary metabolites of moroccan saffron (Crocus sativus L.). Plants 2023, 12, 711. [Google Scholar] [CrossRef]
- Blanch, J.S.; Peñuelas, J.; Llusià, J. Sensitivity of terpene emissions to drought and fertilization in terpene-storing Pinus halepensis and non-storing Quercus ilex. Physiol. Plant. 2007, 131, 211–225. [Google Scholar] [CrossRef] [PubMed]
- Ormeño, E.; Goldstein, A.; Niinemets, Ü. Extracting and trapping biogenic volatile organic compounds stored in plant species. TrAC Trends Anal. Chem. 2011, 30, 978–989. [Google Scholar] [CrossRef]
- Koeduka, T.; Fridman, E.; Gang, D.R.; Vassão, D.G.; Jackson, B.L.; Kish, C.M.; Orlova, I.; Spassova, S.M.; Lewis, N.G.; Noel, J.P.; et al. Eugenol and isoeugenol, characteristic aromatic constituents of spices, are biosynthesized via reduction of a coniferyl alcohol ester. Proc. Natl. Acad. Sci. USA 2006, 103, 10128–10133. [Google Scholar] [CrossRef]
- Hazrati, S.; Mousavi, Z.; Mollaei, S.; Sedaghat, M.; Mohammadi, M.; Pignata, G.; Nicola, S. Optimizing Nitrogen Fertilization to Maximize Yield and Bioactive Compounds in Ziziphora clinopodioides. Agriculture 2024, 14, 1690. [Google Scholar] [CrossRef]
- Santoyo, G.; Urtis-Flores, C.A.; Loeza-Lara, P.D.; Orozco-Mosqueda, M.D.C.; Glick, B.R. Rhizosphere colonization determinants by plant growth-promoting rhizobacteria (PGPR). Biology 2021, 10, 475. [Google Scholar] [CrossRef]
- Sasse, J.; Martinoia, E.; Northen, T. Feed your friends: Do plant exudates shape the root microbiome. Trends Plant Sci. 2018, 23, 25–41. [Google Scholar] [CrossRef]
- Olanrewaju, O.S.; Ayangbenro, A.S.; Glick, B.R.; Babalola, O.O. Plant health: Feedback effect of root exudates-rhizobiome interactions. Appl. Microbiol. Biotechnol. 2019, 103, 1155–1166. [Google Scholar] [CrossRef]
- Andreote, F.D.; Gumiere, T.; Durrer, A. Exploring interactions of plant microbiomes. Sci. Agríc. 2014, 71, 528–539. [Google Scholar] [CrossRef]
- Potthoff, M.; Steenwerth, K.L.; Jackson, L.E.; Drenovsky, R.E.; Scow, K.M.; Joergensen, R.G. Soil microbial community composition as affected by restoration practices in California grassland. Soil Biol. Biochem. 2006, 38, 1851–1860. [Google Scholar] [CrossRef]
- Yang, W.; Yan, Y.; Jiang, F.; Leng, X.; Cheng, X.; An, S. Response of the soil microbial community composition and biomass to a short-term Spartina alterniflora invasion in a coastal wetland of eastern China. Plant Soil 2016, 408, 443–456. [Google Scholar] [CrossRef]
- Manral, V.; Bargali, K.; Bargali, S.S.; Shahi, C. Changes in soil biochemical properties following replacement of Banj oak forest with Chir pine in Central Himalaya, India. Ecol. Process. 2020, 9, 30. [Google Scholar] [CrossRef]
- Shao, W.; Li, M.; Wu, Y.; Ma, X.; Song, Q.; Zhang, Y.; Su, Y.; Ni, J.; Dong, J. Identification of varied soil hydraulic properties in a seasonal tropical rainforest. Catena 2022, 212, 106104. [Google Scholar] [CrossRef]
- Chiba, A.; Uchida, Y.; Kublik, S.; Vestergaard, G.; Buegger, F.; Schloter, M.; Schulz, S. Soil bacterial diversity is positively correlated with decomposition rates during early phases of maize litter decomposition. Microorganisms 2021, 9, 357. [Google Scholar] [CrossRef] [PubMed]
- Zhou, J.; Guan, D.; Zhou, B.; Zhao, B.; Ma, M.; Qin, J.; Jiang, X.; Chen, S.; Cao, F.; Shen, D.; et al. Influence of 34-years of fertilization on bacterial communities in an intensively cultivated black soil in northeast China. Soil Biol. Biochem. 2015, 90, 42–51. [Google Scholar] [CrossRef]
- Huang, Q.; Wang, J.; Wang, C.; Wang, Q. The 19-years inorganic fertilization increased bacterial diversity and altered bacterial community composition and potential functions in a paddy soil. Appl. Soil Ecol. 2019, 144, 60–67. [Google Scholar] [CrossRef]
- Rousk, J.; Bååth, E.; Brookes, P.C.; Lauber, C.L.; Lozupone, C.; Caporaso, J.G.; Knight, R.; Fierer, N. Soil bacterial and fungal communities across a pH gradient in an arable soil. ISME J. 2010, 4, 1340–1351. [Google Scholar] [CrossRef]
- Wang, N.; Zhang, T.; Li, Y.; Cong, A.; Lian, J.; Feng, K. Integrated application of fertilization increased maize (Zea mays L.) yield by improving soil quality, particularly under limited water conditions in a semi-arid sandy area. Agric. Water Manag. 2025, 309, 109334. [Google Scholar] [CrossRef]
- Fang, X.; Wang, M.; Zhou, X.; Wang, H.; Wang, H.; Xiao, H. Effects of growth years on ginsenoside biosynthesis of wild ginseng and cultivated ginseng. BMC Genom. 2022, 23, 325. [Google Scholar] [CrossRef]
- Kokkoris, V.; Hamel, C.; Hart, M.M. Mycorrhizal response in crop versus wild plants. PLoS ONE 2019, 14, e0221037. [Google Scholar] [CrossRef]
- Jackson, L.E.; Miller, D.; Smith, S.E. Arbuscular mycorrhizal colonization and growth of wild and cultivated lettuce in response to nitrogen and phosphorus. Sci. Hortic. 2002, 94, 205–218. [Google Scholar] [CrossRef]
- Rillig, M.C.; Sosa-Hernández, M.A.; Roy, J.; Aguilar-Trigueros, C.A.; Vályi, K.; Lehmann, A. Towards an integrated mycorrhizal technology: Harnessing mycorrhiza for sustainable intensification in agriculture. Front. Plant Sci. 2016, 7, 1625. [Google Scholar] [CrossRef]
- Hontoria, C.; García-González, I.; Quemada, M.; Roldán, A.; Alguacil, M.M. The cover crop determines the AMF community composition in soil and in roots of maize after a ten-year continuous crop rotation. Sci. Total Environ. 2019, 660, 913–922. [Google Scholar] [CrossRef]
- Strom, N.; Hu, W.; Haarith, D.; Chen, S.; Bushley, K. Interactions between soil properties, fungal communities, the soybean cyst nematode, and crop yield under continuous corn and soybean monoculture. Appl. Soil Ecol. 2020, 147, 103388. [Google Scholar] [CrossRef]
- Yuan, H.; Ma, Q.; Ye, L.; Piao, G. The traditional medicine and modern medicine from natural products. Molecules 2016, 21, 559. [Google Scholar] [CrossRef] [PubMed]
- Zhai, X.; Jia, M.; Chen, L.; Zheng, C.J.; Rahman, K.; Han, T.; Qin, L.P. The regulatory mechanism of fungal elicitor-induced secondary metabolite biosynthesis in medical plants. Crit. Rev. Microbiol. 2017, 43, 238–261. [Google Scholar] [CrossRef] [PubMed]
- Zhou, J.Y.; Li, X.; Zheng, J.Y.; Dai, C.C. Volatiles released by endophytic Pseudomonas fluorescens promoting the growth and volatile oil accumulation in Atractylodes lancea. Plant Physiol. Biochem. 2016, 101, 132–140. [Google Scholar] [CrossRef]
- Zheng, L.P.; Tian, H.; Yuan, Y.F.; Wang, J.W. The influence of endophytic Penicillium oxalicum B4 on growth and artemisinin biosynthesis of in vitro propagated plantlets of Artemisia annua L. Plant Growth Regul. 2016, 80, 93–102. [Google Scholar] [CrossRef]
- Wang, X.M.; Yang, B.; Ren, C.G.; Wang, H.W.; Wang, J.Y.; Dai, C.C. Involvement of abscisic acid and salicylic acid in signal cascade regulating bacterial endophyte-induced volatile oil biosynthesis in plantlets of Atractylodes lancea. Physiol. Plant. 2015, 153, 30–42. [Google Scholar] [CrossRef]
- Chen, L.; Liu, Y. The function of root exudates in the root colonization by beneficial soil rhizobacteria. Biology 2024, 13, 95. [Google Scholar] [CrossRef]
- Kashid, S.; Joshi, K.; More, S.; Shinde, A.; Nene, S. Enhanced Productivity of Fragrance Compounds: Biotransformation of d-limonene Using Whole Cell Immobilization of Pseudomonas putida and Rhodococcus erythropolis. J. Inst. Eng. India Ser. E 2023, 104, 83–93. [Google Scholar] [CrossRef]
- Epand, R.M.; Walker, C.; Epand, R.F.; Magarvey, N.A. Molecular mechanisms of membrane targeting antibiotics. Biochim. Biophys. Acta Biomembr. 2016, 1858, 980–987. [Google Scholar] [CrossRef] [PubMed]
- Gachkar, L.; Yadegari, D.; Rezaei, M.B.; Taghizadeh, M.; Astaneh, S.A.; Rasooli, I. Chemical and biological characteristics of Cuminum cyminum and Rosmarinus officinalis essential oils. Food Chem. 2007, 102, 898–904. [Google Scholar] [CrossRef]
- Su, J.; Chen, J.; Liao, S.; Li, L.; Zhu, L.; Chen, L. Composition and biological activities of the essential oil extracted from a novel plant of Cinnamomum camphora Chvar. Borneol. J. Med. Plants Res. 2012, 6, 3487–3494. [Google Scholar]
- Leite-Sampaio, N.F.; Gondim, C.N.F.; de Souza, C.E.S.; Coutinho, H.D. Antibiotic potentiating action of α-PINENE and borneol against EPEC and ETEC sorotypes. Microb. Pathog. 2022, 162, 105371. [Google Scholar] [CrossRef]
- Yu, H.; Ren, X.; Yang, F.; Xie, Y.; Guo, Y.; Cheng, Y.; Yao, W. Antimicrobial and anti-dust mite efficacy of Cinnamomum camphora chvar. Borneol essential oil using pilot-plant neutral cellulase-assisted steam distillation. Lett. Appl. Microbiol. 2022, 74, 258–267. [Google Scholar]
- Ma, R.; Lu, D.; Wang, J.; Xie, Q.; Guo, J. Comparison of pharmacological activity and safety of different stereochemical configurations of borneol: L-borneol, D-borneol, and synthetic borneol. Biomed. Pharmacother. 2023, 164, 114668. [Google Scholar] [CrossRef]
- Soković, M.; Glamočlija, J.; Marin, P.D.; Brkić, D.; Van Griensven, L.J. Antibacterial effects of the essential oils of commonly consumed medicinal herbs using an in vitro model. Molecules 2010, 15, 7532–7546. [Google Scholar] [CrossRef] [PubMed]
- Rosato, A.; Vitali, C.; De Laurentis, N.; Armenise, D.; Milillo, M.A. Antibacterial effect of some essential oils administered alone or in combination with Norfloxacin. Phytomedicine 2007, 14, 727–732. [Google Scholar] [CrossRef] [PubMed]
- Farhanghi, A.; Aliakbarlu, J.; Tajik, H.; Mortazavi, N.; Manafi, L.; Jalilzadeh-Amin, G. Antibacterial interactions of pulegone and 1, 8-cineole with monolaurin ornisin against Staphylococcus aureus. Food Sci. Nutr. 2022, 10, 2659–2666. [Google Scholar] [CrossRef]
- Sun, Y.; Cai, X.; Cao, J.; Wu, Z.; Pan, D. Effects of 1,8-cineole on carbohydrate metabolism related cell structure changes of Salmonella. Front. Microbiol. 2018, 9, 1078. [Google Scholar] [CrossRef]
- Chen, J.; Tang, C.; Zhou, Y.; Zhang, R.; Ye, S.; Zhao, Z.; Lin, L.; Yang, D. Anti-inflammatory property of the essential oil from Cinnamomum camphora (Linn.) Presl leaves and the evaluation of its underlying mechanism by using metabolomics analysis. Molecules 2020, 25, 4796. [Google Scholar]
- Patterson, A.D.; Carlson, B.A.; Li, F.; Bonzo, J.A.; Yoo, M.H.; Krausz, K.W.; Conrad, M.; Chen, C.; Gonzalez, F.J.; Hatfield, D.L. Disruption of thioredoxin reductase 1 protects mice from acute acetaminophen-induced hepatotoxicity through enhanced NRF2 activity. Chem. Res. Toxicol. 2013, 26, 1088–1096. [Google Scholar] [CrossRef]
- Hachlafi, N.E.; Aanniz, T.; Menyiy, N.E.; Baaboua, A.E.; Omari, N.E.; Balahbib, A.; Shariati, M.A.; Zengin, G.; Fikri-Benbrahim, K.; Bouyahya, A. In vitro and in vivo biological investigations of camphene and its mechanism insights: A review. Food Rev. Int. 2023, 39, 1799–1826. [Google Scholar] [CrossRef]
- Ruberto, G.; Baratta, M.T. Antioxidant activity of selected essential oil components in two lipid model systems. Food Chem. 2000, 69, 167–174. [Google Scholar] [CrossRef]
- Badawy, M.E.; Marei, G.I.K.; Rabea, E.I.; Taktak, N.E. Antimicrobial and antioxidant activities of hydrocarbon and oxygenated monoterpenes against some foodborne pathogens through in vitro and in silico studies. Pestic. Biochem. Physiol. 2019, 158, 185–200. [Google Scholar] [CrossRef]
- Zhang, Y.; Tian, Z.; Huang, T.; Lei, L.; Zuo, Z. Sesquiterpene emissions from four chemotypes of Cinnamomum camphora in different seasons. Ind. Crops Prod. 2025, 225, 120505. [Google Scholar] [CrossRef]
- Ortiz de Elguea-Culebras, G.; Sánchez-Vioque, R.; Berruga, M.I.; Herraiz-Peñalver, D.; González-Coloma, A.; Andrés, M.F.; Santana-Méridas, O. Biocidal potential and chemical composition of industrial essential oils from Hyssopus officinalis, Lavandula× intermedia var. super, and Santolina chamaecyparissus. Chem. Biodivers. 2018, 15, e1700313. [Google Scholar] [CrossRef] [PubMed]
- D’Addabbo, T.; Laquale, S.; Argentieri, M.P.; Bellardi, M.G.; Avato, P. Nematicidal activity of essential oil from lavandin (Lavandula× intermedia Emeric ex Loisel.) as related to chemical profile. Molecules 2021, 26, 6448. [Google Scholar] [PubMed]
- Uludamar, E.B.K. Screening of the nematicidal potential of some essential oils against the Columbia root-knot nematode, Meloidogyne chitwoodi. Çukurova Tarım Gıda Bilim. Derg. 2023, 38, 345–350. [Google Scholar]
- Sarri, K.; Mourouzidou, S.; Ntalli, N.; Monokrousos, N. Recent advances and developments in the nematicidal activity of essential oils and their components against root-knot nematodes. Agronomy 2024, 14, 213. [Google Scholar] [CrossRef]
- Dutta, A.; Mandal, A.; Kundu, A.; Malik, M.; Chaudhary, A.; Khan, M.R.; Shanmugam, V.; Rao, U.; Saha, S.; Patanjali, N.; et al. Deciphering the behavioral response of Meloidogyne incognita and Fusarium oxysporum toward mustard essential oil. Front. Plant Sci. 2021, 12, 714730. [Google Scholar] [CrossRef]
- Padilla-Montaño, N.; de León Guerra, L.; Moujir, L. Antimicrobial activity and mode of action of celastrol, a nortriterpen quinone isolated from natural sources. Foods 2021, 10, 591. [Google Scholar] [CrossRef] [PubMed]
- Caballero-Gallardo, K.; Olivero-Verbel, J.; Nayive, P.B.; Stashenko, E.E. Chemical composition and bioactivity of Piper auritum and P. multiplinervium essential oils against the red flour beetle, Tribolium castaneum (Herbst). Bol. Latinoam. Caribe Plantas Med. Aromát. 2014, 13, 10–19. [Google Scholar]
- Zore, G.B.; Thakre, A.D.; Jadhav, S.; Karuppayil, S.M. Terpenoids inhibit Candida albicans growth by affecting membrane integrity and arrest of cell cycle. Phytomedicine 2011, 18, 1181–1190. [Google Scholar] [CrossRef]
- de Macêdo Andrade, A.C.; Rosalen, P.L.; Freires, I.A.; Scotti, L.; Scotti, M.T.; Aquino, S.G.; de Castro, R.D. Antifungal activity, mode of action, docking prediction and anti-biofilm effects of (+)-β-pinene enantiomers against Candida spp. Curr. Top. Med. Chem. 2018, 18, 2481–2490. [Google Scholar] [CrossRef]
- Kubicek, C.P.; Druzhinina, I.S. (Eds.) Environmental and Microbial Relationships; Springer: Berlin/Heidelberg, Germany, 2007. [Google Scholar]
- Mastouri, F.; Björkman, T.; Harman, G.E. Trichoderma harzianum enhances antioxidant defense of tomato seedlings and resistance to water deficit. Mol. Plant-Microbe Interact. 2012, 25, 1264–1271. [Google Scholar] [CrossRef]
- Rais, A.; Jabeen, Z.; Shair, F.; Hafeez, F.Y.; Hassan, M.N. Bacillus spp., a bio-control agent enhances the activity of antioxidant defense enzymes in rice against Pyricularia oryzae. PLoS ONE 2017, 12, e0187412. [Google Scholar] [CrossRef] [PubMed]
- Padró, M.D.A.; Caboni, E.; Morin, K.A.S.; Mercado, M.A.M.; Olalde-Portugal, V. Effect of Bacillus subtilis on antioxidant enzyme activities in tomato grafting. PeerJ 2021, 9, e10984. [Google Scholar] [CrossRef] [PubMed]
- Ding, X.; Jiang, Y.; Zhao, H.; Guo, D.; He, L.; Liu, F.; Zhou, Q.; Nandwani, D.; Hui, D.; Yu, J. Electrical conductivity of nutrient solution influenced. photosynthesis, quality, and antioxidant enzyme activity of pakchoi (Brassica campestris L. ssp. Chinensis) in a hydroponicsystem. PLoS ONE 2018, 13, e0202090. [Google Scholar] [CrossRef]
- Patra, N.; Hariharan, S.; Gain, H.; Maiti, M.K.; Das, A.; Banerjee, J. TypiCal but DeliCate Ca++ re: Dissecting the essence of calcium signaling network as a robust response coordinator of versatile abiotic and biotic stimuli in plants. Front. Plant Sci. 2021, 12, 752246. [Google Scholar] [CrossRef]
- Sikder, M.M.; Vestergård, M. Impacts of root metabolites on soil nematodes. Front. Plant Sci. 2020, 10, 1792. [Google Scholar] [CrossRef] [PubMed]
- Abdel-Fattah, G.M.; El-Haddad, S.A.; Hafez, E.E.; Rashad, Y.M. Induction of defense responses in common bean plants by arbuscular mycorrhizal fungi. Microbiol. Res. 2011, 166, 268–281. [Google Scholar] [CrossRef]
- Boyno, G.; Rezaee Danesh, Y.; Çevik, R.; Teniz, N.; Demir, S.; Durak, E.D.; Farda, B.; Mignini, A.; Djebaili, R.; Pellegrini, M.; et al. Synergistic benefits of AMF: Development of sustainable plant defense system. Front. Microbiol. 2025, 16, 1551956. [Google Scholar] [CrossRef]
- Barros, F.M.D.R.; Pedrinho, A.; Mendes, L.W.; Freitas, C.C.G.; Andreote, F.D. Interactions between soil bacterial diversity and plant-parasitic nematodes in soybean plants. Appl. Environ. Microbiol. 2022, 88, e00963-22. [Google Scholar] [CrossRef]
- Zhang, S.; Hu, W.; Zhang, J.; Yu, G.; Liu, Y.; Kong, Z.; Wu, L. Long-term cultivation reduces soil carbon storage by altering microbial network complexity and metabolism activity in macroaggregates. Sci. Total Environ. 2024, 930, 172788. [Google Scholar] [CrossRef]
- Chen, Q.; Song, Y.; An, Y.; Lu, Y.; Zhong, G. Mechanisms and Impact of rhizosphere microbial metabolites on crop health, traits, functional components: A comprehensive review. Molecules 2024, 29, 5922. [Google Scholar] [CrossRef]
- Richards, L.A. (Ed.) Diagnosis and Improvement of Saline and Alkali Soils (No. 60); US Government Printing Office: Washington, DC, USA, 1954.
- Aubert, G. Méthodes D’analyse des Sols Edition; CRDP Marseille: Beirut, Lebanon, 1978. [Google Scholar]
- Barbano, D.M.; Clark, J.L.; Dunham, C.E.; Flemin, R.J. Kjeldahl method for determination of total nitrogen content of milk: Collaborative study. J. Assoc. Off. Anal. Chem. 1990, 73, 849–859. [Google Scholar] [CrossRef]
- Olsen, S.R.; Watanabe, F.S.; Bowman, R.A. Evaluation of fertilizer phosphate residues by plant uptake and extractable phosphorus. Soil Sci. Soc. Am. J. 1983, 47, 952–958. [Google Scholar] [CrossRef]
- Michel-Dewez, N.; Ek, C. Méthode rapide de caractérisation des dolomies et calcaires magnésiens: La gaz-volumétrie. Bull. Soc. Géogr. Liège 1982, 18, 41–48. [Google Scholar]
- Brown, J.G.; Lilleland, O. Rapid determination of potassium and sodium in plant materials and soil extracts by flame photometry. Proc. Am. Soc. Hortic. Sci. 1946, 48, 341–345. [Google Scholar]
- Güllüce, M.; Sökmen, M.; Daferera, D.; Ağar, G.; Özkan, H.; Kartal, N.; Polissiou, M.; Sökmen, A.; Şahin, F. In vitro antibacterial, antifungal, and antioxidant activities of the essential oil and methanol extracts of herbal parts and callus cultures of Satureja hortensis L. J. Agric. Food Chem. 2003, 51, 3958–3965. [Google Scholar]
- Greco, N.; D’Addabbo, T. Efficient procedure for extracting Tylenchulus semipenetrans from citrus roots. J. Nematol. 1990, 22, 590. [Google Scholar] [PubMed]
- Taylor, A.L.; Sasser, J.N. Biology, Identification and Control of Root-Knot Nematodes; North Carolina State University Graphics: Raleigh, NC, USA, 1978; 111p. [Google Scholar]
- Yang, Y.M.; Liu, P.; Dong, H.; Zhang, W.T.; Hu, X.Q. Pathogen identification of Eupatorium adenophorum root-knot nematode disease in Yunnan Province. J. Plant Prot. 2020, 47, 657–665. [Google Scholar]
- Mc Donnell, R.; Yoo, J.; Patel, K.; Rios, L.; Hollingsworth, R.; Millar, J.; Paine, T. Can essential oils be used as novel drench treatments for the eggs and juveniles of the pest snail Cornu aspersum in potted plants? J. Pest Sci. 2016, 89, 549–555. [Google Scholar] [CrossRef]
- Zoubi, B.; Mokrini, F.; Amer, M.; Cherki, G.; Rafya, M.; Benkebboura, A.; Akachoudc, O.; Laasli, S.-E.; Housseini, A.I.; Dababat, A.A. Eco-friendly management of the citrus nematode Tylenchulus semipenetrans using some aromatic and medicinal plants. Arch. Phytopathol. Plant Prot. 2023, 56, 66–86. [Google Scholar] [CrossRef]
- Quiroga, P.R.; Nepote, V.; Baumgartner, M.T. Contribution of organic acids to α-terpinene antioxidant activity. Food Chem. 2019, 277, 267–272. [Google Scholar] [CrossRef]
- Rubio, C.P.; Hernández-Ruiz, J.; Martinez-Subiela, S.; Tvarijonaviciute, A.; Ceron, J.J. Spectrophotometric assays for total antioxidant capacity (TAC) in dog serum: An update. BMC Vet. Res. 2016, 12, 166. [Google Scholar] [CrossRef]
- Zatar, N.A.; Abu-Eid, M.A.; Eid, A.F. Spectrophotometric determination of nitrite and nitrate using phosphomolybdenum blue complex. Talanta 1999, 50, 819–826. [Google Scholar] [CrossRef]
- Berker, K.I.; Güçlü, K.; Tor, İ.; Apak, R. Comparative evaluation of Fe (III) reducing power-based antioxidant capacity assays in the presence of phenanthroline, batho-phenanthroline, tripyridyltriazine (FRAP), and ferricyanide reagents. Talanta 2007, 72, 1157–1165. [Google Scholar] [CrossRef]








| Area (%) | ||||||
|---|---|---|---|---|---|---|
| Components | RT | IK | IK* | IK** | Wild EO | Cultivated EO |
| Tricyclene | 2.114 | 927 | 926 | 927 | – | 0.4 |
| α-Pinene | 2.173 | 937 | 919 | 938 | 2.1 | 5.9 |
| Camphene | 2.279 | 955 | 964 | 955 | 1.2 | 1.4 |
| β-Pinene | 2.444 | 984 | 981 | 980 | 4.0 | 2.6 |
| Limonene | 2.747 | 1035 | 1036 | 1034 | – | 2.1 |
| Eucalyptol | 2.799 | 1043 | 1033 | 1048 | 23.1 | 14.8 |
| γ-Terpinene | 2.994 | 1076 | 1062 | 1069 | 0.5 | 0.3 |
| Fenchone | 3.092 | 1092 | 1094 | 1088 | 0.4 | 0.3 |
| Linalool | 3.118 | 1096 | 1098 | 1098 | 0.4 | – |
| β-fenchol | 3.17 | 1105 | 1117 | 1112 | 1.5 | 0.9 |
| Camphor | 3.346 | 1135 | 1143 | 1141 | 0.5 | 0.5 |
| Borneol | 3.509 | 1162 | 1165 | 1165 | 49.5 | 32.9 |
| Camphene hydrate | 3.542 | 1168 | 1150 | 1150 | – | 0.9 |
| Pinocarvone | 3.57 | 1173 | 1168 | 1165 | 1.6 | 0.9 |
| Crypton | 3.624 | 1182 | 1188 | 1183 | 1.3 | |
| Terpinen-4-ol | 3.671 | 1190 | 1189 | 1191 | 3.1 | 3.8 |
| Myrtenol | 3.758 | 1205 | 1202 | 1194 | 3.7 | 2.7 |
| Cis-Verbenol | 3.833 | 1218 | 1216 | 1214 | 0.4 | – |
| Carveol | 3.894 | 1229 | 1229 | 1229 | 0.3 | – |
| Isobornyl acetate | 4.237 | 1291 | 1286 | 1290 | – | 24.5 |
| Terpinyl acetate | 4.564 | 1351 | 1352 | 1351 | – | 0.7 |
| β-caryophyllène | 5.296 | 1494 | 1428 | 1451 | 0.3 | 0.3 |
| β-selinene | 5.345 | 1504 | 1485 | 1509 | 0.8 | 0.5 |
| α-Selinene | 5.434 | 1522 | 1494 | 1505 | 0.4 | – |
| Caryophyllene oxide | 5.803 | 1599 | 1581 | 1596 | 0.8 | 0.4 |
| Cubenol | 6.024 | 1646 | 1642 | 1644 | 0.4 | 0.4 |
| β-Eudesmol | 6.136 | 1670 | 1654 | 1653 | 3.8 | 1.8 |
| Monoterpene hydrocarbons | 7.7 | 12.5 | ||||
| Oxygenated monoterpenes | 84.1 | 83.7 | ||||
| Hydrocarbon sesquiterpenes | 1.5 | 0.8 | ||||
| Oxygenated sesquiterpenes | 4.9 | 2.6 | ||||
| Wild L. dentata | Cultivated L. dentata | |
|---|---|---|
| pH water | 7.63 ± 0.13 | 6.63 ± 0.09 |
| pH KCl Conductivity (µs/cm) | 7.27 ± 0.11 107.97 ± 3.21 | 6.13 ± 0.07 1513 ± 7.41 |
| Organic matter (g/kg) | 38.90 ± 3.80 | 21.67 ± 1.96 |
| Organic carbon (g/kg) | 22.60 ± 2.20 | 12.6 ± 1.14 |
| Nitrogen (g/kg) | 3.64 ± 0.35 | 2.82 ± 0.02 |
| Carbon/Nitrogen | 6.20 | 4.46 |
| Total limestone (g/kg) | 10.70 ± 0.99 | 54.04 ± 1.44 |
| Calcium (g/kg) | 11.50 ± 0.37 | 17.55 ± 0.31 |
| Potassium (g/kg) | 0.53 ± 0.06 | 1.22 ± 0.14 |
| Sodium (g/kg) | 0.01 ± 0.008 | 0.03 ± 0.005 |
| Phosphorus (g/kg) | 0.03 ± 0.001 | 0.08 ± 0.006 |
Disclaimer/Publisher’s Note: The statements, opinions and data contained in all publications are solely those of the individual author(s) and contributor(s) and not of MDPI and/or the editor(s). MDPI and/or the editor(s) disclaim responsibility for any injury to people or property resulting from any ideas, methods, instructions or products referred to in the content. |
© 2025 by the authors. Licensee MDPI, Basel, Switzerland. This article is an open access article distributed under the terms and conditions of the Creative Commons Attribution (CC BY) license (https://creativecommons.org/licenses/by/4.0/).
Share and Cite
Houssayni, S.; Akachoud, O.; Zoubi, B.; Youssfi, M.; Lounès-Hadj Sahraoui, A.; Laruelle, F.; Gonzalez Coloma, A.; Andrés Yeves, M.F.; Benkebboura, A.; Bouamama, H.; et al. Comparative Study of Wild and Cultivated Lavandula dentata: Differences in Essential Oil Composition, Biological Activities, and Associated Microbial Communities. Molecules 2025, 30, 4695. https://doi.org/10.3390/molecules30244695
Houssayni S, Akachoud O, Zoubi B, Youssfi M, Lounès-Hadj Sahraoui A, Laruelle F, Gonzalez Coloma A, Andrés Yeves MF, Benkebboura A, Bouamama H, et al. Comparative Study of Wild and Cultivated Lavandula dentata: Differences in Essential Oil Composition, Biological Activities, and Associated Microbial Communities. Molecules. 2025; 30(24):4695. https://doi.org/10.3390/molecules30244695
Chicago/Turabian StyleHoussayni, Siham, Oumaima Akachoud, Btissam Zoubi, Meryem Youssfi, Anissa Lounès-Hadj Sahraoui, Frédéric Laruelle, Azucena Gonzalez Coloma, Maria Fe Andrés Yeves, Abderrazak Benkebboura, Hafida Bouamama, and et al. 2025. "Comparative Study of Wild and Cultivated Lavandula dentata: Differences in Essential Oil Composition, Biological Activities, and Associated Microbial Communities" Molecules 30, no. 24: 4695. https://doi.org/10.3390/molecules30244695
APA StyleHoussayni, S., Akachoud, O., Zoubi, B., Youssfi, M., Lounès-Hadj Sahraoui, A., Laruelle, F., Gonzalez Coloma, A., Andrés Yeves, M. F., Benkebboura, A., Bouamama, H., & Qaddoury, A. (2025). Comparative Study of Wild and Cultivated Lavandula dentata: Differences in Essential Oil Composition, Biological Activities, and Associated Microbial Communities. Molecules, 30(24), 4695. https://doi.org/10.3390/molecules30244695

