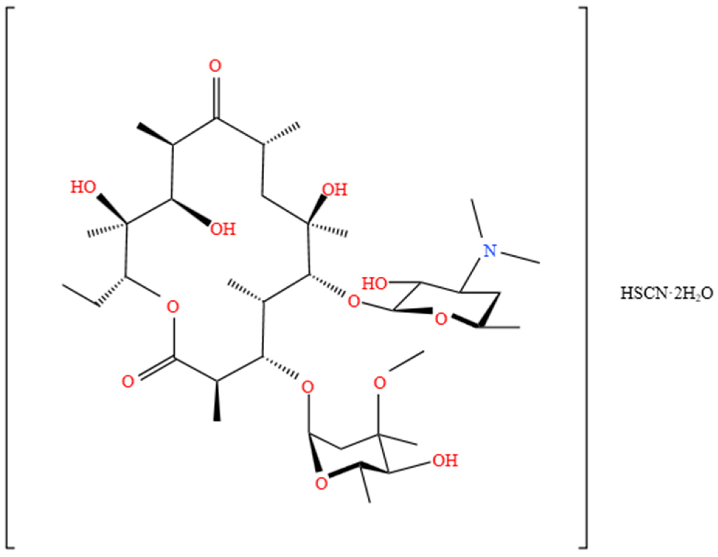
Thermodynamic Behavior of Erythromycin Thiocyanate Dihydrate in Six Pure Solvents and Two Binary Solvents
Abstract
1. Introduction
2. Results and Discussion
2.1. Powder X-Ray Diffraction(PXRD) Data
2.2. DSC and TGA Data
2.3. Solubility of Erythromycin Thiocyanate Dihydrate in Pure Solvent
2.4. Solubility Data of Erythromycin Thiocyanate Dihydrate in Binary Solvents
3. Experimental and Computational Methods
3.1. Experimental Materials
3.2. Characterization Methods
3.3. Solubility Measurement of Erythromycin Thiocyanate Dihydrate
3.4. Solubility Calculation
3.5. The Apelblat Model
3.6. Yaws Model
3.7. Van’t Hoff Model
3.8. CNIBS/R-K Model
3.9. Apelblat–Jouyban–Acree Model
3.10. Model Evaluation
4. Conclusions
5. Associated Content
Supporting Information
Supplementary Materials
Author Contributions
Funding
Data Availability Statement
Conflicts of Interest
References
- Fu, K.; Jiang, S.; Sun, X.; Mu, H.; Zheng, G.; Wang, G. Solubility Measurement and Model Correlation of 4-Acetoxyazetidin-2-one in 12 Pure Solvents and One Binary Solvent at 293.15 to 333.15 K. J. Chem. Eng. Data 2024, 69, 4114–4126. [Google Scholar] [CrossRef]
- Mou, Y.; Pan, Y.; Pan, Z.; Wang, Y.; Wu, Y.; Fang, S.; Du, S.; Xue, F. Determination and Correlation of the Solubility of D-Psicose in 15 Pure Solvents at Temperatures of 283.15 to 323.15 K. J. Chem. Eng. Data 2024, 69, 3217–3225. [Google Scholar] [CrossRef]
- Li, H.; Jiang, S.; Sun, X.; Xie, W.; Wang, C.; Huang, X.; Jiang, X.; Zou, Y.; Zheng, G.; Wang, G. Equilibrium Solubility Determination, Correlation, and Hansen Solubility Parameters of 2-4-(Dibutylamino)-2-hydroxybenzoyl] Benzoic Acid in 12 Pure Solvents. J. Chem. Eng. Data 2024, 69, 4186–4196. [Google Scholar] [CrossRef]
- Xing, X.; Zhao, L.; Li, J.; Xiao, Y.; Ding, M.; Li, B.; Wang, P. Determination of l-Tryptophan Methyl Ester Hydrochloride Solubility in 12 Pure Solvent Systems from 283.15 to 323.15 K. J. Chem. Eng. Data 2024, 69, 3137–3147. [Google Scholar] [CrossRef]
- Traiwongsa, N.; Srinam, N.; Mohdee, V.; Pancharoen, U.; Punyain, W.; Nootong, K. Solid–liquid solubility behavior of thiourea in twelve organic solvents; solubility experiments, data correlation, solvent analysis, and molecular simulations. J. Mol. Liq. 2025, 429, 127622. [Google Scholar] [CrossRef]
- Cong, C.; Chong, L.; Qiang, L.; Jun, C.; Lizhen, C.; Jianlong, W. Solubility, correlation, Hansen solubility parameter and thermodynamic analysis of 2,4-dinitroanisole in three binary mixed solvents. J. Mol. Liq. 2024, 393, 123682. [Google Scholar] [CrossRef]
- Li, Y.; Yin, Q.; Zhang, M.; Bao, Y.; Hou, B.; Wang, J.; Huang, J.; Zhou, L. Characterization and structure analysis of the heterosolvate of erythromycin thiocyanate. Chin. J. Chem. Eng. 2022, 44, 268–274. [Google Scholar] [CrossRef]
- Liu, L. Hydrates of Erythromycin Salts, Preparation and Use Thereof. U.S. Patent 8,470,787, 25 June 2013. [Google Scholar]
- Liu, G.; Zhang, X.; Zou, T.; Teng, Z.; Liang, L.; Cheng, Z.; Liu, S.; Wang, L.; Shen, X. Refining Method and Preparation Method of Erythromycin Thiocyanate. CN 103275150A, 19 February 2013. [Google Scholar]
- Huang, J.; Yin, Q.; Hao, H.; Zhang, M.; Zhang, Z.; Guo, M.; Wang, J.; Bao, Y.; Hou, B.; Xie, C. Solid-liquid equilibrium of erythromycin thiocyanate dihydrate in four mono-solvents and three binary solvent mixtures. J. Mol. Liq. 2017, 234, 408–416. [Google Scholar] [CrossRef]
- Noubigh, A.; Abderrabba, M. Investigation on solvent effect, transfer properties and preferential solvation of pentaerythritol in (methanol, ethanol and 2-propanol) + water mixtures. J. Mol. Liq. 2025, 422, 126969. [Google Scholar] [CrossRef]
- Xiao, Y.; Zhang, Z.; Zhao, L.; Xing, X.; Li, J.; Ding, M.; Li, B.; Wang, P. Solubility Behavior and Data Correlation of Edaravone in 12 Individual Solvents at Multiple Temperatures. J. Chem. Eng. Data. 2024, 69, 4059–4070. [Google Scholar] [CrossRef]
- Apelblat, A.; Manzurola, E. Solubilities of L-aspartic, DL-aspartic, DL-glutamic, p-hydroxybenzoic, o-anisic, p-anisic, and itaconic acids in water from T = 278 K to T = 345 K. J. Chem. Thermodyn. 1997, 29, 1527–1533. [Google Scholar] [CrossRef]
- Li, X.; Huang, X.; Li, P.; Feng, J.; Ma, W.; Zhang, J.; Wang, N.; Wang, T.; Hao, H. Thermodynamic data of dicloxacillin sodium in six pure solvents and three binary solvents. J. Mol. Liq. 2025, 424, 127043. [Google Scholar] [CrossRef]
- Yaws, C.L. Chemical Properties Handbook; McGraw-Hill: New York, NY, USA, 1999. [Google Scholar]
- Wu, X.; Yang, S.; Xu, S.; Zhang, X.; Ren, Y. Measurement and correlation of the solubility of sodium acetate in eight pure and binary solvents. Chin. J. Chem. Eng. 2022, 44, 474–484. [Google Scholar] [CrossRef]
- Li, H.; Zhu, B.; Sun, K.; Ding, X. The dissolution behavior of 3,4-O-isopropylidene clindamycin in twelve mono-solvents: Solubility, intermolecular interactions, and apparent thermodynamics. Thermochim. Acta 2024, 738, 179791. [Google Scholar] [CrossRef]
- Van ‘t Hoff, J.H. Études de Dynamique Chimique; F. Müller & Co.: Amsterdam, The Netherlands, 1884. [Google Scholar]
- Wang, S.; Xu, Y.; Wang, Y.; Yi, Y.; Wei, M.; Zhang, L.; Liu, X.; Yuan, H.; Lu, J. Solubilities measurement and molecular simulation of (R,S)- and (S)-sulpiride in seven pure solvents and four mixtures (chiral ionic liquids + methanol) from 283.15 K to 323.15 K. J. Mol. Liq. 2024, 413, 125928. [Google Scholar] [CrossRef]
- Acree, W.E.; Zvaigzne, A.I. Thermodynamic Properties of Nonelectrolyte Solutions: Part 4. Solubility and Solvent Composition. Thermochim. Acta 1991, 178, 151–167. [Google Scholar] [CrossRef]
- Jouyban, A.; Acree, W.E. Mathematical Representation of Solubility of Pharmaceuticals in Mixed Solvents Using Jouyban-Acree Model. Int. J. Pharm 1998, 167, 177–185. [Google Scholar]
- Cao, H.; Xiao, Y.; Liu, Y.; Zhou, L.; Yin, Q. Solubility of Perindopril l-Arginine in 10 Pure Solvents and 3 Binary Solvents from 278.15 to 323.15 K. J. Chem. Eng. Data 2024, 69, 4206–4215. [Google Scholar] [CrossRef]
- Noubigh, A.; Khmissi, H.; Abderrabba, M. Measurement, Solvent Effect, and Thermodynamic Modeling of the Solubility of Benzohydrazide and 2-Hydroxybenzohydrazide in Six Pure Solvents. J. Chem. Eng. Data 2024, 69, 3148–3156. [Google Scholar] [CrossRef]
- Li, J.; Zhao, L.; Xing, X.; Xiao, Y.; Ding, M.; Li, B.; Wang, P. Solubility Behavior, Hansen Solubility Parameters, and Thermodynamic Modeling of 9-Phenylcarbazole in 12 Monosolvents from 283.15 to 323.15 K. J. Chem. Eng. Data 2024, 69, 2842–2855. [Google Scholar] [CrossRef]





| T/K | 103 x1exp | 103 x1cal,yaws | 103 x1cal,Apelblat | 103 x1cal,Van’t |
|---|---|---|---|---|
| methanol | ||||
| 278.15 | 10.51 | 9.965 | 10.31 | 9.935 |
| 283.15 | 11.19 | 11.00 | 11.14 | 10.98 |
| 288.15 | 11.90 | 12.10 | 12.08 | 12.10 |
| 293.15 | 12.72 | 13.28 | 13.13 | 13.29 |
| 298.15 | 14.33 | 14.53 | 14.31 | 14.54 |
| 303.15 | 15.87 | 15.85 | 15.62 | 15.87 |
| 308.15 | 17.29 | 17.25 | 17.10 | 17.27 |
| 313.15 | 18.83 | 18.72 | 18.74 | 18.75 |
| 318.15 | 20.37 | 20.27 | 20.58 | 20.30 |
| n-propanol | ||||
| 278.15 | 3.792 | 3.264 | 3.738 | 3.232 |
| 283.15 | 3.934 | 3.684 | 3.894 | 3.669 |
| 288.15 | 4.058 | 4.148 | 4.138 | 4.147 |
| 293.15 | 4.317 | 4.657 | 4.479 | 4.667 |
| 298.15 | 4.843 | 5.215 | 4.931 | 5.232 |
| 303.15 | 5.582 | 5.824 | 5.516 | 5.843 |
| 308.15 | 6.390 | 6.489 | 6.263 | 6.502 |
| 313.15 | 7.287 | 7.211 | 7.210 | 7.210 |
| 318.15 | 8.369 | 7.996 | 8.408 | 7.970 |
| methyl acetate | ||||
| 278.15 | 0.094 | 0.095 | 0.092 | 0.095 |
| 283.15 | 0.118 | 0.121 | 0.118 | 0.121 |
| 288.15 | 0.149 | 0.151 | 0.150 | 0.151 |
| 293.15 | 0.187 | 0.189 | 0.189 | 0.189 |
| 298.15 | 0.237 | 0.233 | 0.235 | 0.233 |
| 303.15 | 0.288 | 0.287 | 0.289 | 0.287 |
| 308.15 | 0.355 | 0.350 | 0.352 | 0.350 |
| 313.15 | 0.424 | 0.425 | 0.425 | 0.425 |
| 318.15 | 0.509 | 0.512 | 0.509 | 0.512 |
| ethyl acetate | ||||
| 278.15 | 0.095 | 0.083 | 0.092 | 0.083 |
| 283.15 | 0.111 | 0.109 | 0.115 | 0.109 |
| 288.15 | 0.142 | 0.142 | 0.145 | 0.141 |
| 293.15 | 0.184 | 0.182 | 0.182 | 0.182 |
| 298.15 | 0.231 | 0.233 | 0.230 | 0.233 |
| 303.15 | 0.291 | 0.296 | 0.290 | 0.296 |
| 308.15 | 0.368 | 0.372 | 0.366 | 0.372 |
| 313.15 | 0.457 | 0.465 | 0.462 | 0.465 |
| 318.15 | 0.586 | 0.577 | 0.584 | 0.577 |
| propyl acetate | ||||
| 278.15 | 0.174 | 0.192 | 0.174 | 0.192 |
| 283.15 | 0.218 | 0.226 | 0.216 | 0.226 |
| 288.15 | 0.260 | 0.265 | 0.263 | 0.265 |
| 293.15 | 0.315 | 0.309 | 0.314 | 0.309 |
| 298.15 | 0.368 | 0.358 | 0.369 | 0.358 |
| 303.15 | 0.425 | 0.414 | 0.426 | 0.414 |
| 308.15 | 0.488 | 0.475 | 0.485 | 0.475 |
| 313.15 | 0.545 | 0.543 | 0.545 | 0.544 |
| 318.15 | 0.602 | 0.619 | 0.603 | 0.619 |
| water | ||||
| 278.15 | 0.010 | 0.006 | 0.012 | 0.006 |
| 283.15 | 0.016 | 0.011 | 0.017 | 0.011 |
| 288.15 | 0.024 | 0.019 | 0.025 | 0.019 |
| 293.15 | 0.037 | 0.033 | 0.038 | 0.032 |
| 298.15 | 0.059 | 0.055 | 0.058 | 0.055 |
| 303.15 | 0.096 | 0.093 | 0.092 | 0.093 |
| 308.15 | 0.149 | 0.153 | 0.148 | 0.153 |
| 313.15 | 0.238 | 0.248 | 0.242 | 0.248 |
| 318.15 | 0.403 | 0.397 | 0.402 | 0.397 |
| x2 | 103 x1exp | 103 x1cal,AJA | 103 x1cal,CNIBS | 103 x1cal,Apelblat |
|---|---|---|---|---|
| T = 278.15 K | ||||
| 0 | 0.010 | 0.012 | 0.012 | 0.012 |
| 0.2 | 0.081 | 0.074 | 0.080 | 0.081 |
| 0.4 | 0.454 | 0.429 | 0.454 | 0.465 |
| 0.6 | 1.852 | 1.740 | 1.852 | 1.861 |
| 0.8 | 5.183 | 4.825 | 5.183 | 5.185 |
| 1 | 10.51 | 11.87 | 10.50 | 10.31 |
| T = 283.15 K | ||||
| 0 | 0.016 | 0.017 | 0.018 | 0.017 |
| 0.2 | 0.103 | 0.098 | 0.102 | 0.104 |
| 0.4 | 0.550 | 0.528 | 0.550 | 0.557 |
| 0.6 | 2.083 | 2.000 | 2.083 | 2.085 |
| 0.8 | 5.310 | 5.214 | 5.310 | 5.392 |
| 1 | 11.19 | 12.08 | 11.19 | 11.14 |
| T = 288.15 K | ||||
| 0 | 0.024 | 0.025 | 0.027 | 0.025 |
| 0.2 | 0.137 | 0.133 | 0.135 | 0.137 |
| 0.4 | 0.677 | 0.662 | 0.678 | 0.681 |
| 0.6 | 2.412 | 2.340 | 2.412 | 2.387 |
| 0.8 | 5.777 | 5.724 | 5.777 | 5.751 |
| 1 | 11.90 | 12.48 | 11.89 | 12.08 |
| T = 293.15 K | ||||
| 0 | 0.037 | 0.038 | 0.038 | 0.038 |
| 0.2 | 0.186 | 0.183 | 0.186 | 0.185 |
| 0.4 | 0.854 | 0.846 | 0.855 | 0.851 |
| 0.6 | 2.791 | 2.783 | 2.791 | 2.789 |
| 0.8 | 6.341 | 6.378 | 6.341 | 6.280 |
| 1 | 12.72 | 13.05 | 12.70 | 13.13 |
| T = 298.15 K | ||||
| 0 | 0.059 | 0.058 | 0.050 | 0.058 |
| 0.2 | 0.252 | 0.257 | 0.260 | 0.254 |
| 0.4 | 1.121 | 1.098 | 1.117 | 1.085 |
| 0.6 | 3.317 | 3.359 | 3.318 | 3.320 |
| 0.8 | 7.128 | 7.206 | 7.128 | 7.012 |
| 1 | 14.33 | 13.83 | 14.30 | 14.31 |
| T = 303.15 K | ||||
| 0 | 0.096 | 0.089 | 0.094 | 0.092 |
| 0.2 | 0.357 | 0.367 | 0.359 | 0.356 |
| 0.4 | 1.411 | 1.447 | 1.410 | 1.409 |
| 0.6 | 3.982 | 4.113 | 3.982 | 4.021 |
| 0.8 | 7.971 | 8.246 | 7.971 | 7.990 |
| 1 | 15.87 | 14.82 | 15.90 | 15.62 |
| T = 308.15 K | ||||
| 0 | 0.149 | 0.140 | 0.150 | 0.148 |
| 0.2 | 0.511 | 0.531 | 0.509 | 0.508 |
| 0.4 | 1.875 | 1.933 | 1.876 | 1.861 |
| 0.6 | 4.973 | 5.103 | 4.973 | 4.950 |
| 0.8 | 9.254 | 9.550 | 9.255 | 9.281 |
| 1 | 17.29 | 16.05 | 17.30 | 17.10 |
| T = 313.15 K | ||||
| 0 | 0.238 | 0.222 | 0.249 | 0.242 |
| 0.2 | 0.733 | 0.779 | 0.714 | 0.737 |
| 0.4 | 2.438 | 2.617 | 2.450 | 2.496 |
| 0.6 | 6.192 | 6.407 | 6.188 | 6.185 |
| 0.8 | 10.80 | 11.18 | 10.80 | 10.98 |
| 1 | 18.83 | 17.56 | 18.80 | 18.74 |
| T = 318.15 K | ||||
| 0 | 0.403 | 0.358 | 0.381 | 0.402 |
| 0.2 | 1.088 | 1.157 | 1.126 | 1.087 |
| 0.4 | 3.423 | 3.585 | 3.398 | 3.398 |
| 0.6 | 7.832 | 8.135 | 7.843 | 7.837 |
| 0.8 | 13.30 | 13.23 | 13.30 | 13.20 |
| 1 | 20.37 | 19.39 | 20.40 | 20.58 |
| x2 | 103 x1exp | 103 x1cal,AJA | 103 x1cal,CNIBS | 103 x1cal,Apelblat |
|---|---|---|---|---|
| T = 278.15 K | ||||
| 0 | 0.010 | 0.011 | 0.009 | 0.012 |
| 0.2 | 0.100 | 0.099 | 0.100 | 0.100 |
| 0.4 | 0.436 | 0.424 | 0.435 | 0.436 |
| 0.6 | 1.265 | 1.208 | 1.265 | 1.265 |
| 0.8 | 2.806 | 2.622 | 2.806 | 2.806 |
| 1 | 3.792 | 4.143 | 3.790 | 3.738 |
| T = 283.15 K | ||||
| 0 | 0.016 | 0.017 | 0.015 | 0.017 |
| 0.2 | 0.141 | 0.137 | 0.141 | 0.141 |
| 0.4 | 0.558 | 0.539 | 0.558 | 0.558 |
| 0.6 | 1.480 | 1.420 | 1.480 | 1.480 |
| 0.8 | 3.013 | 2.865 | 3.013 | 3.013 |
| 1 | 3.934 | 4.231 | 3.930 | 3.894 |
| T = 288.15 K | ||||
| 0 | 0.024 | 0.026 | 0.024 | 0.025 |
| 0.2 | 0.198 | 0.191 | 0.198 | 0.198 |
| 0.4 | 0.716 | 0.691 | 0.716 | 0.716 |
| 0.6 | 1.746 | 1.688 | 1.746 | 1.746 |
| 0.8 | 3.281 | 3.175 | 3.281 | 3.281 |
| 1 | 4.058 | 4.392 | 4.060 | 4.138 |
| T = 293.15 K | ||||
| 0 | 0.037 | 0.040 | 0.039 | 0.038 |
| 0.2 | 0.276 | 0.267 | 0.279 | 0.277 |
| 0.4 | 0.920 | 0.893 | 0.921 | 0.920 |
| 0.6 | 2.073 | 2.028 | 2.073 | 2.073 |
| 0.8 | 3.619 | 3.563 | 3.619 | 3.619 |
| 1 | 4.317 | 4.630 | 4.320 | 4.479 |
| T = 298.15 K | ||||
| 0 | 0.059 | 0.061 | 0.060 | 0.058 |
| 0.2 | 0.385 | 0.375 | 0.383 | 0.385 |
| 0.4 | 1.182 | 1.162 | 1.183 | 1.182 |
| 0.6 | 2.478 | 2.460 | 2.478 | 2.478 |
| 0.8 | 4.040 | 4.047 | 4.040 | 4.040 |
| 1 | 4.843 | 4.949 | 4.840 | 4.931 |
| T = 303.15 K | ||||
| 0 | 0.096 | 0.094 | 0.098 | 0.092 |
| 0.2 | 0.533 | 0.528 | 0.531 | 0.533 |
| 0.4 | 1.521 | 1.520 | 1.522 | 1.521 |
| 0.6 | 2.979 | 3.010 | 2.979 | 2.980 |
| 0.8 | 4.560 | 4.648 | 4.560 | 4.560 |
| 1 | 5.558 | 5.362 | 5.560 | 5.516 |
| T = 308.15 K | ||||
| 0 | 0.149 | 0.143 | 0.153 | 0.148 |
| 0.2 | 0.734 | 0.746 | 0.730 | 0.735 |
| 0.4 | 1.957 | 2.001 | 1.960 | 1.957 |
| 0.6 | 3.603 | 3.712 | 3.601 | 3.603 |
| 0.8 | 5.201 | 5.394 | 5.201 | 5.201 |
| 1 | 6.390 | 5.882 | 6.390 | 6.263 |
| T = 313.15 K | ||||
| 0 | 0.238 | 0.220 | 0.240 | 0.242 |
| 0.2 | 1.007 | 1.057 | 1.005 | 1.008 |
| 0.4 | 2.520 | 2.648 | 2.522 | 2.520 |
| 0.6 | 4.378 | 4.613 | 4.377 | 4.378 |
| 0.8 | 5.988 | 6.319 | 5.988 | 5.988 |
| 1 | 7.287 | 6.526 | 7.290 | 7.210 |
| T = 318.15 K | ||||
| 0 | 0.403 | 0.338 | 0.397 | 0.402 |
| 0.2 | 1.376 | 1.502 | 1.385 | 1.376 |
| 0.4 | 3.245 | 3.520 | 3.237 | 3.245 |
| 0.6 | 5.344 | 5.772 | 5.349 | 5.344 |
| 0.8 | 6.956 | 7.470 | 6.955 | 6.956 |
| 1 | 8.369 | 7.320 | 8.370 | 8.408 |
| Chemical Name | Mass Purity (%) | Source |
|---|---|---|
| erythromycin thiocyanate dihydrate | ≥99.0 | Yili Chuanning Biopharmaceutical Co., Ltd. (Yili, China) |
| methanol | ≥99.5 | Li’an Long Bohua (Tianjin) Pharmaceutical Co., Ltd. (Tianjin, China) |
| n-propanol | ≥99.5 | Li’an Long Bohua (Tianjin) Pharmaceutical Co., Ltd. (Tianjin, China) |
| methyl acetate | ≥99.5 | Li’an Long Bohua (Tianjin) Pharmaceutical Co., Ltd. (Tianjin, China) |
| ethyl acetate | ≥99.5 | Li’an Long Bohua (Tianjin) Pharmaceutical Co., Ltd. (Tianjin, China) |
| propyl acetate | ≥99.5 | Li’an Long Bohua (Tianjin) Pharmaceutical Co., Ltd. (Tianjin, China) |
Disclaimer/Publisher’s Note: The statements, opinions and data contained in all publications are solely those of the individual author(s) and contributor(s) and not of MDPI and/or the editor(s). MDPI and/or the editor(s) disclaim responsibility for any injury to people or property resulting from any ideas, methods, instructions or products referred to in the content. |
© 2025 by the authors. Licensee MDPI, Basel, Switzerland. This article is an open access article distributed under the terms and conditions of the Creative Commons Attribution (CC BY) license (https://creativecommons.org/licenses/by/4.0/).
Share and Cite
Feng, J.; Li, X.; Zhai, L.; Li, P.; Qin, T.; Wang, N.; Zhou, L.; Zhang, B.; Wang, T.; Huang, X.; et al. Thermodynamic Behavior of Erythromycin Thiocyanate Dihydrate in Six Pure Solvents and Two Binary Solvents. Molecules 2025, 30, 2424. https://doi.org/10.3390/molecules30112424
Feng J, Li X, Zhai L, Li P, Qin T, Wang N, Zhou L, Zhang B, Wang T, Huang X, et al. Thermodynamic Behavior of Erythromycin Thiocyanate Dihydrate in Six Pure Solvents and Two Binary Solvents. Molecules. 2025; 30(11):2424. https://doi.org/10.3390/molecules30112424
Chicago/Turabian StyleFeng, Jin, Xunhui Li, Lianjie Zhai, Peizhou Li, Ting Qin, Na Wang, Lu Zhou, Baoxin Zhang, Ting Wang, Xin Huang, and et al. 2025. "Thermodynamic Behavior of Erythromycin Thiocyanate Dihydrate in Six Pure Solvents and Two Binary Solvents" Molecules 30, no. 11: 2424. https://doi.org/10.3390/molecules30112424
APA StyleFeng, J., Li, X., Zhai, L., Li, P., Qin, T., Wang, N., Zhou, L., Zhang, B., Wang, T., Huang, X., & Hao, H. (2025). Thermodynamic Behavior of Erythromycin Thiocyanate Dihydrate in Six Pure Solvents and Two Binary Solvents. Molecules, 30(11), 2424. https://doi.org/10.3390/molecules30112424

