Effects of Thermal Denaturation on the Interactions Between Soluble Soybean Polysaccharides and Casein and Whey Protein
Abstract
1. Introduction
2. Results and Discussion
2.1. Interaction Between SSPS and Casein Under Acidic Conditions
2.2. Interaction Between SSPS and Whey Protein Under Acidic Conditions
2.3. Interaction Between SSPS and Thermally Denatured Casein Under Acidic Conditions
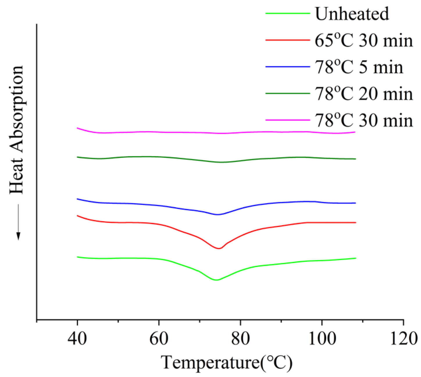
2.4. Interaction Between SSPS and Thermally Denatured Whey Protein Under Acidic Conditions
3. Materials and Methods
3.1. Materials and Reagents
3.2. Instruments and Equipment
3.3. Preparation of Milk Protein–SSPS Mixed Solutions
3.4. Thermal Treatment of Milk Protein Solutions
3.5. Differential Scanning Calorimetry (DSC)
3.6. Determination of Molecular Weight Distribution
3.7. Determination of Centrifugal Sedimentation Rate
3.8. Determination of Particle Size and ζ-Potential
3.9. LUMisizer Stability Analysis
3.10. Data Analysis
4. Conclusions
Author Contributions
Funding
Data Availability Statement
Conflicts of Interest
References
- Zhang, L.; Zheng, L.; Sun, J.; Korma, S.A.; Al-Asmari, F.; Xie, M.; Yu, M. Soluble Soybean Polysaccharide Improves Quality and Shelf Life of Peanut Butter. Foods 2025, 14, 2180. [Google Scholar] [CrossRef]
- Pandey, A.K.; Ezewudo, E.; Hoque, N.; Pandey, A.T.; Menon, S.; Simon, N.; Rasouli, B.; Habibi, E.; Sarker, S.D.; Nahar, L.; et al. A review of food hydrocolloids on cardiovascular health: Alginate, astragalus polysaccharides, carrageenan, fucoidan, lunasin, and psyllium. Int. J. Biol. Macromol. 2025, 315, 144505. [Google Scholar] [CrossRef] [PubMed]
- Ke, C.; Yang, X.; Li, L. Soybean protein-soybean polysaccharide-EGCG ternary complex stabilized nanoemulsion and its application in loading pterostilbene: Emulsion stabilization mechanism, physical and digestion characteristics. Food Chem. 2025, 485, 144444. [Google Scholar] [CrossRef] [PubMed]
- Mi, L.; Liang, Q.; Zhang, W.; Zhen, S.; Song, X.; Wen, P.; Zhang, Y. Sterilization of yak milk by direct steam injection (DSI) and effects on milk quality. LWT-Food Sci. Technol. 2023, 189, 115450. [Google Scholar] [CrossRef]
- Wagoner, T.B.; Foegeding, E.A. Whey protein–pectin soluble complexes for beverage applications. Food Hydrocoll. 2017, 63, 130–138. [Google Scholar] [CrossRef]
- Salminen, H.; Weiss, J. Electrostatic adsorption and stability of whey protein–pectin complexes on emulsion interfaces. Food Hydrocoll. 2014, 35, 410–419. [Google Scholar] [CrossRef]
- Igartúa, D.E.; Platania, F.A.; Balcone, A.; Palazolo, G.G.; Cabezas, D.M. Impact of heat treatment in whey proteins-soluble soybean polysaccharides electrostatic complexes in different pH and biopolymer mass ratio conditions. Appl. Food Res. 2022, 2, 100184. [Google Scholar] [CrossRef]
- Igartúa, D.E.; Cabezas, D.M.; Palazolo, G.G. Effects of pH, protein:polysaccharide ratio, and NaCl-added concentration on whey protein isolate and soluble soybean polysaccharides electrostatic-complexes formation. Food Chem. Adv. 2022, 1, 100123. [Google Scholar] [CrossRef]
- Hediyeh, Z.; Somayeh, Z.; Zhong, Z.; Alireza, A. Exceptional colloidal stability of acidified whey protein beverages stabilized by soybean soluble polysaccharide. J. Food Sci. 2020, 85, 989–997. [Google Scholar] [CrossRef] [PubMed]
- Huang, J.; Wang, Q.; Xu, M.; An, S.; Liu, D.; Tan, J.; Guo, Y.; Yang, K.; Chu, L. Improvement of the performance of gelatin and soybean lecithin-stabilized curcumin microcapsules through addition of soybean polysaccharides and solid lipids. LWT-Food Sci. Technol. 2025, 228, 118122. [Google Scholar] [CrossRef]
- Naibaho, J.; Jonuzi, E.; Butula, N.; Korzeniowska, M.; Yang, B. Soy-based yogurt-alternatives enriched with brewers’ spent grain flour and protein hydrolysates: Microstructural evaluation and physico-chemical properties during the storage. LWT-Food Sci. Technol. 2023, 178, 114626. [Google Scholar] [CrossRef]
- Deeth, H.C. Handbook of Food Proteins (2011). Int. J. Dairy Technol. 2012, 65, 465. [Google Scholar] [CrossRef]
- Outinen, M.; Rantamäki, P.; Heino, A. Effect of Milk Pretreatment on the Whey Composition and Whey Powder Functionality. J. Food Sci. 2010, 75, E1–E10. [Google Scholar] [CrossRef]
- Li, H.; Liu, Y.; Sun, Y.; Li, H.; Yu, J. Properties of polysaccharides and glutamine transaminase used in mozzarella cheese as texturizer and crosslinking agents. LWT-Food Sci. Technol. 2019, 99, 411–416. [Google Scholar] [CrossRef]
- Cho, H.; Lee, H.J.; Yu, K.S.; Choi, Y.M.; Hwang, K.T. Characterisation and food application of curcumin bound to sodium caseinate-polysaccharide electrostatic complexes. Int. J. Food Sci. Technol. 2017, 52, 1770–1776. [Google Scholar] [CrossRef]
- Zhai, H.; Lan, G.; Duan, Q.; Huang, W.; Zhu, L.; Xie, F.; Chen, P. Synergistic enhancement of corn starch gel functionality: Soluble soybean polysaccharide and soybean oil enhance texture and improve water retention during partial gelatinization. Food Hydrocoll. 2025, 168, 111541. [Google Scholar] [CrossRef]
- Morand, M.; Guyomarc’h, F.; Legland, D.; Famelart, M.-H. Changing the isoelectric point of the heat-induced whey protein complexes affects the acid gelation of skim milk. Int. Dairy J. 2012, 23, 9–17. [Google Scholar] [CrossRef]
- Zhang, Z.; Arrighi, V.; Campbell, L.; Lonchamp, J.; Euston, S.R. Properties of partially denatured whey protein products: Viscoelastic properties. Food Hydrocoll. 2018, 80, 298–308. [Google Scholar] [CrossRef]
- Çoban, F.; Demir Özer, E.; Yildirim, M. A New Approach to the Use of Kefir Grain: Potential Application as a Postbiotic in the Production of Nonfat Yogurt. Food Sci. Nutr. 2025, 13, e70495. [Google Scholar] [CrossRef]
- Wang, X.; Luo, K.; Liu, S.; Adhikari, B.; Chen, J. Improvement of gelation properties of soy protein isolate emulsion induced by calcium cooperated with magnesium. J. Food Eng. 2019, 244, 32–39. [Google Scholar] [CrossRef]
- Bayarri, S.; González-Tomás, L.; Costell, E. Viscoelastic properties of aqueous and milk systems with carboxymethyl cellulose. Food Hydrocoll. 2009, 23, 441–450. [Google Scholar] [CrossRef]
- Nakamura, A.; Fujii, N.; Tobe, J.; Adachi, N.; Hirotsuka, M. Characterization and functional properties of soybean high-molecular-mass polysaccharide complex. Food Hydrocoll. 2012, 29, 75–84. [Google Scholar] [CrossRef]













| pH (1.0% Casein Solution) | Average Particle Size (nm) | Polydispersity Index | pH (1.0% Casein + 0.4% SSPS Mixed Solution) | Average Particle Size (nm) | Polydispersity Index |
|---|---|---|---|---|---|
| 3.5 | 70.32 ± 0.75 b | 0.40 ± 0.01 b | 3.5 | 123.90 ± 0.49 b | 0.06 ± 0.01 bc |
| 3.8 | Flocculation | 3.8 | 126.07 ± 0.54 b | 0.05 ± 0.01 bc | |
| 4.0 | Extensive Precipitation | 4.0 | 132.37 ± 2.38 b | 0.04 ± 0.02 c | |
| 4.2 | Extensive Precipitation | 4.2 | 135.10 ± 0.16 b | 0.08 ± 0.01 b | |
| 4.5 | Extensive Precipitation | 4.5 | 138.43 ± 2.21 b | 0.07 ± 0.02 bc | |
| 4.8 | 626.17 ± 108.58 a | 0.61 ± 0.07 a | 4.8 | 129.70 ± 0.22 b | 0.08 ± 0.00 b |
| 7.0 | 132.87 ± 9.44 b | 0.57 ± 0.03 a | 7.0 | 228.20 ± 25.70 a | 0.36 ± 0.02 a |
| pH (1.0% Casein Solution) | Average Particle Size (nm) | Polydispersity Index | pH (1.0% Casein + 0.4% SSPS Mixed Solution) | Average Particle Size (nm) | Polydispersity Index |
|---|---|---|---|---|---|
| 3.5 | 229.63 ± 4.39 b | 0.27 ± 0.01 b | 3.5 | 208.97 ± 0.26 c | 0.28 ± 0.00 a |
| 3.8 | Flocculation | 3.8 | 201.07 ± 3.29 d | 0.26 ± 0.01 b | |
| 4.0 | Flocculation | 4.0 | 200.37 ± 0.85 d | 0.26 ± 0.01 b | |
| 4.2 | Flocculation | 4.2 | 196.93 ± 3.54 d | 0.26 ± 0.00 b | |
| 4.5 | Flocculation | 4.5 | 186.63 ± 2.64 e | 0.22 ± 0.01 c | |
| 4.8 | 694.43 ± 8.49 a | 0.49 ± 0.03 a | 4.8 | 219.30 ± 5.35 b | 0.21 ± 0.01 c |
| 7.0 | 229.93 ± 2.52 b | 0.26 ± 0.01 b | 7.0 | 244.70 ± 1.90 a | 0.27 ± 0.00 a |
| Thermal Treatment Conditions | Average Particle Size (nm) | Polydispersity Index | ζ-Potential (mV) |
|---|---|---|---|
| Unheated | 137.55 ± 2.45 bc | 0.05 ± 0.01 e | −2.17 ± 0.44 b |
| 120 °C 20 min | 135.60 ± 2.59 bc | 0.08 ± 0.01 d | −1.93 ± 0.23 b |
| 130 °C 20 min | 134.85 ± 1.05 bc | 0.09 ± 0.00 cd | −1.74 ± 0.26 b |
| 140 °C 20 min | 130.90 ± 2.80 c | 0.11 ± 0.00 c | −0.85 ± 0.36 a |
| 140 °C 40 min | 143.35 ± 1.55 ab | 0.24 ± 0.00 b | −0.82 ± 0.06 a |
| 140 °C 60 min | 153.75 ± 3.25 a | 0.36 ± 0.00 a | −0.67 ± 0.18 a |
| Thermal Treatment Conditions | Degree of Denaturation |
|---|---|
| Unheated | 0 |
| 65 °C 30 min | 8.74 |
| 78 °C 5 min | 49.58 |
| 78 °C 20 min | 84.55 |
| 78 °C 30 min | 100 |
| Thermal Treatment Conditions | Average Particle Size (nm) | Polydispersity Index | ζ-Potential (mV) |
|---|---|---|---|
| Unheated | 198.23 ± 1.82 b | 0.25 ± 0.03 b | −3.77 ± 0.14 d |
| 65 °C 30 min | 202.07 ± 4.48 ab | 0.28 ± 0.01 a | −3.15 ± 0.37 c |
| 78 °C 5 min | 219.57 ± 3.27 a | 0.28 ± 0.00 a | −2.52 ± 0.27 b |
| 78 °C 20 min | 219.60 ± 1.72 a | 0.26 ± 0.01 ab | −2.37 ± 0.27 ab |
| 78 °C 30 min | 213.33 ± 0.83 ab | 0.26 ± 0.01 ab | −2.01 ± 0.06 a |
Disclaimer/Publisher’s Note: The statements, opinions and data contained in all publications are solely those of the individual author(s) and contributor(s) and not of MDPI and/or the editor(s). MDPI and/or the editor(s) disclaim responsibility for any injury to people or property resulting from any ideas, methods, instructions or products referred to in the content. |
© 2025 by the authors. Licensee MDPI, Basel, Switzerland. This article is an open access article distributed under the terms and conditions of the Creative Commons Attribution (CC BY) license (https://creativecommons.org/licenses/by/4.0/).
Share and Cite
Pan, H.; Zhou, S.; Chu, X.; Wang, Z.; Chen, J. Effects of Thermal Denaturation on the Interactions Between Soluble Soybean Polysaccharides and Casein and Whey Protein. Molecules 2025, 30, 4207. https://doi.org/10.3390/molecules30214207
Pan H, Zhou S, Chu X, Wang Z, Chen J. Effects of Thermal Denaturation on the Interactions Between Soluble Soybean Polysaccharides and Casein and Whey Protein. Molecules. 2025; 30(21):4207. https://doi.org/10.3390/molecules30214207
Chicago/Turabian StylePan, Hongyang, Seng Zhou, Xiaofang Chu, Zhaojun Wang, and Jie Chen. 2025. "Effects of Thermal Denaturation on the Interactions Between Soluble Soybean Polysaccharides and Casein and Whey Protein" Molecules 30, no. 21: 4207. https://doi.org/10.3390/molecules30214207
APA StylePan, H., Zhou, S., Chu, X., Wang, Z., & Chen, J. (2025). Effects of Thermal Denaturation on the Interactions Between Soluble Soybean Polysaccharides and Casein and Whey Protein. Molecules, 30(21), 4207. https://doi.org/10.3390/molecules30214207

