The Role of Metallodrugs in Enhancing Neuroendocrine Neoplasm Therapies: The Promising Anticancer Potential of Ruthenium-Based Complexes
Abstract
1. Introduction
2. Neuroendocrine Neoplasms: Classification and Treatment Options
3. Metal-Based Drugs for NENs Treatment
4. Ruthenium(II/III) Complexes
4.1. Mechanisms of Action
4.2. The Case of IT-139
4.3. New Ruthenium-Based Drug in Pre-Clinical Studies
5. Ru Complexes Targets and NENs: New Possible Therapeutic Strategies
| Drug and Molecular Formula | Chemical Structure | Mechanism of Action | Study Phase |
|---|---|---|---|
| Ru(II) Compounds | |||
| TLD-1433 [Ru(4,4′-dimethyl-2,2′-bipyridine)2(2-(2′,2″:5″,2′′′-terthiophene)-imidazo [4,5-f][1,10]phenanthroline)]2+ | ![]() | ROS generation by photodynamic therapy (PDT) and photochemotherapy (PCT) [53,55,56] | Phase II |
| RM-175 [Ru(η6-biphenyl)Cl(ethylenediamine)]PF6 | ![]() | DNA covalent interaction or non-covalent interaction (intercalation) [86] | Pre-clinical study |
| RAPTA-C [Ru(η6-p-cymene)Cl2(1,3,5-triaza-7-phosphaadamantane)] | ![]() | Protein alteration; adducts at specific histone sites or the DNA components [158] | In vitro and in vivo pre-clinical study |
| RAPTA-T Ru(η6-toluene)Cl2(1,3,5-triaza-7-phosphaadamantane) | ![]() | Cytoskeleton alteration; histone modification [87,88] | In vitro and in vivo pre-clinical study |
| (chlorpromazine) [RuCl3(DMSO)3]·C2H5OH (thioridazine) [RuCl3(DMSO)3]·0.5C2H5OH (trifluoperazine) [RuCl3(DMSO)3]Cl· 0.5C2H5OH | ![]() | Not identified [139,146] | In vivo and in vitro pre-clinical study |
| Ru-bdcurc [(cymene)Ru(bisdemethoxycurcumin)(1,3,5-triaza-7-phosphaadamantane)]SO3CF3 | ![]() | DNA damage (unclear) [138,148] | In vitro pre-clinical study |
| pCYRuL [(η6-p-cymene)(1,2-bis(quinolin-2-ylmethylene)hydrazine)RuCl]PF6 BzRuL [(η6-benzene)(1,2-bis(quinolin-2-ylmethylene)hydrazine)RuCl]PF6 HmbRuL [(η6-hexamethylbenzene)(1,2-bis(quinolin-2-ylmethylene)hydrazine)RuCl]PF6 | ![]() | DNA damage [46,142] | In vitro pre-clinical study |
| Ru(III) Compounds | |||
| NAMI-A trans-[tetrachlorido(dimethylsulfoxide)(1H-imidazole)ruthenate(III)] | ![]() | DNA and RNA damage [48,49,50] | Phase II |
| IT-139 or NKP-1339 or KP-1339 [Na]trans-[tetrachloro-bis(1H-indazole)ruthenate(III)] | ![]() | DNA damage; ROS generation; ER stress (GRP78) [51,52] | Phase I |
| KP-1019 indazolium trans-[tetrachloridobis(1H-indazole)ruthenate(III)] | ![]() | DNA damage; ROS generation; osmotic stress [49] | Phase I |
| fac-[Ru(NH3)3Cl3] | ![]() | DNA damage [65] | In vitro pre-clinical study |
| RuPy Na[trans-RuCl4(pyridine)(DMSO) RuPyTry Na[trans-RuCl4(1,4-disubstituted-1,2,3-triazole)(DMSO)] | ![]() | Not identified [141] | In vitro pre-clinical study |
6. Conclusions and Perspectives
Author Contributions
Funding
Institutional Review Board Statement
Informed Consent Statement
Data Availability Statement
Conflicts of Interest
Abbreviations
| AChE | Acetylcholinesterase |
| ATF | Activating Transcription Factor |
| BiP | Immunoglobulin Heavy Chain-Binding Protein |
| CHOP | C/EBP Homologous Protein |
| D2R | Dopamine Receptor 2 |
| GEP | Gastroenteropancreatic |
| GRP78 | Glucose-Regulated Protein |
| ICD | Immunogenic Cell Death |
| IRE1 | Inositol-Requiring Enzyme 1 |
| MAPK | Mitogen-Activated Protein Kinase |
| mTOR | Mammalian Target Of Rapamycin |
| NEC | Neuroendocrine Carcinoma |
| NEN | Neuroendocrine Neoplasm |
| NET | Neuroendocrine Tumor |
| PDT | Photodynamic Therapy |
| PERK | Double-Stranded RNA-Activated Protein Kinase (PKR)-Like ER Kinase |
| PRRT | Peptide Receptor Radionuclide Therapy |
| SCLC | Small Cell Lung Cancer |
| SSA | Somatostatin Analog |
| TfR | Transferrin Receptor |
| TKI | Tyrosine Kinase Inhibitors |
| TME | Tumor Micro-Environment |
| TrxR | Thioredoxin Reductases |
| UPR | Unfolded Protein Response |
References
- Boros, E.; Dyson, P.J.; Gasser, G. Classification of Metal-Based Drugs According to Their Mechanisms of Action. Chem 2020, 6, 41–60. [Google Scholar] [CrossRef] [PubMed]
- De Castro, F.; Stefàno, E.; De Luca, E.; Benedetti, M.; Fanizzi, F.P. Platinum-Nucleos(t)Ide Compounds as Possible Antimetabolites for Antitumor/Antiviral Therapy: Properties and Perspectives. Pharmaceutics 2023, 15, 941. [Google Scholar] [CrossRef]
- Benedetti, M.; De Castro, F.; Antonucci, D.; Papadia, P.; Fanizzi, F.P. General Cooperative Effects of Single Atom Ligands on a Metal: A 195 Pt NMR Chemical Shift as a Function of Coordinated Halido Ligands’ Ionic Radii Overall Sum. Dalton Trans. 2015, 44, 15377–15381. [Google Scholar] [CrossRef] [PubMed]
- Cao, Q.; Li, Y.; Freisinger, E.; Qin, P.Z.; Sigel, R.K.O.; Mao, Z.-W. G-Quadruplex DNA Targeted Metal Complexes Acting as Potential Anticancer Drugs. Inorg. Chem. Front. 2017, 4, 10–32. [Google Scholar] [CrossRef]
- Benedetti, M.; De Castro, F.; Fanizzi, F.P. Square-Planar Pt II versus Octahedral Pt IV Halido Complexes: 195 Pt NMR Explained by a Simple Empirical Approach. Eur. J. Inorg. Chem. 2016, 2016, 3957–3962. [Google Scholar] [CrossRef]
- Stefàno, E.; De Castro, F.; De Luca, E.; Muscella, A.; Marsigliante, S.; Benedetti, M.; Fanizzi, F.P. Synthesis and Comparative Evaluation of the Cytotoxic Activity of Cationic Organometallic Complexes of the Type [Pt(η1-CH2-CH2-OR)(DMSO)(Phen)]+ (R = Me, Et, Pr, Bu). Inorganica Chim. Acta 2023, 546, 121321. [Google Scholar] [CrossRef]
- Ghosh, S. Cisplatin: The First Metal Based Anticancer Drug. Bioorganic Chem. 2019, 88, 102925. [Google Scholar] [CrossRef]
- Galanski, M.S.; Jakupec, M.A.; Keppler, B.K. Update of the Preclinical Situation of Anticancer Platinum Complexes: Novel Design Strategies and Innovative Analytical Approaches. CMC 2005, 12, 2075–2094. [Google Scholar] [CrossRef]
- Ali, A.; Rovito, G.; Stefàno, E.; De Castro, F.; Ciccarella, G.; Migoni, D.; Panzarini, E.; Muscella, A.; Marsigliante, S.; Benedetti, M.; et al. Synthesis, Structural Characterization, and Cytotoxic Evaluation of Monofunctional Cis -[Pt(NH3)2 (N7 -Guanosine/2′-Deoxyguanosine)X] (X = Cl, Br, I) Complexes with Anticancer Potential. Dalton Trans. 2025, 54, 8612–8624. [Google Scholar] [CrossRef] [PubMed]
- Stefàno, E.; Rovito, G.; Cossa, L.G.; De Castro, F.; Vergaro, V.; Ali, A.; My, G.; Migoni, D.; Muscella, A.; Marsigliante, S.; et al. Novel Pt (II) Complexes With Anticancer Activity Against Pancreatic Ductal Adenocarcinoma Cells. Bioinorg. Chem. Appl. 2024, 2024, 5588491. [Google Scholar] [CrossRef]
- Lunetti, P.; Romano, A.; Carrisi, C.; Antonucci, D.; Verri, T.; De Benedetto, G.E.; Dolce, V.; Fanizzi, F.P.; Benedetti, M.; Capobianco, L. Platinated Nucleotides Are Substrates for the Human Mitochondrial Deoxynucleotide Carrier (DNC) and DNA Polymerase γ: Relevance for the Development of New Platinum-Based Drugs. ChemistrySelect 2016, 1, 4633–4637. [Google Scholar] [CrossRef]
- Zhang, C.; Xu, C.; Gao, X.; Yao, Q. Platinum-Based Drugs for Cancer Therapy and Anti-Tumor Strategies. Theranostics 2022, 12, 2115–2132. [Google Scholar] [CrossRef]
- Andrés, C.M.C.; Pérez De La Lastra, J.M.; Bustamante Munguira, E.; Andrés Juan, C.; Pérez-Lebeña, E. Anticancer Activity of Metallodrugs and Metallizing Host Defense Peptides—Current Developments in Structure-Activity Relationship. Int. J. Mol. Sci. 2024, 25, 7314. [Google Scholar] [CrossRef]
- Casini, A.; Pöthig, A. Metals in Cancer Research: Beyond Platinum Metallodrugs. ACS Cent. Sci. 2024, 10, 242–250. [Google Scholar] [CrossRef] [PubMed]
- Paprocka, R.; Wiese-Szadkowska, M.; Janciauskiene, S.; Kosmalski, T.; Kulik, M.; Helmin-Basa, A. Latest Developments in Metal Complexes as Anticancer Agents. Coord. Chem. Rev. 2022, 452, 214307. [Google Scholar] [CrossRef]
- Beraldo, H. Pharmacological Applications of Non-Radioactive Indium(III) Complexes: A Field yet to Be Explored. Coord. Chem. Rev. 2020, 419, 213375. [Google Scholar] [CrossRef]
- Guo, R.; Xu, N.; Liu, Y.; Ling, G.; Yu, J.; Zhang, P. Functional Ultrasound-Triggered Phase-Shift Perfluorocarbon Nanodroplets for Cancer Therapy. Ultrasound Med. Biol. 2021, 47, 2064–2079. [Google Scholar] [CrossRef] [PubMed]
- Miranda, V.M. Medicinal Inorganic Chemistry: An Updated Review on the Status of Metallodrugs and Prominent Metallodrug Candidates. Rev. Inorg. Chem. 2022, 42, 29–52. [Google Scholar] [CrossRef]
- Ooki, A.; Osumi, H.; Fukuda, K.; Yamaguchi, K. Potent Molecular-Targeted Therapies for Gastro-Entero-Pancreatic Neuroendocrine Carcinoma. Cancer Metastasis Rev. 2023, 42, 1021–1054. [Google Scholar] [CrossRef]
- Stefàno, E.; De Castro, F.; Ciccarese, A.; Muscella, A.; Marsigliante, S.; Benedetti, M.; Fanizzi, F.P. An Overview of Altered Pathways Associated with Sensitivity to Platinum-Based Chemotherapy in Neuroendocrine Tumors: Strengths and Prospects. Int. J. Mol. Sci. 2024, 25, 8568. [Google Scholar] [CrossRef]
- Shahzad, K.; Asad, M.; Asiri, A.M.; Irfan, M.; Iqbal, M.A. In-Vitro Anticancer Profile of Recent Ruthenium Complexes against Liver Cancer. Rev. Inorg. Chem. 2023, 43, 33–47. [Google Scholar] [CrossRef]
- Lin, K.; Zhao, Z.-Z.; Bo, H.-B.; Hao, X.-J.; Wang, J.-Q. Applications of Ruthenium Complex in Tumor Diagnosis and Therapy. Front. Pharmacol. 2018, 9, 1323. [Google Scholar] [CrossRef]
- Burris, H.A.; Bakewell, S.; Bendell, J.C.; Infante, J.; Jones, S.F.; Spigel, D.R.; Weiss, G.J.; Ramanathan, R.K.; Ogden, A.; Von Hoff, D. Safety and Activity of IT-139, a Ruthenium-Based Compound, in Patients with Advanced Solid Tumours: A First-in-Human, Open-Label, Dose-Escalation Phase I Study with Expansion Cohort. ESMO Open 2016, 1, e000154. [Google Scholar] [CrossRef]
- White, B.E.; Rous, B.; Chandrakumaran, K.; Wong, K.; Bouvier, C.; Van Hemelrijck, M.; George, G.; Russell, B.; Srirajaskanthan, R.; Ramage, J.K. Incidence and Survival of Neuroendocrine Neoplasia in England 1995-2018: A Retrospective, Population-Based Study. Lancet Reg. Health Eur. 2022, 23, 100510. [Google Scholar] [CrossRef] [PubMed]
- Dasari, A.; Shen, C.; Halperin, D.; Zhao, B.; Zhou, S.; Xu, Y.; Shih, T.; Yao, J.C. Trends in the Incidence, Prevalence, and Survival Outcomes in Patients With Neuroendocrine Tumors in the United States. JAMA Oncol 2017, 3, 1335. [Google Scholar] [CrossRef] [PubMed]
- Sackstein, P.E.; O’Neil, D.S.; Neugut, A.I.; Chabot, J.; Fojo, T. Epidemiologic Trends in Neuroendocrine Tumors: An Examination of Incidence Rates and Survival of Specific Patient Subgroups over the Past 20 Years. Semin. Oncol. 2018, 45, 249–258. [Google Scholar] [CrossRef]
- Sultana, Q.; Kar, J.; Verma, A.; Sanghvi, S.; Kaka, N.; Patel, N.; Sethi, Y.; Chopra, H.; Kamal, M.A.; Greig, N.H. A Comprehensive Review on Neuroendocrine Neoplasms: Presentation, Pathophysiology and Management. JCM 2023, 12, 5138. [Google Scholar] [CrossRef]
- Rossi, R.E.; Massironi, S. The Increasing Incidence of Neuroendocrine Neoplasms Worldwide: Current Knowledge and Open Issues. J. Clin. Med. 2022, 11, 3794. [Google Scholar] [CrossRef]
- Rindi, G.; Mete, O.; Uccella, S.; Basturk, O.; La Rosa, S.; Brosens, L.A.A.; Ezzat, S.; de Herder, W.W.; Klimstra, D.S.; Papotti, M.; et al. Overview of the 2022 WHO Classification of Neuroendocrine Neoplasms. Endocr. Pathol. 2022, 33, 115–154. [Google Scholar] [CrossRef]
- Corti, F.; Rossi, R.E.; Cafaro, P.; Passarella, G.; Turla, A.; Pusceddu, S.; Coppa, J.; Oldani, S.; Guidi, A.; Longarini, R.; et al. Emerging Treatment Options for Neuroendocrine Neoplasms of Unknown Primary Origin: Current Evidence and Future Perspectives. Cancers 2024, 16, 2025. [Google Scholar] [CrossRef] [PubMed]
- Pulvirenti, A.; Raj, N.; Cingarlini, S.; Pea, A.; Tang, L.H.; Luchini, C.; Chou, J.F.; Grego, E.; Marinova, I.; Capanu, M.; et al. Platinum-Based Treatment for Well- and Poorly Differentiated Pancreatic Neuroendocrine Neoplasms. Pancreas 2021, 50, 138–146. [Google Scholar] [CrossRef] [PubMed]
- Abdolmaleki, S.; Aliabadi, A.; Khaksar, S. Riding the Metal Wave: A Review of the Latest Developments in Metal-Based Anticancer Agents. Coord. Chem. Rev. 2024, 501, 215579. [Google Scholar] [CrossRef]
- Stefàno, E.; Muscella, A.; Benedetti, M.; De Castro, F.; Fanizzi, F.P.; Marsigliante, S. Antitumor and Antimigration Effects of a New Pt Compound on Neuroblastoma Cells. Biochem. Pharmacol. 2022, 202, 115124. [Google Scholar] [CrossRef]
- Adhikari, S.; Nath, P.; Das, A.; Datta, A.; Baildya, N.; Duttaroy, A.K.; Pathak, S. A Review on Metal Complexes and Its Anti-Cancer Activities: Recent Updates from in Vivo Studies. Biomed. Pharmacother. 2024, 171, 116211. [Google Scholar] [CrossRef]
- Benedetti, M.; Romano, A.; De Castro, F.; Girelli, C.R.; Antonucci, D.; Migoni, D.; Verri, T.; Fanizzi, F.P. N7-Platinated Ribonucleotides Are Not Incorporated by RNA Polymerases. New Perspectives for a Rational Design of Platinum Antitumor Drugs. J. Inorg. Biochem. 2016, 163, 143–146. [Google Scholar] [CrossRef]
- Raso, M.G.; Bota-Rabassedas, N.; Wistuba, I.I. Pathology and Classification of SCLC. Cancers 2021, 13, 820. [Google Scholar] [CrossRef]
- Tissera, N.S.; Balconi, F.; García-Álvarez, A.; Cubero, J.H.; Óconnor, J.M.; Chacón, M.; Capdevila, J. Maintenance Therapy after First-Line Platinum-Based Chemotherapy in Gastroenteropancreatic Neuroendocrine Carcinomas: A Literature Review. Cancer Treat. Rev. 2024, 132, 102863. [Google Scholar] [CrossRef]
- Girot, P.; Baudin, E.; Senellart, H.; Bouarioua, N.; Hentic, O.; Guimbaud, R.; Walter, T.; Ferru, A.; Roquin, G.; Cadiot, G.; et al. Oxaliplatin and 5-Fluorouracil (FOLFOX) in Advanced Well-Differentiated Digestive Neuroendocrine Tumors: A Multicenter National Retrospective Study from the French Group of Endocrine Tumors (GTE). J. Clin. Oncol. 2019, 37, 4104. [Google Scholar] [CrossRef]
- Spada, F.; Antonuzzo, L.; Marconcini, R.; Radice, D.; Antonuzzo, A.; Ricci, S.; Di Costanzo, F.; Fontana, A.; Gelsomino, F.; Luppi, G.; et al. Oxaliplatin-Based Chemotherapy in Advanced Neuroendocrine Tumors: Clinical Outcomes and Preliminary Correlation with Biological Factors. Neuroendocrinology 2016, 103, 806–814. [Google Scholar] [CrossRef]
- Walter, T.; Lecomte, T.; Hadoux, J.; Niccoli, P.; Saban-Roche, L.; Gaye, E.; Guimbaud, R.; Baconnier, M.; Hautefeuille, V.; Do Cao, C.; et al. LBA54 Alkylating Agent-Based vs Oxaliplatin-Based Chemotherapy in Neuroendocrine Tumours According to the O6-Methylguanine-DNA Methyltransferase (MGMT) Status: A Randomized Phase II Study (MGMT-NET) on Behalf of the French Group of Endocrine Tumors (GTE) and ENDOCAN-RENATEN Network. Ann. Oncol. 2023, 34, S1292–S1293. [Google Scholar] [CrossRef]
- Pan, Q.-Z.; Zhao, J.-J.; Liu, L.; Zhang, D.-S.; Wang, L.-P.; Hu, W.-W.; Weng, D.-S.; Xu, X.; Li, Y.-Z.; Tang, Y.; et al. XELOX (Capecitabine plus Oxaliplatin) plus Bevacizumab (Anti-VEGF-A Antibody) with or without Adoptive Cell Immunotherapy in the Treatment of Patients with Previously Untreated Metastatic Colorectal Cancer: A Multicenter, Open-Label, Randomized, Controlled, Phase 3 Trial. Signal Transduct. Target. Ther. 2024, 9, 79. [Google Scholar] [CrossRef]
- Machado, J.F.; Correia, J.D.G.; Morais, T.S. Emerging Molecular Receptors for the Specific-Target Delivery of Ruthenium and Gold Complexes into Cancer Cells. Molecules 2021, 26, 3153. [Google Scholar] [CrossRef]
- Lazarević, T.; Rilak, A.; Bugarčić, Ž.D. Platinum, Palladium, Gold and Ruthenium Complexes as Anticancer Agents: Current Clinical Uses, Cytotoxicity Studies and Future Perspectives. Eur. J. Med. Chem. 2017, 142, 8–31. [Google Scholar] [CrossRef]
- Johnson, S.S.; Liu, D.; Ewald, J.T.; Robles-Planells, C.; Christensen, K.A.; Bayanbold, K.; Wels, B.R.; Solst, S.R.; O’Dorisio, M.S.; Allen, B.G.; et al. Auranofin Inhibition of Thioredoxin Reductase Sensitizes Lung Neuroendocrine Tumor Cells (NETs) and Small Cell Lung Cancer (SCLC) Cells to Sorafenib as Well as Inhibiting SCLC Xenograft Growth. Cancer Biol. Ther. 2024, 25, 2382524. [Google Scholar] [CrossRef]
- Bashir, M.; Mantoo, I.A.; Arjmand, F.; Tabassum, S.; Yousuf, I. An Overview of Advancement of Organoruthenium(II) Complexes as Prospective Anticancer Agents. Coord. Chem. Rev. 2023, 487, 215169. [Google Scholar] [CrossRef]
- Khan, T.A.; Bhar, K.; Samanta, R.; Bhatt, S.; Singh, M.; Rani, R.; Kumar, V.; Sharma, A.K. A Bis-Quinoline Ruthenium(II) Arene Complex with Submicromolar Cytotoxicity in Castration-Resistant Prostate Cancer Cells. Chem. Commun. 2024, 60, 1579–1582. [Google Scholar] [CrossRef] [PubMed]
- O’Kane, G.M.; Spratlin, J.L.; Oh, D.-Y.; Rha, S.Y.; Elimova, E.; Kavan, P.; Choi, M.K.; Goodwin, R.A.; Kim, S.T.; Koo, D.-H.; et al. BOLD-100-001 (TRIO039): A Phase 1b/2a Study of BOLD-100 in Combination with FOLFOX Chemotherapy in Patients with Pre-Treated Advanced Gastric and Biliary Tract Cancer: Efficacy and Safety Analysis. J. Clin. Oncol. 2023, 41, 4098. [Google Scholar] [CrossRef]
- Musumeci, D.; Rozza, L.; Merlino, A.; Paduano, L.; Marzo, T.; Massai, L.; Messori, L.; Montesarchio, D. Interaction of Anticancer Ru(II) Complexes with Single Stranded and Duplex DNA Model Systems. Dalton Trans. 2015, 44, 13914–13925. [Google Scholar] [CrossRef]
- Alessio, E.; Messori, L. NAMI-A and KP1019/1339, Two Iconic Ruthenium Anticancer Drug Candidates Face-to-Face: A Case Story in Medicinal Inorganic Chemistry. Molecules 2019, 24, 1995. [Google Scholar] [CrossRef]
- Alessio, E. Thirty Years of the Drug Candidate NAMI-A and the Myths in the Field of Ruthenium Anticancer Compounds: A Personal Perspective. Eur. J. Inorg. Chem. 2017, 2017, 1549–1560. [Google Scholar] [CrossRef]
- Flocke, L.S.; Trondl, R.; Jakupec, M.A.; Keppler, B.K. Molecular Mode of Action of NKP-1339—A Clinically Investigated Ruthenium-Based Drug—Involves ER- and ROS-Related Effects in Colon Carcinoma Cell Lines. Investig. New Drugs 2016, 34, 261–268. [Google Scholar] [CrossRef] [PubMed]
- Trondl, R.; Heffeter, P.; Kowol, C.R.; Jakupec, M.A.; Berger, W.; Keppler, B.K. NKP-1339, the First Ruthenium-Based Anticancer Drug on the Edge to Clinical Application. Chem. Sci. 2014, 5, 2925–2932. [Google Scholar] [CrossRef]
- Monro, S.; Colón, K.L.; Yin, H.; Roque, J.; Konda, P.; Gujar, S.; Thummel, R.P.; Lilge, L.; Cameron, C.G.; McFarland, S.A. Transition Metal Complexes and Photodynamic Therapy from a Tumor-Centered Approach: Challenges, Opportunities, and Highlights from the Development of TLD1433. Chem. Rev. 2019, 119, 797–828. [Google Scholar] [CrossRef]
- Lu, Y.; Zhu, D.; Le, Q.; Wang, Y.; Wang, W. Ruthenium-Based Antitumor Drugs and Delivery Systems from Monotherapy to Combination Therapy. Nanoscale 2022, 14, 16339–16375. [Google Scholar] [CrossRef]
- Chen, Q.; Ramu, V.; Aydar, Y.; Groenewoud, A.; Zhou, X.-Q.; Jager, M.J.; Cole, H.; Cameron, C.G.; McFarland, S.A.; Bonnet, S.; et al. TLD1433 Photosensitizer Inhibits Conjunctival Melanoma Cells in Zebrafish Ectopic and Orthotopic Tumour Models. Cancers 2020, 12, 587. [Google Scholar] [CrossRef]
- Kulkarni, G.S.; Lilge, L.; Nesbitt, M.; Dumoulin-White, R.J.; Mandel, A.; Jewett, M.A.S. A Phase 1b Clinical Study of Intravesical Photodynamic Therapy in Patients with Bacillus Calmette-Guérin–Unresponsive Non–Muscle-Invasive Bladder Cancer. Eur. Urol. Open Sci. 2022, 41, 105–111. [Google Scholar] [CrossRef]
- Spratlin, J.L.; O’Kane, G.M.; Oh, D.-Y.; Rha, S.Y.; McWhirter, E.; Elimova, E.; Kavan, P.; Choi, M.K.; Kim, D.W.; Goodwin, R.A.; et al. BOLD-100-001 (TRIO039): A Phase 2 Study of BOLD-100 in Combination with FOLFOX in Patients with Advanced mCRC Previously Treated with FOLFOX/CAPOX—Efficacy and Safety Analysis. J. Clin. Oncol. 2024, 42, 143. [Google Scholar] [CrossRef]
- Pellei, M.; Del Gobbo, J.; Caviglia, M.; Gandin, V.; Marzano, C.; Karade, D.V.; Noonikara Poyil, A.; Dias, H.V.R.; Santini, C. Synthesis and Investigations of the Antitumor Effects of First-Row Transition Metal(II) Complexes Supported by Two Fluorinated and Non-Fluorinated β-Diketonates. Int. J. Mol. Sci. 2024, 25, 2038. [Google Scholar] [CrossRef]
- Pellei, M.; Santini, C.; Bagnarelli, L.; Caviglia, M.; Sgarbossa, P.; De Franco, M.; Zancato, M.; Marzano, C.; Gandin, V. Novel Silver Complexes Based on Phosphanes and Ester Derivatives of Bis(Pyrazol-1-Yl)Acetate Ligands Targeting TrxR: New Promising Chemotherapeutic Tools Relevant to SCLC Management. Int. J. Mol. Sci. 2023, 24, 4091. [Google Scholar] [CrossRef]
- Coverdale, J.; Laroiya-McCarron, T.; Romero-Canelón, I. Designing Ruthenium Anticancer Drugs: What Have We Learnt from the Key Drug Candidates? Inorganics 2019, 7, 31. [Google Scholar] [CrossRef]
- Liu, J.; Lai, H.; Xiong, Z.; Chen, B.; Chen, T. Functionalization and Cancer-Targeting Design of Ruthenium Complexes for Precise Cancer Therapy. Chem. Commun. 2019, 55, 9904–9914. [Google Scholar] [CrossRef]
- Thota, S.; Rodrigues, D.A.; Crans, D.C.; Barreiro, E.J. Ru(II) Compounds: Next-Generation Anticancer Metallotherapeutics? J. Med. Chem. 2018, 61, 5805–5821. [Google Scholar] [CrossRef]
- Petrova, Z.; Mocanu, T.; Spasov, R.; Hanganu, A.; Marinescu, G.; Culita, D.C.; Alexandrova, R. Antitumor Activity of Ruthenium(III) Complexes with [N2O2]-Tetradentate Schiff Base Ligands. J. Inorg. Biochem. 2025, 266, 112853. [Google Scholar] [CrossRef] [PubMed]
- Rausch, M.; Dyson, P.J.; Nowak-Sliwinska, P. Recent Considerations in the Application of RAPTA-C for Cancer Treatment and Perspectives for Its Combination with Immunotherapies. Adv. Ther. 2019, 2, 1900042. [Google Scholar] [CrossRef]
- Durig, J.R.; Danneman, J.; Behnke, W.D.; Mercer, E.E. The Induction of Filamentous Growth in Escherichia Coli by Ruthenium and Palladium Complexes. Chem.-Biol. Interact. 1976, 13, 287–294. [Google Scholar] [CrossRef] [PubMed]
- Clarke, M.J.; Zhu, F.; Frasca, D.R. Non-Platinum Chemotherapeutic Metallopharmaceuticals. Chem. Rev. 1999, 99, 2511–2534. [Google Scholar] [CrossRef]
- Bottomley, F. On the Blue Complexes of Ruthenium. Part II. The Structure of Fac -Trichlorotriammineruthenium(III). Can. J. Chem. 1977, 55, 2788–2791. [Google Scholar] [CrossRef]
- Sudhindra, P.; Ajay Sharma, S.; Roy, N.; Moharana, P.; Paira, P. Recent Advances in Cytotoxicity, Cellular Uptake and Mechanism of Action of Ruthenium Metallodrugs: A Review. Polyhedron 2020, 192, 114827. [Google Scholar] [CrossRef]
- Li, F.; Collins, J.G.; Keene, F.R. Ruthenium Complexes as Antimicrobial Agents. Chem. Soc. Rev. 2015, 44, 2529–2542. [Google Scholar] [CrossRef]
- Rajapakse, C.S.K.; Martínez, A.; Naoulou, B.; Jarzecki, A.A.; Suárez, L.; Deregnaucourt, C.; Sinou, V.; Schrével, J.; Musi, E.; Ambrosini, G.; et al. Synthesis, Characterization, and in Vitro Antimalarial and Antitumor Activity of New Ruthenium(II) Complexes of Chloroquine. Inorg. Chem. 2009, 48, 1122–1131. [Google Scholar] [CrossRef]
- Bastos, C.M.; Gordon, K.A.; Ocain, T.D. Synthesis and Immunosuppressive Activity of Ruthenium Complexes. Bioorganic Med. Chem. Lett. 1998, 8, 147–150. [Google Scholar] [CrossRef]
- Fricker, S.P.; Slade, E.; Powell, N.A.; Vaughan, O.J.; Henderson, G.R.; Murrer, B.A.; Megson, I.L.; Bisland, S.K.; Flitney, F.W. Ruthenium Complexes as Nitric Oxide Scavengers: A Potential Therapeutic Approach to Nitric Oxide-mediated Diseases. Br. J Pharmacol. 1997, 122, 1441–1449. [Google Scholar] [CrossRef] [PubMed]
- Allardyce, C.S.; Dyson, P.J.; Ellis, D.J.; Salter, P.A.; Scopelliti, R. Synthesis and Characterisation of Some Water Soluble Ruthenium(II)–Arene Complexes and an Investigation of Their Antibiotic and Antiviral Properties. J. Organomet. Chem. 2003, 668, 35–42. [Google Scholar] [CrossRef]
- Duan, L.; Fischer, A.; Xu, Y.; Sun, L. Isolated Seven-Coordinate Ru(IV) Dimer Complex with [HOHOH]− Bridging Ligand as an Intermediate for Catalytic Water Oxidation. J. Am. Chem. Soc. 2009, 131, 10397–10399. [Google Scholar] [CrossRef]
- Pal, M.; Nandi, U.; Mukherjee, D. Detailed Account on Activation Mechanisms of Ruthenium Coordination Complexes and Their Role as Antineoplastic Agents. Eur. J. Med. Chem. 2018, 150, 419–445. [Google Scholar] [CrossRef] [PubMed]
- Hafeez, J.; Bilal, M.; Rasool, N.; Hafeez, U.; Adnan Ali Shah, S.; Imran, S.; Amiruddin Zakaria, Z. Synthesis of Ruthenium Complexes and Their Catalytic Applications: A Review. Arab. J. Chem. 2022, 15, 104165. [Google Scholar] [CrossRef]
- Jabłońska-Wawrzycka, A.; Rogala, P.; Michałkiewicz, S.; Hodorowicz, M.; Barszcz, B. Ruthenium Complexes in Different Oxidation States: Synthesis, Crystal Structure, Spectra and Redox Properties. Dalton Trans. 2013, 42, 6092. [Google Scholar] [CrossRef]
- Minchinton, A.I.; Tannock, I.F. Drug Penetration in Solid Tumours. Nat. Rev. Cancer 2006, 6, 583–592. [Google Scholar] [CrossRef]
- Antonarakis, E.S.; Emadi, A. Ruthenium-Based Chemotherapeutics: Are They Ready for Prime Time? Cancer Chemother. Pharmacol. 2010, 66, 1–9. [Google Scholar] [CrossRef]
- Kumar, P.; Gupta, R.K.; Pandey, D.S. Half-Sandwich Arene Ruthenium Complexes: Synthetic Strategies and Relevance in Catalysis. Chem. Soc. Rev. 2014, 43, 707–733. [Google Scholar] [CrossRef]
- Studer, V.; Anghel, N.; Desiatkina, O.; Felder, T.; Boubaker, G.; Amdouni, Y.; Ramseier, J.; Hungerbühler, M.; Kempf, C.; Heverhagen, J.T.; et al. Conjugates Containing Two and Three Trithiolato-Bridged Dinuclear Ruthenium(II)-Arene Units as In Vitro Antiparasitic and Anticancer Agents. Pharmaceuticals 2020, 13, 471. [Google Scholar] [CrossRef]
- Morris, R.E.; Aird, R.E.; Del Socorro Murdoch, P.; Chen, H.; Cummings, J.; Hughes, N.D.; Parsons, S.; Parkin, A.; Boyd, G.; Jodrell, D.I.; et al. Inhibition of Cancer Cell Growth by Ruthenium(II) Arene Complexes. J. Med. Chem. 2001, 44, 3616–3621. [Google Scholar] [CrossRef] [PubMed]
- Sumithaa, C.; Sugantharam, K.; Karanath-Anilkumar, A.; Munuswamy-Ramanujam, G.; Ganeshpandian, M. RAPTA-Coordinated Polydiacetylene Self-Assembly: A Chameleon-like Prodrug with a Dual-Lock Strategy for Real-Time Release Monitoring of Metallodrug. Chem. Commun. 2024, 60, 9566–9569. [Google Scholar] [CrossRef]
- Murray, B.S.; Babak, M.V.; Hartinger, C.G.; Dyson, P.J. The Development of RAPTA Compounds for the Treatment of Tumors. Coord. Chem. Rev. 2016, 306, 86–114. [Google Scholar] [CrossRef]
- Scalambra, F.; Lorenzo-Luis, P.; De Los Ríos, I.; Romerosa, A. New Findings in Metal Complexes with Antiproliferative Activity Containing 1,3,5-Triaza-7-phosphaadamantane (PTA) and Derivative Ligands. Eur. J. Inorg. Chem. 2019, 2019, 1529–1538. [Google Scholar] [CrossRef]
- Bergamo, A.; Gaiddon, C.; Schellens, J.H.M.; Beijnen, J.H.; Sava, G. Approaching Tumour Therapy beyond Platinum Drugs. J. Inorg. Biochem. 2012, 106, 90–99. [Google Scholar] [CrossRef]
- Hairat, S.; Zaki, M. Half Sandwiched RutheniumII Complexes: En Route towards the Targeted Delivery by Human Serum Albumin (HSA). J. Organomet. Chem. 2021, 937, 121732. [Google Scholar] [CrossRef]
- Wolters, D.A.; Stefanopoulou, M.; Dyson, P.J.; Groessl, M. Combination of Metallomics and Proteomics to Study the Effects of the Metallodrug RAPTA-T on Human Cancer Cells. Metallomics 2012, 4, 1185. [Google Scholar] [CrossRef] [PubMed]
- Mo, J.; Mai Le, N.P.; Priefer, R. Evaluating the Mechanisms of Action and Subcellular Localization of Ruthenium(II)-Based Photosensitizers. Eur. J. Med. Chem. 2021, 225, 113770. [Google Scholar] [CrossRef] [PubMed]
- McGhie, B.S.; Aldrich-Wright, J.R. Photoactive and Luminescent Transition Metal Complexes as Anticancer Agents: A Guiding Light in the Search for New and Improved Cancer Treatments. Biomedicines 2022, 10, 578. [Google Scholar] [CrossRef]
- Lucaciu, R.L.; Hangan, A.C.; Sevastre, B.; Oprean, L.S. Metallo-Drugs in Cancer Therapy: Past, Present and Future. Molecules 2022, 27, 6485. [Google Scholar] [CrossRef]
- Wang, M.; Wang, H.; Xu, X.; Lai, T.-P.; Zhou, Y.; Hao, Q.; Li, H.; Sun, H. Binding of Ruthenium and Osmium at Non-iron Sites of Transferrin Accounts for Their Iron-Independent Cellular Uptake. J. Inorg. Biochem. 2022, 234, 111885. [Google Scholar] [CrossRef]
- Pan, N.-L.; Liao, J.-X.; Huang, M.-Y.; Zhang, Y.-Q.; Chen, J.-X.; Zhang, Z.-W.; Yang, Z.-X.; Long, X.-E.; Wu, X.-T.; Sun, J. Lysosome-Targeted Ruthenium(II) Complexes Induce Both Apoptosis and Autophagy in HeLa Cells. J. Inorg. Biochem. 2022, 229, 111729. [Google Scholar] [CrossRef]
- Levina, A.; Chetcuti, A.R.M.; Lay, P.A. Controversial Role of Transferrin in the Transport of Ruthenium Anticancer Drugs. Biomolecules 2022, 12, 1319. [Google Scholar] [CrossRef] [PubMed]
- Li, H.; Qian, Z.M. Transferrin/Transferrin Receptor-Mediated Drug Delivery. Med. Res. Rev. 2002, 22, 225–250. [Google Scholar] [CrossRef] [PubMed]
- Puckett, C.A.; Barton, J.K. Mechanism of Cellular Uptake of a Ruthenium Polypyridyl Complex. Biochemistry 2008, 47, 11711–11716. [Google Scholar] [CrossRef] [PubMed]
- Sulyok, M.; Hann, S.; Hartinger, C.G.; Keppler, B.K.; Stingeder, G.; Koellensperger, G. Two Dimensional Separation Schemes for Investigation of the Interaction of an Anticancer Ruthenium(Iii) Compound with Plasma Proteins. J. Anal. At. Spectrom. 2005, 20, 856. [Google Scholar] [CrossRef]
- Elsadek, B.; Kratz, F. Impact of Albumin on Drug Delivery—New Applications on the Horizon. J. Control. Release 2012, 157, 4–28. [Google Scholar] [CrossRef]
- Ryschich, E.; Huszty, G.; Knaebel, H.P.; Hartel, M.; Büchler, M.W.; Schmidt, J. Transferrin Receptor Is a Marker of Malignant Phenotype in Human Pancreatic Cancer and in Neuroendocrine Carcinoma of the Pancreas. Eur. J. Cancer 2004, 40, 1418–1422. [Google Scholar] [CrossRef]
- Magro, G.; Cataldo, I.; Amico, P.; Torrisi, A.; Vecchio, G.M.; Parenti, R.; Asioli, S.; Recupero, D.; D’Agata, V.; Mucignat, M.T.; et al. Aberrant Expression of TfR1/CD71 in Thyroid Carcinomas Identifies a Novel Potential Diagnostic Marker and Therapeutic Target. Thyroid 2011, 21, 267–277. [Google Scholar] [CrossRef]
- Villalobos-Manzo, R.; Ríos-Castro, E.; Hernández-Hernández, J.M.; Oza, G.; Medina, M.A.; Tapia-Ramírez, J. Identification of Transferrin Receptor 1 (TfR1) Overexpressed in Lung Cancer Cells, and Internalization of Magnetic Au-CoFe2O4 Core-Shell Nanoparticles Functionalized with Its Ligand in a Cellular Model of Small Cell Lung Cancer (SCLC). Pharmaceutics 2022, 14, 1715. [Google Scholar] [CrossRef]
- Mari, C.; Pierroz, V.; Rubbiani, R.; Patra, M.; Hess, J.; Spingler, B.; Oehninger, L.; Schur, J.; Ott, I.; Salassa, L.; et al. DNA Intercalating Ru II Polypyridyl Complexes as Effective Photosensitizers in Photodynamic Therapy. Chem. A Eur. J. 2014, 20, 14421–14436. [Google Scholar] [CrossRef] [PubMed]
- Wang, J.-Q.; Zhang, P.-Y.; Qian, C.; Hou, X.-J.; Ji, L.-N.; Chao, H. Mitochondria Are the Primary Target in the Induction of Apoptosis by Chiral Ruthenium(II) Polypyridyl Complexes in Cancer Cells. J. Biol. Inorg. Chem. 2014, 19, 335–348. [Google Scholar] [CrossRef]
- Liu, J.; Chen, Y.; Li, G.; Zhang, P.; Jin, C.; Zeng, L.; Ji, L.; Chao, H. Ruthenium(II) Polypyridyl Complexes as Mitochondria-Targeted Two-Photon Photodynamic Anticancer Agents. Biomaterials 2015, 56, 140–153. [Google Scholar] [CrossRef]
- Wan, D.; Tang, B.; Wang, Y.-J.; Guo, B.-H.; Yin, H.; Yi, Q.-Y.; Liu, Y.-J. Synthesis and Anticancer Properties of Ruthenium (II) Complexes as Potent Apoptosis Inducers through Mitochondrial Disruption. Eur. J. Med. Chem. 2017, 139, 180–190. [Google Scholar] [CrossRef] [PubMed]
- Modica-Napolitano, J.; Weissig, V. Treatment Strategies That Enhance the Efficacy and Selectivity of Mitochondria-Targeted Anticancer Agents. Int. J. Mol. Sci. 2015, 16, 17394–17421. [Google Scholar] [CrossRef]
- Xie, L.; Wang, L.; Guan, R.; Ji, L.; Chao, H. Anti-Metastasis and Anti-Proliferation Effect of Mitochondria-Accumulating Ruthenium(II) Complexes via Redox Homeostasis Disturbance and Energy Depletion. J. Inorg. Biochem. 2021, 217, 111380. [Google Scholar] [CrossRef] [PubMed]
- Komor, A.C.; Barton, J.K. The Path for Metal Complexes to a DNA Target. Chem. Commun. 2013, 49, 3617. [Google Scholar] [CrossRef]
- Huang, H.; Yu, B.; Zhang, P.; Huang, J.; Chen, Y.; Gasser, G.; Ji, L.; Chao, H. Highly Charged Ruthenium(II) Polypyridyl Complexes as Lysosome-Localized Photosensitizers for Two-Photon Photodynamic Therapy. Angew. Chem. Int. Ed. Engl. 2015, 54, 14049–14052. [Google Scholar] [CrossRef]
- Park, S.; Gray, J.L.; Altman, S.D.; Hairston, A.R.; Beswick, B.T.; Kim, Y.; Papish, E.T. Cellular Uptake of Protic Ruthenium Complexes Is Influenced by pH Dependent Passive Diffusion and Energy Dependent Efflux. J. Inorg. Biochem. 2020, 203, 110922. [Google Scholar] [CrossRef]
- Chen, J.; Peng, F.; Zhang, Y.; Li, B.; She, J.; Jie, X.; Zou, Z.; Chen, M.; Chen, L. Synthesis, Characterization, Cellular Uptake and Apoptosis-Inducing Properties of Two Highly Cytotoxic Cyclometalated Ruthenium(II) β-Carboline Complexes. Eur. J. Med. Chem. 2017, 140, 104–117. [Google Scholar] [CrossRef] [PubMed]
- Zhao, Z.; Luo, Z.; Wu, Q.; Zheng, W.; Feng, Y.; Chen, T. Mixed-Ligand Ruthenium Polypyridyl Complexes as Apoptosis Inducers in Cancer Cells, the Cellular Translocation and the Important Role of ROS-Mediated Signaling. Dalton Trans. 2014, 43, 17017–17028. [Google Scholar] [CrossRef]
- Tan, C.; Lai, S.; Wu, S.; Hu, S.; Zhou, L.; Chen, Y.; Wang, M.; Zhu, Y.; Lian, W.; Peng, W.; et al. Nuclear Permeable Ruthenium(II) β-Carboline Complexes Induce Autophagy To Antagonize Mitochondrial-Mediated Apoptosis. J. Med. Chem. 2010, 53, 7613–7624. [Google Scholar] [CrossRef]
- Sun, Q.; Li, Y.; Shi, H.; Wang, Y.; Zhang, J.; Zhang, Q. Ruthenium Complexes as Promising Candidates against Lung Cancer. Molecules 2021, 26, 4389. [Google Scholar] [CrossRef]
- Kapitza, S.; Pongratz, M.; Jakupec, M.A.; Heffeter, P.; Berger, W.; Lackinger, L.; Keppler, B.K.; Marian, B. Heterocyclic Complexes of Ruthenium(III) Induce Apoptosis in Colorectal Carcinoma Cells. J. Cancer Res. Clin. Oncol. 2005, 131, 101–110. [Google Scholar] [CrossRef] [PubMed]
- Graf, N.; Lippard, S.J. Redox Activation of Metal-Based Prodrugs as a Strategy for Drug Delivery. Adv. Drug Deliv. Rev. 2012, 64, 993–1004. [Google Scholar] [CrossRef]
- Schoenhacker-Alte, B.; Mohr, T.; Pirker, C.; Kryeziu, K.; Kuhn, P.-S.; Buck, A.; Hofmann, T.; Gerner, C.; Hermann, G.; Koellensperger, G.; et al. Sensitivity towards the GRP78 Inhibitor KP1339/IT-139 Is Characterized by Apoptosis Induction via Caspase 8 upon Disruption of ER Homeostasis. Cancer Lett. 2017, 404, 79–88. [Google Scholar] [CrossRef]
- Dickson, N.R.; Jones, S.F.; Burris, H.A.; Ramanathan, R.K.; Weiss, G.J.; Infante, J.R.; Bendell, J.C.; McCulloch, W.; Von Hoff, D.D. A Phase I Dose-Escalation Study of NKP-1339 in Patients with Advanced Solid Tumors Refractory to Treatment. J. Clin. Oncol. 2011, 29, 2607. [Google Scholar] [CrossRef]
- Wang, M.; Wey, S.; Zhang, Y.; Ye, R.; Lee, A.S. Role of the Unfolded Protein Response Regulator GRP78/BiP in Development, Cancer, and Neurological Disorders. Antioxid. Redox Signal. 2009, 11, 2307–2316. [Google Scholar] [CrossRef] [PubMed]
- Mafi, S.; Dehghani, M.; Khalvati, B.; Abidi, H.; Ghorbani, M.; Jalali, P.; Whichelo, R.; Salehi, Z.; Markowska, A.; Reyes, A.; et al. Targeting PERK and GRP78 in Colorectal Cancer: Genetic Insights and Novel Therapeutic Approaches. Eur. J. Pharmacol. 2024, 982, 176899. [Google Scholar] [CrossRef]
- Xia, S.; Duan, W.; Liu, W.; Zhang, X.; Wang, Q. GRP78 in Lung Cancer. J. Transl. Med. 2021, 19, 118. [Google Scholar] [CrossRef] [PubMed]
- Hetz, C. The Unfolded Protein Response: Controlling Cell Fate Decisions under ER Stress and Beyond. Nat. Rev. Mol. Cell Biol. 2012, 13, 89–102. [Google Scholar] [CrossRef] [PubMed]
- Gifford, J.B.; Huang, W.; Zeleniak, A.E.; Hindoyan, A.; Wu, H.; Donahue, T.R.; Hill, R. Expression of GRP78, Master Regulator of the Unfolded Protein Response, Increases Chemoresistance in Pancreatic Ductal Adenocarcinoma. Mol. Cancer Ther. 2016, 15, 1043–1052. [Google Scholar] [CrossRef]
- Wernitznig, D.; Kiakos, K.; Del Favero, G.; Harrer, N.; Machat, H.; Osswald, A.; Jakupec, M.A.; Wernitznig, A.; Sommergruber, W.; Keppler, B.K. First-in-Class Ruthenium Anticancer Drug (KP1339/IT-139) Induces an Immunogenic Cell Death Signature in Colorectal Spheroids in Vitro. Metallomics 2019, 11, 1044–1048. [Google Scholar] [CrossRef] [PubMed]
- Amaresan, R.; Gopal, U. Cell Surface GRP78: A Potential Mechanism of Therapeutic Resistant Tumors. Cancer Cell Int. 2023, 23, 100. [Google Scholar] [CrossRef]
- Yamamoto, V.; Wang, B.; Lee, A.S. Suppression of Head and Neck Cancer Cell Survival and Cisplatin Resistance by GRP78 Small Molecule Inhibitor YUM70. Front. Oncol. 2023, 12, 1044699. [Google Scholar] [CrossRef]
- Cui, C.; Merritt, R.; Fu, L.; Pan, Z. Targeting Calcium Signaling in Cancer Therapy. Acta Pharm. Sin. B 2017, 7, 3–17. [Google Scholar] [CrossRef]
- Momeni, H.R. Role of Calpain in Apoptosis. Cell J. 2011, 13, 65–72. [Google Scholar]
- Ranzato, E.; Bonsignore, G.; Martinotti, S. ER Stress Response and Induction of Apoptosis in Malignant Pleural Mesothelioma: The Achilles Heel Targeted by the Anticancer Ruthenium Drug BOLD-100. Cancers 2022, 14, 4126. [Google Scholar] [CrossRef]
- Moore, P.C.; Qi, J.Y.; Thamsen, M.; Ghosh, R.; Peng, J.; Gliedt, M.J.; Meza-Acevedo, R.; Warren, R.E.; Hiniker, A.; Kim, G.E.; et al. Parallel Signaling through IRE1α and PERK Regulates Pancreatic Neuroendocrine Tumor Growth and Survival. Cancer Res. 2019, 79, 6190–6203. [Google Scholar] [CrossRef]
- Rozpedek, W.; Pytel, D.; Mucha, B.; Leszczynska, H.; Diehl, J.A.; Majsterek, I. The Role of the PERK/eIF2α/ATF4/CHOP Signaling Pathway in Tumor Progression During Endoplasmic Reticulum Stress. Curr. Mol. Med. 2016, 16, 533–544. [Google Scholar] [CrossRef]
- Estornes, Y.; Aguileta, M.A.; Dubuisson, C.; De Keyser, J.; Goossens, V.; Kersse, K.; Samali, A.; Vandenabeele, P.; Bertrand, M.J.M. RIPK1 Promotes Death Receptor-Independent Caspase-8-Mediated Apoptosis under Unresolved ER Stress Conditions. Cell Death Dis. 2014, 5, e1555. [Google Scholar] [CrossRef]
- Liu, P.; Zhao, L.; Loos, F.; Iribarren, K.; Lachkar, S.; Zhou, H.; Gomes-da-Silva, L.C.; Chen, G.; Bezu, L.; Boncompain, G.; et al. Identification of Pharmacological Agents That Induce HMGB1 Release. Sci. Rep. 2017, 7, 14915. [Google Scholar] [CrossRef]
- Bakewell, S.; Conde, I.; Fallah, Y.; McCoy, M.; Jin, L.; Shajahan-Haq, A.N. Inhibition of DNA Repair Pathways and Induction of ROS Are Potential Mechanisms of Action of the Small Molecule Inhibitor BOLD-100 in Breast Cancer. Cancers 2020, 12, 2647. [Google Scholar] [CrossRef]
- Gupta, G.; Borglum, K.; Chen, H. Immunogenic Cell Death: A Step Ahead of Autophagy in Cancer Therapy. J. Cancer Immunol. 2021, 3, 47–59. [Google Scholar] [CrossRef]
- Lee, S.Y.; Kim, C.Y.; Nam, T.-G. Ruthenium Complexes as Anticancer Agents: A Brief History and Perspectives. DDDT 2020, 14, 5375–5392. [Google Scholar] [CrossRef]
- Karati, D.; Meur, S.; Mukherjee, S.; Roy, S. Revolutionizing Anticancer Treatment: Ruthenium-Based Nanoplatforms Pave New Paths. Coord. Chem. Rev. 2024, 519, 216118. [Google Scholar] [CrossRef]
- Garufi, A.; Pettinari, R.; Monteonofrio, L.; Puliani, G.; Virdia, I.; Appetecchia, M.; Marchetti, F.; Cirone, M.; Soddu, S.; D’Orazi, G. NRF2 Activation in BON-1 Neuroendocrine Cancer Cells Reduces the Cytotoxic Effects of a Novel Ruthenium(II)-curcumin Compound: A Pilot Study. Oncol. Rep. 2024, 51, 36. [Google Scholar] [CrossRef]
- Leskovac, A.; Petrovic, S.; Lazarevic-Pasti, T.; Krstic, M.; Vasic, V. Ruthenium(II)-N-Alkyl Phenothiazine Complexes as Potential Anticancer Agents. J. Biol. Inorg. Chem. 2018, 23, 689–704. [Google Scholar] [CrossRef]
- Barragán, F.; Carrion-Salip, D.; Gómez-Pinto, I.; González-Cantó, A.; Sadler, P.J.; De Llorens, R.; Moreno, V.; González, C.; Massaguer, A.; Marchán, V. Somatostatin Subtype-2 Receptor-Targeted Metal-Based Anticancer Complexes. Bioconjugate Chem. 2012, 23, 1838–1855. [Google Scholar] [CrossRef]
- D’Amora, A.; Cucciolito, M.E.; Iannitti, R.; Morelli, G.; Palumbo, R.; Ruffo, F.; Tesauro, D. Pyridine Ruthenium(III) Complexes Entrapped in Liposomes with Enhanced Cytotoxic Properties in PC-3 Prostate Cancer Cells. J. Drug Deliv. Sci. Technol. 2019, 51, 552–558. [Google Scholar] [CrossRef]
- Khan, T.A.; Yadav, A.; Malpani, P.; Kumar, V.; Sharma, A.K. Development of 2-Bis(Quinolin-2-Ylmethylene)Hydrazine-Based Half-Sandwich Ruthenium(II) Arene Complexes with High Cytotoxicity in Castration-Resistant Prostate Cancer Cells. Eur. J. Inorg. Chem. 2025, 28, e202400851. [Google Scholar] [CrossRef]
- Kisla, M.M.; Yaman, M.; Zengin-Karadayi, F.; Korkmaz, B.; Bayazeid, O.; Kumar, A.; Peravali, R.; Gunes, D.; Tiryaki, R.S.; Gelinci, E.; et al. Synthesis and Structure of Novel Phenothiazine Derivatives, and Compound Prioritization via In Silico Target Search and Screening for Cytotoxic and Cholinesterase Modulatory Activities in Liver Cancer Cells and In Vivo in Zebrafish. ACS Omega 2024, 9, 30594–30614. [Google Scholar] [CrossRef]
- Prema, V.; Meena, A.; Ramalakshmi, N. A Computational Study of Phenothiazine Derivatives as Acetylcholinesterase Inhibitors Targeting Alzheimer’s Disease. CNSAMC 2025, 25, 68–82. [Google Scholar] [CrossRef]
- De Faria, P.A.; Bettanin, F.; Cunha, R.L.O.R.; Paredes-Gamero, E.J.; Homem-de-Mello, P.; Nantes, I.L.; Rodrigues, T. Cytotoxicity of Phenothiazine Derivatives Associated with Mitochondrial Dysfunction: A Structure-Activity Investigation. Toxicology 2015, 330, 44–54. [Google Scholar] [CrossRef]
- Krstić, M.; Sovilj, S.P.; Grgurić-Šipka, S.; Radosavljević Evans, I.; Borozan, S.; Santibanez, J.F.; Kocić, J. New Ruthenium(II) Complexes with N-Alkylphenothiazines: Synthesis, Structure, in Vivo Activity as Free Radical Scavengers and in Vitro Cytotoxicity. Eur. J. Med. Chem. 2010, 45, 3669–3676. [Google Scholar] [CrossRef]
- Tai, S.; Sun, Y.; Squires, J.M.; Zhang, H.; Oh, W.K.; Liang, C.; Huang, J. PC3 Is a Cell Line Characteristic of Prostatic Small Cell Carcinoma. Prostate 2011, 71, 1668–1679. [Google Scholar] [CrossRef]
- Garufi, A.; Pettinari, R.; Marchetti, F.; Cirone, M.; D’Orazi, G. NRF2 and Bip Interconnection Mediates Resistance to the Organometallic Ruthenium-Cymene Bisdemethoxycurcumin Complex Cytotoxicity in Colon Cancer Cells. Biomedicines 2023, 11, 593. [Google Scholar] [CrossRef]
- Castellvi, J.; Garcia, A.; Rojo, F.; Ruiz-Marcellan, C.; Gil, A.; Baselga, J.; Ramon y Cajal, S. Phosphorylated 4E Binding Protein 1: A Hallmark of Cell Signaling That Correlates with Survival in Ovarian Cancer. Cancer 2006, 107, 1801–1811. [Google Scholar] [CrossRef]
- Graff, J.R.; Konicek, B.W.; Lynch, R.L.; Dumstorf, C.A.; Dowless, M.S.; McNulty, A.M.; Parsons, S.H.; Brail, L.H.; Colligan, B.M.; Koop, J.W.; et al. eIF4E Activation Is Commonly Elevated in Advanced Human Prostate Cancers and Significantly Related to Reduced Patient Survival. Cancer Res. 2009, 69, 3866–3873. [Google Scholar] [CrossRef]
- Lee, H.W.; Lee, E.H.; Lee, J.H.; Kim, J.-E.; Kim, S.-H.; Kim, T.G.; Hwang, S.W.; Kang, K.W. Prognostic Significance of Phosphorylated 4E-Binding Protein 1 in Non-Small Cell Lung Cancer. Int. J. Clin. Exp. Pathol. 2015, 8, 3955–3962. [Google Scholar]
- O’Reilly, K.E.; Warycha, M.; Davies, M.A.; Rodrik, V.; Zhou, X.K.; Yee, H.; Polsky, D.; Pavlick, A.C.; Rosen, N.; Bhardwaj, N.; et al. Phosphorylated 4E-BP1 Is Associated with Poor Survival in Melanoma. Clin. Cancer Res. 2009, 15, 2872–2878. [Google Scholar] [CrossRef]
- Rojo, F.; Najera, L.; Lirola, J.; Jiménez, J.; Guzmán, M.; Sabadell, M.D.; Baselga, J.; Cajal, S.R.Y. 4E-Binding Protein 1, A Cell Signaling Hallmark in Breast Cancer That Correlates with Pathologic Grade and Prognosis. Clin. Cancer Res. 2007, 13, 81–89. [Google Scholar] [CrossRef]
- Schoeberl, A.; Gutmann, M.; Theiner, S.; Corte-Rodríguez, M.; Braun, G.; Vician, P.; Berger, W.; Koellensperger, G. The Copper Transporter CTR1 and Cisplatin Accumulation at the Single-Cell Level by LA-ICP-TOFMS. Front. Mol. Biosci. 2022, 9, 1055356. [Google Scholar] [CrossRef]
- Klieser, E.; Illig, R.; Státtner, S.; Primavesi, F.; Jáger, T.; Swierczynski, S.; Kiesslich, T.; Kemmerling, R.; Bollmann, C.; Di Fazio, P.; et al. Endoplasmic Reticulum Stress in Pancreatic Neuroendocrine Tumors Is Linked to Clinicopathological Parameters and Possible Epigenetic Regulations. Anticancer Res. 2015, 35, 6127–6136. [Google Scholar]
- Roller, C.; Maddalo, D. The Molecular Chaperone GRP78/BiP in the Development of Chemoresistance: Mechanism and Possible Treatment. Front. Pharmacol. 2013, 4, 10. [Google Scholar] [CrossRef]
- Liu, Z.; Liu, G.; Ha, D.P.; Wang, J.; Xiong, M.; Lee, A.S. ER Chaperone GRP78/BiP Translocates to the Nucleus under Stress and Acts as a Transcriptional Regulator. Proc. Natl. Acad. Sci. USA 2023, 120, e2303448120. [Google Scholar] [CrossRef]
- Adhireksan, Z.; Davey, G.E.; Campomanes, P.; Groessl, M.; Clavel, C.M.; Yu, H.; Nazarov, A.A.; Yeo, C.H.F.; Ang, W.H.; Dröge, P.; et al. Ligand Substitutions between Ruthenium–Cymene Compounds Can Control Protein versus DNA Targeting and Anticancer Activity. Nat. Commun. 2014, 5, 3462. [Google Scholar] [CrossRef]
- Rojo De La Vega, M.; Chapman, E.; Zhang, D.D. NRF2 and the Hallmarks of Cancer. Cancer Cell 2018, 34, 21–43. [Google Scholar] [CrossRef]
- Zhou, Y.; Zhang, A.; Fang, C.; Yuan, L.; Shao, A.; Xu, Y.; Zhou, D. Oxidative Stress in Pituitary Neuroendocrine Tumors: Affecting the Tumor Microenvironment and Becoming a New Target for Pituitary Neuroendocrine Tumor Therapy. CNS Neurosci. Ther. 2023, 29, 2744–2759. [Google Scholar] [CrossRef]
- Zhan, X.; Desiderio, D.M. Signaling Pathway Networks Mined from Human Pituitary Adenoma Proteomics Data. BMC Med. Genom. 2010, 3, 13. [Google Scholar] [CrossRef]
- Long, Y.; Lu, M.; Cheng, T.; Zhan, X.; Zhan, X. Multiomics-Based Signaling Pathway Network Alterations in Human Non-Functional Pituitary Adenomas. Front. Endocrinol. 2019, 10, 835. [Google Scholar] [CrossRef]
- Cheng, Y.; Dai, Y.; Tang, H.; Lu, X.; Xie, J.; Xie, W.; Zhang, Q.; Liu, Y.; Lin, S.; Yao, H.; et al. Therapeutic Potential of Targeting Nrf2 by Panobinostat in Pituitary Neuroendocrine Tumors. Acta Neuropathol. Commun. 2024, 12, 61. [Google Scholar] [CrossRef]
- Sabatino, M.E.; Grondona, E.; Sosa, L.D.V.; Bragato, B.M.; Carreño, L.; Juarez, V.; Da Silva, R.A.; Remor, A.; De Bortoli, L.; De Paula Martins, R.; et al. Oxidative Stress and Mitochondrial Adaptive Shift during Pituitary Tumoral Growth. Free. Radic. Biol. Med. 2018, 120, 41–55. [Google Scholar] [CrossRef]
- Duan, Z.; Li, L.; Zhan, Q.; Chen, J.; Li, Q.; Liu, R.; Tu, Y. Mitochondria-Targeting Type-I Photodynamic Therapy Based on Phenothiazine for Realizing Enhanced Immunogenic Cancer Cell Death via Mitochondrial Oxidative Stress. IJN 2025, 20, 125–139. [Google Scholar] [CrossRef]
- Xu, Z.; Xu, M.; Wu, X.; Guo, S.; Tian, Z.; Zhu, D.; Yang, J.; Fu, J.; Li, X.; Song, G.; et al. A Half-Sandwich Ruthenium(II) (N^N) Complex: Inducing Immunogenic Melanoma Cell Death in Vitro and in Vivo. Chem. Med. Chem. 2023, 18, e202300131. [Google Scholar] [CrossRef]
- Wang, B.; Tang, X.; Xiao, C.; Yu, Z.; Bo, H.; Wang, J.; Wang, J. Nucleus-Targeted Ruthenium(II) Complex Triggers Immunogenic Cell Death and Sensitizes Melanoma to Anti-PD-1 Therapy by Activating cGAS–STING Pathway. J. Inorg. Biochem. 2025, 267, 112871. [Google Scholar] [CrossRef]
- Kavukcu, S.B.; Ensarioğlu, H.K.; Karabıyık, H.; Vatansever, H.S.; Türkmen, H. Cell Death Mechanism of Organometallic Ruthenium(II) and Iridium(III) Arene Complexes on HepG2 and Vero Cells. ACS Omega 2023, 8, 37549–37563. [Google Scholar] [CrossRef]
- Tian, S.; Xu, H.; Wu, X.; Ding, Y.; Liang, L.; Yin, H.; Zeng, X.; Liu, Y.; Zhu, W. Ruthenium(II) Polypyridyl Complexes Inhibit Tumor Growth through Stimulating Immune System to Increase CD8+ T Cell. Eur. J. Med. Chem. 2025, 289, 117470. [Google Scholar] [CrossRef]
- Konda, P.; Lifshits, L.M.; Roque, J.A.; Cole, H.D.; Cameron, C.G.; McFarland, S.A.; Gujar, S. Discovery of Immunogenic Cell Death-Inducing Ruthenium-Based Photosensitizers for Anticancer Photodynamic Therapy. OncoImmunology 2021, 10, 1863626. [Google Scholar] [CrossRef]
- Passos, V.Q.; Fortes, M.A.H.Z.; Giannella-Neto, D.; Bronstein, M.D. Genes Differentially Expressed in Prolactinomas Responsive and Resistant to Dopamine Agonists. Neuroendocrinology 2009, 89, 163–170. [Google Scholar] [CrossRef] [PubMed]
- Pivonello, C.; Patalano, R.; Negri, M.; Pirchio, R.; Colao, A.; Pivonello, R.; Auriemma, R.S. Resistance to Dopamine Agonists in Pituitary Tumors: Molecular Mechanisms. Front. Endocrinol. 2022, 12, 791633. [Google Scholar] [CrossRef]
- Pawlikowski, M.; Pisarek, H.; Winczyk, K. Immunohistochemical Detection of Dopamine D2 Receptors in Neuroendocrine Tumours. Endokrynol. Pol. 2011, 62, 388–391. [Google Scholar]
- Alam, S.K.; Pandit, A.; Wang, L.; Mortazavi Farsani, S.S.; Thiele, B.A.; Manoj, P.; Aubry, M.C.; Verma, V.; Rudin, C.M.; Lo, Y.-C.; et al. Dopamine D2 Receptor Agonists Abrogate Neuroendocrine Tumour Angiogenesis to Inhibit Chemotherapy-Refractory Small Cell Lung Cancer Progression. Cell Death Dis. 2025, 16, 370. [Google Scholar] [CrossRef]
- Grossrubatscher, E.; Veronese, S.; Dalino Ciaramella, P.; Pugliese, R.; Boniardi, M.; De Carlis, L.; Torre, M.; Ravini, M.; Gambacorta, M.; Loli, P. High Expression of Dopamine Receptor Subtype 2 in a Large Series of Neuroendocrine Tumors. Cancer Biol. Ther. 2008, 7, 1970–1978. [Google Scholar] [CrossRef][Green Version]
- Diakatou, E.; Kaltsas, G.; Tzivras, M.; Kanakis, G.; Papaliodi, E.; Kontogeorgos, G. Somatostatin and Dopamine Receptor Profile of Gastroenteropancreatic Neuroendocrine Tumors: An Immunohistochemical Study. Endocr. Pathol. 2011, 22, 24–30. [Google Scholar] [CrossRef]
- Oronsky, B.; Ma, P.C.; Morgensztern, D.; Carter, C.A. Nothing But NET: A Review of Neuroendocrine Tumors and Carcinomas. Neoplasia 2017, 19, 991–1002. [Google Scholar] [CrossRef] [PubMed]






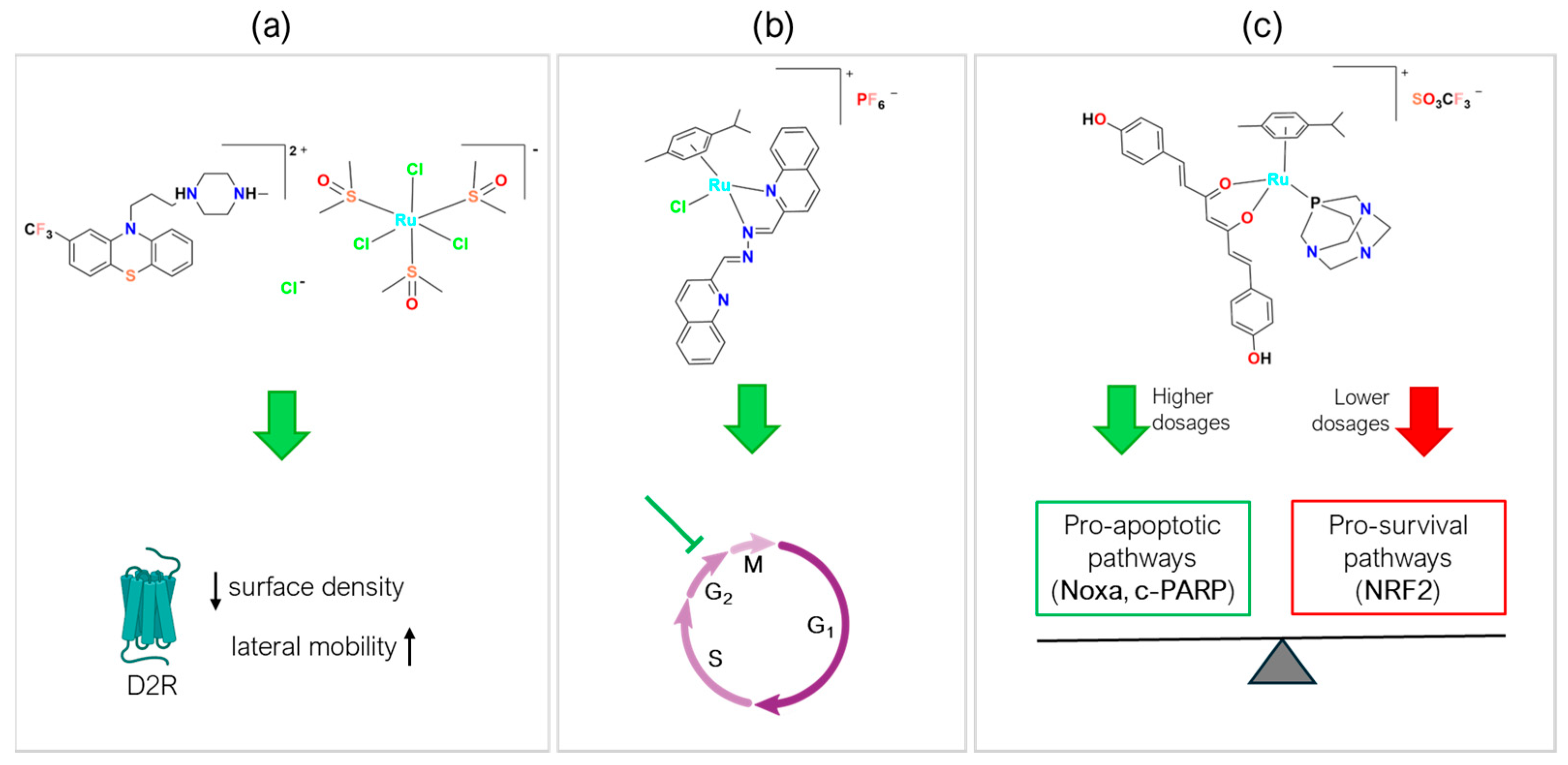
| Ru Complexes | NE Cancer Cell Lines | Biological Effects | References |
|---|---|---|---|
| (CP·H)[RuCl3(DMSO)3]·C2H5OH (CP·H = chlorpromazine); (TR·H)[RuCl3(DMSO)3]·0.5C2H5OH (TR·H = thioridazine); (TF·H2)[RuCl3(DMSO)3]Cl·0.5C2H5OH (TF·H2 = trifluoperazine). | PC-12 | Ru(II) compounds can reduce cell viability in NE cancer cells transfected to express dopamine D2 receptor. | [139] |
| Na[trans-RuCl4(pyridine)(DMSO)] (RuPy) encapsulated or not in liposome; Na[trans-RuCl4(PyTry)(DMSO)] (RuPyTry) (PyTry = 1,4-disubstituted-1,2,3-triazole) encapsulated or not in liposome. | PC-3 | The pyridine Ru(III) complexes as free drugs do not show significant cytotoxic effects. Instead, RuPyTry and RuPy incorporated in liposomes are equally or more cytotoxic than cisplatin (IC50 = 8.0 μM), respectively. The lipo-RuPyTry preparation results are more selective against cancer cells. | [141] |
| [(cymene)Ru(bdcurc)(PTA)]SO3CF3 (bdcurc = bisdemethoxycurcumin; PTA = 1,3,5-triaza-7-phosphaadamantane) (Ru-bdcurc). | BON-1 | Ru-bdcurc compound induces cell death in a dose-dependent manner, in vitro (EC50 = 100 μM). NRF2 activation reduces the cytotoxic effects of the compound. | [138] |
| [(η6-p-cymene)(1,2-bis(quinolin-2-ylmethylene)hydrazine)RuCl]PF6 (pCYRuL); [(η6-benzene)(1,2-bis(quinolin-2-ylmethylene)hydrazine)RuCl]PF6 (BzRuL); [(η6-hexamethylbenzene)(1,2-bis(quinolin-2-ylmethylene)hydrazine)RuCl]PF6 (HmbRuL). | PC-3 | The Ru complexes exhibit higher cytotoxicity compared to cisplatin, especially p-cymene-containing compounds. Among the tested cell lines (PC-3, A0287, MCF-7, PANC-1), pCYRuL complex has higher antitumor activity against PC-3 (IC50 = 0.71 μM), compared to cisplatin (IC50 = 31.3 μM), and it is non-toxic in normal human cell lines (HK2 and MCF10A). In PC-3, pCYRuL arrests the cell cycle in the G2/M phase. | [46,142] |
Disclaimer/Publisher’s Note: The statements, opinions and data contained in all publications are solely those of the individual author(s) and contributor(s) and not of MDPI and/or the editor(s). MDPI and/or the editor(s) disclaim responsibility for any injury to people or property resulting from any ideas, methods, instructions or products referred to in the content. |
© 2025 by the authors. Licensee MDPI, Basel, Switzerland. This article is an open access article distributed under the terms and conditions of the Creative Commons Attribution (CC BY) license (https://creativecommons.org/licenses/by/4.0/).
Share and Cite
Stefàno, E.; De Castro, F.; Ali, A.; Benedetti, M.; Fanizzi, F.P. The Role of Metallodrugs in Enhancing Neuroendocrine Neoplasm Therapies: The Promising Anticancer Potential of Ruthenium-Based Complexes. Molecules 2025, 30, 3828. https://doi.org/10.3390/molecules30183828
Stefàno E, De Castro F, Ali A, Benedetti M, Fanizzi FP. The Role of Metallodrugs in Enhancing Neuroendocrine Neoplasm Therapies: The Promising Anticancer Potential of Ruthenium-Based Complexes. Molecules. 2025; 30(18):3828. https://doi.org/10.3390/molecules30183828
Chicago/Turabian StyleStefàno, Erika, Federica De Castro, Asjad Ali, Michele Benedetti, and Francesco Paolo Fanizzi. 2025. "The Role of Metallodrugs in Enhancing Neuroendocrine Neoplasm Therapies: The Promising Anticancer Potential of Ruthenium-Based Complexes" Molecules 30, no. 18: 3828. https://doi.org/10.3390/molecules30183828
APA StyleStefàno, E., De Castro, F., Ali, A., Benedetti, M., & Fanizzi, F. P. (2025). The Role of Metallodrugs in Enhancing Neuroendocrine Neoplasm Therapies: The Promising Anticancer Potential of Ruthenium-Based Complexes. Molecules, 30(18), 3828. https://doi.org/10.3390/molecules30183828













