Color, Structure, and Thermal Stability of Alginate Films with Raspberry and/or Black Currant Seed Oils
Abstract
1. Introduction
2. Results and Discussion
2.1. UV-VIS Absorption Spectra of Raspberry Seed Oil and Black Currant Seed Oil
2.2. Color Measurement Results
2.3. Scanning Electron Microscopy Results
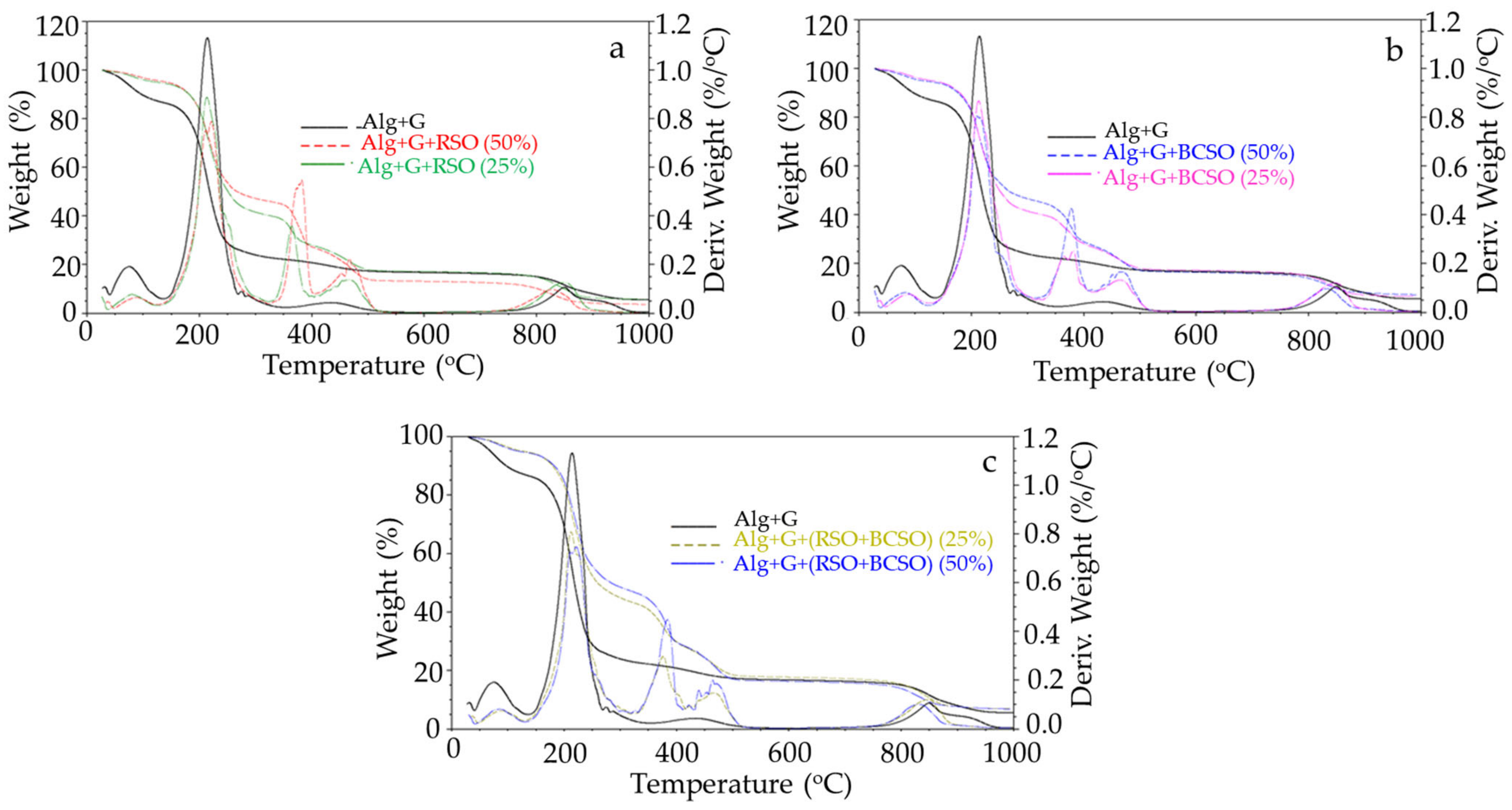
2.4. Thermal Analysis Results
3. Materials and Methods
3.1. Chemicals and Materials
3.2. Characterization of Raspberry Seed Oil and Black Currant Seed Oil
3.3. Preparation of Active Alginate Films
3.4. Optical, Morphological, and Thermal Properties of Alginate Films
3.4.1. Surface Color Measurement
3.4.2. Scanning Electron Microscopy
3.4.3. Thermal Analysis
3.5. Statistical Analysis
4. Conclusions
Author Contributions
Funding
Institutional Review Board Statement
Informed Consent Statement
Data Availability Statement
Conflicts of Interest
References
- Thulasisingh, A.; Kumar, K.; Yamunadevi, B.; Poojitha, N.; SuhailMadharHanif, S.; Kannaiyan, S. Biodegradable Packaging Materials. Polym. Bull. 2022, 79, 4467–4496. [Google Scholar] [CrossRef]
- Hossen, M.A.; Shimul, I.M.; Sameen, D.E.; Rasheed, Z.; Dai, J.; Li, S.; Qin, W.; Tang, W.; Chen, M.; Liu, Y. Essential Oil Loaded Biopolymeric Particles on Food Industry and Packaging: A Review. Int. J. Biol. Macromol. 2024, 265, 130765. [Google Scholar] [CrossRef] [PubMed]
- Jamróz, E.; Juszczak, L.; Kucharek, M. Investigation of the Physical Properties, Antioxidant and Antimicrobial Activity of Ternary Potato Starch-Furcellaran-Gelatin Films Incorporated with Lavender Essential Oil. Int. J. Biol. Macromol. 2018, 114, 1094–1101. [Google Scholar] [CrossRef] [PubMed]
- Nkede, F.N.; Wardana, A.A.; Phuong, N.T.H.; Xirui, Y.; Koga, A.; Wardak, M.H.; Tanaka, F.; Tanaka, F. Improved Alginate-Based Films by Ylang-Ylang (Cananga odorata L.) Oil Incorporation. Polym. Adv. Technol. 2023, 34, 2213–2223. [Google Scholar] [CrossRef]
- Wei, Z.; Huang, L.; Feng, X.; Cui, F.; Wu, R.; Kong, Q.; Sun, K.; Gao, J.; Guo, J. Development of Functional, Sustainable Pullulan-Sodium Alginate-Based Films by Incorporating Essential Oil Microemulsion for Chilled Pork Preservation. Int. J. Biol. Macromol. 2023, 253, 127257. [Google Scholar] [CrossRef]
- Abbas Shah, Y.; Bhatia, S.; Al-Harrasi, A.; Naseer, A.; Jawad, M.; Khan, T.S.; Dıblan, S.; Koca, E.; Aydemir, L.Y. The Applications of Lime (Citrus aurantifolia) Essential Oil as a Functional Ingredient in Gelatin/Kappa-Carrageenan Composite Films for Active Packaging. ACS Food Sci. Technol. 2024, 4, 1199–1208. [Google Scholar] [CrossRef]
- Hamieau, M.; Loulergue, P.; Szydłowska-Czerniak, A. Green Solvent Extraction of Antioxidants from Herbs and Agro-Food Wastes: Optimization and Capacity Determination. Appl. Sci. 2024, 14, 2936. [Google Scholar] [CrossRef]
- Amiri Samani, S.; PourvatanDoust, S.; Savarolyia, M.; Aboutalebzadeh, S.; Khezri, M.; Kazemi, M.; Khodaiyan, F.; Hosseini, S.S. Valorization of Red Grape Pomace for Sustainable Food Packaging: Development of Pectin/Kidney Bean Protein Based Biocomposite Films Enriched with Grape Pomace Polyphenols. Food Hydrocoll. 2025, 160, 110806. [Google Scholar] [CrossRef]
- Quilez-Molina, A.I.; Oliveira-Salmazo, L.; López-Gil, A.; Rodríguez-Pérez, M.Á. Novel Flexible and Active Expanded-Starch Films Enriched with Agrifood Waste via Microwave Irradiation. Future Foods 2024, 10, 100508. [Google Scholar] [CrossRef]
- Dobrucka, R.; Dlugaszewska, J.; Pawlik, M.; Szymański, M. Innovative Active Bio-Based Food Packaging Material with Cannabis sativa L. Seeds Extract as an Agent to Reduce Food Waste. Colloids Surf. B Biointerfaces 2025, 245, 114313. [Google Scholar] [CrossRef]
- Ali, M.Q.; Ahmad, N.; Azhar, M.A.; Munaim, M.S.A.; Hussain, A.; Mahdi, A.A. An Overview: Exploring the Potential of Fruit and Vegetable Waste and by-Products in Food Biodegradable Packaging. Discov. Food 2024, 4, 130. [Google Scholar] [CrossRef]
- Song, Z.; Zang, Z.; Cao, Y.; Ma, Y.; Li, B.; Han, L.; Yu, Q. Tapioca Starch/Konjac Gum-Based Composite Film Incorporated with Nanoliposomes Encapsulated Grape Seed Oil: Structure, Functionality, Controlled Release and Its Preservation Role for Chilled Mutton. Food Chem. 2025, 463, 141081. [Google Scholar] [CrossRef]
- Marudova, M.; Sotirov, S.; Zhelyazkov, S.; Zsivanovits, G. Formulation and Characterization of Hydroxypropyl Methylcellulose Edible Films Containing Grape Seed Oil. Macromol. Symp. 2021, 395, 2000278. [Google Scholar] [CrossRef]
- Marudova, M.; Zsivanovits, G.; Viraneva, A.; Gechev, B.; Rusinova-Videva, S. Rosehip Seed Oil-Incorporated Chitosan Films for Potential Fruit Packaging Applications. Appl. Sci. 2024, 14, 7669. [Google Scholar] [CrossRef]
- Kaya, M.; Ravikumar, P.; Ilk, S.; Mujtaba, M.; Akyuz, L.; Labidi, J.; Salaberria, A.M.; Cakmak, Y.S.; Erkul, S.K. Production and Characterization of Chitosan Based Edible Films from Berberis Crataegina’s Fruit Extract and Seed Oil. Innov. Food Sci. Emerg. Technol. 2018, 45, 287–297. [Google Scholar] [CrossRef]
- Hamed, Y.S.; Bakry, A.M.; El-Sayed, A.M.; Swailam, H.M.; Ahsan, H.M.; Wang, J.; Zou, X.G.; Bu, T.; Zhang, H.; Rayan, A.M.; et al. Development of Soy Protein Isolate-Based Films Containing Omega Rich Oil from Purslane Seed for Beef Burger Patties Packaging. J. Food Meas. Charact. 2024, 18, 4012–4025. [Google Scholar] [CrossRef]
- Pieszka, M.; Migdał, W.; Gąsior, R.; Rudzińska, M.; Bederska-Łojewska, D.; Pieszka, M.; Szczurek, P. Native Oils from Apple, Blackcurrant, Raspberry, and Strawberry Seeds as a Source of Polyenoic Fatty Acids, Tocochromanols, and Phytosterols: A Health Implication. J. Chem. 2015, 2015, 659541. [Google Scholar] [CrossRef]
- Oomah, B.D.; Ladet, S.; Godfrey, D.V.; Liang, J.; Girard, B. Characteristics of Raspberry (Rubus idaeus L.) Seed Oil. Food Chem. 2000, 69, 187–193. [Google Scholar] [CrossRef]
- Goffman, F.D.; Galletti, S. Gamma-Linolenic Acid and Tocopherol Contents in the Seed Oil of 47 Accessions from Several Ribes Species. J. Agric. Food Chem. 2001, 49, 349–354. [Google Scholar] [CrossRef] [PubMed]
- Gustinelli, G.; Eliasson, L.; Svelander, C.; Andlid, T.; Lundin, L.; Ahrné, L.; Alminger, M. Supercritical Fluid Extraction of Berry Seeds: Chemical Composition and Antioxidant Activity. J. Food Qual. 2018, 2018, 6046074. [Google Scholar] [CrossRef]
- Radočaj, O.; Vujasinović, V.; Dimić, E.; Basić, Z. Blackberry (Rubus fruticosus L.) and Raspberry (Rubus idaeus L.) Seed Oils Extracted from Dried Press Pomace after Longterm Frozen Storage of Berries Can Be Used as Functional Food Ingredients. Eur. J. Lipid Sci. Technol. 2014, 116, 1015–1024. [Google Scholar] [CrossRef]
- Bakowska-Barczak, A.M.; Schieber, A.; Kolodziejczyk, P. Characterization of Canadian Black Currant (Ribes nigrum L.) Seed Oils and Residues. J. Agric. Food Chem. 2009, 57, 11528–11536. [Google Scholar] [CrossRef] [PubMed]
- Li, H.; Wang, Z.; Zhu, F.; Li, G. Alginate-Based Active and Intelligent Packaging: Preparation, Properties, and Applications. Int. J. Biol. Macromol. 2024, 279, 135441. [Google Scholar] [CrossRef]
- Alshehri, A.A.; Kamel, R.M.; Gamal, H.; Sakr, H.; Saleh, M.N.; El-Bana, M.; El-Dreny, E.-S.G.; El. Fadly, E.; Abdin, M.; Salama, M.A.; et al. Sodium Alginate Films Incorporated with Lepidium sativum (Garden cress) Extract as a Novel Method to Enhancement the Oxidative Stability of Edible Oil. Int. J. Biol. Macromol. 2024, 265, 130949. [Google Scholar] [CrossRef]
- Santos, L.G.; Martins, V.G. Multifunctional Alginate Films Blended with Polyphenol-Rich Extract from Unconventional Edible Sources: Bioactive Properties, UV-Light Protection, and Food Freshness Monitoring. Int. J. Biol. Macromol. 2024, 262, 130001. [Google Scholar] [CrossRef] [PubMed]
- Pedrali, D.; Barbarito, S.; Lavelli, V. Encapsulation of Grape Seed Phenolics from Winemaking Byproducts in Hydrogel Microbeads—Impact of Food Matrix and Processing on the Inhibitory Activity towards α-Glucosidase. LWT Food Sci. Technol. 2020, 133, 109952. [Google Scholar] [CrossRef]
- Kowalonek, J.; Łukomska, B.; Łukomska, O.; Stachowiak-Trojanowska, N. Alginate Films Enriched in Raspberry and/or Black Currant Seed Oils as Active Food Packaging. Molecules 2024, 29, 2012. [Google Scholar] [CrossRef]
- García-González, D.L.; Aparicio-Ruiz, R.; Aparicio, R. Virgin Olive Oil—Chemical Implications on Quality and Health. Eur. J. Lipid Sci. Technol. 2008, 110, 602–607. [Google Scholar] [CrossRef]
- Rajagukguk, Y.V.; Islam, M.; Grygier, A.; Tomaszewska-Gras, J. Thermal and Spectroscopic Profiles Variation of Cold-Pressed Raspberry Seed Oil Studied by DSC, UV/VIS, and FTIR Techniques. J. Food Compos. Anal. 2023, 124, 105723. [Google Scholar] [CrossRef]
- Michalak, M.; Błońska-Sikora, E.; Dobros, N.; Spałek, O.; Zielińska, A.; Paradowska, K. Bioactive Compounds, Antioxidant Properties, and Cosmetic Applications of Selected Cold-Pressed Plant Oils from Seeds. Cosmetics 2024, 11, 153. [Google Scholar] [CrossRef]
- Mutlu, N. Effects of Grape Seed Oil Nanoemulsion on Physicochemical and Antibacterial Properties of Gelatin-Sodium Alginate Film Blends. Int. J. Biol. Macromol. 2023, 237, 124207. [Google Scholar] [CrossRef]
- Sun, J.; Wang, L.; Chen, H.; Yin, G. Preparation and Application of Edible Film Based on Sodium Carboxymethylcellulose-Sodium Alginate Composite Soybean Oil Body. Coatings 2023, 13, 1716. [Google Scholar] [CrossRef]
- Nehchiri, N.; Amiri, S.; Radi, M. Improving the Water Barrier Properties of Alginate Packaging Films by Submicron Coating with Drying Linseed Oil. Packag. Technol. Sci. 2021, 34, 283–295. [Google Scholar] [CrossRef]
- Khorrami, N.K.; Radi, M.; Amiri, S.; McClements, D.J. Fabrication and Characterization of Alginate-Based Films Functionalized with Nanostructured Lipid Carriers. Int. J. Biol. Macromol. 2021, 182, 373–384. [Google Scholar] [CrossRef] [PubMed]
- Soares, J.P.; Santos, J.E.; Chierice, G.O.; Cavalheiro, E.T.G. Thermal Behavior of Alginic Acid and Its Sodium Salt. Eclet. Quím. 2004, 29, 53–56. [Google Scholar] [CrossRef]
- Almazrouei, M.; El Samad, T.; Janajreh, I. Thermogravimetric Kinetics and High Fidelity Analysis of Crude Glycerol. Energy Procedia 2017, 142, 1699–1705. [Google Scholar] [CrossRef]
- Almazrouei, M.; Adeyemi, I.; Janajreh, I. Thermogravimetric Assessment of the Thermal Degradation during Combustion of Crude and Pure Glycerol. Biomass Convers. Biorefin. 2022, 12, 4403–4417. [Google Scholar] [CrossRef]
- Newkirk, A.A.I. Drying-and-Decomposition-of-Sodium-Carbonate. Anal. Chem. 1958, 30, 982–984. [Google Scholar] [CrossRef]
- Bide, Y.; Fashapoyeh, M.A.; Shokrollahzadeh, S. Structural Investigation and Application of Tween 80-Choline Chloride Self-Assemblies as Osmotic Agent for Water Desalination. Sci. Rep. 2021, 11, 17068. [Google Scholar] [CrossRef]
- Almasi, L. The Release Rate and Antimicrobial Activity of Calcium-Alginate Films Containing Self-Microemulsifying Thymus Vulgaris Essential Oil against Escherichia coli and Staphylococcus aureus. J. Food Saf. 2020, 40, e12828. [Google Scholar] [CrossRef]
- ISO 3656; Animal and Vegetable Fats and Oils—Determination of Ultraviolet Absorbance Expressed as Specific UV Extinction. International Organization for Standardization: Geneva, Switzerland, 2011.



| Oil Sample | K232 ± SD | K268 ± SD | K315 ± SD |
|---|---|---|---|
| Raspberry seed oil | 40.50 ± 0.09 b | 9.00 ± 0.19 b | 4.86 ± 0.20 b |
| Black currant seed oil | 39.65 ± 0.08 a | 8.24 ± 0.21 a | 1.65 ± 0.17 a |
| Sample | L* ± SD | a* ± SD | b* ± SD | ΔE |
|---|---|---|---|---|
| Alg+G | 95.48 ± 0.23 b | −1.92 ± 0.15 a | −0.14 ± 0.19 a | |
| Alg+G+RSO (25%) | 94.61 ± 0.34 a | −2.20 ± 0.21 b | 4.62 ± 0.28 c,d | 4.85 |
| Alg+G+RSO (50%) | 94.21 ± 0.42 a | −2.31 ± 0.17 b | 4.83 ± 0.56 d | 5.14 |
| Alg+G+BCSO (25%) | 94.60 ± 0.34 a | −2.65 ± 0.31 d | 4.62 ± 0.77 c,d | 4.89 |
| Alg+G+BCSO (50%) | 94.54 ± 0.54 a | −2.40 ± 0.16 b,c | 4.22 ± 0.75 c | 4.49 |
| Alg+G+(RSO+BCSO) (25%) | 95.08 ± 0.79 b | −2.20 ± 0.30 b | 2.93 ± 0.54 b | 3.10 |
| Alg+G+(RSO+BCSO) (50%) | 94.36 ± 0.36 a | −2.58 ± 0.21 c,d | 5.80 ± 0.30 e | 6.08 |
| Sample | Tmax1, °C/Δm1, % | Tmax2, °C/Δm2, % | Tmax3, °C/Δm3, % | Tmax4, °C/Δm4, % | Tmax5, °C/Δm5, % | Residue at 980 °C, % |
|---|---|---|---|---|---|---|
| Alg+G | 74/13.6 | 214/64.5 | 433/5.5 | 850/10.8 | 5.6 | |
| Alg+G+RSO (25%) | 80/5.1 | 213/54.7 | 364/12.5 | 464/10.8 | 848/11.1 | 5.8 |
| Alg+G+RSO (50%) | 87/4.2 | 211/49.8 | 376/19.0 | 466/13.9 | 828/9.3 | 3.8 |
| Alg+G+BCSO (25%) | 87/5.1 | 213/54.5 | 380/14.2 | 463/9.1 | 846/10.6 | 6.5 |
| Alg+G+BCSO (50%) | 83/5.2 | 210/49.2 | 377/18.7 | 469/10.6 | 833/8.9 | 7.4 |
| Alg+G+(RSO+BCSO) (25%) | 87/5.0 | 213/51.4 | 376/15.7 | 466/10.0 | 849/10.5 | 7.0 |
| Alg+G+(RSO+BCSO) (50%) | 84/5.3 | 212/47.6 | 382/18.7 | 464/12.1 | 831/9.4 | 6.9 |
Disclaimer/Publisher’s Note: The statements, opinions and data contained in all publications are solely those of the individual author(s) and contributor(s) and not of MDPI and/or the editor(s). MDPI and/or the editor(s) disclaim responsibility for any injury to people or property resulting from any ideas, methods, instructions or products referred to in the content. |
© 2025 by the authors. Licensee MDPI, Basel, Switzerland. This article is an open access article distributed under the terms and conditions of the Creative Commons Attribution (CC BY) license (https://creativecommons.org/licenses/by/4.0/).
Share and Cite
Kowalonek, J.; Łukomska, B.; Szydłowska-Czerniak, A. Color, Structure, and Thermal Stability of Alginate Films with Raspberry and/or Black Currant Seed Oils. Molecules 2025, 30, 245. https://doi.org/10.3390/molecules30020245
Kowalonek J, Łukomska B, Szydłowska-Czerniak A. Color, Structure, and Thermal Stability of Alginate Films with Raspberry and/or Black Currant Seed Oils. Molecules. 2025; 30(2):245. https://doi.org/10.3390/molecules30020245
Chicago/Turabian StyleKowalonek, Jolanta, Bogna Łukomska, and Aleksandra Szydłowska-Czerniak. 2025. "Color, Structure, and Thermal Stability of Alginate Films with Raspberry and/or Black Currant Seed Oils" Molecules 30, no. 2: 245. https://doi.org/10.3390/molecules30020245
APA StyleKowalonek, J., Łukomska, B., & Szydłowska-Czerniak, A. (2025). Color, Structure, and Thermal Stability of Alginate Films with Raspberry and/or Black Currant Seed Oils. Molecules, 30(2), 245. https://doi.org/10.3390/molecules30020245

