Nuclear Magnetic Resonance (NMR)-Based Lipidomics Reveal the Association of Altered Red Blood Cell (RBC) Membrane Lipidome with the Presence and the Severity of Coronary Artery Stenosis
Abstract
1. Introduction
2. Results
2.1. 1H NMR Analysis of the RBC Lipid Extracts
2.2. Characteristics of Study Population
2.3. RBC Lipidome Is Altered in Patients with Established CHD
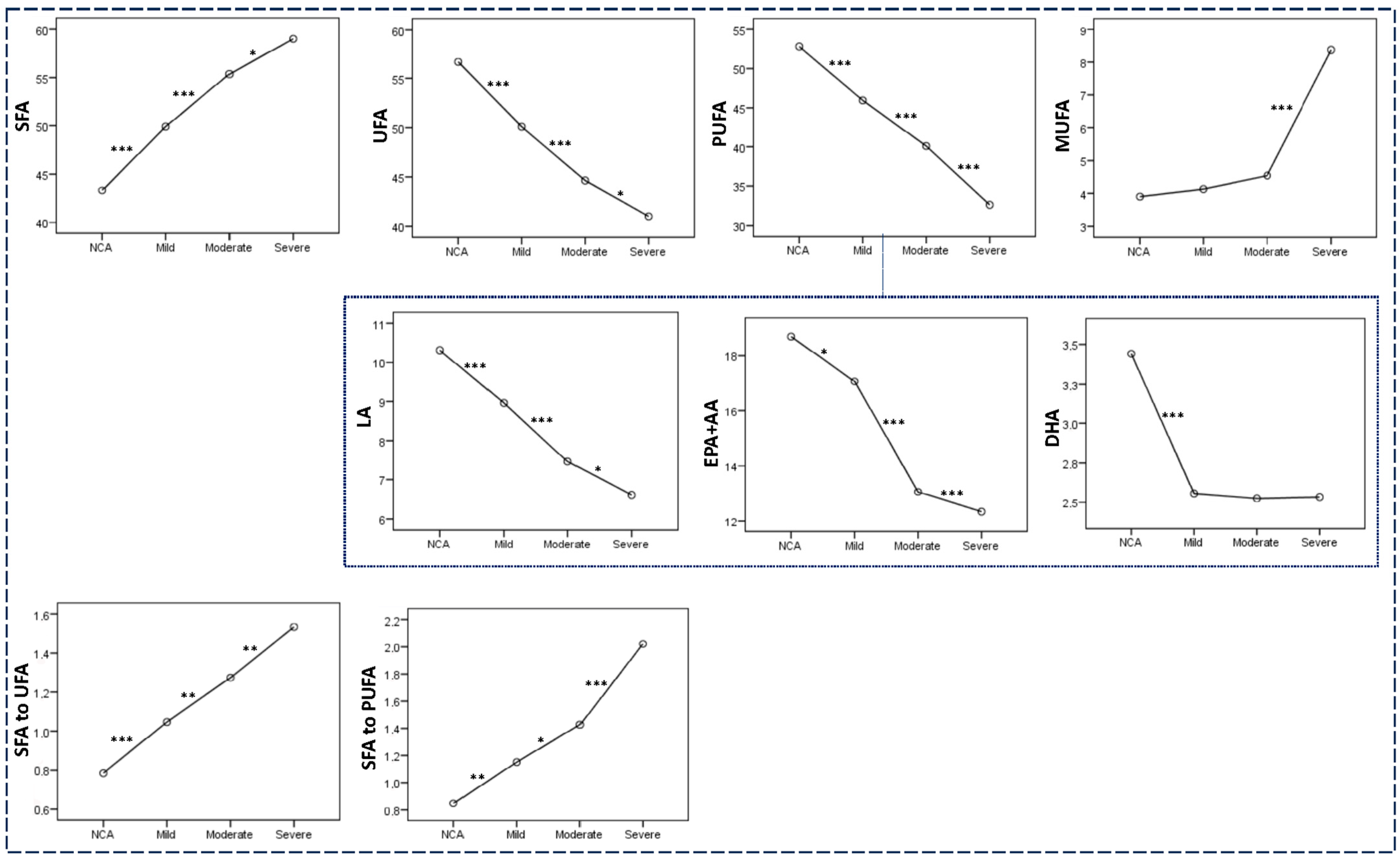
2.4. Alterations Occurring in RBC Lipidomes Follow the Degree of Progression of Coronary Arteries Stenosis
3. Discussion
4. Materials and Methods
4.1. Subjects
4.2. Sample Collection
4.3. Ethics Statement
4.4. Determination of Biochemical Parameters in Serum Samples
4.5. Isolation and Lipid Extraction of RBC Membranes
4.6. 1H NMR Spectroscopy
4.7. Statistical Analysis of Data
4.7.1. Univariate Analysis
4.7.2. Multivariate Analysis
5. Conclusions
Author Contributions
Funding
Institutional Review Board Statement
Informed Consent Statement
Data Availability Statement
Acknowledgments
Conflicts of Interest
References
- Vaduganathan, M.; Mensah, G.A.; Turco, J.V.; Fuster, V.; Roth, G.A. The Global Burden of Cardiovascular Diseases and Risk: A Compass for Future Health. J. Am. Coll. Cardiol. 2022, 80, 2361–2371. [Google Scholar] [CrossRef] [PubMed]
- Kannel, W.B.; Dawber, T.R.; Kagan, A.; Revotskie, N.; Stokes, J., 3rd. Factors of risk in the development of coronary heart disease--six year follow-up experience. The Framingham Study. Ann. Intern. Med. 1961, 55, 33–50. [Google Scholar] [CrossRef] [PubMed]
- Cheng, S.; Claggett, B.; Correia, A.W.; Shah, A.M.; Gupta, D.K.; Skali, H.; Ni, H.; Rosamond, W.D.; Heiss, G.; Folsom, A.R.; et al. Temporal trends in the population attributable risk for cardiovascular disease: The Atherosclerosis Risk in Communities Study. Circulation 2014, 130, 820–828. [Google Scholar] [CrossRef]
- Melander, O.; Newton-Cheh, C.; Almgren, P.; Hedblad, B.; Berglund, G.; Engstrom, G.; Persson, M.; Smith, J.G.; Magnusson, M.; Christensson, A.; et al. Novel and conventional biomarkers for prediction of incident cardiovascular events in the community. JAMA 2009, 302, 49–57. [Google Scholar] [CrossRef]
- Deidda, M.; Noto, A.; Cadeddu Dessalvi, C.; Andreini, D.; Andreotti, F.; Ferrannini, E.; Latini, R.; Maggioni, A.P.; Magnoni, M.; Mercuro, G.; et al. Why Do High-Risk Patients Develop or Not Develop Coronary Artery Disease? Metabolic Insights from the CAPIRE Study. Metabolites 2022, 12, 123. [Google Scholar] [CrossRef]
- Barallobre-Barreiro, J.; Chung, Y.L.; Mayr, M. Proteomics and metabolomics for mechanistic insights and biomarker discovery in cardiovascular disease. Rev. Esp. Cardiol. 2013, 66, 657–661. [Google Scholar] [CrossRef]
- Kale, D.; Fatangare, A.; Phapale, P.; Sickmann, A. Blood-Derived Lipid and Metabolite Biomarkers in Cardiovascular Research from Clinical Studies: A Recent Update. Cells 2023, 12, 2796. [Google Scholar] [CrossRef]
- Pasterkamp, G.; Virmani, R. The erythrocyte: A new player in atheromatous core formation. Heart 2002, 88, 115–116. [Google Scholar] [CrossRef]
- Turpin, C.; Catan, A.; Meilhac, O.; Bourdon, E.; Canonne-Hergaux, F.; Rondeau, P. Erythrocytes: Central Actors in Multiple Scenes of Atherosclerosis. Int. J. Mol. Sci. 2021, 22, 5843. [Google Scholar] [CrossRef]
- Pernow, J.; Mahdi, A.; Yang, J.; Zhou, Z. Red blood cell dysfunction: A new player in cardiovascular disease. Cardiovasc. Res. 2019, 115, 1596–1605. [Google Scholar] [CrossRef]
- Papadopoulos, C.; Anagnostopoulos, K.; Tsiptsios, D.; Karatzetzou, S.; Liaptsi, E.; Lazaridou, I.Z.; Kokkotis, C.; Makri, E.; Ioannidou, M.; Aggelousis, N.; et al. Unexplored Roles of Erythrocytes in Atherothrombotic Stroke. Neurol. Int. 2023, 15, 124–139. [Google Scholar] [CrossRef] [PubMed]
- Byrnes, J.R.; Wolberg, A.S. Red blood cells in thrombosis. Blood 2017, 130, 1795–1799. [Google Scholar] [CrossRef] [PubMed]
- Keymel, S.; Heiss, C.; Kleinbongard, P.; Kelm, M.; Lauer, T. Impaired red blood cell deformability in patients with coronary artery disease and diabetes mellitus. Horm. Metab. Res. 2011, 43, 760–765. [Google Scholar] [CrossRef]
- Cowan, A.Q.; Cho, D.J.; Rosenson, R.S. Importance of blood rheology in the pathophysiology of atherothrombosis. Cardiovasc. Drugs Ther. 2012, 26, 339–348. [Google Scholar] [CrossRef]
- Porro, B.; Conte, E.; Zaninoni, A.; Bianchi, P.; Veglia, F.; Barbieri, S.; Fiorelli, S.; Eligini, S.; Di Minno, A.; Mushtaq, S.; et al. Red Blood Cell Morphodynamics: A New Potential Marker in High-Risk Patients. Front. Physiol. 2020, 11, 603633. [Google Scholar] [CrossRef]
- Weisel, J.W.; Litvinov, R.I. Red blood cells: The forgotten player in hemostasis and thrombosis. J. Thromb. Haemost. JTH 2019, 17, 271–282. [Google Scholar] [CrossRef] [PubMed]
- Yalcin, O.; Uyuklu, M.; Armstrong, J.K.; Meiselman, H.J.; Baskurt, O.K. Graded alterations of RBC aggregation influence in vivo blood flow resistance. Am. J. Physiol. Heart Circ. Physiol. 2004, 287, H2644–H2650. [Google Scholar] [CrossRef]
- Kolodgie, F.D.; Gold, H.K.; Burke, A.P.; Fowler, D.R.; Kruth, H.S.; Weber, D.K.; Farb, A.; Guerrero, L.J.; Hayase, M.; Kutys, R.; et al. Intraplaque hemorrhage and progression of coronary atheroma. N. Engl. J. Med. 2003, 349, 2316–2325. [Google Scholar] [CrossRef]
- Arbustini, E.; Morbini, P.; D’Armini, A.M.; Repetto, A.; Minzioni, G.; Piovella, F.; Vigano, M.; Tavazzi, L. Plaque composition in plexogenic and thromboembolic pulmonary hypertension: The critical role of thrombotic material in pultaceous core formation. Heart 2002, 88, 177–182. [Google Scholar] [CrossRef]
- Kolodgie, F.D.; Burke, A.P.; Nakazawa, G.; Cheng, Q.; Xu, X.; Virmani, R. Free cholesterol in atherosclerotic plaques: Where does it come from? Curr. Opin. Lipidol. 2007, 18, 500–507. [Google Scholar] [CrossRef]
- Giannoglou, G.D.; Koskinas, K.C.; Tziakas, D.N.; Ziakas, A.G.; Antoniadis, A.P.; Tentes, I.K.; Parcharidis, G.E. Total cholesterol content of erythrocyte membranes and coronary atherosclerosis: An intravascular ultrasound pilot study. Angiology 2009, 60, 676–682. [Google Scholar] [CrossRef] [PubMed]
- Tziakas, D.N.; Chalikias, G.K.; Stakos, D.; Tentes, I.K.; Papazoglou, D.; Thomaidi, A.; Grapsa, A.; Gioka, G.; Kaski, J.C.; Boudoulas, H. Independent and additive predictive value of total cholesterol content of erythrocyte membranes with regard to coronary artery disease clinical presentation. Int. J. Cardiol. 2011, 150, 22–27. [Google Scholar] [CrossRef] [PubMed]
- Tziakas, D.N.; Chalikias, G.K.; Stakos, D.; Tentes, I.K.; Chatzikyriakou, S.V.; Mitrousi, K.; Kortsaris, A.X.; Boudoulas, H.; Kaski, J.C. Cholesterol composition of erythrocyte membranes and its association with clinical presentation of coronary artery disease. Coron. Artery Dis. 2008, 19, 583–590. [Google Scholar] [CrossRef] [PubMed]
- Tziakas, D.N.; Kaski, J.C.; Chalikias, G.K.; Romero, C.; Fredericks, S.; Tentes, I.K.; Kortsaris, A.X.; Hatseras, D.I.; Holt, D.W. Total cholesterol content of erythrocyte membranes is increased in patients with acute coronary syndrome: A new marker of clinical instability? J. Am. Coll. Cardiol. 2007, 49, 2081–2089. [Google Scholar] [CrossRef]
- Han, X. Lipidomics for studying metabolism. Nat. Rev. Endocrinol. 2016, 12, 668–679. [Google Scholar] [CrossRef]
- Li, J.; Vosegaard, T.; Guo, Z. Applications of nuclear magnetic resonance in lipid analyses: An emerging powerful tool for lipidomics studies. Prog. Lipid Res. 2017, 68, 37–56. [Google Scholar] [CrossRef]
- Adosraku, R.K.; Choi, G.T.; Constantinou-Kokotos, V.; Anderson, M.M.; Gibbons, W.A. NMR lipid profiles of cells, tissues, and body fluids: Proton NMR analysis of human erythrocyte lipids. J. Lipid Res. 1994, 35, 1925–1931. [Google Scholar] [CrossRef]
- Lausada, N.R.; Boullon, S.; Boullon, F.; Tacconi de Gomez Dumm, I.N. Erythrocyte membrane, plasma and atherosclerotic plaque lipid pattern in coronary heart disease. Medicina 2007, 67, 451–457. [Google Scholar]
- Namazi, G.; Asa, P.; Movahedian, A.; Sarrafzadegan, N.; Sadeghi, M.; Pourfarzam, M. Investigation of membrane fatty acid profiles in erythrocytes of patients with stable coronary artery disease. J. Clin. Lipidol. 2016, 10, 930–936. [Google Scholar] [CrossRef]
- Rise, P.; Eligini, S.; Ghezzi, S.; Colli, S.; Galli, C. Fatty acid composition of plasma, blood cells and whole blood: Relevance for the assessment of the fatty acid status in humans. Prostaglandins Leukot. Essent. Fat. Acids 2007, 76, 363–369. [Google Scholar] [CrossRef]
- Paganelli, F.; Maixent, J.M.; Duran, M.J.; Parhizgar, R.; Pieroni, G.; Sennoune, S. Altered erythrocyte n-3 fatty acids in Mediterranean patients with coronary artery disease. Int. J. Cardiol. 2001, 78, 27–32. [Google Scholar] [CrossRef] [PubMed]
- Siguel, E.N.; Lerman, R.H. Altered fatty acid metabolism in patients with angiographically documented coronary artery disease. Metab. Clin. Exp. 1994, 43, 982–993. [Google Scholar] [CrossRef] [PubMed]
- Mente, A.; de Koning, L.; Shannon, H.S.; Anand, S.S. A systematic review of the evidence supporting a causal link between dietary factors and coronary heart disease. Arch. Intern. Med. 2009, 169, 659–669. [Google Scholar] [CrossRef]
- Borges, M.C.; Schmidt, A.F.; Jefferis, B.; Wannamethee, S.G.; Lawlor, D.A.; Kivimaki, M.; Kumari, M.; Gaunt, T.R.; Ben-Shlomo, Y.; Tillin, T.; et al. Circulating Fatty Acids and Risk of Coronary Heart Disease and Stroke: Individual Participant Data Meta-Analysis in Up to 16 126 Participants. J. Am. Heart Assoc. 2020, 9, e013131. [Google Scholar] [CrossRef]
- Zong, G.; Li, Y.; Wanders, A.J.; Alssema, M.; Zock, P.L.; Willett, W.C.; Hu, F.B.; Sun, Q. Intake of individual saturated fatty acids and risk of coronary heart disease in US men and women: Two prospective longitudinal cohort studies. BMJ 2016, 355, i5796. [Google Scholar] [CrossRef]
- Jakobsen, M.U.; O’Reilly, E.J.; Heitmann, B.L.; Pereira, M.A.; Balter, K.; Fraser, G.E.; Goldbourt, U.; Hallmans, G.; Knekt, P.; Liu, S.; et al. Major types of dietary fat and risk of coronary heart disease: A pooled analysis of 11 cohort studies. Am. J. Clin. Nutr. 2009, 89, 1425–1432. [Google Scholar] [CrossRef]
- Mozaffarian, D.; Micha, R.; Wallace, S. Effects on coronary heart disease of increasing polyunsaturated fat in place of saturated fat: A systematic review and meta-analysis of randomized controlled trials. PLoS Med. 2010, 7, e1000252. [Google Scholar] [CrossRef] [PubMed]
- Wurtz, P.; Havulinna, A.S.; Soininen, P.; Tynkkynen, T.; Prieto-Merino, D.; Tillin, T.; Ghorbani, A.; Artati, A.; Wang, Q.; Tiainen, M.; et al. Metabolite profiling and cardiovascular event risk: A prospective study of 3 population-based cohorts. Circulation 2015, 131, 774–785. [Google Scholar] [CrossRef] [PubMed]
- Balatskyi, V.V.; Dobrzyn, P. Role of Stearoyl-CoA Desaturase 1 in Cardiovascular Physiology. Int. J. Mol. Sci. 2023, 24, 5531. [Google Scholar] [CrossRef]
- Martinelli, N.; Girelli, D.; Malerba, G.; Guarini, P.; Illig, T.; Trabetti, E.; Sandri, M.; Friso, S.; Pizzolo, F.; Schaeffer, L.; et al. FADS genotypes and desaturase activity estimated by the ratio of arachidonic acid to linoleic acid are associated with inflammation and coronary artery disease. Am. J. Clin. Nutr. 2008, 88, 941–949. [Google Scholar] [CrossRef]
- Harris, W.S. Linoleic acid and coronary heart disease. Prostaglandins Leukot. Essent. Fat. Acids 2008, 79, 169–171. [Google Scholar] [CrossRef] [PubMed]
- Laaksonen, D.E.; Nyyssonen, K.; Niskanen, L.; Rissanen, T.H.; Salonen, J.T. Prediction of cardiovascular mortality in middle-aged men by dietary and serum linoleic and polyunsaturated fatty acids. Arch. Intern. Med. 2005, 165, 193–199. [Google Scholar] [CrossRef]
- Marklund, M.; Wu, J.H.Y.; Imamura, F.; Del Gobbo, L.C.; Fretts, A.; de Goede, J.; Shi, P.; Tintle, N.; Wennberg, M.; Aslibekyan, S.; et al. Biomarkers of Dietary Omega-6 Fatty Acids and Incident Cardiovascular Disease and Mortality. Circulation 2019, 139, 2422–2436. [Google Scholar] [CrossRef]
- Farvid, M.S.; Ding, M.; Pan, A.; Sun, Q.; Chiuve, S.E.; Steffen, L.M.; Willett, W.C.; Hu, F.B. Dietary linoleic acid and risk of coronary heart disease: A systematic review and meta-analysis of prospective cohort studies. Circulation 2014, 130, 1568–1578. [Google Scholar] [CrossRef] [PubMed]
- Bittner, D.O.; Goeller, M.; Zopf, Y.; Achenbach, S.; Marwan, M. Early-onset coronary atherosclerosis in patients with low levels of omega-3 fatty acids. Eur. J. Clin. Nutr. 2020, 74, 651–656. [Google Scholar] [CrossRef]
- Pottala, J.V.; Garg, S.; Cohen, B.E.; Whooley, M.A.; Harris, W.S. Blood eicosapentaenoic and docosahexaenoic acids predict all-cause mortality in patients with stable coronary heart disease: The Heart and Soul study. Circ. Cardiovasc. Qual. Outcomes 2010, 3, 406–412. [Google Scholar] [CrossRef] [PubMed]
- Harris, W.S.; Del Gobbo, L.; Tintle, N.L. The Omega-3 Index and relative risk for coronary heart disease mortality: Estimation from 10 cohort studies. Atherosclerosis 2017, 262, 51–54. [Google Scholar] [CrossRef]
- Harris, W.S.; Tintle, N.L.; Etherton, M.R.; Vasan, R.S. Erythrocyte long-chain omega-3 fatty acid levels are inversely associated with mortality and with incident cardiovascular disease: The Framingham Heart Study. J. Clin. Lipidol. 2018, 12, 718–727.e716. [Google Scholar] [CrossRef]
- Block, R.C.; Harris, W.S.; Reid, K.J.; Sands, S.A.; Spertus, J.A. EPA and DHA in blood cell membranes from acute coronary syndrome patients and controls. Atherosclerosis 2008, 197, 821–828. [Google Scholar] [CrossRef]
- Thies, F.; Garry, J.M.; Yaqoob, P.; Rerkasem, K.; Williams, J.; Shearman, C.P.; Gallagher, P.J.; Calder, P.C.; Grimble, R.F. Association of n-3 polyunsaturated fatty acids with stability of atherosclerotic plaques: A randomised controlled trial. Lancet 2003, 361, 477–485. [Google Scholar] [CrossRef]
- Mason, R.P.; Libby, P.; Bhatt, D.L. Emerging Mechanisms of Cardiovascular Protection for the Omega-3 Fatty Acid Eicosapentaenoic Acid. Arterioscler. Thromb. Vasc. Biol. 2020, 40, 1135–1147. [Google Scholar] [CrossRef] [PubMed]
- Leaf, A.; Kang, J.X.; Xiao, Y.F.; Billman, G.E. Clinical prevention of sudden cardiac death by n-3 polyunsaturated fatty acids and mechanism of prevention of arrhythmias by n-3 fish oils. Circulation 2003, 107, 2646–2652. [Google Scholar] [CrossRef] [PubMed]
- De Caterina, R.; Spiecker, M.; Solaini, G.; Basta, G.; Bosetti, F.; Libby, P.; Liao, J. The inhibition of endothelial activation by unsaturated fatty acids. Lipids 1999, 34, S191–S194. [Google Scholar] [CrossRef] [PubMed]
- von Schacky, C. Omega-3 fatty acids and cardiovascular disease. Curr. Opin. Clin. Nutr. Metab. Care 2004, 7, 131–136. [Google Scholar] [CrossRef]
- Tziakas, D.N.; Chalikias, G.; Pavlaki, M.; Kareli, D.; Gogiraju, R.; Hubert, A.; Bohm, E.; Stamoulis, P.; Drosos, I.; Kikas, P.; et al. Lysed Erythrocyte Membranes Promote Vascular Calcification. Circulation 2019, 139, 2032–2048. [Google Scholar] [CrossRef]
- Tabas, I. Consequences of cellular cholesterol accumulation: Basic concepts and physiological implications. J. Clin. Investig. 2002, 110, 905–911. [Google Scholar] [CrossRef]
- Rapp, J.H.; Connor, W.E.; Lin, D.S.; Inahara, T.; Porter, J.M. Lipids of human atherosclerotic plaques and xanthomas: Clues to the mechanism of plaque progression. J. Lipid Res. 1983, 24, 1329–1335. [Google Scholar] [CrossRef]
- Felton, C.V.; Crook, D.; Davies, M.J.; Oliver, M.F. Relation of plaque lipid composition and morphology to the stability of human aortic plaques. Arterioscler. Thromb. Vasc. Biol. 1997, 17, 1337–1345. [Google Scholar] [CrossRef]
- Namazi, G.; Pourfarzam, M.; Jamshidi Rad, S.; Movahedian Attar, A.; Sarrafzadegan, N.; Sadeghi, M.; Asa, P. Association of the total cholesterol content of erythrocyte membranes with the severity of disease in stable coronary artery disease. Cholesterol 2014, 2014, 821686. [Google Scholar] [CrossRef]
- Yu, M.M.; Xu, Y.; Zhang, J.H.; Wang, C.H.; Wang, X.C.; Cheng, Z.P.; Xu, B.L. Total cholesterol content of erythrocyte membranes levels are associated with the presence of acute coronary syndrome and high sensitivity C-reactive protein. Int. J. Cardiol. 2010, 145, 57–58. [Google Scholar] [CrossRef]
- Zhong, Y.; Tang, H.; Zeng, Q.; Wang, X.; Yi, G.; Meng, K.; Mao, Y.; Mao, X. Total cholesterol content of erythrocyte membranes is associated with the severity of coronary artery disease and the therapeutic effect of rosuvastatin. Upsala J. Med. Sci. 2012, 117, 390–398. [Google Scholar] [CrossRef] [PubMed]
- Lakshmi, A.B.; Uma, P.; Venkatachalam, C.; Nageswar Rao, G.S. A simple slide test to assess erythrocyte aggregation in acute ST-elevated myocardial infarction and acute ischemic stroke: Its prognostic significance. Indian J. Pathol. Microbiol. 2011, 54, 63–69. [Google Scholar] [CrossRef] [PubMed]
- Pytel, E.; Olszewska-Banaszczyk, M.; Koter-Michalak, M.; Broncel, M. Increased oxidative stress and decreased membrane fluidity in erythrocytes of CAD patients. Biochem. Cell Biol. = Biochim. Biol. Cell. 2013, 91, 315–318. [Google Scholar] [CrossRef] [PubMed]
- Nagle, J.F.; Tristram-Nagle, S. Structure of lipid bilayers. Biochim. Biophys. Acta 2000, 1469, 159–195. [Google Scholar] [CrossRef]
- Chen, W.; Shao, S.; Cai, H.; Han, J.; Guo, T.; Fu, Y.; Yu, C.; Zhao, M.; Bo, T.; Yao, Z.; et al. Comparison of Erythrocyte Membrane Lipid Profiles between NAFLD Patients with or without Hyperlipidemia. Int. J. Endocrinol. 2020, 2020, 9501826. [Google Scholar] [CrossRef]
- Garcia-Manyes, S.; Redondo-Morata, L.; Oncins, G.; Sanz, F. Nanomechanics of lipid bilayers: Heads or tails? J. Am. Chem. Soc. 2010, 132, 12874–12886. [Google Scholar] [CrossRef]
- Clore, J.N.; Harris, P.A.; Li, J.; Azzam, A.; Gill, R.; Zuelzer, W.; Rizzo, W.B.; Blackard, W.G. Changes in phosphatidylcholine fatty acid composition are associated with altered skeletal muscle insulin responsiveness in normal man. Metab. Clin. Exp. 2000, 49, 232–238. [Google Scholar] [CrossRef]
- Shinitzky, M. Membrane fluidity in malignancy. Adversative and recuperative. Biochim. Biophys. Acta 1984, 738, 251–261. [Google Scholar] [CrossRef]
- Cooper, R.A.; Leslie, M.H.; Fischkoff, S.; Shinitzky, M.; Shattil, S.J. Factors influencing the lipid composition and fluidity of red cell membranes in vitro: Production of red cells possessing more than two cholesterols per phospholipid. Biochemistry 1978, 17, 327–331. [Google Scholar] [CrossRef]
- van Blitterswijk, W.J.; van der Meer, B.W.; Hilkmann, H. Quantitative contributions of cholesterol and the individual classes of phospholipids and their degree of fatty acyl (un)saturation to membrane fluidity measured by fluorescence polarization. Biochemistry 1987, 26, 1746–1756. [Google Scholar] [CrossRef]
- Chen, H.; Born, E.; Mathur, S.N.; Johlin, F.C., Jr.; Field, F.J. Sphingomyelin content of intestinal cell membranes regulates cholesterol absorption. Evidence for pancreatic and intestinal cell sphingomyelinase activity. Biochem. J. 1992, 286 Pt 3, 771–777. [Google Scholar] [CrossRef] [PubMed]
- Gold, J.C.; Phillips, M.C. Effects of membrane lipid composition on the kinetics of cholesterol exchange between lipoproteins and different species of red blood cells. Biochim. Biophys. Acta 1990, 1027, 85–92. [Google Scholar] [CrossRef] [PubMed]
- Slotte, J.P.; Bierman, E.L. Depletion of plasma-membrane sphingomyelin rapidly alters the distribution of cholesterol between plasma membranes and intracellular cholesterol pools in cultured fibroblasts. Biochem. J. 1988, 250, 653–658. [Google Scholar] [CrossRef] [PubMed]
- Zhang, J.; Tu, K.; Xu, Y.; Pan, L.; Wu, C.; Chen, X.; Wu, M.; Cheng, Z.; Chen, B. Sphingomyelin in erythrocyte membranes increases the total cholesterol content of erythrocyte membranes in patients with acute coronary syndrome. Coron. Artery Dis. 2013, 24, 361–367. [Google Scholar] [CrossRef]
- Dinkla, S.; Wessels, K.; Verdurmen, W.P.; Tomelleri, C.; Cluitmans, J.C.; Fransen, J.; Fuchs, B.; Schiller, J.; Joosten, I.; Brock, R.; et al. Functional consequences of sphingomyelinase-induced changes in erythrocyte membrane structure. Cell Death Dis. 2012, 3, e410. [Google Scholar] [CrossRef]
- Hilvo, M.; Meikle, P.J.; Pedersen, E.R.; Tell, G.S.; Dhar, I.; Brenner, H.; Schottker, B.; Laaperi, M.; Kauhanen, D.; Koistinen, K.M.; et al. Development and validation of a ceramide- and phospholipid-based cardiovascular risk estimation score for coronary artery disease patients. Eur. Heart J. 2020, 41, 371–380. [Google Scholar] [CrossRef]
- Laaksonen, R.; Ekroos, K.; Sysi-Aho, M.; Hilvo, M.; Vihervaara, T.; Kauhanen, D.; Suoniemi, M.; Hurme, R.; Marz, W.; Scharnagl, H.; et al. Plasma ceramides predict cardiovascular death in patients with stable coronary artery disease and acute coronary syndromes beyond LDL-cholesterol. Eur. Heart J. 2016, 37, 1967–1976. [Google Scholar] [CrossRef]
- Leidl, K.; Liebisch, G.; Richter, D.; Schmitz, G. Mass spectrometric analysis of lipid species of human circulating blood cells. Biochim. Biophys. Acta 2008, 1781, 655–664. [Google Scholar] [CrossRef]
- Lessig, J.; Fuchs, B. Plasmalogens in biological systems: Their role in oxidative processes in biological membranes, their contribution to pathological processes and aging and plasmalogen analysis. Curr. Med. Chem. 2009, 16, 2021–2041. [Google Scholar] [CrossRef]
- Roffi, M.; Patrono, C.; Collet, J.P.; Mueller, C.; Valgimigli, M.; Andreotti, F.; Bax, J.J.; Borger, M.A.; Brotons, C.; Chew, D.P.; et al. 2015 ESC Guidelines for the management of acute coronary syndromes in patients presenting without persistent ST-segment elevation: Task Force for the Management of Acute Coronary Syndromes in Patients Presenting without Persistent ST-Segment Elevation of the European Society of Cardiology (ESC). Eur. Heart J. 2016, 37, 267–315. [Google Scholar] [CrossRef]
- Kostara, C.E.; Tsiafoulis, C.G.; Bairaktari, E.T.; Tsimihodimos, V. Altered RBC membrane lipidome: A possible etiopathogenic link for the microvascular impairment in Type 2 diabetes. J. Diabetes Its Complicat. 2021, 35, 107998. [Google Scholar] [CrossRef] [PubMed]







| Lipid Constituents and Headgroups | 1H NMR Signal Assignment | Chemical Shift (ppm) | Quantification of Lipids from Selected Well-Resolved NMR Signals |
|---|---|---|---|
| Cholesterol molecule | C18H3 | 0.68 | Total Cholesterol, FC |
| C26H3, C27H3, C21H | 0.87 | ||
| C19H3 | 1.00 | ||
| C3H | 3.40 | ||
| C6H | 5.36 | ||
| Glycerol backbone | C1Hu and C3Hu of glycerol backbone of DAGPLs | 4.16 | |
| -OCH=CHCH2 | 4.32 | PLA (ether GPLs) | |
| C1Hd and C3Hd of glycerol backbone of DAGPLs | 4.40 | ||
| C2H of glycerol backbone in ether glycerophospholipids | 5.15 | Ether GPLs | |
| C2H of glycerol backbone in total DAGPLs | 5.18 | Total Diacyl glycerophospholipids (DAGPLs) | |
| Sphingosine moiety | -CH2-CH=CHCHOH | 5.40 | |
| -CH2-CH=CHCHOH | 5.70 | Total SLs | |
| Head-group & substituent | -CH2-CH2-N+(CH3)3 (choline) | 3.20 | Total choline-containing PLs (PC, SM) |
| -CH2-CH2-N+(CH3)3 | 3.59 | ||
| -CH2-CH2-N+(CH3)3 | 4.24 | ||
| -CH2-CH2-NH3+ (ethanolamine) | 3.10 | PE | |
| -OCH=CHCH2 | 5.90 | PLA (ether GPLs) | |
| Fatty acid chains | ω-CH3 (methyl) in fatty acyl chains | 0.88 | |
| ω-CH3 (methyl) of total omega-3 FA | 0.95 | ||
| -(CH2)n- (methylene) in fatty acyl chains | 1.30 | ||
| -CO-CH2-CH2- (β-methylene) in the fatty acyl chains | 1.59 | ||
| β-CH2 (β-methylene) of the sum of AA + EPA | 1.67 | AA (20:4 ω-6) + EPA (20:5 ω-3) | |
| -CH2-CH= (allylic) in fatty acyl chains | 2.04 | ||
| -CO-CH2 (α-methylene) in the fatty acyl chains | 2.30 | Total FA | |
| α and β CH2 (methylene) of DHA | 2.38 | DHA (22:6 ω-3) | |
| -CH=CH-CH2-CH=CH- of linoleic acid | 2.75 | LA (18:2 ω-6) | |
| -(CH=CH-CH2-CH=CH)n, n > 1 in the fatty acyl chains | 2.80 | PUFA | |
| -CH=CH- in the fatty acyl chains | 5.36 | UFA |
| Subgrouping of CHD Patients | ||||||
|---|---|---|---|---|---|---|
| Patients with NCA (n = 46) | Patients with CHD (n = 121) | p | Mild (n = 48) | Moderate (n = 36) | Severe (n = 37) | |
| Demographic Parameters | ||||||
| Age (years) | 59.7 ± 14.0 a | 62.5 ± 9.5 | NS b | 61.8 ± 10.4 | 62.5 ± 9.1 | 63.3 ± 9.0 |
| Gender (Males/females) | 26/20 | 70/51 | 28/20 | 20/16 | 22/15 | |
| Risk factors for CHD | ||||||
| Hypertension, n (%) | 20 (43.5) | 65 (53.7) | 28 (58.3) | 18 (50) | 19 (51.4) | |
| Current smokers, n (%) | 22 (47.8) | 79 (65.3) | 34 (70.8) | 22 (61.1) | 23 (62.2) | |
| BMI (kg/m2), n (%) | 14 (30.4) | 39 (32.2) | 15 (31.3) | 9 (25) | 15 (40.5) | |
| Biochemical Parameters | ||||||
| Total Cholesterol, mg/dL | 191.7 ± 36.9 | 189.1 ± 45.3 | NS | 188.7 ± 46.2 | 188.8 ± 49.8 | 190.1 ± 40.5 |
| Triglycerides, mg/dL | 132.5 ± 59.4 | 137.1 ± 48.6 | NS | 130.3 ± 43.1 | 139.6 ± 58.4 | 143.5 ± 45.0 |
| HDL-C, mg/dL | 44.7 ± 10.5 | 41.7 ± 9.4 | NS | 42.1 ± 9.6 | 41.6 ± 8.5 | 41.3 ± 10.2 |
| LDL-C, mg/dL | 120.5 ± 33.5 | 120.0 ± 40.7 | NS | 120.5 ± 41.1 | 119.6 ± 43.9 | 120.1 ± 37.9 |
| non-HDL-C, mg/dL | 147.0 ± 36.0 | 147.4 ± 43.6 | NS | 146.6 ± 43.6 | 147.7 ± 47.0 | 148.8 ± 41.1 |
| apoAI, mg/dL | 122.2 ± 17.3 | 121.6 ± 19.8 | NS | 119.6 ± 20.4 | 124.6 ± 18.4 | 121.1 ± 20.6 |
| apoB, mg/dL | 88.0 ± 21.2 | 98.4 ± 25.9 | NS | 92.9 ± 23.4 | 100.9 ± 27.4 | 101.9 ± 27.0 |
| mol/100 mols of Total Lipids | Patients with NCA (n = 46) | Patients with CHD (n = 121) | p |
|---|---|---|---|
| Lipid components | |||
| Cholesterol | 39.37 ± 2.49 | 42.25 ± 2.82 | <0.001 |
| Phospholipids (PLs) | 58.11 ± 2.70 | 55.61 ± 3.20 | <0.001 |
| Glycerophospholipids (GPLs) | 33.12 ± 2.88 | 28.35 ± 3.03 | <0.001 |
| Phosphatidylcholine (PC) Phosphatidylethanolamine (PE) | 15.04 ± 2.64 12.08 ± 1.21 | 12.10 ± 2.31 11.24 ± 1.73 | <0.001 <0.001 |
| 6.00 ± 1.73 | 5.01 ± 1.67 | <0.001 |
| Ether Glycerolipids (Ether GLs) | 9.96 ± 2.03 | 8.23 ± 2.30 | <0.001 |
| 4.49 ± 1.29 5.47 ± 2.09 | 3.95 ± 1.21 4.28 ± 1.98 | <0.05 <0.001 |
| Sphingolipids (SLs) | 15.03 ± 2.24 | 19.03 ± 3.09 | <0.001 |
| 14.05 ± 2.31 0.98 ± 0.46 | 17.64 ± 2.96 1.39 ± 0.94 | <0.001 <0.001 |
| Glycolipids | 2.52 ± 0.71 | 2.14 ± 1.67 | NS |
| Ratios | |||
| Cholesterol/PLs | 0.68 ± 0.08 | 0.76 ± 0.09 | <0.001 |
| SM/PC | 0.98 ± 0.30 | 1.52 ± 0.42 | <0.001 |
| Cholesterol/PC | 2.72 ± 0.62 | 3.64 ± 0.85 | <0.001 |
| Cholesterol/SM | 2.87 ± 0.45 | 2.46 ± 0.44 | <0.001 |
| Cholesterol/PE | 3.29 ± 0.33 | 3.85 ± 0.66 | <0.001 |
| PE/PC | 0.83 ± 0.18 | 0.96 ± 0.24 | <0.001 |
| PE/SM | 0.88 ± 0.18 | 0.66 ± 0.16 | <0.001 |
| mol/100 mol of Total Fatty Acids | Patients with NCA (n = 46) | Patients with CHD (n = 121) | p |
|---|---|---|---|
| Saturated Fatty Acids (SFA) | 43.31 ± 6.22 | 54.31 ± 7.92 | <0.001 |
| Unsaturated Fatty Acids (UFA) | 56.69 ± 6.22 | 45.69 ± 7.92 | <0.001 |
| 3.90 ± 1.73 52.79 ± 6.59 | 5.55 ± 2.75 40.14 ± 9.17 | <0.001 <0.001 |
| Individual PUFA | |||
| Linoleic Acid (LA) | 10.31 ± 2.15 | 7.80 ± 1.90 | <0.001 |
| Eicosapentaenoic + Arachidonic Acid (EPA + AA) | 18.70 ± 4.17 | 14.43 ± 4.29 | <0.001 |
| Docosahexaenoic acid (DHA) | 3.44 ± 0.83 | 2.54 ± 0.63 | <0.001 |
| Ratios | |||
| SFA/UFA | 0.79 ± 0.20 | 1.26 ± 0.45 | <0.001 |
| SFA/PUFA | 0.85 ± 0.23 | 1.50 ± 0.68 | <0.001 |
Disclaimer/Publisher’s Note: The statements, opinions and data contained in all publications are solely those of the individual author(s) and contributor(s) and not of MDPI and/or the editor(s). MDPI and/or the editor(s) disclaim responsibility for any injury to people or property resulting from any ideas, methods, instructions or products referred to in the content. |
© 2024 by the authors. Licensee MDPI, Basel, Switzerland. This article is an open access article distributed under the terms and conditions of the Creative Commons Attribution (CC BY) license (https://creativecommons.org/licenses/by/4.0/).
Share and Cite
Kastani, I.A.; Soltani, P.K.; Baltogiannis, G.G.; Christou, G.A.; Bairaktari, E.T.; Kostara, C.E. Nuclear Magnetic Resonance (NMR)-Based Lipidomics Reveal the Association of Altered Red Blood Cell (RBC) Membrane Lipidome with the Presence and the Severity of Coronary Artery Stenosis. Molecules 2025, 30, 36. https://doi.org/10.3390/molecules30010036
Kastani IA, Soltani PK, Baltogiannis GG, Christou GA, Bairaktari ET, Kostara CE. Nuclear Magnetic Resonance (NMR)-Based Lipidomics Reveal the Association of Altered Red Blood Cell (RBC) Membrane Lipidome with the Presence and the Severity of Coronary Artery Stenosis. Molecules. 2025; 30(1):36. https://doi.org/10.3390/molecules30010036
Chicago/Turabian StyleKastani, Ioanna A., Paraskevi K. Soltani, Giannis G. Baltogiannis, Georgios A. Christou, Eleni T. Bairaktari, and Christina E. Kostara. 2025. "Nuclear Magnetic Resonance (NMR)-Based Lipidomics Reveal the Association of Altered Red Blood Cell (RBC) Membrane Lipidome with the Presence and the Severity of Coronary Artery Stenosis" Molecules 30, no. 1: 36. https://doi.org/10.3390/molecules30010036
APA StyleKastani, I. A., Soltani, P. K., Baltogiannis, G. G., Christou, G. A., Bairaktari, E. T., & Kostara, C. E. (2025). Nuclear Magnetic Resonance (NMR)-Based Lipidomics Reveal the Association of Altered Red Blood Cell (RBC) Membrane Lipidome with the Presence and the Severity of Coronary Artery Stenosis. Molecules, 30(1), 36. https://doi.org/10.3390/molecules30010036

