Phytochemistry, Pharmacological Potential, and Ethnomedicinal Relevance of Achillea nobilis and Its Subspecies: A Comprehensive Review
Abstract
1. Introduction
2. Methods
3. Distribution and Botanical Characterization
4. Uses of A. nobilis in Ethnomedicine
5. Phytochemistry
5.1. Phenolic Compounds
5.2. Terpenes and Derivatives
5.3. Other Biologically Active Compounds
6. Pharmacological Effects Studies on A. nobilis and Its Subspecies
7. Conclusions
Author Contributions
Funding
Institutional Review Board Statement
Informed Consent Statement
Data Availability Statement
Conflicts of Interest
References
- Abilkassymova, A.; Turgumbayeva, A.; Sarsenova, L.; Tastambek, K.; Altynbay, N.; Ziyaeva, G.; Blatov, R.; Altynbayeva, G.; Bekesheva, K.; Abdieva, G.; et al. Exploring Four Atraphaxis Species: Traditional Medicinal Uses, Phytochemistry, and Pharmacological Activities. Molecules 2024, 29, 910. [Google Scholar] [CrossRef] [PubMed]
- Shynykul, Z. Comparative Evaluation of Chemical Carbon Acid Extract of the Ordinary Harmala (Peganum harmala) in Central Asia Region. Asian J. Plant Sci. 2022, 21, 574–581. [Google Scholar] [CrossRef]
- Amirkhanova, S.A.; Ustenova, G.O.; Krauze, M.B.; Pobłocka, L.O.; Shynykul, S.Z. Thin-Layer Chromatography Analysis of Extract Oxytropis glabra Lam. DC. Int. Multidiscip. Sci. GeoConf. SGEM 2018, 18, 775–782. [Google Scholar]
- Barda, C.; Grafakou, M.-E.; Tomou, E.-M.; Skaltsa, H. Phytochemistry and Evidence-Based Traditional Uses of the Genus Achillea L.: An Update (2011–2021). Sci. Pharm. 2021, 89, 50. [Google Scholar] [CrossRef]
- Khalid, T.; Chang, C.W.; Ross, S.A.; Naseer, F.; Qadeer, A.; Chen, C.C.; Rafey, H.A. Traditional Uses, Botanical Description, Phytochemistry, and Pharmacological Activities of Phytolacca acinosa: A Review. Front. Pharmacol. 2025, 15, 1480034. [Google Scholar] [CrossRef]
- Maiyo, Z.C.; Njeru, S.N.; Toroitich, F.J.; Indieka, S.A.; Obonyo, M.A. Ethnobotanical Study of Medicinal Plants Used by the People of Mosop, Nandi County in Kenya. Front. Pharmacol. 2024, 14, 1328903. [Google Scholar] [CrossRef] [PubMed]
- Wang, L.; Chen, C. Emerging applications of metabolomics in studying chemopreventive phytochemicals. AAPS J. 2013, 15, 941–950. [Google Scholar] [CrossRef]
- Anand, U.; Jacobo-Herrera, N.; Altemimi, A.; Lakhssassi, N. A Comprehensive Review on Medicinal Plants as Antimicrobial Therapeutics: Potential Avenues of Biocompatible Drug Discovery. Metabolites 2019, 9, 258. [Google Scholar] [CrossRef]
- Chaachouay, N.; Zidane, L. Plant-Derived Natural Products: A Source for Drug Discovery and Development. Drugs Drug Candidates 2024, 3, 184–207. [Google Scholar] [CrossRef]
- Okigbo, R.N.; Anuagasi, C.L.; Amadi, J.E. Advances in selected medicinal and aromatic plants indigenous to Africa. J. Med. Plants Res. 2009, 3, 86–95. [Google Scholar]
- Gakuya, D.W.; Okumu, M.O.; Kiama, S.G.; Mbaria, J.M.; Gathumbi, P.K.; Mathiu, P.M.; Nguta, J.M. Traditional Medicine in Kenya: Past and Current Status, Challenges, and the Way Forward. Sci. Afr. 2020, 8, e00360. [Google Scholar] [CrossRef]
- Si, X.T.; Zhang, M.L.; Shi, Q.W.; Kiyota, H. Chemical Constituents of the Plants in the Genus Achillea. Chem. Biodivers. 2006, 3, 1163–1180. [Google Scholar] [CrossRef] [PubMed]
- Nickavar, B.; Kamalinejad, M.; Haj-Yahya, M.; Shafaghi, B. Comparison of the Free Radical Scavenging Activity of Six Iranian Achillea Species. Pharm. Biol. 2006, 44, 208–212. [Google Scholar] [CrossRef]
- Kishkentayeva, A.S.; Mantler, S.N.; Zhakanov, M.M.; Adekenov, S.M. Biologically Active Substances from Achillea nobilis L. Vestn. Karagand. Univ. Ser. Khim. 2020, 4, 52–59. (In Russian) [Google Scholar]
- Karaalp, C.; Yurtman, A.N.; Karabay Yavasoglu, N.U. Evaluation of Antimicrobial Properties of Achillea L. Flower Head Extracts. Pharm. Biol. 2009, 47, 86–91. [Google Scholar] [CrossRef]
- Bulut, G.; Tuzlacı, E. Folk Medicinal Plants of Bayramiç (Çanakkale-Turkey). J. Fac. Pharm. Istanb. Univ. 2009, 40, 87–99. [Google Scholar]
- Karunamoorthi, K.; Husen, E. Knowledge and self-reported practice of the local inhabitants on traditional insect repellent plants in Western Hararghe zone, Ethiopia. J. Ethnopharmacol. 2012, 141, 212–219. [Google Scholar] [CrossRef]
- Solomko, O.V.; Dzhumyrko, S.F.; Kompantsev, V.A. Flavonoids of Achillea nobilis. Chem. Nat. Compd. 1978, 14, 224. [Google Scholar] [CrossRef]
- Adekenov, S.M.; Mukhametzhanov, M.N.; Kagarlitskii, A.D.; Turmukhambetov, A.Z. A chemical investigation of Achillea nobilis. Chem. Nat. Compd. 1984, 20, 568–571. [Google Scholar] [CrossRef]
- Valant-Vetschera, K.M. Flavonoid glycoside accumulation trends of Achillea nobilis L. and related species. Biochem. Syst. Ecol. 1988, 15, 45–52. [Google Scholar] [CrossRef]
- Trudybekov, K.M.; Turmukhambetov, A.Z.; Adekenov, S.M.; Struchkov, Y.T. Anolide—A new guaianolide from Achillea nobilis. Chem. Nat. Compd. 1994, 30, 460–463. [Google Scholar] [CrossRef]
- Kastner, U.; Breuer, J.; Glasl, S.; Baumann, A.; Robien, W.; Jurenitsch, J.; Kubelka, W. Guaianolide-Endoperoxide and Monoterpene-Hydroperoxides from Achillea nobilis. Planta Medica 1995, 61, 83–85. [Google Scholar] [CrossRef] [PubMed]
- Turmukhambetov, A.Z.; Buketova, G.K.; Gafurov, N.M.; Adekenov, S.M. Chrysartemin a and canin from Achillea nobilis. Chem. Nat. Compd. 1999, 35, 102. [Google Scholar] [CrossRef]
- Krenn, L.; Miron, A.; Pemp, E.; Petr, U.; Kopp, B. Flavonoids from Achillea nobilis L. Z. Naturforsch. C J. Biosci. 2003, 58, 11–16. [Google Scholar] [CrossRef]
- Palić, R.; Stojanović, G.; Nasković, T.; Ranelović, N. Composition and Antibacterial Activity of Achillea crithmifolia and Achillea nobilis Essential Oils. J. Essent. Oil Res. 2003, 15, 434–437. [Google Scholar] [CrossRef]
- Karamenderes, C.; Karabay Yavasoglu, N.U.; Zeybek, U. Composition and antimicrobial activity of the essential oils of Achillea nobilis L. subsp. sipylea and subsp. neilreichii. Chem. Nat. Compd. 2007, 43, 632–634. [Google Scholar] [CrossRef]
- Ghani, A.; Azizi, M.; Hassanzadeh-Khayyat, M.; Pahlavanpour, A.A. Essential Oil Composition of Achillea eriophora, A. nobilis, A. biebersteinii and A. wilhelmsii from Iran. J. Essent. Oil Bear. Plants 2008, 11, 460–467. [Google Scholar] [CrossRef]
- Demirci, F.; Guven, K.; Demirci, B.; Dadalioglu, I.; Baser, K.H.C. Characterization and biological activity of Achillea teretifolia Willd. and A. nobilis L. subsp. neilreichii (Kerner) Formanek essential oils. Turk. J. Biol. 2009, 33, 129–136. [Google Scholar]
- Serkerov, S.V.; Mustafaeva, S.J. Detection of acetyleucanbin in Achillea nobilis. Chem. Nat. Compd. 2010, 46, 666. [Google Scholar] [CrossRef]
- Azizi, M.; Chizzola, R.; Ghani, A.; Oroojalian, F. Composition at different development stages of the essential oil of four Achillea species grown in Iran. Nat. Prod. Commun. 2010, 5, 1934578X1000500224. [Google Scholar] [CrossRef]
- Rustaiyan, A.; Masoudi, S.; Ezatpour, L.; Danaii, E.; Taherkhani, M.; Aghajani, Z. Composition of the essential oils of Anthemis hyalina DC., Achillea nobilis L., and Cichorium intybus L.—Three Asteraceae herbs growing wild in Iran. J. Essent. Oil Bear. Plants 2011, 14, 472–480. [Google Scholar] [CrossRef]
- Kazemizadeh, Z.; Moradi, A.; Yousefi, M. Volatile constituents from leaf and flower of Achillea nobilis L. subsp. neilreichii from North of Iran. J. Med. Plants 2011, 10, 156–162. [Google Scholar]
- Taşkın, D.; Taşkın, T.; Rayaman, E. Phenolic composition and biological properties of Achillea nobilis L. subsp. neilreichii (Kerner) Formanek. Ind. Crops Prod. 2018, 111, 555–562. [Google Scholar] [CrossRef]
- Ozdemir, F.A. Potential effects of essential oil compositions on antibacterial activities of Achillea nobilis L. subsp. neilreichii. J. Essent. Oil Bear. Plants 2019, 22, 574–580. [Google Scholar] [CrossRef]
- Jangjoo, M.; Joshaghani, A.; Tahernejadgatabi, F. The Role of Achillea millefolium in Traditional Medicine: A Review of Its Use in Different Cultures. J. Multidiscip. Care 2023, 12, 152–156. [Google Scholar] [CrossRef]
- Stevens, P.F. Angiosperm Phylogeny Website. Version 14, July 2017 [and More or Less Continuously Updated Since]. Available online: http://www.mobot.org/MOBOT/research/APweb/ (accessed on 17 April 2025).
- Saeidnia, S.; Gohari, A.R.; Mokhber-Dezfuli, N.; Kiuchi, F. A Review on Phytochemistry and Medicinal Properties of the Genus Achillea. DARU J. Pharm. Sci. 2011, 19, 173–186. [Google Scholar]
- Oberprieler, C.; Himmelreich, S.; Vogt, R. A new subtribal classification of the tribe Anthemideae (Compositae). Willdenowia 2007, 37, 89–114. [Google Scholar] [CrossRef]
- Rechinger, K.H. Flora Iranica. Compositae II. Anthemideae; Akademische Druck- und Verlagsanstalt: Graz, Austria, 1965; Volume 158. [Google Scholar]
- Khatun, M.A.; Reza, M.A.; Rahman, M.S. Achillea Species: A Comprehensive Review on Its Ethnopharmacology, Phytochemistry, and Pharmacological Properties. Pharmacogn. Rev. 2016, 10, 148–156. [Google Scholar] [CrossRef]
- USDA; NRCS. The PLANTS Database; National Plant Data Team: Greensboro, NC, USA. Available online: http://plants.usda.gov (accessed on 17 April 2025).
- Salehi, B.; Venditti, A.; Sharifi-Rad, M.; Kręgiel, D.; Sharifi-Rad, J. The Therapeutic Potential of Apigenin. Int. J. Mol. Sci. 2019, 20, 1305. [Google Scholar] [CrossRef]
- Shukla, S.; Gupta, S. Apigenin: A Promising Molecule for Cancer Prevention. Pharm. Res. 2010, 27, 962–978. [Google Scholar] [CrossRef]
- Nabavi, S.F.; Habtemariam, S.; Daglia, M.; Nabavi, S.M. Apigenin and Breast Cancers: From Chemistry to Medicine. Anticancer Agents Med. Chem. 2015, 15, 728–735. [Google Scholar] [CrossRef] [PubMed]
- Ninfali, P.; Angelino, D. Nutritional and Biological Value of Vegetables. In Functional Foods; Springer: New York, NY, USA, 2014; pp. 329–338. [Google Scholar]
- Seelinger, G.; Merfort, I.; Schempp, C.M. Anti-Oxidant, Anti-Inflammatory and Anti-Allergic Activities of Luteolin. Planta Med. 2008, 74, 1667–1677. [Google Scholar] [CrossRef] [PubMed]
- Lin, Y.S.; Tsai, Y.J.; Tsay, J.S.; Lin, J.K. Factors Affecting the Levels of Tea Polyphenols and Caffeine in Tea Leaves. J. Agric. Food Chem. 2003, 51, 1864–1873. [Google Scholar] [CrossRef] [PubMed]
- Aziz, N.; Kim, M.Y.; Cho, J.Y. Anti-Inflammatory Effects of Luteolin: A Review of in Vitro, in Vivo, and in Silico Studies. J. Ethnopharmacol. 2018, 225, 342–358. [Google Scholar] [CrossRef]
- Nabavi, S.F.; Nabavi, S.M.; Eslami, S.; Moghaddam, A.H. In Vivo Protective Effects of Luteolin Against Sodium Fluoride-Induced Oxidative Stress in Rat Heart. Food Chem. Toxicol. 2012, 50, 3562–3566. [Google Scholar] [CrossRef]
- Seca, A.M.L.; Pinto, D.C.G.A. Plant Secondary Metabolites as Anticancer Agents: Successes in Clinical Trials and Therapeutic Application. Int. J. Mol. Sci. 2018, 19, 263. [Google Scholar] [CrossRef]
- Singh, B.; Sharma, R.A. Plant terpenes: Defense responses, phylogenetic analysis, regulation and clinical applications. 3 Biotech 2015, 5, 129–151. [Google Scholar] [CrossRef] [PubMed]
- Rodríguez, E.; Towers, G.H.N.; Mitchell, J.C. Biological activities of sesquiterpene lactones. Phytochemistry 1976, 15, 1573–1580. [Google Scholar] [CrossRef]
- Ferreira, D.; Slade, D.; Marais, J.P. Flavonoids and Related Compounds: Bioavailability and Function. In Natural Products as Source of Molecules with Therapeutic Potential; Springer: Cham, Switzerland, 2018; pp. 411–448. [Google Scholar]
- Panche, A.N.; Diwan, A.D.; Chandra, S.R. Flavonoids: An overview. J. Nutr. Sci. 2016, 5, e47. [Google Scholar] [CrossRef]
- Miguel, M.G. Antioxidant and anti-inflammatory activities of essential oils: A short review. Molecules 2010, 15, 9252–9287. [Google Scholar] [CrossRef]
- Dabeek, W.M.; Marra, M.V. Dietary quercetin and kaempferol: Bioavailability and potential cardiovascular-related bioactivity in humans. Nutrients 2019, 11, 2288. [Google Scholar] [CrossRef] [PubMed]
- Bulgari, R.; Franzoni, G.; Ferrante, A. Biological, physiological, and molecular differences in the production of secondary metabolites in plant organs. Plants 2022, 11, 1234. [Google Scholar] [CrossRef]
- Liang, J.-L.; Jin, X.-K.; Deng, X.-C.; Huang, Q.-X.; Zhang, S.-M.; Chen, W.-H.; Zhang, X.-Z. Targeting activation of cGAS-STING signaling pathway by engineered biomaterials for enhancing cancer immunotherapy. Mater. Today 2024, 78, 251–296. [Google Scholar] [CrossRef]
- Shahidi, F.; Ambigaipalan, P. Phenolics and polyphenolics in foods, beverages and spices: Antioxidant activity and health effects—A review. J. Funct. Foods 2015, 18, 820–897. [Google Scholar] [CrossRef]
- Pandey, K.B.; Rizvi, S.I. Plant polyphenols as dietary antioxidants in human health and disease. Oxid. Med. Cell. Longev. 2009, 2, 270–278. [Google Scholar] [CrossRef]
- D’Archivio, M.; Filesi, C.; Vari, R.; Scazzocchio, B.; Masella, R. Bioavailability of the polyphenols: Status and controversies. Int. J. Mol. Sci. 2010, 11, 1321–1342. [Google Scholar] [CrossRef]
- Cazarolli, L.H.; Zanatta, L.; Alberton, E.H.; Figueiredo, M.S.R.B.; Folador, P.; Damazio, R.G.; Pizzolatti, M.G.; Silva, F.R.M.B. Flavonoids: Prospective Drug Candidates. Mini Rev. Med. Chem. 2008, 8, 1429–1440. [Google Scholar] [CrossRef]
- Kumar, S.; Pandey, A.K. Chemistry and biological activities of flavonoids: An overview. ScientificWorldJournal 2013, 2013, 162750. [Google Scholar] [CrossRef]
- Zhang, S.; Li, L.; Chen, W.; Xu, S.; Feng, X.; Zhang, L. Natural products: The role and mechanism in low-density lipoprotein oxidation and atherosclerosis. Phytother. Res. 2021, 35, 2945–2967. [Google Scholar] [CrossRef]
- Isla, M.I.; Anesini, C.; Ferraro, G.E.; Bongiovanni, G.A.; Coussio, J.D. Apigenin-7-glucuronide from Urera aurantiaca: Anti-inflammatory Activity in LPS-Stimulated Macrophages. Evid.-Based Complement. Altern. Med. 2011, 2011, 537393. [Google Scholar] [CrossRef]
- Zhang, X.; Li, Y.; Wang, J.; Xu, Z.; Wang, W.; Luo, Y.; Li, D. Cynaroside Alleviates Depression by Inhibiting M1 Polarization of Microglia and Ferroptosis via IRF1/SLC7A11/GPX4 Pathway. J. Ethnopharmacol. 2023, 316, 116347. [Google Scholar] [CrossRef]
- Zangeneh, M.M.; Fazeli-Nasab, B.; Zangeneh, A.; Moradi, R.; Amirian, H.; Kord, M. Biological and Pharmacological Properties of Cynaroside: A Comprehensive Review. Biomed. Pharmacother. 2022, 153, 113427. [Google Scholar] [CrossRef]
- Han, J.H.; Lee, E.J.; Park, W.; Choi, J.G.; Ha, K.T.; Chung, H.S. Cosmosiin Induces Apoptosis in Colorectal Cancer by Inhibiting PD-L1 Expression and Inducing ROS. Antioxidants 2023, 12, 2131. [Google Scholar] [CrossRef]
- Wang, D.; Zhang, J.; Yin, H.; Yan, R.; Wang, Z.; Deng, J.; Li, G.; Pan, Y. The Anti-Tumor Effects of Cosmosiin through Regulating AhR/CYP1A1-PPARγ in Breast Cancer. FASEB J. 2024, 38, e70002. [Google Scholar] [CrossRef]
- Min, Z.; Tang, Y.; Hu, X.T.; Zhu, B.L.; Ma, Y.L.; Zha, J.S.; Deng, X.J.; Yan, Z.; Chen, G.J. Cosmosiin Increases ADAM10 Expression via Mechanisms Involving 5′UTR and PI3K Signaling. Front. Mol. Neurosci. 2018, 11, 198. [Google Scholar] [CrossRef]
- Cartwright, B.M.; Corso, J.N.; Lightner, J.; Whitted, C.; Torrenegra, R.D.; Krishnan, K.; Palau, V.E. Achyrocline B (3,5-Dihydroxy-6,7,8-Trimethoxyflavone) Synergizes with 5-Fluorouracil Allowing for Dose Reduction and Reduced Off-Target Toxicity in the Treatment of Colonic and Pancreatic Cancers. Biomed. Pharmacother. 2023, 167, 115546. [Google Scholar] [CrossRef]
- Mustapha, M.; Mat Taib, C.N. Beneficial Role of Vitexin in Parkinson’s Disease. Malays. J. Med. Sci. 2023, 30, 8–25. [Google Scholar] [CrossRef] [PubMed]
- Fan, Y.; Chen, Z.; Wang, H.; Jiang, M.; Lu, H.; Wei, Y.; Hu, Y.; Mo, L.; Liu, Y.; Zhou, C.; et al. Isovitexin Targets SIRT3 to Prevent Steroid-Induced Osteonecrosis of the Femoral Head by Modulating Mitophagy-Mediated Ferroptosis. Bone Res. 2025, 13, 18. [Google Scholar] [CrossRef]
- Bhardwaj, G.; Vakani, M.; Srivastava, A.; Patel, D.; Pappachan, A.; Murumkar, P.; Shah, H.; Shah, R.; Gupta, S. Swertisin, a Novel SGLT2 Inhibitor, with Improved Glucose Homeostasis for Effective Diabetes Therapy. Arch. Biochem. Biophys. 2021, 710, 108995. [Google Scholar] [CrossRef]
- Chlebda, E.; Magdalan, J.; Merwid-Ląd, A.; Trocha, M.; Kopacz, M.; Kuźniar, A.; Nowak, D.; Szeląg, A. Influence of water-soluble flavonoids, quercetin-5′-sulfonic acid sodium salt and morin-5′-sulfonic acid sodium salt, on antioxidant parameters in the subacute cadmium intoxication mouse model. Exp. Toxicol. Pathol. 2010, 62, 105–108. [Google Scholar] [CrossRef]
- Ziqubu, K.; Dludla, P.V.; Joubert, E.; Muller, C.J.F.; Louw, J.; Tiano, L.; Nkambule, B.B.; Kappo, A.P.; Mazibuko-Mbeje, S.E. Isoorientin: A Dietary Flavone with the Potential to Ameliorate Diverse Metabolic Complications. Pharmacol. Res. 2020, 158, 104867. [Google Scholar] [CrossRef] [PubMed]
- Moon, K.M.; Lee, B.; Cho, W.K.; Lee, B.S.; Kim, C.Y.; Ma, J.Y. Swertiajaponin as an Anti-Browning and Antioxidant Flavonoid. Food Chem. 2018, 252, 207–214. [Google Scholar] [CrossRef] [PubMed]
- Zhu, J.; Ding, H.; Zhong, L.; Xin, W.; Yi, X.; Fang, L. Spectrum-Effect Relationship-Based Strategy Combined with Molecular Docking to Explore Bioactive Flavonoids from Sceptridium ternatum. Molecules 2022, 27, 5698. [Google Scholar] [CrossRef] [PubMed]
- Papapetrou, P.; Dimitriadis, K.; Galani, V.; Zoi, V.; Giannakopoulou, M.; Papathanasopoulou, V.A.; Sioka, C.; Tsekeris, P.; Kyritsis, A.P.; Lazari, D.; et al. Antitumor Activity of 5-Hydroxy-3′,4′,6,7-Tetramethoxyflavone in Glioblastoma Cell Lines and Its Antagonism with Radiotherapy. Biomol. Concepts 2024, 15, 1. [Google Scholar] [CrossRef]
- Su, Y.; Kang, Y.; Yi, J.; Lin, Q.; Zhang, C.; Lin, Z.; Yan, Z.; Qu, J.; Liu, J. Isoschaftoside Reverses Nonalcoholic Fatty Liver Disease via Activating Autophagy In Vivo and In Vitro. Evid.-Based Complement. Altern. Med. 2022, 2022, 2122563. [Google Scholar] [CrossRef]
- Guan, S.; Sun, L.; Wang, X.; Huang, X.; Luo, T. Isoschaftoside Inhibits Lipopolysaccharide-Induced Inflammation in Microglia through Regulation of HIF-1α-Mediated Metabolic Reprogramming. Evid.-Based Complement. Altern. Med. 2022, 2022, 5227335. [Google Scholar] [CrossRef]
- Zhao, S.; Jiang, Y.; Zhao, J.; Li, H.; Yin, X.; Wang, Y.; Xie, Y.; Chen, X.; Lu, J.; Dong, Z.; et al. Quercetin-3-Methyl Ether Inhibits Esophageal Carcinogenesis by Targeting the AKT/mTOR/p70S6K and MAPK Pathways. Mol. Carcinog. 2018, 57, 1540–1552. [Google Scholar] [CrossRef]
- Li, J.; Zhu, F.; Lubet, R.A.; De Luca, A.; Grubbs, C.; Ericson, M.E.; D’Alessio, A.; Normanno, N.; Dong, Z.; Bode, A.M. Quercetin-3-Methyl Ether Inhibits Lapatinib-Sensitive and -Resistant Breast Cancer Cell Growth by Inducing G2/M Arrest and Apoptosis. Mol. Carcinog. 2013, 52, 134–143. [Google Scholar] [CrossRef]
- Tseng, H.L.; Li, C.J.; Huang, L.H.; Chen, C.Y.; Tsai, C.H.; Lin, C.N.; Hsu, H.Y. Quercetin 3-O-Methyl Ether Protects FL83B Cells from Copper Induced Oxidative Stress through the PI3K/Akt and MAPK/Erk Pathway. Toxicol. Appl. Pharmacol. 2012, 264, 104–113. [Google Scholar] [CrossRef]
- De Stefano, A.; Caporali, S.; Di Daniele, N.; Rovella, V.; Cardillo, C.; Schinzari, F.; Minieri, M.; Pieri, M.; Candi, E.; Bernardini, S.; et al. Anti-Inflammatory and Proliferative Properties of Luteolin-7-O-Glucoside. Int. J. Mol. Sci. 2021, 22, 1321. [Google Scholar] [CrossRef]
- Imran, M.; Rauf, A.; Abu-Izneid, T.; Nadeem, M.; Shariati, M.A.; Khan, I.A.; Imran, A.; Orhan, I.E.; Rizwan, M.; Atif, M.; et al. Luteolin, a Flavonoid, as an Anticancer Agent: A Review. Biomed. Pharmacother. 2019, 112, 108612. [Google Scholar] [CrossRef]
- Kim, J.Y.; Cho, J.Y.; Ma, Y.K.; Park, K.Y.; Lee, S.H.; Ham, K.S.; Moon, J.H. Dicaffeoylquinic Acid Derivatives and Flavonoid Glucosides from Glasswort (Salicornia herbacea L.) and Their Antioxidative Activity. Food Chem. 2011, 125, 55–62. [Google Scholar] [CrossRef]
- Naveed, M.; Hejazi, V.; Abbas, M.; Kamboh, A.A.; Khan, G.J.; Shumzaid, M.; Ahmad, F.; Babazadeh, D.; FangFang, X.; Modarresi-Ghazani, F.; et al. Chlorogenic Acid (CGA): A Pharmacological Review and Call for Further Research. Biomed. Pharmacother. 2018, 97, 67–74. [Google Scholar] [CrossRef] [PubMed]
- Hu, W.; Wang, X.; Wu, L.; Shen, T.; Ji, L.; Zhao, X.; Si, C.L.; Jiang, Y.; Wang, G. Apigenin-7-O-β-D-glucuronide Inhibits LPS-Induced Inflammation through the Inactivation of AP-1 and MAPK Signaling Pathways in RAW 264.7 Macrophages and Protects Mice against Endotoxin Shock. Food Funct. 2016, 7, 1002–1013. [Google Scholar] [CrossRef] [PubMed]
- Park, C.M.; Song, Y.S. Luteolin and Luteolin-7-O-Glucoside Inhibit Lipopolysaccharide-Induced Inflammatory Responses through Modulation of NF-κB/AP-1/PI3K-Akt Signaling Cascades in RAW 264.7 Cells. Nutr. Res. Pract. 2013, 7, 423–429. [Google Scholar] [CrossRef]
- Chen, S.-M.; Wang, M.-H.; Chang, K.-C.; Fang, C.-H.; Lin, Y.-W.; Tseng, H.-C. Vitexin Mitigates Haloperidol-Induced Orofacial Dyskinesia in Rats through Activation of the Nrf2 Pathway. Int. J. Mol. Sci. 2024, 25, 10206. [Google Scholar] [CrossRef]
- Rahman, A.; Al-Reza, S.; Kang, S. Antifungal activity of essential oil and extracts of Piper chaba Hunter against phytopathogenic fungi. J. Am. Oil Chem. Soc. 2011, 88, 573–579. [Google Scholar] [CrossRef]
- Kozłowska, A. Clinical Insights into Non-Alcoholic Fatty Liver Disease and the Therapeutic Potential of Flavonoids: An Update. Nutrients 2025, 17, 956. [Google Scholar] [CrossRef]
- Simionatto, E.; Porto, C.; Dalcol, I.I.; da Silva, U.F.; Morel, A.F. Essential oil from Zanthoxylum hyemale. Planta Med. 2005, 71, 759–763. [Google Scholar] [CrossRef]
- Koudou, J.; Abena, A.A.; Ngaissona, P.; Bessière, J.M. Chemical composition and pharmacological activity of essential oil of Canarium schweinfurthii. Fitoterapia 2005, 76, 700–703. [Google Scholar] [CrossRef]
- Wu, J.Y.; Chen, Y.J.; Bai, L.; Liu, Y.X.; Fu, X.Q.; Zhu, P.L.; Li, J.K.; Chou, J.Y.; Yin, C.L.; Wang, Y.P.; et al. Chrysoeriol Ameliorates TPA-Induced Acute Skin Inflammation in Mice and Inhibits NF-κB and STAT3 Pathways. Phytomedicine 2020, 68, 153173. [Google Scholar] [CrossRef] [PubMed]
- Orav, A. Identification of terpenes by gas chromatography-mass spectrometry. In Current Practice of Gas Chromatography-Mass Spectrometry; Marcel Dekker, Inc.: New York, NY, USA, 2001; pp. 483–494. [Google Scholar]
- Gharras, H. Tricin as an anticancer agent: Potential and mechanisms. Int. J. Mol. Sci. 2019, 20, 3966. [Google Scholar]
- Cheng, A.-X.; Lou, Y.-G.; Mao, Y.-B.; Lu, S.; Wang, L.-J.; Chen, X.-Y. Plant terpenoids: Biosynthesis and ecological functions. J. Integr. Plant Biol. 2007, 49, 179–186. [Google Scholar] [CrossRef]
- Pontin, M.; Bottini, R.; Burba, J.L.; Piccoli, P. Allium sativum produces terpenes with fungistatic properties in response to infection with Sclerotium cepivorum. Phytochemistry 2015, 115, 152–160. [Google Scholar] [CrossRef]
- Solá, R.J.; Griebenow, K. Effects of Glycosylation on the Stability of Protein Pharmaceuticals. J. Pharm. Sci. 2009, 98, 1223–1245. [Google Scholar] [CrossRef]
- Hollman, P.C. Bioavailability of Flavonoids. Eur. J. Clin. Nutr. 1997, 51 (Suppl. S1), S66–S69. [Google Scholar] [PubMed]
- Hu, L.; Luo, Y.; Yang, J.; Cheng, C. Botanical Flavonoids: Efficacy, Absorption, Metabolism and Advanced Pharmaceutical Technology for Improving Bioavailability. Molecules 2025, 30, 1184. [Google Scholar] [CrossRef]
- Ahn, J.H.; Song, E.J.; Jung, D.H.; Kim, Y.J.; Seo, I.S.; Park, S.C.; Jung, Y.S.; Cho, E.S.; Mo, S.H.; Hong, J.J.; et al. The Sesquiterpene Lactone Estafiatin Exerts Anti-Inflammatory Effects on Macrophages and Protects Mice from Sepsis Induced by LPS and Cecal Ligation Puncture. Phytomedicine 2022, 99, 153934. [Google Scholar] [CrossRef]
- Ryu, Y.; Lee, D.; Jung, S.H.; Lee, K.J.; Jin, H.; Kim, S.J.; Lee, H.M.; Kim, B.; Won, K.J. Sabinene Prevents Skeletal Muscle Atrophy by Inhibiting the MAPK-MuRF-1 Pathway in Rats. Int. J. Mol. Sci. 2019, 20, 4955. [Google Scholar] [CrossRef]
- Sousa, L.G.V.; Castro, J.; Cavaleiro, C.; Salgueiro, L.; Tomás, M.; Palmeira-Oliveira, R.; Martinez-Oliveira, J.; Cerca, N. Synergistic Effects of Carvacrol, α-Terpinene, γ-Terpinene, ρ-Cymene and Linalool against Gardnerella Species. Sci. Rep. 2022, 12, 4417. [Google Scholar] [CrossRef]
- Cai, Z.M.; Peng, J.Q.; Chen, Y.; Tao, L.; Zhang, Y.Y.; Fu, L.Y.; Long, Q.D.; Shen, X.C. 1,8-Cineole: A Review of Source, Biological Activities, and Application. J. Asian Nat. Prod. Res. 2021, 23, 938–954. [Google Scholar] [CrossRef] [PubMed]
- Sokolova, A.S.; Kovaleva, K.S.; Yarovaya, O.I.; Bormotov, N.I.; Shishkina, L.N.; Serova, O.A.; Sergeev, A.A.; Agafonov, A.P.; Maksuytov, R.A.; Salakhutdinov, N.F. (+)-Camphor and (−)-Borneol Derivatives as Potential Anti-Orthopoxvirus Agents. Arch. Pharm. 2021, 354, e2100038. [Google Scholar] [CrossRef] [PubMed]
- Cordeiro, L.; Figueiredo, P.; Souza, H.; Sousa, A.; Andrade-Júnior, F.; Medeiros, D.; Nóbrega, J.; Silva, D.; Martins, E.; Barbosa-Filho, J.; et al. Terpinen-4-ol as an Antibacterial and Antibiofilm Agent against Staphylococcus aureus. Int. J. Mol. Sci. 2020, 21, 4531. [Google Scholar] [CrossRef]
- Jin, J.S.; Chou, J.M.; Tsai, W.C.; Chen, Y.C.; Chen, Y.; Ong, J.R.; Tsai, Y.L. Effectively α-Terpineol Suppresses Glioblastoma Aggressive Behavior and Downregulates KDELC2 Expression. Phytomedicine 2024, 127, 155471. [Google Scholar] [CrossRef]
- Dragomanova, S.; Andonova, V.; Volcho, K.; Salakhutdinov, N.; Kalfin, R.; Tancheva, L. Therapeutic Potential of Myrtenal and Its Derivatives—A Review. Life 2023, 13, 2086. [Google Scholar] [CrossRef]
- Mrabti, H.N.; Jaouadi, I.; Zeouk, I.; Ghchime, R.; El Menyiy, N.; Omari, N.E.; Balahbib, A.; Al-Mijalli, S.H.; Abdallah, E.M.; El-Shazly, M.; et al. Biological and Pharmacological Properties of Myrtenol: A Review. Curr. Pharm. Des. 2023, 29, 407–414. [Google Scholar] [CrossRef]
- Duraisamy, K.; Leelavinothan, P.; Ellappan, P.; Balaji, T.D.S.; Rajagopal, P.; Jayaraman, S.; Babu, S. Cuminaldehyde Ameliorates Hyperglycemia in Diabetic Mice. Front. Biosci. 2022, 14, 24. [Google Scholar] [CrossRef]
- Pina, L.T.S.; Serafini, M.R.; Oliveira, M.A.; Sampaio, L.A.; Guimarães, J.O.; Guimarães, A.G. Carvone and Its Pharmacological Activities: A Systematic Review. Phytochemistry 2022, 196, 113080. [Google Scholar] [CrossRef] [PubMed]
- Zhao, Z.J.; Sun, Y.L.; Ruan, X.F. Bornyl Acetate: A Promising Agent in Phytomedicine for Inflammation and Immune Modulation. Phytomedicine 2023, 114, 154781. [Google Scholar] [CrossRef]
- Salehi, B.; Mishra, A.P.; Shukla, I.; Sharifi-Rad, M.; Contreras, M.D.M.; Segura-Carretero, A.; Fathi, H.; Nasrabadi, N.N.; Kobarfard, F.; Sharifi-Rad, J. Thymol, Thyme, and Other Plant Sources: Health and Potential Uses. Phytother. Res. 2018, 32, 1688–1706. [Google Scholar] [CrossRef]
- Ulanowska, M.; Olas, B. Biological Properties and Prospects for the Application of Eugenol—A Review. Int. J. Mol. Sci. 2021, 22, 3671. [Google Scholar] [CrossRef] [PubMed]
- Fidyt, K.; Fiedorowicz, A.; Strządała, L.; Szumny, A. β-Caryophyllene and β-Caryophyllene Oxide—Natural Compounds of Anticancer and Analgesic Properties. Cancer Med. 2016, 5, 3007–3017. [Google Scholar] [CrossRef] [PubMed]
- Hui, L.M.; Zhao, G.D.; Zhao, J.J. δ-Cadinene Inhibits the Growth of Ovarian Cancer Cells via Caspase-Dependent Apoptosis and Cell Cycle Arrest. Int. J. Clin. Exp. Pathol. 2015, 8, 6046–6056. [Google Scholar] [PubMed]
- Akiel, M.A.; Alshehri, O.Y.; Aljihani, S.A.; Almuaysib, A.; Bader, A.; Al-Asmari, A.I.; Alamri, H.S.; Alrfaei, B.M.; Halwani, M.A. Viridiflorol Induces Anti-Neoplastic Effects on Breast, Lung, and Brain Cancer Cells through Apoptosis. Saudi J. Biol. Sci. 2022, 29, 816–821. [Google Scholar] [CrossRef]
- Lee, H.S.; Lee, J.; Smolensky, D.; Lee, S.H. Potential Benefits of Patchouli Alcohol in Prevention of Human Diseases: A Mechanistic Review. Int. Immunopharmacol. 2020, 89, 107056. [Google Scholar] [CrossRef]
- Abe, M.; Asada, N.; Kimura, M.; Fukui, C.; Yamada, D.; Wang, Z.; Miyake, M.; Takarada, T.; Ono, M.; Aoe, M.; et al. Antitumor Activity of α-Pinene in T-Cell Tumors. Cancer Sci. 2024, 115, 1317–1332. [Google Scholar] [CrossRef]
- Salehi, B.; Upadhyay, S.; Erdogan Orhan, I.; Kumar Jugran, A.; Jayaweera, S.L.D.; Dias, A.D.; Sharopov, F.; Taheri, Y.; Martins, N.; Baghalpour, N.; et al. Therapeutic Potential of α- and β-Pinene: A Miracle Gift of Nature. Biomolecules 2019, 9, 738. [Google Scholar] [CrossRef]
- Surendran, S.; Qassadi, F.; Surendran, G.; Lilley, D.; Heinrich, M. Myrcene—What Are the Potential Health Benefits of This Flavouring and Aroma Agent? Front. Nutr. 2021, 8, 699666. [Google Scholar] [CrossRef]
- Anandakumar, P.; Kamaraj, S.; Vanitha, M.K. D-Limonene: A Multifunctional Compound with Potent Therapeutic Effects. J. Food Biochem. 2021, 45, e13566. [Google Scholar] [CrossRef]
- Peana, A.T.; D’Aquila, P.S.; Panin, F.; Serra, G.; Pippia, P.; Moretti, M.D. Anti-inflammatory activity of linalool and linalyl acetate constituents of essential oils. Phytomedicine 2002, 9, 721–726. [Google Scholar] [CrossRef]
- Zunino, M.P.; Zygadlo, J.A. Effect of monoterpenes on lipid peroxidation and liver damage in mice. Planta Med. 2004, 70, 1038–1040. [Google Scholar] [CrossRef]
- Bassolé, I.H.N.; Juliani, H.R. Essential oils in combination and their antimicrobial properties. Molecules 2012, 17, 3989–4006. [Google Scholar] [CrossRef] [PubMed]
- Mulyaningsih, S.; Sporer, F.; Reichling, J.; Wink, M. Antibacterial activity of essential oils from Eucalyptus and other Myrtaceae against multidrug-resistant Acinetobacter baumannii. Phytomedicine 2011, 18, 173–179. [Google Scholar] [CrossRef]
- Höferl, M.; Krist, S.; Buchbauer, G. Chirality influences the effects of linalool on physiological parameters of stress. Planta Med. 2006, 72, 1188–1192. [Google Scholar] [CrossRef]
- Takaki, I.; Bersani-Amado, L.E.; Vendruscolo, A.; Sartoretto, S.M.; Diniz, S.P.S.; Bersani-Amado, C.A.; Cuman, R.K.N. Anti-inflammatory and antinociceptive effects of eugenol essential oil in experimental animal models. Braz. J. Pharm. Sci. 2008, 44, 109–117. [Google Scholar]
- Ali, B.; Al-Wabel, N.A.; Shams, S.; Ahamad, A.; Khan, S.A.; Anwar, F. Essential oils used in aromatherapy: A systemic review. Asian Pac. J. Trop. Biomed. 2015, 5, 601–611. [Google Scholar] [CrossRef]
- Kamatou, G.P.; Viljoen, A.M. A review of the application and pharmacological properties of α- and β-chrysanthenyl derivatives. Molecules 2010, 15, 5408–5433. [Google Scholar] [CrossRef]
- Ghelardini, C.; Galeotti, N.; Salvatore, G.; Mazzanti, G. Local anesthetic activity of essential oils. Planta Med. 2001, 67, 564–566. [Google Scholar] [CrossRef]
- Chen, W.; Vermaak, I.; Viljoen, A.M. Camphor—A fumigant during the Black Death and a coveted fragrant wood in ancient Egypt and Babylon—A review. Molecules 2013, 18, 5434–5454. [Google Scholar] [CrossRef]
- Ambrož, M.; Boušová, I.; Skarka, A.; Hanušová, V.; Králová, V.; Matoušková, P.; Szotáková, B.; Skálová, L. The influence of sesquiterpenes from Myrica rubra on the antiproliferative and pro-oxidative effects of doxorubicin and its accumulation in cancer cells. Molecules 2015, 20, 15343–15358. [Google Scholar] [CrossRef]
- de Almeida, L.F.R.; Frei, F.; Mancini, E.; De Martino, L.; De Feo, V. Phytotoxic activities of essential oils. Molecules 2010, 15, 4309–4323. [Google Scholar] [CrossRef] [PubMed]
- Choi, H.S.; Song, H.S.; Ukeda, H.; Sawamura, M. Radical-scavenging activities of citrus essential oils and their components: Detection using ESR. Biosci. Biotechnol. Biochem. 2000, 64, 205–208. [Google Scholar] [CrossRef]
- Li, J.; Wang, Y.; Wang, C.; Zhang, Y.; Tang, H. Anti-inflammatory effects of Angelica pubescens Maxim. extract and its component, bornyl angelate. J. Ethnopharmacol. 2012, 143, 1001–1006. [Google Scholar] [CrossRef]
- Höferl, M.; Buchbauer, G.; Jirovetz, L. Anxiolytic and anticonvulsant effects of oxygenated monoterpenes in linalool-rich essential oils. Phytomedicine 2006, 13, 688–693. [Google Scholar] [CrossRef]
- Park, I.K.; Lee, S.G.; Shin, S.C.; Park, J.D.; Ahn, Y.J. Larvicidal activity of isoborneol and related compounds against Aedes aegypti (Diptera: Culicidae). J. Med. Entomol. 2002, 39, 880–885. [Google Scholar] [CrossRef]
- Nerio, L.S.; Olivero-Verbel, J.; Stashenko, E. Repellent activity of essential oils: A review. Bioresour. Technol. 2010, 101, 372–378. [Google Scholar] [CrossRef] [PubMed]
- Khan, A.; Ahmad, A.; Akhtar, F.; Yousuf, S.; Xess, I.; Khan, L.A.; Manzoor, N. Ocimum sanctum essential oil and its active principles exert their antifungal activity by disrupting ergosterol biosynthesis and membrane integrity. Res. Microbiol. 2010, 161, 816–823. [Google Scholar] [CrossRef] [PubMed]
- De Sousa, J.P.B.; Jorge, R.F.; Leite, M.F.; Furtado, N.A.J.C.; Bastos, J.K.; da Silva Filho, A.A.; Queiroga, C.L.; de Magalhães, P.M.; Soares, A.E.E. Seasonal variation of the (E)-nerolidol and other volatile compounds within ten different cultivated populations of Baccharis dracunculifolia D.C. (Asteraceae). J. Essent. Oil Res. 2009, 21, 308–314. [Google Scholar] [CrossRef]
- Chouhan, S.; Sharma, K.; Guleria, S. Antimicrobial activity of some essential oils—Present status and future perspectives. Medicines 2017, 4, 58. [Google Scholar] [CrossRef]
- Elshafie, H.S.; Camele, I. An overview of natural antimicrobials role in food. J. Agric. Sci. 2017, 9, 1–11. [Google Scholar] [CrossRef]
- Zhang, Y.; Liu, X.; Wang, Y.; Jiang, P.; Quek, S. Antimicrobial activity and chemical composition of essential oil from Camellia oleifera seed cake. Molecules 2021, 26, 3128. [Google Scholar] [CrossRef]
- Jeong, J.B.; Choi, J.; Lou, Z.; Jiang, X.; Lee, S.H. α-Copaene inhibits LPS-induced nitric oxide and prostaglandin E2 production by suppressing the NF-κB pathway in RAW 264.7 cells. Food Chem. Toxicol. 2013, 62, 655–660. [Google Scholar] [CrossRef]
- Gazizova, A.; Datkhayev, U.; Amirkhanova, A.; Ustenova, G.; Kozhanova, K.; Ikhsanov, Y.; Berdgaleyeva, A. Phytochemical Profiling of Mentha asiatica Boriss. Leaf Extracts: Antioxidant and Antibacterial Activities. ES Food Agrofor. 2025, 19, 1355. [Google Scholar] [CrossRef]
- Li, H.; Wang, C.; Zhang, C.; Wang, J.; He, X. γ-Curcumene inhibits cancer cell proliferation and induces apoptosis through mitochondrial pathway. Biomed. Pharmacother. 2019, 109, 757–764. [Google Scholar] [CrossRef]
- Wei, A.; Shibamoto, T. Antioxidant/lipoxygenase inhibitory activities and chemical compositions of selected essential oils. J. Agric. Food Chem. 2007, 55, 1737–1742. [Google Scholar] [CrossRef]
- Zunino, M.P.; Turina, A.V.; Zygadlo, J.A.; Perillo, M.A. Stereoselective effects of farnesene isomers on the lipid phase behavior of cellular membranes. Biochim. Biophys. Acta 2010, 1798, 2341–2348. [Google Scholar] [CrossRef]
- Fidan, H.; Stefanova, G.; Stoyanova, A.; Zheljazkov, V.D. Chemical composition and antimicrobial activity of essential oils from different parts of Tanacetum balsamita L. Ind. Crops Prod. 2019, 131, 130–136. [Google Scholar] [CrossRef]
- Braga, P.C.; Culici, M.; Alfieri, M.; Dal Sasso, M. Antioxidant potential of thymol determined by chemiluminescence inhibition in human neutrophils and cell-free systems. Pharmacology 2006, 77, 130–135. [Google Scholar] [CrossRef]
- Chan, W.-K.; Tan, L.T.-H.; Chan, K.-G.; Lee, L.-H.; Goh, B.-H. Nerolidol: A Sesquiterpene Alcohol with Multi-Faceted Pharmacological and Biological Activities. Molecules 2016, 21, 529. [Google Scholar] [CrossRef]
- D’Agostino, M.; Tesse, N.; Frigerio, G.; Bertoli, A.; Pistelli, L. Antifungal and antioxidant activities of essential oils from leaves and inflorescences of Hedychium species. Planta Med. 2014, 80, 1225–1231. [Google Scholar] [CrossRef]
- Elshafie, H.S.; Caputo, L.; De Martino, L.; Grulova, D.; Sedlák, V.; Camele, I. Efficacy of essential oils from Mediterranean plants against Xanthomonas campestris and Clavibacter michiganensis. Molecules 2019, 24, 900. [Google Scholar] [CrossRef]
- Huang, Y.; Wang, J.; Zhang, Y.; Yu, H.; Zhang, Y. α-Cadinol as a potent antifungal and anti-inflammatory agent from Cryptomeria fortunei. Ind. Crops Prod. 2015, 63, 155–159. [Google Scholar]
- Togashi, N.; Shiraishi, A.; Nishizaka, M.; Matsuoka, K.; Endo, K.; Hamashima, H.; Inoue, Y. Antibacterial Activity of Long-Chain Fatty Alcohols against Staphylococcus aureus. Molecules 2007, 12, 139–148. [Google Scholar] [CrossRef] [PubMed]
- Kim, S.; Lee, E.-Y.; Hillman, P.F.; Ko, J.; Yang, I.; Nam, S.-J. Chemical Structure and Biological Activities of Secondary Metabolites from Salicornia europaea L. Molecules 2021, 26, 2252. [Google Scholar] [CrossRef]
- Chen, D.F.; Li, X.; Xu, Z.; Liu, X.; Du, S.H.; Li, H.; Zhou, J.H.; Zeng, H.P.; Hua, Z.C. Hexadecanoic acid from Buzhong Yiqi decoction induced proliferation of bone marrow mesenchymal stem cells. J. Med. Food 2010, 13, 967–970. [Google Scholar] [CrossRef]
- Liu, S.Q.; Scott, I.M.; Pelletier, Y.; Kramp, K.; Durst, T.; Sims, S.R.; Arnason, J.T. Dillapiol: A pyrethrum synergist for control of the Colorado potato beetle. J. Econ. Entomol. 2014, 107, 797–805. [Google Scholar] [CrossRef]
- Cho, K.M.; Kim, Y.S.; Lee, M.; Lee, H.Y.; Bae, Y.S. Isovaleric acid ameliorates ovariectomy-induced osteoporosis by inhibiting osteoclast differentiation. J. Cell. Mol. Med. 2021, 25, 4287–4297. [Google Scholar] [CrossRef]
- Soliman, G.A.; Abood, S.H.; Hassen, H.F.; El-Kased, R.F. The Potential Anticonvulsant Activity of the Ethanolic Extracts of Achillea nobilis and Momordica charantia in Rats. J. Pharm. Pharmacogn. Res. 2016, 4, 107–114. [Google Scholar] [CrossRef]
- Karabay-Yavaşoğlu, N.Ü.; Karamenderes, C.; Baykan, S.; Apaydın, S. Antinociceptive and Anti-Inflammatory Activities and Acute Toxicity of Achillea nobilis subsp. neilreichii Extract in Mice and Rats. Pharm. Biol. 2007, 45, 162–168. [Google Scholar]
- Karamenderes, C.; Apaydın, S. Antispasmodic Effect of Achillea nobilis L. subsp. sipylea (O. Schwarz) Bässler on the Rat Isolated Duodenum. J. Ethnopharmacol. 2003, 84, 175–179. [Google Scholar]
- Konyalıoğlu, S.; Karamenderes, C. The Protective Effects of Achillea L. Species Native in Turkey against H2O2-Induced Oxidative Damage in Human Erythrocytes and Leucocytes. J. Ethnopharmacol. 2005, 102, 221–227. [Google Scholar] [CrossRef] [PubMed]




| Platforms | Keywords | Total | |||||
|---|---|---|---|---|---|---|---|
| A. nobilis | A. nobilis Phytochemicals | A. nobilis Compounds | A. nobilis Pharmacological | A. nobilis Traditional use | A. nobilis Ethnomedicine | ||
| Scopus | 30 | 0 | 0 | 0 | 0 | 0 | 30 |
| Pubmed | 17 | 1 | 8 | 5 | 1 | 1 | 33 |
| Google Scholar | 14,200 | 2380 | 3570 | 2100 | 3370 | 704 | 26,324 |
| Web of Science | 73 | 1 | 23 | 1 | 5 | 0 | 103 |
| ScienceDirect | 96 | 71 | 355 | 214 | 320 | 37 | 1093 |
| JSTOR | 121 | 0 | 13 | 0 | 7 | 0 | 141 |
| Science.gov | 202 | 12 | 224 | 170 | 146 | 8 | 762 |
| BASE | 433 | 1 | 58 | 13 | 16 | 2 | 523 |
| Country | Plant Part | Ethnomedicinal Use(s) | Ref. |
|---|---|---|---|
| Bosnia and Herzegovina | flower | managing nocturnal enuresis in children, cleansing the blood, and addressing a range of dermatological issues (wounds, irritations, and psoriasis) | [48] |
| Iran | above-ground part | antiparasitic, wound-healing and anti-infective agent | [49] |
| Turkey | above-ground part | abdominal pain and flatulence | [50] |
| China | root | treating hypertension | [51] |
| Kazakhstan | above-ground part | treating urethritis, bronchitis, and psoriasis | [52] |
| Year | Species | Plant of Part | Methods of Extraction | Extract | Techniques/Methods | Identified Chemical Classes | Major Compounds | Ref. |
|---|---|---|---|---|---|---|---|---|
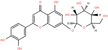
| 1978 | A. nobilis | Non-Flowering Shoots | hydrodistillation | water | Chromatographic analysis, UV and IR spectra | flavonoids | apigenin-7-glycoside (cosmosiin), luteolin-7-glucoside (cynaroside) | [18] |
| 1984 | A. nobilis | Flower Heads | column chromatography | chloroform | IR, PMR, MS | terpenes, flavonoids | anobin, estafiatin, hanphyllin, 3,5-dihydroxy-6,7,8-trimethoxyflavone | [19] |
| 1987 | A. nobilis subsp. nobilis, A. nobilis subsp. nedrelchll | Leaves | N/S | N/S | TLC, UV, NMR | flavonoid glycosides | vitexin, orientin, isoorientin, di-C-glycosylapigenins, isovitexin, swertiajaponin, di-C-glycosylluteolins, C-glycosylflavone | [20] |
| 1994 | A. nobilis | Aerial Part | hydrodistillation | water | IR, UV, PMR, NMR, X-ray | sesquiterpene lactones | anolide | [21] |
| 1995 | A. nobilis | Flower Heads | column chromatography | N/S | MS, 1H-NMR, 13C-NMR, 2D-NMR | guaianolides, monoterpenes | tanaparthin-β-peroxide, 5-hydroxy-3,6,7,4′-tetramethoxyflavone | [22] |
| 1999 | A. nobilis | Aerial Part | aqueous extraction, silica gel chromatography | hexane-ethyl acetate | IR, PMR | sesquiterpene lactones | chrysartemin a, canin | [23] |
| 2003 | A. nobilis | Aerial Part | methanol extraction | methanol | UV, 1H-NMR, 13C-NMR, ESI–MS | flavonoids | luteolin-6-c-apiofuranosyl-(1′′′ --> 2′′)-glucoside, orientin, quercetin-3-o-methyl ether | [24] |
| 2003 | A. nobilis | Flower Heads | hydrodistillation | water | GC–MS | monoterpenes, oxygenated | α-thujone (25.7%), artemisia ketone (14.8%), borneol (9.9%) and camphor (8.2%) | [25] |
| 2007 | A. nobilis subsp. sipylea, A. nobilis subsp. neilreichii | Flower Heads | hydrodistillation | water | GC–MS | monoterpenes, oxygenated monoterpenes, sesquiterpenes | fragranol, dihydro-eudesmol, linalool, chrysanthenone | [26] |
| 2008 | A. nobilis | Aerial Part | hydrodistillation | N/S | GC, GC–MS | monoterpenes, sesquiterpenes | α-thujone (34.06%), 1,8-cineole (14.14%) and β-cedren epoxide (9.63%) | [27] |
| 2009 | A. nobilis subsp. nobilis, A. nobilis subsp. neilreichii | Aerial Part | hydrodistillation (Clevenger-type apparatus) | N/S | GC, GC–MS | monoterpenes, sesquiterpenes | fragranyl acetate (32%), fragranol (24%), and β-eudesmol (8%) | [28] |
| 2010 | A. nobilis | Aerial Part | hexane extraction, column chromatography | hexane | IR, PMR, 13C-NMR | steroidal compounds | acetyleucanbin | [29] |
| 2010 | A. nobilis | Aerial Part | hydrodistillation | dichloromethane | GC–MS | monoterpenes, sesquiterpenes | α-thujone, 1,8-cineole, artemisia ketone | [30] |
| 2011 | A. nobilis | Aerial Part | hydrodistillation | methanol | GC, GC–MS | oxygenated monoterpenes, | artemisia ketone, 1,8-cineole, yomogi alcohol, spathulenol | [31] |
| 2011 | A. nobilis | Leaves, Flowers | hydrodistillation (Clevenger-type apparatus) | N/S | GC, GC–MS | monoterpenes, sesquiterpenes | 1,8-cineole, geranyl isovalerate, trans-verbenol | [32] |
| 2018 | A. nobilis subsp. neilreichii (Kerner) | Aerial Part | ethanol and ethyl acetate extraction | ethanol, ethyl acetate | HPLC–DAD, LC–MS/MS | phenolic compounds | dicaffeoylquinic acid, luteolin-7-o-glucoside, apigenin-6,8-di-c-glucoside | [33] |
| 2019 | A. nobilis subsp. neilreichii | Aerial Part | solid-phase micro-extraction | N/S | HS–SPME/GC–MS | monoterpenes, sesquiterpenes | camphor, germacrene d, 1,8-cineole, α-thujene | [34] |
| No. | Compounds | Plant Species | Investigated Plant Part | Chemical Class (Subclass) | Chemical Structure | Known Pharmacological Activities |
|---|---|---|---|---|---|---|
| 1 | Apigenin 7-glucuronide [18] | A. nobilis | Leaves/flowers | Flavonoid (Flavone glucuronide) | Compound 11 | significantly inhibited nitric oxide (NO) production in LPS-stimulated macrophages (RAW264.7) (at 1 μg/mL, NO inhibition was 30.7%; at 10 μg/mL, NO inhibition reached 97.1%); also reduced tumor necrosis factor-alpha (TNF-α) production (at 5 μg/mL, TNF-α inhibition was 26.2%, at 10 μg/mL, TNF-α inhibition was 83.8%) [65,68,69,70] |
| 2 | Luteolin 7-glucoside (cynaroside) [18] | A. nobilis | Leaves/flowers | Flavonoid (Flavone glycoside) | ![]() Compound 12 | exhibits antidepressant, anti-inflammatory, anti-ferroptotic, and neuroprotective effects by modulating microglial M1 polarization and the IRF1/SLC7A11/GPX4 signaling pathway in LPS-stimulated BV-2 cells and CUMS-induced mice [66]; shows antibacterial, antifungal, antileishmanial, antioxidant, hepatoprotective, antidiabetic, anti-inflammatory, anticancer, and anti-apoptotic activities, including inhibition of ROS, biofilm formation, and the MET/AKT/mTOR pathway [67] |
| 3 | 3,5-Dihydroxy-6,7,8-Trimethoxyflavone [19] | A. nobilis | Leaves/flowers | Flavonol | ![]() Compound 13 | synergizes with 5-fluorouracil, allowing for dose reduction and reduced off-target toxicity in the treatment of colonic and pancreatic cancers [71] |
| 4 | Vitexin [20,24] | A. nobilis subsp. nobilis, A. nobilis subsp. neilreichii | Leaves | Flavonoid (C-glycosylflavone | See Figure 3 Compound 3 | exhibits antioxidant, anti-inflammatory, neuroprotective, cardioprotective, anticancer, anxiolytic, antidiabetic, hepatoprotective, antimicrobial, antithyroid, analgesic, and anti-osteoporotic activities [72] |
| 5 | Isovitexin [20] | A. nobilis subsp. nobilis, A. nobilis subsp. neilreichii | Leaves | Flavonoid (C-glycosylflavone) | ![]() Compound 14 | exhibits antioxidant, anti-inflammatory, neuroprotective, anticancer, antidiabetic, cardioprotective, hepatoprotective, antimicrobial, and anti-anxiety activities [73] |
| 6 | Swertisin [20] | A. nobilis subsp. nobilis, A. nobilis subsp. neilreichii | Leaves | Flavonoid (C-glycosylflavone) | ![]() Compound 15 | exhibits antioxidant, anti-inflammatory, anticancer, hepatoprotective, antidiabetic, neuroprotective, and anti-obesity activities [74] |
| 7 | Orientin [20,24] | A. nobilis subsp. nobilis, A. nobilis subsp. neilreichii | Leaves | Flavonoid (C-glycosylflavone) | See Figure 3 Compound 1 | exhibits anticancer, antioxidant, neuroprotective, cardioprotective, antiallergic, and anti-inflammatory [75] |
| 8 | Isoorientin [20,24] | A. nobilis subsp. nobilis, A. nobilis subsp. neilreichii | Leaves | Flavonoid (C-glycosylflavone) | See Figure 3 Compound 2 | exhibits antioxidant and anti-inflammatory activities and plays a key role in ameliorating metabolic complications such as hyperglycemia, hyperlipidemia, and insulin resistance [76] |
| 9 | Swertiajaponin [20] | A. nobilis subsp. nobilis, A. nobilis subsp. neilreichii | Leaves | Flavonoid (C-methylated glycoside) | ![]() Compound 16 | exhibits potent antioxidant activity, inhibits enzymatic browning by inactivating polyphenol oxidase, and enhances the flavonoid content and antioxidant capacity of foods [77] |
| 10 | Quercetin 3-O-rhamnoside-7-O-glucoside [20] | A. nobilis subsp. nobilis, A. nobilis subsp. neilreichii | Leaves | Flavonoid (O-glycoside) | ![]() Compound 17 | possesses high anti-inflammatory activity by binding with interleukin-6 [78] |
| 11 | 5-Hydroxy-3,6, 7,4′ -tetramethoxyfla- vone [22] | A. nobilis | Flower heads | Flavonoid (O-methylated flavone) | ![]() Compound 18 | known for its anticancer properties [79] |
| 12 | Isoschaftoside [24] | A. nobilis | Aerial part | Flavonoid (C-glycosylflavone) | See Figure 3 Compound 4 | inhibits lipopolysaccharide-induced inflammation in microglia through regulation of HIF-1 α-mediated metabolic reprogramming [80]; reverses nonalcoholic fatty liver disease via activating autophagy in vivo and in vitro [81] |
| 13 | Luteolin-7-O-β-glucuronide [24] | A. nobilis | Aerial part | Flavonoid (O-glucuronide) | See Figure 3 Compound 5 | NS |
| 14 | Luteolin-4-O-β-glucopyranoside [24] | A. nobilis | Aerial part | Flavonoid (O-glucoside) | See Figure 3 Compound 6 | NS |
| 15 | Luteolin-6-C-apiofuranosyl-(1′′′→2″)-glucopyranoside [24] | A. nobilis | Aerial part | Flavonoid (C,O-diglycoside) | See Figure 3 Compound 7 | NS |
| 16 | Quercetin-3-O-methyl ether [24] | A. nobilis | Aerial part | Flavonoid (O-methylated flavone) | See Figure 3 Compound 8 | protects FL83B cells from copper induced oxidative stress through the PI3K/Akt and MAPK/Erk pathway [82]; inhibits lapatinib-sensitive and -resistant breast cancer cell growth by inducing G (2)/M arrest and apoptosis [83]; protects FL83B cells from copper-induced oxidative stress through the PI3K/Akt and MAPK/Erk pathway [84] |
| 17 | Quercetin-3-O-methylether-7-O-β-glucopyranoside [24] | A. nobilis | Aerial part | Flavonoid (O-methylated glucoside) | See Figure 3 Compound 9 | NS |
| 18 | Quercetin-3-O-[α-arabinopyranosyl-(1′′′→6″)-β-glucopyranoside] [24] | A. nobilis | Aerial part | Flavonoid (Diglycoside) | See Figure 3 Compound 10 | NS |
| 19 | Luteolin | A. nobilis subsp. neilreichii | Aerial part [33] | Flavonoid (Flavone (aglycone)) | ![]() Compound 19 | blocks cancer development in vitro and in vivo by inhibition of proliferation of tumor cells, protection from carcinogenic stimuli, and activation of cell cycle arrest; reverses epithelial–mesenchymal transition (EMT) through a mechanism that involves cytoskeleton shrinkage, induction of the epithelial biomarker E-cadherin expression [86] |
| 20 | Isorhamnetin 3-O-glucoside | A. nobilis subsp. neilreichii | Aerial part [33] | Flavonoid (Flavonoid glycoside) | ![]() Compound 20 | NS |
| 21 | Apigenin-6,8-di-C-glucoside | A. nobilis subsp. neilreichii | Aerial part [33] | Flavonoid (Flavonoid glycoside) | ![]() Compound 21 | NS |
| 22 | Dicaffeoylquinic acid | A. nobilis subsp. neilreichii | Aerial part [33] | Phenolic compound (Polyphenol (ester of caffeic acid and quinic acid)) | ![]() Compound 22 | exhibits antioxidant, anti-inflammatory, antimicrobial, hypoglycemic, cardioprotective, neuroprotective, hepatoprotective, antitussive, and antispasmodic activities, supporting their potential role in the treatment of respiratory diseases [87] |
| 23 | Chlorogenic acid | A. nobilis subsp. neilreichii | Aerial part [33] | Phenolic compound (Hydroxycinnamic acid ester (caffeic acid + quinic acid)) | ![]() Compound 23 | exhibits a wide range of pharmacological activities, including antioxidant, anti-inflammatory, antibacterial, antiviral, neuroprotective, hepatoprotective, cardioprotective, antipyretic, anti-obesity, antihypertensive, antimicrobial, CNS-stimulating, hypoglycemic, and hypocholesterolemic effects, with significant roles in regulating lipid and glucose metabolism [88] |
| No. | Compounds | Plant Species | Investigated Plant Part | Chemical Class | Known Pharmacological Activities |
|---|---|---|---|---|---|
| 1 | Anobin [19] | A. nobilis | Leaves/flowers | Sesquiterpene lactone | NS |
| 2 | Estafiatin [19] | A. nobilis | Leaves/flowers | Sesquiterpene lactone | exerts anti-inflammatory effects on macrophages and protects mice from sepsis induced by LPS and cecal ligation puncture [104] |
| 3 | Anolide [21] | A. nobilis | Aerial part | Sesquiterpene lactone, anolide type | NS |
| 4 | 4-Hydroperoxy-2R,3R-isopropyliden-hex-5-en-1-ol acetat [22] | A. nobilis | Flower heads | Acyclic monoterpenoid | NS |
| 5 | 4-Hydroperoxy-2S,3R-isopropyli-den-hex-5-en-1-ol acetat [22] | A. nobilis | Flower heads | Acyclic monoterpenoid | NS |
| 6 | Tanaparthin-β-peroxide [22] | A. nobilis | Flower heads | Sesquiterpene lactone peroxide | NS |
| 7 | Clarysartemin [23] | A. nobilis | Aerial part | Sesquiterpene lactone | NS |
| 8 | Canin [23] | A. nobilis | Aerial part | Sesquiterpene lactone | NS |
| 9 | Sabinene [25,26,30] | A. nobilis [25,27,30], A. nobilis subsp. sipylea, A. nobilis subsp. neilreichii [26] | Aerial part [25,27], flower heads [26], leaves [30] | Bicyclic terpene | prevents skeletal muscle atrophy by Inhibiting the MAPK-MuRF-1 pathway in rats [105] |
| 10 | Yomogi alcohol [25,30,32] | A. nobilis [25,30,32] | Aerial part [25,32], leaves [30] | Monoterpene alcohol | NS |
| 11 | α-Terpinene [25,26,27,30,32] | A. nobilis [25,27,30,32], A. nobilis subsp. sipylea, A. nobilis subsp. neilreichii [26] | Aerial part [25,27,32], flower heads [26], leaves [30] | Monoterpene, cyclic diene | NS |
| 12 | p-Cymene [25,26,27,30,32] | A. nobilis [25,27,30,32], A. nobilis subsp. sipylea, A. nobilis subsp. neilreichii [26] | Aerial part [25,27,30,32], flower heads [26] | Monoterpene aromatic hydrocarbon | carvacrol and ρ-cymene established a strong synergistic antimicrobial effect against planktonic cultures of Gardnerella spp. [106] |
| 13 | 1,8-Cineole [25,26,27,28,30,32] | A. nobilis [25,27,28,32], A. nobilis subsp. sipylea, A. nobilis subsp. neilreichii [26] | Aerial part [25,27,28,32], flower heads [26], leaves [30] | Cyclic terpene ether, oxide | shows anti-inflammatory and antioxidant mainly via the regulation on NF-κB and Nrf2 [107] |
| 14 | Artemisia ketone [25,32] | A. nobilis | Aerial part | Monoterpene ketone | NS |
| 15 | Artemisia alcohol [25,30,31,32] | A. nobilis | Aerial part [25,31,32], leaves [30] | Monoterpene alcohol | NS |
| 16 | α-Thujone [25,26,27,30,32] | A. nobilis [25,27,30,32], A. nobilis subsp. sipylea, A. nobilis subsp. neilreichii [26] | Aerial part [25,27,32], flower heads [26], leaves [30] | Monoterpene ketone, bicyclic | NS |
| 17 | β-Thujone [25,27,30] | A. nobilis [25,27] | Aerial part [25,27], Leaves [30] | Monoterpene ketone, bicyclic | NS |
| 18 | Camphor [25,26,27,30,32] | A. nobilis [25,27,30,32], A. nobilis subsp. sipylea, A. nobilis subsp. neilreichii [26] | Aerial part [25,27,32], flower heads [26], leaves [30] | Monoterpene ketone, bicyclic | potential anti-orthopoxvirus agent [108] |
| 19 | Pinocarvone [25,26,32,34] | A. nobilis [25,32,34], A. nobilis subsp. sipylea, A. nobilis subsp. neilreichii [26] | Aerial part [25,32,34], flower heads [26] | Monoterpene ketone | NS |
| 20 | Borneol [25,26] | A. nobilis [25], A. nobilis subsp. sipylea, A. nobilis subsp. neilreichii [26] | Aerial part [25], flower heads [26] | Monoterpene alcohol, bicyclic | potential anti-orthopoxvirus agent [108] |
| 21 | Terpinen-4-ol [25,26,28,30,31] | A. nobilis [25,28,30,31], A. nobilis subsp. sipylea, A. nobilis subsp. neilreichii [26] | Aerial part [25,28,31], flower heads [26], leaves [30] | Monoterpene alcohol | antibacterial and antibiofilm agent against Staphylococcus aureus [109] |
| 22 | α-Terpineol [25,26,27,30,31,32] | A. nobilis [25,27,30,31,32], A. nobilis subsp. sipylea, A. nobilis subsp. neilreichii [26] | Aerial part [25,27,31,32], flower heads [26], leaves [30] | Monoterpene alcohol | suppresses glioblastoma aggressive behavior and downregulates KDELC2 expression (anti-tumor) [110] |
| 23 | Myrtenal [25,34] | A. nobilis | Aerial part | Monoterpene aldehyde | shows antimicrobial, antifungal, antiviral, anticancer, anxiolytic, and neuroprotective properties [111] |
| 24 | Myrtenol [25,34] | A. nobilis | Aerial part | Monoterpene alcohol | shows anti-inflammatory, anticancer, antimicrobial effects [112] |
| 25 | trans-Carveol [25,31] | A. nobilis | Aerial part [25,31] | Monoterpene alcohol | NS |
| 26 | cis-Carveol [25] | A. nobilis | Aerial part | Monoterpene alcohol | NS |
| 27 | Cuminaldehyde [25] | A. nobilis | Aerial part | Terpene (Phenylpropanoid aldehyde) | ameliorates hyperglycemia [113] |
| 28 | Carvone [25] | A. nobilis | Aerial part | Monoterpene ketone | shows antimicrobial, antispasmodic, anti-inflammatory, antioxidant, antinociceptive, anticonvulsant [114] |
| 29 | Bornyl acetate [25,26,32] | A. nobilis [25,32], A. nobilis subsp. sipylea, A. nobilis subsp. neilreichii [26] | Aerial part [25,32], flower heads [26] | Monoterpene ester | a promising agent for immune modulation and inflammation [115] |
| 30 | Carvacrol [25] | A. nobilis | Aerial part | Monoterpene phenol | carvacrol and ρ-cymene established a strong synergistic antimicrobial effect against planktonic cultures of Gardnerella spp. [116] |
| 31 | Thymol [25] | A. nobilis | Aerial part | Monoterpene phenol | exhibits antimicrobial, antioxidant, anticarcinogenesis, anti-inflammatory, and antispasmodic activities [116] |
| 32 | Eugenol [25,26,28,32] | A. nobilis [25,28,32], A. nobilis subsp. sipylea, A. nobilis subsp. neilreichii [26] | Aerial part [2,25,32], flower heads [26] | Terpene (Phenylpropanoid (allylbenzene)) | shows antibacterial; antifungal; antioxidant [117] |
| 33 | trans-Myrtenol acetate [25] | A. nobilis | Aerial part | Monoterpene ester | NS |
| 34 | β-caryophyllene [25,30,31,32] | A. nobilis | Aerial part [25,31,32], leaves [30] | Sesquiterpene hydrocarbon | exhibits anticancer and analgesic properties [118] |
| 35 | Linalool butyrate [25] | A. nobilis | Aerial part | Monoterpene ester | NS |
| 36 | (E)-β-farnesene [25] | A. nobilis | Aerial part | Sesquiterpene hydrocarbon, acyclic | NS |
| 37 | β-selinene [25,31] | A. nobilis | Aerial part [25,31] | Sesquiterpene hydrocarbon, bicyclic | NS |
| 38 | β-himachalene [25] | A. nobilis | Aerial part | Sesquiterpene hydrocarbon, tricyclic | NS |
| 39 | δ-Cadinene [25,28,31,32] | A. nobilis | Aerial part [25,28,31,32] | Sesquiterpene hydrocarbon | inhibits the growth of ovarian cancer cells [119] |
| 40 | Ledol [25,32,34] | A. nobilis | Aerial part [25,32] | Sesquiterpene alcohol, tricyclic | NS |
| 41 | Spathulenol [25,28,30,32,34] | A. nobilis | Aerial part [25,28,32,34], leaves [30] | Sesquiterpene alcohol | NS |
| 42 | Viridiflorol [25,26] | A. nobilis [25], A. nobilis subsp. sipylea, A. nobilis subsp. neilreichii [26] | Aerial part [25], flower heads [26] | Sesquiterpene alcohol, tricyclic | inhibits the growth of ovarian cancer cells [120] |
| 43 | α-eudesmol [25] | A. nobilis | Aerial part | Sesquiterpene alcohol, tricyclic | NS |
| 44 | α-Cadinol [25,27] | A. nobilis | Aerial part [25,27] | Sesquiterpene alcohol, tricyclic | NS |
| 45 | Patchouli alcohol [25] | A. nobilis | Aerial part | Sesquiterpene alcohol | demonstrates diverse pharmacological activities, including antiviral, antidepressant, antinociceptive, vasorelaxant, lung- and neuroprotective, anti-ulcer, anti-colitis, prebiotic-like, anti-inflammatory, anticancer, and metabolic disease-protective effects [121] |
| 46 | β-bisabolol [25,26,28] | A. nobilis [25,28], A. nobilis subsp. sipylea, A. nobilis subsp. neilreichii [26] | Aerial part [25,28], flower heads [26] | Sesquiterpene alcohol, acyclic | NS |
| 47 | trans-α-Bergamotol [25] | A. nobilis | Aerial part | Sesquiterpene alcohol, monocyclic | NS |
| 48 | α-Thujene [26,30,32] | A. nobilis subsp. sipylea, A. nobilis subsp. neilreichii [26], A. nobilis [30,32] | Flower heads [26], leaves [30], aerial part [32] | Monocyclic monoterpene hydrocarbon | NS |
| 49 | α-Pinene [26,30,32] | A. nobilis subsp. sipylea, A. nobilis subsp. neilreichii [26], A. nobilis [30,32] | Flower heads [26], leaves [30], aerial part [32] | Bicyclic monoterpene hydrocarbon | antitumor agent for the treatment of T-cell tumors [122,123] |
| 50 | Camphene [26,27,30,32] | A. nobilis subsp. sipylea, A. nobilis subsp. neilreichii [26], A. nobilis [27,30,32] | Flower heads [26], aerial part [27,32], leaves [30] | Bicyclic monoterpene hydrocarbon | NS |
| 51 | β-Pinene [26,27,28,30,32] | A. nobilis subsp. sipylea, A. nobilis subsp. neilreichii [26], A. nobilis [27,28,30,32] | Flower heads [26], aerial part [27,28,32], leaves [30] | Bicyclic monoterpene hydrocarbon | exhibits antibiotic resistance, anticoagulant, antitumor, antimicrobial, antimalarial, antioxidant, anti-inflammatory, anti-Leishmania, and analgesic properties [123] |
| 52 | Myrcene [26] | A. nobilis subsp. sipylea, A. nobilis subsp. neilreichii | Flower heads | Acyclic monoterpene hydrocarbon | exhibits anxiolytic, antioxidant, anti-ageing, anti-inflammatory, analgesic properties [124] |
| 53 | α-Campholenal [31] | A. nobilis | Aerial part [31] | Monoterpene aldehyde (bicyclic) | NS |
| 54 | Limonene [26] | A. nobilis subsp. sipylea, A. nobilis subsp. neilreichii | Flower heads | Monocyclic monoterpene hydrocarbon | antioxidant, antidiabetic, anticancer, anti-inflammatory, cardioprotective, gastroprotective, hepatoprotective, immune modulatory, anti-fibrotic, anti-genotoxic [125] |
| 55 | γ-Terpinene [26,27,30,32,34] | A. nobilis subsp. sipylea, A. nobilis subsp. neilreichii [26,34], A. nobilis [27,30,32] | Flower heads [26], aerial part [27,32,34], leaves [30] | Monocyclic monoterpene hydrocarbon | NS |
| 56 | Tricyclene | A. nobilis subsp. neilreichii | Aerial part [34] | Tricyclic monoterpene hydrocarbon | NS |
| 57 | δ-3-Carene | A. nobilis subsp. neilreichii | Aerial part [34] | Bicyclic monoterpene hydrocarbon | NS |
| 58 | Terpinolene [26,30,32,34] | A. nobilis subsp. sipylea, A. nobilis subsp. neilreichii [26,34], A. nobilis [30,32] | Flower heads [26], leaves [30], aerial part [32] | Monocyclic monoterpene hydrocarbon | NS |
| 59 | trans-Sabinene hydrate [30,32] | A. nobilis | Leaves [30], Aerial part [32] | Monocyclic monoterpene hydrocarbon | NS |
| 60 | cis-Sabinene hydrate [26,30,32] | A. nobilis subsp. sipylea, A. nobilis subsp. neilreichii [26], A. nobilis [30,32] | Flower heads [26], leaves [30], aerial part [32] | Monocyclic monoterpene hydrocarbon | NS |
| 61 | Linalool [26,28,32] | A. nobilis subsp. sipylea, A. nobilis subsp. neilreichii [26], A. nobilis [28,32] | Flower heads [26], aerial part [28,32] | Acyclic monoterpene alcohol | exhibits sedative, anxiolytic, antimicrobial, anti-inflammatory, antinociceptive, and anticancer effects [126] |
| 62 | Chrysanthenone [26] | A. nobilis subsp. sipylea, A. nobilis subsp. neilreichii | Flower heads | Bicyclic monoterpene ketone | NS |
| 63 | Camphene hydrate [26] | A. nobilis subsp. sipylea, A. nobilis subsp. neilreichii | Flower heads | Bicyclic monoterpene alcohol | NS |
| 64 | Fragranol [26,28] | A. nobilis subsp. sipylea, A. nobilis subsp. neilreichii [26], A. nobilis [28] | Flower heads [26], aerial part [28] | Monoterpene alcohol (isomer of linalool) | NS |
| 65 | Tetrahydro-linalool acetate [26] | A. nobilis subsp. sipylea, A. nobilis subsp. neilreichii | Flower heads | Saturated monoterpene ester (acetate of a linalool derivative) | NS |
| 66 | Piperitone [26] | A. nobilis subsp. sipylea, A. nobilis subsp. neilreichii | Flower heads | Monoterpene ketone | NS |
| 67 | Sabinyl acetate [26] | A. nobilis subsp. sipylea, A. nobilis subsp. neilreichii | Flower heads | Monoterpene acetate ester | exhibits antioxidant, antimicrobial, and anti-implantation activities [127] |
| 68 | Geranyl acetate [26,31] | A. nobilis subsp. sipylea, A. nobilis subsp. neilreichii [26], A. nobilis [31] | Flower heads [26], aerial part [31] | Acyclic monoterpene ester | antibacterial, anti-inflammatory, and larvicidal activity; inhibits enzymes involved in bacterial cell wall synthesis [128] |
| 69 | p-Menth-1-en-8-ol [32] | A. nobilis | Aerial part | Monocyclic monoterpene alcohol | NS |
| 70 | Lavendulol [27] | A. nobilis | Aerial part | Monoterpene alcohol (acyclic or monocyclic) | antibacterial, insecticidal, and anti-inflammatory effects [129] |
| 71 | Terpinene-4-ol [27,32] | A. nobilis | Aerial part | Monocyclic monoterpene alcohol | antibacterial, antibiofilm, anti-inflammatory, anticancer, and antifungal activities |
| 72 | Cuminyl aldehyde [27,34] | A. nobilis | Aerial part | Aldehyde derivative of aromatic monoterpene | [130] |
| 73 | cis-Chrysanthenyl acetate [28] | A. nobilis | Aerial part | Monoterpene ester (acetate of chrysanthenol) | antidiabetic, antimicrobial, anti-inflammatory, and anticancer properties [131] |
| 74 | Lavandulyl acetate [28,30,31,32] | A. nobilis | Aerial part [28,32], leaves [30,31] | Acyclic monoterpene ester | NS |
| 75 | 4-Terpinenyl acetate [28] | A. nobilis | Aerial part | Monocyclic monoterpene ester | NS |
| 76 | Fragranyl formate [28] | A. nobilis | Aerial part | Ester of fragranyl alcohol | NS |
| 77 | Fragranyl acetate [28] | A. nobilis | Aerial part | Ester of fragranyl alcohol | NS |
| 78 | Fragranyl isobutyrate [28] | A. nobilis | Aerial part | Ester of fragranyl alcohol | NS |
| 79 | Fragranyl butyrate [28] | A. nobilis | Aerial part | Terpenoid derivative | NS |
| 80 | Fragranyl 2-methylbutyrate [28] | A. nobilis | Aerial part | Terpenoid derivative (Ester of fragranyl alcohol) | NS |
| 81 | Fragranyl 3-methylbutyrate [28] | A. nobilis | Aerial part | Terpenoid derivative (Ester of fragranyl alcohol) | NS |
| 82 | Fragranyl valerate [28] | A. nobilis | Aerial part | Terpenoid (Monoterpene ester) | NS |
| 83 | Fragranyl hexanoate [28] | A. nobilis | Aerial part | Terpenoid (Ester of fragranyl alcohol and hexanoic (caproic) acid) | NS |
| 84 | Artemisiaketone [30] | A. nobilis | Leaves | Monoterpene ketone | antimicrobial and antifungal activities [132] |
| 85 | cis-Sabinol [30] | A. nobilis | Leaves | Monocyclic monoterpene alcohol (oxygenated sabinene) | exhibits antibacterial and antifungal properties [133] |
| 86 | Lavandulol [30,31] | A. nobilis | Leaves [30], aerial part [31] | Acyclic monoterpene alcohol | NS |
| 87 | Bornylacetate [30] | A. nobilis | Leaves | Bicyclic monoterpene ester | anti-inflammatory, analgesic, anticoagulant, and hepatoprotective activities [134,135] |
| 88 | Lavandulyl propionate [30] | A. nobilis | Leaves | Acyclic monoterpene ester | NS |
| 89 | Lavandulyl isobutanoate [30] | A. nobilis | Leaves | Acyclic monoterpene ester | NS |
| 90 | Lavandulyl-isovalerate [30] | A. nobilis | Leaves | Acyclic monoterpene ester | NS |
| 91 | Longipinocarvone [30] | A. nobilis | Leaves | Oxygenated bicyclic monoterpene | exhibits antimicrobial and cytotoxic properties [136] |
| 92 | Veridiflorol | A. nobilis | Aerial part [32] | Acyclic monoterpene ester | demonstrates antibacterial, antifungal, anti-inflammatory, and cytotoxic effects [137] |
| 93 | Neryl acetate | A. nobilis | Aerial part [31] | Acyclic monoterpene ester | Shows anti-inflammatory, antifungal, and neuroprotective activities [138,139] |
| 94 | Bornyl angelate | A. nobilis | Aerial part [31] | Bicyclic monoterpene ester | NS |
| 95 | Linalool oxide | A. nobilis | Aerial part [32] | Acyclic monoterpene epoxide | anxiolytic, anticonvulsant, and antinociceptive effects [140] |
| 96 | α-Cyclocytral | A. nobilis | Aerial part [32] | Monoterpene aldehyde | NS |
| 97 | p-Mentha-2-en-1-ol | A. nobilis | Aerial part [32] | Monocyclic monoterpene alcohol | NS |
| 98 | Isicyclocytral | A. nobilis | Aerial part [32] | Monoterpene aldehyde (isomer of cyclocitral) | NS |
| 99 | trans-3(10)-Carene-4-ol | A. nobilis | Aerial part [32] | Bicyclic monoterpene alcohol | NS |
| 100 | cis-Verbenol | A. nobilis | Aerial part [32] | Bicyclic monoterpene alcohol | antibacterial and acaricidal activity [141] |
| 101 | trans-Verbenol | A. nobilis | Aerial part [32] | Bicyclic monoterpene alcohol | antimicrobial and insecticidal activity [142] |
| 102 | Lavandolul | A. nobilis | Aerial part [32] | Acyclic monoterpene alcohol | NS |
| 103 | 4-Terpineol | A. nobilis | Aerial part [32] | Monocyclic monoterpene alcohol | antifungal, antibacterial, and anti-inflammatory properties [143] |
| 104 | 2-Pinene-10-ol | A. nobilis | Aerial part [32] | Bicyclic monoterpene alcohol | NS |
| 105 | E-3(10)Caren-2-ol | A. nobilis | Aerial part [32] | Bicyclic monoterpene alcohol | NS |
| 106 | trans-Crystantenyl acetate | A. nobilis | Aerial part [32] | Monoterpene ester | NS |
| 107 | cis-Crystantenyl acetate | A. nobilis | Aerial part [32] | Monoterpene ester | NS |
| 108 | Geranyl isovalerate | A. nobilis | Aerial part [32] | Acyclic monoterpene ester | NS |
| 109 | Lavandulyl acetate | A. nobilis | Aerial part [32] | Acyclic monoterpene ester | antimicrobial and sedative properties [144] |
| 110 | Limonene-6-ol-pivalate | A. nobilis | Aerial part [32] | Monoterpene ester | NS |
| 111 | Geranyl propionate | A. nobilis | Aerial part [32] | Acyclic monoterpene ester | NS |
| 112 | β-Bisabolene [26] | A. nobilis subsp. sipylea, A. nobilis subsp. neilreichii | Flower heads | Acyclic sesquiterpene hydrocarbon) | anti-inflammatory, antimicrobial, and anticancer activities [145] |
| 113 | γ-Cadinene [26] | A. nobilis subsp. sipylea, A. nobilis subsp. neilreichii | Flower heads | Bicyclic sesquiterpene hydrocarbon | antioxidant and anti-inflammatory effects [146] |
| 114 | Bicyclogermacrene [27,34] | A. nobilis | Aerial part | Bicyclic sesquiterpene hydrocarbon | antibacterial, anti-inflammatory, and cytotoxic activities [147] |
| 115 | trans-β-Guaiene [27] | A. nobilis | Aerial part | Bicyclic sesquiterpene hydrocarbon | NS |
| 116 | α-Copaene [28] | A. nobilis | Aerial part | Bicyclic sesquiterpene hydrocarbon | antifungal and cytotoxic effects [148] |
| 117 | cis-α-Bergamotene [28] | A. nobilis | Aerial part | Monocyclic sesquiterpene hydrocarbon | anti-inflammatory and insecticidal activities [149] |
| 118 | Sesquisabinene [28] | A. nobilis | Aerial part | Tricyclic sesquiterpene hydrocarbon | NS |
| 119 | γ-Curcumene [28] | A. nobilis | Aerial part | Aromatic sesquiterpene hydrocarbon | anti-inflammatory and anticancer properties [150] |
| 120 | ar-Curcumen [28] | A. nobilis | Aerial part | Aromatic sesquiterpene hydrocarbon | NS |
| 121 | Santolina triene [30,32] | A. nobilis | Aerial part | Tricyclic sesquiterpene hydrocarbon with three double bonds | NS |
| 122 | Germacrene D [30,32,34] | A. nobilis | Leaves [30], aerial part [32,34] | Bicyclic hydrocarbon | antimicrobial, anti-inflammatory, and cytotoxic properties [151] |
| 123 | α-Selinene | A. nobilis | Aerial part [31,34] | Eudesmane-type sesquiterpene hydrocarbon | NS |
| 124 | (E,E)-α-Farnesene | A. nobilis | Aerial part [31] | Acyclic sesquiterpene hydrocarbon | antifungal, and anti-inflammatory effects [152] |
| 125 | Geranyl isobutyrate [31,32] | A. nobilis | Aerial part [31,32] | Acyclic monoterpene ester | NS |
| 126 | α-Calacorene | A. nobilis | Aerial part [31] | Tricyclic sesquiterpene hydrocarbon | antimicrobial and antioxidant properties [153] |
| 127 | β-Chamigrene | A. nobilis | Aerial part [32] | Tricyclic sesquiterpene hydrocarbon | antimicrobial and cytotoxic activities [153] |
| 128 | Cedrene | A. nobilis subsp. neilreichii | Aerial part [34] | Bicyclic sesquiterpene hydrocarbon | NS |
| 129 | β-Eudesmol [26,28,31] | A. nobilis subsp. sipylea, A. nobilis subsp. neilreichii [26], A. nobilis [28,31] | Flower heads [26], aerial part [28,31] | Oxygenated sesquiterpene alcohol | NS |
| 130 | Dihydro-eudesmol [26] | A. nobilis subsp. sipylea, A. nobilis subsp. neilreichii | Flower heads | Saturated form of eudesmol | NS |
| 131 | α-Bisabolol [26] | A. nobilis subsp. sipylea, A. nobilis subsp. neilreichii | Flower heads | Oxygenated sesquiterpene alcohol | NS |
| 132 | Germacrene D-4-ol [27,28] | A. nobilis | Aerial part | Sesquiterpene alcohol | NS |
| 133 | Cedrene-β-epoxide [27] | A. nobilis | Aerial part | Epoxide derivative of cedrene | NS |
| 172 | Helifolenol [27] | A. nobilis | Aerial part | Oxygenated sesquiterpene | NS |
| 134 | trans-Sesquisabinene hydrate [28] | A. nobilis | Aerial part | Hydroxylated sesquiterpene | NS |
| 135 | Caryophyllene oxide [28,30,32,34] | A. nobilis | Aerial part [28,32,34], leaves | Epoxidized sesquiterpene | NS |
| 136 | Salvial-4(14)-en-1-one [28] | A. nobilis | Aerial part | Ketone-type sesquiterpenoid | NS |
| 137 | cis-Sesquisabinene hydrate [28] | A. nobilis | Aerial part | Hydroxylated sesquiterpene | NS |
| 138 | γ-Eudesmol [28,30] | A. nobilis | Aerial part, leaves | Sesquiterpene alcohol | NS |
| 139 | Eremoligenol [28] | A. nobilis | Aerial part | Hydroxylated sesquiterpene | NS |
| 140 | ar-Turmerol [28] | A. nobilis | Aerial part | Aromatic sesquiterpene alcohol | NS |
| 141 | neo-Intermedol [30] | A. nobilis | Leaves | Hydroxylated sesquiterpene | NS |
| 142 | Intermedeol [28] | A. nobilis | Aerial part | Guaiane-type sesquiterpene alcohol) | NS |
| 143 | Torilenol [28] | A. nobilis | Aerial part | Hydroxylated sesquiterpene | NS |
| 144 | Eudesma-4(15),7-dien-4β-ol [28] | A. nobilis | Aerial part | Eudesmane-type sesquiterpene alcohol | NS |
| 145 | γ-Costol [28] | A. nobilis | Aerial part | Oxygenated sesquiterpene | NS |
| 146 | Cadin-4-en-7-ol [30] | A. nobilis | Leaves | Sesquiterpenoid (Cadinane-type alcohol) | NS |
| 147 | Epi-α-Cadino | A. nobilis | Aerial part [31] | Sesquiterpenoid (Cadinane-type sesquiterpene alcohol) | NS |
| 148 | Selin-11-en-4-α-ol | A. nobilis | Aerial part [31] | Hydroxylated selinane-type sesquiterpene | NS |
| 149 | Khusinol | A. nobilis | Aerial part [31] | Oxygenated sesquiterpene alcohol | NS |
| 150 | Aristolone | A. nobilis | Aerial part [31] | Tricyclic sesquiterpene ketone | antimicrobial and anti-inflammatory activities [154] |
| 151 | Nerolydol | A. nobilis | Aerial part [32] | Acyclic sesquiterpene alcohol | antimalarial, antiparasitic, antifungal, and antioxidant effects [155] |
| 152 | Murolan-3,9(11)-diene-10peroxy | A. nobilis | Aerial part [32] | Oxygenated sesquiterpene peroxide | NS |
| 153 | Cubenol | A. nobilis | Aerial part [32] | Tricyclic sesquiterpene alcohol | antifungal, cytotoxic, and antioxidant activities [156] |
| 154 | 3β-Cadin-4-en-10-o | A. nobilis | Aerial part [32] | Sesquiterpenoid (Cadinane-type sesquiterpene alcohol) | NS |
| 155 | Aromadenderen epoxide | A. nobilis | Aerial part [32] | Oxygenated sesquiterpene | antibacterial and anti-inflammatory activities [157,158] |
| 156 | Eudesm-7(11)-en-4-ol | A. nobilis | Aerial part [32] | Eudesmane-type sesquiterpene alcohol | NS |
| 157 | Hanphyllin [19] | A. nobilis | Leaves/flowers | Sequiterpene (Sesquiterpene lactones, germacranolide) | NS |
| No. | Compounds | Plant Species | Investigated Plant Part | Chemical Class | Chemical Structure | Known Pharmacological Activities |
|---|---|---|---|---|---|---|
| 1 | Tricosane | A. nobilis subsp. neilreichii | Aerial part [34] | Alkane | ![]() Compound 24 | NS |
| 2 | Hexadecanol | A. nobilis | Aerial part | Fatty alcohol | ![]() Compound 25 | NS |
| 3 | 1-Octadecanol | A. nobilis | Aerial part | Fatty alcohol | ![]() Compound 26 | exhibits antibacterial, anti-inflammatory, emollient, and mucosal-protective properties, supporting its use in vaginal drug-delivery hydrogels [159,160] |
| 4 | Hexadecanoic acid | A. nobilis | Aerial part [30] | Fatty acid | ![]() Compound 27 | induces proliferation of bone marrow mesenchymal stem cells, antimicrobial, antioxidant, anti-inflammatory, anticancer, hypocholesterolemic, and skin-protective effects [161] |
| 5 | Indipone | A. nobilis | Leaves [30] | Aromatic ketone | ![]() Compound 28 | NS |
| 6 | Dillapiol | A. nobilis | Aerial part [31] | Phenylpropanoid | ![]() Compound 29 | antimicrobial and antifungal [162] |
| 7 | Isovaleric acid | A. nobilis | Aerial part [32] | Carboxylic acid | ![]() Compound 30 | ameliorates ovariectomy-induced osteoporosis by inhibiting osteoclast differentiation [163] |
| 8 | Adamantane,1,3-dimethyl | A. nobilis | Aerial part [32] | Polycyclic hydrocarbon | ![]() Compound 31 | NS |
| 9 | 3-chloro-4-t-buthyl-6-phenyl pyridazin | A. nobilis | Aerial part [32] | Heterocyclic compound | ![]() Compound 32 | NS |
| 10 | Pentadecanone | A. nobilis subsp. neilreichii | Aerial part [34] | Aliphatic ketone | ![]() Compound 33 | NS |
Disclaimer/Publisher’s Note: The statements, opinions and data contained in all publications are solely those of the individual author(s) and contributor(s) and not of MDPI and/or the editor(s). MDPI and/or the editor(s) disclaim responsibility for any injury to people or property resulting from any ideas, methods, instructions or products referred to in the content. |
© 2025 by the authors. Licensee MDPI, Basel, Switzerland. This article is an open access article distributed under the terms and conditions of the Creative Commons Attribution (CC BY) license (https://creativecommons.org/licenses/by/4.0/).
Share and Cite
Shevchenko, A.; Аkhelova, A.; Nokerbek, S.; Kaldybayeva, A.; Sagyndykova, L.; Raganina, K.; Dossymbekova, R.; Meldebekova, A.; Amirkhanova, A.; Ikhsanov, Y.; et al. Phytochemistry, Pharmacological Potential, and Ethnomedicinal Relevance of Achillea nobilis and Its Subspecies: A Comprehensive Review. Molecules 2025, 30, 2460. https://doi.org/10.3390/molecules30112460
Shevchenko A, Аkhelova A, Nokerbek S, Kaldybayeva A, Sagyndykova L, Raganina K, Dossymbekova R, Meldebekova A, Amirkhanova A, Ikhsanov Y, et al. Phytochemistry, Pharmacological Potential, and Ethnomedicinal Relevance of Achillea nobilis and Its Subspecies: A Comprehensive Review. Molecules. 2025; 30(11):2460. https://doi.org/10.3390/molecules30112460
Chicago/Turabian StyleShevchenko, Anastassiya, Aiman Аkhelova, Shamshabanu Nokerbek, Aigul Kaldybayeva, Lyazzat Sagyndykova, Karlygash Raganina, Raushan Dossymbekova, Aliya Meldebekova, Akerke Amirkhanova, Yerbol Ikhsanov, and et al. 2025. "Phytochemistry, Pharmacological Potential, and Ethnomedicinal Relevance of Achillea nobilis and Its Subspecies: A Comprehensive Review" Molecules 30, no. 11: 2460. https://doi.org/10.3390/molecules30112460
APA StyleShevchenko, A., Аkhelova, A., Nokerbek, S., Kaldybayeva, A., Sagyndykova, L., Raganina, K., Dossymbekova, R., Meldebekova, A., Amirkhanova, A., Ikhsanov, Y., Sauranbayeva, G., Kamalova, M., & Toregeldieva, A. (2025). Phytochemistry, Pharmacological Potential, and Ethnomedicinal Relevance of Achillea nobilis and Its Subspecies: A Comprehensive Review. Molecules, 30(11), 2460. https://doi.org/10.3390/molecules30112460
























