Abrupt Transition of Nanothermite Reactivity: The Roles of Loading Density, Microstructure and Ingredients
Abstract
1. Introduction
2. Results
2.1. Morphology and Component Distribution
2.2. Combustion Behaviors of the Assembled Nanothermites
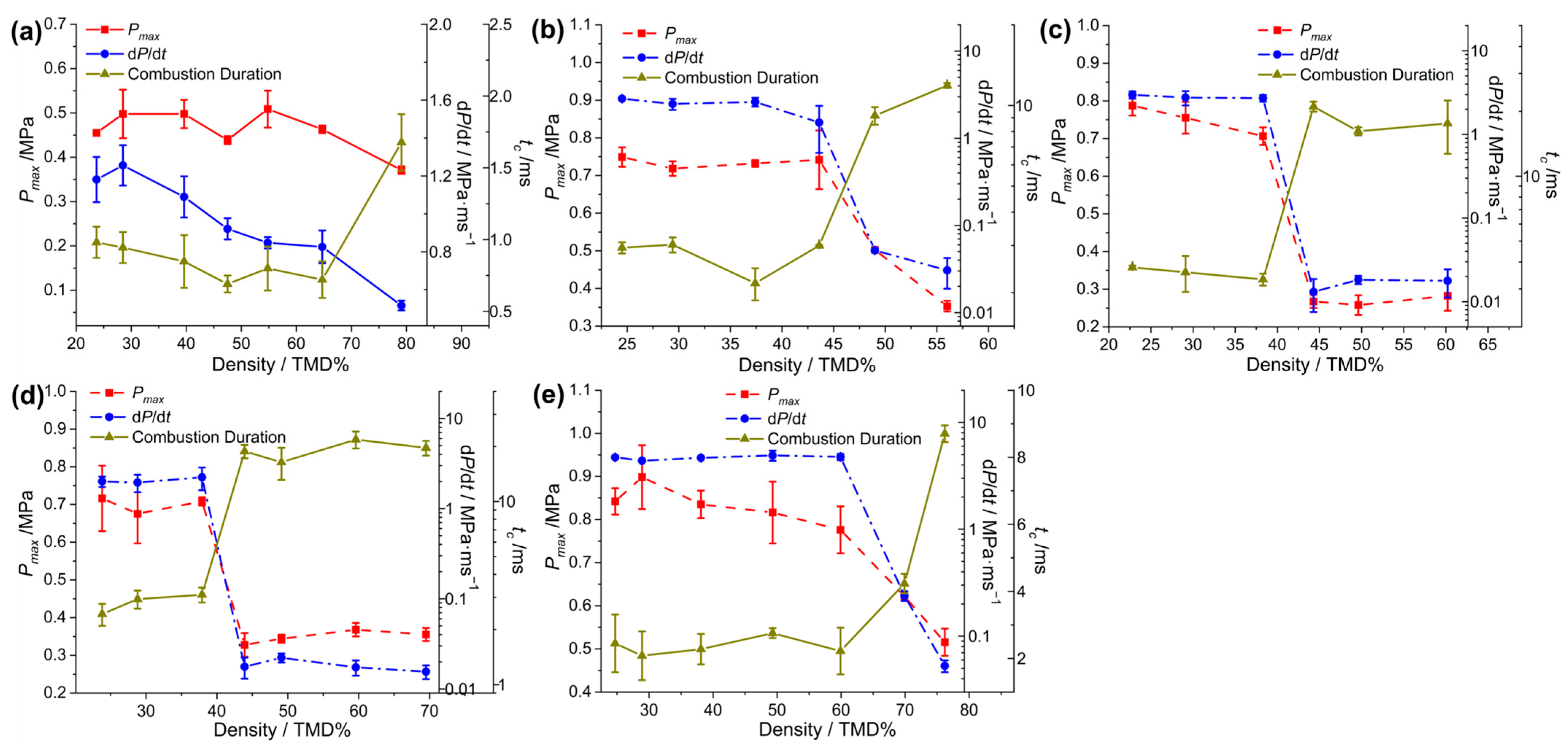
2.3. Pressurization Characteristics of the Al/CuO/NC/Additives
2.4. Pressurization Characteristics of the Al/MxOy/NC/CL-20
3. Discussion
3.1. Effect of Loading Density on Abrupt Reactivity Transition
3.2. Effect of Microstructure on Abrupt Reactivity Transition
3.3. Effects of Energetic Additive Species on Abrupt Reactivity Transition
3.4. Effects of Oxide Species on the Abrupt Reactivity Transition
4. Experimental Section
4.1. Materials
4.2. Sample Preparation
4.3. Loading Samples
4.4. Characterization
5. Conclusions
Supplementary Materials
Author Contributions
Funding
Institutional Review Board Statement
Informed Consent Statement
Data Availability Statement
Conflicts of Interest
References
- Comet, M.; Vidick, G.; Schnell, F.; Suma, Y.; Baps, B.; Spitzer, D. Sulfates-Based Nanothermites: An Expanding Horizon for Metastable Interstitial Composites. Angew. Chem. Int. Ed. 2015, 54, 4458–4462. [Google Scholar] [CrossRef] [PubMed]
- Zhao, W.; Wang, X.; Wang, H.; Wu, T.; Kline, D.J.; Rehwoldt, M.; Ren, H.; Zachariah, M.R. Titanium enhanced ignition and combustion of Al/I2O5 mesoparticle composites. Combust. Flame 2020, 212, 245–251. [Google Scholar] [CrossRef]
- Zhang, Z.; Shen, Y.; Wang, C.-A.; Wang, Y.; Li, F.; Cheng, J.; Xu, J.; Ye, Y.; Shen, R. An excellent synergy between CL-20 and nanothermites in flaming and propelling with high specific impulse and superior safety to electrostatic discharge. Combust. Flame 2022, 240, 112024. [Google Scholar] [CrossRef]
- Egan, G.C.; LaGrange, T.; Zachariah, M.R. Time-Resolved Nanosecond Imaging of Nanoscale Condensed Phase Reaction. J. Phys. Chem. C 2015, 119, 2792–2797. [Google Scholar] [CrossRef]
- Wang, Y.; Xu, J.; Shen, Y.; Wang, C.-A.; Zhang, Z.; Li, F.; Cheng, J.; Ye, Y.; Shen, R. Fabrication of energetic aluminum core/hydrophobic shell nanofibers via coaxial electrospinning. Chem. Eng. J. 2022, 427, 132001. [Google Scholar] [CrossRef]
- Zhang, J.; Chu, Y.; Wang, F.; Yuan, S.; Tan, M.; Fu, H.; Jia, Y. Coulomb Effect of Intermediate Products of Core–Shell SiO2@Al Nanothermite. Molecules 2025, 30, 932. [Google Scholar] [CrossRef]
- Wu, T.; Julien, B.; Wang, H.; Pelloquin, S.; Esteve, A.; Zachariah, M.R.; Rossi, C. Engineered Porosity-Induced Burn Rate Enhancement in Dense Al/CuO Nanothermites. ACS Appl. Energy Mater. 2022, 5, 3189–3198. [Google Scholar] [CrossRef]
- Chen, S.; Yu, H.; Zhang, W.; Shen, R.; Guo, W.; DeLuca, L.T.; Wang, H.; Ye, Y. Sponge-like Al/PVDF films with laser sensitivity and high combustion performance prepared by rapid phase inversion. Chem. Eng. J. 2020, 396, 124962. [Google Scholar] [CrossRef]
- Dai, J.; Wang, C.; Wang, Y.; Xu, W.; Xu, J.; Shen, Y.; Zhang, W.; Ye, Y.; Shen, R. From nanoparticles to on-chip 3D nanothermite: Electrospray deposition of reactive Al/CuO@NC onto semiconductor bridge and its application for rapid ignition. Nanotechnology 2020, 31, 195712. [Google Scholar] [CrossRef]
- Wang, H.; Jian, G.; Egan, G.C.; Zachariah, M.R. Assembly and reactive properties of Al/CuO based nanothermite microparticles. Combust. Flame 2014, 161, 2203–2208. [Google Scholar] [CrossRef]
- Zhang, C.; Zheng, W.; Xu, J.; Lin, Z.; Xiong, D.; Huang, Q.; Ren, W.; Jia, Y.; Zhu, C. Controllable synthesis of novel flower-like Bi2MoO6 and its regulation on nanothermites combustion performance. Chem. Eng. Sci. 2025, 316, 122008. [Google Scholar]
- Bekhouche, S.; Trache, D.; Akbi, H.; Abdelaziz, A.; Tarchoun, A.F.; Boudouh, H. Thermal decomposition behavior and kinetic study of nitrocellulose in presence of ternary nanothermites with different oxidizers. FirePhysChem 2023, 3, 208–216. [Google Scholar] [CrossRef]
- Zhu, Y.; Zhou, X.; Jianbing, X.; Xiaoxia, M.; Yinghua, Y.; Yang, G.; Zhang, K. In situ preparation of explosive embedded CuO/Al/CL20 nanoenergetic composite with enhanced reactivity. Chem. Eng. J. 2018, 354, 885–895. [Google Scholar]
- Polis, M.; Stolarczyk, A.; Szydło, K.; Lisiecka, B.; Procek, M.; Sławski, S.; Domagała, W.; Iksal, J.; Jarosz, T. Ti/CuO Nanothermite Doped with Secondary Energetic Materials: A Study of Combustion Parameters. Molecules 2024, 29, 3664. [Google Scholar] [PubMed]
- Dai, J.; Xu, J.; Wang, F.; Tai, Y.; Shen, Y.; Shen, R.; Ye, Y. Facile formation of nitrocellulose-coated Al/Bi2O3 nanothermites with excellent energy output and improved electrostatic discharge safety. Mater. Des. 2018, 143, 93–103. [Google Scholar]
- Wang, C.; Xu, J.; Dai, J.; Wang, Y.; Shen, Y.; Zhang, Z.; Shen, R.; Ye, Y. Probing the reaction mechanism of Al/CuO nanocomposites doped with ammonium perchlorate. Nanotechnology 2020, 31, 255401–255409. [Google Scholar] [PubMed]
- Hu, Y.; Yang, Y.; Lin, K.; Hao, D.; Qiu, L.; Wang, D.; Fan, R.; Xia, D. Ammonium perchlorate encapsulating nanothermites as high energetic composites: Preparation, thermal decomposition and combustion properties. Chem. Eng. Sci. 2019, 207, 334–343. [Google Scholar] [CrossRef]
- Su, J.; Hu, Y.; Zhou, B.; Ye, Y.; Shen, R. The Role of Graphene Oxide in the Exothermic Mechanism of Al/CuO Nanocomposites. Molecules 2022, 27, 7614. [Google Scholar] [CrossRef]
- Pantoya, M.L.; Levitas, V.I.; Granier, J.J.; Henderson, J.B. Effect of Bulk Density on Reaction Propagation in Nanothermites and Micron Thermites. J. Propuls. Power 2009, 25, 465–470. [Google Scholar] [CrossRef]
- Wang, Y.; Dai, J.; Xu, J.; Shen, Y.; Wang, C.-A.; Ye, Y.; Shen, R. Experimental and numerical investigations of the effect of charge density and scale on the heat transfer behavior of Al/CuO nano-thermite. Vacuum 2020, 184, 109878. [Google Scholar]
- Pantoya, M.L.; Granier, J.J. Combustion Behavior of Highly Energetic Thermites: Nano versus Micron Composites. Propellants, Explos. Pyrotech. 2005, 30, 53–62. [Google Scholar] [CrossRef]
- Prentice, D.; Pantoya, M.L.; Gash, A.E. Combustion wave speeds of sol−gel-synthesized tungsten trioxide and nano-aluminum: The effect of impurities on flame propagation. Energy Fuels 2006, 20, 2370–2376. [Google Scholar] [CrossRef]
- Staley, C.S.; Raymond, K.E.; Thiruvengadathan, R.; Apperson, S.J.; Gangopadhyay, K.; Swaszek, S.M.; Taylor, R.J.; Gangopadhyay, S. Fast-Impulse Nanothermite Solid-Propellant Miniaturized Thrusters. J. Propuls. Power 2014, 29, 1400–1409. [Google Scholar] [CrossRef]
- Apperson, S.J.; Bezmelnitsyn, A.V.; Thiruvengadathan, R.; Gangopadhyay, K.; Gangopadhyay, S.; Balas, W.A.; Anderson, P.E.; Nicolich, S.M. Characterization of nanothermite material for solid-fuel microthruster applications. J. Propuls. Power 2009, 25, 1086–1091. [Google Scholar] [CrossRef]
- Fahd, A.; Baranovsky, A.; Dubois, C.; Chaouki, J.; Wen, J.Z. Superior performance of quaternary NC/GO/Al/KClO4 nanothermite for high speed impulse small-scale propulsion applications. Combust. Flame 2021, 232, 111527. [Google Scholar] [CrossRef]
- Eric, S.V.; Asay, B.W.; Foley, T.J.; Tappan, B.C.; Pacheco, A.N.; Son, S.F. Reaction propagation of four nanoscale energetic composites (Al/MoO3, Al/WO3, Al/CuO, and Bi2O3). J. Propuls. Power 2007, 23, 707–714. [Google Scholar]
- Kline, D.J.; Alibay, Z.; Rehwoldt, M.C.; Idrogo-Lam, A.; Hamilton, S.G.; Biswas, P.; Xu, F.; Zachariah, M.R. Experimental observation of the heat transfer mechanisms that drive propagation in additively manufactured energetic materials. Combust. Flame 2020, 215, 417–424. [Google Scholar] [CrossRef]
- Garth, E.C.; Zachariah, M.R. Commentary on the heat transfer mechanisms controlling propagation in nanothermites. Combust. Flame 2015, 162, 2959–2961. [Google Scholar] [CrossRef]
- Stacy, S.; Zhang, X.; Pantoya, M.; Weeks, B. The effects of density on thermal conductivity and absorption coefficient for consolidated aluminum nanoparticles. Int. J. Heat Mass Transf. 2014, 73, 595–599. [Google Scholar] [CrossRef]
- Kappagantula, K.; Pantoya, M.L. Experimentally measured thermal transport properties of aluminum–polytetrafluoroethylene nanocomposites with graphene and carbon nanotube additives. Int. J. Heat Mass Transf. 2012, 55, 817–824. [Google Scholar] [CrossRef]
- Kagan, L.; Sivashinsky, G. Theory of the transition from conductive to convective burning. Proc. Combust. Inst. 2011, 33, 1983–1988. [Google Scholar] [CrossRef]
- Wang, Q.; Han, J.; Zhang, Y.; Yan, Z.; Velasco, E.; Yang, L.; Wang, B.; Zang, S.-Q. Fabrication of Copper Azide Film through Metal–Organic Framework for Micro-Initiator Applications. ACS Appl. Mater. Interfaces 2019, 11, 8081–8088. [Google Scholar] [PubMed]
- Yi, Z.; Ang, Q.; Li, N.; Shan, C.; Li, Y.; Zhang, L.; Zhu, S. Sulfate-Based Nanothermite: A Green Substitute of Primary Explosive Containing Lead. ACS Sustain. Chem. Eng. 2018, 6, 8584–8590. [Google Scholar] [CrossRef]
- Wan, Z.; Cruz, A.T.M.; Li, Y.; Li, Y.; Ye, Y.; Zhu, S.; Zhang, L. Facile production of NaIO4-encapsulated nanoAl microsphere as green primary explosive and its thermodynamic research. Chem. Eng. J. 2019, 360, 778–787. [Google Scholar] [CrossRef]
- Fahd, A.; Baranovsky, A.; Dubois, C.; Chaouki, J.; Elbasuney, S.; Shokry, S. Thrust characteristics of nano-carbon/Al/oxygenated salt nanothermites for micro-energetic applications. Def. Technol. 2023, 30, 55–69. [Google Scholar]
- Pandey, S.S.; Banerjee, N.; Xie, Y.; Mastrangelo, C.H. Self-Destructing Secured Microchips by On-Chip Triggered Energetic and Corrosive Attacks for Transient Electronics. Adv. Mater. Technol. 2018, 3, 1800044. [Google Scholar]
- Jacob, R.J.; Ortiz-Montalvo, D.L.; Overdeep, K.R.; Weihs, T.P.; Zachariah, M.R. Incomplete reactions in nanothermite composites. J. Appl. Phys. 2017, 121, 054307. [Google Scholar] [CrossRef]
- MacRobbie, C.J.; Wang, A.; Wen, J.Z. How Metal Oxides Change the Reaction Characteristics of Nanothermites. J. Phys. Chem. C 2025, 129, 2429–2440. [Google Scholar] [CrossRef]
- Yan, Q.; Zhao, F.; Kuo, K.K.; Zhang, X.; Zeman, S.; DeLuca, L.T. Catalytic effects of nano additives on decomposition and combustion of RDX-, HMX-, and AP-based energetic compositions. Prog. Energy Combust. Sci. 2016, 57, 75–136. [Google Scholar] [CrossRef]
- Chen, L.; Ru, C.; Zhang, H.; Zhang, Y.; Wang, H.; Hu, X.; Li, G. Progress in Electrohydrodynamic Atomization Preparation of Energetic Materials with Controlled Microstructures. Molecules 2022, 27, 2374. [Google Scholar] [CrossRef]
- Wang, H.; Kline, D.J.; Rehwoldt, M.; Wu, T.; Zhao, W.; Wang, X.; Zachariah, M.R. Architecture Can Significantly Alter the Energy Release Rate from Nanocomposite Energetics. ACS Appl. Polym. Mater. 2019, 1, 982–989. [Google Scholar] [CrossRef]
- Wang, H.; Jian, G.; Yan, S.; DeLisio, J.B.; Huang, C.; Zachariah, M.R. Electrospray Formation of Gelled Nano-Aluminum Microspheres with Superior Reactivity. ACS Appl. Mater. Interfaces 2013, 5, 6797–6801. [Google Scholar] [CrossRef] [PubMed]
- Thiruvengadathan, R.; Bezmelnitsyn, A.; Apperson, S.; Staley, C.; Redner, P.; Balas, W.; Nicolich, S.; Kapoor, D.; Gangopadhyay, K.; Gangopadhyay, S. Combustion characteristics of novel hybrid nanoenergetic formulations. Combust. Flame 2011, 158, 964–978. [Google Scholar] [CrossRef]
- Weismiller, M.R.; Malchi, J.Y.; Yetter, R.A.; Foley, T.J. Dependence of flame propagation on pressure and pressurizing gas for an Al/CuO nanoscale thermite. Proc. Combust. Inst. 2009, 32, 1895–1903. [Google Scholar] [CrossRef]
- Zhou, L.; Piekiel, N.; Chowdhury, S.; Zachariah, M.R. Time-resolved mass spectrometry of the exothermic reaction between nanoaluminum and metal oxides: The role of oxygen release. J. Phys. Chem. C 2010, 114, 14269. [Google Scholar] [CrossRef]
- Chen, L.; Ru, C.; Zhang, H.; Zhang, Y.; Chi, Z.; Wang, H.; Li, G. Assembling Hybrid Energetic Materials with Controllable Interfacial Microstructures by Electrospray. ACS Omega 2021, 6, 16816–16825. [Google Scholar] [CrossRef]
- Collins, E.; Pantoya, M.; Vijayasai, A.; Dallas, T. Comparison of engineered nanocoatings on the combustion of aluminum and copper oxide nanothermites. Surf. Coat. Technol. 2013, 215, 476–484. [Google Scholar] [CrossRef]









| Materials | Loading Density Ranges of Abrupt Transition | Abrupt Changes (From Low to High Density) | |||
|---|---|---|---|---|---|
| (%TMD) | (g/cm3) | Pmax (MPa) | dP/dt (MPa/ms) | tc (ms) | |
| Al/CuO (UM) | 64.7~79.1 | 3.22~3.93 | 0.46/0.37 | 0.83/0.52 | 0.7/1.7 |
| Al/CuO/NC | 43.6~49.0 | 1.97~2.21 | 0.74/0.50 | 1.51/0.052 | 3.0/9.2 |
| Al/CuO/NC(10%) | ~35.6 | ~1.47 | 0.62/0.14 | 1.48/0.010 | 4.0/41.6 |
| Al/CuO/NC/AP | 59.9~69.9 | 2.53~2.95 | 0.78/0.62 | 4.76/0.238 | 2.2/4.2 |
| Al/CuO/NC/HMX | 38.3~44.3 | 1.61~1.86 | 0.71/0.27 | 2.71/0.013 | 3.3/21.1 |
| Al/CuO/NC/CL-20 | 37.9~43.9 | 1.61~1.86 | 0.71/0.33 | 2.22/0.018 | 3.1/18.8 |
| Al/CuO/NC/CL-20 (UM) | 37.9~43.9 | 1.61~1.86 | 0.48/0.24 | 0.043/0.012 | 2.3/12.9 |
| Al/Fe2O3/NC/CL-20 | 28.9~34.1 | 1.07~1.26 | 0.58/0.30 | 0.85/0.013 | 2.5/20.7 |
| Al/Bi2O3/NC/CL-20 | 59.4~65.3 | 3.22~3.54 | 0.74/0.32 | 3.05/0.024 | 2.0/16.0 |
| Materials | Additives | TMD (g/cm3) | Loading Density (%TMD) | Loading Density (g/cm3) |
|---|---|---|---|---|
| Al/CuO | / | 4.97 | 23.7~79.1 | 1.18~3.93 |
| Al/CuO/NC | 5% NC | 4.51 | 24.5~65.4 | 1.10~2.95 |
| Al/CuO/NC(10%) | 10% NC | 4.14 | 25.1~71.2 | 1.04~2.95 |
| Al/CuO/NC/AP | 5% NC, 5% AP | 4.22 | 24.7~76.2 | 1.04~3.22 |
| Al/CuO/NC/HMX | 5% NC, 5% HMX | 4.20 | 22.8~70.2 | 0.95~2.95 |
| Al/CuO/NC/CL-20 (ES and PM) | 5% NC, 5% CL-20 | 4.24 | 23.8~69.5 | 1.01~2.95 |
| Al/Fe2O3/NC/CL-20 | 5% NC, 5% CL-20 | 3.71 | 19.4~59.6 | 0.71~2.21 |
| Al/Bi2O3/NC/CL-20 | 5% NC, 5% CL-20 | 5.42 | 19.8~72.5 | 1.07~3.93 |
Disclaimer/Publisher’s Note: The statements, opinions and data contained in all publications are solely those of the individual author(s) and contributor(s) and not of MDPI and/or the editor(s). MDPI and/or the editor(s) disclaim responsibility for any injury to people or property resulting from any ideas, methods, instructions or products referred to in the content. |
© 2025 by the authors. Licensee MDPI, Basel, Switzerland. This article is an open access article distributed under the terms and conditions of the Creative Commons Attribution (CC BY) license (https://creativecommons.org/licenses/by/4.0/).
Share and Cite
Ru, C.; Zhang, Y.; Yu, A.; Chen, L.; Wang, H.; Zhang, H.; Shan, Y.; Jin, Y. Abrupt Transition of Nanothermite Reactivity: The Roles of Loading Density, Microstructure and Ingredients. Molecules 2025, 30, 4101. https://doi.org/10.3390/molecules30204101
Ru C, Zhang Y, Yu A, Chen L, Wang H, Zhang H, Shan Y, Jin Y. Abrupt Transition of Nanothermite Reactivity: The Roles of Loading Density, Microstructure and Ingredients. Molecules. 2025; 30(20):4101. https://doi.org/10.3390/molecules30204101
Chicago/Turabian StyleRu, Chengbo, Yanchun Zhang, Aoyang Yu, Lihong Chen, Hongxing Wang, Hongguo Zhang, Yiming Shan, and Yi Jin. 2025. "Abrupt Transition of Nanothermite Reactivity: The Roles of Loading Density, Microstructure and Ingredients" Molecules 30, no. 20: 4101. https://doi.org/10.3390/molecules30204101
APA StyleRu, C., Zhang, Y., Yu, A., Chen, L., Wang, H., Zhang, H., Shan, Y., & Jin, Y. (2025). Abrupt Transition of Nanothermite Reactivity: The Roles of Loading Density, Microstructure and Ingredients. Molecules, 30(20), 4101. https://doi.org/10.3390/molecules30204101
