Toward Off-Grid Photovoltaics-Driven Hydrogen Production: A Conceptual Study on Biomass-Assisted Fe3+/Fe2+ Mediated Co-Electrolysis
Abstract
1. Introduction
2. Results and Discussion
2.1. Electrooxidation of Fe2+
2.2. Regeneration of Fe2+
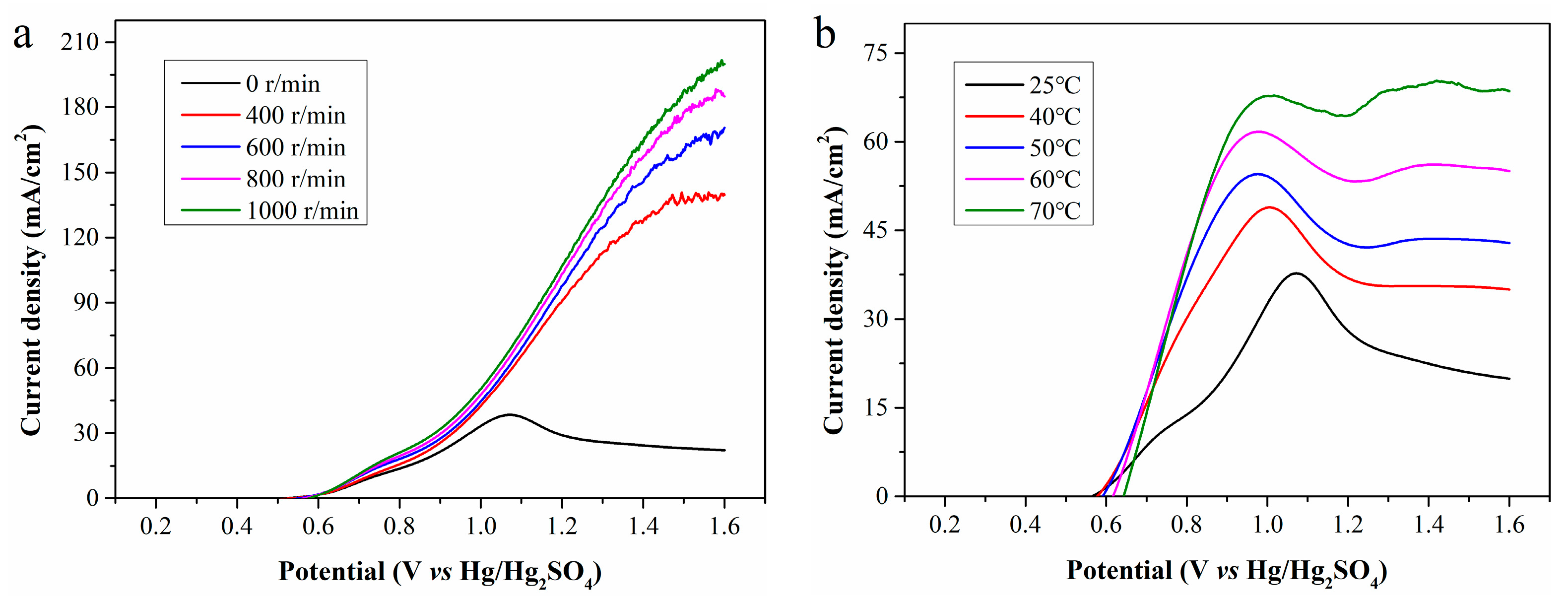
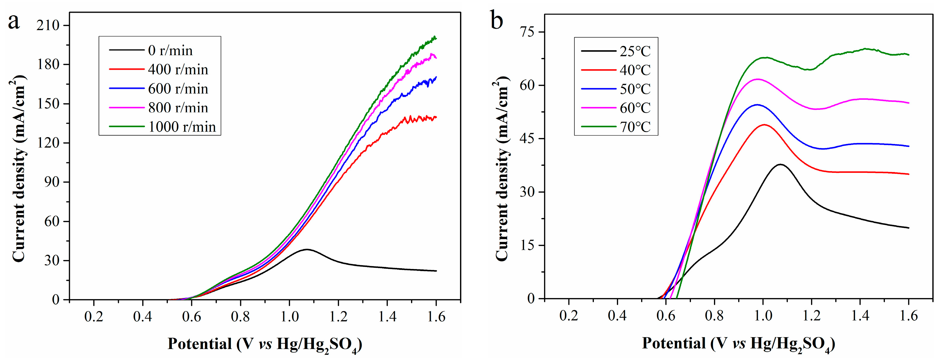
2.3. Optimization of Experimental Conditions
3. Experimental
3.1. Chemicals and Materials
3.2. Fe2+ Regeneration Process
3.3. Characterization Analysis
3.4. Electrolysis Experiments
4. Conclusions
Author Contributions
Funding
Institutional Review Board Statement
Informed Consent Statement
Data Availability Statement
Conflicts of Interest
Abbreviations
| OER | oxygen evolution reaction |
| HER | hydrogen evolution reaction |
| PV | photovoltaic |
| WSOCs | water-soluble organic compounds |
| CP | chlorella pyrenoidosa |
| RS | rice straw |
| PS | pine sawdust |
| BD | bean dregs |
| GC-MS | gas chromatography-mass spectrometry |
| LSV | Linear sweep voltammetry |
References
- Raimi, D.; Zhu, Y.; Newell, R.G.; Prest, B.C.; Bergman, A. Global Energy Outlook 2023: Sowing the Seeds of an Energy Transition; Resources for the Future: Washington, DC, USA, 2023. [Google Scholar]
- Amir, N.; Hussin, F.; Aroua, M.K.; Gozan, M. Exploring Seaweed as a Sustainable Solution for Carbon Dioxide Adsorption: Trends, Opportunities, and Future Research Prospects. Renew. Sustain. Energy Rev. 2025, 213, 115458. [Google Scholar] [CrossRef]
- Schwietzke, S.; Sherwood, O.A.; Bruhwiler, L.M.P.; Miller, J.B.; Etiope, G.; Dlugokencky, E.J.; Michel, S.E.; Arling, V.A.; Vaughn, B.H.; White, J.W.C. Upward Revision of Global Fossil Fuel Methane Emissions Based on Isotope Database. Nature 2016, 538, 88–91. [Google Scholar] [CrossRef] [PubMed]
- Kishore, T.S.; Kumar, P.U.; Ippili, V. Review of Global Sustainable Solar Energy Policies: Significance and Impact. Innov. Green Dev. 2025, 4, 100224. [Google Scholar] [CrossRef]
- Yang, J.; Lam, T.Y.; Luo, Z.; Cheng, Q.; Wang, G.; Yao, H. Renewable Energy Driven Electrolysis of Water for Hydrogen Production, Storage, and Transportation. Renew. Sustain. Energy Rev. 2025, 218, 115804. [Google Scholar] [CrossRef]
- Asim, A.M.; Awad, A.S.A.; Attia, M.A. Integrated Optimization of Energy Storage and Green Hydrogen Systems for Resilient and Sustainable Future Power Grids. Sci. Rep. 2025, 15, 25656. [Google Scholar] [CrossRef]
- Madadi Avargani, V.; Habibzadeh, M.; Abdlla Maarof, H.; Zendehboudi, S.; Duan, X. Harnessing Renewable Energy for Hydrogen Production: Advances, Challenges, and Opportunities. Ind. Eng. Chem. Res. 2025, 64, 12368–12418. [Google Scholar] [CrossRef]
- Dai, F.; Zhang, S.; Luo, Y.; Wang, K.; Liu, Y.; Ji, X. Recent Progress on Hydrogen-Rich Syngas Production from Coal Gasification. Processes 2023, 11, 1765. [Google Scholar] [CrossRef]
- Taherian, Z.; Khataee, A.; Han, N.; Orooji, Y. Hydrogen Production through Methane Reforming Processes Using Promoted-Ni/Mesoporous Silica: A review. J. Ind. Eng. Chem. 2022, 107, 20–30. [Google Scholar] [CrossRef]
- Szablowski, L.; Wojcik, M.; Dybinski, O. Review of Steam Methane Reforming as a Method of Hydrogen Production. Energy 2025, 316, 134540. [Google Scholar] [CrossRef]
- Megía, P.J.; Vizcaíno, A.J.; Calles, J.A.; Carrero, A. Hydrogen Production Technologies: From Fossil Fuels toward Renewable Sources. A Mini Review. Energy Fuels 2021, 35, 16403–16415. [Google Scholar] [CrossRef]
- Zhang, X.Y.; Qian, X.M.; Xiao, C.B.; Yin, X.; Wang, X.; Wang, Z.; Yu, H.; Han, Z.Y.; Lin, L.T. Advancements in Purification and Holistic Utilization of Industrial by-Product Hydrogen: Progress, Challenges, and Prospects. Green Energy Resour. 2024, 2, 100098. [Google Scholar] [CrossRef]
- Ghoreishian, S.M.; Norouzi, M.; Lauterbach, J. Recent Progress in the Decomposition of Ammonia as a Potential Hydrogen-Carrier Using Green Technologies. Chem. Commun. 2025, 61, 8969–8983. [Google Scholar] [CrossRef] [PubMed]
- Mousavi-Salehi, S.; Keshipour, S.; Ahour, F. Gold Supported on Graphene Oxide/Silica Photocatalyst for Hydrogen Generation from Formic Acid. J. Phys. Chem. Solids. 2023, 176, 111239. [Google Scholar]
- Reza, M.S.; Ahmad, N.B.H.; Afroze, S.; Taweekun, J.; Sharifpur, M.; Azad, A. Hydrogen Production from Water Splitting through Photocatalytic Activity of Carbon-Based Materials. Chem. Eng. Technol. 2023, 46, 420–434. [Google Scholar]
- Hassan, N.S.; Jalil, A.A.; Rajendran, S.; Khusnun, N.F.; Bahari, M.B.; Johari, A.; Kamaruddin, M.J.; Ismail, M. Recent Review and Evaluation of Green Hydrogen Production via Water Electrolysis for a Sustainable and Clean Energy Society. Int. J. Hydrogen Energy 2024, 52, 420–441. [Google Scholar]
- Anwar, S.; Khan, F.; Zhang, Y.H.; Djire, A. Recent Development in Electrocatalysts for Hydrogen Production through Water Electrolysis. Int. J. Hydrogen Energy 2021, 46, 32284–32317. [Google Scholar]
- Gutierrez-Martín, F.; Amodio, L.; Pagano, M. Hydrogen Production by Water Electrolysis and Off-Grid Solar PV. Int. J. Hydrogen Energy 2021, 46, 29038–29048. [Google Scholar] [CrossRef]
- Chen, G.; Sun, R.; Wang, B. Solar-Powered Hydrogen: Exploring Production, Storage, and Energy Integration Strategies. Clean Energy 2025, 9, 123–146. [Google Scholar] [CrossRef]
- Xie, H.; Zhao, Z.; Liu, T.; Wu, Y.; Lan, C.; Jiang, W.; Zhu, L.; Wang, Y.; Yang, D.; Shao, Z. A Membrane-Based Seawater Electrolyser for Hydrogen Generation. Nature 2022, 612, 673–678. [Google Scholar] [CrossRef]
- Elmaihy, A.; Amin, M.I.; Bennaya, M.; Rashad, A. Thermodynamic Modeling of Alkaline Water Electrolyzer and Assessment of Reported Cell Voltages Correlations at Low Temperature and Atmospheric Pressure: Critical Review. J. Energy Storage 2024, 96, 112674. [Google Scholar] [CrossRef]
- Choi, J.; Lim, H.; Shim, J.; Jeong, G.H.; Sim, U.; Surendran, S.; Park, S. Harnessing Electrochemical CO2 Reduction and Assisted Water Electrolysis via Constrained Thermodynamic Modeling. Phys. Chem. Chem. Phys. 2025, 27, 17198. [Google Scholar] [CrossRef] [PubMed]
- Li, A.; Qiliang, Z.; Mi, Y.; Ur Rehman, H.; Shoaib, M.; Cao, X.; Wang, N. Triboelectric Nanogenerator Drives Electrochemical Water Splitting for Hydrogen Production: Fundamentals, Progress, and Challenges. Small 2025, 21, 2407043. [Google Scholar] [CrossRef]
- Xiang, K.; Wu, D.; Deng, X.; Li, M.; Chen, S.; Hao, P.; Guo, X.; Luo, J.-L.; Fu, X.-Z. Boosting H2 Generation Coupled with Selective Oxidation of Methanol into Value-Added Chemical over Cobalt Hydroxide@hydroxysulfide Nanosheets Electrocatalysts. Adv. Funct. Mater. 2020, 30, 1909610. [Google Scholar] [CrossRef]
- Wang, Z.; You, J.; Zhao, Y.; Yao, R.; Liu, G.; Lu, J.; Zhao, S. Research Progress on High Entropy Alloys and High Entropy Derivatives as OER Catalysts. J. Environ. Chem. Eng. 2023, 11, 109080. [Google Scholar] [CrossRef]
- Li, J.; Ma, Y.; Mu, X.; Wang, X.; Li, Y.; Ma, H.; Guo, Z. Recent Advances and Perspectives on Coupled Water Electrolysis for Energy-Saving Hydrogen Production. Adv. Sci. 2025, 12, 2411964. [Google Scholar] [CrossRef]
- Guo, W.L.; Li, L.; Li, L.L.; Tian, S.; Liu, S.L.; Wu, Y.P. Hydrogen Production via Electrolysis of Aqueous Formic Acid Solutions. Int. J. Hydrogen Energy 2011, 36, 9415–9419. [Google Scholar] [CrossRef]
- Chen, C.; Fu, Z.; Qi, F.; Chen, Y.; Meng, G.; Chang, Z.; Kong, F.; Zhu, L.; Tian, H.; Huang, H.; et al. Fe2+/Fe3+ Cycling for Coupling Self-Powered Hydrogen Evolution and Preparation of Electrode Catalysts. Angew. Chem. Int. Ed. 2022, 61, e202207226. [Google Scholar] [CrossRef] [PubMed]
- Gan, T.; Yang, Z.; Li, S.; Qian, H.; Li, Z.; Liu, J.; Peng, P.; Bai, J.; Liu, H.; Wang, Z.; et al. Unveiling Janus Chemical Processes in Contact-Electro-Chemistry through Oxygen Reduction Reactions. J. Am. Chem. Soc. 2025, 147, 25407–25416. [Google Scholar] [CrossRef]
- Cui, L.-P.; Zhang, S.; Zhao, Y.; Ge, X.-Y.; Yang, L.; Li, K.; Feng, L.-B.; Li, R.-G.; Chen, J.-J. Tunable Multi-Electron Redox Polyoxometalates for Decoupled Water Splitting Driven by Sunlight. Nat. Commun. 2025, 16, 3674. [Google Scholar] [CrossRef]
- Du, X.; Liu, W.; Zhang, Z.; Mulyadi, A.; Brittain, A.; Gong, J.; Deng, Y. Low-Energy Catalytic Electrolysis for Simultaneous Hydrogen Evolution and Lignin Depolymerization. ChemSusChem 2017, 10, 847–854. [Google Scholar] [CrossRef]
- Oh, H.; Choi, Y.; Shin, C.; Nguyen, T.V.T.; Han, Y.; Kim, H.; Kim, Y.H.; Lee, J.-W.; Jang, J.-W.; Ryu, J. Phosphomolybdic Acid as a Catalyst for Oxidative Valorization of Biomass and Its Application as an Alternative Electron Source. ACS Catal. 2020, 10, 2060–2068. [Google Scholar] [CrossRef]
- Naik, T.S.S.K.; Varshney, R.; Ramamurthy, P.C. Biomimetic Iron-Doped Polydopamine Sensor for Selective Detection of Polystyrene Nanoplastics. ACS EST Water 2025, 5, 3241–3250. [Google Scholar] [CrossRef]
- Hesenov, A.; Kınık, H.; Puli, G.; Gözmen, B.; Irmak, S.; Erbatur, O. Electrolysis of Coal Slurries to Produce Hydrogen Gas: Relationship between CO2 and H2 Formation. Int. J. Hydrogen Energy 2011, 36, 5361–5368. [Google Scholar] [CrossRef]
- Yang, L.; Liu, W.; Zhang, Z.; Du, X.; Gong, J.; Dong, L.C.; Deng, Y.L. Hydrogen Evolution from Native Biomass with Fe3+/Fe2+ Redox Couple Catalyzed Electrolysis. Electrochim. Acta 2017, 246, 1163–1173. [Google Scholar] [CrossRef]
- Wang, Y.; Zhao, M.; Wang, T.; Li, M.; Lu, X.; Li, B. Study on Hydrogen Generation and Cornstalk Degradation by Redox Coupling of Non-Noble Metal Fe3+/Fe2+. Int. J. Hydrogen Energy 2021, 46, 27409–27421. [Google Scholar] [CrossRef]
- Umer, M.; Brandoni, C.; Jaffar, M.; Hewitt, N.J.; Dunlop, P.; Zhang, K.; Huang, Y. An Experimental Investigation of Hydrogen Production through Biomass Electrolysis. Processes 2024, 12, 112. [Google Scholar] [CrossRef]










| Biomass Type | CP | PS | RS | BD |
|---|---|---|---|---|
| Fe2+ concentration (mol/L) | 0.724 | 0.711 | 0.603 | 0.629 |
| Fe3+ reduction rate (%) | 90.5 | 88.9 | 75.4 | 78.6 |
| Electrolyser | Working Electrode | Redox Couple | Reductant | Electrolysis Temperature | Current Density | Applied Voltage | Ref. |
|---|---|---|---|---|---|---|---|
| PEMEC | graphite | Fe3+/Fe2+ | Glucose | 90 °C | 200 mA/cm2 | 1.0 V | [35] |
| H type cell | graphite | Fe3+/Fe2+ | Cornstalk | 80 °C | 22 mA/cm2 | 1.2 V vs. RHE | [36] |
| PEMEC | graphite | Fe3+/Fe2+ | Starch | 80 °C | 14.4 mA/cm2 | 1.2 V | [37] |
| H type cell | Ru-Ir | Fe3+/Fe2+ | Chlorella pyrenoidosa | 70 °C | 280 mA/cm2 | 1.1 V vs. Hg/Hg2SO4 | This work |
Disclaimer/Publisher’s Note: The statements, opinions and data contained in all publications are solely those of the individual author(s) and contributor(s) and not of MDPI and/or the editor(s). MDPI and/or the editor(s) disclaim responsibility for any injury to people or property resulting from any ideas, methods, instructions or products referred to in the content. |
© 2025 by the authors. Licensee MDPI, Basel, Switzerland. This article is an open access article distributed under the terms and conditions of the Creative Commons Attribution (CC BY) license (https://creativecommons.org/licenses/by/4.0/).
Share and Cite
Zhu, C.; Yao, J.; Du, M.; Xu, H.; Yu, J.; Zhu, H.; Zhou, Z.; Zhang, J. Toward Off-Grid Photovoltaics-Driven Hydrogen Production: A Conceptual Study on Biomass-Assisted Fe3+/Fe2+ Mediated Co-Electrolysis. Molecules 2025, 30, 4188. https://doi.org/10.3390/molecules30214188
Zhu C, Yao J, Du M, Xu H, Yu J, Zhu H, Zhou Z, Zhang J. Toward Off-Grid Photovoltaics-Driven Hydrogen Production: A Conceptual Study on Biomass-Assisted Fe3+/Fe2+ Mediated Co-Electrolysis. Molecules. 2025; 30(21):4188. https://doi.org/10.3390/molecules30214188
Chicago/Turabian StyleZhu, Chunhua, Jie Yao, Meng Du, Henghui Xu, Jintao Yu, Haotian Zhu, Zeyu Zhou, and Jubing Zhang. 2025. "Toward Off-Grid Photovoltaics-Driven Hydrogen Production: A Conceptual Study on Biomass-Assisted Fe3+/Fe2+ Mediated Co-Electrolysis" Molecules 30, no. 21: 4188. https://doi.org/10.3390/molecules30214188
APA StyleZhu, C., Yao, J., Du, M., Xu, H., Yu, J., Zhu, H., Zhou, Z., & Zhang, J. (2025). Toward Off-Grid Photovoltaics-Driven Hydrogen Production: A Conceptual Study on Biomass-Assisted Fe3+/Fe2+ Mediated Co-Electrolysis. Molecules, 30(21), 4188. https://doi.org/10.3390/molecules30214188
