Chitosan-Based Schiff Bases (CSBs) and Their Metal Complexes: Promising Antimicrobial Agents
Abstract
1. Introduction
2. Chitosan as an Antimicrobial
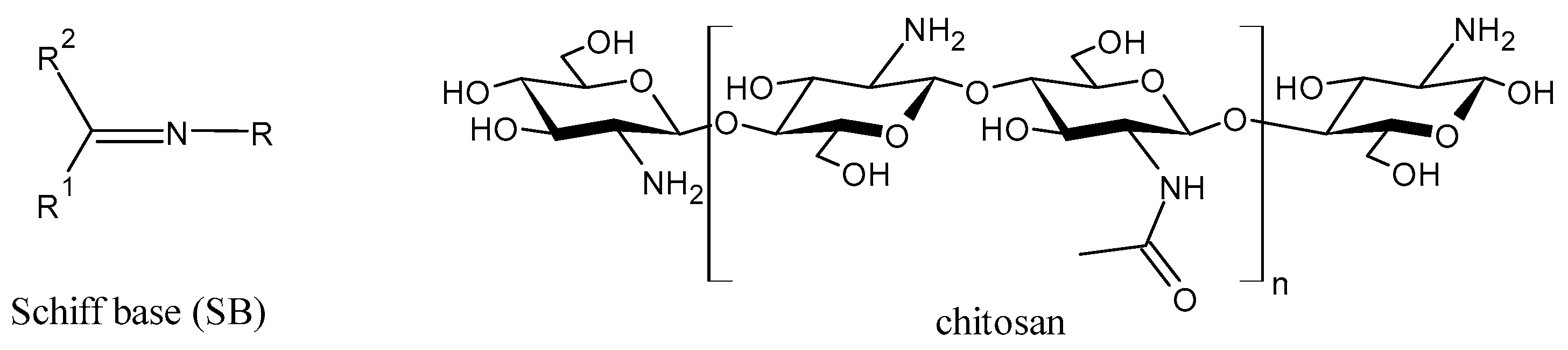
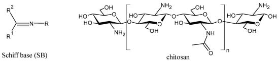
3. Chitosan-Based Schiff Bases (CSBs)
3.1. Synthetic Routes to Obtain CSBs
3.2. Chemical and Biological Activities of CSBs
3.3. Chitosan-Based Schiff Bases (CSBs) as Antimicrobials
| Structure | Compound | Antimicrobial Activity | Ref. |
|---|---|---|---|
![]() | Va.Ch.SB | IZD = 34.60 ± 0.343 mm (E. coli) IZD = 25.53 ± 1.083 mm (S. haemolyticus) IZD = 26.05 ± 0.269 mm (P. aeruginosa) IZD = 28.54 ± 0.963 mm (K. pneumoniae) IZD = 24.98 ± 0.280 mm (S. aureus) | [150] |
![]() | Cs-SBA (NPs) | IZD = 23.33 ± 0.58 mm (H. pylori ATCC 700392) MIC = 15.62 ± 0.05 µg/mL (H. pylori ATCC 700392) MBC = 15.62 ± 0.50 µg/mL (H. pylori ATCC 700392) | [151] |
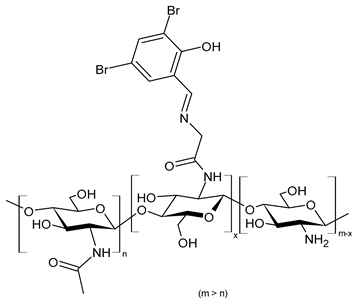
![]() | Cs-SBBr (NPs) | IZD = 27.00 ± 0.41 mm (H. pylori ATCC 700392) MIC = 3.90 ± 0.03 µg/mL (H. pylori ATCC 700392) MBC = 3.90 ± 0.20 µg/mL (H. pylori ATCC 700392) | [151] |
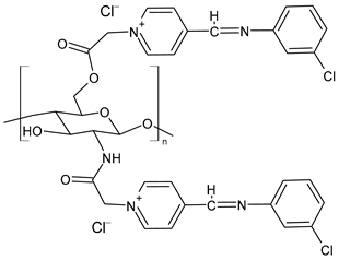
![]() | QSCSB1 | IZD = 20 ± 1 mm (P. aeruginosa ATCC 9027) IZD ~ 18 mm (K. pneumoniae ATCC 13883) IZD ~ 18 mm (E. coli ATCC 19404) IZD ~ 14 mm (B. subtilis ATCC 6633) MIC = 250 ± 12.5 μg/mL (P. aeruginosa ATCC 9027) Percentage inhibition = 51.35% (against P. aeruginosa-induced biofilm) | [154] |
![]() | QSCSB2 | IZD = 23 ± 1.15 mm (P. aeruginosa ATCC 9027) IZD = 23 ± 1.38 mm (K. pneumoniae ATCC 13883) IZD = 20 ± 0.7 mm (E. coli ATCC 19404) IZD = 18 ± 0.9 mm (B. subtilis ATCC 6633) MIC = 125 ± 7.5 μg/mL (P. aeruginosa ATCC 9027) Percentage inhibition = 64.86% (against P. aeruginosa-induced biofilm) | [154] |
![]() | SC/PNF (hydrogel) | IZD = 1.85 cm (for SC/PNF10_7.5 wt% with vancomycin against S. aureus) IZD = 2.05 cm (for SC/PNF10_5 wt% with vancomycin against S. aureus) IZD = 1.91 cm (for SC/PNF5_7.5 wt% with vancomycin against S. aureus) | [155] |
![]() | CSGDCH | MIC = 0.03125 mg/mL (E. coli) MIC = 0.0156 mg/mL (S. aureus) MBC = 0.03125 mg/mL (E. coli) MBC = 0.0156 mg/mL (S. aureus) Inhibitory index (%) = 100% (at 1.0 mg/mL); 79.34% (at 0.1 mg/mL (B. cinerea) Inhibitory index (%) = 100% (at 0.5 mg/mL); 96.87% (at 0.1 mg/mL (F. graminearum) | [156] |
![]() | CSGDBH | MIC = 0.03125 mg/mL (E. coli) MIC = 0.0156 mg/mL (S. aureus) MBC = 0.03125 mg/mL (E. coli) MBC = 0.0156 mg/mL (S. aureus) Inhibitory index (%) = 98.52% (at 1.0 mg/mL (B. cinerea) Inhibitory index (%) = 100% (at 0.5 mg/mL) (F. graminearum) | [156] |
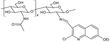
![]() | CSMTBAQ | MIC = 8 µg/mL (L. innocua ATCC 33090) MIC = 8 µg/mL (S. epidermidis ATCC 12228) MIC = 31 µg/mL (S. aureus ATCC 29213) MIC = 31 µg/mL (MRSA ATCC 43300) MIC = 250 µg/mL (C. albicans ATCC 200955) MIC > 1000 µg/mL (E. coli ATCC 25922) | [157] |
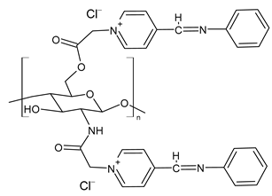
![]() | CHQ (1.0) | IZD = 37.0 ± 0.45 mm (S. haemolyticus) IZD = 32.5 ± 0.37 mm (E. coli) | [158] |
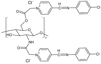
![]() | CCS | IZD = 13.5 ± 0.70 mm (E. coli MTCC 1687) IZD = 10.4 ± 0.19 mm (P. aeruginosa MTCC 741) IZD = 13.7 ± 0.13 mm (S. aureus MTCC 902) IZD = 11 ± 0.91 mm (B. subtilis MTCC 441) | [103] |
![]() | BPCACS | MIC = 0.125 mg/mL (S. aureus) MBC = 0.25 mg/mL (S. aureus) MIC = 0.25 mg/mL (E. coli) MBC = 0.5 mg/mL (E. coli) | [160] |
![]() | 2BPCACS | MIC = 0.5 mg/mL (S. aureus) MBC = 1 mg/mL (S. aureus) MIC = 1 mg/mL (E. coli) MBC = 2 mg/mL (E. coli) | [160] |
![]() | 3BPCACS | MIC = 1 mg/mL (S. aureus) MBC = 2 mg/mL (S. aureus) MIC = 1 mg/mL (E. coli) MBC = 2 mg/mL (E. coli) | [160] |
![]() | 4BPCACS | MIC = 1 mg/mL (S. aureus) MBC = 2 mg/mL (S. aureus) MIC = 2 mg/mL (E. coli) MBC = 2 mg/mL (E. coli) | [160] |
3.4. Chitosan-Based Schiff Bases (CSBs) Complexed with Metals as Antimicrobials
4. Conclusions
Author Contributions
Funding
Institutional Review Board Statement
Informed Consent Statement
Data Availability Statement
Conflicts of Interest
References
- Catalano, A. Schiff Bases: A Short Survey on a Promising Scaffold in Drug Discovery. Curr. Med. Chem. 2023, 30, 4176–4180. [Google Scholar] [CrossRef] [PubMed]
- Kaushik, S.; Paliwal, S.K.; Iyer, M.R.; Patil, V.M. Promising Schiff Bases in Antiviral Drug Design and Discovery. Med. Chem. Res. 2023, 32, 1063–1076. [Google Scholar] [CrossRef] [PubMed]
- Khan, I.; Rehman, W.; Rasheed, L.; Rahim, F.; Hussain, R.; Khan, S.; Alanazi, A.S.; Hefnawy, M.; Abdellattif, M.H. Discovery of Novel and Selective Schiff Base Inhibitors as a Key for Drug Synthesis, Molecular Docking, and Pharmacological Evaluation. ACS Omega 2024, 9, 31148–31158. [Google Scholar] [CrossRef] [PubMed]
- Islam, W.U.; Khan, A.; Khan, F.; Ullah, S.; Waqas, M.; Khan, H.; Khan, M.; Rahman, S.M.; Ali, S.; Mateen, A.; et al. Synthesis of Novel Hydrazide Schiff Bases with Anti-diabetic and Anti-Hyperlipidemic Effects: In-vitro, In-vivo and In-silico Approaches. J. Biomol. Struct. Dynam. 2024, in press. [Google Scholar] [CrossRef]
- Naglah, A.M.; Almehizia, A.A.; Al-Wasidi, A.S.; Alharbi, A.S.; Alqarni, M.H.; Hassan, A.S.; Aboulthana, W.M. Exploring the Potential Biological Activities of Pyrazole-Based Schiff Bases as Anti-Diabetic, Anti-Alzheimer’s, Anti-Inflammatory, and Cytotoxic Agents: In Vitro Studies with Computational Predictions. Pharmaceuticals 2024, 17, 655. [Google Scholar] [CrossRef]
- Iacopetta, D.; Ceramella, J.; Catalano, A.; Saturnino, C.; Bonomo, M.G.; Franchini, C.; Sinicropi, M.S. Schiff Bases: Interesting Scaffolds with Promising Antitumoral Properties. Appl. Sci. 2021, 11, 1877. [Google Scholar] [CrossRef]
- Coandă, M.; Limban, C.; Nuță, D.C. Small Schiff Base Molecules—A Possible Strategy to Combat Biofilm-Related Infections. Antibiotics 2024, 13, 75. [Google Scholar] [CrossRef]
- Ceramella, J.; Iacopetta, D.; Catalano, A.; Cirillo, F.; Lappano, R.; Sinicropi, M.S. A Review on the Antimicrobial Activity of Schiff Bases: Data Collection and Recent Studies. Antibiotics 2022, 11, 191. [Google Scholar] [CrossRef]
- Iyer, M.; Elangovan, A.; Sennimalai, R.; Babu, H.W.S.; Thiruvenkataswamy, S.; Krishnan, J.; Yadav, M.K.; Gopalakrishnan, A.V.; Narayanasamy, A.; Vellingiri, B. Chitosan—An Alternative Drug Delivery Approach for Neurodegenerative Diseases. Carbohydr. Polym. Technol. Appl. 2024, 7, 100460. [Google Scholar] [CrossRef]
- Zhao, D.; Yu, S.; Sun, B.; Gao, S.; Guo, S.; Zhao, K. Biomedical Applications of Chitosan and Its Derivative Nanoparticles. Polymers 2018, 10, 462. [Google Scholar] [CrossRef]
- Kluczka, J. Chitosan: Structural and Chemical Modification, Properties, and Application. Int. J. Mol. Sci. 2024, 25, 554. [Google Scholar] [CrossRef] [PubMed]
- Ceramella, J.; Iacopetta, D.; Franchini, A.; De Luca, M.; Saturnino, C.; Andreu, I.; Sinicropi, M.S.; Catalano, A. A Look at the Importance of Chirality in Drug Activity: Some Significative Examples. Appl. Sci. 2022, 12, 10909. [Google Scholar] [CrossRef]
- Shariatinia, Z. Pharmaceutical Applications of Chitosan. Adv. Colloid Interface Sci. 2019, 263, 131–194. [Google Scholar] [CrossRef] [PubMed]
- Harugade, A.; Sherje, A.P.; Pethe, A. Chitosan: A Review on Properties, Biological Activities and Recent Progress in Biomedical Applications. React. Funct. Polym. 2023, 191, 105634. [Google Scholar] [CrossRef]
- Dhlamini, K.S.; Selepe, C.T.; Ramalapa, B.; Tshweu, L.; Ray, S.S. Reimagining Chitosan-Based Antimicrobial Biomaterials to Mitigate Antibiotic Resistance and Alleviate Antibiotic Overuse: A Review. Macromol. Mater. Eng. 2024, 309, 2400018. [Google Scholar] [CrossRef]
- Mladenova, I. Epidemiology of Helicobacter pylori Resistance to Antibiotics (A Narrative Review). Antibiotics 2023, 12, 1184. [Google Scholar] [CrossRef]
- Elgamal, A.M.; Ali, E.A.; Saad, G.R.; Abdelhamid, I.A.; Elsabee, M.Z.; Hamed, A.A. Biologically active ionic chitosan Schiff base nanocomposites: Synthesis, Characterization and Antimicrobial Activity against Helicobacter pylori. Int. J. Biol. Macromol. 2024, 282, 137321. [Google Scholar] [CrossRef]
- Arif, M.; Ahmad, R.; Sharaf, M.; Samreen; Muhammad, J.; Abdalla, M.; Eltayb, W.A.; Liu, C.-G. Antibacterial and Antibiofilm Activity of Mannose-Modified Chitosan/PMLA Nanoparticles against Multidrug-Resistant Helicobacter pylori. Int. J. Biol. Macromol. 2022, 223, 418–432. [Google Scholar] [CrossRef]
- Mirbagheri, V.S.; Alishahi, A.; Ahmadian, G.; Petroudi, S.H.H.; Ojagh, S.M.; Romanazzi, G. Toward Understanding the Antibacterial Mechanism of Chitosan: Experimental Approach and In Silico Analysis. Food Hydrocoll. 2024, 147, 109382. [Google Scholar] [CrossRef]
- Egorov, A.R.; Kirichuk, A.A.; Rubanik, V.V.; Rubanik, V.V., Jr.; Tskhovrebov, A.G.; Kritchenkov, A.S. Chitosan and Its Derivatives: Preparation and Antibacterial Properties. Materials 2023, 16, 6076. [Google Scholar] [CrossRef]
- de Azevedo, M.I.G.; Souza, P.F.N.; Monteiro Júnior, J.E.; Grangeiro, T.B. Chitosan and Chitooligosaccharides: Antifungal Potential and Structural Insights. Chem. Biodiver. 2024, 21, e202400044. [Google Scholar] [CrossRef] [PubMed]
- Montaser, A.S.; Wassel, A.R.; Al-Shaye’a, O.N. Synthesis, Characterization and Antimicrobial Activity of Schiff Bases from Chitosan and Salicylaldehyde/TiO2 Nanocomposite Membrane. Int. J. Biol. Macromol. 2019, 124, 802–809. [Google Scholar] [CrossRef] [PubMed]
- Fatima, M.; Mir, S.; Ali, M.; Hassan, S.; Khan, Z.U.H.; Waqar, K. Synthesis and Applications of Chitosan Derivatives In Food Preservation-A Review. Eur. Polym. J. 2024, 216, 113242. [Google Scholar] [CrossRef]
- Heras-Mozos, R.; López-Carballo, G.; Hernández, R.; Gavara, R.; Hernández Muñoz, P. PH Modulates Antibacterial Activity of Hydroxybenzaldehyde Derivatives Immobilized in Chitosan Films via Reversible Schiff Bases and Its Application to Preserve Freshly-Squeezed Juice. Food Chem. 2023, 403, 134292. [Google Scholar] [CrossRef]
- Sharma, N.; Modak, C.; Singh, P.K.; Kumar, R.; Khatri, D.; Singh, S.B. Underscoring the Immense Potential of Chitosan in Fighting a Wide Spectrum of Viruses: A Plausible Molecule against SARS-CoV-2? Int. J. Biol. Macromol. 2021, 179, 33–44. [Google Scholar] [CrossRef]
- Haider, A.; Khan, S.; Iqbal, D.N.; Khan, S.U.; Haider, S.; Mohammad, K.; Mustfa, G.; Rizwan, M.; Haider, A. Chitosan as a Tool for Tissue Engineering and Rehabilitation: Recent Developments and Future Perspectives–A Review. Int. J. Biol. Macromol. 2024, 278, 134172. [Google Scholar] [CrossRef]
- Dou, X.; Fan, N.; Yang, J.; Zhang, Z.; Wu, B.; Wei, X.; Shi, S.; Zhang, W.; Feng, Y. Research Progress on Chitosan and Its Derivatives in the Fields of Corrosion Inhibition and Antimicrobial Activity. Environ. Sci. Pollut. Res. 2024, 31, 30353–30369. [Google Scholar] [CrossRef]
- Cele, Z.E.D.; Matshe, W.; Mdlalose, L.; Setshedi, K.; Malatji, K.; Mkhwanazi, N.P.; Ntombela, T.; Balogun, M. Cationic Chitosan Derivatives for the Inactivation of HIV-1 and SARS-CoV-2 Enveloped Viruses. ACS Omega 2023, 8, 31714–31724. [Google Scholar] [CrossRef]
- de Moura Junior, C.F.; Ochi, D.; Freitas, E.D.; Kerwald, J.; d’Ávila, M.A.; Beppu, M.M. Synthesis and Characterization of n-Phosphonium Chitosan and Its Virucidal Activity Evaluation against Coronavirus. Int. J. Biol. Macromol. 2023, 246, 125665. [Google Scholar] [CrossRef]
- Tamer, T.M.; Zhou, H.; Hassan, M.A.; Abu-Serie, M.M.; Shityakov, S.; Elbayomi, S.M.; Mohy-Eldin, M.S.; Zhang, Y.; Cheang, T. Synthesis and Physicochemical Properties of an Aromatic Chitosan Derivative: In vitro Antibacterial, Antioxidant, and Anticancer Evaluations, and In Silico Studies. Int. J. Biol. Macromol. 2023, 240, 124339. [Google Scholar] [CrossRef]
- Jagdale, S.; Dixit, A.; Gaware, S.; Agarwal, B. Chitosan as Excellent Bio-macromolecule with Myriad of Anti-activities in Biomedical Applications—A Review. Int. J. Biol. Macromol. 2023, 257, 128697. [Google Scholar] [CrossRef] [PubMed]
- Tang, W.; Wang, J.; Hou, H.; Li, Y.; Wang, J.; Fu, J.; Lu, L.; Gao, D.; Liu, Z.; Zhao, F.; et al. Review: Application of Chitosan and Its Derivatives in Medical Materials. Int. J. Biol. Macromol. 2023, 240, 124398. [Google Scholar] [CrossRef] [PubMed]
- Sinani, G.; Sessevmez, M.; Şenel, S. Applications of Chitosan in Prevention and Treatment Strategies of Infectious Diseases. Pharmaceutics 2024, 16, 1201. [Google Scholar] [CrossRef]
- Yan, D.; Li, Y.; Liu, Y.; Li, N.; Zhang, X.; Yan, C. Antimicrobial Properties of Chitosan and Chitosan Derivatives in the Treatment of Enteric Infections. Molecules 2021, 26, 7136. [Google Scholar] [CrossRef]
- Shi, S.; Shi, W.; Zhou, B.; Qiu, S. Research and Application of Chitosan Nanoparticles in Orthopedic Infections. Int. J. Nanomed. 2024, 19, 6589–6602. [Google Scholar] [CrossRef]
- Conde, A.; Borges, S.; Baptista-Silva, S.; Veloso, T.; Pereira, J.L.; Ventura, S.P.M.; Pintado, M.M. A Crayfish Chitosan-based Bioactive Film to Treat Vaginal Infections: A Sustainable Approach. Int. J. Biol. Macromol. 2024, 277, 134460. [Google Scholar] [CrossRef]
- Antony, R.; Arun, T.; Manickam, S.T.D. A Review on Applications of Chitosan-Based Schiff Bases. Int. J. Biol. Macromol. 2019, 129, 615–633. [Google Scholar] [CrossRef]
- Tang, K.W.K.; Millar, B.C.; Moore, J.E. Antimicrobial Resistance (AMR). Br. J. Biomed. Sci. 2023, 80, 11387. [Google Scholar] [CrossRef]
- Catalano, A.; Ceramella, J.; Iacopetta, D.; Marra, M.; Conforti, F.; Lupi, F.R.; Gabriele, D.; Borges, F.; Sinicropi, M.S. Aloe vera―An Extensive Review Focused on Recent Studies. Foods 2024, 13, 2155. [Google Scholar] [CrossRef]
- Edo, G.I.; Yousif, E.; Al-Mashhadani, M.H. Chitosan: An Overview of Biological Activities, Derivatives, Properties, and Current Advancements in Biomedical Applications. Carbohydr. Res. 2024, 542, 109199. [Google Scholar] [CrossRef]
- Li, J.; Zhuang, S. Antibacterial Activity of Chitosan and its Derivatives and Their Interaction Mechanism with Bacteria: Current State and Perspectives. Eur. Polym. J. 2020, 138, 109984. [Google Scholar] [CrossRef]
- Goy, R.C.; Britto, D.D.; Assis, O.B. A Review of the Antimicrobial Activity of Chitosan. Polimeros 2009, 19, 241–247. [Google Scholar] [CrossRef]
- Poznanski, P.; Hameed, A.; Orczyk, W. Chitosan and Chitosan Nanoparticles: Parameters Enhancing Antifungal Activity. Molecules 2023, 28, 2996. [Google Scholar] [CrossRef] [PubMed]
- Yang, Z.J.; Liu, W.W.; Liu, H.M.; Li, R.; Chang, L.; Kan, S.N.; Hao, M.; Wang, D.X. The Applications of Polysaccharides in Dentistry. Front. Bioeng. Biotech. 2022, 10, 970041. [Google Scholar] [CrossRef]
- Román-Doval, R.; Torres-Arellanes, S.P.; Tenorio-Barajas, A.Y.; Gómez-Sánchez, A.; Valencia-Lazcano, A.A. Chitosan: Properties and Its Application in Agriculture in Context of Molecular Weight. Polymers 2023, 15, 2867. [Google Scholar] [CrossRef]
- Sun, Z.; Shi, C.; Wang, X.; Fang, Q.; Huang, J. Synthesis, Characterization, and Antimicrobial Activities of Sulfonated Chitosan. Carbohydr. Polym. 2017, 155, 321–328. [Google Scholar] [CrossRef]
- Tarek, A.; Tartor, Y.H.; Hassan, M.N.; Pet, I.; Ahmadi, M.; Abdelkhalek, A. Fighting Emerging Caspofungin-Resistant Candida Species: Mitigating Fks 1-Mediated Resistance and Enhancing Caspofungin Efficacy by Chitosan. Antibiotics 2024, 13, 578. [Google Scholar] [CrossRef]
- Singh, I.; Kumar, S.; Singh, S.; Wani, M.Y. Overcoming Resistance: Chitosan-modified Liposomes as Targeted Drug Carriers in the Fight against Multidrug Resistant Bacteria-A Review. Int. J. Biol. Macromol. 2024, 278, 135022. [Google Scholar] [CrossRef]
- Nguyen, M.T.P.; Escribà-Gelonch, M.; Hessel, V.; Coad, B.R. A Review of the Current and Future Prospects for Producing Bioplastic Films Made from Starch and Chitosan. ACS Sustain. Chem. Engineer. 2024, 12, 1750–1768. [Google Scholar] [CrossRef]
- Paul, M.; Das Pramanik, S.; Sahoo, R.N.; Dey, Y.N.; Nayak, A.K. Dental Delivery Systems of Antimicrobial Drugs using Chitosan, Alginate, Dextran, Cellulose and Other Polysaccharides: A Review. Int. J. Biol. Macromol. 2023, 247, 125808. [Google Scholar] [CrossRef]
- Shrestha, R.; Thenissery, A.; Khupse, R.; Rajashekara, G. Strategies for the Preparation of Chitosan Derivatives for Antimicrobial, Drug Delivery, and Agricultural Applications: A Review. Molecules 2023, 28, 7659. [Google Scholar] [CrossRef] [PubMed]
- Sarfraz, M.H.; Hayat, S.; Siddique, M.H.; Aslam, B.; Ashraf, A.; Saqalein, M.; Khurshid, M.; Sarfraz, M.F.; Afzal, M.; Muzammil, S. Chitosan Based Coatings and Films: A Perspective on Antimicrobial, Antioxidant, and Intelligent Food Packaging. Prog. Org. Coat. 2024, 188, 108235. [Google Scholar] [CrossRef]
- Sathiyabama, M.; Boomija, R.V.; Muthukumar, S.; Gandhi, M.; Salma, S.; Prinsha, T.K.; Rengasamy, B. Green Synthesis of Chitosan Nanoparticles Using Tea Extract and Its Antimicrobial Activity against Economically Important Phytopathogens of Rice. Sci. Rep. 2024, 14, 7381. [Google Scholar] [CrossRef]
- Sathiyaseelan, A.; Zhang, X.; Lin, J.; Wang, M.-H. In Situ, Synthesis of Chitosan Fabricated Tellurium Nanoparticles for Improved Antimicrobial and Anticancer Applications. Int. J. Biol. Macromol. 2024, 258, 128778. [Google Scholar] [CrossRef]
- Cakici, F.; Cakici, E.B. Antimicrobial Efficacy of Chitosan versus Sodium Hypochlorite: A Systematic Review and Meta-analysis. Oral Dis. 2024, 30, 5445–5460. [Google Scholar] [CrossRef]
- Na, X.; Zou, B.; Zheng, X.; Yu, X.; Zhang, L.; Xu, X.; Du, M.; Wu, C. One-step Spraying of Protein-anchored Chitosan Oligosaccharide Antimicrobial Coating for Food Preservation. Int. J. Biol. Macromol. 2024, 275, 133330. [Google Scholar] [CrossRef]
- Makau, S.M.; Moumni, M.; Landi, L.; Pirozzi, D.; Sannino, F.; Romanazzi, G. In Vitro Evaluation of Chitosan Hydrochloride and COS (Chito-Oligosaccharides)-OGA (Oligo-Galacturonides) on Phytopathogenic Fungi and Escherichia coli. Horticulturae 2023, 9, 1275. [Google Scholar] [CrossRef]
- Mishra, A.; Omoyeni, T.; Singh, P.K.; Anandakumar, S.; Tiwari, A. Trends in Sustainable Chitosan-Based Hydrogel Technology for Circular Biomedical Engineering: A Review. Int. J. Biol. Macromol. 2024, 276, 133823. [Google Scholar] [CrossRef]
- Cai, H.; Yan, J.; Zhao, W.; Ma, S.; Wu, J.; Zhao, Z.; Deng, H. Injectable Interface-Bonded Fiber-Reinforced Thiolated Chitosan Hydrogels for Enhanced Cellular Activities and Cartilage Regeneration. Carbohydr. Polym. 2025, 347, 122643. [Google Scholar] [CrossRef]
- Guillen-Carvajal, K.; Valdez-Salas, B.; Beltran-Partida, E.; Salomon-Carlos, J.; Cheng, N. Chitosan, Gelatin, and Collagen Hydrogels for Bone Regeneration. Polymers 2023, 15, 2762. [Google Scholar] [CrossRef]
- Li, A.; Ma, B.; Hua, S.; Ping, R.; Ding, L.; Tian, B.; Zhang, X. Chitosan-based Injectable Hydrogel with Multifunction for Wound Healing: A Critical Review. Carbohydr. Polym. 2024, 333, 121952. [Google Scholar] [CrossRef] [PubMed]
- Andreica, B.I.; Mititelu-Tartau, L.; Rosca, I.; Pelin, I.M.; Nicol, E.; Marin, L. Biocompatible Hydrogels Based on Quaternary Ammonium Salts of Chitosan with High Antimicrobial Activity as Biocidal Agents for Disinfection. Carbohydr. Polym. 2024, 342, 122389. [Google Scholar] [CrossRef] [PubMed]
- Mawazi, S.M.; Kumar, M.; Ahmad, N.; Ge, Y.; Mahmood, S. Recent Applications of Chitosan and its Derivatives in Antibacterial, Anticancer, Wound Healing, and Tissue Engineering Fields. Polymers 2024, 16, 1351. [Google Scholar] [CrossRef] [PubMed]
- Brunel, F.; El Gueddari, N.E.; Moerschbacher, B.M. Complexation of Copper(II) with Chitosan Nanogels: Toward Control of Microbial Growth. Carbohydr. Polym. 2013, 92, 1348–1356. [Google Scholar] [CrossRef] [PubMed]
- Wang, X.H.; Du, Y.M.; Fan, L.H.; Liu, H.; Hu, Y. Chitosan-Metal Complexes as Antimicrobial Agent: Synthesis, Characterization and Structure-Activity Study. Polym. Bull. 2005, 55, 105–113. [Google Scholar] [CrossRef]
- Far, B.F.; Naimi-Jamal, M.R.; Jahanbakhshi, M.; Hadizadeh, A.; Dehghan, S.; Hadizadeh, S. Enhanced Antibacterial Activity of Porous Chitosan-Based Hydrogels Crosslinked with Gelatin and Metal Ions. Sci. Rep. 2024, 14, 7505. [Google Scholar] [CrossRef]
- Asgari, S.; Nikkam, N.; Saniee, P. Metallic Nanoparticles as Promising Tools to Eradicate H. pylori: A Comprehensive Review on Recent Advancements. Talanta Open 2022, 6, 100129. [Google Scholar] [CrossRef]
- Polinarski, M.A.; Beal, A.L.; Silva, F.E.; Bernardi-Wenzel, J.; Burin, G.R.; de Muniz, G.I.; Alves, H.J. New Perspectives of Using Chitosan, Silver, and Chitosan–Silver Nanoparticles against Multidrug-Resistant Bacteria. Part. Part. Syst. Charact. 2021, 38, 2100009. [Google Scholar] [CrossRef]
- Meng, H.; Zhao, Y.; Cai, H.; You, D.; Wang, Y.; Wu, S.; Wang, Y.; Guo, W.; Qu, W. Hydrogels Containing Chitosan-Modified Gold Nanoparticles Show Significant Efficacy in Healing Diabetic Wounds Infected with Antibiotic-Resistant Bacteria. Int. J. Nanomed. 2024, 19, 1539–1556. [Google Scholar] [CrossRef]
- Chouhan, D.; Dutta, P.; Dutta, D.; Dutta, A.; Kumar, A.; Mandal, P.; Choudhuri, C.; Mathur, P. Effect of Silver Nanochitosan on Control of Seed-Borne Pathogens and Maintaining Seed Quality of Wheat. Phytopathol. Res. 2024, 6, 41. [Google Scholar] [CrossRef]
- Kalaivani, R.; Maruthupandy, M.; Muneeswaran, T.; Hameedha Beevi, A.; Anand, M.; Ramakritinan, C.M.; Kumaraguru, A.K. Synthesis of Chitosan Mediated Silver Nanoparticles (Ag NPs) for Potential Antimicrobial Applications. Front. Lab. Med. 2018, 2, 30–35. [Google Scholar] [CrossRef]
- Rangrazi, A.; Bagheri, H.; Ghazvini, K.; Boruziniat, A.; Darroudi, M. Synthesis and Antibacterial Activity of Colloidal Selenium Nanoparticles in Chitosan Solution: A New Antibacterial Agent. Mater. Res. Express 2020, 6, 1250h3. [Google Scholar] [CrossRef]
- Menazea, A.A.; Ismail, A.M.; Awwad, N.S.; Ibrahium, H.A. Physical Characterization and Antibacterial Activity of PVA/Chitosan Matrix Doped by Selenium Nanoparticles Prepared via One-Pot Laser Ablation Route. J. Mater. Res. Technol. 2020, 9, 9598–9606. [Google Scholar] [CrossRef]
- Ren, X.; Yang, C.; Zhang, L.; Li, S.; Shi, S.; Wang, R.; Zhang, X.; Yue, T.; Sun, J.; Wang, J. Copper Metal–Organic Frameworks Loaded on Chitosan Film for the Efficient Inhibition of Bacteria and Local Infection Therapy. Nanoscale 2019, 11, 11830–11838. [Google Scholar] [CrossRef] [PubMed]
- Hashem, A.H.; Shehabeldine, A.M.; Ali, O.M.; Salem, S.S. Synthesis of Chitosan-Based Gold Nanoparticles: Antimicrobial and Wound-Healing Activities. Polymers 2022, 14, 2293. [Google Scholar] [CrossRef]
- Sihem, L.; Hanine, D.; Faiza, B. Antibacterial Activity of α-Fe2 O3 and α-Fe2O3@ Ag Nanoparticles Prepared by Urtica Leaf Extract. Nanotechnol. Russ. 2020, 15, 198–203. [Google Scholar] [CrossRef]
- Shi, S.-F.; Jia, J.-F.; Guo, X.-K.; Zhao, Y.-P.; Chen, D.-S.; Guo, Y.-Y.; Zhang, X.-L. Reduced Staphylococcus aureus Biofilm Formation in the Presence of Chitosan-Coated Iron Oxide Nanoparticles. Int. J. Nanomed. 2016, 11, 6499–6506. [Google Scholar] [CrossRef]
- Zhang, X.; Lai, Y.; Zhang, L.; Chen, Z.; Zhao, J.; Wang, S.; Li, Z. Chitosan-modified molybdenum selenide mediated efficient killing of Helicobacter pylori and treatment of gastric cancer. Int. J. Biol. Macromol. 2024, 275, 133599. [Google Scholar] [CrossRef]
- Kritchenkov, A.S.; Kurachenkov, A.I.; Egorov, A.R.; Yagafarov, N.Z.; Fortalnova, E.A.; Lobanov, N.N.; Dysin, A.P.; Khomik, A.S.; Khrustalev, V.N. Novel Zinc(II)/Chitosan-Based Composite: Ultrasound-Assisted Synthesis, Catalytic and Antibacterial Activity. Mendeleev Commun. 2020, 30, 642–644. [Google Scholar] [CrossRef]
- Hirano, S.; Yamaguchi, R.; Matsuda, N.; Miura, O.; Kondo, Y. Chitosan-Aldehyde Gel A Novel Polysaccharide Gel Produced from Chitosan and Aldehydes. Agricult. Biol. Chem. 1977, 41, 1547–1548. [Google Scholar] [CrossRef]
- Xu, R.; Aotegen, B.; Zhong, Z. Preparation and Antibacterial Activity of C2-Benzaldehyde-C6-Aniline Double Schiff Base Derivatives of Chitosan. Int. J. Polym. Mater. Polym. Biomater. 2018, 67, 181–191. [Google Scholar] [CrossRef]
- Thakur, S.; Jaryal, A.; Bhalla, A. Recent Advances in Biological and Medicinal Profile of Schiff Bases and their Metal Complexes: An Updated Version (2018–2023). Results Chem. 2024, 7, 101350. [Google Scholar] [CrossRef]
- Ali, M.; Sholkamy, E.N.; Alobaidi, A.S.; Muhanna, M.K.A.; Barakat, A. Synthesis of Schiff Bases Based on Chitosan and Heterocyclic Moiety: Evaluation of Antimicrobial Activity. ACS Omega 2023, 8, 47304–47312. [Google Scholar] [CrossRef]
- Ali, E.A.; Abo-Salem, H.M.; Arafa, A.A.; Nada, A.A. Chitosan Schiff Base Electrospun Fabrication and Molecular Docking Assessment for Nonleaching Antibacterial Nanocomposite Production. Cellulose 2023, 30, 3505–3522. [Google Scholar] [CrossRef]
- Hassan, M.A.; Tamer, T.M.; Omer, A.M.; Baset, W.M.; Abbas, E.; Mohy-Eldin, M.S. Therapeutic Potential of Two Formulated Novel Chitosan Derivatives with Prominent Antimicrobial Activities against Virulent Microorganisms and Safe Profiles toward Fibroblast Cells. Int. J. Pharm. 2023, 634, 122649. [Google Scholar] [CrossRef]
- Abo-Salem, H.M.; Ali, E.A.; Abdelmegeed, H.; El Souda, S.S.; Abdel-Aziz, M.S.; Ahmed, K.M.; Fawzy, N.M. Chitosan Nanoparticles of New Chromone-based Sulfonamide Derivatives as Effective Anti-microbial Matrix for Wound Healing Acceleration. Int. J. Biol. Macromol. 2024, 272, 132631. [Google Scholar] [CrossRef]
- Zakaria, N.; Kandile, N.G.; Mohamed, M.I.; Zaky, H.T.; Mohamed, H.M. Superior Remedy Colon Cancer HCT-116 Cells via New Chitosan Schiff Base Nanocomposites: Synthesis and Characterization. Int. J. Biol. Macromol. 2024, 281, 135916. [Google Scholar] [CrossRef]
- Limbachiya, P.; Patel, V.; Rami, G.; Vora, J. Chitosan-Dibenzylideneacetone Based Schiff Base: Evaluation of Antimicrobial Activity and In-vitro Cytotoxicity on MCF-7 and L-132. Int. J. Biol. Macromol. 2023, 250, 126268. [Google Scholar] [CrossRef]
- Younus, M.A.; Abdallaha, B.F. Synthesis, Characterization and Anticancer Activity of Chitosan Schiff Base/PVP Gold Nano Composite in Treating Esophageal Cancer Cell Line. Baghdad Sci. J. 2024, 21, 95–106. [Google Scholar] [CrossRef]
- Manimohan, M.; Rahaman, M.; Pandiaraj, S.; Thiruvengadam, M.; Pugalmani, S. Exploring Biological Activity and In-vitro Anticancer Effects of a New Biomaterial Derived from Schiff Base Isolated from Homarus americanus (Lobster) Shell Waste. Sustain. Chem. Pharm. 2024, 37, 101363. [Google Scholar] [CrossRef]
- Kotb, E.S.; Alhamdi, H.W.; Alfaifi, M.Y.; Darweesh, O.; Shati, A.A.; Elbehairi, S.E.I.; Serag, W.M.; Hassan, Y.A.; Elshaarawy, R.F. Examining the Quaternary Ammonium Chitosan Schiff Base-ZnO Nanocomposite’s Potential as Protective Therapy for Rats’ Cisplatin-Induced Hepatotoxicity. Int. J. Biol. Macromol. 2024, 276, 133616. [Google Scholar] [CrossRef] [PubMed]
- Omer, A.M.; Eltaweil, A.S.; El-Fakharany, E.M.; Abd El-Monaem, E.M.; Ismail, M.M.F.; Mohy-Eldin, M.S.; Ayoup, M.S. Novel Cytocompatible Chitosan Schiff Base Derivative as a Potent Antibacterial, Antidiabetic, and Anticancer Agent. Arab. J. Sci. Eng. 2023, 48, 7587–7601. [Google Scholar] [CrossRef]
- Hassan, S.M.; Morsy, J.M.; Hassanin, H.M.; Othman, E.S.; Mostafa, M.A. New Synthetic Chitosan Schiff Bases Bearing Pyranoquinolinone or Benzonaphthyridine and their Silver Nanoparticles Derivatives with Potential Activity as Antioxidant and Molecular Docking Study for EGFR Inhibitors. RSC Adv. 2024, 14, 29919–29933. [Google Scholar] [CrossRef] [PubMed]
- Xue, T.; Fang, D.; Si, L.; Yin, Y. Preparation of Antibacterial and UV-Protective Cotton through Coating with TiO2-Modified Chitosan-Based Schiff Bases. ACS Appl. Polym. Mater. 2024, 6, 8073–8083. [Google Scholar] [CrossRef]
- Kumar, J.; Purwar, R. A Schiff Base Hydrogel of Oxidized Okra Gum and Carboxymethylated Chitosan: A Biocompatible and Biodegradable Injectable System for Drug Delivery in Wound Care. Colloid Polym. Sci. 2024, 302, 1923–1938. [Google Scholar] [CrossRef]
- Kumar, J.; Purwar, R. Injectable Mesquite Gum and Carboxymethyl Chitosan Hydrogel Using Schiff Base Crosslinks: A Versatile Platform for Drug Delivery in Wound Care. Macromol. Res. 2024, 32, 1237–1254. [Google Scholar] [CrossRef]
- Nieva, C.A.B.; Villegas, M.; Cid, A.G.; Romero, A.I.; Bermúdez, J.M. Chitosan Applications on Pharmaceutical Sciences: A Review. Drug Deliv. Lett. 2019, 9, 167–181. [Google Scholar] [CrossRef]
- Rukhsar, A.; Iqbal, Z.F.; Khan, M.S.; Zainab, S.A.; Nawaz, S.; Kim, T.H.; Mustafa, G.; Balčiūnaitė, A. Chitosan-Based Adsorbents and Catalysts for Removal of Toxic Pollutants from Water and Wastewater. Top. Catal. 2024, in press. [Google Scholar] [CrossRef]
- Arismendi, D.; Vera, I.; Ahumada, I.; Richter, P. A Thin Biofilm of Chitosan as a Sorptive Phase in the Rotating Disk Sorptive Extraction of Triclosan and Methyl Triclosan from Water Samples. Anal. Chim. Acta 2023, 1252, 341053. [Google Scholar] [CrossRef]
- Sinicropi, M.S.; Iacopetta, D.; Ceramella, J.; Catalano, A.; Mariconda, A.; Pellegrino, M.; Saturnino, C.; Longo, P.; Aquaro, S. Triclosan: A Small Molecule with Controversial Roles. Antibiotics 2022, 11, 735. [Google Scholar] [CrossRef]
- Abd El-Monaem, E.M.; Ayoup, M.S.; Omer, A.M.; Hammad, E.N.; Eltaweil, A.S. Sandwich-like Construction of a New Aminated Chitosan Schiff Base for Efficient Removal of Congo Red. Appl. Water Sci. 2023, 13, 67. [Google Scholar] [CrossRef]
- Mohamed, E.A.; Altalhi, A.A.; Negm, N.A.; Abo-Shanab, Z.L.; Abdelshafi, N.S.; Farag, A.A. Novel Magnetic Chitosan Schiff Base Impregnated with ZnO for Removal of Malachite Green Dye from Aqueous Environment. Int. J. Environ. Sci. Technol. 2024, 21, 9955–9976. [Google Scholar] [CrossRef]
- Pawariya, V.; De, S.; Dutta, J. Synthesis and Characterization of Citric Acid-Modified Chitosan Schiff Base with Enhanced Antibacterial Properties for the Elimination of Bismarck Brown R and Rhodamine B Dyes from Wastewater. Int. J. Biol. Macromol. 2024, 264, 130664. [Google Scholar] [CrossRef] [PubMed]
- Zhong, J.; Cao, Y.; Zhu, J.; Wang, Y.; Yu, B.; Li, J.; Huang, J. Facile Construction of Phenolic Hydroxyl Anchored Covalent Organic Frameworks/Chitosan Composite Aerogels for Efficient Adsorption of Pb(II) from Water. Sep. Purif. Technol. 2025, 354, 129087. [Google Scholar] [CrossRef]
- Nassef, H.M.; Al-Hazmi, G.A.; Alayyafi, A.A.; El-Desouky, M.G.; El-Bindary, A.A. Synthesis and Characterization of New Composite Sponge Combining of Metal-organic Framework and Chitosan for the Elimination of Pb(II), Cu(II) and Cd(II) Ions from Aqueous Solutions: Batch Adsorption and Optimization Using Box-Behnken Design. J. Mol. Liq. 2024, 394, 123741. [Google Scholar] [CrossRef]
- Alhalili, Z.; Abdelrahman, E.A. Efficient Removal of Zn(II) Ions from Aqueous Media Using a Facilely Synthesized Nanocomposite Based on Chitosan Schiff Base. Sci. Rep. 2024, 14, 17598. [Google Scholar] [CrossRef]
- Elshaarawy, R.F.M.; El-Azim, H.A.; Hegazy, W.H.; Mustafa, F.H.A.; Talkhan, T.A. Poly(ammonium/pyridinium)-chitosan Schiff Base as a Smart Biosorbent for Scavenging of Cu2+ Ions from Aqueous Effluents. Polym. Test. 2020, 83, 106244. [Google Scholar] [CrossRef]
- Alsuhaibani, A.M.; Alayyafi, A.A.; Albedair, L.A.; El-Desouky, M.G.; El-Bindary, A.A. Efficient Fabrication of a Composite Sponge for Cr(VI) Removal via Citric Acid Cross-linking of Metal-organic Framework and Chitosan: Adsorption Isotherm, Kinetic Studies, and Optimization using Box-Behnken Design. Mat. Today Sustainabil. 2024, 26, 100732. [Google Scholar] [CrossRef]
- Gupta, H.; Kaur, K.; Singh, R.; Kaur, V. Chitosan Schiff Base for the Spectrofluorimetric Analysis of E-waste Toxins: Pentabromophenol, Fe3+, and Cu2+ Ions. Cellulose 2023, 30, 1381–1397. [Google Scholar] [CrossRef]
- Pan, J.; Liu, W.; Wu, W.; Zhao, R.; Li, X.; Zhou, J. Synthesis and Characterization of Chitosan Schiff Base Grafted with Formaldehyde and Aminoethanol: As an Effective Adsorbent for Removal of Pb(II), Hg(II), and Cu(II) Ions from Aqueous Media. Int. J. Biol. Macromol. 2024, 281, 13560. [Google Scholar] [CrossRef]
- Moridi, H.; Talebi, M.; Jafarnezhad, B.; Mousavi, S.E.; Abbasizadeh, S. The Role of Chitosan Grafted Copolymer/Zeolite Schiff Base Nanofiber in Adsorption of Copper and Zinc Cations from Aqueous Media. Int. J. Biol. Macromol. 2024, 278, 135003. [Google Scholar] [CrossRef] [PubMed]
- Sharmila, K.; Srinivasan, L.; Vijayalakshmi, K.; Alshalwi, M.; Alotaibi, K.M.; Sudha, P.N.; Prasad, S.; Sugashini, S.; Lavanya, G.; Deepa, M. Evaluation of Efficacy of Chitosan Oligosaccharide-salicylaldehyde Schiff Base to Extract Copper(II) and Chromium(VI) from Synthetic Wastewater. Biomass Conv. Bioref. 2024, in press. [Google Scholar] [CrossRef]
- Zhang, L.; Ma, D.; Yu, Y.; Luo, W.; Jiang, S.; Feng, S.; Chen, Z. Advances in Biomacromolecule-functionalized Magnetic Particles for Phytopathogen Detection. Talanta 2025, 281, 126876. [Google Scholar] [CrossRef] [PubMed]
- Sadrolhosseini, A.R.; Hamidi, S.M.; Mazhdi, Y. Detection of Gentamicin in Water and Milk Using Chitosan-ZnS-Au Nanocomposite Based on Surface Plasmon Resonance Imaging Sensor. Measurement 2025, 239, 115412. [Google Scholar] [CrossRef]
- Ain, Q.U.; Rasheed, U.; Chen, Z.; Tong, Z. Novel Schiff’s Base-assisted Synthesis of Metal-ligand Nanostructures for Multi-functional Applications: Detection of Catecholamines/antibiotics, Removal of Tetracycline, and Antifungal Treatment against Plant Pathogens. J. Hazard. Mater. 2024, 476, 135009. [Google Scholar] [CrossRef]
- Li, Y.; Zhang, H.; Qu, G.; Xie, L.; Tang, S.; Lei, H.; Zhong, Y.; Zhang, Y.F. Efficient Removal of Antibiotics from Wastewater by Chitosan/polyethyleneimine/Ti3C2 MXene Composite Hydrogels: Synthesis, Adsorption, Kinetics and Mechanisms. Colloids Surfaces A Physicochem. Engineer. Aspects 2024, 702, 135111. [Google Scholar] [CrossRef]
- Hasan, K.; Joseph, R.G.; Patole, S.P.; Al-Qawasmeh, R.A. Development of Magnetic Fe3O4-Chitosan Immobilized Cu(II) Schiff Base Catalyst: An Efficient and Reusable Catalyst for Microwave Assisted One-pot Synthesis of Propargylamines via A3 Coupling. Catal. Comm. 2023, 174, 106588. [Google Scholar] [CrossRef]
- Kujur, J.P.; Moon, P.R.; Pathak, D.D. Surface Modification of Chitosan with Ni(II) Schiff Base Complex: A New Heterogeneous Catalyst for the Synthesis of Xanthones. Int. J. Biol. Macromol. 2023, 252, 126497. [Google Scholar] [CrossRef]
- Hasan, K.; Joseph, R.G.; Shehadi, I.A.; Patole, S.P. Fe3O4-Chitosan Immobilized Cu(II) Schiff Base Catalyst for the Microwave-assisted Amination of Aryl Halides in Water. Arab. J. Chem. 2023, 16, 105317. [Google Scholar] [CrossRef]
- Gonçalves, J.O.; de Farias, B.S.; Rios, E.C.; Jaeschke, D.P.; Ribeiro, A.C.; da Silva, M.D.; Vieira, M.L.G.; Carvalho, V.V.D.; Cavadal, T.R.S.; Pinto, L.A.D.A. Advances in Chitosan-Based Materials for Application in Catalysis and Adsorption of Emerging Contaminants. Sustainability 2024, 16, 8321. [Google Scholar] [CrossRef]
- Nair, V.R.; Jacob, M.; Joseph, T.; Varkey, J.T. Applications of Chitosan Based Schiff bases and its complexes—A review. Int. J. Adv. Res. Sci. Commun. Technol. 2021, 7, 167–170. [Google Scholar] [CrossRef]
- Modwi, M.M.Y.; Feng, H.; Hadi, M.K.; Chen, N.; Hou, J.; Kamal, E.; Yang, K. Eco-friendly Corrosion Inhibitor of Q235 Carbon Steel in 1.0 M HCl by Isatin/Chitosan Schiff Base. J. Mol. Struct. 2025, 1321, 139592. [Google Scholar] [CrossRef]
- Farag, A.A.; Al-Shomar, S.M.; Abdelshafi, N.S. Eco-friendly Modified Chitosan as Corrosion Inhibitor for Carbon Steel in Acidic Medium: Experimental and In-depth Theoretical Approaches. Int. J. Biol. Macromol. 2024, 279, 135408. [Google Scholar] [CrossRef] [PubMed]
- Versteg, A.; Beraldo, C.H.M.; Spinelli, A.; da Conceição, T.F. Improving the Barrier Properties of Chitosan Coatings through Schiff Base Formation and Halloysite Incorporation for Corrosion Protection of Commercially Pure Aluminum (cp-Al). Mat. Today Commun. 2024, 38, 108046. [Google Scholar] [CrossRef]
- Wu, J.; Wu, J.; Lu, L.; Mei, P. 8-Hydroxyquinoline-functionalized Chitosan Schiff Base as an Efficient and Environmentally Friendly Corrosion Inhibitor for N80 Steel in Acidic Environments. J. Appl. Polym. Sci. 2023, 140, e54073. [Google Scholar] [CrossRef]
- Verma, C.; Quraishi, M.A.; Alfantazi, A.; Rhee, K.Y. Corrosion Inhibition Potential of Chitosan Based Schiff Bases: Design, Performance and Applications. Int. J. Biol. Macromol. 2021, 184, 135–143. [Google Scholar] [CrossRef]
- Wang, Y.; Ma, L.; Wang, H.; Cheng, C.; Yin, X.; Zhu, Z. Fabrication of a Flame Retardant, Strong Mechanical Toughness and Antimicrobial Polylactic Acid by Chitosan Schiff Base/Ammonium Polyphosphate. Polym. Degrad. Stab. 2023, 216, 110492. [Google Scholar] [CrossRef]
- Chen, W.; Li, J.; Sun, W.; Qiu, L.; Yu, D.; Li, N.; Ji, X. Schiff Base and Coordinate Bonds Cross-linked Chitosan-based Eutectogels with Ultrafast Self-healing, Self-adhesive, and Anti-freezing Capabilities for Motion Detection. Int. J. Biol. Macromol. 2024, 257, 128434. [Google Scholar] [CrossRef]
- Parchegani, F.; Amani, S.; Zendehdel, M. Eco-friendly Chitosan Schiff Base as an Efficient Sensor for Trace Anion Detection. Spectrochim. Acta A Mol. Biomol. Spectrosc. 2021, 255, 1386–1425. [Google Scholar] [CrossRef]
- Abd-Elsabour, M.; Abou-Krisha, M.M.; Abdel-Haleem, F.M.; Goda, M.N.; Mohy-Eldin, M.S. Electrochemical Nanomolar Determination of the Anticancer Drug 5-Fluorouracil Using Chitosan Curcumin Schiff Base-Decorated NiO Nanorods Synthesized with Green Method. J. Electrochem. Soc. 2024, 171, 087520. [Google Scholar] [CrossRef]
- Shi, H.; Ma, D.; Wu, D.; Qiu, X.; Yang, S.; Wang, Y.; Xiao, L.; Ji, X.; Zhang, W.; Han, S.; et al. A pH-responsive, Injectable and Self-Healing Chitosan-Coumarin Hydrogel Based on Schiff Base and Hydrogen Bonds. Int. J. Biol. Macromol. 2024, 255, 128122. [Google Scholar] [CrossRef] [PubMed]
- Wu, Y.; Xu, W.; Li, J.; Zhong, Z.; Huang, L.; Li, S.; Tan, H. Influence of Tannic Acid Post-Treatment on the Degradation and Drug Release Behavior of Schiff Base Crosslinked Konjac Glucomannan/Chitosan Hydrogel. Eur. Polym. J. 2024, 202, 112592. [Google Scholar] [CrossRef]
- Jorge, J.; Santos, K.F.D.P.; Timóteo, F.; Vasconcelos, R.R.P.; Cáceres, O.I.A.; Granja, I.J.A.; de Souza, J.; Monteiro, D.; Frizon, T.E.A.; Botteselle, G.D.V. Recent Advances on the Antimicrobial Activities of Schiff Bases and their Metal Complexes: An Updated Overview. Curr. Med. Chem. 2024, 31, 2330–2344. [Google Scholar] [CrossRef]
- Ashraf, T.; Ali, B.; Qayyum, H.; Haroone, M.S.; Shabbir, G. Pharmacological Aspects of Schiff Base Metal Complexes: A Critical Review. Inorg. Chem. Commun. 2023, 150, 110449. [Google Scholar] [CrossRef]
- Sinicropi, M.S.; Ceramella, J.; Iacopetta, D.; Catalano, A.; Mariconda, A.; Rosano, C.; Saturnino, C.; El-Kashef, H.; Longo, P. Metal Complexes with Schiff Bases: Data Collection and Recent Studies on Biological Activities. Int. J. Mol. Sci. 2022, 23, 14840. [Google Scholar] [CrossRef]
- Mezgebe, K.; Mulugeta, E. Synthesis and Pharmacological Activities of Schiff Bases with Some Transition Metal Complexes: A Review. Med. Chem. Res. 2024, 33, 439–463. [Google Scholar] [CrossRef]
- Iacopetta, D.; Ceramella, J.; Catalano, A.; Mariconda, A.; Giuzio, F.; Saturnino, C.; Longo, P.; Sinicropi, M.S. Metal Complexes with Schiff Bases as Antimicrobials and Catalysts. Inorganics 2023, 11, 320. [Google Scholar] [CrossRef]
- Boulechfar, C.; Ferkous, H.; Delimi, A.; Djedouani, A.; Kahlouche, A.; Boublia, A.; Darwish, A.S.; Lemaoui, T.; Verma, R.; Benguerba, Y. Schiff Bases and their Metal Complexes: A Review on the History, Synthesis, and Applications. Inorg. Chem. Commun. 2023, 150, 110451. [Google Scholar] [CrossRef]
- Esmaeilzadeh, P.; Mohammadikish, M. Environmentally Safe Magnetic/Chitosan-Based Nickel Schiff Base Composite as a Heterogeneous and Magnetically Recoverable Nanocatalyst for Mild and Efficient Reduction of Nitroarenes. J. Phys. Chem. Solids 2024, 193, 112123. [Google Scholar] [CrossRef]
- Khare, S.; Tiwari, N. Catalytic Study of Highly Recoverable Chitosan Supported Cu(II) Schiff Base Complex for Alkanes Oxidation. Reaction Kinet. Mech. Catal. 2023, 136, 3053–3077. [Google Scholar] [CrossRef]
- Okunzuwa, G.I.; Enaroseha, O.O.; Okunzuwa, S.I. Synthesis and Characterization of Fe(III) Chitosan Nanoparticles n-Benzaldehyde Schiff Base for Biomedical Application. Chem. Pap. 2023, 78, 3253–3260. [Google Scholar] [CrossRef]
- Tao, R.; Wang, Y.; Zhang, N.; Zhang, L.; Khan, M.S.; Xu, H.; Zhao, J.; Qi, Z.; Chen, Y.; Lu, Y.; et al. Bioactive Chitosan-citral Schiff Base Zinc Complex: A pH-Responsive Platform for Potential Therapeutic Applications. Int. J. Biol. Macromol. 2024, 261, 129857. [Google Scholar] [CrossRef] [PubMed]
- Barbosa, H.F.G.; Attjioui, M.; Ferreira, A.P.G.; Dockal, E.R.; El Gueddari, N.E.; Moerschbacher, B.M.; Cavalheiro, É.T.G. Synthesis, Characterization and Biological Activities of Biopolymeric Schiff Bases Prepared with Chitosan and Salicylaldehydes and their Pd(II) and Pt(II) Complexes. Molecules 2017, 22, 1987. [Google Scholar] [CrossRef] [PubMed]
- Tohamy, H.A.S. Cellulosic Schiff Base Hydrogel Biosensor for Bacterial Detection with pH/Thermo-responsitivity: DFT Calculations and Molecular Docking. Int. J. Biol. Macromol. 2024, 283, 137389. [Google Scholar] [CrossRef]
- Zahedi, S.M.; Hosseini, M.S.; Karimi, M.; Gholami, R.; Amini, M.; Abdelrahman, M.; Tran, L.-S.P. Chitosan-based Schiff Base-metal (Fe, Cu, and Zn) Complexes Mitigate the Negative Consequences of Drought Stress on Pomegranate Fruits. Plant Physiol. Biochem. 2023, 196, 952–964. [Google Scholar] [CrossRef]
- Guo, W.; Ding, X.; Zhang, H.; Liu, Z.; Han, Y.; Wei, Q.; Okoro, O.V.; Shavandi, A.; Nie, L. Recent Advances of Chitosan-Based Hydrogels for Skin-Wound Dressings. Gels 2024, 10, 175. [Google Scholar] [CrossRef]
- Pawariya, V.; De, S.; Dutta, J. Chitosan-Based Schiff Bases: Promising Materials for Biomedical and Industrial Applications. Carbohydr. Polym. 2024, 323, 121395. [Google Scholar] [CrossRef]
- Hussain, S.; Berry, S. A Review Study on Green Synthesis of Chitosan Derived Schiff Bases and their Applications. Carbohydr. Res. 2024, 535, 109002. [Google Scholar] [CrossRef]
- Catalano, A.; Iacopetta, D.; Ceramella, J.; Pellegrino, M.; Giuzio, F.; Marra, M.; Rosano, C.; Saturnino, C.; Sinicropi, M.S.; Aquaro, S. Antibiotic-Resistant ESKAPE Pathogens and COVID-19: The Pandemic beyond the Pandemic. Viruses 2023, 15, 1843. [Google Scholar] [CrossRef]
- Tamer, T.M.; Zhang, G.; Mohy-Eldin, M.S.; Su, Z. Development of Novel Vanillylidene Acetonyl Chitosan Schiff Base Using Click Chemistry: Antibacterial and Antioxidant Characters. Polym. Bull. 2024, 81, 8489–8509. [Google Scholar] [CrossRef]
- Hamed, A.A.; Ali, E.A.; Abdelhamid, I.A.; Saad, G.R.; Elsabee, M.Z. Synthesis of Novel Chitosan-Schiff Bases Nanoparticles for High Efficiency Helicobacter pylori Inhibition. Int. J. Biol. Macromol. 2024, 274, 133499. [Google Scholar] [CrossRef] [PubMed]
- Gędek, A.; Szular, Z.; Antosik, A.Z.; Mierzejewski, P.; Dominiak, M. Celecoxib for Mood Disorders: A Systematic Review and Meta-Analysis of Randomized Controlled Trials. J. Clin. Med. 2023, 12, 3497. [Google Scholar] [CrossRef] [PubMed]
- Yuan, C.; Yu, C.; Sun, Q.; Xiong, M.; Ren, B.; Zhong, M.; Peng, Q.; Zeng, M.; Meng, P.; Li, L.; et al. Atractylenolide I Alleviates Indomethacin-Induced Gastric Ulcers in Rats by Inhibiting NLRP3 Inflammasome Activation. J. Agricult. Food Chem. 2024, 72, 14165–14176. [Google Scholar] [CrossRef] [PubMed]
- Moustafa, A.M.Y.; Fawzy, M.M.; Kelany, M.S.; Hassan, Y.A.; Elsharaawy, R.F.; Mustafa, F.H. Synthesis of New Quaternized Chitosan Schiff Bases and their N-Alkyl Derivatives as Antimicrobial and Anti-Biofilm Retardants in Membrane Technology. Int. J. Biol. Macromol. 2024, 267, 131635. [Google Scholar] [CrossRef]
- Lee, Y.M.; Lu, Z.W.; Wu, Y.C.; Liao, Y.J.; Kuo, C.Y. An Injectable, Chitosan-based Hydrogel Prepared by Schiff Base Reaction for Anti-bacterial and Sustained Release Applications. Int. J. Biol. Macromol. 2024, 269, 131808. [Google Scholar] [CrossRef]
- Cui, J.; Wang, Y.; Liang, X.; Zhao, J.; Ji, Y.; Tan, W.; Dong, F.; Guo, Z. Synthesis, Antimicrobial Activity, Antioxidant Activity and Molecular Docking of Novel Chitosan Derivatives Containing Glycine Schiff Bases as Potential Succinate Dehydrogenase Inhibitors. Int. J. Biol. Macromol. 2024, 267, 131407. [Google Scholar] [CrossRef]
- Muñoz-Nuñez, C.; Cuervo-Rodríguez, R.; Echeverría, C.; Fernández-García, M.; Muñoz-Bonilla, A. Synthesis and Characterization of Thiazolium Chitosan Derivative with Enhanced Antimicrobial Properties and Its Use as Component of Chitosan-based Films. Carbohydr. Polym. 2023, 302, 120438. [Google Scholar] [CrossRef]
- Saleh, R.H.; Khalaf, A.A. The Antimicrobial Activity of Nanochitosan and Nano-CaCO3 against Some Bacteria. Med. J. Babylon 2023, 20, 540–546. [Google Scholar] [CrossRef]
- Abdel-Baky, Y.M.; Omer, A.M.; El-Fakharany, E.M.; Ammar, Y.A.; Abusaif, M.S.; Ragab, A. Developing a New Multi-featured Chitosan-quinoline Schiff Base with Potent Antibacterial, Antioxidant, and Antidiabetic Activities: Design and Molecular Modeling Simulation. Sci. Rep. 2023, 13, 22792. [Google Scholar] [CrossRef]
- Zhang, J.; Zhang, S.; Wang, L.; Tan, W.; Li, Q.; Guo, Z. The Antioxidant and Antibacterial Activities of the Pyridine-4-Aldehyde Schiff Bases Grafted Chloracetyl Chitosan Oligosaccharide Derivatives. Starch-Stärke 2023, 75, 2100268. [Google Scholar] [CrossRef]
- Antony, R.; Manickam, S.T.D.; Saravanan, K.; Karuppasamy, K.; Balakumar, S. Synthesis, Spectroscopic and Catalytic Studies of Cu(II), Co(II) and Ni(II) Complexes Immobilized on Schiff Base Modified Chitosan. J. Mol. Struct. 2013, 1050, 53–60. [Google Scholar] [CrossRef]
- Barbosa, H.F.G.; Attjioui, M.; Ferreira, A.P.G.; Moerschbacher, B.M.; Cavalheiro, T. New Series of Metal Complexes by Amphiphilic Biopolymeric Schiff Bases from Modified Chitosans: Preparation, Characterization and Effect of Molecular Weight on its Biological Applications. Int. J. Biol. Macromol. 2019, 145, 417–428. [Google Scholar] [CrossRef] [PubMed]
- Alharthi, S.S.; Gomathi, T.; Joseph, J.J.; Rakshavi, J.; Florence, J.A.K.; Sudha, P.N.; Rajakumar, G.; Thiruvengadam, M. Biological Activities of Chitosan-Salicylaldehyde Schiff Base Assisted Silver Nanoparticles. J. King Saud. Univ. Sci. 2022, 34, 102177. [Google Scholar] [CrossRef]
- Ouyang, J.; Li, Z.; Miao, J.; Wang, Y.; Hu, L.; Wang, X. Antibacterial Activity of Carboxymethyl Chitosan Dialdehyde Starch Schiff Base and Its Metal Complex. Starch-Stärke 2023, 75, 2200121. [Google Scholar] [CrossRef]
- Liu, W.; Qin, Y.; Liu, S.; Xing, R.; Yu, H.; Li, P. Synthesis and Characterization of Slow-Release Chitosan Oligosaccharide Pyridine Schiff Base Copper Complexes with Antifungal Activity. J. Agricult. Food Chem. 2024, 72, 3872–3883. [Google Scholar] [CrossRef]
- Hamed, A.A.; Ali, E.A.; Saad, G.R.; Elsabee, M.Z. Synthesis and Biological Evaluation against H. pylori of Chitosan Menthone Schiff Base Hybrid with Different Types of Inorganic Nanoparticles. Int. J. Biol. Macromol. 2024, 257, 128742. [Google Scholar] [CrossRef]
- Matar, G.H.; Kaymazlar, E.; Andac, M.; Andac, O. Novel Binary Blended Hydrogel Films (Chitosan-Vanillin Schiff Base/Locust Bean Gum and Fe(III), Cu(II) & Zn(II) Complexes): Synthesis, Characterization, Conductivity, and Antibacterial Activity. J. Polym. Environ. 2023, 31, 3509–3521. [Google Scholar] [CrossRef]
- Sharma, A.K.; Kaith, B.S.; Gupta, B.; Shanker, U.; Lochab, S.P. Microwave Assisted in Situ Synthesis of Gum Salai Guggal Based Silver Nanocomposites-investigation of Anti-bacterial Properties. Cellulose 2019, 26, 991–1011. [Google Scholar] [CrossRef]
- Sharma, A.K.; Kaith, B.S.; Shanker, U.; Gupta, B. γ-Radiation Induced Synthesis of Antibacterial Silver Nanocomposite Scaffolds Derived from Natural Gum Boswellia serrata. J. Drug Deliv. Sci. Technol. 2020, 56, 101550. [Google Scholar] [CrossRef]


Disclaimer/Publisher’s Note: The statements, opinions and data contained in all publications are solely those of the individual author(s) and contributor(s) and not of MDPI and/or the editor(s). MDPI and/or the editor(s) disclaim responsibility for any injury to people or property resulting from any ideas, methods, instructions or products referred to in the content. |
© 2025 by the authors. Licensee MDPI, Basel, Switzerland. This article is an open access article distributed under the terms and conditions of the Creative Commons Attribution (CC BY) license (https://creativecommons.org/licenses/by/4.0/).
Share and Cite
Iacopetta, D.; Catalano, A.; Ceramella, J.; Mariconda, A.; D’Amato, A.; Checconi, P.; Aquaro, S.; Longo, P.; Sinicropi, M.S. Chitosan-Based Schiff Bases (CSBs) and Their Metal Complexes: Promising Antimicrobial Agents. Molecules 2025, 30, 207. https://doi.org/10.3390/molecules30020207
Iacopetta D, Catalano A, Ceramella J, Mariconda A, D’Amato A, Checconi P, Aquaro S, Longo P, Sinicropi MS. Chitosan-Based Schiff Bases (CSBs) and Their Metal Complexes: Promising Antimicrobial Agents. Molecules. 2025; 30(2):207. https://doi.org/10.3390/molecules30020207
Chicago/Turabian StyleIacopetta, Domenico, Alessia Catalano, Jessica Ceramella, Annaluisa Mariconda, Assunta D’Amato, Paola Checconi, Stefano Aquaro, Pasquale Longo, and Maria Stefania Sinicropi. 2025. "Chitosan-Based Schiff Bases (CSBs) and Their Metal Complexes: Promising Antimicrobial Agents" Molecules 30, no. 2: 207. https://doi.org/10.3390/molecules30020207
APA StyleIacopetta, D., Catalano, A., Ceramella, J., Mariconda, A., D’Amato, A., Checconi, P., Aquaro, S., Longo, P., & Sinicropi, M. S. (2025). Chitosan-Based Schiff Bases (CSBs) and Their Metal Complexes: Promising Antimicrobial Agents. Molecules, 30(2), 207. https://doi.org/10.3390/molecules30020207
















