Next Article in Journal
Functional Approaches to Discover New Compounds via Enzymatic Modification: Predicted Data Mining Approach and Biotransformation-Guided Purification
Previous Article in Journal
Effect of Chitooligosaccharides on TLR2/NF-κB Signaling in LPS-Stimulated RAW 264.7 Macrophages
 
 
Font Type:
Arial Georgia Verdana
Font Size:
Aa Aa Aa
Line Spacing:
Column Width:
Background:
Article

Experimental Investigation of the Stability of AunCln+m (n = 1–5; m = 1, 3, 5, 7) Clusters by Laser Desorption/Ionization Mass Spectrometry

by
Filip Veljković
1,
Xianglei Kong
2,3,*,
Stevan Dimitrijević
4,
Marija Janković
1,
Bojan Janković
1,
Vladimir Dodevski
1,* and
Suzana Veličković
1
1
‘‘VINČA” Institute of Nuclear Sciences, National Institute of the Republic of Serbia, University of Belgrade, Mike Petrovica Alasa 12-14, 11351 Belgrade, Serbia
2
State Key Laboratory of Elemento-Organic Chemistry, Frontiers Science Center for New Organic Matter, College of Chemistry, Nankai University, Tianjin 300071, China
3
Tianjin Key Laboratory of Biosensing and Molecular Recognition, College of Chemistry, Nankai University, Tianjin 300071, China
4
Innovation Centre of Faculty of Technology and Metallurgy Belgrade, University of Belgrade, Karnegijeva 4, 11120 Belgrade, Serbia
*
Authors to whom correspondence should be addressed.
Molecules 2025, 30(10), 2227; https://doi.org/10.3390/molecules30102227
Submission received: 17 April 2025 / Revised: 9 May 2025 / Accepted: 17 May 2025 / Published: 20 May 2025
(This article belongs to the Section Physical Chemistry)

Abstract

The stability of gold chloride clusters is an important topic in catalysis and nanomaterials, but experimental data are missing. Here, fourteen different clusters were obtained simultaneously using laser desorption/ionization mass spectrometry and were identified as AunCln+m (n = 1–5; m = 1, 3, 5, 7) or AuCln+1, Au2Cl2n+1, Au3Cl2n+2, Au4Cl2n+1 and Au5Cl2n+2. Consequently, the effects of laser intensity on their stability were evaluated, considering differences in the AuCl unit or the number of Cl atoms. For the AunCln+1 and AunCln+3 groups, the relative intensity of the clusters decreased with each additional AuCl unit as the laser intensity increased. AunCln+5 clusters showed a different trend in relative intensities: Au3Cl8 > Au2Cl7 > Au4Cl9 > Au5Cl10. The mononuclear AuCl4 showed the highest stability, which is consistent with their “superhalogen” character. In the Au2Cl2n+1 clusters, Au2Cl5 with Au (III)–Au(I) interaction was more stable at lower laser intensities, while Au2Cl3 with Au(I)–Au(I) bonds became more dominant at higher intensities. Among the Au3Cl2n+2, Au4Cl2n+1 clusters, those with purely “aurophilic” interactions became increasingly stable with increasing laser intensity. These results emphasize the importance of bond type and cluster size for the stability of gold chloride clusters at different laser intensities.

Graphical Abstract

1. Introduction

Understanding the chemical bonding and structure of gold chloride compounds and clusters plays an important role in many fields, such as nanoscience [1,2,3,4,5], environmental science, geological studies [6,7,8,9] and homogeneous and heterogeneous catalysis [10,11,12,13,14,15,16]. Barngrover and colleagues investigated the transformation of gold(III) chloride complexes into gold(I) thiolate species—a key step in the synthesis of thiolate-stabilized gold nanoparticles. Their work highlighted that the ligand exchange between chloride and thiolate ligands occurs with a low-activation energy barrier (~0.35 eV), facilitating the formation of gold chloride–thiolate or gold–thiolate clusters or nanoparticles from gold chloride precursors [2]. In a separate study, Davies and co-workers examined the catalytic behavior of gold supported on carbon (Au/C) in the hydrochlorination of acetylene—an important industrial process for the production of vinyl chloride monomers. Their results demonstrated that Au–Cl complexes play an essential role in catalytic activity [11]. Accordingly, additional insight into the stability of various gold chloride clusters can offer valuable information for understanding nanoparticle formation mechanisms and for designing catalysts with tailored properties.
In general, the chemistry of gold chloride differs from that of other related metals. Metal chloride complexes have mainly ionic properties, whereas gold-containing compounds have a pronounced covalent character. These differences are due to the strong relativistic effect that occurs in gold, leading to the stabilization of the outer 6s orbital and destabilization of the 5d orbitals, resulting in a decrease in the 6s–5d energy gap and an increase in s-d hybridization, which is responsible for the presence of covalent bonds between Au and Cl [17,18,19]. Gold chloride clusters also have an interesting structure and properties [20,21,22,23,24]. Theoretical studies have shown that the anions of the AunCln+1 cluster (n = 2–7), as the most stable isomers, have a planar zigzag structure characterized by an interesting interaction between the gold atoms. At the base of the cluster structure AunCln+1 for n > 2, there is a terminal Au···Au interaction (interaction between the terminal gold atom and the neighboring gold atom) and the interaction between two inner neighboring gold atoms (so-called non-terminal Au···Au interaction) [22]. These distances between the terminal and non-terminal gold atom are shorter than the sum of the van der Waals radii of two gold atoms, which is unexpected since the gold(I) centers have a closed-shell electronic configuration [5d10]. Therefore, this Au···Au interaction, whose energy lies between the van der Waals and covalent bonding, has been termed the “aurophilic interaction” [25]. An increase in n in AunCln+1 clusters leads to a stronger “aurophilic interaction” between neighboring gold atoms. It has also been shown that the “aurophilic interactions” in gold–iodine clusters (AunIn+1) are stronger than in these gold–chlorine clusters [26]. The distances of Au···Au in the clusters of AunCln+3 (n = 3–7) are somewhat shorter than the corresponding distances in AunCln+1. The main structural difference between these clusters is the presence of the AuCl4 unit, i.e., there is an Au (III) atom at the edge connected to four Cl atoms, which is not the case in the AunCln+1 cluster [21,22].
The relativistic effects can be decisive for the stability of the oxidation states of the 5d elements [27]. While the halogen chemistry of silver and copper is restricted to the oxidation states +I and +II, the oxidation states +I and +III are known for gold, while the divalent Au(II) occurs less frequently [28]. Gold can have different oxidation states in anionic, neutral and cationic complexes such as AuCl2 (the valence of Au is +I in AuCl2, the valence of Au is +II for AuCl2 and the valence of Au is +III for AuCl2+). Since the oxidation states of Au can be increased by adding electronegative ligands such as chlorine (e.g., AuCl, AuCl2 and AuCl3), AuCln-type gold clusters (n = 1–6) were selected as a good prototype for exploring the maximum possible oxidation states of gold [24,29,30]. Theoretical studies have shown that the participation of d electrons in the bonding increases with the increase in Cl atoms, so +V is the highest possible oxidation state of Au in the AuCln clusters. It is also shown that with an increase in the number of Cl atoms above 3 in the AuCln clusters (n= 2–6), a delocalization of the additional electron over several Cl atoms occurs. The consequence of this electron delocalization is the fact that AuCln clusters (n ≥ 2) have an adiabatic electron affinity (EA) that is greater than the EA of Cl, so these clusters belong to the group of “superhalogens” [31,32,33]. It is interesting to note that the electron affinity of Au2n clusters increases with the addition of Cl atoms. It should be emphasized that in the group of Au2nCl clusters (n = 1−4), the electron affinity of Au2Cl is higher than that of Cl, which is very unusual for a multimetal cluster belonging to a group of “superhalogens” [24].
Experimentally, gold chloride clusters are generally obtained in the gas phase using various types of mass spectrometers. Karataev et al., for example, used a high-resolution time-of-flight mass spectrometer with electron impact ionization (EI-TOF-MS) for their experiment [34]. A sample of HAuCl4 (weighing 1–2 mg) was placed in a quartz crucible and heated at 100–120 °C in a tantalum furnace. In this way, the following gold clusters were recorded in the positive-mode mass spectrum: Au2Cl+, Au2Cl2+, Au2Cl3+, Au2Cl4+, Au2Cl6+. Lemke et al. have presented that the mononuclear clusters of the types [AuCl2]+(H2O)n (n = 0–4), [AuOHCl]+ (H2O)n (n = 0–1) and [AuCl2]+(HCl)2(H2O)n (n = 0–4) and the dinuclear [Au2Cl5-xOHx]+(H2O)n (x = 0–1) can be obtained by electrospray ionization Fourier transform ion cyclotron resonance mass spectrometry (ESI-FTICR-MS). The sample was an aqueous AuCl3 solution (concentration 5–50 mM). The results showed that with increasing AuCl3 concentration, the abundance of the dinuclear gold–chloride cluster fraction increases, especially [Au2Cl5]+(H2O)n [35]. Ma et al. used a matrix-assisted laser desorption/ionization Fourier transform ion cyclotron resonance mass spectrometer (MALDI-FTICR-MS) in their study [23]. The sample was HAuCl4 at a concentration of 2 mg/mL prepared in water, while the graphene was a matrix at a concentration of 1 mg/mL dispersed in acetone. First, 1 μL of the graphene dispersion was applied to the stainless target spot, and after drying, 1 μL of the HAuCl4 solution was added to the same spot. The mass spectrum was generated using a Nd:YAG laser with typical laser energy of 3 mJ/pulse and a wavelength of 355 nm. In contrast to the two previous cases, the mass spectrum here was recorded in negative ion mode. In this mass spectrum, three main peaks corresponding to Au3Cl2 > Au4Cl > Au2Cl3 clusters and low-intensity peaks of Au5, Au3, Au7~Au6Cl, Au8Cl, Au5Cl2 and Au4Cl3 were detected. The researchers in the same group have shown that when the HAuCl4 concentration was increased to 20 mg/mL and the laser energy was increased by 10%, the cluster anions Au3Cl4 > Au2Cl3 > Au4Cl5 could be identified. In this case, the cluster anions AunCln−1 and AunClnH were also found with low intensity [22].
It is worth noting that previous studies reported only selected gold chloride clusters with low intensity and insufficient stability for detailed analysis, which made systematic classification difficult. Although previous work showed the detection of AunCln+1, AunCln+3 and AunCln+5, (n = 2–4) by LDI-TOF-MS without graphene, the focus was mainly on theoretical considerations [21]. In contrast, this study provides the first experimental insight into how cluster size—by the sequential addition of AuCl or Cl units—affects stability. By varying the laser intensity, we systematically investigated the relative stabilities of the simultaneously formed clusters. These results provide valuable insights into the stability and transformation of gold chloride clusters and help researchers evaluate their role in relevant systems. The results were also compared with previous mass spectra to assess the influence of graphene and with theoretical data to better understand the stability of clusters.

2. Results and Discussion

A typical LDI mass spectrum of HAuCl4 in the positive mode is shown in Figure 1.
For clarity, the representative LDI mass spectrum of HAuCl4 in the negative mode is divided into four parts—m/z 260–360, m/z 480–700, m/z 700–930 and m/z 930–1500—and shown in Figure 2. The theoretical isotopology of the assumed stoichiometry of the gold chloride clusters is shown in Figure 2 next to the corresponding peak groups.
For an easier comparison of the results obtained in this work with the corresponding results available in the literature, Table 1 lists the ions obtained by other authors from the EI-TOF-MS and MALDI-FTICR mass spectra of HAuCl4. It should be noted that Table 1 does not include the ESI-FTICR-MS [35] and LDI-MS results (at a concentration of 2.0–0.025 mg/mL) for HAuCl4 [36] because both studies detected hydrated gold chloride clusters, which are not the subject of this study.
In this study, the positive mode of the LDI mass spectrum of HAuCl4 contains three peaks at m/z 197, 394 and 591, which are identified as Au+, Au2+ and Au3+, respectively (Figure 1). In the laser energy range of 1100–2000 a.u., the individual intensities of the Aun+ clusters (n = 1, 2, 3) decreased with increasing laser energy, while the ratio of their relative intensities was Au+ > Au2+ > Au3+.
The comparison of the results in Figure 1 with the results from the literature (Table 1) shows that the choice of ionization method influences the type of clusters detected. For example, the LDI-MS method in positive mode favors the formation of Aun+ clusters (n = 2, 3), while EI-TOF-MS favors the formation of AunCl+ and Au2Cln+1+ cations from the same sample [34].
In the negative mode of the LDI mass spectrum of HAuCl4 (Figure 2), the following clusters were identified: a “superhalogen” mononuclear cluster of type AuCln+1 (n = 1, 2, 3) in the first part of Figure 2a (m/z 260–360); a dinuclear cluster of type Au2Cl2n+1 in the second part of Figure 2b (m/z 480–700); a trinuclear cluster of type Au3Cl2n+2 in the third part of Figure 2c (m/z 700–930); and a tetranuclear cluster of type Au4Cl2n+1 and pentanuclear Au5Cl2n+2 clusters in the fourth part of Figure 2d (m/z 930–1500). These clusters were detected in the laser intensity range from 1200 to 2600 a.u.
Comparing the available results for the positive and negative modes from Table 1, it can be seen that mononuclear and dinuclear clusters can be obtained in the positive-mode EI-TOF-MS [34], while mononuclear, dinuclear, trinuclear and tetranuclear gold chloride clusters were detected in the negative-mode LDI-TOF-MS. It should also be noted that clusters with two gold atoms and an even number of Cl atoms (Au2Cl4+, Au2Cl6+) were detected in the positive EI-TOF-MS mode, while dinuclear gold clusters with an odd number of Cl atoms (Au2Cl5, Au2Cl7) are stable in the negative LDI-TOF-MS mode. Interestingly, the dinuclear Au2Cl3 cluster is stable in both positive and negative modes.
The influence of graphene on the type of the gold chloride clusters can be observed by comparing the results of the LDI and MALDI methods in negative mode (Figure 2 and Table 1). With the MALDI method, clusters of type AunCl (n = 2, 4, 6, 8), Aun (n = 1–9) and AunCln−1 (n = 3, 4) were detected (the matrix was graphene and the concentration of HAuCl4 was 2 mg/mL, Table 1). The mentioned clusters were not found in the LDI mass spectrum (without graphene and the concentration of HAuCl4 was 2.5 mg/mL, Figure 2).
On the other hand, as mentioned above, the anions AunCln+1, AunCln+3 and AunCln+5 were detected in the LDI mass spectrum (without graphene, the concentration of HAuCl4 was 2.5 mg/mL, Table 1 and Figure 2). However, AunCln+1, AunCln−1, AunClnH anions (n = 1–4) were detected in the MALDI mass spectrum and at a much higher concentration (the concentration of HAuCl4 was 20 mg/mL, Table 1) than in the LDI method.
These indicates that in the negative mode, the presence of graphene is an important factor affecting the stability of some clusters, such as Aun and AunCl, AunCln and AuCln+1, while graphene suppresses the formation of the anions AuCln+1, AuCln+3 and AuCln+5.
To avoid confusion, it must be emphasized that the clusters identified in Figure 2 can be grouped in two ways: as AunCln+m (n = 2–5, m = 1, 3, 5, 7), i.e., as clusters of type AuCln+1, AuCln+3 and AuCln+5 and AunCln+7 (as shown in previous work, which is consistent with previous theoretical results), or as mononuclear, dinuclear, trinuclear, tetranuclear and pentanuclear gold chloride clusters. In accordance with the above, two issues are discussed below: (1) How the increase in AunCln+1, AunCln+3 and AunCln+5 clusters for the AuCl unit affects its stability in the range of laser intensity from 1200 to 2600 a.u.; (2) How the increase in the number of chlorine atoms affects the stability of AuCln+1, Au2Cl2n+1, Au3Cl2n+2, Au4Cl2n+1 and Au5Cl2n+2 clusters due to the increase in laser intensity.
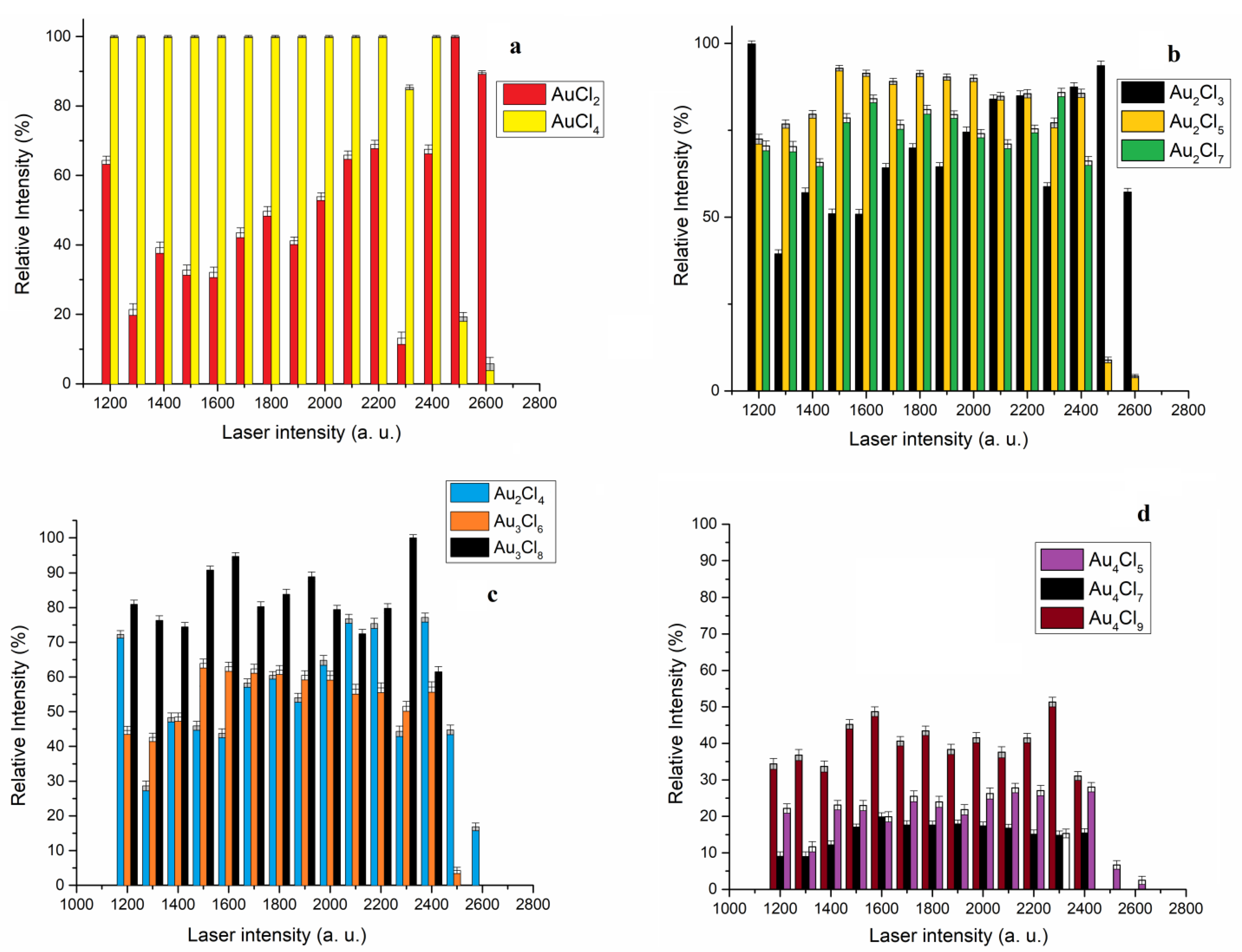
Under our experimental conditions, the Au5Cl10 and Au5Cl12 (pentanuclear Au5Cl2n+2 clusters) were of low intensity (Figure 2d) and could therefore not be included in further investigations. The dependence of the relative intensity of the most abundant isotope vs. the laser intensity (in the range of 1200 do 2600 a.u.) for AuCln+1, AuCln+3 and AuCln+5 clusters is presented in Figure 3a, b and c, respectively.
The relative intensity of the AunCln+1 (n = 2–4) cluster changes in a similar way with increasing laser intensity (Figure 3a). This can be explained by the fact that all clusters of the group AunCln+1 have similar zigzag structures with the characteristic chemical bond Au(I)-A(I). In this case, the Au2Cl3 cluster shows the highest stability in the observed range of laser intensity, which is consistent with previous experimental results [22]. Results have shown that increasing the Au2Cl3 cluster by one AuCl unit leads to a small decrease in stability, and with the addition of another AuCl unit, the stability decreases significantly (Figure 3a). Therefore, the ratio of the relative intensities of AunCln+1 clusters was Au2Cl3 > Au3Cl4 > Au4Cl5 and does not change with the change in laser intensity. This is consistent with theoretical calculations of their binding energies based on the formula Aun−1Cln + AuCl = AuCln+1, where the binding energies decrease in the series Au2Cl3 > Au3Cl4 > Au4Cl5 [22]. In our experimental conditions, we have shown that the Au2Cl3 clusters without “aurophilic” interaction are more stable than Au3Cl4 and Au4Cl5 clusters with “aurophilic” interaction.
The relative intensity of the AunCln+3 clusters changes in the same way with increasing laser intensity, as in the previous case (Figure 3b). The most stable cluster in this group is the Au2Cl5 cluster, which can be described as a fusion of the structural units of AuCl4 and AuCl2 by the elimination of a Cl atom, without “aurophilic” Au(I)-Au(I) interaction [21]. Also in this case, similar to AunCln+1, the stability of the cluster decreases with an increasing number of AuCl units, so the Au4Cl7 cluster has the lowest intensity and could not be detected at laser intensities of 2500 and 2600 a.u. (Figure 3b). In the laser intensity range from 1200 to 2400, the ratio of the relative intensities of the AunCln+3-type clusters is the same, i.e., Au2Cl5 > Au3Cl6 > Au4Cl7 (Figure 3b).
A comparison of the results in Figure 3a,b shows that increasing the AunCln+3 cluster by one AuCl unit leads to greater instability than for the AunCln+1 cluster. It should be noted that for the AunCln+1 and AunCln+3 clusters, the “aurophilic” interaction is present when n > 2 [21,22]. Accordingly, the experimental results indicate that the “aurophilic” Au(I)-Au(I) interaction has a more favorable effect on the stability of the AunCln+1 clusters than the combination of Au(III)-Au(I) and an “aurophilic” Au(I)-Au(I) interaction in the AunCln+3 cluster.
The AunCln+5 clusters were detected in a slightly narrower range of laser intensity from 1200 to 2400 (Figure 3c), indicating their lower stability compared to AunCln+1 and AunCln+3 (Figure 3a,b). However, it should be noted that the relative intensity of the Au2Cl7 and Au3Cl8 clusters was more than 60% in the observed laser intensity ranges. It is interesting to note that four clusters (Au2Cl7, Au3Cl8, Au4Cl9 and Au5Cl10) were identified in the AunCln+5 cluster group, in contrast to the previous two groups where three clusters were identified (Figure 2d). The Au5Cl10 cluster was of low intensity; its relative intensity was between 6 and 10%, but like the other AunCln+5 clusters, it was detected in the same laser range. In addition, the Au3Cl8 cluster (the second largest cluster in this group) is more stable than A2Cl7 and Au4Cl9. However, it should be noted that the Au2Cl and Au3Cl8 clusters, which differ from AuCl, do not show a significant difference in relative intensity, as is the case for the AunCln+3 clusters (Figure 3c). Unfortunately, the results of the theoretical studies on the structure of the AunCln+5 clusters are missing in the literature, so we cannot compare the structure of the AunCln+5 clusters with the other two groups.
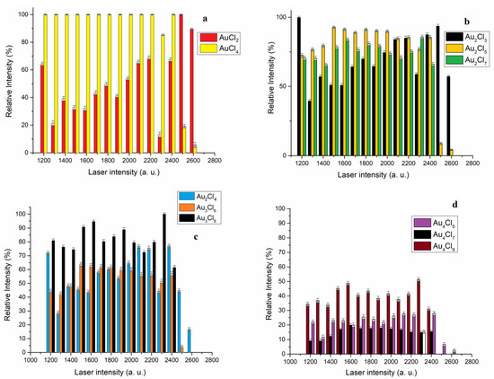
The dependence of the relative intensity of the most abundant isotope of AuCln+1, Au2Cl2n+1, Au3Cl2n+2 and Au4Cl2n+1 on the laser intensity is shown in Figure 4a, b, c and d, respectively.
The theoretical studies of Srivastava and Misra have shown that the mononuclear AuCln species (n = 2–6) belong to the group of “superhalogens”, i.e., clusters whose electron affinity is higher than that of Cl (3.6 eV); therefore, it was expected that this type of cluster would dominate in the mass spectrum in the negative mode [24]. Under our experimental conditions, three “superhalogens” of AuCln+1 (n = 1–3) were detected, but the relative intensity of the AuCl3 was very low in the observed laser intensity range (Figure 2a). For that reason, the dependence of the relative intensity of the most abundant isotope on the laser intensity for two “superhalogen” (AuCl4 and AuCl2) is shown in Figure 4a. In the laser intensity range from 1200 to 2400, the dominant anion is AuCl4. In this laser intensity range, the relative intensity of AuCl4 is significantly higher than the relative intensity of AuCl2. This is consistent with the fact that the electron affinity of AuCl4 is higher than that of AuCl2. However, with increasing laser intensity above 2400 a.u., the dominant ion in the mass spectrum is AuCl2. It should be kept in mind that the intensity of the ions in the negative mode is influenced not only by the electron affinity but also by the dissociation energy of the observed clusters. Theoretical studies also show that the dissociation energies of the AuCln anion for the Cl atom and the Cl2 molecule exhibit a similar trend, decreasing in the order AuCl2 > AuCl4 > AuCl3 > AuCl5 > AuCl6. The dissociation energy for the Cl atom and the Cl2 molecule is low for the AuCl5, which, despite having the highest EA in the AuCln series, was not detected in the mass spectrum, and nor was AuCl6. The structure of the AuCl5 and AuCl6 ions is described as (AuCl4)Cln [24]. Theoretical studies by Xu and others have also shown that the structure of the AunCln+3 cluster is such that it contains an Au(III) ion surrounded by four Cl atoms. Therefore, the AuCl4 ion could have been formed by the dissociation of the above clusters. It should be mentioned that the AunCln+1 clusters have a zigzag structure (without an AuCl4 unit), which could be one of the reasons why the AuCl4 ion was not detected in the previous work [22]. Regardless of the origin of the “superhalogens” AuCl2 and AuCl4, their stability under these experimental conditions is more significant than the stability of the other detected clusters.
Theoretical studies have shown that there is no “aurophilic” interaction in the most stable isomers of the dinuclear Au2Cl2n+1 clusters: Au2Cl3 and Au2Cl5. The Au(III)-Au(I) interaction (3.99A) in the Au2Cl5 cluster ensures that this cluster is more stable than Au2Cl3 with Au(I)-Au(I) interaction (3.69A) in the laser intensity range from 1300 to 2000 a.u. (Figure 4b). With the increase in laser intensity above 2000 a.u., the intensities of Au2Cl3 and Au2Cl5 clusters are very similar, while above 2400 a.u., the Au2Cl3 cluster is much more stable than Au2Cl5 and Au2Cl7. Increasing the number of chlorine atoms in the dinuclear clusters does not significantly affect the stability, so the intensity of the Au2Cl7 cluster is higher than that of the Au2Cl3 cluster in the range from 1300 to 1900 and at 2300 a.u., but above 2400 a.u., the Au2Cl7 cluster is not recorded (Figure 4b).
In the group of Au3Cln+1 clusters, the cluster with the largest number of chlorine atoms, Au3Cl8, shows the highest stability in the range of laser intensity from 1200 a.u. to 2400 a.u.; above 2400 a.u., this cluster was not detected (Figure 4c). The calculated geometrical parameters for the most stable structures available in the literature show that the Au3Cl6 structure is formed by Au(III)-Au(I) interaction and “aurophilic” Au(I)-Au(I) interaction [21]. This structure is more stable than the structure of the Au3Cl4 cluster, which is only formed by “aurophilic” interactions in the laser intensity range from 1300 to 2100 a.u. Above 2400 a.u., the intensity of Au3Cl6 decreases, while the Au3Cl4 cluster is detected at 2600 a.u.
The tetranuclear Au4Cl2n+1 clusters exhibit lower stability than the dinuclear and trinuclear clusters in the observed range of laser intensity (Figure 4d). In the group of tetranuclear gold chloride clusters, the largest cluster, Au4Cl9, is the most stable in the laser intensity range from 1200 to 2400 a.u. In this laser intensity range, the Au4Cl7 cluster, which contains both Au(III)-Au(I) and thermal and non-thermal “aurophilic” Au(I)-Au(I) bonds, exhibits the lowest stability in the Au4Cl2n+1 group. The cluster with only thermal and non-thermal “aurophilic” bonds, Au4Cl5, is between Au4Cl9 and Au4Cl7 in intensity. However, it should be noted that the Au4Cl5 cluster is the only one detected above the laser intensity of 2400 a.u., suggesting that the clusters with only “aurophilic” interactions exhibit greater stability than others with increasing laser intensity.

3. Experimental Section

All mass spectra in this work were recorded with a commercially available MALDI TOF mass spectrometer (Voyager-DE PRO Sciex, Foster City, CA, USA). Mass spectra were obtained without the use of conventional or other matrices, i.e., using the laser desorption ionization method. The device was equipped with an ultraviolet N2 laser (wavelength 337 nm, pulse width 3 ns and repetition rates of 20.00 Hz). The number of laser shots was 300 per mass spectrum. The instrumental parameters were as follows: An acceleration voltage of 20,000 V, a grating voltage of 94% and a delayed extraction time of 100 ns. These mass spectrometers have a laser attenuator and a prism between the laser and the sample. The laser attenuator is a device for controlling the laser intensity, while the prism deflects the laser beam into the ion source. The laser attenuator is controlled by adjusting the laser level. The laser levels are controlled using the sliders on the manual laser control page. The slider has a range of 0–5000 arbitrary units (a.u.); therefore, this relative scale is used below for the laser intensity. The relative intensity of the cluster anions was determined using five measurements from five different positions. The sample was aqueous HAuCl4 solutions (2.5 g/dm3) (99%, Sigma-Aldrich, St. Louis, MO, USA) prepared in deionized water (Millipore, Burlington, MA, USA) immediately prior to the experiment. An amount of 0.5 μL of the HAuCl4 solution was applied to a spot on the stainless-steel plate. The sample was dried at room temperature and placed in the source area of the mass spectrometer.

4. Conclusions

Laser desorption/ionization mass spectrometry is a particularly useful method for the study of gold chloride clusters, as 14 clusters were identified in the LDI mass spectrum of HAuCl4, which can be represented in two ways: as AunCln+m- (n = 1–5; m = 1, 3, 5, 7) or as AuCln+1-, Au2Cl2n+1-, Au3Cl2n+2-, Au4Cl2n+1- and Au5Cl2n+2-type clusters. All these clusters were obtained simultaneously, so the effects of increasing the laser intensity on the stability of these clusters could be studied in two cases: when the clusters differed by AuCl unit and when they differed in the number of Cl atoms.
Clusters AunCln+1 and AunCln+3 were obtained in the range of laser intensity from 1200 to 2600 a.u., while AunCln+5 clusters were demonstrated to be less stable than the other two groups of clusters as they were detected in a lower laser intensity range from 1200 to 2400 a.u. With increasing laser intensity, the ratio of the relative intensities of the clusters of groups AunCln+1 and AunCln+3 did not change and amounted to Au2Cl3 > Au3Cl4 > Au4Cl5 and Au2Cl5 > Au3Cl6 > Au4Cl7, respectively. This result indicates that increasing the size of clusters AunCln+1 and AunCln+3 by one AuCl unit leads to their decreasing stability. Furthermore, increasing the size of the cluster by one AuCl unit has a stronger effect on the stability of the AunCln+3 cluster than on that of the AunCln+1 cluster. This indicates that the “aurophilic” Au(I)-Au(I) interaction has a more favorable effect on the stability of the AunCln+1 cluster than the combination of Au (III)-Au(I) and “aurophilic” Au(I)-Au(I) interaction in the AunCln+3 cluster. The ratio of the relative intensities of the AunCln+5 clusters was Au3Cl8 > A2Cl7 > Au4Cl9 > Au5Cl10, which is different from the previous two cases.
The stability of mononuclear AuCl4 and AuCl2 species is more significant than that of the other detected clusters. The result is consistent with the theoretically hypothesized “superhalogen” nature of chemical bonding and the calculated dissociation energy for AuCl4 and AuCl2.
If the gold chloride clusters are classified according to the number of gold atoms into di-, tri-, tetra- and pentanuclear clusters, the Au2Cl3 and Au2Cl5 clusters without “aurophilic” interactions exhibit the greatest stability. Au2Cl5, which is stabilized by an Au(III)-Au(I) interaction, is more stable than Au2Cl3 up to a laser intensity of 2000 a.u., while Au2Cl3 (with Au(I)-Au(I) interaction) becomes more stable above 2400 a.u. Among the trinuclear Au3Cl2n+2 clusters, Au3Cl8 is the most stable from 1200 to 2400 a.u., while above 2400 a.u., the Au3Cl4 with “aurophilic” interactions is the most stable. For the tetranuclear Au4Cl2n+1 clusters, Au4Cl9 shows the highest stability up to 2400 a.u., but above this intensity, only Au4Cl5 (with purely “aurophilic” bonds) is detected. These results show that purely “aurophilic” bonds increase the stability of clusters at high laser intensities.
Increasing the number of chlorine atoms has a smaller effect on the stability of gold chloride clusters than increasing the size of the clusters for the AuCl unit.

Author Contributions

Conceptualization, S.V. and X.K.; methodology, S.V. and X.K.; validation, B.J., S.V. and X.K.; investigation, M.J., V.D., S.D., F.V., S.V. and X.K.; resources, B.J., M.J., S.D. and X.K.; writing—original draft preparation, B.J., M.J., V.D. and S.D.; writing—review and editing, F.V., S.V. and X.K.; visualization, V.D.; supervision, S.V. and X.K.; project administration, S.V.; funding acquisition, X.K. All authors have read and agreed to the published version of the manuscript.

Funding

This research was supported by the Science Fund of the Republic of Serbia, grant No. 6706, Low-dimensional nanomaterials for energy storage and sensing applications: Innovation through synergy of action—ASPIRE and by the Ministry of Science, Technological Development and Innovation of the Republic of Serbia (contract No. 451-03-136/2025-03/200017 and 451-03-136/2025-03/200287).The authors gratefully acknowledge the financial support from the National Natural Science Foundation of China (no. 22174076).

Institutional Review Board Statement

Not applicable.

Informed Consent Statement

Not applicable.

Data Availability Statement

The original contributions presented in this study are included in the article. Further inquiries can be directed to the corresponding author.

Acknowledgments

This research was supported by the Science Fund of the Republic of Serbia, grant No. 6706, Low-dimensional nanomaterials for energy storage and sensing applications: Innovation through synergy of action—ASPIRE and by the Ministry of Science, Technological Development and Innovation of the Republic of Serbia (contract No. 451-03-136/2025-03/200017 and 451-03-136/2025-03/200287).The authors gratefully acknowledge the financial support from the National Natural Science Foundation of China (no. 22174076).

Conflicts of Interest

The authors declare no conflicts of interest.

References

  1. Zhang, J.; Gao, Y.; Alvarez-Puebla, R.A.; Buriak, J.M.; Fenniri, H. Synthesis and SERS Properties of Nanocrystalline Gold Octahedra Generated from Thermal Decomposition of HAuCl4 in Block Copolymers. Adv. Mater. 2006, 18, 3233–3237. [Google Scholar] [CrossRef]
  2. Barngrover, B.M.; Aikens, C.M. The golden pathway to thiolatestabilized nanoparticles: Following the formation of gold(I) thiolate from gold(III) chloride. J. Am. Chem. Soc. 2012, 134, 12590–12595. [Google Scholar] [CrossRef][Green Version]
  3. Fusaro, M.; Leś, A.; Stolarczyk, E.U.; Stolarczyk, K. Computational Modeling of Gold Nanoparticle Interacting with Molecules of Pharmaceutical Interest in Water. Molecules 2023, 28, 7167. [Google Scholar] [CrossRef]
  4. Hassan, Z.M.; Guo, W.; Welle, A.; Oestreich, R.; Janiak, C.; Redel, E. Formation of Gold Nanoclusters from Goldcarbonyl Chloride inside the Metal-Organic Framework HKUST-1. Molecules 2023, 28, 2716. [Google Scholar] [CrossRef] [PubMed]
  5. Mato, A.; Agúndez, J.; Márquez-Álvarez, C.; Mayoral, Á.; Pérez-Pariente, J. Modulation of the Activity of Gold Clusters Immobilized on Functionalized Mesoporous Materials in the Oxidation of Cyclohexene via the Functional Group. The Case of Aminopropyl Moiety. Molecules 2020, 25, 5756. [Google Scholar] [CrossRef]
  6. Peck, J.A.; Tait, C.D.; Swanson, B.I.; Brown, G.E., Jr. Speciation of aqueous gold(III) chlorides from ultraviolet/visible absorption and Raman/resonance Raman spectroscopies. Geochim. Cosmochim. Acta 1991, 55, 671–676. [Google Scholar] [CrossRef]
  7. Farges, F.; Sharps, J.A.; Brown, G.E., Jr. Local environment around gold (III) in aqueous chloride solutions: An EXAFS spectroscopy study. Geochim. Cosmochim. Acta 1993, 57, 1243–1252. [Google Scholar] [CrossRef]
  8. Usher, A.; McPhail, D.C.; Brugger, J. A spectrophotometric study of aqueous Au(III) halide–hydroxide complexes at 25–80 °C. Geochim. Cosmochim. Acta 2009, 73, 3359–3380. [Google Scholar] [CrossRef]
  9. Sherman, D.M. Metal complexation and ion association in hydrothermal fluids: Insights from quantum chemistry and molecular dynamics. Geofluids 2010, 10, 41–57. [Google Scholar] [CrossRef]
  10. Zhang, J.; He, Z.; Lib, W.; Han, Y. Deactivation mechanism of AuCl3 catalyst in acetylene hydrochlorination reaction: A DFT study. RSC Adv. 2012, 2, 4814–4821. [Google Scholar] [CrossRef]
  11. Davies, C.J.; Miedziak, P.J.; Brett, G.L.; Hutchings, G.J. Vinyl chloride monomer production catalysed by gold: A review. Chin. J. Catal. 2016, 37, 1600–1607. [Google Scholar] [CrossRef]
  12. Zhang, J.; Simon, M.; Golz, C.; Alcarazo, M. Gold-catalyzed atroposelective synthesis of 1,1′-Binaphthalene-2,3′-diols. Angew. Chem. Int. Ed. 2020, 59, 5647–5650. [Google Scholar] [CrossRef]
  13. Zhang, Y.; Cui, X.; Shi, F.; Deng, Y. Nano-Gold Catalysis in Fine Chemical Synthesis. Chem. Rev. 2012, 112, 2467–2505. [Google Scholar] [CrossRef] [PubMed]
  14. Hashmi, A.S.K.; Schwarz, L.; Choi, J.H.; Frost, T.M. A New Gold-Catalyzed C-C Bond Formation This work was supported by the Deutsche Forschungsgemeinschaft (Ha 1932/5-1, Ha 1932/6-1) and the Fonds der Chemischen Industrie. Gold salts were donated by Degussa-Hüls AG. A.S.K.H. is indebted to Prof. M. Göbel for laboratory space. Angew. Chem. Int. Ed. 2000, 39, 2285–2288. [Google Scholar] [CrossRef]
  15. Hashmi, A.S.K.; Frost, T.M.; Bats, J.W. Highly Selective Gold-Catalyzed Arene Synthesis. J. Am. Chem. Soc. 2000, 122, 11553–11554. [Google Scholar] [CrossRef]
  16. Zhao, Y.X.; Mann, M.D.; Pavlish, J.H.; Mibeck, B.A.F.; Dunham, G.E.; Olson, E.S. Application of gold catalyst for mercury oxidation by chlorine. Environ. Sci. Technol. 2006, 40, 1603–1608. [Google Scholar] [CrossRef] [PubMed]
  17. Baker, T.A.; Friend, C.M.; Kaxiras, E. Nature of Cl Bonding on the Au(111) Surface: Evidence of a Mainly Covalent Interaction. J. Am. Chem. Soc. 2008, 130, 3720–3721. [Google Scholar] [CrossRef]
  18. Wang, L.-S. Covalent gold. Phys. Chem. Chem. Phys. 2010, 12, 8694–8705. [Google Scholar] [CrossRef]
  19. Pyykkö, P. Theoretical Chemistry of Gold. Angew. Chem. Int. Ed. 2004, 43, 4412–4456. [Google Scholar] [CrossRef]
  20. Rabilloud, F. Structure and Stability of Coinage Metal Fluoride and Chloride Clusters (MnFn and MnCln, M = Cu, Ag, or Au; n = 1–6). J. Comput. Chem. 2012, 33, 2083–2091. [Google Scholar] [CrossRef]
  21. Xu, S.; Liu, X.; Hou, Y.; Kou, M.; Xu, X.; Veljković, F.; Veličković, S.; Kong, X. Structures and growth pathways of AunCln+3 (n ≤ 7) cluster anions. Front. Chem. 2024, 12, 1382443. [Google Scholar] [CrossRef] [PubMed]
  22. Ma, Y.; Bian, S.; Shi, Y.; Fan, X.; Kong, X. Size Effect on Aurophilic Interaction in Gold-Chloride Cluster Anions of AunCln+1 (2 ≤ n ≤ 7). ACS Omega 2019, 4, 650–654. [Google Scholar] [CrossRef] [PubMed]
  23. Ma, Y.; Bian, S.; Shi, Y.; Fan, X.; Kong, X. Greatly Enhanced Electron Affinities of Au2nCl Clusters (n = 1−4): Effects of Chlorine Doping. ACS Omega 2019, 4, 17295–17300. [Google Scholar] [CrossRef] [PubMed]
  24. Srivastava, A.K.; Misra, N. The Highest Oxidation State of Au Revealed by Interactions with Successive Cl Ligands and Superhalogen Properties of AuCln (n = 1–6) Species. Int. J. Quantum Chem. 2014, 114, 1513–1517. [Google Scholar] [CrossRef]
  25. Schmidbaurab, H.; Schiera, A. Aurophilic interactions as a subject of current research: An up-date. Chem. Soc. Rev. 2012, 41, 370–412. [Google Scholar] [CrossRef]
  26. Li, W.-L.; Liu, H.-T.; Jian, T.; Lopez, G.V.; Piazza, Z.A.; Huang, D.-L.; Chen, T.-T.; Su, J.; Yang, P.; Chen, X.; et al. Bond-bending isomerism of Au2I3: Competition between covalent bonding and aurophilicity. Chem. Sci. 2016, 7, 475–481. [Google Scholar] [CrossRef]
  27. Theilacker, K.; Schlegel, H.B.; Kaupp, M.; Schwerdtfeger, P. Relativistic and solvation effects on the stability of gold(III) halides in aqueous solution. Inorg. Chem. 2015, 54, 9869–9875. [Google Scholar] [CrossRef]
  28. Schwerdtfeger, P.; Krawczyk, R.P.; Hammerl, A.; Brown, R. A Comparison of Structure and Stability between the Group 11 Halide Tetramers M4X4 (M = Cu, Ag, or Au; X) F, Cl, Br, or I) and the Group 11 Chloride and Bromide Phosphanes (XMPH3)4. Inorg. Chem. 2004, 43, 6707–6716. [Google Scholar] [CrossRef]
  29. Schwarz, H. Relativistic Effects in Gas-Phase Ion Chemistry: An Experimentalist’s View. Angew. Chem. Int. Ed. 2003, 42, 4442–4454. [Google Scholar] [CrossRef]
  30. Bing, D.; Jinlong, Y. Assignment of photoelectron spectra of AuX2 (X=Cl, Br, and I) clusters. Chem. Phys. Lett. 2003, 379, 512–516. [Google Scholar] [CrossRef]
  31. Gutsev, G.L.; Boldyrev, A.I. DVM-Xα calculations on the ionization potentials of MXk+1 complex anions and the electron affinities of MXk+1 “superhalogens”. Chem. Phys. 1981, 56, 277–283. [Google Scholar] [CrossRef]
  32. Srivastava, A.K. Recent progress on the design and applications of superhalogens. Chem. Commun. 2023, 59, 5943–5960. [Google Scholar] [CrossRef] [PubMed]
  33. Li, Y.-X.; Bai, L.-X.; Guo, J.-C. FLi4X4 (X = Cl, Br, I): Superhalogen Anions with Planar Tetracoordinate Fluorine. Molecules 2024, 29, 5810. [Google Scholar] [CrossRef] [PubMed]
  34. Karataev, V.I. Determining Trace Amounts of Gold in Natural Samples and Chemical Compounds. Tech. Phys. Lett. 2008, 34, 1082–1084. [Google Scholar] [CrossRef]
  35. Lemke, K.H. Gold chloride clusters with Au(III) and Au(I) probed by FT-ICR mass spectrometry and MP2 theory. Phys. Chem. Chem. Phys. 2014, 16, 7813–7822. [Google Scholar] [CrossRef]
  36. Rajčić, B.; Dimitrijević, S.B.; Petković, M.; Nišavić, M.; Cindrić, M.; Veljković, F.M.; Veličković, S. Gold chloride cluster ions generated by vacuum laser ablation. Opt. Quantum Electron. 2018, 50, 218. [Google Scholar] [CrossRef]
Figure 1. The LDI mass spectrum in the positive mode of HAuCl4.
Figure 1. The LDI mass spectrum in the positive mode of HAuCl4.
Molecules 30 02227 g001
Figure 2. The LDI mass spectrum in the negative mode of HAuCl4: (a) m/z 260–360, AuCln+1 (n = 1, 2, 3); (b) m/z 480–700, Au2Cl2n+1; (c) m/z 700–930, Au3Cl2n+2; (d) m/z 930–1500, Au4Cl2n+1 and Au5Cl2n+2 clusters.
Figure 2. The LDI mass spectrum in the negative mode of HAuCl4: (a) m/z 260–360, AuCln+1 (n = 1, 2, 3); (b) m/z 480–700, Au2Cl2n+1; (c) m/z 700–930, Au3Cl2n+2; (d) m/z 930–1500, Au4Cl2n+1 and Au5Cl2n+2 clusters.
Molecules 30 02227 g002
Figure 3. The dependence of the relative intensity of the most abundant isotope of the gold chloride clusters on the laser intensity for (a) AunCln+1 (n = 2–4) clusters; (b) AunCln+3 (n = 2–4); (c) AunCln+5 (n = 2–4) clusters.
Figure 3. The dependence of the relative intensity of the most abundant isotope of the gold chloride clusters on the laser intensity for (a) AunCln+1 (n = 2–4) clusters; (b) AunCln+3 (n = 2–4); (c) AunCln+5 (n = 2–4) clusters.
Molecules 30 02227 g003
Figure 4. The dependence of the relative intensity of the most abundant isotope of the gold chloride clusters on the laser intensity for (a) “superhalogen” mononuclear AuCl2 and AuCl4 species; (b) dinuclear Au2Cl2n+1 (n = 1, 2, 3) clusters; (c) trinuclear Au3Cl2n+2 (n = 1, 2, 3) clusters; (d) tetranuclear Au4Cl2n+1 (n = 2, 3, 4) clusters.
Figure 4. The dependence of the relative intensity of the most abundant isotope of the gold chloride clusters on the laser intensity for (a) “superhalogen” mononuclear AuCl2 and AuCl4 species; (b) dinuclear Au2Cl2n+1 (n = 1, 2, 3) clusters; (c) trinuclear Au3Cl2n+2 (n = 1, 2, 3) clusters; (d) tetranuclear Au4Cl2n+1 (n = 2, 3, 4) clusters.
Molecules 30 02227 g004
Table 1. Ions identified in previous work using EI-TOF-MS [34] and MALDI- FTICR-MS (at a concentration of 20 mg/mL and 2 mg/mL) of HAuCl4 [22,23].
Table 1. Ions identified in previous work using EI-TOF-MS [34] and MALDI- FTICR-MS (at a concentration of 20 mg/mL and 2 mg/mL) of HAuCl4 [22,23].
Mass Spectrometry MethodsIonsIonsIonsIonsIons
The positive-mode
EI-TOF-MS
/AunCl+
n = 1, 2
AuCl,
Au2Cl+
Au2Cln+1+
n = 2, 3, 5
Au2Cl3+
Au2Cl4+
Au2Cl6+
//
The negative-mode
MALDI- FTICR-MS
20 mg/L
//AunCln+1
n = 1−4
AuCl2
Au2Cl3
Au3Cl4
Au4C5
AunCln−1
n = 2−4
Au2Cl
Au3Cl2
Au4Cl3
AunClnH
n = 2−4
Au2Cl2H
Au3Cl3
The negative-mode MALDI- FTICR-MS
2 mg/mL
Aun
n = 2−9
Au3
Au5
Au7
Au9
AunCl
n = 2, 4, 6, 8
Au2Cl
Au4Cl
Au6Cl
Au8Cl
AunCln+1
n = 2
Au2Cl3
AunCln−1
n = 3, 4
Au3Cl2
Au4Cl3
/
Disclaimer/Publisher’s Note: The statements, opinions and data contained in all publications are solely those of the individual author(s) and contributor(s) and not of MDPI and/or the editor(s). MDPI and/or the editor(s) disclaim responsibility for any injury to people or property resulting from any ideas, methods, instructions or products referred to in the content.

Share and Cite

MDPI and ACS Style

Veljković, F.; Kong, X.; Dimitrijević, S.; Janković, M.; Janković, B.; Dodevski, V.; Veličković, S. Experimental Investigation of the Stability of AunCln+m (n = 1–5; m = 1, 3, 5, 7) Clusters by Laser Desorption/Ionization Mass Spectrometry. Molecules 2025, 30, 2227. https://doi.org/10.3390/molecules30102227

AMA Style

Veljković F, Kong X, Dimitrijević S, Janković M, Janković B, Dodevski V, Veličković S. Experimental Investigation of the Stability of AunCln+m (n = 1–5; m = 1, 3, 5, 7) Clusters by Laser Desorption/Ionization Mass Spectrometry. Molecules. 2025; 30(10):2227. https://doi.org/10.3390/molecules30102227

Chicago/Turabian Style

Veljković, Filip, Xianglei Kong, Stevan Dimitrijević, Marija Janković, Bojan Janković, Vladimir Dodevski, and Suzana Veličković. 2025. "Experimental Investigation of the Stability of AunCln+m (n = 1–5; m = 1, 3, 5, 7) Clusters by Laser Desorption/Ionization Mass Spectrometry" Molecules 30, no. 10: 2227. https://doi.org/10.3390/molecules30102227

APA Style

Veljković, F., Kong, X., Dimitrijević, S., Janković, M., Janković, B., Dodevski, V., & Veličković, S. (2025). Experimental Investigation of the Stability of AunCln+m (n = 1–5; m = 1, 3, 5, 7) Clusters by Laser Desorption/Ionization Mass Spectrometry. Molecules, 30(10), 2227. https://doi.org/10.3390/molecules30102227

Article Metrics

Back to TopTop